Field-Induced Single-Ion Magnet Phenomenon in Hexabromo- and Hexaiodorhenate(IV) Complexes
Abstract
1. Introduction
2. Results and Discussion
2.1. Description of the Crystal Structures
2.2. Magnetic Properties
2.2.1. Dc Magnetic Susceptibility
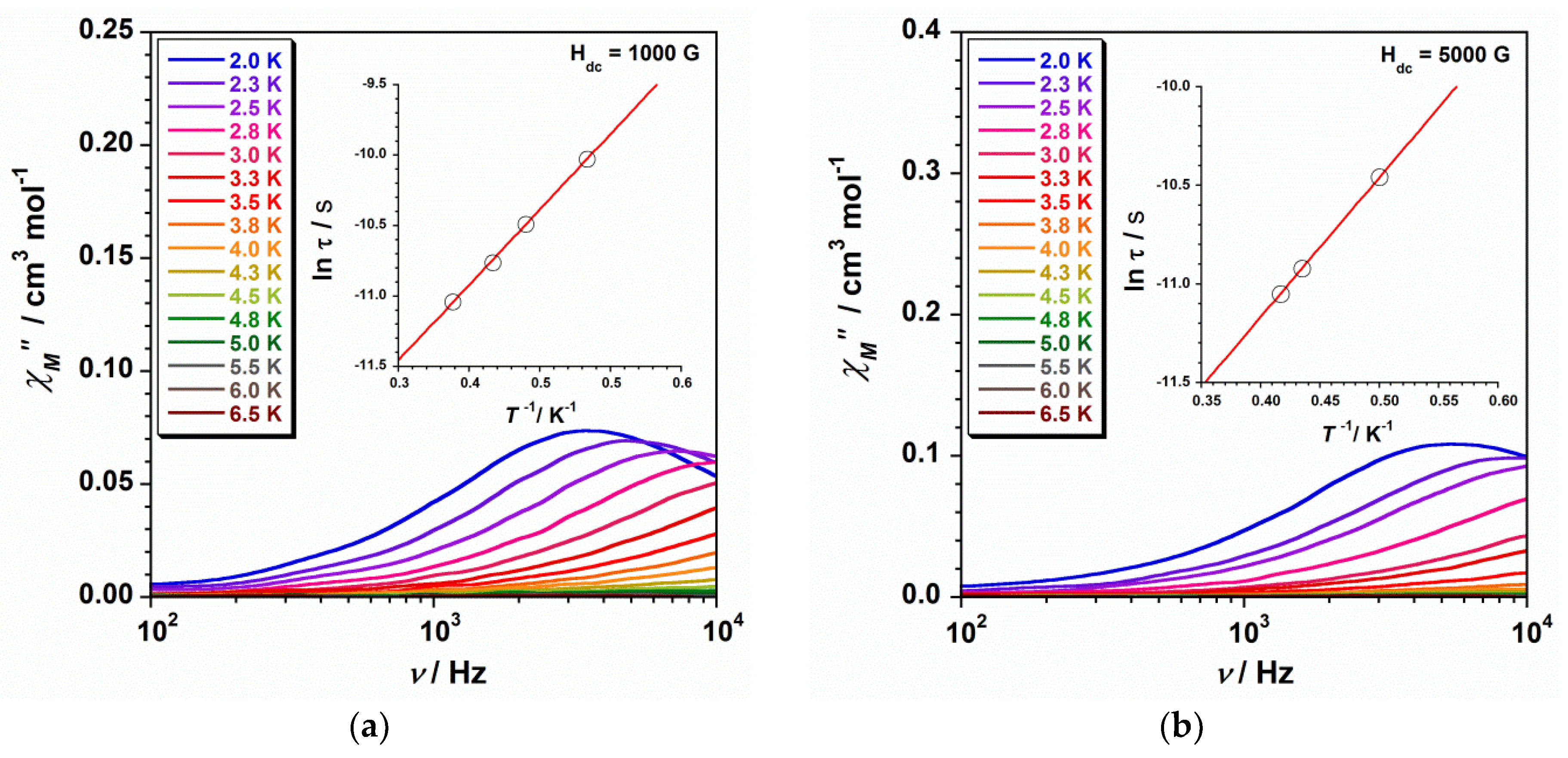
2.2.2. Ac Magnetic Susceptibility
3. Materials and Methods
3.1. Reagents and Instruments
3.2. Preparation of the Compounds
3.2.1. Synthesis of (PPh4)2[ReBr6] (1)
3.2.2. Synthesis of (PPh4)2[ReI6] (2)
3.3. X-ray Data Collection and Structure Refinement
4. Conclusions
Supplementary Materials
Author Contributions
Funding
Acknowledgments
Conflicts of Interest
References
- Craig, G.A.; Murrie, M. 3d single-ion magnets. Chem. Soc. Rev. 2015, 44, 2135–2147. [Google Scholar]
- Frost, J.M.; Harrimana, K.L.M.; Murugesu, M. The rise of 3-d single-ion magnets in molecular magnetism: Towards materials from molecules? Chem. Sci. 2016, 7, 2470–2491. [Google Scholar]
- Colacio, E.; Ruiz, J.; Ruiz, E.; Cremades, E.; Krzystek, J.; Carretta, S.; Cano, J.; Guidi, T.; Wernsdorfer, W.; Brechin, E.K. Slow Magnetic Relaxation in a CoII–YIII Single-Ion Magnet with Positive Axial Zero-Field Splitting. Angew. Chem. Int. Ed. 2013, 52, 9130–9134. [Google Scholar]
- Vallejo, J.; Pascual-Álvarez, A.; Cano, J.; Castro, I.; Julve, M.; Lloret, F.; Krzystek, J.; De Munno, G.; Armentano, D.; Wernsdorfer, W.; et al. Field-induced hysteresis and quantum tunneling of the magnetization in a mononuclear manganese(III) complex. Angew. Chem. Int. Ed. 2013, 52, 14075–14079. [Google Scholar]
- Zadrozny, J.M.; Xiao, D.J.; Atanasov, M.; Long, G.J.; Grandjean, F.; Neese, F.; Long, J.R. Magnetic blocking in a linear iron(I) complex. Nat. Chem. 2013, 5, 577–581. [Google Scholar]
- Rechkemmer, Y.; Breitgoff, F.D.; van der Meer, M.; Atanasov, M.; Hakl, M.; Orlita, M.; Neugebauer, P.; Neese, F.; Sarkar, B.; van Slageren, J. A four-coordinate cobalt(II) single-ion magnet with coercivity and a very high energy barrier. Nat. Commun. 2016, 7, 10467. [Google Scholar]
- Atzori, M.; Tesi, L.; Benci, S.; Lunghi, A.; Righini, R.; Taschin, A.; Torre, R.; Sorace, L.; Sessoli, R. Quantum Coherence Times Enhancement in Vanadium(IV)-based Potential Molecular Qubits: The Key Role of the Vanadyl Moiety. J. Am. Chem. Soc. 2017, 139, 4338–4341. [Google Scholar]
- Liu, J.; Chen, Y.-C.; Liu, J.-L.; Vieru, V.; Ungur, L.; Jia, J.-H.; Chibotaru, L.F.; Lan, Y.; Wernsdorfer, W.; Gao, S.; et al. A Stable Pentagonal Bipyramidal Dy(III) Single-Ion Magnet with a Record Magnetization Reversal Barrier over 1000 K. J. Am. Chem. Soc. 2016, 138, 5441–5450. [Google Scholar]
- Guo, F.-S.; Day, B.M.; Chen, Y.-C.; Tong, M.-L.; Mansikkamäki, A.; Layfield, R.A. A Dysprosium Metallocene Single-Molecule Magnet Functioning at the Axial Limit. Angew. Chem. Int. Ed. 2017, 56, 11445–11449. [Google Scholar]
- Goodwin, C.A.P.; Ortu, F.; Reta, D.; Chilton, N.F.; Mills, D.P. Molecular magnetic hysteresis at 60 kelvin in dysprosocenium. Nature 2017, 548, 439–442. [Google Scholar]
- Guo, F.-S.; Day, B.M.; Chen, Y.-C.; Tong, M.-L.; Mansikkamäk, A.; Layfield, R.A. Magnetic hysteresis up to 80 kelvin in a dysprosium metallocene single-molecule magnet. Science 2018, 362, 1400–1403. [Google Scholar]
- McAdams, S.G.; Ariciu, A.-M.; Kostopoulos, A.K.; Walsh, J.P.S.; Tuna, F. Molecular single-ion magnets based on lanthanides and actinides: Design considerations and new advances in the context of quantum technologies. Coord. Chem. Rev. 2017, 346, 216–239. [Google Scholar]
- Canaj, A.B.; Dey, S.; Regincós Martí, E.; Wilson, C.; Rajaraman, G.; Murrie, M. Insight into D6h Symmetry: Targeting Strong Axiality in Stable Dysprosium(III) Hexagonal Bipyramidal Single-Ion Magnets. Angew. Chem. Int. Ed. 2019, 58, 1–7. [Google Scholar]
- Escalera-Moreno, L.; Baldoví, J.J.; Gaita-Ariño, A.; Coronado, E. Exploring the High-Temperature Frontier in Molecular Nanomagnets: From Lanthanides to Actinides. Inorg. Chem. 2019, 58, 11883–11892. [Google Scholar]
- Miller, J.S.; Gatteschi, D. Molecule-based magnets. Chem. Soc. Rev. 2011, 40, 3065–3066. [Google Scholar]
- Troiani, F.; Affronte, M. Molecular spins for quantum information technologies. Chem. Soc. Rev. 2011, 40, 3119–3129. [Google Scholar]
- Wang, X.-Y.; Avendaño, C.; Dunbar, K.R. Molecular magnetic materials based on 4d and 5d transition metals. Chem. Soc. Rev. 2011, 40, 3213–3238. [Google Scholar]
- Martínez-Lillo, J.; Faus, J.; Lloret, F.; Julve, J. Towards multifunctional magnetic systems through molecular-programmed self assembly of Re(IV) metalloligands. Coord. Chem. Rev. 2015, 289, 215–237. [Google Scholar]
- Ferrando-Soria, J.; Vallejo, J.; Castellano, M.; Martínez-Lillo, J.; Pardo, E.; Cano, J.; Castro, I.; Lloret, F.; Ruiz-García, R.; Julve, M. Molecular magnetism, quo vadis? A historical perspective from a coordination chemist viewpoint. Coord. Chem. Rev. 2017, 339, 17–103. [Google Scholar]
- Martínez-Lillo, J.; Mastropietro, T.F.; Lhotel, E.; Paulsen, C.; Cano, J.; De Munno, G.; Faus, J.; Lloret, F.; Julve, M.; Nellutla, S.; et al. Highly Anisotropic Rhenium(IV) Complexes: New Examples of Mononuclear Single-Molecule Magnets. J. Am. Chem. Soc. 2013, 135, 13737–13748. [Google Scholar]
- Pedersen, K.S.; Sigrist, M.; Sørensen, M.A.; Barra, A.-L.; Weyhermüller, T.; Piligkos, S.; Thuesen, C.A.; Vinum, M.G.; Mutka, H.; Weihe, H.; et al. [ReF6]2−: A Robust Module for the Design of Molecule-Based Magnetic Materials. Angew. Chem. Int. Ed. 2014, 53, 1351–1354. [Google Scholar] [CrossRef]
- Gong, D.-P.; Chen, J.-F.; Zhao, Y.; Cao, D.-K. Dalton Trans. 2016, 45, 3443–3449.
- Feng, X.; Liu, J.-L.; Pedersen, K.S.; Nehrkorn, J.; Schnegg, A.; Holldack, K.; Bendix, J.; Sigrist, M.; Mutka, H.; Samohvalov, D.; et al. Multifaceted magnetization dynamics in the mononuclear complex [Re IV Cl 4 (CN) 2] 2−. Chem. Commun. 2016, 52, 12905–12908. [Google Scholar] [CrossRef]
- Pedersen, K.S.; Bendix, J.; Tressaud, A.; Durand, E.; Weihe, H.; Salman, Z.; Morsing, T.J.; Woodruff, D.N.; Lan, Y.; Wernsdorfer, W.; et al. Iridates from the molecular side. Nat. Commun. 2016, 7, 12195. [Google Scholar]
- Sanchis-Perucho, A.; Martínez-Lillo, J. Ferromagnetic exchange interaction in a new Ir(IV)-Cu(II) chain based on the hexachloroiridate(IV) anion. Dalton Trans. 2019, 48, 13925–13930. [Google Scholar] [CrossRef]
- Su, Q.-Q.; Fan, K.; Huang, X.-D.; Xiang, J.; Cheng, S.-C.; Ko, C.-C.; Zheng, L.M.; Kurmood, M. Field-induced slow magnetic relaxation in low-spin S = 1/2 mononuclear osmium(V) complexes. Dalton Trans. 2020, 49, 4084–4092. [Google Scholar] [CrossRef]
- Woodall, C.H.; Craig, G.A.; Prescimone, A.; Misek, M.; Cano, J.; Faus, J.; Probert, M.R.; Parsons, S.; Moggach, S.; Martínez-Lillo, J.; et al. Pressure induced enhancement of the magnetic ordering temperature in rhenium(IV) monomers. Nat. Commun. 2016, 7, 13870. [Google Scholar] [CrossRef]
- Chiozzone, R.; González, R.; Kremer, C.; De Munno, G.; Cano, J.; Lloret, F.; Julve, M.; Faus, J. Synthesis, Crystal Structure, and Magnetic Properties of Tetraphenylarsonium Tetrachloro(oxalato)rhenate(IV) and Bis(2,2‘-bipyridine)tetrachloro(μ-oxalato)copper(II)rhenium(IV). Inorg. Chem. 1999, 38, 4745–4752. [Google Scholar] [CrossRef]
- González, R.; Chiozzone, R.; Kremer, C.; De Munno, G.; Nicolò, F.; Lloret, F.; Julve, M.; Faus, J. Magnetic Studies on Hexaiodorhenate(IV) Salts of Univalent Cations. Spin Canting and Magnetic Ordering in K2[ReI6] with Tc = 24 K. Inorg. Chem. 2003, 42, 2512–2518. [Google Scholar] [CrossRef]
- González, R.; Chiozzone, R.; Kremer, C.; Guerra, F.; De Munno, G.; Lloret, F.; Julve, M.; Faus, J. Magnetic Studies on Hexahalorhenate(IV) Salts of Ferrocenium Cations [Fe(C5R5)2]2[ReX6] (R = H, CH3; X = Cl, Br, I). Inorg. Chem. 2004, 43, 3013–3019. [Google Scholar] [CrossRef]
- Martínez-Lillo, J.; Armentano, D.; De Munno, G.; Lloret, F.; Julve, M.; Faus, J. A Two-Dimensional ReIVAgI Compound: X-ray Structure and Magnetic Properties. Cryst. Growth Des. 2006, 6, 2204–2206. [Google Scholar] [CrossRef]
- Martínez-Lillo, J.; Armentano, D.; De Munno, G.; Marino, N.; Lloret, F.; Julve, M.; Faus, J. A self-assembled tetrameric water cluster stabilized by the hexachlororhenate(IV) anion and diprotonated 2,2′-biimidazole: X-ray structure and magnetic properties. CrystEngComm 2008, 10, 1284–1287. [Google Scholar] [CrossRef]
- Armentano, D.; Martínez-Lillo, J. Hexachlororhenate(IV) salts of ruthenium(III) cations: X-ray structure and magnetic properties. Inorg. Chim. Acta 2012, 380, 118–124. [Google Scholar] [CrossRef]
- Martínez-Lillo, J.; Kong, J.; Julve, M.; Brechin, E.K. Self-Assembly of the Hexabromorhenate(IV) Anion with Protonated Benzotriazoles: X-ray Structure and Magnetic Properties. Cryst. Growth Des. 2014, 14, 5985–5990. [Google Scholar] [CrossRef]
- Martínez-Lillo, J.; Pedersen, A.H.; Faus, J.; Julve, M.; Brechin, E.K. Effect of Protonated Organic Cations and Anion−π Interactions on the Magnetic Behavior of Hexabromorhenate(IV) Salts. Cryst. Growth Des. 2015, 15, 2598–2601. [Google Scholar] [CrossRef]
- Armentano, D.; Martínez-Lillo, J. Aquapentachlororhenate(IV): A singular and promising building block for metal assembly. RSC Adv. 2015, 5, 54936–54940. [Google Scholar] [CrossRef]
- Armentano, D.; Martínez-Lillo, J. Anion-Assisted Crystallization of a Novel Type of Rhenium(IV)-Based Salt. Cryst. Growth Des. 2016, 16, 1812–1816. [Google Scholar] [CrossRef]
- Pedersen, A.H.; Julve, M.; Brechin, E.K.; Martínez-Lillo, J. Self-assembly of the tetrachlorido (oxalato) rhenate (IV) anion with protonated organic cations: X-ray structures and magnetic properties. CrystEngComm 2017, 19, 503–510. [Google Scholar] [CrossRef]
- Pedersen, A.H.; Geoghegan, B.L.; Nichol, G.S.; Lupton, D.W.; Murray, K.S.; Martínez-Lillo, J.; Gass, I.A.; Brechin, E.K. Hexahalorhenate(IV) salts of metal oxazolidine nitroxides. Dalton Trans. 2017, 46, 5250–5259. [Google Scholar] [CrossRef]
- Armentano, D.; Barquero, M.A.; Rojas-Dotti, C.; Moliner, N.; De Munno, G.; Brechin, E.K.; Martínez-Lillo, J. Enhancement of Intermolecular Magnetic Exchange through Halogen Halogen Interactions in Bisadeninium Rhenium(IV) Salts. Cryst. Growth Des. 2017, 17, 5342–5348. [Google Scholar] [CrossRef]
- Rojas-Dotti, C.; Moliner, N.; González, R.; Martínez-Lillo, J. Hexakis(dimethylformamide)iron(II) complex cation in hexahalorhenate(IV)-based salts: Synthesis, X-ray structure and magnetic properties. J. Coord. Chem. 2018, 71, 737–747. [Google Scholar] [CrossRef]
- Armentano, D.; Sanchis-Perucho, A.; Rojas-Dotti, C.; Martínez-Lillo, J. Halogen⋯halogen interactions in the self-assembly of one-dimensional 2,2′-bipyrimidine-based CuIIReIV systems. CrystEngComm 2018, 20, 4575–4581. [Google Scholar] [CrossRef]
- Dance, I.; Scudder, M. Supramolecular Motifs: Concerted Multiple Phenyl Embraces between Ph4P+ Cations Are Attractive and Ubiquitous. Chem. Eur. J. 1996, 2, 481–486. [Google Scholar] [CrossRef] [PubMed]
- Dance, I.; Scudder, M. Supramolecular motifs: Sextuple aryl embraces in crystalline [M(2,2′-bipy)3] and related complexes. J. Chem. Soc. Dalton Trans. 1998, 1341–1350. [Google Scholar] [CrossRef]
- Orts-Arroyo, M.; Castro, I.; Lloret, F.; Martínez-Lillo, J. Molecular Self-Assembly in a Family of Oxo-Bridged Dinuclear Ruthenium(IV) Systems. Cryst. Growth Des. 2020, 20, 2044–2056. [Google Scholar] [CrossRef]
- Bain, G.A.; Berry, J.F. Diamagnetic Corrections and Pascal’s Constants. J. Chem. Educ. 2008, 85, 532–536. [Google Scholar] [CrossRef]
- SAINT. Bruker Analytical X-ray Systems; Version 6.45; SAINT: Madison, WI, USA, 2003. [Google Scholar]
- Krause, L.; Herbst-Irmer, R.; Sheldrick, G.M.; Stalke, D. Comparison of silver and molybdenum microfocus X-ray sources for single-crystal structure determination. J. Appl.Cryst. 2015, 48, 3–10. [Google Scholar] [CrossRef]
- Sheldrick, G.M. Crystal structure refinement with SHELXL. Acta Cryst. 2015, C71, 3–8. [Google Scholar]
- Sheldrick, G.M. A short history of SHELX. Acta Cryst. 2008, A64, 112–122. [Google Scholar] [CrossRef]
- SHELXTL-2013/4. Structure Determination Software Programs; Bruker Analytical X-ray Instruments Inc.: Madison, WI, USA, 2013. [Google Scholar]
- DIAMOND 4.5.0. Crystal Impact GbR, Crystal Impact; Brandenburg GbR, Kreuzherrenstr: Bonn, Germany, 2018. [Google Scholar]






| Compound | 1 | 2 |
|---|---|---|
| CCDC | 1956543 | 1956544 |
| Formula | C48H40P2Br6Re | C48H40P2I6Re |
| Mr/g mol−1 | 1344.40 | 6505.35 |
| Crystal system | Triclinic | Triclinic |
| Space group | Pī | Pī |
| a/Å | 10.319(1) | 17.370(1) |
| b/Å | 10.434(1) | 18.058(1) |
| c/Å | 12.082(1) | 18.475(1) |
| α/° | 92.66(1) | 108.52(1) |
| β/° | 99.89(1) | 105.58(1) |
| γ/° | 117.12(1) | 100.23(1) |
| V/Å3 | 1129.1(1) | 5069.5(6) |
| Z | 1 | 1 |
| Dc/g cm−3 | 1.977 | 2.131 |
| μ(Mo-Kα)/mm−1 | 8.104 | 6.145 |
| F(000) | 643 | 3004 |
| Goodness-of-fit on F2 | 1.031 | 1.201 |
| R1 [I > 2σ(I)] | 0.0351 | 0.0466 |
| wR2 [I > 2σ(I)] | 0.0651 | 0.1422 |
| Compound | Hdc/G | Ueff/K | τo/s |
|---|---|---|---|
| 1 | 1000 | 40.6 | 1.89 × 10−10 |
| 5000 | 33.7 | 2.28 × 10−9 | |
| 2 | 1000 | 7.2 | 1.24 × 10−6 |
| 5000 | 7.0 | 8.38 × 10−7 |
| Hdc/G | Ueff/K | τo/s | A/s−1K−1 | C/s−1K−n | n | τQTM/s |
|---|---|---|---|---|---|---|
| 1000 | 43.8 | 6.9 × 10−11 | 69.9 | 2.5 | 5.5 | - |
| 5000 | 43.3 | 1.7 × 10−10 | 743.1 | 19.7 | 4.3 | 4.4 × 10−4 |
© 2020 by the authors. Licensee MDPI, Basel, Switzerland. This article is an open access article distributed under the terms and conditions of the Creative Commons Attribution (CC BY) license (http://creativecommons.org/licenses/by/4.0/).
Share and Cite
Rojas-Dotti, C.; Sanchis-Perucho, A.; Orts-Arroyo, M.; Moliner, N.; González, R.; Lloret, F.; Martínez-Lillo, J. Field-Induced Single-Ion Magnet Phenomenon in Hexabromo- and Hexaiodorhenate(IV) Complexes. Magnetochemistry 2020, 6, 20. https://doi.org/10.3390/magnetochemistry6020020
Rojas-Dotti C, Sanchis-Perucho A, Orts-Arroyo M, Moliner N, González R, Lloret F, Martínez-Lillo J. Field-Induced Single-Ion Magnet Phenomenon in Hexabromo- and Hexaiodorhenate(IV) Complexes. Magnetochemistry. 2020; 6(2):20. https://doi.org/10.3390/magnetochemistry6020020
Chicago/Turabian StyleRojas-Dotti, Carlos, Adrián Sanchis-Perucho, Marta Orts-Arroyo, Nicolás Moliner, Ricardo González, Francesc Lloret, and José Martínez-Lillo. 2020. "Field-Induced Single-Ion Magnet Phenomenon in Hexabromo- and Hexaiodorhenate(IV) Complexes" Magnetochemistry 6, no. 2: 20. https://doi.org/10.3390/magnetochemistry6020020
APA StyleRojas-Dotti, C., Sanchis-Perucho, A., Orts-Arroyo, M., Moliner, N., González, R., Lloret, F., & Martínez-Lillo, J. (2020). Field-Induced Single-Ion Magnet Phenomenon in Hexabromo- and Hexaiodorhenate(IV) Complexes. Magnetochemistry, 6(2), 20. https://doi.org/10.3390/magnetochemistry6020020

