Abstract
Cultivation of strawberries in greenhouses and polytunnels is increasing, and new sustainable growing media are needed to replace peat and coconut coir. This study investigated the effect of wood fiber and compost as growing media on hydroponically cultivated strawberries. Two experiments were conducted, where the everbearing cultivar ‘Murano’ was grown in mixtures of wood fiber and compost (Experiment 1) and the seasonal flowering cultivar ‘Malling Centenary’ was grown in mixtures of wood fiber and peat (Experiment 2). Additionally, in Experiment 2, the effect of adding start fertilizer was assessed. The yield potential of ‘Murano’ plants was maintained in all substrates compared to the coconut coir control. However, a mixture of 75% wood fiber and 25% compost produced the highest yield, suggesting that mixtures of nutritious materials with wood fiber may improve plant performance. The chemical composition of the berries was not affected by the substrate composition; however, berries from plants grown in the best performing blend had a lower firmness than those grown in coconut coir. ‘Malling Centenary’ plants produced higher yields in substrates enriched with start fertilizer. Generally, the productivity of ‘Malling Centenary’ plants was maintained in blends containing up to 75% of wood fiber mixture even without start fertilizer.
1. Introduction
The popularity of protected and semi-protected cultivation of strawberries in greenhouses and polytunnels is increasing. The most common cultivation system is based on growing of the plants in soilless growing media with precise application of mineral nutrient solutions directly to the rootzone to provide optimal growing conditions. Soilless culture systems (SCS) for plant cultivation have up to four times higher water use efficiency than traditional soil cultivation, and still the yielding potential of the plants and quality of the berries produced is improved [1,2,3]. Physical and chemical parameters of the growing medium or “substrate” used in SCS need to be adapted to the different plant species with various root development (i.e., different requirements for an optimal range of pH). Successful plant establishment and growth is a consequence of concurrent combination of many factors, such as nutrient, water and oxygen availability. It is a common concern that the most popular growing media, i.e., peat, coconut coir and mineral wool, all have an environmental impact [4]. Peat bogs are important carbon storages, water retention reservoirs and habitats for many species. Peat resources are to some extent non-renewable, as building up peat material takes hundreds of years, and use of peat as growing media contributes to CO2 emissions. Therefore, policy regulation is becoming more restrictive towards the use of this material, and the market and scientific focus on peat-free alternatives is expected to grow. However, one of the most popular alternatives for peat, coconut coir, has several drawbacks. India, Sri Lanka, Indonesia, Malaysia, Philippines, Thailand and Vietnam are the largest producers and exporters of coir. All countries are located in Asia, and therefore, the high CO2 footprint due to the long transportation is an issue from a European perspective [5]. Another available growing media for universal application, mineral wool, is produced using large amounts of energy. It is sourced from non-renewable raw materials and is not biodegradable.
By-products from forestry in the form of processed wood fractions has been tested and applied previously as promising growing media ingredients [6,7]. Evaluations of suitable tree species as well as different structural designs of wood fiber have also been conducted [8,9]. The results confirmed good usability of Norway spruce as a growing media, especially for the local Scandinavian market. Other works showed that wood fiber alone or mixed with peat is a viable alternative, although not entirely accepted due to challenges with avoiding nitrogen immobilization and low water retention capacity [6,10,11]. Additionally, biochar has been considered a replacement for peat due to a similar physicochemical properties, such as high water and air holding ability [12], and cation exchange capacity [13], but the technical availability is currently low and the price is currently high [14].
Compost is an even more challenging component, with a high variability of available types of compost with various parameters [15,16], in contrary to peat and wood fiber, which are rather inert and stable. Previous studies, however, concluded that composts from pruning waste [17] as well as green or municipal waste and sewage sludge [18,19] can be implemented as growing media components.
Further research is, therefore, needed for optimization of structure, chemical composition and fertigation strategies. This can possibly be remediated by (1) adding fertilizer to the growing medium prior to cultivation and (2) mixing the fiber with a material that changes the physical and chemical properties. Therefore, the aim of the presented experiments was to evaluate performance and productivity of strawberry plants grown in various combinations of wood fiber from Norway spruce and compost (Experiment 1) or peat (Experiment 2). Mixing compost material into wood fiber would contribute with recycled plant-based nutrients and improve the physical properties of this potential peat-free product. Finding renewable and environmentally friendly alternatives to currently used growing media would, therefore, secure a more sustainable horticulture, and development of a more ecologically sound strawberry production.
2. Materials and Methods
2.1. Experiment 1: Incorporating Wood Fiber into Compost with Coconut Coir as Control
2.1.1. Cultivation
Plants of the everbearing strawberry cultivar ‘Murano’ were grown in six different substrates in a high poly-tunnel on a table-top system at the Norwegian University of Life Sciences, Ås, Norway (59°66′ N) during the summer 2020. The plants were delivered as bare root plants (Myhrene AS, Sylling, Norway) stored at −1 °C and thawed for three days prior to planting in 8 L plastic trays on 22 April 2020. A total of 18 trays were randomly distributed where three trays shared the same substrate treatment. Three plants were grown in each tray, representing a single replicate. The only form of plant protection used was predatory mites (Amblyline, Bioline AgroSciences Ltd., Little Clacton, UK) to protect the plants from excessive pest attack and damage. The plants were groomed for dead material and runners were removed throughout the season. The substrates included: wood fiber (Hunton Fiber AS, Norway, disc refined, coarse type, pH 4.6–4.8), a compost based on 70% municipal garden waste and 30% sewage digestate from a biogas plant (pH 7.5–7.8) as well as 25, 50 and 75% mixtures of wood fiber and compost. Coconut coir (Botanicoir, London, UK) was used as a control medium. These substrates are henceforth called C100.F0 (100% compost, 0% wood fiber), C75.F25 (75% compost, 25% wood fiber), C50.F50 (50% compost, 50% wood fiber), C25.F75 (25% compost, 75% wood fiber), C0.F100 (0% compost, 100% wood fiber) and Coco (100% coconut coir).
The total heavy metal concentrations in the compost were as follows: cadmium 0.4 mg kg−1 DM, chromium 84.5 mg kg−1 DM, copper 55.5 mg kg−1 DM, lead 13.5 mg kg−1 DM, mercury 0.2 mg kg−1 DM, nickel 47.5 mg kg−1 DM, zinc 200.0 mg kg−1 DM. According to the Norwegian regulation on fertilizers of organic origin [20], the compost satisfy the class II requirements due to elevated level of chromium and may be used in growing media based on the heavy metal concentrations. The concentrations of the heavy metals cadmium, lead, mercury and nickel were lower than the limits in growing media allowed by the EU regulation on fertilizers [21]. However, at present, neither the Norwegian regulation on fertilizers of organic origin nor the EU regulation allows using composts containing sewage sludge materialin growing media for berry production. The wood fiber and the coconut coir used in this study had could be used freely in growing media according to the Norwegian regulation on fertilizers of organic origin due to low concentrations of heavy metals.
Two drips were connected to each tray, supplyinga fertilizer solution of 1.2 L/h throughout the experiment. The solution consisted of a mixture of 1:1 (w:w) YaraLiva Kristalon™ 9-11-30% NPK + micronutrients and Calcinit N 15.5% and Ca 19%, both from Yara International (Oslo, Norway) with an electrical conductivity (EC) of 1.4 mS cm−1. The fertigation regime was adjusted to the weather conditions based on temperature and solar radiation sensors using a Priva-system (Priva, ON, Canada). The experiment lasted 13 weeks and was terminated on 31 August.
2.1.2. Data Recording
The number of leaves and flowers per plant were counted weekly for 8 and 13 weeks, respectively. Ripe berries were harvested twice a week throughout the season, based on the visual cue of full redness as maturity sign for harvest [22]. The number and weight of all berries, including non-marketable berries (damaged, rotten and deformed), were recorded. Subsamples of 200–300 g berries from each treatment were put in 2 L zip lock plastic bags and frozen at −70 °C from nine harvests throughout the season, giving a total weight of 2–3 kg for further quality analysis.
2.1.3. Fruit Quality Analysis
Berry firmness was measured with a SUR BERLIN PNR 10 penetrometer. A total of 15 berries from each treatment were harvested four times in mid-season for the firmness analysis. The berries were penetrated at three different points, and an average of these three points was used for each berry. Fruit firmness values (in mm/s) were reported as an average of the fifteen berries. Antioxidant capacity and total phenolic compounds were analyzed using a KoneLab 30i (Thermo Electron Corp, Waltham, MA, USA). To prepare these samples, 70 g of frozen berries were homogenized with a blender (Braun MR400, Karlsruhe, Germany) and 3 g of homogenate were extracted with 1 mM HCl (37%) in methanol (30 mL). The samples (30 mL) were flushed with nitrogen, capped and vortexed (Vortex-T Genie 2, Scientific Industries Inc., Bohemia, NY, USA), followed by sonication at 0 °C for 15 min in an ultrasonic bath (Bandelin SONOREX RK 100, Bandelin Electronic GmbH & Co., Berlin, Germany). The 30 mL samples were stored at −20 °C until further analysis. Prior to analysis, the samples were poured into a 2 mL micro tube (Sarstedt, Nürnbrecht, Germany) and centrifuged at 13,200 rpm for 2 min at 4 °C (Eppendorf 5415 R, Hamburg, Germany). The antioxidant capacity was determined by the FRAP assay as described by Benzie and Strain [23]. Results are reported as µmol Fe2+ per g of fresh weight. Total phenolic compounds were determined using the Folin–Ciocalteu method [24] and are reported as g gallic acid equivalents (GAE) per kg of fresh weight. Total dry matter was determined by drying homogenate (6–7 g) at 100 °C for 24 h in a drying oven (Termaks, Bergen, Norway) and stabilized in a desiccator before weighing.
For pH, soluble solids and titratable acids analysis, 200 g of frozen fruit from each treatment was thawed overnight at 20 °C and homogenized using a blender (Braun MR400, Karlsruhe, Germany). The samples were then filtered (Whatman 125 mm, Schleicher & Schuell, Dassel, Germany) and centrifuged at 400 rpm for 15 min (Eppendorf 5810 R, Hamburg, Germany) to obtain juice. Soluble solid concentration was determined from the juice by a digital refractometer (Atago refractometer model PR-1 CO, LTD, Tokyo, Japan), measured as Brix0 and expressed as % soluble solids. Titratable acids were determined by a radiometer endpoint titrator (Methrom 716 DMS Titrino and 730 Sample Changer, Herisau, Switzerland) that calculated citric acid expressed as a percentage.
For analyses of L-ascorbic acid, samples were prepared by first blending 30 g of fruit with a blender (Braun MR400, Karlsruhe, Germany) into a homogenate, and further mixing with 1% (w/v) oxalic acid up to 150 g. This mixture was homogenized for 1 min and then filtered through a filter (520 B1/2, folded, Schleicher & Schüell, Dassel, Germany). The resulting extract was further passed through an activated Sep-Pak C18 cartridge (Waters Corp., Milford, MA, USA) and filtered again through a 0.45 μm Millex HA filter (Millipore, Molsheim, France). The HPLC analysis was performed according to Williams, Baker [25] using an Agilent Technologies 1100 Series HPLC system (Waldbronn, Germany) comprising a quaternary pump, an inline degasser, an autosampler, a column oven and an ultraviolet (UV) light detector. The HPLC operation used Chemstation software (Agilent, Waldbron, Germany). Separation was achieved using a 4.6 mm × 250 mm Zorbax SB-C18 5 Micron column (Agilent Technologies, Palo Alto, CA, USA). The injection volume was set to 5 μL and isocratic elution was performed with 0.05 M KH2PO4 as mobile phase at 1 mL min−1 and 25 °C. Detection of L-ascorbic acid was performed at 254 nm and quantified against calibration curves of freshly prepared standard solutions. The content of ascorbic acids was expressed as milligrams of L-ascorbic acid per 100 g of fresh weight (FW). The samples were analyzed in duplicates. Color was measured by using 5 μL of sample in a spectrophotometer to determine optical density (O.D.) at 515 nm.
2.1.4. Chemical and Physical Properties of the Substrates
Chemical composition of the compost and wood fiber was analyzed by Eurofins Environmental Testing Norway AS. Plant available nutrients were determined according to EN 13651 [26] pH was determined in H2O according to EN 13037 [27], total N was determined according to the modified Kjeldahl N method EN 13654 [28], dry matter and compacted bulk density were analyzed according to EN 13040 [29], and loss on ignition was analyzed according to EN 13039 [30]. These analyses were performed at the onset of the experiment before any fertilizer was added.
Physical properties including bulk density, total pore space, air content and moisture content at different suctions were measured at NMBU by determining water release curves as described by De Boodt, Verdonck [31]. Six samples per each of the five different growing media were sampled after being thoroughly mixed. The samples were packed into 100 cm3 steel cylinders. These cylinders were then subjected to a range of water potentials (−5, −10, −20 and −50 hPa) in a sand box (Eijkelkamp Agrisearch Equipment, Giesbeek, the Netherlands). For water potentials at −100 and −1000 hPa, water retention was determined by using pressure plates (Soil moisture Equipment, Santa Barbara, CA, USA) inside pressure chambers. Pore size distribution was estimated based on the soil water retention. In the table-top systems the height of the growing medium was about 10 cm, defining field capacity (FC) at −10 hPa. In field cultivation of strawberries, the drainage is normally at about 1 m depth defining FC at −100 hPa. In the table-top system, the easiest plant available water is between −10 and −100 hPa, which is drained under field conditions. After analysis, the moisture content was divided into five categories: air filled pores between 0 and −10 hPa; easily available water (EAW) at between −10 and −50 hPa; water buffer capacity (WBC) between −50 and −100 hPa; a range between −100 and −1000 hPa that approaches the range of the easiest plant available water in field systems, and less plant available water between −1000 hPa and −15,000 hPa. These categories are meant for use specifically in the limited volume of containers in horticultural production, coined by De Boodt and Verdonck [32] and revisited by Arguedas, Lea-Cox [33].
2.2. Experiment 2: Incorporating Wood Fiber into Peat and Testing of Start Fertilizer Effect
2.2.1. Cultivation
Plants of the seasonal flowering strawberry cultivar ‘Malling Centenary’ were grown in ten different substrates in a high poly-tunnel and table-top system at Norwegian Institute of Bioeconomy Research, Kapp, Norway (60°40′ N) during summer 2020. The plants were acquired from NORGRO AS, Norway, as cold-stored tray plants and planted in 8 L plastic trays (0.5 m) on 18 May 2020 with four plants in each tray and with two trays representing one of four replicates (32 plants per substrate). Replications were randomly distributed in the tunnel. A standard commercial plant protection strategy was successfully used to prevent pests and diseases. Limed peat (Norgro AS, Norway, pH 6.1) and wood fiber from Norway spruce (Hunton Fiber AS, Norway, disc refined, coarse type, pH 4.6–4.8) was used as a stand-alone substrate and as a base for mixtures.
In this experiment, the wood fiber was identical as in Experiment 1, while physical properties of peat were previously reported by Aurdal et al. [31].
Substrates were produced by a gradual (25%, v/v) decrease of peat content. The following coding system was applied: P100.F0 (100% peat, 0% wood fiber), P75.F25 (75% peat, 25% wood fiber), P50.F50 (50% peat, 50% wood fiber), P25.F75 (25% peat, 75% wood fiber), P0.F100 (0% peat, 100% wood fiber). In addition, the same combination of raw materials received a start fertilizer , which was added to the substrate before planting. Start fertilizer consisted of 0.5 g/L of Struvite (NH4MgPO4·6H2O, Hias, Norway) and 0.35 g/L Yara Bela OptiNS™ N 27%-0-0-(S 4%) from Yara International (Oslo, Norway). The applied fertigation strategy was designed to simulate commercial production systems and consisted of a relatively low salt concentration during the plant establishment phase. The aim of the approach was to detect any negative responses generated by the wood fiber incorporation (due to microbial nitrogen immobilization). The following fertigation strategy was applied: from planting to beginning of flowering, EC 0.8 mS cm−1 was obtained from a 50:50 mixture of Calcinit (calcium nitrate, Yara, Norway) and Kristalon Brown (NPK, Mg + micro, Yara, Norway). From flowering to the first ripe fruit stage, EC 1.2 mS cm−1 was applied and based on the same nutrient composition. During the production phase, EC was elevated to 1.7 mS cm−1 and was obtained from a 40:60 mixture of Calcinit and Kristalon Brown, respectively. In addition, 0.1 g/L of potassium sulphate (Haifa, Israel) was added to the fertigation solution.
Fertigation was applied by three drips (1.2 L/h) per tray and timing was adjusted to the environmental conditions in the tunnel using a Priva-system sensors (Priva, ON, Canada). Detailed schedules are presented in Table 1. Fixed watering duration times (3 min per watering event) were applied throughout the experiment.
Table 1.
Implemented watering strategy implemented in Experiment 2.
2.2.2. Data Recording
Plant establishment was monitored by weekly measurements (10 June 2020–6 July 2020) of the highest petiole of each plant. At termination of the experiment, biomass production (FW) and plant height (cm) were recorded for the highest plant in one tray per replicate.
Berries were harvested three times a week throughout the season, and number and weight of all berries collected per sample, including non-marketable berries (small, rotten and deformed), were recorded. In addition, counting of all flowers, which were not able to develop into fruit, was also conducted at termination of the experiment. Runners were removed throughout the season. The results are presented on a per plant basis.
2.3. Statistical Analysis
For detection of significant differences in substrate performance, chemical and physical properties of growing media and fruit chemical composition the ANOVA and Fisher LSD tests were applied for data obtained from both experiments. The analyses were conducted using MiniTab® Statistical Software program package (Release 17.2.1 Minitab Inc., State College, PA, USA).
3. Results
3.1. Experiment 1: Incorporating Wood Fiber into Compost with Coconut Coir as Control
The physical and chemical properties of the tested substrates are described in Table 2 and Table 3, respectively. As shown in Table 2, the highest content of easily available water (EAW) was found in C50.F50 (0.146 m3 m−3) and C25.F75 (0.148 m3 m−3). C25.F75, thus, had the best ability to retain plant available water. Additionally, C25.F75 had a high air-filled porosity (0.312 m3 m−3). The pure compost (C100.F0) and wood fiber (C0.F100) had the least ideal properties, with a very low EAW in C100.F0 (0.048 m3 m−3) and excessively high air-filled porosity content in C0.F100 (0.727 m3 m−3).
Table 2.
Selected physical properties of treatments in Experiment 1.
Table 3.
Selected chemical properties of treatments in Experiment 1.
Table 3 shows the contrasts in chemical properties between the compost and the wood fiber, as well as the coconut coir used as control medium. The pH of 4.5 in wood fiber was significantly lower than the pH of the compost (7.6). As the compost consisted of recycled organic water all essential plant nutrients were higher in the compost than in the wood fiber and the coconut coir, exception for manganese, where the highest content was found in wood fiber.
Recording of new leaves during the plant establishment phase revealed no differences after the two first weeks or after six weeks (Figure 1).
Figure 1.
Accumulation of the number of leaves per plant every two weeks during plant establishment of the strawberry cv. ‘Murano’ grown in different substrate mixtures in Experiment 1. The treatments are C100.F0 (100% compost, 0% wood fiber), C75.F25 (75% compost, 25% wood fiber), C50.F50 (50% compost, 50% wood fiber), C25.F75 (25% compost, 75% wood fiber), C0.F100 (0% compost, 100% wood fiber) and Coco (100% coconut coir). Leaves were counted on each plant in each container (n = 9). Means within the same period that do not share a letter are significantly different based on the Fisher LSD Method (95% CI).
However, between the two weeks and the six weeks recordings, a lower number of leaves in the C25.F75 treatment was observed. In the final two weeks of the establishment phase a higher number of leaves developing in the plants grown in the coconut coir, and a similarly high number in plants in the C100.F0 treatment was observed.
The yield in weight and number of berries is presented in Figure 2, where the harvest period is divided into three intervals (early: 1–4 weeks of production, middle: 5–8 weeks and late: 9–12 weeks). In addition, total berry production is also summarized in the last panel. After the early weeks of production, when C75.F25 and coconut coir performed the best, the treatment C25.F75 remained the best performing treatment throughout the middle and late harvest periods. The latter treatment produced the highest yield and total number of berries.
Figure 2.
Distribution of (A) yield (g/plant FW) and (B) number of berries in early (week 1–4), mid (week 5–8) and late (week 9–12) production in experiment 1, where strawberries cv. ‘Murano’ were cultivated in different substrate mixtures: C100.F0 (100% compost, 0% wood fiber), C75.F25 (75% compost, 25% wood fiber), C50.F50 (50% compost, 50% wood fiber), C25.F75 (25% compost, 75% wood fiber), C0.F100 (0% compost, 100% wood fiber) and Coco (100% coconut coir). For all treatments except Coco, n = 3, where n is the average of three plants from the same container. For Coco, due to one container being an outlier, n = 2. Means within the same period that do not share a letter are significantly different based on the Fisher LSD Method (95% CI).
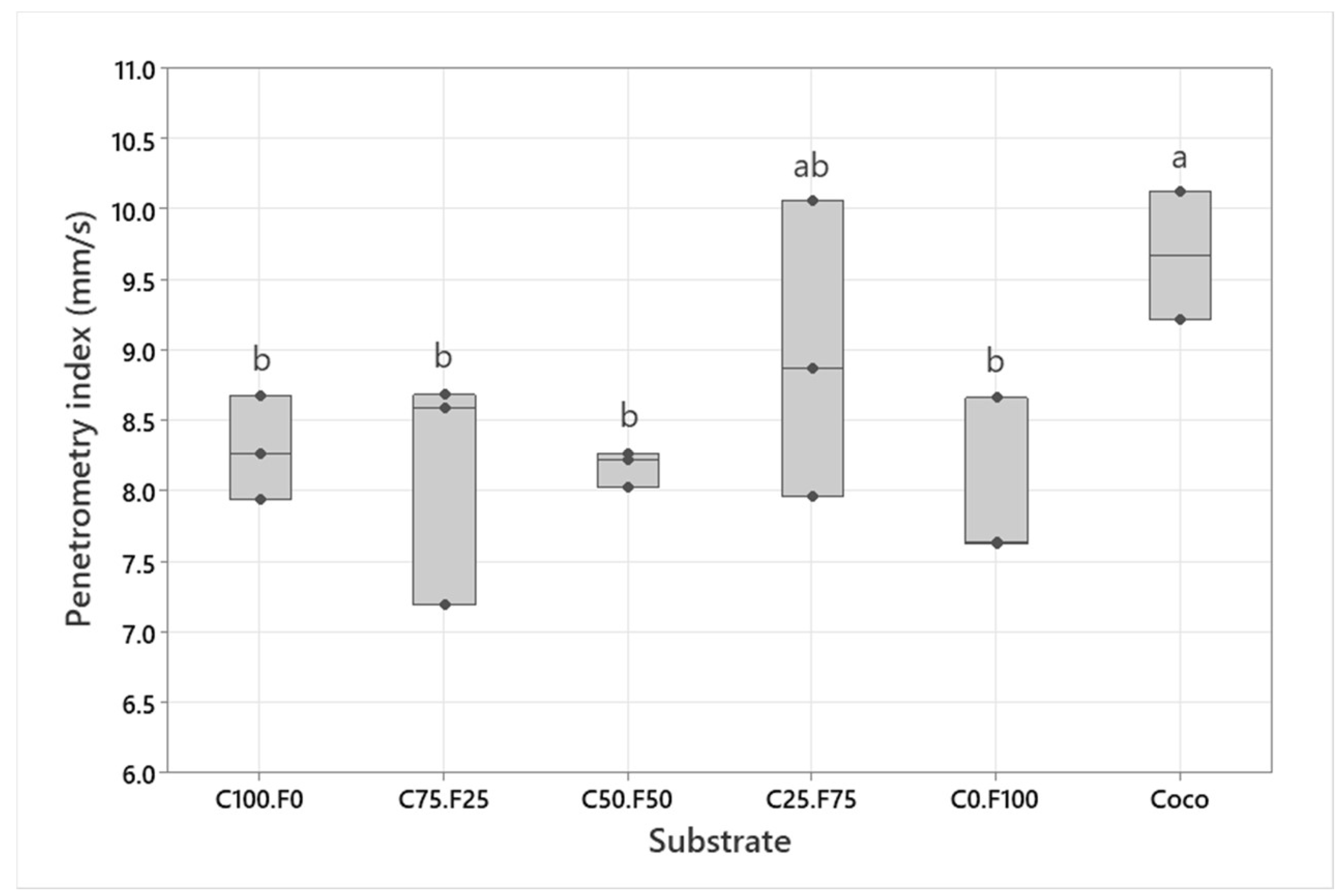
Figure 3 shows that the average size of berries did not differ significantly between the treatments. Despite this, berry firmness differed (Figure 4) with the softest berries in treatments C25:F75 and coconut coir. As for the eight chemical quality parameters analyzed, i.e., color, antioxidants, phenols, anthocyanins, vitamin c, sugar content, pH and acidity, no significant differences were found (Figure 5).
Figure 3.
Average berry size as weight (g/berry) of the total amount of strawberries in experiment 1, where cv. ‘Murano’ was cultivated in different substrate mixtures: C100.F0 (100% compost, 0% wood fiber), C75.F25 (75% compost, 25% wood fiber), C50.F50 (50% compost, 50% wood fiber), C25.F75 (25% compost, 75% wood fiber), C0.F100 (0% compost, 100% wood fiber) and Coco (100% coconut coir). For all treatments except Coco, n = 3, where n is the average of three plants from the same container. For Coco, n = 2, due to one container being an outlier. Means that do not share a letter are significantly different based on the Fisher LSD Method (95% CI).
Figure 4.
Firmness (mm/s, penetrometer index) of strawberries in experiment 1, where cv. ‘Murano’ was cultivated in different substrate mixtures: C100.F0 (100% compost, 0% wood fiber), C75.F25 (75% compost, 25% wood fiber), C50.F50 (50% compost, 50% wood fiber), C25.F75 (25% compost, 75% wood fiber), C0.F100 (0% compost, 100% wood fiber) and Coco (100% coconut coir). For all treatments except Coco, n = 3, where n is the average of twenty berries from the same treatment. For Coco, n = 2, due to one container being an outlier. Means that do not share a letter are significantly different based on the Fisher LSD Method (95% CI).
Figure 5.
Chemical quality parameters phenols (μg/mL) (A), FRAP (μmol of Fe2+/g) (B), color (Optical density 1–10) (C), average acidity (%) (D), pH (1–10) (E), sugar content (%) (F), anthocyanins (mg/L) (G) and vitamin C (mg/100 g FW) (H) for strawberries in experiment 1, where cv. ‘Murano’ was cultivated in different substrate mixtures: C100.F0 (100% compost, 0% wood fiber), C75.F25 (75% compost, 25% wood fiber), C50.F50 (50% compost, 50% wood fiber), C25.F75 (25% compost, 75% wood fiber), C0.F100 (0% compost, 100% wood fiber) and Coco (100% coconut coir). For all treatments, n = 8, where n = juice sample from 70 g of berries from the same treatment. Individual standard deviations were used to calculate the intervals. Means that do not share a letter are significantly different based on the Fisher LSD Method (95% CI).
3.2. Experiment 2: Incorporating Wood Fiber into Peat and Testing of Start Fertilizer Effect
Monitoring of the plant growth during the establishment phase revealed remarkable differences in plant height between the substrates (Figure 6). At the beginning of plant growth monitoring (on 6 June 2020, three weeks after planting, Figure 6A), substrates with added start fertilizer generally promoted early vegetative growth of strawberry plants However, after the two following weeks (Figure 6B), the differences were less pronounced and only significant for the pairs P75.F25, P50.F50 and P0.F100. After an additional two weeks, the differences were negligible (Figure 6C), although still visible for 100% wood fiber. In addition, the general trend revealed that the use of substrates with high percentage of wood fiber (more than 50%) might adversely affect strawberry plant growth. However, there is also a premise that fertilizer applied prior to planting can mitigate this response, especially in the initial phase of plant establishment (Figure 6A–C).
Figure 6.
Height (cm) of strawberry plants cv. Malling Centenary (n = 32) during the plant establishment phase measured 3 (A), 5 (B) and 6 (C) weeks after planting. Means that do not share a letter are significantly different based on the Fisher LSD Method (95% CI).
Strawberry yield potential is presented in Figure 7. During the early production phase, a trend for earlier berry maturation was observed for substrate based on 100% wood fiber containing start fertilizer (Figure 7, weeks 1–3). In the middle of the season, a relatively stable production was observed across all the studied substrates, except for pure wood fiber, where the first signs of slowing down of the production was observed for both substrate variants, with and without start fertilizer (Figure 7, weeks 4–6). In the last two weeks of production, the substrates without start fertilizer revealed a decreasing trend in production, with the lowest production in pure wood fiber and the highest in pure peat. On the contrary, for the remaining substrate supplemented with fertilizer prior to planting, the production was relatively stable for all the variants except for pure wood fiber, which revealed significantly lower yielding potential (Figure 7, weeks 7–9). In general, the total berry production was marginally improved in substrates where start fertilizer was applied (Figure 7, total production).
Figure 7.
Accumulated yield (g/plant FW) of strawberry cv. Malling Centenary (n = 4) in weeks 1–3, 4–6 and 7–9, of the harvest season, respectively, and the total production of marketable (>28 mm) berries produced. Means within the same period that do not share a letter are significantly different based on the Fisher LSD Method (95% CI).
Strawberry plant architecture was registered at termination of the experiment and is presented in Figure 8. The lowest plant height and biomass production were observed for pure wood fiber, regardless of start fertilizer application (Figure 8A,B). When the respective blends with and without start fertilizer are compared, it is possible to observe a generally higher biomass production in the latter ones (Figure 8B).
Figure 8.
(A) Plant height (cm) and (B) biomass (g/plant) production. Plant height (cm) and biomass (g/plant) production for strawberry cv. Malling Centenary (n = 4, the largest plant from each replication) registered during termination of Experiment 2. Means within the same period that do not share a letter are significantly different based on the Fisher LSD Method (95% CI).
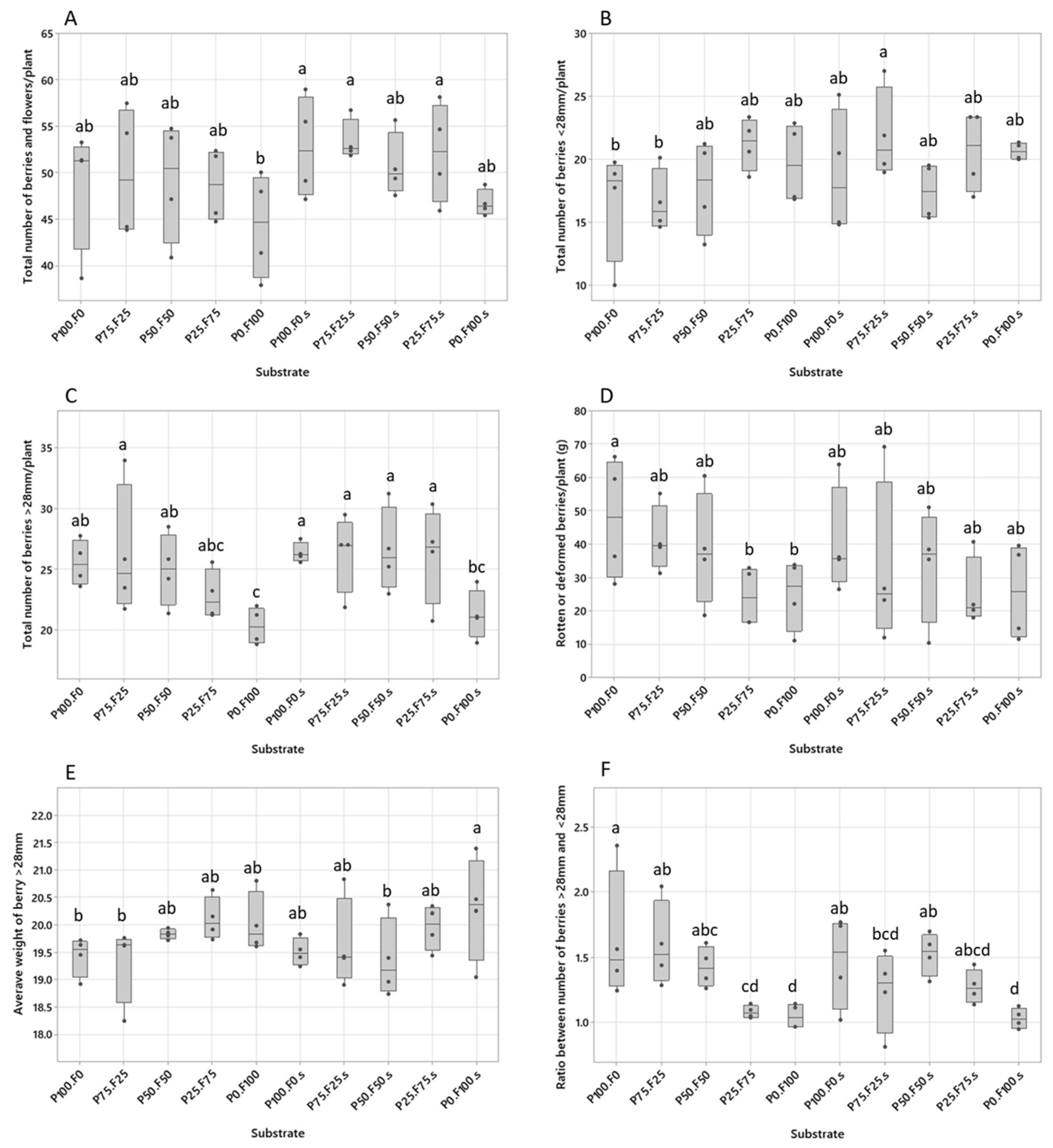
The total number of berries and flowers not developing into fruits counted on plants during the termination of the experiment, was not different among the substrates; this was mainly due to a high variability between the replicates. However, a tendency for higher production of generative organs was recorded for all substrates containing start fertilizer (Figure 9A). While the production of berries <28 mm in diameter was relatively stable across the treatments (Figure 9B), an almost linear decrease (from 100 to 0% peat) in the number of marketable berries (Figure 9C) was observed for the substrates without start fertilizer. Substrates with start fertilizer, however, revealed a stable production up to 75% of wood fiber. There were no visible trends in production of rotten or deformed berries (Figure 9D). Average weight of berries >28 mm in diameter was relatively stable (Figure 9E); however, the ratio between number of marketable and small, non-marketable berries was the lowest in pure wood fiber substrates, highlighting the issue that under given circumstances, such substrates tended to not fulfil their production potential (Figure 9F).
Figure 9.
Total number of flowers and berries produced in strawberry plants of cv. Malling Centenary (n = 4) grown in different substrate mixtures: (A) total number of berries and flowers/plant, (B) total number of berries <28 mm, (C) total number of berries >28 mm, (D) number of rotten or deformed berries, (E) average weight of berries >28 mm, (F) ratio between marketable (>28 mm) and small berries. Means within the same period that do not share a letter are significantly different based on the Fisher LSD Method (95% CI).
4. Discussion
In Experiment 1, the highest total yield was observed in 25% compost combined with 75% wood fiber (C25.F75). This blend performed better than the coconut coir used as a control (Coco). Moreover, the rest of the treatments had yields that were comparable with the coconut coir. This is in alignment with Woznicki et al. [8], whose results confirmed high yields of strawberries produced in wood fiber, especially in combination with humic acids. Due to the fact that compost is rich in humic acids [34], and these are considered beneficial for plants when added to growing media [35], the results obtained in Experiment 1 might be partly explained by the supporting role of those substances.
As for quality parameters in the fruits, the lower firmness in treatments C25.F75 and coconut coir (Figure 4) was likely due to a larger size of the berries grown in these treatments, although the differences in size were not statistically significant (Figure 3). The lack of differences in chemical quality parameters in the form of sugar content, pH, acidity, color, antioxidants, phenols, anthocyanins or vitamin C is consistent with previous literature that showed that growing media alone can have varying but often little impact on these parameters [8,36,37,38].
Interestingly, as shown in Table 2, the physical properties of C25.F75 are closest in agreement with previously reported ranges considered optimal for soilless production [32,39,40]. C25.F75 thus had the highest content of easily available water (EAW; 0.14.8 m3 m−3), a content which is close to optimal, as well as adequate air-filled porosity of 0.312 m3 m−3. This substrate mixture therefore was better at supporting the plant roots with available water and air, which supported the production of higher yield. This is consistent with the lowest yield found in the two treatments with the highest content of compost, 100C.F0 and 75C.F25, which also had the lowest content of EAW (0.048 and 0.059 m3 m−3, respectively). The pure compost, thus, had a poor ability to hold water, causing drought stress for the plants grown in these treatments in the periods between watering intervals. Although the chemical properties of the growing media such as pH and nutrient concentration contrasted (Table 3), the fertilizer distributed by drip irrigation most likely remediated the effect of these parameters, as all plants were provided with sufficient supply of nutrient solution.
Experiment 2 revealed that strawberry productivity was satisfactory in mixtures of peat in a combination up to 75% wood fiber. The results from the pre-fertilized treatments aligns well with another study by Binte et al. [37], who found the highest yield of strawberries in a mixture of 25% peat and 75% wood shavings. In a previous study by Woznicki et al. [8], however, even 100% wood fiber was considered a suitable growing media for hydroponic strawberry production [8]. The reduced performance of this substrate in the present study might be due to the choice of fertigation strategy, which was based on common local practice.
A relatively low nutrient concentration at the beginning of the experiment resulted in slower plant establishment (Figure 6), and in consequence, poorer productivity. It can be hypothesized that the nitrogen immobilization in 100% wood fiber substrate was too high, and that the nutrient solution did not cover the optimal nutritional needs of the strawberry plant [41]. Therefore, increased nitrogen supply from the start of the production should be considered as the standard procedure for hydroponic plant production in wood fiber-based substrates.
Moreover, an elevated number of small, non-marketable berries in plants grown in 100% wood fiber (Figure 9) might be a result of higher porosity of this material (Table 2). Timing of fertigation was not optimal for the material with high drainage, which resulted in inadequate water supply. Therefore, an alternative watering strategy, giving more frequent and shorter doses of fertigation solution or increased number of drips per meter, will probably increase percentage of marketable berries and profitability of strawberry production in substrates based on wood fiber. To summarize, both the strength and application strategy need to be adapted when the grower is willing to produce strawberries in 100% wood fiber. On the other hand, the present study revealed that a mixture of peat and wood fiber (up to 50% wood fiber) is a safe composition even when relatively low concentration of nutrients in the solution is used, and traditional watering strategy is applied. On the other hand, the performance of the substrate can be improved by the application of start fertilizer and the effect of additional nutrients is mostly visible at the beginning of the growth period (Figure 7). This seems to be further reflected in the yield performance during the whole production cycle, even though the effect is not statistically significant here due to relatively high within-treatment variability (Figure 8). Thus, when the potential yield increase will be interpolated to the full-scale production, the overall positive differences might result in significant financial profit for the grower.
5. Conclusions
This study showed that both everbearing and seasonal fruiting strawberries were able to produce satisfactory yield when grown in alternative growing media to peat. Wood fiber was found to be a suitable substitute to peat, especially when it was combined with other materials. Yield potential of the everbearing cultivar ‘Murano’ grown in compost:wood fiber blends was generally maintained in all the tested blends. A combination of 75% of wood fiber and 25% of compost tended to produce the highest marketable yield. The chemical composition of the berries was comparable in all tested substrates. The productivity of the seasonal fruiting cultivar ‘Malling Centenary’ was maintained up to 75% of wood fiber and 25% of peat. Additionally, strawberry plants grown in peat:wood fiber blends were able to produce higher yield in substrates enriched with start mineral fertilizer. Both experiments showed that peat and compost can be diluted with high content of wood fiber, up to 75%, for strawberry cultivation in a polytunnel drip irrigated table-top system. Due to a large variation of composts available on the market , further studies on compost:wood fiber blends are needed in order to develop marketable peat-free growing media for berry production. Further studies should be aimed at testing composts of different origin with their variable physio-chemical properties as constituents of compost:wood fiber blends peat-free growing media for berry production. Moreover, further reduction of compost to wood fiber ratio, below 75%, including an adaptation of fertigation strategy is potentially an interesting research topic.
Author Contributions
Conceptualization, S.M.A., T.L.W., A.S., T.K.H. and K.K.; validation, T.K.H. and K.K.; formal analysis, S.M.A. and T.L.W.; investigation, S.M.A. and T.L.W.; resources, S.F.R. and A.S.; data curation, S.M.A. and T.L.W.; writing—original draft preparation, S.M.A. and T.L.W.; writing—review and editing, K.K., S.F.R. and T.K.H.; supervision, S.F.R., A.S. and T.K.H.; project administration, A.S. and S.F.R.; funding acquisition, A.S. All authors have read and agreed to the published version of the manuscript.
Funding
This research was conducted as part of the three projects of SUBTECH, funded by the Norwegian Agricultural Agreement Research Fund/Foundation for Research Levy on Agricultural Products, grant number 302129, Grofondet, grant number 190024, SiEUGreen: Sino-European innovative green and smart cities, grant number 774233-95-SiEUGreen, and POLNOR QualityBerry, Norwegian Financial Mechanism, grant number NOR/POLNOR/QualityBerry/0014/2019-00.
Data Availability Statement
Data are available on reasonable request to the corresponding author.
Conflicts of Interest
The authors declare no conflict of interest.
References
- Putra, P.A.; Yuliando, H. Soilless culture system to support water use efficiency and product quality: A review. Agric. Agric. Sci. Procedia 2015, 3, 283–288. [Google Scholar] [CrossRef]
- Singh, M.C.; Singh, G.K.; Singh, J.P. Nutrient and water use efficiency of cucumbers grown in soilless media under a naturally ventilated greenhouse. J. Agric. Sci. Technol. 2019, 21, 193–207. [Google Scholar]
- Torrellas, M.; Antón, A.; Ruijs, M.; Victoria, N.G.; Stanghellini, C.; Montero, J.I. Environmental and economic assessment of protected crops in four European scenarios. J. Clean. Prod. 2012, 28, 45–55. [Google Scholar] [CrossRef]
- Gruda, N.S. Increasing sustainability of growing media constituents and stand-alone substrates in soilless culture systems. Agronomy 2019, 9, 298. [Google Scholar] [CrossRef]
- Verhagen, J.; Boon, H. Classification of growing media on their environmental profile. Acta Hortic. 2005, 779, 231–238. [Google Scholar] [CrossRef]
- Gruda, N.; Schnitzler, W. Suitability of wood fiber substrate for production of vegetable transplants: I. Physical properties of wood fiber substrates. Sci. Hortic. 2004, 100, 309–322. [Google Scholar] [CrossRef]
- Jackson, B.E.; Wright, R.D.; Barnes, M.C. Pine tree substrate, nitrogen rate, particle size, and peat amendment affect poinsettia growth and substrate physical properties. HortScience 2008, 43, 2155–2161. [Google Scholar] [CrossRef]
- Woznicki, T.; Kusnierek, K.; Roos, U.M.; Andersen, S.; Zimmer, K.; Sønsteby, A. Exploration of alternative growing media in strawberry production with focus on wood fiber from Norway spruce. Acta Hortic. 2021, 1305, 15–22. [Google Scholar] [CrossRef]
- Jackson, E. Challenges and considerations of using wood substrates: Physical properties. Greenhouse Grower 2018, 11, 54–56. [Google Scholar]
- Jackson, B.E.; Wright, R.D.; Alley, M.M. Comparison of fertilizer nitrogen availability, nitrogen immobilization, substrate carbon dioxide efflux, and nutrient leaching in peat-lite, pine bark, and pine tree substrates. HortScience 2009, 44, 781–790. [Google Scholar] [CrossRef]
- Schmilewski, G. The role of peat in assuring the quality of growing media. Mires Peat 2008, 3, 2. [Google Scholar]
- Ghorbani, M.; Amirahmadi, E.; Neugschwandtner, R.W.; Konvalina, P.; Kopecký, M.; Moudrý, J.; Perná, K.; Murindangabo, Y.T. The impact of pyrolysis temperature on biochar properties and its effects on soil hydrological properties. Sustainability 2022, 14, 14722. [Google Scholar] [CrossRef]
- Carlile, W. The use of composted materials in growing media. Acta Hortic. 2005, 779, 321–328. [Google Scholar] [CrossRef]
- Raviv, M. Composts in growing media: What’s new and what’s next? Acta Hortic. 2011, 982, 39–52. [Google Scholar] [CrossRef]
- Benito, M.; Masaguer, A.; De Antonio, R.; Moliner, A. Use of pruning waste compost as a component in soilless growing media. Biores. Technol. 2005, 96, 597–603. [Google Scholar] [CrossRef]
- Ostos, J.C.; López-Garrido, R.; Murillo, J.M.; López, R. Substitution of peat for municipal solid waste-and sewage sludge-based composts in nursery growing media: Effects on growth and nutrition of the native shrub Pistacia lentiscus L. Biores. Technol. 2008, 99, 1793–1800. [Google Scholar] [CrossRef]
- Grigatti, M.; Giorgioni, M.E.; Ciavatta, C. Compost-based growing media: Influence on growth and nutrient use of bedding plants. Biores. Technol. 2007, 98, 3526–3534. [Google Scholar] [CrossRef]
- Norwegian Ministry of Food and Agriculture. Regulation on Fertilizers of Organic Origin. 2003. Available online: https://lovdata.no/dokument/SF/forskrift/2003-07-04-951 (accessed on 12 November 2022). (In Norwegian).
- Regulation EU 2019/1009 of the European Parliament and of the Council of 5 June 2019 Laying Down Rules on Making Available on the Market of EU Fertilising Products and Amending Regulations (EC) No 1069/2009 and (EC) No 1107/2009 and Repealing Regulation (EC) No 2003/2003. Available online: https://eur-lex.europa.eu/legal-content/EN/TXT/PDF/?uri=CELEX:32019R1009&from=EN (accessed on 12 November 2022).
- Aaby, K.; Mazur, S.; Nes, A.; Skrede, G. Phenolic compounds in strawberry (Fragaria × ananassa Duch.) fruits: Composition in 27 cultivars and changes during ripening. Food Chem. 2012, 132, 86–97. [Google Scholar] [CrossRef]
- Benzie, I.F.; Strain, J.J. The ferric reducing ability of plasma (FRAP) as a measure of “antioxidant power”: The FRAP assay. Anal. Biochem. 1996, 239, 70–76. [Google Scholar] [CrossRef]
- Singleton, V.L.; Orthofer, R.; Lamuela-Raventós, R.M. Analysis of total phenols and other oxidation substrates and antioxidants by means of folin-ciocalteu reagent. In Methods in Enzymology; Elsevier: Amsterdam, The Netherlands, 1999; pp. 152–178. [Google Scholar]
- Williams, R.; Baker, D.; Schmit, J. Analysis of water-soluble vitamins by high-speed ion-exchange chromatography. J. Chrom. Sci. 1973, 11, 618–624. [Google Scholar] [CrossRef]
- EN 13651; Soil Improvers and Growing Media—Extraction of Calcium Chloride/DTPA (CAT) Soluble Nutrients. European Committee for Standardization: Brussels, Belgium, 2001.
- EN 13037; Soil Improvers and Growing Media—Determination of pH. European Committee for Standardization: Brussels, Belgium, 2011.
- EN 13654; Soil Improvers and Growing Media—Determination of Nitrogen—Part 1: Modified Kjeldahl Method. European Committee for Standardization: Brussels, Belgium, 2001.
- EN 13040; Soil Improvers and Growing Media—Sample Preparation for Chemical and Physical Tests, Determination of Dry Matter Content, Moisture Content and Laboratory Compacted Bulk Density. European Committee for Standardization: Brussels, Belgium, 2007.
- EN 13039; Soil Improvers and Growing Media—Determination of Organic Matter Content and Ash. European Committee for Standardization: Brussels, Belgium, 2011.
- De Boodt, M.; Verdonck, O.; Cappaert, I. Method for measuring the water release curve of organic substrates. Acta. Hortic. 1973, 37, 2054–2063. [Google Scholar]
- De Boodt, M.; Verdonck, O. The physical properties of the substrates in horticulture. Acta Hortic. 1971, 26, 37–44. [Google Scholar] [CrossRef]
- Arguedas, F.R.; Lea-Cox, J.D.; Ristvey. A.G. Revisiting the measurement of plant available water in soilless substrates. Proc. Southern Nursery Assoc. Res. Conf. 2007, 52, 111–115. [Google Scholar]
- Marinou, E.; Chrysargyris, A.; Tzortzakis, N.G. Use of sawdust, coco soil and pumice in hydroponically grown strawberry. Plant Soil Environ. 2013, 59, 452–459. [Google Scholar] [CrossRef]
- Binte Mostafiz, S. Utilization of Modified Wood Shavings as Growing Media for Selected Horticultural Crops. Master’s Thesis, University of Helsinki: Helsinki, Finland, 2014. [Google Scholar]
- Depardieu, C.; Premont, V.; Boily, C.; Caron, J. Sawdust and bark-based substrates for soilless strawberry production: Irrigation and electrical conductivity management. PloS ONE 2016, 11, e0154104. [Google Scholar] [CrossRef]
- Kowalczyk, K.; Gajc-Wolska, J. Effect of the kind of growing medium and transplant grafting on the cherry tomato yielding. Acta Sci. Pol. Hortorum Cultus. 2011, 10, 61–70. [Google Scholar]
- Raviv, M.; Lieth, J.H.; Bar-Tal, A. Soilless Culture: Theory and Practice; Elsevier: Amsterdam, The Netherlands, 2019. [Google Scholar]
- Wright, R.D.; Jackson, B.E.; Browder, J.F.; Latimer, J.G. Growth of chrysanthemum in a pine tree substrate requires additional fertilizer. HortTechnology 2008, 18, 111–115. [Google Scholar] [CrossRef]
- Tariq, R.; Qureshi, K.M.; Hassan, I.; Rasheed, M.; Qureshi, U.S. Effect of planting density and growing media on growth and yield of strawberry. Pakistan J. Agric. Res. 2013, 26, 113–123. [Google Scholar]
- Palencia, P.; Bordonaba, J.G.; Martínez, F.; Terry, L.A. Investigating the effect of different soilless substrates on strawberry productivity and fruit composition. Sci. Hortic. 2016, 203, 12–19. [Google Scholar] [CrossRef]
- Fernandes, C.; Corá, J.E. Bulk density and relationship air/water of horticultural substrate. Sci. Agric. 2004, 61, 446–450. [Google Scholar] [CrossRef]
- Yeager, T.; Gilliam, C.; Bilderback, T.E.; Fare, D.; Niemiera, A.; Tilt, K. Best Management Practices: Guide for Producing Container-Grown Plants; Southern Nursery Association: Marietta, GA, USA, 1997. [Google Scholar]
Disclaimer/Publisher’s Note: The statements, opinions and data contained in all publications are solely those of the individual author(s) and contributor(s) and not of MDPI and/or the editor(s). MDPI and/or the editor(s) disclaim responsibility for any injury to people or property resulting from any ideas, methods, instructions or products referred to in the content. |
© 2022 by the authors. Licensee MDPI, Basel, Switzerland. This article is an open access article distributed under the terms and conditions of the Creative Commons Attribution (CC BY) license (https://creativecommons.org/licenses/by/4.0/).








