Unexpected Light-Induced Thermal Hysteresis in Matrix Embedded Low Cooperative Spin Crossover Microparticles
Abstract
1. Introduction
2. Results
2.1. Light-Induced Thermal Hysteresis Experimental Results
2.2. Theory and Simulations
2.2.1. Mean-Field Model
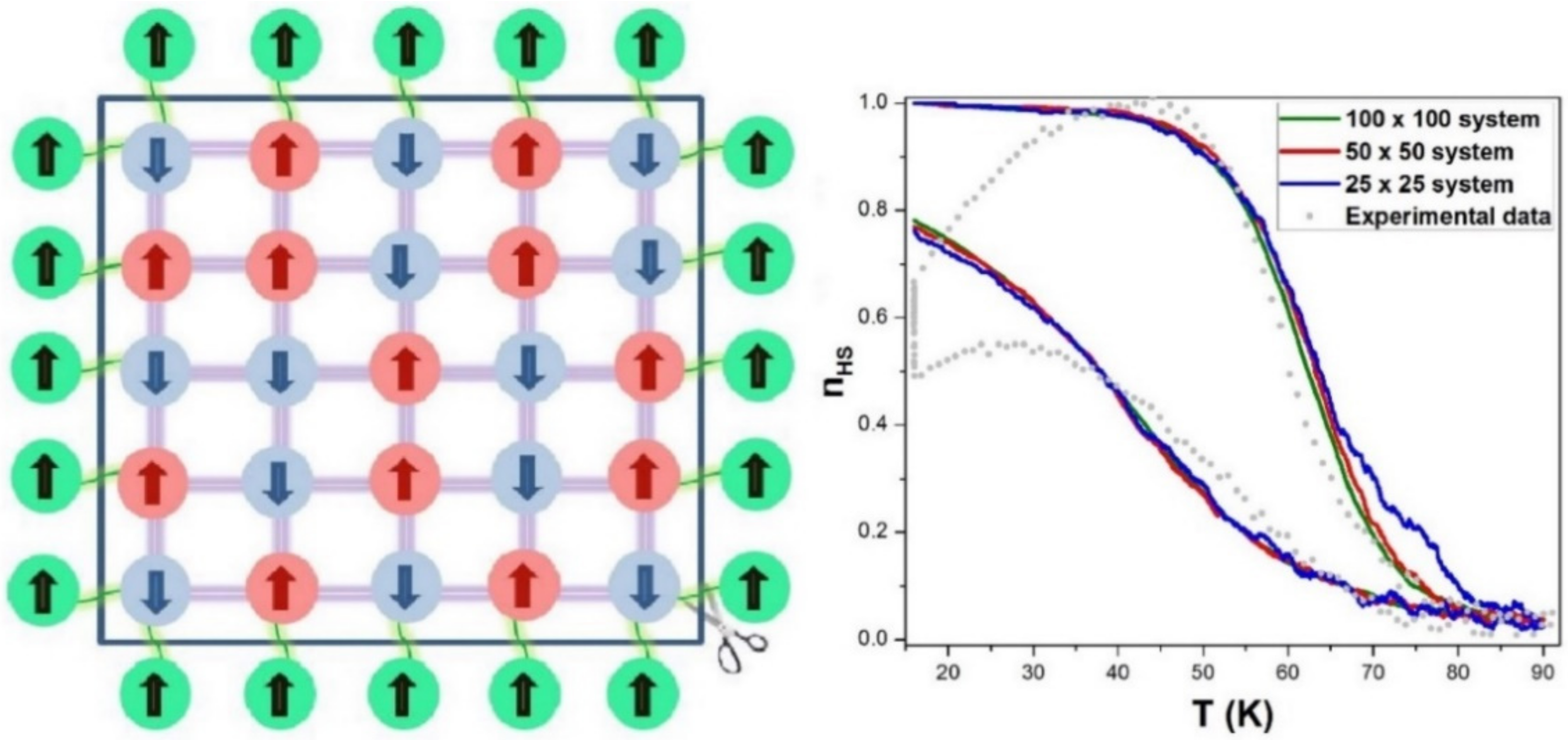
2.2.2. Ising-Like Model
2.3. First-Order Reversal Curves and Their Interpretation
3. Discussion
4. Materials and Methods
Author Contributions
Funding
Conflicts of Interest
References
- Desaix, A.; Roubeau, O.; Jeftic, J.; Haasnoot, J.G.; Boukheddaden, K.; Codjovi, E.; Linares, J.; Nogues, M.; Varret, F. Light-induced bistability in spin transition solids leading to thermal and optical hysteresis. Eur. Phys. J. B 1998, 6, 183–193. [Google Scholar] [CrossRef]
- Létard, J.F.; Guionneau, P.; Rabardel, L.; Howard, J.A.K.; Goeta, A.E.; Chasseau, D.; Kahn, O. Structural, magnetic, and photomagnetic studies of a mononuclear iron(II) derivative exhibiting an exceptionally abrupt spin transition. Light-induced thermal hysteresis phenomenon. Inorg. Chem. 1998, 37, 4432–4441. [Google Scholar] [CrossRef] [PubMed]
- Hinek, R.; Spiering, H.; Gütlich, P.; Hauser, A. The [Fe(etz)6](BF4)2 spin-crossover system—Part two: Hysteresis in the LIESST regime. Chem. Eur. J. 1996, 2, 1435–1439. [Google Scholar] [CrossRef]
- Linares, J.; Codjovi, E.; Garcia, Y. Pressure and Temperature Spin Crossover Sensors with Optical Detection. Sensors 2012, 12, 4479–4492. [Google Scholar] [CrossRef] [PubMed]
- Decurtins, S.; Gütlich, P.; Kohler, C.P.; Spiering, H.; Hauser, A. Light-induced excited spin state trapping in a transition-metal complex: The hexa-1-propyltetrazole-iron (II) tetrafluoroborate spin-crossover system. Chem. Phys. Lett. 1984, 10, 1–4. [Google Scholar] [CrossRef]
- Hauser, A. Light-induced spin crossover and the high-spin → low-spin relaxation, in: Spin crossover in transition metal compounds II. Top. Curr. Chem. 2004, 234, 155–198. [Google Scholar] [CrossRef]
- Hauser, A. High-Spin—Low-Spin Relaxation Kinetics and Cooperative Effects in the [Fe(ptz)6)(BF4) and [Zn1−xFex(ptz)6](BF4)2 (ptz = 1-Propyltetrazole) Spin-Crossover Systems. Inorg. Chem. 1986, 25, 4245–4248. [Google Scholar] [CrossRef]
- Varret, F.; Boukheddaden, K.; Codjovi, E.; Enachescu, C.; Linares, J. On the competition between relaxation and photoexcitations in spin crossover solids under continuous irradiation, in: Spin crossover in transition metal compounds II. Top. Curr. Chem. 2004, 234, 199–229. [Google Scholar] [CrossRef]
- Chakraborty, P.; Enachescu, C.; Walder, C.; Bronisz, R.; Hauser, A. Thermal and Light-Induced Spin Switching Dynamics in the 2D Coordination Network of { Zn1−xFex(bbtr)(3) (ClO4)(2)}∞: The Role of Cooperative Effects. Inorg. Chem. 2012, 51, 9714–9722. [Google Scholar] [CrossRef]
- Tanasa, R.; Enachescu, C.; Laisney, J.; Morineau, D.; Stancu, A.; Boillot, M.L. Unraveling the Environment Influence in Bistable Spin-Crossover Particles Using Magnetometric and Calorimetric First-Order Reverse Curves. J. Phys. Chem. C 2019, 123, 10120–10129. [Google Scholar] [CrossRef]
- Volatron, F.; Catala, L.; Rivière, E.; Gloter, A.; Stephan, O.; Mallah, T. Spin-Crossover Coordination Nanoparticles. Inorg. Chem. 2008, 47, 6584. [Google Scholar] [CrossRef] [PubMed]
- Gruber, M.; Berndt, R. Spin-Crossover Complexes in Direct Contact with Surfaces. Magnetochemistry 2020, 6, 35. [Google Scholar] [CrossRef]
- Laisney, J.; Morineau, D.; Enachescu, C.; Tanasa, R.; Rivière, E.; Guillot, R.; Boillot, M.L. Mechanical-tuning of the cooperativity of SC particles via the matrix crystallization and related size effects. J. Mater. Chem. C 2020, 8, 7067–7078. [Google Scholar] [CrossRef]
- Boldog, I.; Gaspar, A.B.; Martinez, V.; Pardo-Ibanez, P.; Ksenofontov, V.; Bhattacharjee, A.; Gütlich, P.; Real, J.A. Spin-crossover nanocrystals with magnetic, optical, and structural bistability near room temperature. Angew. Chem. Int. Ed. 2008, 47, 6433. [Google Scholar] [CrossRef]
- Félix, G.; Mikolasek, M.; Molnar, G.; Nicolazzi, W.; Bousseksou, A. Tuning the spin crossover in nano-objects: From hollow to core-shell particles. Chemi. Phys. Lett. 2014, 607, 10–14. [Google Scholar] [CrossRef]
- Raza, Y.; Volatron, F.; Moldovan, S.; Ersen, O.; Huc, V.; Martini, C.; Brisset, F.; Gloter, A.; Stephan, O.; Bousseksou, A.; et al. Matrix-dependent cooperativity in spin crossover Fe(pyrazine)Pt(CN)4 nanoparticles. Chem. Commun. 2011, 47, 11501–11503. [Google Scholar] [CrossRef]
- Tanasa, R.; Laisney, J.; Stancu, A.; Boillot, M.L.; Enachescu, C. Hysteretic behavior of Fe(phen)(2)(NCS)(2) spin-transition microparticles vs. the environment: A huge reversible component resolved by first order reversal curves. Appl. Phys. Lett. 2014, 104, 031909. [Google Scholar] [CrossRef]
- Enachescu, C.; Tanasa, R.; Stancu, A.; Tissot, A.; Laisney, J.; Boillot, M.L. Matrix-assisted relaxation in Fe(phen)(2)(NCS)(2) spin-crossover microparticles, experimental and theoretical investigations. Appl. Phys. Lett. 2016, 109, 031908. [Google Scholar] [CrossRef]
- Tissot, A.; Enachescu, C.; Boillot, M.L. Control of the thermal hysteresis of the prototypal spin-transition FeII(phen)2(NCS)2 compound via the microcrystallites environment: Experiments and mechanoelastic model. J. Mater. Chem. 2012, 22, 20451–20457. [Google Scholar] [CrossRef]
- Balde, C.; Desplanches, C.; Nguyen, O.; Létard, J.F. Complete temperature study of the relaxation from HS to LS state in the mixed [FexZn1−x(phen)2(NCS)2] systems (with x = 1, 0.73, 0.5, 0.32, 0.19 and 0.04). J. Phys. Conf. Ser. 2009, 148. [Google Scholar] [CrossRef]
- Roubeau, O.; Haasnoot, J.G.; Linares, J.; Varret, F. Inhomogeneous effects in the light-induced bistability and non-linear relaxation of cooperative spin-crossover solids. Mol. Cryst. Liq. Cryst. Sci. Technol. Sect. A-Mol. Cryst. Liq. Cryst. 1999, 335, 541–550. [Google Scholar] [CrossRef]
- Letard, J.F.; Chastanet, G.; Nguyen, O.; Marcen, S.; Marchivie, M.; Guionneau, P.; Chasseau, D.; Gutlich, P. Spin crossover properties of the Fe(PM-BiA)(2)(NCS)(2) complex—Phases I and II. Mon. Chem. 2003, 134, 165–182. [Google Scholar] [CrossRef]
- Enachescu, C.; Stoleriu, L.; Stancu, A.; Hauser, A. Competition between photoexcitation and relaxation in spin-crossover complexes in the frame of a mechanoelastic model. Phys. Rev. B 2010, 82, 104114. [Google Scholar] [CrossRef]
- Spiering, H.; Willenbacher, N. Elastic interaction of high-spin and low-spin complex molecules in spin-crossover compounds. II. J. Phys. Condens. Matter 1989, 1, 10089–10105. [Google Scholar] [CrossRef]
- Gütlich, P.; Hauser, A.; Spiering, H. Thermal and optical switching of iron(II) complexes. Angew. Chem. Int. Ed. 1994, 33, 2024–2054. [Google Scholar] [CrossRef]
- Krivokapic, I.; Enachescu, C.; Bronisz, R.; Hauser, A. Spin transition and relaxation dynamics coupled to a crystallographic phase transition in a polymeric iron(II) spin-crossover system. Chem. Phys. Lett. 2008, 455, 192. [Google Scholar] [CrossRef]
- Enachescu, C.; Tanasa, R.; Stancu, A.; Codjovi, E.; Linares, J.; Varret, F. FORC method applied to the thermal hysteresis of spin transition solids: First approach of static and kinetic properties. Physica B 2004, 343, 15–19. [Google Scholar] [CrossRef]
- Enachescu, C.; Tanasa, R.; Stancu, A.; Varret, F.; Linares, J.; Codjovi, E. First-order reversal curves analysis of rate-dependent hysteresis: The example of light-induced thermal hysteresis in a spin-crossover solid. Phys. Rev. B 2005, 72, 054413. [Google Scholar] [CrossRef]
- Laisney, J.; Tissot, A.; Molnar, G.; Rechignat, L.; Rivière, E.; Brisset, F.; Bousseksou, A.; Boillot, M.L. Nanocrystals of Fe(phen)2(NCS)2 and the size-dependent spin-crossover characteristics. Dalton Trans. 2015, 44, 17302–17311. [Google Scholar] [CrossRef]
- Chelli, R.; Procacci, P.; Cardini, G.; Della Valle, R.G.; Califano, S. Glycerol condensed phases Part I. A molecular dynamics study. Phys. Chem. Chem. Phys. 1999, 1, 871. [Google Scholar] [CrossRef]









Publisher’s Note: MDPI stays neutral with regard to jurisdictional claims in published maps and institutional affiliations. |
© 2021 by the authors. Licensee MDPI, Basel, Switzerland. This article is an open access article distributed under the terms and conditions of the Creative Commons Attribution (CC BY) license (https://creativecommons.org/licenses/by/4.0/).
Share and Cite
Plesca, D.; Railean, A.; Tanasa, R.; Stancu, A.; Laisney, J.; Boillot, M.-L.; Enachescu, C. Unexpected Light-Induced Thermal Hysteresis in Matrix Embedded Low Cooperative Spin Crossover Microparticles. Magnetochemistry 2021, 7, 59. https://doi.org/10.3390/magnetochemistry7050059
Plesca D, Railean A, Tanasa R, Stancu A, Laisney J, Boillot M-L, Enachescu C. Unexpected Light-Induced Thermal Hysteresis in Matrix Embedded Low Cooperative Spin Crossover Microparticles. Magnetochemistry. 2021; 7(5):59. https://doi.org/10.3390/magnetochemistry7050059
Chicago/Turabian StylePlesca, Diana, Anastasia Railean, Radu Tanasa, Alexandru Stancu, Jérôme Laisney, Marie-Laure Boillot, and Cristian Enachescu. 2021. "Unexpected Light-Induced Thermal Hysteresis in Matrix Embedded Low Cooperative Spin Crossover Microparticles" Magnetochemistry 7, no. 5: 59. https://doi.org/10.3390/magnetochemistry7050059
APA StylePlesca, D., Railean, A., Tanasa, R., Stancu, A., Laisney, J., Boillot, M.-L., & Enachescu, C. (2021). Unexpected Light-Induced Thermal Hysteresis in Matrix Embedded Low Cooperative Spin Crossover Microparticles. Magnetochemistry, 7(5), 59. https://doi.org/10.3390/magnetochemistry7050059

