Abstract
Low temperatures commonly delay flowering in cut roses but enhance final flower quality, i.e., biomass, petal doubling, and flower size. However, this information remains unclear for spray-type cut roses. This study was conducted to understand the effect of suboptimal temperatures on flower quality in the spray-type cut rose ‘Pink Shine.’ The 6-month-old rooted cuttings were cultivated in environmentally controlled growth chambers at four temperature levels: 25/20 °C (optimal temperature, OT) and 20/20 °C, 20/15 °C, and 15/15 °C (suboptimal temperatures, SOTs). As expected, SOTs significantly delayed the flowering time (11.2–25 days) but enhanced flower quality, with 51% and 160% increases in flower size and biomass, respectively. SOTs did not statistically amplify petal numbers, as expected, compared with OT. Instead, SOTs significantly increased stamen and carpel numbers by 1.3 and 2 times, respectively, resulting in a 1.4-fold increase in total floral organ formation. Moreover, SOTs increased the mRNA levels of A-function genes (RhAP1** and RhFUL**) and C-function genes (RhSHP*) but suppressed the B-function gene (RhPI*), which is linked to the development of plant reproductive structures (stamen and carpel) in spray-type cut roses. Conclusively, the growth temperature was more effective for quantity accumulation than for the number of petals but was similar in carpels. These results suggest that SOTs enhance carpel differentiation during flowering, implying that flowers may choose a reproductive strategy through carpels over petals.
1. Introduction
Roses are the most traded cut flowers globally [1]. Over the last two centuries, many breeders have contributed to the development of new rose varieties with morphological diversity in petal number, color, fragrance, floral shape and structure, flowering time, and frequency [2,3]. In flower forms, standard-type roses produce a bigger flower on a stem compared with spray-type ones having more than four to five flowers per shoot [4]. Consequently, modern rose plants (Rosa hybrida L.) have become representative cut flowers with diverse phenotypes [4].
Most modern roses have double flowers with two or more layers of petals, several of which express a mid-form between the petals and stamens, called petaloid stamens or stamenoid petals [5]. This morphological transition between petals and stamens, a reversal phenomenon, is a phyllody symptom characterized by leaf-like structures replacing normal floral organs [6,7]. A double flower is desirable for many ornamental plants, such as carnations, lilies, petunias, and other bedding plants, because of its aesthetic and commercial needs [8,9]. Therefore, understanding the mechanisms underlying petal doubling in relation to genetic and environmental factors is essential.
Previous studies have reported that floral organ formation is related to temperature conditions during plant growth and changes in their ratios [5,9]. In the standard-type cut rose ‘Vital,’ a heat stress cultivation condition of 32/25 °C considerably reduced the number of floral organs in all sepals, stamens, and carpels, while a relatively low temperature of 18/10 °C slightly increased their numbers [5]. The extremely suboptimal temperature of 15/5 °C dramatically increased the petal number compared with optimal temperature conditions of around 25/18 °C [9]. The above studies showed different results in petal doubling at low temperatures, while the same effects were observed in the reproductive organs (stamens and carpels) with a marked increase. Long-term exposure to low temperatures from bud break to flowering in cut roses increases the number of floral organs, especially reproductive organs such as stamens and carpels. However, the petals did not increase in number as much as expected, compared with a significant reduction in hyperoptimal temperatures of 32/25 °C [5]. Short-term exposure to low temperatures of 15/5 °C during only a short floral development period significantly increased the number of petals, discussed as a transformation of stamen into petals caused by suppression in RhAG level (C-function gene). Finally, the number of stamens decreased [9]. According to the ABCE model for the formation and development of each floral organ, sepals are referred to as A-function genes, petals as A- and B-function genes, stamens as B- and C-function genes, and carpels with C-function genes. E-function genes are expressed in the primordia of all the whorls in floral organs and contribute to organ determination [10,11]. These results indicate that floral organ formation and petal–stamen transition are related to the comprehensive expression levels of MADS-box genes during floral development [12,13].
The global production places of cut rose flowers have moved fast to the equatorial regions of North Africa and Central and South America, including such countries as Ecuador, Columbia, and Kenya, with sufficient year-round sunlight and constant moderate temperature around 20/14 °C [14]. The cut rose flowers produced in these regions are generally more qualified with longer and larger stems and flowers by relatively bright sunlight and suboptimal temperature. Flowering, of course, is significantly delayed [15]. Recently the spray-type cut rose ‘Pink Shine,’ bred by the National Institute of Horticulture and Herbal Science (NIHHS), Rural Development Administration (RDA), has been tested and produced in Kenya and Ecuador for export to the European market [16]. However, the morphological traits in the exported cultivars such as ‘Pink Shine’ were differently expressed in Kenya and Ecuador. ‘Pink Shine’ is appropriate to examine the effect of low-temperature conditions on growth and floral organ development because it has double flowers (petals > 25) with pink-colored petals. Therefore, we focused on a spray-type cut rose and suboptimal temperature conditions simulating equatorial regions such as Kenya. We first investigated the plant growth response and floral organ formation of spray-type cut rose ‘Pink Shine’ under relatively low-temperature conditions, providing the basic knowledge to understand floral development and organogenesis.
2. Materials and Methods
2.1. Plant Materials
The material variety for the experiment was spray-type cut rose ‘Pink Shine’ bred by NIHHS, which was propagated by cutting in NIHHS, RDA, on 20 January 2022. Rooted plants were transplanted into pots containing commercial soil (Baroker, Seoul Bio, Seoul, Republic of Korea) and perlite mix (2:1 v/v) at the University of Seoul (UOS) on 30 March 2022 and dosed with controlled-release fertilizer (Osmocote, ICL Specialty Fertilizers, Waardenburg, The Netherlands) at 9.3 g·L−1 concentration. The potted plants were grown in an experimental greenhouse at the UOS during two flush intervals of 70 days. On 10 June 2022, they were placed in environmentally controlled growth chambers (HB-301S-3, Hanbaek Scientific Co., Bucheon, Republic of Korea) for acclimation for one week.
2.2. Temperature Treatment
After acclimation, the day/night temperature of growth chambers was set as 25/20 °C (an optimal temperature, OT), 20/20 °C, 20/15 °C, and 15/15 °C (suboptimal temperatures, SOTs) to know the changes in flowering response and floral organ formation under low-temperature conditions. This temperature range was considered mild conditions to grow and develop rose plants, which did not incur physiological disorders, such as bullhead and blindness in flowers [5]. All chambers were configured with a 16/8 h light/dark cycle at 50 ± 5% relative humidity and 458 ± 61 µmol·m−2·s−1 PPFD light intensity using white LED and high-pressure sodium mixed lamps. Additionally, a nutrient solution of 300 mL was regularly supplied to each pot (EC 1.2 ± 0.1 dS·m−1, pH 5.8 ± 0.1). The composition of the nutrient solutions was as described by Yeon et al. [5].
2.3. Flowering Response and Floral Organ Development
The rose flowers were harvested when the outer five petals of the central flower opened during blooming. The number of days to flowering was determined from the bud break (>1 cm shoot length) to harvest. We measured stem length, fresh weight, flower size (height × width), peduncle length, and floret number. The floral organs within a flower were divided into sepals, petals, petaloid stamens, stamens, and carpels. The petaloid stamen was classified morphologically as an irregularly shaped stamen without real anthers, as described previously [9]. The number of floral organs and dry weight (DW) of all harvested flowers were measured. To understand the effect of input temperature energy on flower quality and floral organ development, the relative accumulated temperature to flowering, TEMPsum, was calculated as the sum of the treated absolute temperature and the input energy per hour during the number of days required for flowering from bud break.
2.4. RNA Extraction and qRT-PCR
For the quantitative real-time PCR (qRT-PCR) analysis, we sampled floral buds (2.2 ± 0.1 mm diameter), wherein stamen primordia emerged and developed. Whole floral buds frozen by liquid N2 were stored at −80 °C. Total RNA was extracted using a plant RNA extraction kit (Takara MiniBEST Plant RNA Extraction Kit, Takara, Kusatsu, Japan), and complementary DNA (cDNA) was synthesized from 1 µg of the extracted RNA using a cDNA synthesis kit (PrimeScript 1st strand cDNA synthesis Kit, Takara, Kusatsu, Japan). All subsequent steps were performed according to the manufacturer’s instructions, as described by Yeon et al. [5]. The relative expression levels of eight floral organ identity genes, RhAP1, RhAP2, RhFUL (A-function genes in the ABC model), RhAP3 and RhPI (B-function genes), RhAG and RhSHP (C-function genes), and RhSEP (E-function gene), which were previously reported to be associated with floral organ identification in rose species (Table 1), were determined based on OT. To analyze the relative expression levels of these genes, raw cycle threshold (Ct) values were calculated using the 2-ΔCt method. The examined genes were compared with RhACT1, used as a reference gene. The primers used are listed in Table 1, and three biological replicates were used.
Table 1.
Primer sequence for amplification of cDNA by qRT-PCR analyses.
2.5. Statistical Analyses
Analysis of variance (ANOVA) was performed using the SAS statistical software package (ver. 9.4, SAS Institute Inc., Cary, NC, USA). The difference between the means was evaluated using the least significant difference (LSD, p = 0.05) and the Student’s t-test. A Pearson’s correlation analysis was additionally performed.
3. Results
3.1. Flowering Response
The lowered temperatures, SOTs (20/20 °C, 20/15 °C, and 15/15 °C), positively changed flower quality by long and heavy stems, large, thick colored petals and flowers, and increased florets compared with the optimal temperature of 25/20 °C (OT) (Figure 1 and Table 2). The SOTs significantly improved the quantitative traits of flower quality (Table 2). The length and fresh weight per floral shoot in the SOTs increased by 2.4–16.5% and 33.7–113.3%, respectively. SOTs also brought about 1.5 times large flowers, 1.3 times long peduncles, 2.4 times heavy and oversized petals, and 1.4 times more florets, with a significant difference. However, as previously reported [17], the maximal 25-day delay in flowering at SOTs was negatively affected.
Figure 1.
Visual changes in the size and color of a flower and separated floral organs in the spray-type cut rose ‘Pink Shine’ by temperature conditions: (A) 25/20 °C (day/night, OT); (B) 20/20 °C; (C) 20/15 °C; (D) 15/15 °C. These photos represent floral organs under a flower, in order of petals (including petaloid stamens), stamens, and carpels by each column. Scale bars mean 2 cm.
Table 2.
Flowering responses and floral traits in the spray-type cut rose ‘Pink Shine’ by temperature conditions.
3.2. Floral Organ Differentiation
As the temperature was lower in SOTs, all floral organs (sepals, petals, stamens, and carpels) increased in number by a maximum of 39.7% compared with that in OT (Table 3). Stamens and carpels increased significantly by 1.3 and 2 times, respectively, whereas petals did not increase significantly. Based on the number of petals, stamens increased by 48.4% and carpels by 168.6% as the temperature decreased from OT (25/20 °C) to SOT (15/15 °C). The proportion of carpels in floral organs increased by 27.4% from 19.4%, whereas that of petals decreased by 22% from 27.3% under SOTs. The daily differentiation rate of floral organs was calculated by dividing the number of floral organs by the days to flowering (DAY). The petal differentiation rate decreased with decreasing temperature, whereas the carpel differentiation rate increased (Figure 2).
Table 3.
Differentiation of floral organs in the spray-type cut rose ‘Pink Shine’ by temperature conditions.
Figure 2.
Daily differentiation rate of floral organs in the spray-type cut rose ‘Pink Shine’ by temperature conditions. Vertical bars represent standard deviation (n = 12). ns and * not significant and significant at p < 0.05, ANOVA.
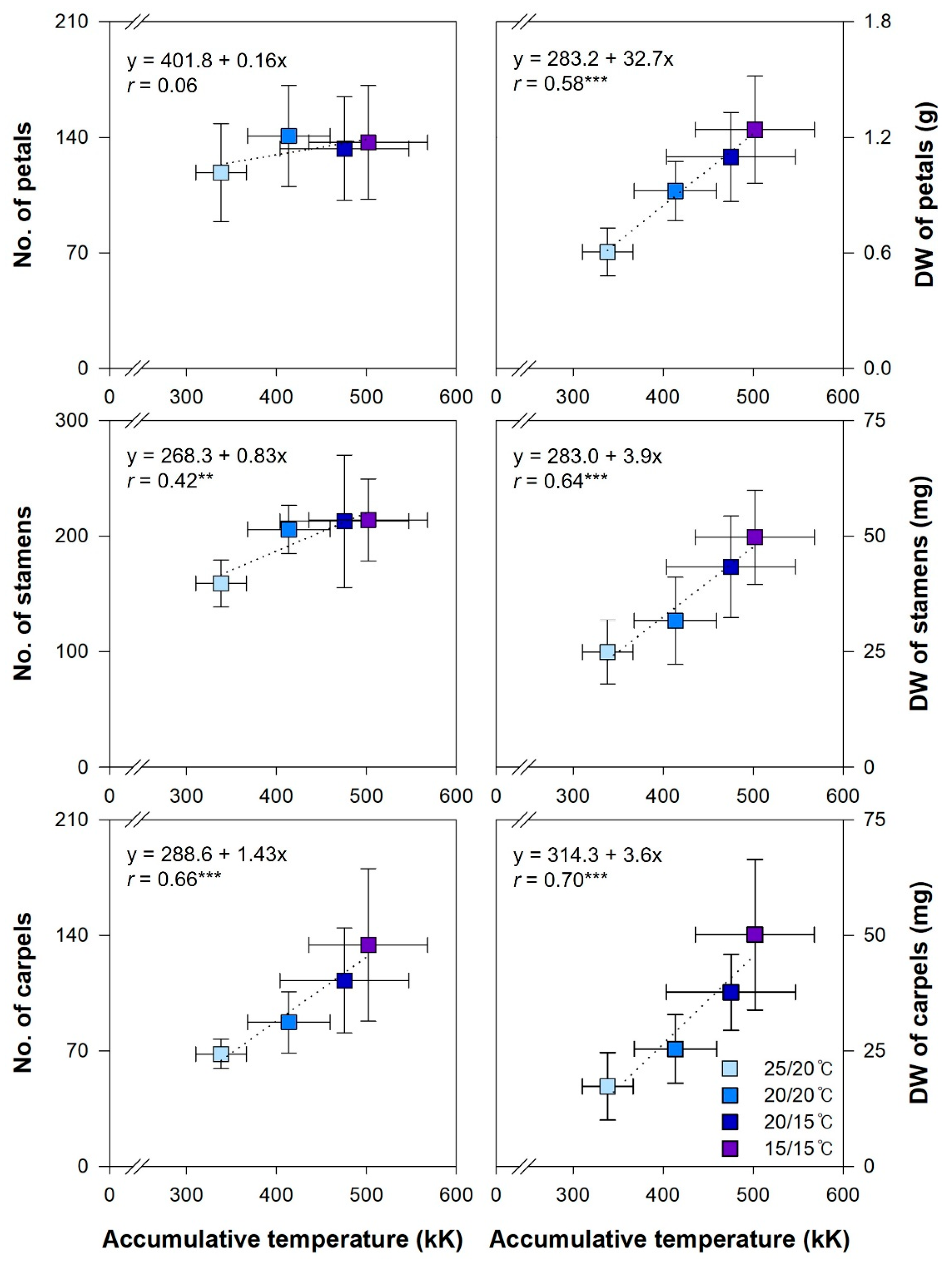
The number and biomass accumulation of floral organs showed a similar increasing trend except for the number of petals (Figure 3). In particular, the number of carpels and dry weight of the floral organs (petals, stamens, and carpels) significantly increased as TEMPsum increased, that is, as the growth temperature decreased. The growth temperature was more effective for quantity accumulation than for the number of petals but was similar in carpels.
Figure 3.
Comparison of floral organ formation (left) and biomass accumulation (right) in the spray-type cut rose ‘Pink Shine’ by input temperature accumulation during the period to flowering: Accumulative temperature (kK), sum of the treated absolute temperature (K) converted into kilo K (kK); DW, dry weight. Vertical and horizonal bars represent SD (n = 12). ** and *** significant at p < 0.01 and 0.001, ANOVA.
3.3. Correlation between Temperature and Flower-Related Traits
The correlation between growth temperature and various flowering-related traits supports these results (Table 4). TEMPsum positively correlated with the number of floral organs (r = 0.47 **), especially carpels (r = 0.66 ***), but not with the number of petals. In addition, TEMPsum showed a significant positive correlation with the biomass of each floral organ (r = 0.34 * to 0.70 ***) and the flower quality traits such as shoot weight (r = 0.45 **) and flower size (r = 0.50 ***). The correlation between TEMPsum and DAY was 0.99 ***, implying that when the growth temperature is lowered from OT (25/20 °C) to SOT (15/15 °C), the influence of temperature on flowering in rose ‘Pink Shine’ is not equal and decreases, which is consequently not the optional range for rose growth. The number of floral organs positively correlated only with shoot weight (r = 0.47 ***) among the flowering-related traits, and the dry weight of floral organs correlated with flower size (r = 0.57 ***) and shoot weight (r = 0.43 **), both of which had a significant positive correlation with TEMPsum or DAY (r = 0.45 ** to 0.51 ***).
Table 4.
Correlation between various flowering characteristics in the spray-type cut rose ‘Pink Shine’ by temperature conditions.
3.4. Expression Levels of Flowering-Related Genes
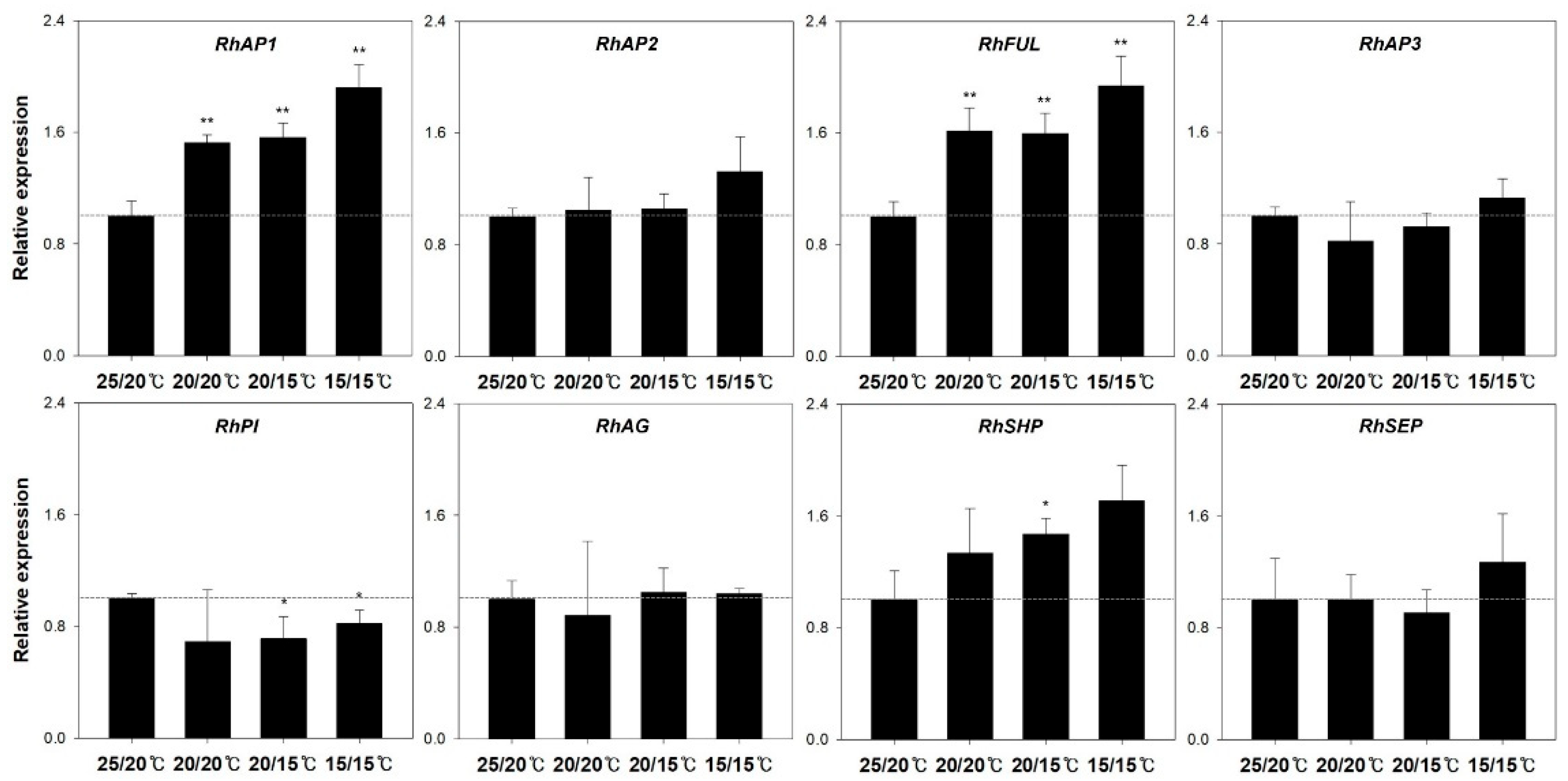
Based on our previous studies [5], we monitored the mRNA levels of floral organ identity genes, including RhAP1, RhAP2, and RhFUL (A-function genes), RhAP3 and RhPI (B-function genes), RhAG and RhSHP (C-function genes), and RhSEP (E-function gene) in the floral buds of the rose ‘Pink Shine’ to evaluate how growth temperature affects the flowering response and floral organ development (Figure 4). The expression levels of RhAP1 and RhFUL among A-function genes significantly increased by 1.47–1.94 times in the SOT groups than in the OT group. In contrast, floral buds developed under SOTs maintained a slightly lower level of RhPI at 71–82% but were unchanged in RhAP3 among the B-function genes. The C-function genes also showed different expression levels between RhAG (unchanged) and RhSHP (significantly upregulated by 34–71% as SOTs were lower than OT).
Figure 4.
Relative expression level of eight floral identity genes in the spray-type cut rose ‘Pink Shine’ by temperature condition. Expression levels were detected in floral buds of 2.2 ± 0.1 mm diameter. Vertical bars represent SD (n = 3). * and ** significant at p < 0.05 and 0.01, respectively, the Student’s t-test.
4. Discussion
Temperature affects flowering plants’ growth response and flower quality [18,19]. Previous studies have reported that low temperatures could delay flowering time but significantly improve flower quality with longer floral shoots, larger flowers, increased biomass of floral organs, and petal doubling, which have a commercial value in cut roses [20]. Suboptimal temperatures usually decrease respiration and increase plant carbon assimilation [14]. In this study, SOTs produced expectedly longer floral shoots and more prominent flowers and increased the biomass of floral organs with flowering delay in the spray-type cut rose ‘Pink Shine’ (Table 2, Figure 3). The improved flower quality of ‘Pink Shine’ was also achieved by increasing the number of florets per floral shoot, which is very important to spray-type cut rose varieties and has not been widely reported in previous studies on rose production based on changes in abiotic factors conditions. Many roses are produced in equatorial regions, such as Kenya and Ecuador, where the daily average air temperature is usually constant between 15 and 20 °C, resulting in high-quality rose flowers with the potential marketability as exported worldwide [14].
The development of floral organs differed between the SOT groups. In addition, SOTs changed the proportion of each floral organ to the total number by dramatically increasing the carpels and stamens during the days up to flowering (DAY) (Table 3 and Figure 3). The daily petal differentiation rate decreased with decreasing temperature. Still, the carpel differentiation rate increased in SOTs (Figure 2). Based on the results of this study, the reproductive structures (stamens and carpels) among the floral organs were found to be significantly more susceptible to SOTs than the perianth (sepals and petals) in the spay-type rose ‘Pink Shine.’ This could be attributed to differences in lipid-membrane compounds, accumulation of specific proteins, and lower water content, which improves the cold tolerance of reproductive organs [21]. The standard-type cut rose ‘Vital’ increased the composition rate of carpels at 18/10 °C, but the daily differentiation of petals and carpels reduced, compared with those at 25/18 °C [5]. Floral organ development in low temperatures was partly different between the standard-type and the spray-type in cut roses, which was considered as resulting from the changes in the range of SOTs in stress (10–18 °C) or moderate (15–20 °C) conditions during the flowering period. These results suggest that SOTs enhance carpel differentiation during flowering, implying that flowers may choose a reproductive strategy through carpels over petals. This result could be due to the limited sink sources, such as the carbohydrate content of SOTs.
Floral organ formation is associated with the expression of MADS-box genes through separate functions that identify each organ, sepal, petal, stamen, and carpel in the apical meristem of flowering shoots by the ABCE model [22,23]. The relative expression levels of these genes in floral buds depend on the flowering stage, floral organ composition, and environmental conditions [24]. A-function genes, which are homologs of AP1 in roses, are known to identify sepals and induce the transition from the vegetative growth stage to the reproductive stage [22]. RdAP1 is more highly expressed in double flowers than in single flowers of roses [24]. The relative expression of the C-function genes RhAG and RhSHP was higher under stress-induced temperature conditions than under optimal conditions, resulting in changes in the floral organ composition of roses. An abnormal rose flower consisting of only sepals, R. chinensis var. viridiflora, showed a lower expression level of RcSEP3 than one of normal phenotype, R. chinensis ‘Old Blush’ [25].
In the present study, RhAP1, RhFUL (A-function), and RhSHP (C-function) expression were 1.47–1.94 times higher in SOTs in the spray-type cut rose ‘Pink Shine’ than that in the OT group (Figure 4). The relative expression of RhPI (B-function) was considerably lower (0.71–0.82 times) than that in the OT group. ‘Pink Shine’ had more than five sepals in distress in SOTs (Table 3). This seems to have variety-specific characteristics because Rosaceae flowers usually produce five sepals, regardless of petal doubling. The spray-type cut rose also had 32.8–126.6% increased florets in 20/20 °C and 15/15 °C (Table 2), which was matched to the upregulated relative expression of A-function gene RhFUL (Figure 4), concerning inflorescence development, the suppression of respiration with more carbohydrate supply, and the balance of phytohormones, such as auxin and cytokinin developing lateral buds [13]. Unlike A-function genes, lower expression levels of the B-function genes RhAP3 and RhPI were associated with lower petal-forming plasticity in SOTs. RhAG, a C-function gene generally associated with petal doubling in roses, was expressed similarly regardless of temperature. However, another AGAMOUS homolog gene, RhSHP (MASAKO D1), played a critical role in forming and developing reproductive organs such as stamens and carpels in the spray-type cut rose ‘Pink Shine’ [26]. Furthermore, previous studies had examined the effects of low temperatures over a short period [9], while the rose plants in this study were exposed to low temperatures for the entire flowering period. This prolonged exposure may have contributed to the recovery of their growth and promotion of reproductive organ development, with increased expression of B- and C-function genes, such as RhFUL and RhSHP. Yeon et al. [5] reported that the high level of relative expression of RhAG induced the increase in reproductive organ development in standard-type cut rose ‘Vital’ under low-temperature stress conditions during flowering. The E-class functional gene RhSEP was not differentially expressed in SOTs. However, its relative expression level was slightly upregulated at 15/15 °C, inducing an increase in total floral organs by 39.7% in the spray-type cut rose (Table 3).
5. Conclusions
In conclusion, suboptimal temperatures (SOTs) below 25/20 °C (OT) positively affected flower quality through long and heavy stems, large and thick colored petals and flowers, and increased florets. Simultaneously, flowering was dramatically delayed by up to 25 days, causing low year-round productivity in spray-type cut roses. This study revealed that SOTs increased the reproductive organs, especially carpels, with the higher expression level of RhSHP, implying that those conditions could induce the continuous differentiation of them produced later than perianth in the spray-type cut rose ‘Pink Shine’. The upregulation of RhFUL and RhAP1 appeared to be associated with increased sepals and florets. Therefore, cut roses showed less plasticity in petal formation in SOTs than in stamens and carpels, which was associated with some genes related to floral organ development, regardless of flowering type. This study will significantly contribute to further understanding of the influence of suboptimal temperatures on the development of the reproductive structures of rose flowers.
Author Contributions
Conceptualization, W.S.K.; methodology, W.S.K. and J.Y.Y.; validation, W.S.K., Y.C.S. and J.Y.Y.; formal analysis, Y.C.S. and J.Y.Y.; investigation, Y.C.S.; resources, W.S.K.; data curation, W.S.K.; writing—original draft preparation, J.Y.Y.; writing—review and editing, W.S.K.; supervision, W.S.K.; project administration, W.S.K.; funding acquisition, W.S.K. All authors have read and agreed to the published version of the manuscript.
Funding
This work was carried out with the support of “Cooperative Research Program for Agriculture Science and Technology Development (Project No. RS-2020-RD009390)” Rural Development Administration, Republic of Korea.
Data Availability Statement
Not applicable.
Conflicts of Interest
The authors declare no conflict of interest.
References
- Shi, L.; He, S.; Wang, Z.; Kim, W.S. Influence of nocturnal supplemental lighting and different irrigation regimes on vase life and vase performance of the hybrid rose ‘Charming Black’. Hortic. Sci. Technol. 2021, 39, 23–36. [Google Scholar] [CrossRef]
- Shin, Y.C.; Hwang, J.Y.; Yeon, J.Y.; Kim, W.S. Changes in floral pigments and scent compounds in garden roses during floral bud development. Flower Res. J. 2022, 30, 26–33. [Google Scholar] [CrossRef]
- Wang, H.; Fan, Y.; Yang, Y.; Zhang, H.; Li, M.; Sun, P.; Zhang, X.; Xue, Z.; Jin, W. Classification of rose petal colors based on optical spectrum and pigment content analyses. Hortic. Environ. Biotechnol. 2022, 64, 153–166. [Google Scholar] [CrossRef]
- Yeon, J.Y.; Kim, M.J.; Shin, Y.C.; Yang, K.R.; Kim, W.S. The efficiency of selecting target flower traits at early seedling stage for new cut rose cultivars. Flower Res. J. 2021, 29, 146–152. [Google Scholar] [CrossRef]
- Yeon, J.Y.; Lee, S.; Lee, K.J.; Kim, W.S. Flowering responses in the cut rose ‘Vital’ to non-optimal temperatures. Hortic. Sci. Technol. 2022, 40, 471–480. [Google Scholar] [CrossRef]
- Chmelnitsky, I.; Azizbekova, N.; Khayat, E.; Zieslin, N. Morphological development of regular and phyllody expressing Rosa hybrida cv. Motrea flowers. Plant Growth Regul. 2002, 37, 215–221. [Google Scholar] [CrossRef]
- Sim, S.; Rowhani, A.; Golino, D. Phyllody in roses. Amer Rose 2004, 39, 32–34. [Google Scholar]
- Dubois, A.; Raymond, O.; Maene, M.; Baudino, S.; Langlade, N.B.; Boltz, V.R.; Vergne, P.; Bendahmane, M. Tinkering with the C-Function: A molecular frame for the selection of double flowers in cultivated roses. PLoS ONE 2010, 5, e9288. [Google Scholar] [CrossRef]
- Ma, N.; Chen, W.; Fan, T.; Tian, Y.; Zhang, S.; Zeng, D.; Li, Y. Low temperature-induced DNA hypermethylation attenuates expression of RhAG, an AGAMOUS homolog, and increases petal number in rose (Rosa hybrida). BMC Plant Biol. 2015, 15, 237. [Google Scholar] [CrossRef]
- Mibus, H.; Heckl, D.; Serek, M. Cloning and characterization of three APETALA1/FRUITFULL-like genes in different flower types of Rosa x hybrida L. J. Plant Growth Regul. 2011, 30, 272–285. [Google Scholar] [CrossRef]
- Zhang, X.; Wu, Q.; Lin, S.; Li, D.; Bao, M.; Fu, X. Identification and characterization of class E genes involved in floral organ development in Dianthus chinensis. Ornam. Plant Res. 2023, 3, 5. [Google Scholar] [CrossRef]
- Litt, A.; Kramer, E.M. The ABC model and the diversification of floral organ identity. Semin. Cell Dev. Biol. 2010, 21, 129–137. [Google Scholar] [CrossRef]
- Breen, K.C.; Tustin, D.S.; Palmer, J.W.; Close, D.C. Method of manipulating floral bud density affects fruit set responses in apple. Sci. Hortic. 2015, 197, 244–253. [Google Scholar] [CrossRef]
- Desta, B.; Tena, N.; Amare, G. Response of rose (Rosa hybrida L.) plant to temperature. Asian J. Plant Soil. Sci. 2022, 7, 93–101. [Google Scholar]
- Hair, C. Roses along the equator: Situating Ecuador and Colombia within the global cut-flower market. South. Q. 2019, 57, 50–67. [Google Scholar]
- Yang, K.R.; Kim, W.H.; Kim, S.J.; Jung, H.H.; Yoo, B.S.; Lee, H.J.; Park, K.Y. Breeding of spray rose cultivar ‘Pink Shine’ with pink color and longer vase life. Flower Res. J. 2020, 28, 210–215. [Google Scholar] [CrossRef]
- Kim, W.S.; Lieth, J.H. Simulation of year-round plant growth and nutrient uptake in Rosa hybrida over flowering cycles. Hortic. Environ. Biotechnol. 2012, 53, 193–203. [Google Scholar] [CrossRef]
- Gapovilla, G.; Schmid, M.; Posé, D. Control of flowering by ambient temperature. J. Exp. Bot. 2015, 66, 59–69. [Google Scholar] [CrossRef]
- Yeon, J.Y.; Kim, W.S. Heat stress to the developing floral buds decreases the synthesis of flowering pigments and scent compounds in the rose petals. Acta Hortic. 2020, 1291, 249–260. [Google Scholar] [CrossRef]
- Lee, S.K.; Kim, W.S. Floral pigmentation and expression of anthocyanin-related genes in bicolored roses ‘Pinky Girl’ as affected by temporal heat stress. Hortic. Sci. Technol. 2015, 33, 923–931. [Google Scholar] [CrossRef][Green Version]
- Kose, C.; Kaya, O. Differential themal analysis reveals the sensitivity of sweet cherry flower organs to low temperatures. Int. J. Biometeorol. 2022, 66, 987–994. [Google Scholar] [CrossRef] [PubMed]
- Han, Y.; Tang, A.; Wan, H.; Zhang, T.; Cheng, T.; Wang, J.; Yang, W.; Pan, H.; Zhang, Q. An APETALA2 homolog, RcAP2, regulates the number of rose petals derived from stamens and response to temperature fluctuations. Front. Plant Sci. 2018, 9, 481. [Google Scholar] [CrossRef] [PubMed]
- Liu, J.; Fu, X.; Dong, Y.; Lu, J.; Ren, M.; Zhou, N.; Wang, C. MIKCC-type MADS-box genes in Rosa chinensis: The remarkable expansion of ABCDE model genes and their roles in floral organogenesis. Hortic. Res. 2018, 5, 25. [Google Scholar] [CrossRef] [PubMed]
- Rusanov, K.; Kovacheva, N.; Rusanova, M.; Linde, M.; Debener, T.; Atanassov, I. Genetic control of flower petal number in Rosa x damascena Mill f. trigintipetala. Biotechnol. Biotechnol. Equip. 2019, 33, 597–604. [Google Scholar] [CrossRef]
- Yan, H.; Zhang, H.; Wang, Q.; Jian, H.; Qiu, X.; Baudino, S.; Just, J.; Raymond, O.; Gu, L.; Wang, J.; et al. The Rosa chinensis cv. Viridiflora phyllody phenotype is associated with misexpression of flower organ identity genes. Front. Plant Sci. 2016, 7, 996. [Google Scholar] [CrossRef]
- Kitahara, K.; Hibino, Y.; Adia, R.; Mastumoto, S. Ectopic expression of the rose AGAMOUS-like MADS-box genes ‘MASAKO C1 and D1′ causes similar homeotic transformation of sepal and petal in Arabidopsis and sepal in Torenia. Plant Sci. 2004, 166, 1245–1252. [Google Scholar] [CrossRef]
Disclaimer/Publisher’s Note: The statements, opinions and data contained in all publications are solely those of the individual author(s) and contributor(s) and not of MDPI and/or the editor(s). MDPI and/or the editor(s) disclaim responsibility for any injury to people or property resulting from any ideas, methods, instructions or products referred to in the content. |
© 2023 by the authors. Licensee MDPI, Basel, Switzerland. This article is an open access article distributed under the terms and conditions of the Creative Commons Attribution (CC BY) license (https://creativecommons.org/licenses/by/4.0/).



