Abstract
The objective of this study was to investigate the plant vegetative growth, flower production, nitrogen (N) concentration, and carbohydrate compositions of Encore® azalea ‘Chiffon’ when fertigated with five N rates—0, 5, 10, 15, and 20 mM N—and grown in two types of containers, a black plastic and a biodegradable container, during one growing season. Foliar urea of 3% was applied to half of the plants in late fall to investigate its effect on plant N and carbohydrate concentrations. The paper biocontainers resulted in superior plant growth, increased plant size, dry weights, root length and surface area compared with the plastic containers with N rates of 10, 15, and 20 mM. The paper biocontainers also increased N uptake and carbohydrate concentrations mainly by increasing plant biomass. High N rates of 10 to 20 mM combined with urea spray and biocontainers generally resulted in the highest plant N concentrations. Foliar urea application in late fall tended to increase plant N concentration but decreased carbohydrates, including starch, glucose, fructose, and sucrose, to varying degrees, likely due to increased N assimilation. Fall foliar urea spray can be effective in improving the N status of azalea plants without affecting plant biomass.
1. Introduction
Azalea (Rhododendron sp.) is one of the most popular woody perennial ornamental species in the United States (U.S.), with numerous named cultivars. In 2015, 3.69 million azalea plants were sold in pots in the U.S., with a market value of USD 18.3 million [1]. Encore® azalea is a series of branded and patented azaleas, and a popular choice for landscapes because of its good sun tolerance and ability to produce flowers in spring, summer, and fall [2].
Nitrogen fertigation affects plant N concentration and alters total nonstructural carbohydrates in plants, both of which are important nutrient reserves in sustaining plant growth [3,4,5]. Cheng et al. [5] concluded that sufficient N supply during the current season was crucial to sustaining the plant growth and fruit development of ‘Concord’ grape (Vitis labruscana Bailey). Both plant biomass and N content increased with increasing N fertigation rate in big leaf hydrangea ‘Merritt’s Supreme’ (Hydrangea macrophylla) [4,6]. In addition, N concentration in both stem and root tissues were found to be positively correlated with N fertigation rate in ‘Nonpareil’/’Nemaguard’ almond (Prunus dulcis) trees [3].
The appropriate application rate of nitrogen has long been an issue for commercial growers aiming to optimize plant growth and minimize the run-off of N fertilizer. Gastal and Lemaire [7] concluded that N uptake under sufficient N supply was largely driven by internal plant regulation, i.e., plant growth rate. Therefore, a dwarf cultivar with a low growth rate may have a relatively lower N requirement than a cultivar with higher growth rate within a species. The nutrient uptake of a given species is also subject to a number of growing conditions, including irrigation methods and temperature conditions [6,8,9,10,11].
Foliar spray of urea was applied to a number of plants to increase N reserves and improve spring growth [4,12,13]. Bi et al. [4] reported that urea sprays in the fall can be as effective as N fertilization in the spring for improving the growth and flowering of Hydrangea macrophylla ‘Merritt’s Supreme’. Xia and Cheng [13] reported that concentrations of both free-amino-acid N and protein N in one-year-old ‘Concord’ grapevines increased in response to the foliar application of urea. Urea spray was also reported to alter nutrient uptake, including increased phosphorus (P), copper (Cu), and manganese (Mn), and a decreased uptake of potassium (K) and magnesium (Mg) during the following growing season after fall application [14]. Nitrogen reserves from the previous fall were considered important in promoting new growth for the following spring [15]. The effect of foliar urea spray on nitrogen and carbohydrate status on reblooming Encore azaleas remains unclear.
Alternative containers made from biodegradable materials, such as paper, feather, peat, and coir, have been investigated in recent years to reduce the use of traditional petroleum-based plastic containers and to improve consumer perception of sustainable practices in ornamental plant production [16,17,18,19,20]. Biocontainers made from different materials have been investigated under various production systems and were reported to have varying influences on plant growth and water consumption characteristics [21,22,23,24,25]. Most biocontainers produced plants of a similar quality as their plastic counterparts [26,27,28].
The objectives of this study were to: (1) investigate the plant growth and N status of Encore® azalea ‘Chiffon’ in response to different N fertigation rates; (2) investigate the influence of fall foliar urea spray application on plant N and carbohydrate concentrations; and (3) investigate whether use of biocontainers alters plant responses to N rate and urea treatment.
2. Materials and Methods
2.1. Plant Culture
On 9 April 2013, one-year-old Encore® azalea ‘Chiffon’ liners were transplanted into two types of one-gallon containers: a black plastic container (treatment abbreviated as P) (GL 400; Nursery Supplies® Inc., Chambersburg, PA, USA) and a biodegradable container, also referred as biocontainer, made from a recycled paper mix (treatment abbreviated as B) (Western Pulp Products Co., Corvallis, OR, USA). The cultivar ‘Chiffon’ was a dwarf Encore azalea cultivars, selected to accommodate this study in one-gallon containers. Composted pine bark (100%) amended with 0.59 kg·m−3 lime was used as the growing substrate. All plants were grown in full sun at Mississippi State University in Starkville, Mississippi, USA (lat. 33.4552° N, long. 88.7944° W). Azalea plants were manually fertigated with 250 mL of nutrient solution twice a week from 23 April to 15 September 2013. The nutrient solution contained a N-free fertilizer (Cornell No. N Eq. 0-6-27; GreenCare Fertilizers, Kankakee, IL, USA) at a rate of 1.06 g·L−1 with Mg and micronutrients, the formula of which was specified in Li et al. [6]. The nutrient solution also contains one of the five N rates of 0, 5, 10, 15, or 20 mM N sourced from NH4NO3 (granular/certified ACS, Fisher Scientific, Waltham, MA, USA) (N fertigation treatments abbreviated as N0, N5, N10, N15, N20, equivalent to 0, 70 mg·L−1, 140 mg·L−1, 210 mg·L−1, and 280 mg·L−1 N, respectively). At each fertigation event, concentrations of the N-free fertilizer and NH4NO3 solution were prepared separately, mixed in appropriate ratios to achieve each N rate, and then used immediately after preparation. In addition to the fertigation treatment, irrigation was provided as needed using a drip irrigation system. On 5 November, 210 days after transplanting (DAT) and 196 days after N fertigation treatment, half of the plants from each treatment were sprayed once with 3% urea (98+%, Thermo Scientific, Waltham, MA, USA) (urea treatment abbreviated as U) to the point of runoff, as described by Bi et al. [4]. As a control, the remaining half of the plants were sprayed with a similar amount of water (no-urea treatment abbreviated as W).
2.2. Growth Measurements
Plant size was evaluated by plant growth index (PGI), which is the average of plant height and widths from two perpendicular directions measured biweekly, with the last measurement at 211 DAT. Relative leaf chlorophyll content was estimated by leaf SPAD values using a chlorophyll meter (SPAD 502 Plus; Konica Minolta, Inc., Osaka, Japan) every two weeks with the last measurement at 206 DAT. Three readings were measured from three recently expanded leaves and averaged to represent the leaf SPAD of a given plant. Flower number on each plant was counted during the season, and the total flower counts per plant were summed up to evaluate flower production.
Azalea plants were destructively harvested, cleaned and rinsed with deionized water until free from substrate on 7 December 2013 (242 DAT), 32 days after the urea application. Each plant was then separated into three structures: roots, stems, and leaves. Leaf area of each plant was measured using a leaf area meter (LI-3100C; LI-COR Inc., Lincoln, NE, USA). Three plant roots from each treatment were scanned for total root length and surface area using an EPSON® Expression 10000XL scanner (Epson America, Inc., Long Beach, CA, USA) and analyzed using the WinRHIZO software (Regent Instruments Inc., Québec City, QC, Canada). Then, each plant sample was stored at −80 °C before being freeze dried. Dry weight of each sample was recorded after being freeze-dried to constant weight. Dry weights of leaves, stems, and roots of a given plant were summed up to calculate total plant dry weight.
2.3. Nitrogen Analyses
Each dry sample was ground to pass through a 40-mesh (0.42 mm) sieve for subsequent nutrient analyses using a Wiley mini mill (Thomas Scientific, Swedesboro, NJ, USA). A 9 to 11 mg dry sample was used for total N analyses with a dry combustion method using a Vario EL III elemental analyzer (Elementar Americas Inc., Mt. Laurel, NJ, USA) [29]. For each structure, nitrogen content was estimated by multiplying the dry weight of a sample by its corresponding N concentration. Nitrogen content from the leaves, stems, and roots of a given plant were then summed to estimate total plant N content. Average plant N concentration was calculated by dividing the total plant N content by the total dry weight of each plant.
2.4. Analysis of Starch
Starch extraction followed the procedure described by Smith and Zeeman [30] with modifications. Briefly, 1.5 mL of 80% ethanol was added to 0.1 g of each freeze-dried sample. Samples were then vortexed and placed in a water bath at 70 °C for 30 min before being centrifuged at 14,000 rpm for 10 min. The supernatant was carefully decanted. This procedure was repeated three times. Then, the samples were placed into a fuming hood with the caps open to allow the alcohol to dry overnight and provide dry residue for starch analysis. Then, 1 mL of 100 mM sodium (Na)-acetate buffer with a pH of 4.5 was added to the dry residue, then vortexed. The samples were placed in a boiling water bath for 15 min and then cooled to room temperature. Next, 0.5 mL of amyloglucosidase solution (with 30 units dissolved in Na-acetate buffer) was added to each sample. Samples were vortexed and then incubated in a water bath for 10 to 12 h at 55 °C to digest starch into glucose. After incubation, samples were centrifuged at 14,000 rpm for 10 min at room temperature, and 0.8 mL of supernatant was transferred to a new tube. Starch-derived glucose was quantified using an Agilent Technologies 1260 series High Performance Liquid Chromatography (HPLC) with an evaporative light scattering detector (ELSD), and each resulting value is used to represent starch concentration as described by Barickman et al. [31].
2.5. Analyses of Sugars
Soluble sugars were extracted according to the methods described by Barickman et al. [31]. Briefly, 0.1 g of dry tissue sample was weighed into a 16 × 100 mm2 glass culture tube. Then, 1 mL of reverse osmosis water was added to the sample, and the mixture was centrifuged at 14,000 rpm for 10 min after being horizontally shaken for 15 min at 200 rpm. After centrifuging, 500 µL of supernatant was transferred into a 2 mL micro tube, and 0.7 mL acetonitrile was added to the supernatant. The mixture was kept at room temperature for 30 min and centrifuged at 14,000 rpm for 10 min. Then, 500 µL of supernatant was transferred into a new glass tube and dried. The dried sample was dissolved in 500 µL of 75% acetonitrile and filtered into an HPLC glass vial. Concentrations of glucose, fructose, and sucrose were quantified using an Agilent Technologies 1260 series HPLC with ELSD, as described by Barickman et al. [31].
2.6. Experimental Design and Data Analyses
This experiment utilized a randomized complete block design (RCBD) with five replications and a factorial arrangement of treatments. The three experimental factors included N fertigation rate (5 rates), container type (2 types), and urea (with or without urea), resulting in 20 treatment combinations. PGI, SPAD, and flower count data were collected prior to the urea application, and were therefore not subject to urea effect. Significance of main effects and interactions was examined with the analysis of variance (ANOVA) using the PROC GLMMIX procedure of SAS (version 9.4; SAS Institute Inc., Cary, NC, USA). Where indicated by ANOVA, means were separated by Tukey’s honest significant difference (HSD) at p ≤ 0.05.
3. Results
3.1. Plant Size, Leaf Area, and Dry Weights
The plant growth index (at 211 DAT), leaf area, and dry weights (in leave, stems, roots, or total plant) were affected by the interaction between the N rate and container type (Table 1). Azalea plants grown in biocontainers and fertilized with 10, 15, and 20 mM N had the highest PGI at 211 DAT (Table 1). Generally, N rates of 10 to 20 mM resulted in higher PGI than 0 or 5 mM N in each container type. Biocontainers increased PGI compared with plastic containers with each N rate from 10 to 20 mM.
Table 1.
Plant size, leaf area, dry weights, and root growth of Encore® azalea ‘Chiffon’ affected by the N rate and container type interaction.
Plants grown in biocontainers and fertilized with N rates from 10 to 20 mM produced similar leaf areas from 351 cm2 to 399 cm2 per plant, greater than those fertilized with N rates of 0 or 5 mM regardless of container type (Table 1). With each N rate ranging from 10 to 20 mM, biocontainers resulted in greater leaf area than plastic containers by 83%, 109%, and 135.6%, respectively. There was no significant difference in leaf area between container types using N rates of 0 or 5 mM. Urea application did not affect leaf area.
Plant dry weights shared a similar trend with PGI and leaf area. Azalea plants produced the greatest dry weights in leaves, stems, roots, and total plants when grown in the paper biocontainers and fertilized with N rates of 10, 15, and 20 mM. With each N rate ranging from 10 to 20 mM, biocontainers produced greater dry weights of each structure and total plant than the plastic containers. Plants fertilized with no N produced the lowest dry weights of each structure as well as the total plant dry weight. Urea treatment did not affect the dry weight of any structure or the total plant dry weight.
3.2. Root Length and Surface Area
Root length and surface area were both affected by the interaction between N rate and container type (Table 1). Plants fertilized with 10 and 15 mM N grown in biocontainers produced the greatest root lengths of 8106 cm and 7290 cm and the greatest root surface areas of 599 cm2 and 563 cm2, respectively (Table 1). Biocontainers resulted in better root growth, including greater root length and surface area, than plastic containers with any N rate from 5 to 20 mM. There was no difference in root length or surface area between container types when plants received no N from fertigation. Urea treatment did not affect root length or surface area.
3.3. Leaf SPAD
Leaf SPAD readings generally increased with increasing N rates from 0 to 20 mM in multiple measurements during the growing season (data not shown). At 206 DAT, 20 mM N resulted in the highest leaf SPAD of 33.9, higher than any N rate from 0 to 10 mM, similar to that of 15 mM N (Table 2). Biocontainers also increased leaf SPAD by 7.2% compared with plastic containers at 206 DAT (Table 3).
Table 2.
Leaf SPAD, flower count, and carbohydrate concentrations in Encore® azalea ‘Chiffon’ affected by N fertigation rate.
Table 3.
Leaf SPAD, flower count, glucose and fructose concentrations in Encore® azalea ‘Chiffon’ varied between container types.
3.4. Flower Number
Flower number was affected by N rate and container type separately with no interaction (Table 2 and Table 3). Nitrogen rates of 5, 10, and 15 mM resulted in similar total flower counts of 12.5, 15.0, and 10.4 per plant, respectively (Table 2). Higher flower counts resulted from 5 and 10 mM N compared to 0 or 20 mM N. Plants grown in biocontainers showed a 46.7% increase in flower number of 11.5 flowers per plant compared to 7.8 flowers per plant in plastic containers (Table 3).
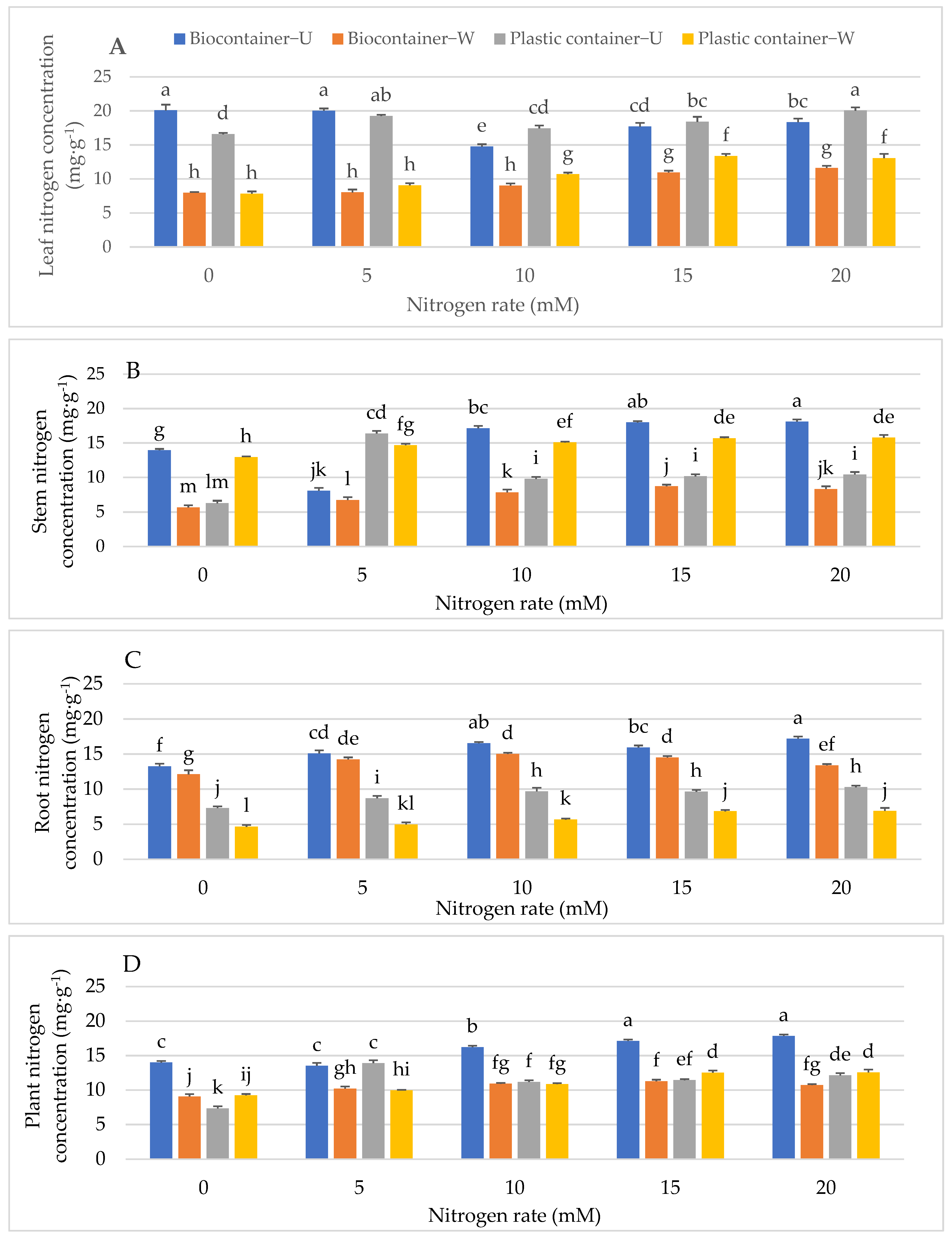
3.5. Nitrogen Concentrations
The three-way interaction among N rate, container type, and urea treatment was significant in affecting N concentrations in leaves, stems, roots and was averaged in the plant (Figure 1). In leaves, the treatment combinations of N0-B-U, N5-B-U, and N20-P-U resulted in higher leaf N concentration than any other treatment combinations, except for being similar to N0-P-U (Figure 1A). Urea application increased leaf N concentration under each N rate in both container types. Plastic containers produced higher leaf N concentration than biocontainers using 10 and 20 mM N with urea and 10, 15, and 20 Mm N without urea.
Figure 1.
Nitrogen concentrations of Encore® azalea ‘Chiffon’ in leaves (A), stems (B), roots (C), and averaged in the entire plant (D) affected by the interaction among N rate, container type, and foliar urea spray. Different lower-case letters in each chart suggest significant difference among all treatment combinations indicated by Tukey’s HSD test at p ≤ 0.05.
The treatment combinations N15-B-U and N20-B-U produced the highest stem N concentrations of 18.0 mg·g−1 and 1.81 mg·g−1, respectively, higher than any other treatment combinations except for N10-B-U (Figure 1B). When plants were grown in biocontainers, urea application increased stem N concentration compared to no-urea treatment at each N rate. When grown in plastic containers, the no-urea treatment increased stem N concentration with N rates of 0, 10, 15, and 20 mM as compared with urea treatment.
The highest N concentrations in roots were found in treatment combinations N10-B-U, N15-B-U, and N20-B-U (Figure 1C). Urea application increased root N concentration in both container types under all N rates, except when using 5 mM N and biocontainers. Biocontainers also increased root N concentrations with each N rate compared with plastic containers, regardless of urea application.
Nitrogen rates of 15 mM and 20 mM resulted in the highest plant N concentrations of 17.1 mg·g−1 and 17.9 mg·g−1 when grown in biocontainers and treated with urea (Figure 1D). When grown in biocontainers, the urea application increased plant N concentration with each N rate ranging from 0 to 20 mM.
3.6. Starch Concentrations
Starch-derived glucose in roots averaged 3.48 mg·g−1 and was not affected by N rate, container type, or urea treatment. Starch concentrations in stems were affected by the interaction between N rate and container type (Table 4). Stem starch concentrations were similar among biocontainer-grown plants fertilized with N rates of 0, 5, 15, 20 mM and plastic-container-grown plants fertilized with 10 or 15 mM N, ranging from 1.25 to 1.52 mg·g−1. Biocontainers increased stem starch concentration with N rates of 0 and 20 mM whereas plastic containers increased stem starch concentrations compared with biocontainers with 10 mM N. Starch concentrations in stems were also affected by the interaction between container type and urea application, where plants grown in biocontainers with no urea produced the highest starch concentration of 1.48 mg·g−1 (Table 5).
Table 4.
Carbohydrate concentrations in Encore® azalea ‘Chiffon’ affected by the N rate and container type interaction.
Table 5.
Concentrations of carbohydrates in Encore® azalea ‘Chiffon’ affected by the interaction between container type and foliar urea application.
Leaf starch concentration was affected by the three-way interaction among N rate, container type, and urea (Figure 2A). Plants grown in plastic containers with no urea and fertilized with 5, 15, and 20 mM N had higher starch concentrations in leaves than those under any other treatment combinations, with 15 mM N producing the highest leaf starch concentration of 3.09 mg·g−1. When grown in plastic containers, urea application decreased leaf starch concentration compared with no-urea application with 5, 15, and 20 mM N. When compared among structure types, a higher starch concentration of 5.96 mg·g−1 was found in roots compared to 2.29 mg·g−1 in stems or 1.91 mg·g−1 in leaves (Table 6).
Figure 2.
Carbohydrate concentrations including starch in leaves (A), glucose in roots (B), and sucrose in roots (C) in Encore® azalea ‘Chiffon’ affected by the interaction among N rate, container type, and foliar urea spray. Different lower-case letters in each chart suggest a significant difference among all treatment combinations indicated by Tukey’s HSD test at p ≤ 0.05.
Table 6.
Distribution of carbohydrates in Encore® azalea ‘Chiffon’ among leaves, stems and roots.
3.7. Glucose Concentrations
Leaf glucose concentration was affected by container type, N rate, and urea separately without interaction. Among N rates, 15 and 20 mM N resulted in the highest glucose concentrations in leaves (Table 2). Biocontainers resulted in a higher leaf glucose concentration of 1.88 mg·g−1 compared to plastic containers of 1.69 mg·g−1 (Table 3). Urea treatment resulted in lower leaf glucose concentration of 1.72 mg·g−1 compared to the no-urea treatment of 2.13 mg·g−1 (data not shown).
Glucose concentration in stems were affected by the N rate and container type interaction (Table 4) and the container type and urea interaction (Table 5). When grown in biocontainers, a N rate of 10 mM produced the highest concentration of stem glucose, whereas stem glucose concentration was generally similar among N rates when grown in plastic containers. Biocontainers produced higher stem glucose concentrations than plastic containers, with N rates of 10 and 20 mM N (Table 4). The combination of biocontainer and urea application produced the highest stem glucose of 0.98 mg·g−1.
Glucose concentration in roots were affected by the three-way interaction among N rate, container type, and urea application (Figure 2B). Nitrogen rate of 10 mM grown with biocontainers and no-urea treatment resulted in the highest root glucose concentration among all treatment combinations. The no-urea treatment resulted in higher root glucose than the urea treatment with 0, 5, and 10 mM N in both container types. Biocontainers increased root glucose concentrations at 10 and 20 mM N without urea, and at 15 mM N with urea compared with plastic containers.
3.8. Fructose Concentrations
Fructose concentrations in leaves were affected by the main effects of N rate, container type, and urea treatment separately. N rates of 5, 15, and 20 mM resulted in higher fructose concentrations of 1.99 to 2.08 mg·g−1 compared to 0 or 10 mM N (Table 2). Biocontainers increased leaf fructose concentrations by 24.7% compared with plastic containers (Table 3). Urea treatment decreased leaf fructose concentrations by 28.9% compared with the no-urea treatment (data not shown).
Fructose concentrations in stems were affected by the N rate and container type interaction, as well as the N rate and urea interaction (Table 4 and Table 7). Plants fertilized with 10 mM N and grown with biocontainers had the highest stem fructose concentrations (Table 4). Biocontainers increased stem fructose compared to plastic containers with 10, 15, and 20 mM N. Additionally, 10 mM N and no urea produced the highest stem fructose concentrations, similar to those fertilized with 10 or 15 mM N with urea, and higher than any other treatment combinations (Table 7).
Table 7.
Carbohydrate concentrations in Encore® azalea ‘Chiffon’ affected by the N rate and foliar urea application interaction.
Fructose concentrations in roots were similarly affected by the N rate and container type interaction, and the N rate and urea interaction (Table 4 and Table 7). The combination of 10 mM N and biocontainers resulted in the highest fructose concentrations in roots among all treatment combinations. Biocontainers increased root fructose concentrations compared with plastic containers with 10 and 20 mM N (Table 4). Urea treatment decreased root fructose concentration compared to no-urea treatment with 0 to 15 mM N (Table 7).
3.9. Sucrose Concentrations
Sucrose concentration in leaves were affected by two interactions: between N rate and urea application, and between container type and urea application. The combination of plastic container and no-urea treatment resulted in the highest leaf sucrose concentration of 4.05 mg·g−1, followed by biocontainers with or without urea treatment (Table 5). A nitrogen rate of 20 mM with no urea treatment produced the highest leaf sucrose concentration of 4.60 mg·g−1 (Table 7).
Sucrose concentrations in stems varied among N rates but were not affected by container type or urea application. Nitrogen rates of 10 and 15 mM resulted in higher stem sucrose concentrations of 1.74 mg·g−1 and 1.64 mg·g−1, respectively, compared to 0, 5, or 20 mM N (Table 2).
Sucrose concentrations in roots were affected by the three-way interaction among N rate, container type, and urea treatment (Figure 2C). The highest root sucrose concentration of 2.97 mg·g−1 resulted from the combination of N10-B-W. Urea application decreased root sucrose concentration with 10 mM N and biocontainers. Biocontainers produced higher sucrose concentrations in roots than plastic containers did, using 10 mM N with or without urea and using 15 mM N with urea.
Among the three structures, leaves contained higher concentrations of glucose, fructose, and sucrose than stems or roots did, with stems having higher concentrations of fructose and glucose than roots. There were no significant differences in sucrose concentrations between stems and roots (Table 6).
4. Discussion
Azalea plants, known as light feeders with low nitrogen requirements, did not respond to increasing N rate to the same extent as reported for hydrangea, known as a heavy feeder, when plant dry weight and N concentration in hydrangea increased with increasing N rates from 0 to 20 mM [4,6]. Nitrogen rates of 10, 15 and 20 mM generally produced similar plant sizes, dry weights (in any structure or the entire plant), leaf and root growth within one container type, suggesting that 10 mM N might be sufficient for producing a quality plant of Encore® azalea ‘Chiffon’. This dwarf cultivar ‘Chiffon’ was slow-growing, with one of the lowest growth rates in the Encore® azalea series. With a sufficient N supply, Gastal and Lemaire [7] considered the uptake of N to be regulated by the internal requirements of a plant, i.e., the plant growth rate. For this reason, increasing N supply will not increase plant growth. When fertilized with 10, 15, or 20 mM N, biocontainer-grown plants had higher readings of the aforementioned response variables than did plastic-container-grown plants at a given N rate. Therefore, the paper biocontainers used in this study produced larger plant than plastic containers did by increasing plant growth rate during the growing season.
The superior effects of using the biocontainers became significant later on in the season in September, when there could be a second growth flush (data not shown). This is corroborated by our previous study investigating the seasonal growth and N requirement of the same Encore® azalea cultivar [32]. Greater PGIs resulted from the use of plastic containers early in the season, whereas the use of biocontainers with higher N rates resulted in higher PGI from mid-September through to plant harvest. The paper biocontainers were reported to use more water than traditional plastic containers with increased evaporative loss through the container side wall [26,27,28]. However, increased water use introduced an evaporative cooling effect, which was reported to reduce heat stress and enhance plant growth under hot summer conditions [28]. In our study, azalea plants grown in full sun likely benefited from this cooling effect with the use of the biocontainers.
Similar beneficial effects in increasing the plant size and shoot dry weight of dwarf Burford holly (Ilex cornuta ‘Burfordii Nana’) were found when using fabric containers with increased sidewall evaporation and increased irrigation demand. The fabric containers were also reported to reduce the substrate temperature and reduce leachate loss of N and P loss by 30% and 47%, compared with conventional plastic containers, respectively [33]. The effect of biocontainers on plant growth can be species-dependent. For example, the same paper biodegradable containers resulted in similar plant sizes and dry weights to the plastic containers when they were used to grow Hydrangea macrophylla ‘Merritt’s Supreme’ with high water and nutrient requirements [6].
When the effect of container type on carbohydrates was significant, biocontainers generally increased concentrations of sucrose, fructose, glucose, and starch compared to plastic containers, except that plastic containers resulted in higher starch concentrations than biocontainers in roots. In addition, biocontainers also increased flower counts and plant N concentration with urea treatment. Such results confirmed that the paper biocontainers used in the study increased plant growth, N uptake, and carbohydrate concentration by promoting a larger and heathier azalea plant.
The application of urea in our study increased N concentrations in the azalea plants without altering biomass. Improved N status was also found in rhododendron (Rhododendron ‘P.J.M’), azalea (Rhododendron ‘Cannon’s Double’), and hydrangea (Hydrangea macrophylla ‘Merritt’s Supreme’) [4,34]. Rhododendrons and azaleas sprayed with urea had more new growth in the following spring whether they received fertilizer in spring or not [34]. In our study, increasing the N fertigation rate from 0 to 20 mM did not result in increased plant N concentration, with plants fertilized with 20 mM N showing stress symptoms to certain degrees. Foliar urea treatment may serve as a good alternative to increase N reserve for better spring growth. Azalea leaves grown in biocontainers fertilized with 0 and 5 mM N showed the highest N concentrations after the urea spray, suggesting that N-deficient plants can be more efficient in absorbing foliar-applied urea.
The effect of urea on carbohydrate concentrations was opposite to the effect on N concentrations. Urea spray decreased carbohydrate concentrations, including fructose, glucose, and sucrose in leaves and roots as well as starch in leaves. These results are in agreement with the effect of the urea application reported in almond trees and ‘Concord’ grapevines [5,12,13]. The decreased carbohydrate concentrations were attributed to the increased N assimilation and improved plant N status caused by increasing the N fertigation rate or application of urea [12].
Depending on plant species, either N or carbohydrate reserves can be considered as the main resources for promoting spring growth [5,12,15]. There have been no reports regarding the effect of the major form of nutrient reserves on any of the Encore® azalea cultivars. The major forms of carbohydrate and storage N also vary among species. Bi et al. [12] suggested that protein was the primary form of storage N for almond trees. Cheng et al. [5] concluded that nitrogen reserves, instead of carbohydrates, were mainly responsible for both the vegetative growth and fruiting of young ‘Concord’ vines. Similar conclusions were reported in young apple trees [15]. Good N status in the current growing season can be important in sustaining the reblooming of the Encore® azalea ‘Chiffon’, which requires further investigations in plant growth and flower production during multiple growing seasons.
5. Conclusions
In conclusion, a nitrogen rate of 10 mM can be used as the economically optimal rate for the plant growth and flower production of Encore azalea ‘Chiffon’, given that high nitrogen rates of 10, 15, and 20 mM generally produced similar plant sizes, dry weights, leaf areas, and root growth in biocontainers or plastic containers. With sufficient N supply of 10 to 20 mM, the paper biocontainers resulted in superior azalea plants by increasing biomass production compared with plastic containers, and therefore serve as a good sustainable alternative to conventional plastic containers. Foliar urea application was effective in improving the N status of the tested azalea cultivars without affecting plant biomass.
Author Contributions
Conceptualization, G.B., T.L.; investigation, T.L., X.Z., T.C.B.; writing—original draft preparation, T.L.; writing—review and editing, T.L., G.B., R.L.H., T.C.B.; funding acquisition, T.L. and G.B. All authors have read and agreed to the published version of the manuscript.
Funding
This work was supported by the Mississippi Agriculture and Forestry Experiment Station and the United States Department of Agriculture (USDA) National Institute of Food and Agriculture Hatch projects MIS-249180 and MIS-112040.
Institutional Review Board Statement
Not applicable.
Informed Consent Statement
Not applicable.
Acknowledgments
The authors would like to thank Robert E. “Buddy” Lee from Plant Development Services, Inc. for his in kind donation of plant materials for this study.
Conflicts of Interest
The authors declare no conflict of interest.
References
- United States Department of Agriculture. National Agricultural Statistics Service. Floriculture Crops 2018 Summary; Washington, DC, USA. 2019. Available online: https://www.nass.usda.gov/Publications/Todays_Reports/reports/floran19.pdf (accessed on 17 May 2022).
- Wilson Bros Nursery. Encore Azaleas. 2022. Available online: https://www.wilsonbrosgardens.com/encore-azaleas.html (accessed on 17 May 2022).
- Bi, G.; Scagel, C.F.; Cheng, L.; Dong, S.; Fuchigami, L.H. Spring growth of almond nursery trees depends upon nitrogen from both plant reserves and spring fertilizer application. J. Hortic. Sci. Biotechnol. 2003, 78, 853–858. [Google Scholar] [CrossRef]
- Bi, G.; Scagel, C.F.; Harkess, R.L. Rate of nitrogen fertigation during vegetative growth and spray application of urea in the fall alters growth and flowering of florists’ hydrangeas. HortScience 2008, 43, 472–477. [Google Scholar] [CrossRef]
- Cheng, L.; Xia, G.; Bates, T. Growth and fruiting of young ‘Concord’ grapevines in relation to reserve nitrogen and carbohydrates. J. Am. Soc. Hortic. Sci. 2004, 129, 660–666. [Google Scholar] [CrossRef]
- Li, T.; Bi, G.; Harkess, R.L.; Denny, G.C.; Scagel, C. Nitrogen fertilization and irrigation frequency affect hydrangea growth and nutrient uptake in two container types. HortScience 2019, 54, 167–174. [Google Scholar] [CrossRef] [Green Version]
- Gastal, F.; Lemaire, G. N uptake and distribution in crops: An agronomical and ecophysiological perspective. J. Exp. Bot. 2002, 53, 789–799. [Google Scholar] [CrossRef] [Green Version]
- Scagel, C.F.; Bi, G.; Fuchigami, L.H.; Regan, R.P. Effects of irrigation frequency and nitrogen fertilizer rate on water stress, nitrogen uptake, and plant growth of container-grown rhododendron. HortScience 2011, 46, 1598–1603. [Google Scholar] [CrossRef] [Green Version]
- Scagel, C.F.; Bi, G.; Fuchigami, L.H.; Regan, R.P. Irrigation frequency alters nutrient uptake in container-grown Rhododendron plants grown with different rates of nitrogen. HortScience 2012, 47, 189–197. [Google Scholar] [CrossRef]
- Li, T.; Bi, G.; Harkess, R.L.; Denny, G.C.; Blythe, E.K.; Zhao, X. Nitrogen rate, irrigation frequency, and container type affect plant growth and nutrient uptake of Encore azalea ‘Chiffon’. HortScience 2018, 53, 560–566. [Google Scholar] [CrossRef] [Green Version]
- Li, T.; Bi, G.; Zhao, X.; Harkess, R.L.; Scagel, C. Nitrogen fertilization, container type, and irrigation frequency affect mineral nutrient uptake of hydrangea. Water 2020, 12, 1987. [Google Scholar] [CrossRef]
- Bi, G.; Scagel, C.F.; Cheng, L.; Fuchigami, L.H. Soil and foliar nitrogen supply affects the composition of nitrogen and carbohydrates in young almond trees. J. Hortic. Sci. Biotechnol. 2004, 79, 175–181. [Google Scholar] [CrossRef]
- Xia, G.; Cheng, L. Foliar urea application in the fall affects both nitrogen and carbon storage in young ‘Concord’ grapevines under a wide range of nitrogen supply. J. Am. Soc. Hortic. Sci. 2004, 129, 653–659. [Google Scholar] [CrossRef] [Green Version]
- Scagel, C.F.; Bi, G.; Fuchigami, L.H.; Regan, R.P. Rate of nitrogen application during the growing season and spraying plants with urea in the autumn alters uptake of other nutrients by deciduous and evergreen container-grown Rhododendron cultivars. HortScience 2008, 43, 1569–1579. [Google Scholar] [CrossRef] [Green Version]
- Cheng, L.; Fuchigami, L.H. Rubisco activation state decreases with increasing nitrogen content in apple leaves. J. Exp. Bot. 2002, 51, 1687–1694. [Google Scholar] [CrossRef] [Green Version]
- Dennis, J.L.; Lopez, R.G.; Behe, B.K.; Hall, C.R.; Yue, C.; Campbell, B.I. Sustainable production practices adopted by greenhouse and nursery plant growers. HortScience 2010, 45, 1232–1237. [Google Scholar] [CrossRef] [Green Version]
- Hall, T.J.; Dennis, J.H.; Lopez, R.G.; Marshall, M.I. Factors affecting grower’s willingness to adopt sustainable floriculture practices. HortScience 2009, 44, 1346–1351. [Google Scholar] [CrossRef]
- Hall, C.R.; Campbell, B.J.; Behe, B.K.; Yue, C.; Lopez, R.G.; Dennis, J.H. The appeal of biodegradable packaging to floral consumers. HortScience 2010, 45, 583–591. [Google Scholar] [CrossRef]
- Yue, C.; Dennis, J.H.; Behe, B.K.; Hall, C.R.; Campbell, B.L.; Lopez, R.G. Investigating consumer preferences for organic, local, or sustainable plants. HortScience 2011, 46, 610–615. [Google Scholar] [CrossRef] [Green Version]
- Juanga-Labayen, J.P.; Yuan, Q. Making biodegradable seedling pots from textile and paper waster-part B: Development and evaluation of seedling pots. Int. J. Environ. Res. Public Health 2021, 18, 7609. [Google Scholar] [CrossRef]
- Beeks, S.A.; Evans, M.R. Growth of cyclamen in biocontainers on an ebb-and-flood subirrigation system. HortTechnology 2013, 23, 173–176. [Google Scholar] [CrossRef] [Green Version]
- Evans, M.R.; Hensley, D.L. Plant growth in plastic, peat, and processed poultry feather fiber growing containers. HortScience 2004, 39, 1012–1014. [Google Scholar] [CrossRef] [Green Version]
- Evans, M.R.; Karcher, D. Properties of plastic, peat, and processed poultry feather fiber growing containers. HortScience 2004, 39, 1008–1011. [Google Scholar] [CrossRef] [Green Version]
- Kuehny, J.S.; Taylor, M.; Evans, M.R. Greenhouse and landscape performance of bedding plants in biocontainers. HortTechnology 2011, 21, 155–161. [Google Scholar] [CrossRef] [Green Version]
- Li, T.; Bi, G.; Niu, G.; Nambuthiri, S.S.; Geneve, R.L.; Wang, X.; Fernandez, T.; Sun, Y.; Zhao, X. Feasibility of using biocontainers in a pot-in-pot system for nursery production of river birch. HortTechnology 2015, 25, 57–62. [Google Scholar] [CrossRef] [Green Version]
- Koeser, A.; Lovell, S.T.; Evans, M.; Stewart, J.R. Biocontainer water use in short-term greenhouse crop production. HortTechnology 2013, 23, 215–219. [Google Scholar] [CrossRef] [Green Version]
- Wang, X.; Fernandez, R.T.; Cregg, B.M.; Auras, R.; Fulcher, A.; Cochran, D.R.; Niu, G.; Sun, Y.; Bi, G.; Nambuthiri, S.; et al. Multistate evaluation of plant growth and water use in plastic and alternative nursery containers. HortTechnology 2015, 25, 42–49. [Google Scholar] [CrossRef] [Green Version]
- Nambuthiri, B.; Geneve, R.L.; Sun, Y.; Wang, X.; Fernandez, R.T.; Niu, G.; Bi, G.; Fulcher, A. Substrate temperature in plastic and alternative nursery containers. HortTechnology 2015, 25, 50–56. [Google Scholar] [CrossRef] [Green Version]
- Nelson, D.W.; Sommers, L.E. Total Carbon, Organic Carbon, and Organic Matter. In Methods of Soil Analysis, Part, 3-Chemical Methods; Sparks, D.L., Ed.; SSSA: Madison, WI, USA, 1996; pp. 961–1010. [Google Scholar]
- Smith, A.M.; Zeeman, S.C. Quantification of starch in plant tissues. Nat. Protoc. 2006, 1, 1342–1345. [Google Scholar] [CrossRef]
- Barickman, T.C.; Kopsell, D.A.; Sams, C.E. Abscisic acid impacts tomato carotenoids, soluble sugars, and organic acids. HortScience 2016, 51, 370–376. [Google Scholar] [CrossRef] [Green Version]
- Li, T.; Bi, G.; Harkess, R.L. Seasonal growth and nitrogen uptake of Encore azalea ‘Chiffon’ affected by nitrogen availability and containers. HortScience 2019, 54, 948–954. [Google Scholar] [CrossRef] [Green Version]
- Million, J.B.; Yeager, T.H. Fabric containers increased irrigation demand but decreased leachate loss of nitrogen and phosphorus compared with conventional plastic containers during production of dwarf burford holly. HortScience 2022, 57, 743–749. [Google Scholar] [CrossRef]
- Bi, G.; Scagel, C.F.; Fuchigami, L.H.; Regan, R.P. Rate of nitrogen application during the growing season alters the response of container-grown rhododendron and azalea to foliar application of urea in the autumn. J. Hortic. Sci. Biotechnol. 2007, 82, 753–763. [Google Scholar] [CrossRef]
Publisher’s Note: MDPI stays neutral with regard to jurisdictional claims in published maps and institutional affiliations. |
© 2022 by the authors. Licensee MDPI, Basel, Switzerland. This article is an open access article distributed under the terms and conditions of the Creative Commons Attribution (CC BY) license (https://creativecommons.org/licenses/by/4.0/).

