Abstract
The aim of this study was to evaluate the role of rock powder in the phytoremediation of Inceptisol (sandy loam) and Oxisol (clay) contaminated with diuron. Canavalia ensiformis plants were grown in pots containing 7.5 kg of both soils, with doses of 0, 4, and 8 t ha−1 of rock powder. Diuron was applied in doses ranging from 875 to 3500 g of a.i. ha−1. The injury level was assessed at 42 days after emergence (DAE), and the morphological characteristics were assessed at 120 DAE. After phytoremediation, the soil was analyzed using High Performance Liquid Chromatography (HPLC) and by bioassay with cucumber (Cucumis sativus) to detect diuron. In Oxisol, no injury was observed, and the rock powder (4 t ha−1) benefited the growth of C. ensiformis regardless of the dose of diuron. In Inceptisol, the greatest reduction in growth occurred with 3500 g a.i. ha−1 of diuron and 8 t ha−1 of rock powder. Diuron was detected after 120 days in Inceptisol with 2625 g a.i. ha−1 without rock powder and 3500 g a.i. ha−1 with and without rock powder. The cucumber bioindicator in Inceptisol showed an increase in the level of injury as the dose of diuron increased. The rock powder favored the growth of C. ensiformis and was able to phytoremediate high concentrations of diuron, which supports the safe use of this herbicide for weed control, minimizing environmental impacts.
1. Introduction
Between 1990 and 2020, herbicide consumption grew exponentially in agriculture in order to maintain productivity and quality in production [1]. On the other hand, the increased consumption of these products creates major problems for the environment and the population, as herbicide residues are often found in water (surface and ground) and soil [2,3,4].
Herbicides from the phenylurea chemical group are among the most widely used herbicides in agriculture, such as diuron [3-(3,4-dichlorophenyl)-1,1-dimethylurea]; although its use is agronomically efficient and has an economic return, its frequent use can pose contamination risks [5].
In Brazil, diuron is recommended for coffee, sugar cane, cotton, and citrus crops and controls both dicotyledons and monocotyledons in pre- and post-emergence of weeds [5,6,7,8]. Diuron has a non-ionic and neutral octanol-water partition coefficient (Kow = 2.87) and sorption coefficient normalized by soil organic carbon (OC) content (Koc = 680 L kg−1) [9]. The diuron molecule is chemically stable and persists for more than 229 days in soils due to its low mobility in the soil and low solubility in water (Sw = 35.6 mg L−1), in addition to its greater affinity with soil particles and organic matter (OM) [9,10,11].
Diuron has been used worldwide for over 40 years, and studies have shown that at concentrations of 0.05–0.5 μg L−1, diuron can cause carcinogenic, mutagenic, and neurotoxic effects in humans and mammals, as well as being harmful to fish, plants, invertebrates, and freshwater algae at concentrations of 200 μg L−1 [12,13,14].
Thus, the behavior and availability of diuron in the environment have become a focus of research, specifically because diuron undergoes transformation processes, and its metabolites, such as 3,4-dichloroaniline (3,4-DCA) and 3-(3,4-dichlorophenyl)-1-methylurea (DCPMU), for example, have greater ecotoxicological effects than the parent compound [15,16]. In this research, the authors use both biological methods to detect the presence of the herbicide, which involves the use of herbicide-sensitive bioindicator plants such as cucumber (Cucumis sativus) and analytical methods using high performance liquid chromatography (HPLC) equipment to quantify the presence of the herbicide in the sample. As a strategy for mitigating the problems generated by diuron, various technologies have emerged to remove the compound from the environment, whether by advanced physical sorption, photocatalytic degradation, chemical degradation, or biological treatments [17,18,19,20]. However, there are still no studies on the phytoremediation of soils amended by remineralization and contaminated with diuron.
Phytoremediation techniques are used to mitigate the negative impacts caused by the herbicide, using tolerant plant species with good root absorption and biomass accumulation, such as Canavalia ensiformis (jack bean), with a capacity of phytoremediating other herbicides such as hexazinone, tebuthiuron, sulfentrazone, and trifloxysulfuron-sodium [19,21,22,23,24,25].
In this way, this research proposes that the phytoremediation of diuron is more efficient with the help of rock powders, which modify the pH of the soil and influence its remobilization from the colloids, making it available in the soil solution and facilitating its phytoremediation by C. ensiformis [26].
Studying the behavior of diuron in soils amended by rock powders, together with a phytoremediation plant, can help to reduce the negative impacts generated by the herbicide in an economical and safe way for succession crops. Therefore, the aim of this research was to evaluate the influence of the rock powder and C. ensiformis in the phytoremediation process of soils contaminated by diuron. Moreover, bioassay with cucumber and HPLC techniques were used to confirm the presence of diuron residues in the soil after cultivation of the phytoremediation species.
2. Materials and Methods
2.1. Experimental Area and Soils Used
The experiments were conducted in a greenhouse at the Department of Agronomy of the Federal University of Viçosa, Viçosa, MG, Brazil. The soils were collected in Rio Paranaíba, MG, Brazil (latitude: 19°11′39″ S, longitude: 46°14′37″ W) and Oratórios, MG, Brazil (latitude: 20°25′5″ S, longitude: 42°47′28″ W), from the 0 to 20 cm layer, in an area where no herbicides had been applied in the last three years. The soils in Rio Paranaíba and Oratórios were classified as Oxisol (clay) and Inceptisol (sandy loam), respectively, according to the Brazilian Soil Classification System [27].
The rock powder used was KP Fértil® (Triunfo Mineração do Brasil, Carmo do Paranaíba—MG, Brazil), nutrient source P2O5 (3%), K2O (3%), CaO (4%), MgO (4%), MnO (0,32%), Fe (14,0%), Cu, Zn, Mo, B, Co, and SiO2 (35%), and pH 7,0. The characterization of the soil, amended and unamended with the rock powder, can be found in Table S1. It was observed that pH showed little difference with the presence of the rock powder in Oxisol, and in Inceptisol, these values remained constant. Soil OM was higher in Oxisol, but in Inceptisol, these values were reduced with the addition of the rock powder. The phosphorus (P) content was progressively higher as the rock powder dose increased in Oxisol and Inceptisol. The potassium (K) content changed at a dose of 4 t ha−1 in both soils, with a reduction of ~3% of the initial content in Oxisol and an increase of ~8% in Inceptisol. The values of the macronutrients calcium (Ca) and magnesium (Mg) changed with the addition of the rock powder. The Oxisol showed an increase in Ca of 2.18% with 8 t ha−1 of the rock powder in relation to the unamended soil, and in Inceptisol, these values were 7.29% and 10.2%, respectively, in relation to the unamended soil.
2.2. Experimental Design and Treatments
It consisted of two experiments, which used jack bean (C. ensiformis) to study the phytoremediation of Oxisol and Inceptisol soils contaminated by diuron and amended with rock powder.
The experiments were conducted simultaneously in the winter of 2022 in a greenhouse and evaluated independently. The design adopted was entirely randomized in a 3 × 4 + 1 factorial scheme, the first factor consisting of the doses of 0, 4, and 8 t ha−1 of the rock powder. The second factor consisted of the doses of diuron (0; 875; 1750; 2625; and 3500 g a.i. ha−1) plus the control treatment (no herbicide application) with four replicates.
For this study, 7.5 kg pots were covered with polyethylene film to prevent leaching of the applied diuron. The doses of rock powder added to each pot were obtained by converting the dose applied (4 and 8 t) to the mass of soil in one hectare, considering the 0–20 cm layer (2,000,000 L), to the mass of soil in the pot (7.5 kg). For the 4 and 8 t ha−1 doses, 12 and 24 g of rock powder were added per pot, respectively. The rock powder was incorporated into the entire mass of soil.
After 30 days, the soil was placed in the pots, the period required for the rock powder to react with the soil, the chemical analysis was carried out, and the herbicide was applied, followed by the sowing of four C. ensiformis seeds per pot, a diuron phytoremediator species [19]. The analyses of P and K were assessed using the Mehlich−1 extractor. Ca, Mg, and Al3+ were extracted using KCl (1 mol L−1). Potential acidity (H + Al) was extracted using calcium acetate (0.5 mol L−1) at pH 7.0. The OM was quantified using the Walkley-Black titration method after wet oxidation. The application was carried out using a pressurized CO2 backpack sprayer equipped with a twin-tip boom model a TTI-110.02, spaced 50 cm apart and maintained at a working pressure of 196,133 Pa, calibrated to apply 150 L ha−1 of spray. The doses corresponded to 0, 25, 50, 75, and 100% of the maximum dose of the active ingredient (a.i.) recommended by the manufacturer were applied in ascending order to avoid contamination problems. At the time of application, environmental conditions were ideal, with temperatures below 35ºC, relative humidity above 60%, and wind speed of 4 km h−1.
After sowing, the seedlings were thinned out 7 days after emergence (DAE), leaving one plant per pot. The pots were irrigated on a scheduled basis once a day for 15 min throughout the experiment.
2.3. Biometric Evaluations and Injury Level of Canavalia ensiformis
When the plants reached flowering (end of the experiment) 120 DAE for diuron in Oxisol and Inceptisol, the following variables were measured through biometric evaluations: plant height (HT) (cm), diameter (DM) (mm), number of trefoils (NT), leaf area (LA) (cm2), aerial dry mass (AD) (g) and root dry mass (RDM) (g). The HT was measured using a tape measure positioned on the soil surface to the apical meristem of the plants. The DM was measured at the height of the first node using a digital caliper. The LA was assessed using a leaf area meter (Licor Equipamentos®, model LI—3100, São Paulo, SP, Brazil). The AD and RDM were obtained after collecting and drying the remaining biomass of the aerial part and roots in a forced air circulation oven at 65 °C for 72 h and weighing on an analytical balance (model SHIMADZU ATY 224, São Paulo, Brazil). The variables were corrected to percentage values for the pots of plants grown with substrates that did not receive herbicide application. The injury level (IL) was assessed at 42 DAE by visual evaluation, compared to the control treatment, where 0 represents no injury and 100 plant deaths.
2.4. Analysis of Bioavailable Diuron Residues in Soil Solution Using a Bioassay
After the biometric evaluations, 300 g plastic pots were filled with soil collected from the pots that had been cultivated with the phytoremediation species to indicate the presence of diuron and possible differences in the efficiency of the phytoremediation process by C. ensiformis. Five seeds were then sown per pot of the diuron bioindicator species. The species C. sativus (cucumber) was used to indicate diuron [28,29]. Two experiments (one herbicide x two soil types) were carried out in a greenhouse using a completely randomized design with four replications.
The pots received daily scheduled irrigation for 15 min throughout the experiment. The IL and AR of the bioindicator plants were assessed at 21 DAE of the seedlings, similar to the methodology adopted for C. ensiformis. The AR of the plants was corrected to percentage values relative to the AR of the plants grown with the substrates that did not receive herbicide application.
2.5. Analysis of Diuron Residues by High Performance Liquid Chromatography
For residue analysis by liquid chromatography, another sample was taken and stored in a freezer (model H400, Curitiba, PR, Brazil) at −20 °C to preserve the herbicide. The instrument used to quantify the herbicides in the soil was a high performance liquid chromatograph (HPLC), (model Shimadzu LC 20AT, Shimadzu, Tokyo, Japan) equipped with a photodiode array detector (Shimadzu SPD M20A) and a C18 stainless steel column (Shimadzu VPODS Shimpack 250 mm × 4.6 mm di, 5 µm particle size).
2.6. Analysis of Diuron Residues by High Performance Liquid Chromatography
The method was validated according to the parameters of linearity, limit of detection (LoD), limit of quantification (LoQ), selectivity, accuracy, and precision [30]. The conditions of the chromatographic analysis were mobile phase water and acetonitrile 40:60 (v/v), flow rate of 1.00 mL min−1, injection volume of 20 μL, wavelength of 254 nm and column temperature of 30 °C.
Linearity was assessed using seven concentrations of the diuron standard (98.0% purity, Sigma-Aldrich, Buchs, Switzerland) diluted in methanol (CH3OH) (0.1, 0.2, 0.4, 0.6, 0.8, 1, and 1.5 mg L−1) (Figure 1A,B). Another curve was prepared by fortifying the Oxisol and Inceptisol soils with concentrations of 0.04, 0.08, 0.16, 0.30, 0.40, and 0.80 mg kg−1 (Figure 1C,E). Each concentration was carried out in triplicate. The method showed good linearity, with a coefficient of determination (R2) of 0.9909 in Oxisol and 0.9951 in Inceptisol. The retention time (Rt) for diuron was 5.56 min (Figure 1B,D,F).
Figure 1.
Analytical curve of diuron and extended retention time chromatogram in methanol (A,B), in Oxisol (C,D) and Inceptisol (E,F), obtained by high performance liquid chromatography (HPLC).
The LoD and LoQ were calculated using Equations (1) and (2), respectively, and the parameters of the equations were taken from the linearity curve in Figure 1A,C,E.
where
s = standard deviation of the response
S = slope or angular coefficient of the analytical curve
The LoQ and LoD were 0.032 and 0.107 mg L−1 in methanol, 0.029 and 0.096 mg kg−1 in Oxisol, 0.022 and 0.073 mg kg−1 in Inceptisol.
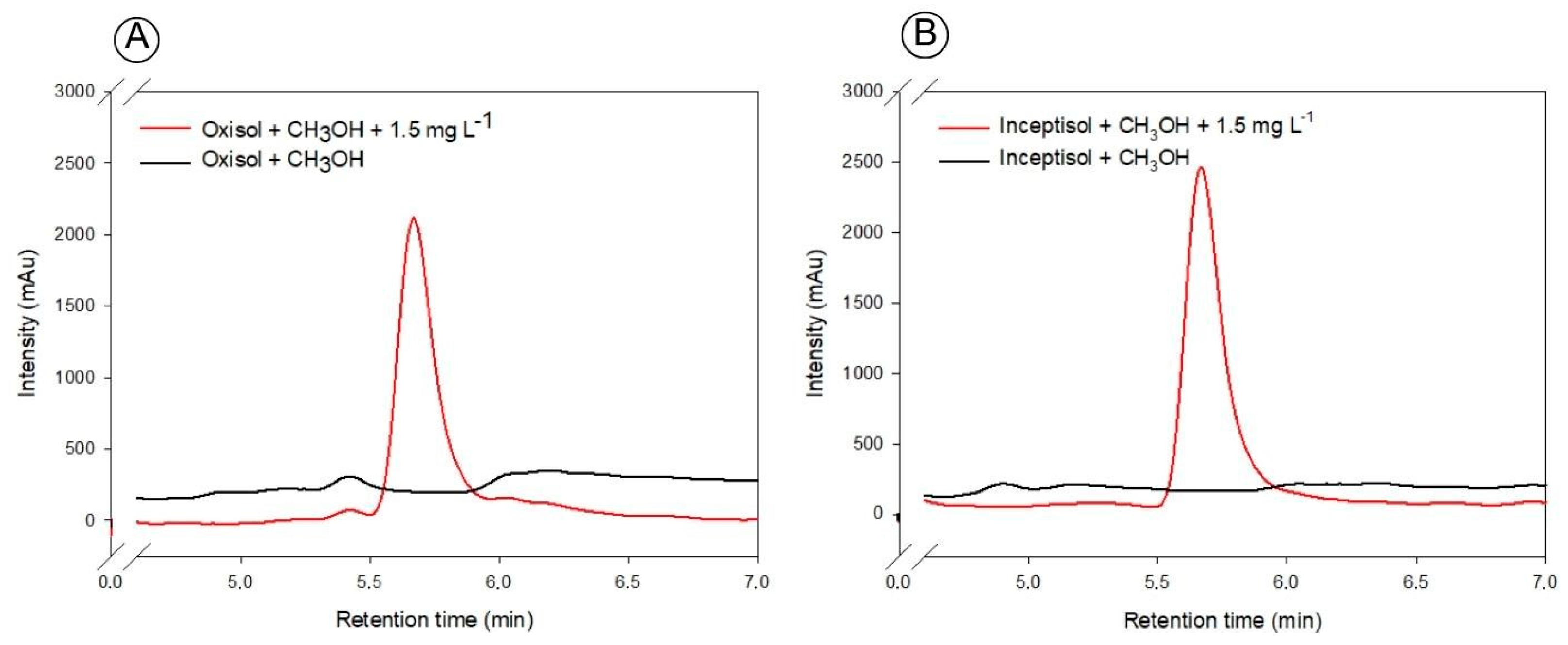
Selectivity was analyzed by comparing the overlapping chromatograms of the soil matrix in the absence and presence of the diuron standard following the methodology described by Queiroz et al. [31]. For the selectivity study, 5 g of Oxisol and Inceptisol were placed in 50 mL falcon tubes and fortified with 1 mL of solution containing the diuron standard diluted in methanol at a concentration of 1.5 mg L−1. Samples of Oxisol and Inceptisol without herbicide fortification were also prepared as a control. All the samples were taken in triplicate and left to stand in the dark for the methanol to evaporate. To extract the herbicide, 10 mL of methanol was added to each falcon tube. The tubes were shaken vertically at a temperature of 27 ± 2 °C for 3 h and centrifuged in a digital centrifuge (Kasvi, K14-0815P, Paraná, Brazil) at 4000 rpm for 7 min. The supernatant was removed using a volumetric pipette, filtered through a Milipore filter with a 0.45 µm PTFE membrane, and stored in vials with a capacity of 1.5 mL. The vials were analyzed using HPLC. Due to the absence of interferents in the Oxisol and Inceptisol matrix, the method was considered selective (Figure 2).
Figure 2.
Chromatogram of Oxisol (A) and Inceptisol fortified with diuron (B) (1.5 mg L−1). Rt of 5.56 min.
The accuracy of the method was analyzed using recovery tests. For the recovery tests, 5 g of Oxisol and Inceptisol were placed in 50 mL falcon tubes and fortified with 1 mL of a solution containing the diuron standard diluted in methanol at concentrations of 0.08, 0.16, and 0.30 mg kg−1. All samples were taken in triplicate. After extracting the herbicide, the vials were analyzed in the HPLC to quantify the percentage recovery (R) of the method, which is the ratio between the extracted concentrations and the fortified concentrations in the samples. Intermediate precision was demonstrated by the coefficient of variation (CV%) calculated for three measurements taken on different days and at three concentration levels (0.08, 0.16, and 0.30 mg kg−1). The extraction method obtained good accuracy and precision for the two soils, proving to be within the standards required by ANVISA [32] and INMETRO [30], which are 80–120% for recovery and <20% CV for precision. Accuracy ranged from 80.25 to 89.60% for Oxisol and from 93.41% to 102.88% for Inceptisol. The CV of precision was below 20% for Oxisol and Inceptisol (Table 1).
Table 1.
Accuracy and precision of the diuron extraction method used on samples of Oxisol (clay) and Inceptisol (sandy loam) fortified with three concentrations of the herbicide standard.
2.7. Statistical Analysis
The biometric data of C. ensiformis (HT, DM, NT, LA, AR, RDM) and IL were submitted to analysis of variance (ANOVA), and when significant for interaction between the factors, the means were analyzed with multiple regressions. For the data not significant for interaction, the means of the isolated factors were analyzed using the Tukey mean test (p < 0.05) with bars representing the standard error (±EP) of the mean (n = 4). The IL and DB data from the residue bioassay were also analyzed using the Tukey mean test, with bars representing the ±E) of the mean (n = 4). The multiple regression analyses and Tukey’s test were carried out in the R Studio program (version 4.2.0, Team R Core, 2022). Graphs were produced using the SigmaPlot program (version 14.0 for Windows, Systat Software Inc., Point Richmond, CA, USA).
3. Results
3.1. Biometric and Injury Level Analyses of Canavalia ensiformis in Oxisol and Inceptisol
In Oxisol, no injury levels (IL) were observed in the phytoremediator C. ensiformis at 42 DAE. There was no interaction between the herbicide dosage and rock powder dosage for all the analyzed variables: plant height (HT) (F = 1.04, p = 0.41), aerial dry mass (AD) (F = 1.20, p = 0.32), number of trefoils (NT) (F = 0.50, p = 0.80), leaf area (LA) (F = 1.44, p = 0.22), stem diameter (SD) (F = 0.84, p = 0.54), and root dry biomass (RDM) (F = 1.20, p = 0.32) at a 5% significance level in Oxisol (Figure 3). In the same soil, the rock powder did not influence the behavior of diuron and the variables HT, AD, and RDM (Figure 3A,B,F). AD and RDM were the only variables unaffected by both study factors, with relative values exceeding 85% (Figure 3B,F). At herbicide dosages of 2625 and 3500 g a.i. ha−1 of diuron, there was approximately a 95% reduction in HT (Figure 3A). The species exhibited robust growth in the NT and LA in the presence of 4 t ha−1 of the rock powder, regardless of the herbicide dosage. However, the 8 t ha−1 rock powder dosage was capable of reducing AD with herbicide dosages up to 2625 g a.i. ha−1 of diuron (Figure 3C–E).
Figure 3.
Height (A), stem diameter (B), number of trefoils (C), leaf area (D), aerial dry mass (E) and root dry mass (F) for the control treatment (no herbicide application) of Canavalia ensiformis subjected to different doses of diuron (875; 1750; 2625; and 3500 g a.i. ha−1) and doses of rock powder (0, 4, and 8 t ha−1) in Oxisol. The columns correspond to the means and the bars to the standard error (±EP) of the mean (n = 4). Averages followed by the same letter do not differ statistically from each other; upper case represents the difference between doses of diuron and lower case doses of rock powder by Tukey’s test (p < 0.05).
The diuron doses did not cause injury levels (IL) at 42 DAE in C. ensiformis in Inceptisol, but there was an interaction between the study factors (herbicide doses and rock powder doses in the variables plant height (HT) (F = 5.08, p = 0.029), aerial dry mass (AD) (F = 39.11, p = 1.42 × 10−7), number of trefoils (NT) (F = 20.13, p = 5.13 × 10−5), leaf area (LA) (F = 20.43, p = 4.62 × 10−5), stem diameter (SD) (F = 10.65, p = 0.002), and root dry mass (RDM) (F = 38.02, p = 1.92 × 10−7) at a 5% significance level (Figure 4). In Inceptisol, the rock powder influenced the behavior of diuron and biometric variables. At the highest diuron dose (3500 g a.i. ha−1), the lowest values of the variables HT, DM, NT, LA, DB, and RDB were observed (Figure 4A). Diuron doses ranging from 875 to 2625 g a.i. ha−1 in soil without and with 4 t ha−1 of rock powder promoted greater DM development with values exceeding 80%, while NT, LA, and RDM variables exceeded 60% (Figure 4B–D,F). The 4 t ha−1 rock powder dose, regardless of herbicide doses, resulted in lower HT values (Figure 4A).
Figure 4.
Plant height (A), stem diameter (B), number of trefoils (C), leaf area (D), aerial dry mass (E), root dry mass (F) of jack bean (Canavalia ensiformis) subjected to different doses of diuron (875; 1750; 2625; and 3500 g a.i. ha−1) and doses of rock powder (0, 4, and 8 t ha−1) in Inceptisol.
3.2. Diuron Residue Analysis with Bioassay in Oxisol and Inceptisol
No injury levels (IL) were observed in the species C. sativus in diuron-contaminated Oxisol, and there was no difference between the herbicide dose and rock powder dose factors (F = 0.30, p = 0.92) in stem diameter (SD) (Figure 5A,B). In Inceptisol, there was no interaction between the study factors in the IL of C. sativus (F = 1.37, p = 0.23) (Figure 5C). The rock powder did not influence the plant’s IL, but injury levels of up to ~40% were observed at the highest diuron dose (3500 g a.i. ha−1) in C. sativus in Inceptisol, 21 DAE, after 120 days of herbicide application. However, there was an interaction between the two study factors in the AD of the bioindicator plant in Inceptisol (herbicide doses and rock powder doses) (F = 2.88, p = 0.02). It was observed that the dose of 2625 g a.i. ha−1 with 4 t ha−1 of rock powder and the highest dose (3500 g a.i. ha−1) without the rock powder resulted in lower AD accumulation in C. sativus at 21 DAE and after 120 days of diuron application in the phytoremediation study (Figure 5C).
Figure 5.
Dry biomass of Cucumis sativus (% relative to the control) 21 days after emergence, cultivated in soil previously treated with diuron residues (875; 1750; 2625; and 3500 g a.i. ha−1) and rock powder doses (0, 4, and 8 t ha−1) remediated by Canavalia ensiformis for 120 days in Oxisol (A,B) and Inceptisol (C,D). Columns represent the means, and the bars represent the standard error (±EP) of the mean (n = 4). Means followed by the same letter do not differ statistically from each other; uppercase represents the difference between doses of diuron and lowercase doses of rock powder by Tukey’s test (p < 0.05).
3.3. Analysis of Diuron Residue Analyzed using High Performance Liquid Chromatography
Contrary to what was shown in the bioassay with C. sativus, in which no level of injury was detected, in this study, diuron residues were detected in Oxisol and Inceptisol after 120 days of herbicide applications in the phytoremediation study (Table 2). In Oxisol, concentrations were detected <LoQ (0.096 mg kg−1). In Inceptisol, concentrations were also detected, but only at the dose of 2625 g. a.i. ha−1 without the rock powder (0.08 mg kg−1) and at the highest dose (3500 g a.i. ha−1) with and without the addition of the rock powder (0, 4, and 8 t ha−1), they were quantified at 120 DAE (0.11; 0.08 and 0.09 mg kg−1) > LoQ (0.073 mg kg−1) respectively. These results represent a reduction of ~97.16% in relation to the highest dose initially applied, corresponding to 3.297 mg kg−1. Therefore, these factors may be related to the greater sorption of the herbicide in soils with a higher OM and CEC content, making it unavailable for root absorption and making it possible to detect it using analytical methods.
Table 2.
Detection of diuron residues by high performance liquid chromatography (HPLC) 120 days after application to Oxisol and Inceptisol.
4. Discussion
Soils amended with rock powders improved the physical and chemical properties of the soil, such as fertility. On the other hand, the rock powder can influence the retention capacity of the herbicide in soils due to the modification of the pH of the medium. For example, according to the pKa of the herbicide and the pH of the soil, the molecule may be more or less bioavailable in the soil solution [33]. Diuron is a non-ionic herbicide, but Fontecha-Câmara et al. [34] and Castro Neto et al. [35] showed that this herbicide was able to receive protons behaving like cations when the pH of the medium was <6. In this study, it was observed that in Oxisol, regardless of the presence of the rock powder, the pH of the medium was above 6, while in Inceptisol, the pH was below 6, which means that in Inceptisol, the herbicide may have been easily sorbed by the soil colloids.
Soil properties, such as OM and CEC, are important in determining the sorption of diuron so that soils with low levels of these properties have a lower capacity to sorb this herbicide [18,36]. The greater sorption of diuron was observed in the study carried out by Chagas et al. [37], who, when evaluating the increase in pH, Ca2+, and Mg2+ in the alteration of diuron in different soils, the authors realized that the interactions established between diuron and OM such as hydrogen bonds [38], Van der Waals forces [34], increased the stability of the bond. So, the desorption of diuron was lower. The OM in Oxisol varied from 3.81 to 3.64% between 0 and 8 t ha−1 of the rock powder, with a CEC between 9.06 and 9.24 cmolc dm−3, while in Inceptisol, the OM varied from 0.33 to 0%, with a CEC between 2.80 and 3.30 cmolc dm−3 (Table S1). This may have been because the increase in pH may have increased the hydrophobicity of the OM and consequently the increase in CEC in Oxisol, making the herbicide more sorbed, while in Inceptisol diuron was more available, which may explain why the bioindicator species, C. sativus was not injured in Oxisol and why it was injured in Inceptisol. Therefore, since diuron is a non-ionic molecule, which gives it hydrophobic characteristics, it favors sorption to the organic fraction of the soil due to more stable and higher energy bonds compared to mineral compounds [39]. According to Matos et al. (2020), the higher OM and CEC contents of medium-textured soil (OM of 1.1% and CEC of 71 mmolc dm−3) and clay-textured soil (OM of 2.3% and CEC of 83 mmolc dm−3) contributed to greater adsorption of diuron when compared to sandy soil (OM of 0.6% and CEC of 44 mmolc dm−3).
Other soil properties that may have contributed to the greater sorption of diuron are the macronutrients Ca2+ and Mg2+, with higher levels observed in Oxisol, with a higher value at the dose of 8 t ha−1 of the rock powder (5.04 cmolc dm−3) and lower in Inceptisol, providing lower solubility of the herbicide in conditions of higher Ca2+ and Mg2+ concentrations, increasing the affinity of the herbicide for hydrophobic regions of the soil and increasing sorption capacity [37]. In addition, because diuron has two chlorine atoms attached to the aromatic ring, it allows the formation of electronegative sites capable of attracting cations, such as in Oxisol, as it is possible for bivalent cations to interact with the herbicide, for example, forming cation-herbicide-cation or cation-herbicide complexes, with high stability, so that diuron can be more strongly sorbed [40,41].
As well as the properties of the soils, the period during which the experiment was conducted influenced the greater or lesser availability of diuron. In Oxisol, diuron showed no visible symptoms in C. ensiformis and relative values above 80% for DM, DB, and RDM. This behavior is due to the environmental conditions since the experiment was conducted in winter, and PSII-inhibiting herbicides such as diuron have low solubility at low temperatures, showing a greater tendency for the herbicide to sorb to soils [42]. Another reason for these results in Oxisol would be the higher OM and clay content, which are the main keys to diuron sorption in soils, making it unavailable for plant root absorption [18,43]. On the other hand, no IL was observed in Inceptisol, but the variables were reduced to values relative to 40%, so even though diuron does not cause visible injury to the species, the herbicide can cause an interruption in the production of photoassimilates as well as influence the growth of tolerant species such as C. ensiformis [44]. This effect was seen in the same species when hexazinone was applied, also belonging to the PSII inhibitor, and it was observed that there was a loss in aerial dry matter (DB) but no visible symptoms of the herbicide in the plant [19].
There are few studies related to the phytoremediation of C. ensiformis in soils contaminated with diuron, so in the study by Teófilo et al. [19] the phytoextraction of soils contaminated by diuron, hexazinone and sulfomenturon-methyl by green manure species was carried out, in which they concluded that the presence of diuron reduced the dry mass of C. ensiformis, this species being relatively tolerant to diuron. Therefore, different results were observed in our study, in which it was possible to confirm greater dry mass accumulation between the doses of 875 and 2625 g a.i. ha−1 and tolerance to the herbicide regardless of the field dose applied. These behaviors are desirable for phytoremediating species, making it possible to use them to decontaminate other herbicides. On the other hand, diuron symptoms were observed in the bioindicator species (C. sativus) sown in Inceptisol with an IL below ~50%. The main symptoms seen on C. sativus were light green coloration, followed by necrosis and chlorosis. As a systemic herbicide, with translocation through the xylem, the IL observed in species sensitive to this herbicide, such as C. sativus, is caused by the inhibition of photosynthesis and the formation of reactive oxygen species, followed by cell damage [45,46].
The amount of diuron residue extracted more than 120 days after herbicide application was below the LoQ in Oxisol and Inceptisol, except for the dose of 2625 g a.i. ha−1 without the rock powder and the highest dose of diuron without and with the addition of the rock powder in Inceptisol, where the amount was above the LoQ. These results are related to the high sorption of the herbicide, which makes diuron unavailable in the soil for root absorption. For this reason, soil OM is considered the main point of fixation of chemical residues and inactivation of herbicides, such as diuron [47]. According to Guimarães et al. [18], the higher content of soil OM would increase the microbial population and the activity that would degrade the herbicide, but on the other hand, the greater amount of OM would increase the sorption of diuron with the soil and make it unavailable for degradation, as well as for absorption by plant roots. In the study carried out by Agbaogun and Fischer [48], the sorption of phenylurea herbicides in tropical soils was strongly correlated with the OM content, in which the authors observed that soils with low OM content had a negative and positive relationship when the OM content increased.
In general, the behavior of diuron is influenced by the properties of the soil, especially the levels of OM, pH, CEC, Ca2+, and Mg2+. Soil properties can determine the final fate of diuron, which can compromise natural resources and cause damage to non-target organisms, as it is known that herbicides such as diuron remain in the soil for a long time, making it difficult to grow subsequent crops. It is important to understand how diuron behaves in soils with different textures, as well as how changes in soil properties influence the final fate of the herbicide. Therefore, it is important to know the role of the phytoremediating plant in decontaminating diuron and, in addition, to know the quantitative capacity of diuron that the plant can metabolize, which is why further studies are needed to try to quantify diuron in the plant.
5. Conclusions
The rock powder did not influence the phytoremediation process of soils contaminated with diuron. Canavalia ensiformis is tolerant and effective in remediation. The results highlighted the influence of soil characteristics, particularly OM content, clay, and CEC, with more pronounced effects observed in Oxisol compared to the Inceptisol. Furthermore, higher concentrations of Ca2+ and Mg2+ in Oxisol reduced diuron solubility, enhancing its sorption capacity and decreasing its bioavailability to plant roots. Hence, this study underscores the importance of HPLC analysis and bioassays with cucumber for reliable results. Therefore, this research contributes to the understanding and prevention of risks associated with diuron in soils of contrasting textures. Consequently, further investigations are suggested involving soil microorganisms and the phytoremediating plant to comprehend their respective roles in degradation. It is also crucial to understand how diuron dynamics interact with soil properties.
Supplementary Materials
The following supporting information can be downloaded at: https://www.mdpi.com/article/10.3390/horticulturae9121251/s1, Table S1: Physical and chemical characteristics of Oxisol (clayey) and Inceptisol (sandy loam) unamended and amended with 4 and 8 t ha−1 of rock powder.
Author Contributions
Conceptualization, G.R.A. and K.F.M.; methodology, G.R.A. and K.F.M.; software, G.R.A.; validation, G.R.A., V.V. and L.B.X.d.S.; formal analysis, G.R.A.; investigation, G.R.A. and L.B.X.d.S.; resources, E.S.S.; data curation, G.R.A., L.B.X.d.S. and K.F.M.; writing—original draft preparation, G.R.A., L.B.X.d.S. and K.F.M.; writing—review and editing, G.R.A. and K.F.M.; visualization, M.P.d.S.B.; supervision, K.F.M.; project administration, G.R.A.; funding acquisition, G.R.A. and. K.F.M. All authors have read and agreed to the published version of the manuscript.
Funding
The authors would like to thank the Coordenação de Aperfeiçoamento de Pessoal de Nível Superior (CAPES) for the first-author scholarship and financial support and the Triunfo Mineração do Brasil LTDA 53/2021 for financial support to project number 5633.
Data Availability Statement
Data are contained within the article and Supplementary Materials.
Conflicts of Interest
The authors declare no conflict of interest.
References
- FAO. Pesticides Use, Pesticides Trade and Pesticides Indicators–Global, Regional and Country Trends, 1990–2020. FAOSTAT Anal. Briefs 2022, 46, 1–13. [Google Scholar] [CrossRef]
- Matzrafi, M.; Seiwert, B.; Reemtsma, T.; Rubin, B.; Peleg, Z. Climate Change Increases the Risk of Herbicide-Resistant Weeds Due to Enhanced Detoxification. Planta 2016, 244, 1217–1227. [Google Scholar] [CrossRef] [PubMed]
- Bilal, M.; Iqbal, H.M.N.; Barceló, D. Persistence of Pesticides-Based Contaminants in the Environment and Their Effective Degradation Using Laccase-Assisted Biocatalytic Systems. Sci. Total Environ. 2019, 695, 133896. [Google Scholar] [CrossRef] [PubMed]
- Mendes, K.F.; Régo, A.P.J.; Takeshita, V.; Tornisielo, V.L. Water Resource Pollution by Herbicide Residues. In Biochemical Toxicology: Heavy Metals and Nanomaterials; BoD—Books on Demand: Norderstedt, Germany, 2020; ISBN 978-1-78984-696-6. [Google Scholar]
- Li, J.; Zhang, W.; Lin, Z.; Huang, Y.; Bhatt, P.; Chen, S. Emerging Strategies for the Bioremediation of the Phenylurea Herbicide Diuron. Front. Microbiol. 2021, 12, 686509. [Google Scholar] [CrossRef] [PubMed]
- Silva Moretto, J.A.; Rueda Furlan, J.P.; Tonelli Fernandes, A.F.; Bauermeister, A.; Lopes, N.P.; Stehling, E.G. Alternative Biodegradation Pathway of the Herbicide Diuron. Int. Biodeterior. Biodegrad. 2019, 143, 104716. [Google Scholar] [CrossRef]
- Muendo, B.M.; Shikuku, V.O.; Getenga, Z.M.; Lalah, J.O.; Wandiga, S.O.; Rothballer, M. Adsorption-Desorption and Leaching Behavior of Diuron on Selected Kenyan Agricultural Soils. Heliyon 2021, 7, e06073. [Google Scholar] [CrossRef]
- Alba, L.-M.; Esmeralda, M.; Jaime, V. Enhanced Biodegradation of Phenylurea Herbicides by Ochrobactrum Anthrophi CD3 Assessment of Its Feasibility in Diuron-Contaminated Soils. Int. J. Environ. Res. Public Health 2022, 19, 1365. [Google Scholar] [CrossRef]
- PPDB—Banco de Dados de Propriedades de Pesticidas. Available online: http://sitem.herts.ac.uk/aeru/ppdb/ (accessed on 27 October 2023).
- Calegari, R.P.; Mendes, K.F.; Martins, B.C.; Pimpinato, R.F.; Baptista, A.S.; Tornisielo, V.L. Removal of Diuron and Hexazinone from Public Water Supply Using a Filter System. Planta Daninha 2018, 36, e018183662. [Google Scholar] [CrossRef]
- Chen, B.; Wang, X. Combined Approach for Determining Diuron in Sugarcane and Soil: Ultrasound-Assisted Extraction, Carbon Nanotube-Mediated Purification, and Gas Chromatography–Electron Capture Detection. J. Food Sci. 2019, 84, 2402–2411. [Google Scholar] [CrossRef]
- Da Rocha, M.S.; Arnold, L.L.; Dodmane, P.R.; Pennington, K.L.; Qiu, F.; De Camargo, J.L.V.; Cohen, S.M. Diuron Metabolites and Urothelial Cytotoxicity: In Vivo, In Vitro and Molecular Approaches. Toxicology 2013, 314, 238–246. [Google Scholar] [CrossRef]
- Behrens, D.; Rouxel, J.; Burgeot, T.; Akcha, F. Comparative Embryotoxicity and Genotoxicity of the Herbicide Diuron and Its Metabolites in Early Life Stages of Crassostrea Gigas: Implication of Reactive Oxygen Species Production. Aquat. Toxicol. 2016, 175, 249–259. [Google Scholar] [CrossRef] [PubMed]
- Manonmani, G.; Sandhiya, L.; Senthilkumar, K. Mechanism and Kinetics of Diuron Oxidation by Hydroxyl Radical Addition Reaction. Environ. Sci. Pollut. Res. 2020, 27, 12080–12095. [Google Scholar] [CrossRef] [PubMed]
- Hussain, S.; Arshad, M.; Springael, D.; SøRensen, S.R.; Bending, G.D.; Devers-Lamrani, M.; Maqbool, Z.; Martin-Laurent, F. Abiotic and Biotic Processes Governing the Fate of Phenylurea Herbicides in Soils: A Review. Crit. Rev. Environ. Sci. Technol. 2015, 45, 1947–1998. [Google Scholar] [CrossRef]
- Chang, J.; Fang, W.; Chen, L.; Zhang, P.; Zhang, G.; Zhang, H.; Liang, J.; Wang, Q.; Ma, W. Toxicological Effects, Environmental Behaviors and Remediation Technologies of Herbicide Atrazine in Soil and Sediment: A Comprehensive Review. Chemosphere 2022, 307, 136006. [Google Scholar] [CrossRef]
- Canle López, M.; Fernández, M.I.; Rodríguez, S.; Santaballa, J.A.; Steenken, S.; Vulliet, E. Mechanisms of Direct and TiO2-Photocatalysed UV Degradation of Phenylurea Herbicides. ChemPhysChem 2005, 6, 2064–2074. [Google Scholar] [CrossRef]
- Guimarães, A.C.D.; Mendes, K.F.; Dos Reis, F.C.; Campion, T.F.; Christoffoleti, P.J.; Tornisielo, V.L. Role of Soil Physicochemical Properties in Quantifying the Fate of Diuron, Hexazinone, and Metribuzin. Environ. Sci. Pollut. Res. 2018, 25, 12419–12433. [Google Scholar] [CrossRef]
- da Silva Teófilo, T.M.; Mendes, K.F.; Fernandes, B.C.C.; de Oliveira, F.S.; Silva, T.S.; Takeshita, V.; de Freitas Souza, M.; Tornisielo, V.L.; Silva, D.V. Phytoextraction of Diuron, Hexazinone, and Sulfometuron-Methyl from the Soil by Green Manure Species. Chemosphere 2020, 256, 127059. [Google Scholar] [CrossRef]
- Park, J.M.; Jhung, S.H. Polyaniline-Derived Carbons: Remarkable Adsorbents to Remove Atrazine and Diuron Herbicides from Water. J. Hazard. Mater. 2020, 396, 122624. [Google Scholar] [CrossRef]
- Procópio, S.d.O.; Santos, J.B.; Pires, F.R.; Silva, A.A.; Santos, E.A.; Cargnelutti Filho, A. Development of Bean Plants in Soil Contaminated with Trifloxysulfuron-Sodium after Stizolobium Aterrimum and Canavalia Ensiformis Cultivation. Planta Daninha 2007, 25, 87–96. [Google Scholar] [CrossRef]
- Ferraço, M.; Pires, F.R.; Belo, A.F.; Celin, A.; Bonomo, R. Effect of Population Density of Canavalia Ensiformis on the Phytoremediation of Soil Contaminated with Sulfentrazone. Rev. Ciência Agronômica 2017, 48, 32–40. [Google Scholar] [CrossRef]
- Mendes, K.F.; Maset, B.A.; Mielke, K.C.; Sousa, R.N.D.; Martins, B.A.B.; Tornisielo, V.L. Phytoremediation of Quinclorac and Tebuthiuron-Polluted Soil by Green Manure Plants. Int. J. Phytoremediation 2021, 23, 474–481. [Google Scholar] [CrossRef] [PubMed]
- dos Santos Silva, M.; de Souza, H.B.F.; de Brito Bispo, J.; da Hora Góes, N.; Rodrigues, T.C.; de Santana Cerqueira, L.R.; Santana, A.N.; Dias, I.A. Desafios e Estratégias Da Fitorremediação No Meio Ambiente. Pesqui. Agrárias E Ambient. 2021, 6. [Google Scholar] [CrossRef]
- Ferreira, L.C.; Moreira, B.R.d.A.; Montagnolli, R.N.; Prado, E.P.; Viana, R.D.S.; Tomaz, R.S.; Cruz, J.M.; Bidoia, E.D.; Frias, Y.A.; Lopes, P.R.M. Green Manure Species for Phytoremediation of Soil with Tebuthiuron and Vinasse. Front. Bioeng. Biotechnol. 2021, 8, 613642. [Google Scholar] [CrossRef]
- Theodoro, S.H.; de Paula Medeiros, F.; Ianniruberto, M.; Jacobson, T.K.B. Soil Remineralization and Recovery of Degraded Areas: An Experience in the Tropical Region. J. S. Am. Earth Sci. 2021, 107, 103014. [Google Scholar] [CrossRef]
- Brazilian Soil Classification System.—Portal Embrapa. Available online: https://www.embrapa.br/busca-de-publicacoes/-/publicacao/1094001/brazilian-soil-classification-system (accessed on 4 October 2023).
- Mendes, K.F.; Goulart, B.F.; Possamai, A.C.S.; Inoue, M.H.; de Matos, A.K.A.; Tschope, M.C. Leaching of hexazinone and mixture hexazinone + diuron in columns of soils with distinct textures. Agro@Mbiente -Line 2013, 7, 218–224. [Google Scholar] [CrossRef]
- Madalão, J.C.; de Souza, M.F.; Silva, A.A.; Silva, D.V.; Jakelaitis, A.; Pereira, G.A.M. Action of Canavalia Ensiformis in Remediation of Contaminated Soil with Sulfentrazone. Bragantia 2017, 76, 292–299. [Google Scholar] [CrossRef]
- Inmetro – Instituto Nacional de Metrologia, Normalização e Qualidade Industrial. Orientações sobre Validação de Métodos de Ensaios Químicos, DOC-CGCRE-008. 2020. Available online: http://www.inmetro.gov.br/credenciamento/organismos/doc_organismos.asp?torganismo=calibensaios (accessed on 23 September 2023).
- Queiroz, S.d.N.; Ferracini, V.L.; Rosa, M.A.; Cerdeira, A.L. Validação de Método, Por CLAE, Para Determinação de Hexazinone e Diuron Em Solo. In Reunião anual da Sociedade Brasileira de Química 29., 2006, Águas de Lindóia. Resumos; SBQ: Águas de Lindóia, Brazil, 2006. [Google Scholar]
- Anvisa, A.N.d.V.S. Resolucao. RDC N° 4. Dispõe Sobre Os Critérios Para a Realização de Estudos de Resíduos de Agrotóxicos Para Fins de Registro de Agrotóxicos No Brasil. Available online: https://bvsms.saude.gov.br/bvs/saudelegis/anvisa/2012/res0004_18_01_2012.html (accessed on 27 October 2023).
- Refatti, J.P.; de Avila, L.A.; Agostinetto, D.; Manica-Berto, R.; Bundt, A.D.C.; Elgueira, D.B. Efeito Da Calagem Na Lixiviação de Imazethapyr e Imazapyr Em Solo de Cultivo de Arroz Irrigado. Ciência Rural 2014, 44, 1008–1014. [Google Scholar] [CrossRef]
- Fontecha-Cámara, M.A.; López-Ramón, M.V.; Álvarez-Merino, M.A.; Moreno-Castilla, C. Effect of Surface Chemistry, Solution pH, and Ionic Strength on the Removal of Herbicides Diuron and Amitrole from Water by an Activated Carbon Fiber. Langmuir 2007, 23, 1242–1247. [Google Scholar] [CrossRef]
- Castro Neto, M.D.D.; Souza, M.D.F.; Silva, D.V.; Faria, A.T.; Da Silva, A.A.; Pereira, G.A.M.; De Freitas, M.A.M. Leaching of Imidazolinones in Soils under a Clearfield System. Arch. Agron. Soil Sci. 2017, 63, 897–906. [Google Scholar] [CrossRef]
- Antonious, G.F.; Turley, E.T.; Hill, R.R. Impact of Soil Amendments on Metribuzin and DCPA Half-Lives and Mobility into Agricultural Runoff Water. J. Environ. Sci. Health Part B 2014, 49, 313–323. [Google Scholar] [CrossRef]
- das Chagas, P.S.F.; Souza, M.d.F.; Freitas, C.D.M.; de Mesquita, H.C.; Silva, T.S.; dos Santos, J.B.; Passos, A.B.R.d.J.; Medeiros, R.d.C.A.d.; Silva, D.V. Increases in pH, Ca2+, and Mg2+ Alter the Retention of Diuron in Different Soils. Catena 2020, 188, 104440. [Google Scholar] [CrossRef]
- El-Nahhal, Y.; Hamdona, N. Adsorption, Leaching and Phytotoxicity of Some Herbicides as Single and Mixtures to Some Crops. J. Assoc. Arab Univ. Basic Appl. Sci. 2017, 22, 17–25. [Google Scholar] [CrossRef]
- El-Nahhal, Y.; Abadsa, M.; Affifi, S. Adsorption of Diuron and Linuron in Gaza Soils. Am. J. Anal. Chem. 2013, 4, 94–99. [Google Scholar] [CrossRef]
- López-Piñeiro, A.; Cabrera, D.; Albarrán, Á.; Peña, D. Cumulative and Residual Effects of De-Oiled Two-Phase Olive Mill Waste Application to Soil on Diuron Sorption, Leaching, Degradation, and Persistence. Chemosphere 2010, 78, 139–146. [Google Scholar] [CrossRef] [PubMed]
- Smernik, R.J.; Kookana, R.S. The Effects of Organic Matter–Mineral Interactions and Organic Matter Chemistry on Diuron Sorption across a Diverse Range of Soils. Chemosphere 2015, 119, 99–104. [Google Scholar] [CrossRef] [PubMed]
- Liu, Y.; Xu, Z.; Wu, X.; Gui, W.; Zhu, G. Adsorption and Desorption Behavior of Herbicide Diuron on Various Chinese Cultivated Soils. J. Hazard. Mater. 2010, 178, 462–468. [Google Scholar] [CrossRef]
- Giori, F.G.; Tornisielo, V.L.; Pellegrino Cerri, C.E.; Regitano, J.B. Sugarcane Straw Management and Soil Attributes on Alachlor and Diuron Sorption in Highly Weathered Tropical Soils. J. Environ. Sci. Health Part B 2014, 49, 352–360. [Google Scholar] [CrossRef]
- Sun, C.; Xu, Y.; Hu, N.; Ma, J.; Sun, S.; Cao, W.; Klobučar, G.; Hu, C.; Zhao, Y. To Evaluate the Toxicity of Atrazine on the Freshwater Microalgae Chlorella Sp. Using Sensitive Indices Indicated by Photosynthetic Parameters. Chemosphere 2020, 244, 125514. [Google Scholar] [CrossRef]
- Radwan, D.E.M.; Mohamed, A.K.; Fayez, K.A.; Abdelrahman, A.M. Oxidative Stress Caused by Basagran® Herbicide Is Altered by Salicylic Acid Treatments in Peanut Plants. Heliyon 2019, 5, e01791. [Google Scholar] [CrossRef]
- Mendes, K.F.; Silva, A.A. Classificação, Seletividade e Mecanismos de Ação de Herbicidas. In Plantas Daninhas; Oficina de Textos: São Paulo, Brazil, 2022; Volume 2. [Google Scholar]
- Weber, J.B.; Wilkerson, G.G.; Reinhardt, C.F. Calculating Pesticide Sorption Coefficients (Kd) Using Selected Soil Properties. Chemosphere 2004, 55, 157–166. [Google Scholar] [CrossRef]
- Agbaogun, B.K.; Fischer, K. Adsorption of Phenylurea Herbicides by Tropical Soils. Environ. Monit. Assess. 2020, 192, 212. [Google Scholar] [CrossRef] [PubMed]
Disclaimer/Publisher’s Note: The statements, opinions and data contained in all publications are solely those of the individual author(s) and contributor(s) and not of MDPI and/or the editor(s). MDPI and/or the editor(s) disclaim responsibility for any injury to people or property resulting from any ideas, methods, instructions or products referred to in the content. |
© 2023 by the authors. Licensee MDPI, Basel, Switzerland. This article is an open access article distributed under the terms and conditions of the Creative Commons Attribution (CC BY) license (https://creativecommons.org/licenses/by/4.0/).




