Abstract
Bamboo shoot is a delicious and nutritious forest vegetable. It has been found that bamboo shoots collected from low-light environments have a less bitter taste. The molecular mechanism of light in the regulation of bitter substance accumulation in bamboo shoots is still unclear. In this study, we applied a shading treatment to Pleioblastus amarus bamboo shoots in the preharvesting period. The reduction in the bitterness intensity was confirmed by a sensory test. An integrated metabolomic and transcriptomic analysis was performed on P. amarus bamboo shoots grown under shading treatment and normal growing conditions, and 56 differentially accumulated metabolites and 178 differentially expressed genes were identified. The results showed that the contents of a series of phenolic acids related to the tyrosine metabolism pathway were downregulated under shading treatment, revealing that shading decreased the accumulation of phenolic acids and further mediated the resulting bitter taste of the bamboo shoots. This work will be helpful for understanding the regulatory mechanisms governing the bitter tasting substances in bamboo shoots grown under a shading treatment and provides a reference for the use of shading treatment in cultivation practices to improve the taste of bamboo shoots.
1. Introduction
Bamboo is widely distributed in Southeast Asia, Africa, and Latin America. Bamboo shoots are enlarged buds or young stems formed following the germination of buds on the bamboo whip or stalk base. Characterized by low fat, high dietary fiber, and high protein levels with a distinctive flavor, bamboo shoots have been valued for centuries as a highly palatable delicacy in forest vegetables. The edible shoots of many bamboo species are bitter tasting to some extents. In certain foods and beverages, such as dark chocolate, tea, and coffee, bitterness may be appreciated; in most cases, however, bitterness in foods is undesired and efforts are made to reduce it. There are various bitter-tasting substances that contribute to bitterness in food and lead to different degrees of bitterness. Amino acids are of nutritional significance, and most L-type amino acids are bitter-tasting, especially L-phenylalanine and L-tryptophan, which have the strongest bitter taste [1,2]. Cucurbitacins are a group of highly oxygenated tetracyclic triterpenes that confer a bitter taste in members of the plant family Cucurbitaceae [3,4]. Limonin and nomilin are the predominant limonoids of citrus fruit, which are responsible for imparting a bitter and metallic taste of oranges and related products [5,6]. An appropriate intake of bitter substances can be beneficial to human health, whereas drastic amounts of bitterness will exert an unpleasant effect on taste and negatively influence the consumption of food.
The general nutrients in bamboo shoots, such as protein, dietary fiber, and polysaccharides, have been documented extensively [7,8,9], whereas the relationship between specific metabolites and bitterness in bamboo shoots has not yet been completely clarified. In our previous research, the bitterness of 16 kinds of bamboo shoots was examined via sensorial evaluation, and it was found that P. amarus bamboo shoots had a unique and more obvious bitterness than other varieties. Subsequently, a phytochemical investigation was conducted and 14 compounds were isolated. The contents of these 14 compounds in all of the 16 kinds of bamboo shoots were examined, and the results showed that the bitterness of bamboo shoots was largely related to the contents of L-phenylalanine [10].
In recent years, the metabolomics-based flavoromics and nutriomics approaches have been widely used in the field of horticulture, such as for the identification of major flavor substances and nutrients in different cultivars of kiwifruit [11], matrimony vine [12], and loquat [13]. In field experiments, it was observed that bamboo shoots grown in low-light conditions have a significantly less bitter and astringent taste, and they are more easily accepted by consumers. The metabolic causes of the differences in the bitter taste of bamboo shoots and their regulation by light are unknown due to the lack of a large-scale and comprehensive investigation of metabolites. In this study, we analyzed the metabolite alterations in P. amarus bamboo shoots grown under shading treatment and normal growing conditions using widely targeted LC-MS/MS-based metabolomics. The main bitter metabolites regulated by light in P. amarus bamboo were identified. Furthermore, combined with transcriptomics data, the related biosynthetic pathways and regulatory mechanisms were verified.
2. Materials and Methods
2.1. Plant Materials and Sample Preparation
The selected experimental site was in Changning County, Yibin City, Sichuan Province, China (28°409″ N; 104°897″ E), which is rich in P. amarus bamboo resources. The experiment was carried out in early April, which is the preharvesting period for P. amarus bamboo shoots. The shading treatment was conducted as follows: 32 underground P. amarus bamboo shoots were located and covered with 45 × 70 cm kraft paper bags above the ground, and 60 × 90 cm black polyethylene bags were used as the outer layer to ensure the light transmittance was 0. In the same bamboo forest, another 32 underground P. amarus bamboo shoots were selected as the control group and left under normal growing conditions (i.e., no shading treatment).
After 4 days of growth, all 64 bamboo shoots were sampled. P. amarus bamboo shoots were collected, unshelled, frozen immediately in liquid nitrogen in the field, transported to the laboratory, and then stored at −80 °C in a refrigerator until further use. Four biological repeats were set up in each group, and eight bamboo shoot samples were mixed to represent one biological replicate. Samples from the shading and control groups were named BGMs and ZRMs, respectively.
2.2. Sensory Test of P. amarus Bamboo Shoots Grown under Shading Treatment and Normal Growing Conditions
The sensory evaluation was conducted according to the standard method of Sensory analysis—Methodology—Duo-trio test (ISO 10399:2017). Twenty-four volunteers were recruited for the test. Thirty-six A samples (i.e., control group) and 36 B samples (i.e., shading group) were prepared. Among them, 12 “AR” samples and 12 “BR” samples were labeled as reference samples. Twenty-four “A” samples and 24 “B” samples were each assigned a unique, random, three-digit number digits, and were then divided into the following four groups: ARAB, BRAB, ARBA, and BRBA. The volunteers first tasted the reference samples, spit out them out, and gargled, and then they blind tested two coded samples. The volunteers were informed that one sample had the same bitterness intensity as the reference sample, and the other one had a lower bitterness intensity. Volunteers were asked to point out the sample that shared the same bitterness level as the reference sample, and the recorder recorded the number of correct results for each volunteer.
2.3. Metabolite Extraction and Analysis
2.3.1. Sample Extraction
Sample extraction was performed following the method described by Chen et al. [14]. After freeze-drying, the samples of P. amarus bamboo shoots were ground at 30 Hz for 1.5 min using a mixing mill with zirconia beads (MM 400, Retsch); a 100 mg P. amarus bamboo shoot sample was extracted overnight at 4 °C with 1.2 mL of 70% methanol, after which it was centrifuged at 12,000 rpm for 10 min at 4 °C and the supernatant was removed. Before UPLC-MS/MS analysis, the sample solution was filtered with a 0.22 um pore membrane.
2.3.2. UPLC and ESI-Q TRAP-MS/MS
The UPLC-MS/MS analysis was performed by Metware Biotechnology Co., Ltd. (Wuhan, China). The analytical conditions were as follows: UPLC column, Agilent SB-C18 (1.8 µm, 2.1 × 100 mm). The mobile phase consisted of solvent A, pure water with 0.1% formic acid; solvent B, acetonitrile with 0.1% formic acid. The gradient was 0 min, 5% B; 9 min, 95% B; 10.1 min, 95% B; 11 min, 5% B; 14 min, 5% B. The flow rate was 0.40 mL/min at a temperature of 40 °C. The injection volume was 4 µL.
LIT and triple-quadrupole (QQQ) scans were acquired on a triple-quadrupole linear ion trap mass spectrometer (Q TRAP), AB4500 Q TRAP UPLC/MS/MS System, equipped with an ESI Turbo Ion-Spray interface, operating in positive and negative ion modes and controlled by Analyst 1.6.3 software (AB Sciex). The ESI source operation parameters were as follows: ion source, turbo spray; source temperature, 550 °C; ion spray voltage (IS), 5500 V (positive ion mode)/−4500 V (negative ion mode). The ion source gas I (GSI), gas II (GSII), and curtain gas (CUR) were set at 50, 60, and 25.0 psi, respectively. The collision-activated dissociation (CAD) was high. Instrument tuning and mass calibration were performed with 10 and 100 µmol/L polypropylene glycol solutions in the QQQ and LIT modes, respectively. The QQQ scans were acquired as multiple reaction monitoring (MRM) experiments with the collision gas (nitrogen) set to medium. The Declustering potential (DP) and Collision energy (CE) for individual MRM transitions were performed with further DP and CE optimization; a specific set of MRM transitions were monitored for each period according to the metabolites eluted within this period.
Quality control (QC) samples in the experiments were prepared by mixing equal volumes of bamboo shoot samples from the shading and CK groups. During the analysis, 1 QC sample was analyzed for every 10 test samples to monitor the repeatability of the analysis process.
2.3.3. MS Date and Statistical Analysis
MS data acquisition and processing were performed following the method described previously [14]. Briefly, the mass spectrum data were processed by Software Analyst 1.6.3. (AB SCIEX, Concord ON, Canada). Based on the self-compiled MetWare database and metabolite information from public databases, the metabolites were subjected to qualitative analysis by comparing the accurate precursor ions (Q1), product ion (Q3) values, and the retention time (RT). The quantification of metabolites was completed by the MRM mode analysis of triple quadrupole mass spectrometry. The characteristic ions of each metabolite were obtained through triple quadrupole screening. After obtaining the metabolite mass spectrometry analysis data of different samples, the mass spectrometry peaks of all substances were integrated and corrected.
Unsupervised principle component analysis (PCA) was undertaken using the statistics function prcomp within R v3.5.0 (www.r-project.org) (accessed on 25 May 2022) [15]. Supervised multiple regression orthogonal partial least squares discriminant analysis (OPLS-DA) model was performed using MetaboAnalystR software package in R [16]. Hierarchical clustering analysis was performed using pheatmap software package in R. Differentially accumulated metabolites (DAMs) were identified via multivariate analysis based on the fold change (FC ≥ 2 or ≤ 0.5) and variable importance in projection of OPLS-DA model (VIP ≥ 1). Additionally, the DAMs were annotated according to the KEGG database (http://www.kegg.jp/kegg/compound/) (accessed on 25 May 2022) and mapped to KEGG pathways (http://www.kegg.jp/kegg/pathway.html) (accessed on 25 May 2022), and their significance was determined by the p-values according to hypergeometric testing.
2.4. RNA-Seq Analysis
The samples of P. amarus bamboo shoots grown under shading treatment and normal growing conditions were submitted to total RNA extraction and subjected to transcriptome sequencing. The sequencing libraries were generated using the NEB-Next®UltraTM RNA Library Prep Kit for Illumina® (New England Biolabs, Ipswich, MA, USA) following the manufacturer’s recommendations, and index codes were added to attribute sequences to each sample. The library preparations were sequenced on an Illumina HiSeq X Ten platform (Illumina, Inc., San Diego, CA, USA). High-quality sequences were obtained by removing the sequences of the adaptor and the low-quality reads (Q ≤ 20), then reassembling the transcriptome data utilizing the software Trinity.2.6.6 [17]. The clean reads were mapped to the reference gene and the genome using the software RSEM 1.3.1 [18].
Statistical analysis of differential expression was performed in the R programing language with DESeq [19]. To accurately identify differentially expressed genes (DEGs), the Benjamini–Hochberg method was also used to correct the hypothesis test probability (p-value) to obtain the false discovery rate (FDR). The screening criteria of DEGs was a fold change ≥2 or a fold change ≤0.5 and an FDR ≤ 0.05. The UniGene sequence was analyzed against KEGG [20], NR [21], Swiss-Prot [22], GO [23], COG/KOG [24], and Trembl [25] databases using DIAMOND BLASTX software for gene function annotation, setting the e-value as 1 × e−5 [26].
2.5. Real-Time Quantitative PCR (RT-qPCR) Analysis
Total RNA was extracted using a modified CTAB method following the manufacturer’s protocol (Tiangen Biotech, Dalian, China; code: FP204) [27]. The first strand of the reverse-transcribed cDNA was synthesized using the specifications of the Monad first-strand cDNA Synthesis Kit. The primers were designed using NCBI’s primer designing tool, PRIMER-BLAST (Supplementary Materials Table S1). The ABI7500 quantitative PCR instrument was adopted to perform real-time fluorescence quantitative PCR. The rice actin gene (LOC112876597) was selected as a reference gene in the study. All data were obtained from three biological repetitions and experiments were repeated three times. The RT-qPCR analysis was performed by Norminkoda Biotechnology Co., Ltd. (Wuhan, China).
3. Results
3.1. Modification of the Perceived Bitterness of P. amarus Bamboo Shoots Grown under Shading Treatment
To examine the effect of shading treatment on reducing the bitter taste of P. amarus bamboo shoots, the sensory attributes of bamboo shoot samples were evaluated according to the ISO 10399:2017 standards. A minimum number of correct answers was required to infer the existence of sensory differences; 24 volunteers needed to have 19 correct answers to be able to obtain an α = 0.01 level of significance to infer a sensory difference. In our test, 20 out of the 24 volunteers correctly distinguished the samples with lower bitterness intensity; therefore, it can be recognized that there was a reduction in the degree of bitterness in P. amarus bamboo shoots grown under shading treatment at the 99% confidence level.
3.2. Overview of the Metabolic Profile of P. amarus Bamboo Shoots
To understand the effect of shading treatment on the metabolic profile of P. amarus bamboo shoots, a widely targeted UPLC-MS/MS metabolomic analysis was performed. In total, 1102 metabolites were identified that could be classified into nine categories, including 100 amino acids and derivatives, 174 phenolic acids, 214 flavonoids, 54 nucleotides and derivatives, 33 lignin and coumarins, 82 alkaloids, 157 lipids, 92 organic acids, and 41 terpenes (Supplementary Materials Table S2). The datasets of detected and quantified metabolites in P. amarus bamboo shoots grown under shading treatment and normal growing condition were subjected to PCA and OPLS-DA analysis (Supplementary Materials Figures S1 and S2), and a heatmap of all of the metabolites was generated (Figure 1). The results showed that the metabolites in the two groups were different, indicating a response to shading treatment at the metabolome level in P. amarus bamboo shoots.
Figure 1.
Heatmap visualization of 1102 detected metabolites in P. amarus bamboo shoots grown under shading treatment and normal growing conditions. Different colors in the cluster heat map are the values obtained after the standardization of relative content (red represents high content, green represents low content). BGM: shading group, ZRM: control group.
3.3. Differentially Accumulated Metabolite Analysis
Due to the high-dimensional and large-capacity characteristics of metabolomic data, multivariate statistical methods were adopted for the determination of differentially accumulated metabolites (DAMs). In this study, 56 DAMs were identified with a fold change (FC) ≥ 2 or ≤ 0.5 and a VIP ≥ 1 between the shaded and control groups, including 34 increased and 22 decreased metabolites, accounting for approximately 5% of the total identified metabolites (Supplementary Materials Table S3). The DAMs could be divided into eight classes: amino acids and their derivatives, nucleotides and their derivatives, lipids, terpenoids, flavonoids, phenolic acids, organic acids, and tannins.
The clustering result is shown in the heatmap (Figure 2a), and DAMs with different degrees of change were observed. Figure 2b shows the types and proportions of differentially accumulated metabolites of P. amarus bamboo shoots grown under shading treatment and normal growing conditions. Figure 2c shows a volcano plot of the significant differences between the two groups of P. amarus bamboo shoot samples. The abscissa represents the log2 value of FC, the ordinate represents the VIP value, and each point represents one metabolite. Flavonoids and phenolic acids accounted for the top two categories of differentially accumulated metabolites. It is well known that flavonoids and phenolic acids have many biological functions and play important roles in plant growth, development, and response to various biological and abiotic stresses. Furthermore, most flavonoids and phenolic acids have a bitter taste; therefore, shading treatment might affect the biosynthesis and accumulation of flavonoids and phenolic acids in P. amarus bamboo shoots, leading to a reduction in bitterness.

Figure 2.
Differentially accumulated metabolite analysis: (a) heatmap visualization of the differentially accumulated metabolites identified between P. amarus bamboo shoots grown under shading treatment and normal growing conditions; BGM: shading group, ZRM: control group; (b) pie chart of the biochemical categories of the differentially accumulated metabolites identified between P. amarus bamboo shoots grown under shading treatment and normal growing conditions; (c) volcano plot of the differentially accumulated metabolites identified between P. amarus bamboo shoots grown under shading treatment and normal growing conditions.
3.4. KEGG Annotation and Classification of Differentially Accumulated Metabolites in P. amarus Bamboo Shoots Grown under Shading Treatment and Normal Growing Conditions
We mapped the differentially accumulated metabolites to the KEGG database. The results showed that 56 DAMs mapped to 25 metabolic pathways (Figure 3). Under shading treatment, the most affected metabolic pathway in P. amarus bamboo shoots was photosynthesis, which was as expected. Significantly enriched pathways were ABC transporter, ubiquinone and other terpenoid-quinone biosynthesis, glutathione metabolism, arginine biosynthesis, and tyrosine metabolism. The KEGG classification indicated that the DAMs in P. amarus bamboo shoots grown under shading treatment and normal growing conditions were mainly related to the responses of secondary metabolites to stresses and biosynthesis.
Figure 3.
KEGG enrichment map of the differentially accumulated metabolites between P. amarus bamboo shoots grown under shading treatment and normal growing conditions.
3.5. Changes in the Flavonoid Contents of P. amarus Bamboo Shoots Grown under Shading Treatment
Our quantitative analysis focused on the classes of metabolites likely to be major contributors to the bitter taste. Flavonoids are the general name for a series of compounds with C6-C3-C6 as the carbon skeleton. There were 214 flavonoids detected in the P. amarus bamboo shoots. The contents of the 69 flavonoids in the P. amarus bamboo shoots decreased under shading treatment, including a number of typical bitter flavonoids such as tricin, naringenin, apigenin, and quercetin-3-O-rutinoside (rutin), which decreased by 19%, 18%, 12%, and 8%, respectively. There were 20 flavonoids, and their derivatives were differentially accumulated. The top three downregulated flavonoids were tri-cin-4′-O-[β-guaiacyl-(9″-O-acetyl)glycerol]ether, which decreased by 92%; cyanidin-3-O-rutinoside, which decreased by 81%; and tricin-4′-O-[β-guaiacyl-(9″-O-p-coumaroyl)glycerol]ether, which decreased by 79% (Figure 4).
Figure 4.
Boxplot of flavonoids and phenolic acids in P. amarus bamboo shoots grown under shading treatment and normal growing conditions. Y-axis represents the peak surface of each metabolite. BGM: shading group, ZRM: control group. Flavonoids: tricin, naringenin, apigenin, rutin, tricin-4′-O-syringyl alcohol, tricin-4′-O-[β-guaiacyl-(9″-O-acetyl)glycerol]ether, cyanidin-3-O-rutinoside, and tricin-4′-O-[β-guaiacyl-(9″-O-p-coumaroyl)glycerol]ether. Phenolic acids: 4-hydroxyphenylacetic acid, 2,5-dihydroxybenzaldehyde, p-hydroxybenzoic acid, rosmarinic acid, 3,4-dihydroxyphenylacetic acid, homogentisic acid, 4-O-methylgallic acid, and rosmarinic acid-3′-O-glucoside.
3.6. Changes in the Phenolic Acid Contents of P. amarus Bamboo Shoots Grown under Shading Treatment
Phenolic acids are a class of aromatic compounds containing carboxyl and hydroxyl groups. Most phenolic acids contribute to bitter taste and astringency in plant-based foods. In our research, 174 phenolic acids were identified in P. amarus bamboo shoots. Compared to the plants grown under normal growing conditions, the contents of 90 phenolic acids decreased in the shading treatment group, including typical bitter phenolic acids 4-hydroxyphenylacetic acid, 2,5-dihydroxybenzaldehyde, and p-hydroxybenzoic acid, which decreased by 47%, 16%, and 23%, respectively. Based on fold changes and VIP values, 10 phenolic acids were identified as differentially accumulated; of these, the content of 3,4-dihydroxyphenylacetic acid decreased by 51%, the content of homogentisic acid decreased by 51%, the content of 4-O-methylgallic acid decreased by 68%, and the content of rosmarinic acid-3′-O-glucoside decreased by 55% (Figure 4).
3.7. Transcriptomic Analysis of P. amarus Bamboo Shoots Grown under Shading Treatment and Normal Growing Conditions
To investigate the changes in gene expression profiles between P. amarus bamboo shoots grown under shading treatment and normal growing conditions, a total of 52.06 Gb of original data was obtained. After filtering out unqualified reads, the average GC was 52.59% and Q30 ≥ 93.84%, indicating that the sequencing dataset was good and could be used for further analysis. Differentially expressed genes (DEGs) between P. amarus bamboo shoots grown under shading treatment and normal growing conditions were surveyed for an FDR ≤ 0.05 and fold change (FC) ≥ 2 and ≤ 0.5, and a total of 178 DEGs were identified; of these, 108 were upregulated and 70 were downregulated.
For the identified DEGs in P. amarus bamboo shoots grown under shading treatment, GO and KEGG enrichment analyses were carried out to further understand their roles and applications. A total of 143 DEGs were annotated to the GO database and these could mainly be categorized into biological process, cellular component, and molecular function. One hundred and twenty-three DEGs were annotated and enriched in 64 different KEGG pathways. The pathway enrichment analysis indicated that most of the DEGs acted on multiple metabolic processes of phenylalanine metabolism, circadian rhythm plant, tyrosine metabolism, indole alkaloid biosynthesis, and biotin metabolism (Supplementary Materials Figures S3 and S4). The pathways linked to these DEGs were closely related to the classification of DAMs, indicating that these mRNAs regulate changes in the abundance of metabolites such as phenolic acids in P. amarus bamboo shoots grown under shading treatment.
3.8. Confirmation of the Transcriptomic Data Using RT-qPCR
To verify the accuracy and reproducibility of the transcriptome analysis results, three genes related to the biosynthesis of bitter phenolic acids in P. amarus bamboo shoot, tyrosine transaminase (Cluster-6304.111403), L-tryptophan decarboxylase (Cluster-6304.108351), and o-aminobenzoic acid synthase (Cluster-6304.105788), were selected as candidate genes, and their expressions were analyzed using RT-qPCR. The results of the candidate genes were in close agreement with the corresponding relative transcript abundances from RNA-Seq, validating the RNA-Seq results for the expression levels of these candidate genes (Supplementary Materials Figure S5).
3.9. Analysis of DEGs and DAMs Related to Bitter Phenolic Acid Metabolism in P. amarus Bamboo Shoots Grown under Shading Treatment and Normal Growing Conditions
Perceived bitter tastes in plant-based foods are affected by many categories of chemical constituents, including bitter amino acids, flavonoids, and phenolic acids. In order to better understand the relationship between metabolites and genes in the biosynthesis of bitter chemical constituents, the identified differentially accumulated metabolites and differentially expressed genes were combined to establish a network, aiming to more intuitively show the pattern of regulation.
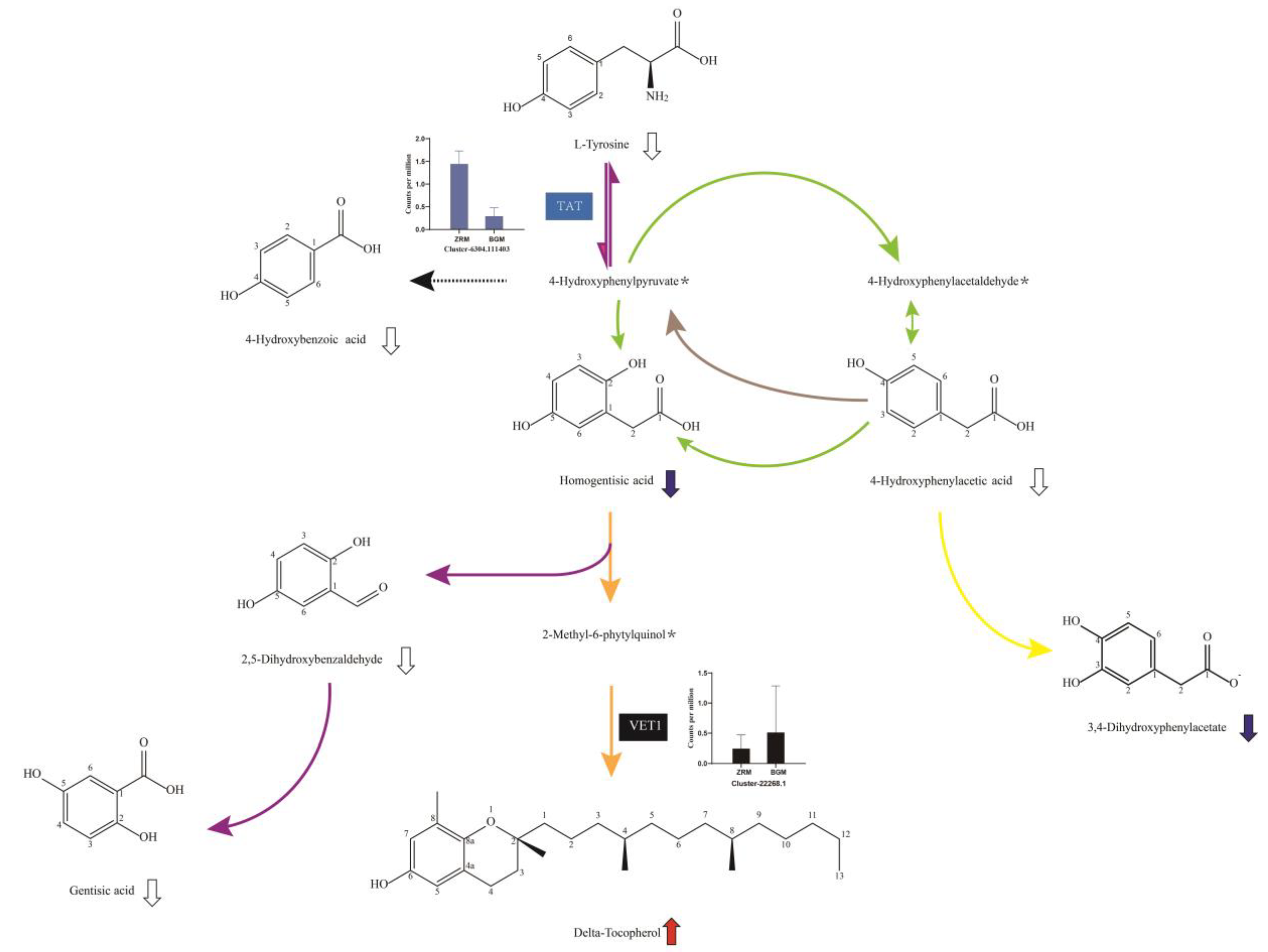
It can be seen in Figure 5 that the differentially downregulated metabolites of phenolic acids with a bitter taste, such as homogentisic acid and 3,4-dihydroxyphenylacetic acid, and the slightly downregulated phenolic acids with a bitter taste, such as gentisic acid, 4-dydroxybenzoic acid, 2,5-dihydroxybenzaldehyde, and 4-hydroxyphenylacetic acid, were all mapped to tyrosine-related metabolic pathways, including tyrosine metabolism, ubiquinone, and other terpenoid-quinone bio-synthesis pathways. We also detected that, in these pathways, the expression levels of tyrosine transaminase (TAT) were differentially downregulated, whereas the level of tocopherol cyclase (VTE1) was upregulated.
Figure 5.
The metabolic pathway map of bitter phenolic acid biosynthesis in P. amarus bamboo shoots grown under shading treatment. Note: Solid arrows show a biosynthetic pathway, dashed arrow shows multiple biosynthetic pathways, white heavy arrows show downregulation of metabolites, red and blue heavy arrows show differential upregulation and downregulation of metabolites, respectively; asterisks show substances not detected in the metabolites of Pleioblastus amarus bamboo shoots. Values in the bar plots are mean of four biological replications. Error bars indicate the standard error of the mean. BGM: shading group, ZRM: control group.
Based on these findings, a model of the bitter phenolic acid metabolic pathway in P. amarus bamboo shoots grown under shading treatment was constructed. The level of L-tyrosine decreased by 21% in P. amarus bamboo shoots grown under shading treatment. L-tyrosine is the universal precursor of a series of bitter phenolic acids in the tyrosine metabolism pathway; the drop in L-tyrosine abundance had a negative correlation with the accumulation of p-hydroxybenzoic acid, 2,5-dihydroxybenzaldehyde, and 4-hydroxyphenylacetic acid, etc. In homogentisic acid biosynthesis, conversion of homogentisic acid from L-tyrosine was adversely affected by the differentially downregulated tyrosine transaminase. Interestingly, the tocopherol cyclase that catalyzes the conversion of homogentisic acid to δ-tocopherol was upregulated and resulted in an increase in δ-tocopherol. With the influence of two aspects, the accumulation of homogentisic acid was differentially downregulated by 51% in P. amarus bamboo shoots grown under shading treatment. Homogentisic acid has been found to be responsible for the unpleasant taste in bamboo shoots [28]; therefore, the decrease in homogentisic acid might be the cause of the reduced bitter taste in P. amarus bamboo shoots grown under shading treatment.
4. Discussion
4.1. Effect of Artificial Shading on the Bitter Taste of P. amarus Bamboo Shoots
Once bamboo shoots have grown above ground, the aerial parts start to lignify and taste bitter, and this phenomenon has been found in both wild and planted bamboo forests. Exposure to light causes the bitterness of bamboo shoots, as bitter-tasting metabolites are formed. Mulching is a conventional method applied in bamboo shoot cultivation; with the increase in temperature and minimization of light, mulched bamboo shoots can be harvested earlier and have a less bitter taste than those grown in natural environmental conditions [29,30]. Light is the most important environmental factor in plant growth, affecting various aspects of morphology, physiology, productivity, and secondary metabolite accumulation. For plant-based foods, metabolite composition is crucial for quality, concerning both flavor and nutritional quality.
Studies have shown that artificial shading treatments have significant effects on the accumulation of key quality-related metabolites in various plant foods. Ascorbic acid in tomato fruit was downregulated by leaf shading, fruit shading, and a combination of both [31]. White cotton yarn and black nylon net were used in shading treatments on rice to simulate different low-light intensity conditions on cloudy days, and the results showed that the weak light quality affected photosynthesis in leaves and regulated starch synthesis, resulting in an increased chalky grain rate [32]. Shading also had positive effects on agricultural products: the yield, sugar content, and phenolic acid contents of coffee beans showed an ideal balance under a 60% shading condition [33]. Shaded grapes had fewer tannins, more flavor, and were more suitable for winemaking than exposed fruits [34].
In the present study, we identified 1102 metabolites in P. amarus bamboo shoots grown under shading treatment and normal growing conditions, and 56 metabolites among them were accumulated differentially. The proportion of DAMs in total metabolites was comparatively lower than those reported in other similar research cases [35,36,37], suggesting that the shading treatment for 4 days did not modify the overall metabolite profile of P. amarus bamboo shoots; in addition, the nutritional quality did not materially change. On the other hand, the sensory testing confirmed that the bitterness of P. amarus bamboo shoots grown under shading treatment was significantly reduced, indicating that the effects of our shading treatment are likely to have been mediated through the precise regulation of the accumulation of bitter-tasting metabolites in P. amarus bamboo shoots.
We used black plastic bags in our shading treatment. Compared to mulching and shading nets, bagging of P. amarus bamboo shoots has advantages in practical operation. Mulching with earth, chaff, or sawdust requires additional transportation of materials and heavy labor, whereas bagging with reusable plastic bags can be easily achieved. Shading with polyester nets is widely used in cultivated land for improving the quality of various agricultural products; however, it is quite difficult to apply on bamboo shoots due to the forest environment. Moreover, shading nets cannot create an absolutely dark environment, which might be crucial for reducing the bitter taste of bamboo shoots. In summary, the shading treatment with plastic bags was low-priced, easy to operate, and effective in the edibility improvement of P. amarus bamboo shoots via accurate reduction in the bitterness intensity without changes in other aspects of the food quality.
4.2. Molecular Basis of Reducing the Bitter Taste of P. amarus Bamboo Shoots Grown under Shading Treatment
Flavonoids are a class of low-molecular-weight polyphenolic secondary metabolites. Flavonoids and their derivatives are widely distributed in plants, fulfilling many functions. The participation of flavonoids in plants’ defense responses against biotic and abiotic stress has been widely discussed [38,39]. Among these responses, UV protection is one of the most significant functional roles for flavonoids in plants. Previous studies have shown that the accumulation of flavonoids in plants is generally upregulated with exposure to light, while shading downregulates the accumulation [40,41,42]. Interestingly, the production of different flavonoids is induced by different light ranges, intensities, and periods [43,44]. Controlled exposure to light or shading treatments has been frequently applied in the cultivation of tea and wine grapes to obtain the ideal levels of bitter-tasting and astringent flavonoids in the final products.
As important components of plant-based foods, flavonoids provide benefits to the human body through dietary consumption. On the other hand, flavonoids in fruits and vegetables are also associated with a bitter taste. Plant-based foods abundant in flavonoids as the chief bioactive compounds generally have a characteristic bitter taste [45,46,47]. We can reasonably hypothesize that the reduction in the bitter taste of bamboo shoots grown under shading treatment is due to the decrease in flavonoid content. However, in our research, 214 flavonoids were identified in P. amarus bamboo shoots, and only 69 of them were decreased under shading treatment. Only a few downregulated flavonoid metabolites, naringenin [48], apigenin [49], and catechin [50,51], were recorded as bitter-tasting or astringent, and no article reported the taste of the identified differentially downregulated flavonoids. No consistency in the change trend in the expression level of genes related to flavonoid biosynthesis in P. amarus bamboo shoots grown under shading treatment were found by transcriptome analysis. Hence, the relationship between bitter taste and flavonoids in P. amarus bamboo shoots could not be determined. Furthermore, in our previous efforts and works published by other researchers [10,52,53,54,55], no monomer compound of flavonoid has been successfully extracted, isolated, and structurally identified from bamboo shoots via phytochemistry methods. It can be speculated that the actual content of flavonoids in bamboo shoots is quite low. Flavonoids may be a class of bitter substances in P. amarus bamboo shoots, but not the primary ones.
Phenolic acids are another widely distributed secondary metabolite group belonging to the class of plant polyphenols. The general molecular feature of phenolic acids is one carboxylic acid functionality attached or linked to a benzene, and they can be divided into two major subclasses: hydroxybenzoic and hydroxycinnamic acids. A minor fraction of phenolic acids exist in plants in the free acid form, and the majority are linked through ester, ether, or acetal bonds to structural components of the plant (cellulose, proteins, and lignin) and play important roles in the interactions of plants with their environments. The most well-known attributes of phenolic acids are their powerful antioxidant activities, which can help plants in scavenging harmful reactive oxygen species (ROS) under different stresses. The key genes related to the phenylpropanoid biosynthetic pathway and tyrosine metabolism pathways are regulated under different environmental threats, resulting in increased or decreased phenolic acid accumulation with a final result of enhanced tolerance to stresses [56,57].
The specific effects of light stresses on the accumulation of phenolic acids in various food and beverage plants have been studied. Data from two varieties of Malaysian ginger under different shading treatments (0 and 60%) indicated that phenolic acids in the leaves and rhizomes were light-dependent, and their biosynthetic rate was related to light intensity [58]. Another study showed that shade level significantly affected the accumulation of biologically active compounds in bastard balm herb; the plants grown in full sunlight produced 2–3 times more phenolic acids compared to those grown in shade and the regulation mechanism was related to light stress, which was proven by determinations of the content of H2O2, the activity of antioxidant enzymes, and the level of chlorophylls in the herb plant [59].
In this search, we identified 174 phenolic acids in P. amarus bamboo shoots and found that more than half of them were downregulated under shading treatment. Many of them have been confirmed as bitter tasting. Furthermore, 4-Hydroxyphenylacetic acid (−47%) was considered to be the main bitter substance in wild edible leafy vegetables in central Italy [60]; gentianic acid (−14%) had a bitter taste, which was proved by an oral taste experiment [61]; p-hydroxybenzoic acid (−21%) was the bitter taste contributor in red wine [62]; 2,5-dihydroxybenzaldehyde (−16%) was one of the bitter substances in pu’erh teas [63]. As a bitter substance in bamboo shoots, homogentisic acid was first reported in Japan, and Chizu Hasegawa suggested that homogentisic acid is responsible for a special taste of bamboo shoot, called egumi-taste, described as bitter and pungent [28,64]. Homogentisic acid has also been found to be the main bitter substance of bitter strawberry honey produced in Italy [65,66]. Homogentisic acid, one of the differentially downregulated metabolites in this study, together with the typical bitter phenolic acids mentioned above, could be mapped to the tyrosine metabolism pathway. Recently, the tyrosine metabolism pathway in plants was comprehensively reviewed [67]. The tyrosine metabolism pathway produces a variety of essential metabolites for plant survival, including tocopherols, plastoquinone, and ubiquinone.
In the present study, tyrosine aminotransferase (TAT) was differentially downregulated in P. amarus bamboo shoots grown under shading treatment; the transition from tyrosine to form 4-hydroxyphenylpyruvic acid (4-pHPP) was reduced, further reducing the synthesis of homogentisic acid from 4-pHPP catalyzed by 4-hydroxyphenylpyruvate dioxygenase (HPPD). Homogentisic acid is a key intermediate for producing the aromatic precursor of tocopherols and plastoquinone in the general tyrosine metabolism pathway. Plants normally display an increased tocopherol accumulation level under stresses. In our research, we observed that with the upregulated expression level of tocopherol cyclase (VTE1), the content of δ-tocopherol was differentially upregulated in P. amarus bamboo shoots grown under shading treatment. δ-Tocopherol can further convert to β- tocopherol, which is important in plant development and stress tolerance [68,69]. These results suggest that shading treatment of P. amarus bamboo shoots positively induced tocopherol biosynthesis and reduced the accumulation of a series of bitter phenolic acids, especially homogentisic acid, resulting in a perceivably reduced bitter taste in P. amarus bamboo.
5. Conclusions
This work provides comprehensive information on the metabolomic, transcriptomic, and sensory attributes of P. amarus bamboo shoots grown under shading treatment and normal growing conditions. According to the results of our sensory tests, P. amarus bamboo shoots grown under shading treatment had an obviously reduced bitter taste. Transcriptomic and metabolomic analyses revealed the regulatory mechanism of the bitter taste substances in bamboo shoots grown under shading treatment: the related expression levels of key genes in the tyrosine metabolism pathway, such as tyrosine aminotransferase, were downregulated, and the contents of metabolites such as 4-hydroxyphenylacetic acid, gentianic acid, p-hydroxybenzoic acid, and homogentisic acid decreased in this pathway. The downregulated accumulation of these bitter phenolic acids, especially homogentisic acid, might be the underlying cause of the differences in taste between P. amarus bamboo shoots grown under shading treatment and normal growing conditions. The results of this study can help to promote the use of shading treatment in the practice of bamboo shoot cultivation, and our data might be useful for improving the taste of bamboo shoots.
Supplementary Materials
The following supporting information can be downloaded at: https://www.mdpi.com/article/10.3390/horticulturae8070594/s1, Figure S1: The PCA of P. amarus bamboo shoot grown under shading treatment and normal growing condition, Figure S2: The OPLS-DA of P. amarus bamboo shoot grown under shading treatment and normal growing condition, Figure S3: GO enrichment map of the differential expressed genes between P. amarus bamboo shoot grown under shading treatment and normal growing condition, Figure S4: KEGG enrichment map of the differential expressed genes between P. amarus bamboo shoot grown under shading treatment and normal growing condition, Figure S5: RT-qPCR validation of differentially expressed genes, Table S1: RT-qPCR primer sequences of differentially expressed genes, Table S2: Total metabolites in P. amarus bamboo shoots,, Table S3: The differentially accumulated metabolites of P. amarus bamboo shoot grown under shading treatment and normal growing condition.
Author Contributions
F.T. and H.X. designed the experiments and revised the manuscript; Y.H. completed the experiment, analyzed the data, and wrote and revised the manuscript; G.Y. and T.L. provided and handled materials; X.Y. revised the manuscript. All authors have read and agreed to the published version of the manuscript.
Funding
This work was supported by the Basic Science Research Fund Program of the International Centre for Bamboo and Rattan (ICBR) (1632019022, 1632018007), and Key Laboratory of SFGA on Conservation Biology of Rare Animals in The Giant Panda National Park Fund Project (KLSFGAGP2020.013).
Institutional Review Board Statement
Not applicable.
Informed Consent Statement
Not applicable.
Data Availability Statement
The sequence data have been uploaded in the SRA database of National Center for Biotechnology Information (https://www.ncbi.nlm.nih.gov/sra/) (accessed on 25 May 2022) under the accession number of PRJNA824987.
Conflicts of Interest
The authors declare no conflict of interest.
References
- Qian, D.; Chen, J.; Lai, C.; Kang, L.; Xiao, S.; Song, J.; Xie, J.; Huang, L. Dicaffeoyl polyamine derivatives from bitter goji: Contribution to the bitter taste of fruit. Fitoterapia 2020, 143, 104543. [Google Scholar] [CrossRef] [PubMed]
- Beck, T.K.; Jensen, S.; Bjoern, G.K.; Kidmose, U. The Masking Effect of Sucrose on Perception of Bitter Compounds in Brassica Vegetables. J. Sens. Stud. 2014, 29, 190–200. [Google Scholar] [CrossRef]
- Zhou, Y.; Ma, Y.; Zeng, J.; Duan, L.; Xue, X.; Wang, H.; Lin, T.; Liu, Z.; Zeng, K.; Zhong, Y.; et al. Convergence and divergence of bitterness biosynthesis and regulation in Cucurbitaceae. Nat. Plants 2016, 2, 16183. [Google Scholar] [CrossRef] [PubMed] [Green Version]
- Shang, Y.; Ma, Y.; Zhou, Y.; Zhang, H.; Duan, L.; Chen, H.; Zeng, J.; Zhou, Q.; Wang, S.; Gu, W.; et al. Biosynthesis, regulation, and domestication of bitterness in cucumber. Science 2014, 346, 1084–1088. [Google Scholar] [CrossRef]
- Dea, S.; Plotto, A.; Manthey, J.A.; Raithore, S.; Irey, M.; Baldwin, E. Interactions and Thresholds of Limonin and Nomilin in Bitterness Perception in Orange Juice and Other Matrices. J. Sens. Stud. 2013, 28, 311–323. [Google Scholar] [CrossRef]
- Bai, J.; Baldwin, E.A.; Mccollum, G.; Plotto, A.; Manthey, J.A.; Widmer, W.W.; Luzio, G.; Cameron, R. Changes in Volatile and Non-Volatile Flavor Chemicals of “Valencia” Orange Juice over the Harvest Seasons. Foods 2016, 5, 4. [Google Scholar] [CrossRef] [Green Version]
- Lv, G.T.; Li, J.H.; Huang, C.X.; Zhu, B.Q.; Huang, X.B.; Lin, L.J.; Xiong, S.B. Response Surface Methodology for Extraction Optimization of Phyllostachys pubescens Bamboo Shoots Protein. Adv. Mater. Res. 2013, 709, 852–857. [Google Scholar] [CrossRef]
- Li, X.; Fu, B.; Guo, J.; Ji, K.; Xu, Y.; Dahab, M.M.; Zhang, P. Bamboo shoot fiber improves insulin sensitivity in high-fat diet-fed mice. J. Funct. Foods 2018, 49, 510–517. [Google Scholar] [CrossRef]
- Chen, G.; Chen, X.; Yang, B.; Yu, Q.; Wei, X.; Ding, Y.; Kan, J. New insight into bamboo shoot (Chimonobambusa quadrangularis) polysaccharides: Impact of extraction processes on its prebiotic activity. Food Hydrocoll. 2019, 95, 367–377. [Google Scholar] [CrossRef]
- Gao, Q.; Jiang, H.; Tang, F.; Cao, H.-Q.; Wu, X.-W.; Qi, F.-F.; Sun, J.; Yang, J. Evaluation of the bitter components of bamboo shoots using a metabolomics approach. Food Funct. 2019, 10, 90–98. [Google Scholar] [CrossRef]
- Xiong, Y.; Yan, P.; Du, K.; Li, M.; Xie, Y.; Gao, P. Nutritional component analyses of kiwifruit in different development stages by metabolomic and transcriptomic approaches. J. Sci. Food Agric. 2020, 100, 2399–2409. [Google Scholar] [CrossRef] [PubMed]
- Wang, Y.; Liang, X.; Li, Y.; Fan, Y.; Li, Y.; Cao, Y.; An, W.; Shi, Z.; Zhao, J.; Guo, S. Changes in Metabolome and Nutritional Quality of Lycium barbarum Fruits from Three Typical Growing Areas of China as Revealed by Widely Targeted Metabolomics. Metabolites 2020, 10, 46. [Google Scholar] [CrossRef] [PubMed] [Green Version]
- Zou, S.C.; Wu, J.C.; Shahid, M.Q.; Hea, Y.H.; Lin, S.Q.; Liu, Z.H.; Yang, X.H. Identification of key taste components in loquat using widely targeted metabolomics. Food Chem. 2020, 323, 126822. [Google Scholar] [CrossRef] [PubMed]
- Chen, W.; Gong, L.; Guo, Z.; Wang, W.; Zhang, H.; Liu, X.; Yu, S.; Xiong, L.; Luo, J. A Novel Integrated Method for Large-Scale Detection, Identification, and Quantification of Widely Targeted Metabolites: Application in the Study of Rice Metabolomics. Mol. Plant 2013, 6, 1769–1780. [Google Scholar] [CrossRef] [PubMed] [Green Version]
- Bro, R.; Smilde, A.K. Principal component analysis. Anal. Methods 2014, 6, 2812–2831. [Google Scholar] [CrossRef] [Green Version]
- Wiklund, S.; Johansson, E.; Sjöström, L.; Mellerowicz, E.J.; Edlund, U.; Shockcor, J.P.; Gottfries, J.; Moritz, A.T.; Trygg, J. Visualization of GC/TOF-MS-Based Metabolomics Data for Identification of Biochemically Interesting Compounds Using OPLS Class Models. Anal. Chem. 2007, 80, 115–122. [Google Scholar] [CrossRef]
- Grabherr, M.G.; Haas, B.J.; Yassour, M.; Levin, J.Z.; Thompson, D.A.; Amit, I.; Adiconis, X.; Fan, L.; Raychowdhury, R.; Zeng, Q.D.; et al. Full-length transcriptome assembly from RNA-Seq data without a reference genome. Nat. Biotechnol. 2011, 29, 644–652. [Google Scholar] [CrossRef] [Green Version]
- Li, B.; Dewey, C.N. RSEM: Accurate transcript quantification from RNA-Seq data with or without a reference genome. BMC Bioinform. 2011, 12, 323. [Google Scholar] [CrossRef] [Green Version]
- Love, M.I.; Huber, W.; Anders, S. Moderated estimation of fold change and dispersion for RNA-seq data with DESeq2. Genome Biol. 2014, 15, 550. [Google Scholar] [CrossRef] [Green Version]
- Kanehisa, M.; Goto, S. KEGG: Kyoto Encyclopedia of Genes and Genomes. Nucleic Acids Res. 2000, 28, 27–30. [Google Scholar] [CrossRef]
- Deng, Y.Y.; Li, J.Q.; Wu, S.F.; Zhu, Y.P.; Chen, Y.W.; He, F.C. Integrated nr database in protein annotation system and its localization. Comput. Eng. 2006, 32, 71–74. [Google Scholar] [CrossRef]
- Apweiler, R. Functional information in SWISS-PROT: The basis for large-scale characterisation of protein sequences. Briefings Bioinform. 2001, 2, 9–18. [Google Scholar] [CrossRef] [PubMed]
- Ashburner, M.; Ball, C.A.; Blake, J.A.; Botstein, D.; Butler, H.; Cherry, J.M.; Davis, A.P.; Dolinski, K.; Dwight, S.S.; Eppig, J.T.; et al. Gene ontology: Tool for the unification of biology. Nat. Genet. 2000, 25, 25–29. [Google Scholar] [CrossRef] [PubMed] [Green Version]
- Tatusov, R.L.; Galperin, M.Y.; Natale, D.A.; Koonin, E.V. The COG database: A tool for genome-scale analysis of protein functions and evolution. Nucleic Acids Res. 2000, 28, 33–36. [Google Scholar] [CrossRef] [PubMed] [Green Version]
- O’Donovan, C.; Martin, M.-J.; Gattiker, A.; Gasteiger, E.; Bairoch, A.; Apweiler, R. High-quality protein knowledge resource: SWISS-PROT and TrEMBL. Briefings Bioinform. 2002, 3, 275–284. [Google Scholar] [CrossRef]
- Buchfink, B.; Xie, C.; Huson, D.H. Fast and sensitive protein alignment using DIAMOND. Nat. Methods 2015, 12, 59–60. [Google Scholar] [CrossRef] [PubMed]
- Zhu, Q.; Chen, L.; Chen, T.; Xu, Q.; He, T.; Wang, Y.; Deng, X.; Zhang, S.; Pan, Y.; Jin, A. Integrated transcriptome and metabolome analyses of biochar-induced pathways in response to Fusarium wilt infestation in pepper. Genomics 2021, 113, 2085–2095. [Google Scholar] [CrossRef]
- Hasegawa, C.; Sakamoto, Y.; Ichihara, K. On the Relationship between Homogentisic Acid and the Egumi-taste of Bamboo Shoots and Hange. Proc. Jpn. Acad. 1959, 35, 246–251. [Google Scholar] [CrossRef] [Green Version]
- Kelly, J. World vegetables, principles, production and nutritive values. Sci. Hortic. 1985, 25, 191–192. [Google Scholar] [CrossRef]
- John, C.K.; Nadgauda, R.S. Nature watch. Resonance 2001, 6, 54–65. [Google Scholar] [CrossRef]
- Tamim, S.A.; Li, F.; Wang, Y.; Shang, L.; Zhang, X.; Tao, J.; Wang, Y.; Gai, W.; Dong, H.; Ahiakpa, J.K.; et al. Effect of shading on ascorbic acid accumulation and biosynthetic gene expression during tomato fruit development and ripening. Veg. Res. 2022, 2, 1. [Google Scholar] [CrossRef]
- Chen, H.; Li, Q.-P.; Zeng, Y.-L.; Deng, F.; Ren, W.-J. Effect of different shading materials on grain yield and quality of rice. Sci. Rep. 2019, 9, 9992. [Google Scholar] [CrossRef] [PubMed]
- Somporn, C.; Kamtuo, A.; Theerakulpisut, P.; Siriamornpun, S. Effect of shading on yield, sugar content, phenolic acids and antioxidant property of coffee beans (Coffea Arabica L. cv. Catimor) harvested from north-eastern Thailand. J. Sci. Food Agric. 2012, 92, 1956–1963. [Google Scholar] [CrossRef] [PubMed]
- Scafidi, P.; Pisciotta, A.; Patti, D.; Tamborra, P.; Di Lorenzo, R.; Barbagallo, M.G. Effect of artificial shading on the tannin accumulation and aromatic composition of the Grillo cultivar (Vitis vinifera L.). BMC Plant Biol. 2013, 13, 175. [Google Scholar] [CrossRef] [PubMed] [Green Version]
- Zhang, Q.; Liu, M.; Mumm, R.; Vos, R.C.H.; Ruan, J. Metabolomics reveals the within-plant spatial effects of shading on tea plants. Tree Physiol. 2021, 41, 317–330. [Google Scholar] [CrossRef] [PubMed]
- Shi, J.; Zhang, X.; Zhang, Y.; Lin, X.; Li, B.; Chen, Z. Integrated metabolomic and transcriptomic strategies to understand the effects of dark stress on tea callus flavonoid biosynthesis. Plant Physiol. Biochem. 2020, 155, 549–559. [Google Scholar] [CrossRef] [PubMed]
- Zhang, Q.; Yang, W.; Liu, J.; Liu, H.; Lv, Z.; Zhang, C.; Chen, D.; Jiao, Z. Postharvest UV-C irradiation increased the flavonoids and anthocyanins accumulation, phenylpropanoid pathway gene expression, and antioxidant activity in sweet cherries (Prunus avium L.). Postharvest Biol. Technol. 2021, 175, 111490. [Google Scholar] [CrossRef]
- Khalid, M.; Rahman, S.U.; Bilal, M.; Huang, D. Role of flavonoids in plant interactions with the environment and against human pathogens—A review. J. Integr. Agric. 2019, 18, 211–230. [Google Scholar] [CrossRef]
- Treutter, D. Significance of flavonoids in plant resistance: A review. Environ. Chem. Lett. 2006, 4, 147–157. [Google Scholar] [CrossRef]
- Usman, H.; Ullah, M.A.; Jan, H.; Siddiquah, A.; Drouet, S.; Anjum, S.; Giglioli-Guviarc’H, N.; Hano, C.; Abbasi, B.H. Interactive Effects of Wide-Spectrum Monochromatic Lights on Phytochemical Production, Antioxidant and Biological Activities of Solanum xanthocarpum Callus Cultures. Molecules 2020, 25, 2201. [Google Scholar] [CrossRef] [PubMed]
- Liu, Y.; Qian, C.; Ding, S.; Shang, X.; Yang, W.; Fang, S. Effect of light regime and provenance on leaf characteristics, growth and flavonoid accumulation in Cyclocarya paliurus (Batal) Iljinskaja coppices. Bot. Stud. 2016, 57, 28. [Google Scholar] [CrossRef] [PubMed] [Green Version]
- Buttery, B.R.; Gaynor, J.D.; Buzzell, R.I.; MacTavish, D.C.; Armstrong, R.J. The effects of shading on kaempferol content and leaf characteristics of five soybean lines. Physiol. Plant. 1992, 86, 279–284. [Google Scholar] [CrossRef]
- Ren, C.; Wang, J.; Xian, B.; Tang, X.; Liu, X.; Hu, X.; Hu, Z.; Wu, Y.; Chen, C.; Wu, Q.; et al. Transcriptome analysis of flavonoid biosynthesis in safflower flowers grown under different light intensities. PeerJ 2020, 8, e8671. [Google Scholar] [CrossRef] [PubMed] [Green Version]
- Xu, Y.; Wang, G.; Cao, F.; Zhu, C.; Wang, G.; El-Kassaby, Y.A. Light intensity affects the growth and flavonol biosynthesis of Ginkgo (Ginkgo biloba L.). New For. 2014, 45, 765–776. [Google Scholar] [CrossRef]
- Roland, W.S.U.; Van Buren, L.; Gruppen, H.; Driesse, M.; Gouka, R.J.; Smit, G.; Vincken, J.-P. Bitter Taste Receptor Activation by Flavonoids and Isoflavonoids: Modeled Structural Requirements for Activation of hTAS2R14 and hTAS2R39. J. Agric. Food Chem. 2013, 61, 10454–10466. [Google Scholar] [CrossRef] [PubMed]
- Mancuso, G.; Borgonovo, G.; Scaglioni, L.; Bassoli, A. Phytochemicals from Ruta graveolens Activate TAS2R Bitter Taste Receptors and TRP Channels Involved in Gustation and Nociception. Molecules 2015, 20, 18907–18922. [Google Scholar] [CrossRef] [Green Version]
- Wollgast, J.; Anklam, E. Review on polyphenols in Theobroma cacao: Changes in composition during the manufacture of chocolate and methodology for identification and quantification. Food Res. Int. 2000, 33, 423–447. [Google Scholar] [CrossRef]
- Danton, O.; Alexander, L.; Hunlun, C.; de Beer, D.; Hamburger, M.; Joubert, E. Bitter Taste Impact and Thermal Conversion of a Naringenin Glycoside from Cyclopia genistoides. J. Nat. Prod. 2018, 81, 2743–2749. [Google Scholar] [CrossRef]
- Adeniyi, P.O. Bitter Foods are Sometimes Better. World J. Prev. Med. 2019, 7, 1–8. [Google Scholar] [CrossRef]
- Narukawa, M.; Noga, C.; Ueno, Y.; Sato, T.; Misaka, T.; Watanabe, T. Evaluation of the bitterness of green tea catechins by a cell-based assay with the human bitter taste receptor hTAS2R39. Biochem. Biophys. Res. Commun. 2011, 405, 620–625. [Google Scholar] [CrossRef]
- Zhao, X.; Zeng, X.; Lin, N.; Yu, S.; Fernie, A.R.; Zhao, J. CsbZIP1-CsMYB12 mediates the production of bitter-tasting flavonols in tea plants (Camellia sinensis) through a coordinated activator–repressor network. Hortic. Res. 2021, 8, 110. [Google Scholar] [CrossRef] [PubMed]
- Xu, X.-B.; Yue, Y.-D.; Tang, F.; Guo, X.-F.; Wang, J.; Yao, X.; Sun, J.; Xun, H. Isolation, Identification and Determination of Six Nucleosides and Two Amino Acids from Bamboo Shoots of Gramineae Phyllostachys prominens (W Y Xiong). Trop. J. Pharm. Res. 2016, 14, 2239. [Google Scholar] [CrossRef] [Green Version]
- Sun, J.; Ding, Z.-Q.; Gao, Q.; Xun, H.; Tang, F.; Xia, E.-D. Major Chemical Constituents of Bamboo Shoots (Phyllostachys pubescens): Qualitative and Quantitative Research. J. Agric. Food Chem. 2015, 64, 2498–2505. [Google Scholar] [CrossRef] [PubMed]
- Lu, B.; Cai, H.; Huang, W.; Wu, X.; Luo, Y.; Liu, L.; Zhang, Y. Protective effect of bamboo shoot oil on experimental nonbacterial prostatitis in rats. Food Chem. 2011, 124, 1017–1023. [Google Scholar] [CrossRef]
- Park, E.-J.; Jhon, D.-Y. The antioxidant, angiotensin converting enzyme inhibition activity, and phenolic compounds of bamboo shoot extracts. LWT 2010, 43, 655–659. [Google Scholar] [CrossRef]
- Bistgani, Z.E.; Hashemi, M.; DaCosta, M.; Craker, L.; Maggi, F.; Morshedloo, M.R. Effect of salinity stress on the physiological characteristics, phenolic compounds and antioxidant activity of Thymus vulgaris L. and Thymus daenensis Celak. Ind. Crop. Prod. 2019, 135, 311–320. [Google Scholar] [CrossRef]
- Chen, Z.; Ma, Y.; Yang, R.; Gu, Z.; Wang, P. Effects of exogenous Ca2+ on phenolic accumulation and physiological changes in germinated wheat (Triticum aestivum L.) under UV-B radiation. Food Chem. 2019, 288, 368–376. [Google Scholar] [CrossRef]
- Ghasemzadeh, A.; Ghasemzadeh, N. Effects of shading on synthesis and accumulation of polyphenolic compounds in ginger (Zingiber officinale Roscoe) varieties. J. Med. Plants Res. 2011, 5, 2435–2442. [Google Scholar] [CrossRef]
- Szymborska-Sandhu, I.; Przybył, J.L.; Pióro-Jabrucka, E.; Jędrzejuk, A.; Węglarz, Z.; Bączek, K. Effect of Shading on Development, Yield and Quality of Bastard Balm Herb (Melittis melissophyllum L.). Molecules 2020, 25, 2142. [Google Scholar] [CrossRef]
- Giambanelli, E.; D’Antuono, L.F.; Ferioli, F.; Frenich, A.G.; Romero-González, R. Sesquiterpene lactones and inositol 4-hydroxyphenylacetic acid derivatives in wild edible leafy vegetables from Central Italy. J. Food Compos. Anal. 2018, 72, 1–6. [Google Scholar] [CrossRef]
- Peleg, H.; Noble, A. Perceptual Properties of Benzoic Acid Derivatives. Chem. Senses 1995, 20, 393–400. [Google Scholar] [CrossRef] [PubMed]
- Hufnagel, J.C.; Hofmann, T. Orosensory-Directed Identification of Astringent Mouthfeel and Bitter-Tasting Compounds in Red Wine. J. Agric. Food Chem. 2008, 56, 1376–1386. [Google Scholar] [CrossRef] [PubMed]
- Wang, T.; Li, X.; Yang, H.; Wang, F.; Kong, J.; Qiu, D.; Li, Z. Mass spectrometry-based metabolomics and chemometric analysis of Pu-erh teas of various origins. Food Chem. 2018, 268, 271–278. [Google Scholar] [CrossRef] [PubMed]
- Ichihara, K.; Sakamoto, Y. Homogentisic acid as a growth factor of bamboo shoot. J. Biochem. 1957, 44, 693–694. [Google Scholar] [CrossRef]
- Cabras, P.; Angioni, A.; Tuberoso, C.; Floris, I.; Reniero, F.; Guillou, C.; Ghelli, S. Homogentisic Acid: A Phenolic Acid as a Marker of Strawberry-Tree (Arbutus unedo) Honey. J. Agric. Food Chem. 1999, 47, 4064–4067. [Google Scholar] [CrossRef] [PubMed]
- Juric, A.; Gasic, U.; Brcic-Karaconji, I.; Jurica, K.; Milojkovic-Opsenica, D. The phenolic profile of strawberry tree (Arbutus unedo L.) honey. J. Serbian Chem. Soc. 2020, 85, 1011–1019. [Google Scholar] [CrossRef] [Green Version]
- Xu, J.-J.; Fang, X.; Li, C.-Y.; Yang, L.; Chen, X.-Y. General and specialized tyrosine metabolism pathways in plants. aBIOTECH Int. J. Plant Biotechnol. Agric. Sci. 2020, 1, 97–105. [Google Scholar] [CrossRef] [Green Version]
- Maeda, H.; DellaPenna, D. Tocopherol functions in photosynthetic organisms. Curr. Opin. Plant Biol. 2007, 10, 260–265. [Google Scholar] [CrossRef]
- Ouyang, S.; He, S.; Liu, P.; Zhang, W.; Zhang, J.; Chen, S. The role of tocopherol cyclase in salt stress tolerance of rice (Oryza sativa). Sci. China Life Sci. 2011, 54, 181–188. [Google Scholar] [CrossRef]
Publisher’s Note: MDPI stays neutral with regard to jurisdictional claims in published maps and institutional affiliations. |
© 2022 by the authors. Licensee MDPI, Basel, Switzerland. This article is an open access article distributed under the terms and conditions of the Creative Commons Attribution (CC BY) license (https://creativecommons.org/licenses/by/4.0/).





