New Mononuclear Mn(III) Complexes with Hydroxyl-Substituted Hexadentate Schiff Base Ligands
Abstract
1. Introduction
2. Experimental Section
3. Results and Discussion
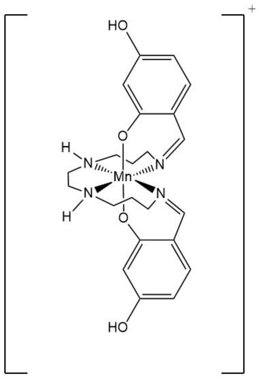
3.1. Crystallographic Studies
3.2. Hirshfeld Surface Analysis
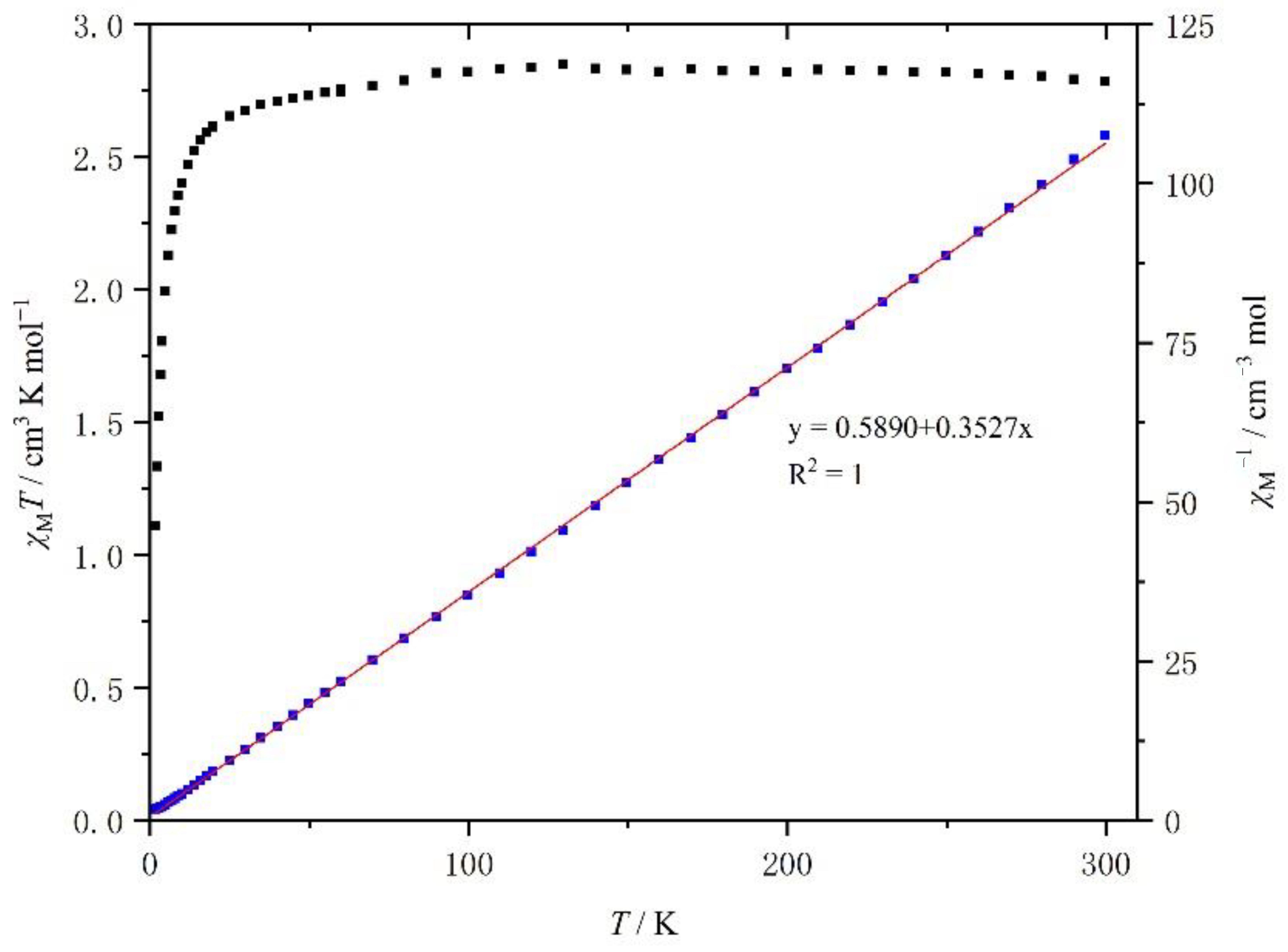
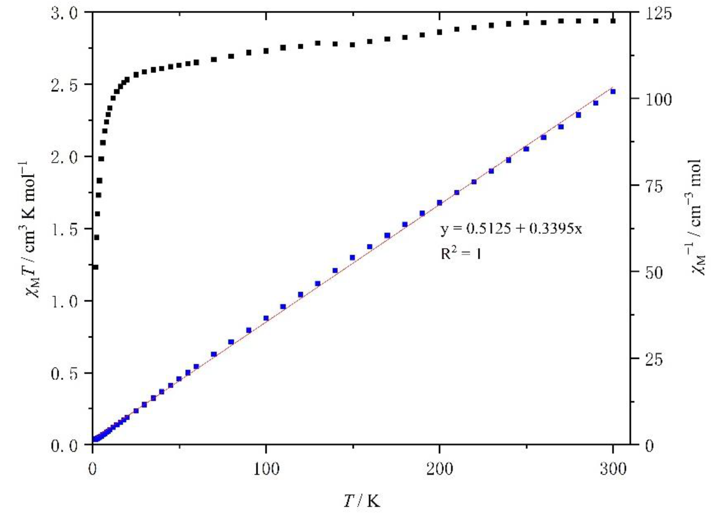
3.3. Magnetic Characterization
4. Conclusions
Author Contributions
Funding
Data Availability Statement
Acknowledgments
Conflicts of Interest
References
- Vogelsberg, C.S.; Garcia-Garibay, M.A. Crystalline molecular machines: Function, phase order, dimensionality, and composition. Chem. Soc. Rev. 2012, 41, 1892–1910. [Google Scholar] [CrossRef] [PubMed]
- Ohkoshi, S.; Tokoro, H. Photomagnetism in Cyano-Bridged Bimetal Assemblies. Acc. Chem. Res. 2012, 45, 1749–1758. [Google Scholar] [CrossRef] [PubMed]
- Koumousi, E.S.; Jeon, I.-R.; Gao, Q.; Dechambenoit, P.; Woodruff, D.N.; Merzeau, P.; Buisson, L.; Jia, X.; Lionel, B.; Volatron, F.; et al. Metal-to-Metal Electron Transfer in Co/Fe Prussian Blue Molecular Analogues: The Ultimate Miniaturization. J. Am. Chem. Soc. 2014, 136, 15461–15464. [Google Scholar] [CrossRef] [PubMed]
- Irie, M.; Fukaminato, T.; Matsuda, K.; Kobatake, S. Photochromism of Diarylethene Molecules and Crystals: Memories, Switches, and Actuators. Chem. Rev. 2014, 114, 12174–12277. [Google Scholar] [CrossRef] [PubMed]
- Zhang, J.L.; Zhong, J.-Q.; Lin, J.D.; Hu, W.P.; Wu, K.; Xu, G.Q.; Wee, A.T.S.; Chen, W. Towards single molecule switches. Chem. Soc. Rev. 2015, 44, 2998–3022. [Google Scholar] [CrossRef] [PubMed]
- Gerhard, L.; Edelmann, K.; Homberg, J.; Valasek, M.; Bahoosh, S.G.; Lukas, M.; Pauly, F.; Mayor, M.; Wulfhekel, W. An electronically actuated molecular toggle switch. Nat. Commun. 2017, 8, 14672. [Google Scholar] [CrossRef]
- Kahn, O.; Martinez, C.J. Spin-transition Polymers: From Molecular Materials Toward Memory Devices. Science 1998, 279, 44–48. [Google Scholar] [CrossRef]
- Southon, P.D.; Liu, L.; Fellows, E.A.; Price, D.J.; Halder, G.J.; Chapman, K.W.; Moubaraki, B.; Murray, K.S.; Létard, J.-F.; Kepert, C.J. Dynamic Interplay between Spin-Crossover and Host−Guest Function in a Nanoporous Metal−Organic Framework Material. J. Am. Chem. Soc. 2009, 131, 10998–11009. [Google Scholar] [CrossRef]
- Bousseksou, A.; Molnár, G.; Salmon, L.; Nicolazzi, W. Molecular spin crossover phenomenon: Recent achievements and prospects. Chem. Soc. Rev. 2011, 40, 3313–3335. [Google Scholar] [CrossRef]
- Linares, J.; Codjovi, E.; Garcia, Y. Pressure and Temperature Spin Crossover Sensors with Optical Detection. Sensors 2012, 12, 4479–4492. [Google Scholar] [CrossRef]
- Gao, D.; Liu, Y.; Miao, B.; Wei, C.; Ma, J.-G.; Cheng, P.; Yang, G.-M. Pressure Sensor with a Color Change at Room Temperature Based on Spin-Crossover Behavior. Inorg. Chem. 2018, 57, 12475–12479. [Google Scholar] [CrossRef] [PubMed]
- Sim, P.G.; Sinn, E. First manganese(III) spin crossover and first d4 crossover: Comment on cytochrome-oxidase. J. Am. Chem. Soc. 1981, 103, 241–243. [Google Scholar] [CrossRef]
- Morgan, G.G.; Murnaghan, K.D.; Müller-Bunz, H.; McKee, V.; Harding, C.J. A Manganese(III) Complex That Exhibits Spin Crossover Triggered by Geometric Tuning. Angew. Chem. Int. Ed. 2006, 45, 7192–7195. [Google Scholar] [CrossRef] [PubMed]
- Ossinger, S.; Naggert, H.; Kipgen, L.; Jasper-Toennies, T.; Rai, A.; Rudnik, J.; Nickel, F.; Arruda, L.M.; Bernien, M.; Kuch, W.; et al. Vacuum-Evaporable Spin-Crossover Complexes in Direct Contact with a Solid Surface: Bismuth versus Gold. J. Phys. Chem. C 2017, 121, 1210–1219. [Google Scholar] [CrossRef]
- Wang, S.; Ferbinteanu, M.; Marinescu, C.; Dobrinescu, A.; Ling, Q.-D.; Huang, W. Case Study on a Rare Effect: The Experimental and Theoretical Analysis of a Manganese(III) Spin-Crossover System. Inorg. Chem. 2010, 49, 9839–9851. [Google Scholar] [CrossRef] [PubMed]
- Gandolfi, C.; Cotting, T.; Martinho, P.N.; Sereda, O.; Neels, A.; Morgan, G.G.; Albrecht, M. Synthesis and self-assembly of spin-labile and redox-active manganese(iii) complexes. Dalton Trans. 2010, 40, 1855–1865. [Google Scholar] [CrossRef] [PubMed]
- Martinho, P.N.; Gildea, B.; Harris, M.M.; Lemma, T.; Naik, A.D.; Müller-Bunz, H.; Keyes, T.E.; Garcia, Y.; Morgan, G.G. Cooperative Spin Transition in a Mononuclear Manganese(III) Complex. Angew. Chem. Int. Ed. 2012, 51, 12597–12601. [Google Scholar] [CrossRef]
- Gildea, B.; Gavin, L.C.; Murray, C.A.; Müller-Bunz, H.; Harding, C.J.; Morgan, G.G. Supramolecular modulation of spin crossover profile in manganese(III). Supramol. Chem. 2012, 24, 641–653. [Google Scholar] [CrossRef]
- Pandurangan, K.; Gildea, B.; Murray, C.; Harding, C.J.; Müller-Bunz, H.; Morgan, G.G. Lattice Effects on the Spin-Crossover Profile of a Mononuclear Manganese(III) Cation. Chem. A Eur. J. 2012, 18, 2021–2029. [Google Scholar] [CrossRef]
- Wang, S.; He, W.-R.; Ferbinteanu, M.; Li, Y.-H.; Huang, W. Tetragonally compressed high-spin Mn(III) Schiff base complex: Synthesis, crystal structure, magnetic properties and theoretical calculations. Polyhedron 2013, 52, 1199–1205. [Google Scholar] [CrossRef]
- Chen, Y.; Gao, F.; Wei, R.-M.; Zhang, Y.; Zhang, Y.-Q.; Song, Y. Spin-crossover phenomena of the mononuclear MnIII complex tuned by metal dithiolene counteranions. Dalton Trans. 2014, 43, 3783–3791. [Google Scholar] [CrossRef] [PubMed]
- Gildea, B.; Harris, M.M.; Gavin, L.C.; Murray, C.A.; Ortin, Y.; Müller-Bunz, H.; Harding, C.J.; Lan, Y.; Powell, A.K.; Morgan, G.G. Substituent Effects on Spin State in a Series of Mononuclear Manganese(III) Complexes with Hexadentate Schiff-Base Ligands. Inorg. Chem. 2014, 53, 6022–6033. [Google Scholar] [CrossRef] [PubMed]
- Morgan, G.G.; Fitzpatrick, A.J.; Trzop, E.; Müller-Bunz, H.; Dîrtu, M.M.; Garcia, Y.; Collet, E. Electronic vs. structural ordering in a manganese(III) spin crossover complex. Chem. Commun. 2015, 51, 17540–17543. [Google Scholar]
- Wang, S.; Li, Y.-H.; Huang, W. Effects of Big Planar Anions on the Spin Transition of a Mononuclear Manganese(III) Complex with a Hexadentate Schiff-Base Ligand. Eur. J. Inorg. Chem. 2015, 2015, 2237–2244. [Google Scholar] [CrossRef]
- Wang, S.; Xu, W.-T.; He, W.-R.; Takaishi, S.; Li, Y.-H.; Yamashita, M.; Huang, W. Structural insights into the counterion effects on the manganese(iii) spin crossover system with hexadentate Schiff-base ligands. Dalton Trans. 2016, 45, 5676–5688. [Google Scholar] [CrossRef]
- Wang, S.; Li, Y.-J.; Ju, F.-F.; Xu, W.-T.; Kagesawa, K.; Li, Y.-H.; Yamashita, M.; Huang, W. The molecular and supramolecular aspects in mononuclear manganese(iii) Schiff-base spin crossover complexes. Dalton Trans. 2017, 46, 11063–11077. [Google Scholar] [CrossRef]
- Barker, A.; Kelly, C.T.; Kühne, I.A.; Hill, S.; Krzystek, J.; Wix, P.; Esien, K.; Felton, S.; Müller-Bunza, H.; Morgan, G.G. Spin state solvomorphism in a series of rare S = 1 manganese(III) complexes. Dalton Trans. 2019, 48, 15560–15566. [Google Scholar] [CrossRef] [PubMed]
- Kazakova, A.V.; Tiunova, A.V.; Korchagin, D.V.; Shilov, G.V.; Yagubskii, E.B.; Zverev, V.N.; Yang, S.C.; Lin, J.; Lee, J.; Maximova, O.V.; et al. The First Conducting Spin-Crossover Compound Combining a Mn III Cation Complex with Electroactive TCNQ Demonstrating an Abrupt Spin Transition with a Hysteresis of 50 K. Chem. A Eur. J. 2019, 25, 10204–10213. [Google Scholar] [CrossRef]
- Zhao, S.-Z.; Qin, C.-Y.; Wang, S.; Yamashita, M.; Li, Y.-H.; Huang, W. Structure function correlations in mononuclear manganese(III) spin crossover systems with a big conjugated hexadentate Schiff-base ligand. Dalton Trans. 2020, 49, 4293–4305. [Google Scholar] [CrossRef]
- Villaman, D.; McMonagle, C.J.; Probert, M.R.; Peña, O.; Moreno, Y.; Fuentealba, M. Structural studies of a manganese(iii) complex with spin-crossover and thermochromic properties. CrystEngComm 2020, 22, 3221–3233. [Google Scholar] [CrossRef]
- Krüger, C.; Augustín, P.; Dlháň, L.; Pavlik, J.; Moncol’, J.; Nemec, I.; Boča, R.; Renz, F. Iron(III) complexes with pentadentate Schiff-base ligands: Influence of crystal packing change and pseudohalido coligand variations on spin crossover. Polyhedron 2015, 87, 194–201. [Google Scholar] [CrossRef]
- Yamada, M.; Hagiwara, H.; Torigoe, H.; Matsumoto, N.; Kojima, M.; Dahan, F.; Tuchagues, J.P.; Re, N.; Iijima, S. A variety of spin-crossover behaviors depending on the counter anion: Two-dimensional complexes constructed by NH Cl hydrogen bonds, [FeIIH3LMe]Cl·X (X=PF6, AsF6, SbF6, CF3SO3; H3LMe=Tris[2-{[(2-methylimidazol-4-yl) methylidene]amino}ethyl]amine). Chem. Eur. J. 2006, 12, 4536–4549. [Google Scholar] [CrossRef] [PubMed]
- Ni, Z.; McDaniel, A.M.; Shores, M.P. Ambient temperature anion-dependent spin state switching observed in “mostly low spin” heteroleptic iron(ii) diimine complexes. Chem. Sci. 2010, 1, 615–621. [Google Scholar] [CrossRef]
- Nemec, I.; Herchel, R.; Šalitroš, I.; Trávníček, Z.; Moncoľ, J.; Fuess, H.; Ruben, M.; Linert, W. Anion driven modulation of magnetic intermolecular interactions and spin crossover properties in an isomorphous series of mononuclear iron(iii) complexes with a hexadentate Schiff base ligand. CrystEngComm 2012, 14, 7015. [Google Scholar] [CrossRef]
- Li, B.; Wei, R.-J.; Tao, J.; Huang, R.-B.; Zheng, L.-S.; Zheng, Z. Solvent-Induced Transformation of Single Crystals of a Spin-Crossover (SCO) Compound to Single Crystals with Two Distinct SCO Centers. J. Am. Chem. Soc. 2010, 132, 1558–1566. [Google Scholar] [CrossRef] [PubMed]
- Wei, R.-J.; Tao, J.; Huang, R.-B.; Zheng, L.-S. Reversible and Irreversible Vapor-Induced Guest Molecule Exchange in Spin-Crossover Compounds. Inorg. Chem. 2011, 50, 8553–8564. [Google Scholar] [CrossRef]
- Costa, J.S.; Rodríguez-Jiménez, S.; Craig, G.A.; Barth, B.; Beavers, C.M.; Teat, S.J.; Aromí, G. Three-way crystal-tocrystal reversible transformation and controlled spin switching by a nonporous molecular material. J. Am. Chem. Soc. 2014, 136, 3869–3874. [Google Scholar] [CrossRef]
- Wannarit, N.; Nassirinia, N.; Amani, S.; Masciocchi, N.; Youngme, S.; Roubeau, O.; Teat, S.J.; Gamez, P. Drastic Effect of Lattice Propionitrile Molecules on the Spin-Transition Temperature of a 2,2′-Dipyridylamino/s-triazine-Based Iron(II) Complex. Inorg. Chem. 2014, 53, 9827–9836. [Google Scholar] [CrossRef]
- Spackman, M.A.; Jayatilaka, D. Hirshfeld surface analysis. CrystEngComm. 2009, 11, 19–32. [Google Scholar] [CrossRef]
- Hassan, N.H.H.; Abdullah, A.A.; Arshad, S.; Khalib, N.C.; Razak, I.A. Crystal structure and Hirshfeld surface analysis of (E)-3-(2-chloro-6-fluorophenyl)-1-(3-fluoro-4-methoxyphenyl)prop-2-en-1-one. Acta Cryst. Sec. E 2016, 72, 716–719. [Google Scholar] [CrossRef]










| Formula | 1 | 2 | ||
|---|---|---|---|---|
| C22H28MnN5O7 | C22H28ClMnN4O8 | |||
| CCDC | 2,043,724 | 2,043,725 | 2,043,722 | 2,043,723 |
| T, K | 100 K | 298 K | 100 K | 298 K |
| Crystal system | triclinic | triclinic | triclinic | triclinic |
| Space group | ||||
| Z | 2 | 2 | 2 | 2 |
| a, Å | 9.4195(19) | 9.4904(10) | 9.6692(14) | 9.883(7) |
| b, Å | 10.455(2) | 10.4832(10) | 10.5597(15) | 10.741(7) |
| c, Å | 12.733(3) | 12.8865(13) | 12.8271(18) | 13.204(10) |
| α, deg | 93.434(5) | 93.556(2) | 93.505(3) | 94.021(15) |
| β, deg | 106.356(4) | 106.793(2) | 107.134(3) | 108.463(17) |
| γ, deg | 107.143(5) | 106.914(2) | 105.371(3) | 104.578(16) |
| V, Å3 | 1135.7(4) | 1159.3(2) | 1192.9(3) | 1269.4(15) |
| Dcalc, g cm−3 | 1.548 | 1.517 | 1.578 | 1.483 |
| µ, mm−1 | 0.637 | 0.624 | 0.722 | 0.679 |
| F(000) | 552 | 552 | 588 | 588 |
| hkl range | −11 ≤ h ≤ 11 | −8 ≤ h ≤ 11 | −12 ≤ h ≤ 10 | −11 ≤ h ≤ 9 |
| −8 ≤ k ≤ 12 | −12 ≤ k ≤ 11 | −14 ≤ k ≤ 13 | −12 ≤ k ≤ 12 | |
| −15 ≤ l ≤ 15 | −15 ≤ l ≤ 15 | −16 ≤ l ≤ 17 | −14 ≤ l ≤ 15 | |
| Collected | 7306 | 7846 | 10719 | 7399 |
| Parameters | 333 | 333 | 336 | 339 |
| Goodness-of-fit | 1.033 | 1.075 | 1.022 | 1.081 |
| R1[I>2σ(I)] | 0.0525 | 0.0310 | 0.0291 | 0.1847 |
| wR2[I>2σ(I)] | 0.1328 | 0.0917 | 0.0722 | 0.0614 |
| max./min. [e Å−3] | 0.99/−0.91 | 0.63/−0.51 | 0.38/−0.44 | 0.56/−0.91 |
| 1 | 2 | |||
|---|---|---|---|---|
| T, K | 100 K | 298 K | 100 K | 298 K |
| Bond distances | ||||
| Mn1-N1 | 2.121(3) | 2.1194(16) | 2.0839(13) | 2.148(3) |
| Mn1-N2 | 2.233(3) | 2.2375(17) | 2.2912(13) | 2.267(3) |
| Mn1-N3 | 2.273(3) | 2.2747(18) | 2.2369(13) | 2.310(3) |
| Mn1-N4 | 2.075(3) | 2.0852(16) | 2.1346(13) | 2.116(3) |
| Mn1-Nav | 2.1755 | 2.1792 | 2.18665 | 2.210 |
| Mn1-O1 | 1.864(2) | 1.8688(12) | 1.8797(11) | 1.894(3) |
| Mn1-O4 | 1.872(2) | 1.8748(13) | 1.8742(11) | 1.903(3) |
| Mn1-Oav | 1.868 | 1.8718 | 1.87695 | 1.8985 |
| Bond angles | ||||
| O4-Mn1-N1 | 92.22(10) | 92.31(6) | 91.53(5) | 91.79(13) |
| O1-Mn1-N1 | 86.86(10) | 86.84(6) | 88.35(5) | 86.85(13) |
| O4-Mn1-N4 | 87.88(10) | 87.91(6) | 86.93(5) | 88.51(13) |
| O1-Mn1-N4 | 91.43(10) | 91.29(6) | 91.42(5) | 91.17(13) |
| N1-Mn1-N4 | 116.80(10) | 116.81(6) | 116.38(5) | 116.84(13) |
| O4-Mn1-N3 | 95.42(10) | 94.46(6) | 93.77(5) | 96.33(13) |
| O1-Mn1-N3 | 85.86(9) | 85.79(6) | 86.95(5) | 85.30(13) |
| N4-Mn1-N3 | 83.15(10) | 83.17(7) | 82.65(5) | 83.18(15) |
| O4-Mn1-N2 | 86.35(10) | 86.53(6) | 85.33(5) | 86.68(12) |
| O1-Mn1-N2 | 94.76(10) | 94.67(6) | 96.54(5) | 94.16(13) |
| N1-Mn1-N2 | 82.87(10) | 82.88(7) | 83.60(5) | 82.33(13) |
| N3-Mn1-N2 | 78.07(10) | 78.01(7) | 78.18(5) | 78.48(15) |
| O4-Mn1-O1 | 178.46(9) | 178.42(5) | 178.10(4) | 178.29(10) |
| N1-Mn1-N3 | 158.93(10) | 158.85(7) | 160.52(5) | 158.64(14) |
| N4-Mn1-N2 | 159.72(10) | 159.75(7) | 158.77(5) | 160.39(13) |
| Mn-Mn distance | ||||
| interchain | 6.709(1) | 6.749(6) | 6.740(8) | 6.841(4) |
| intrachain | 8.337(1) | 8.349(7) | 8.335(9) | 8.431(4) |
| Octahedral distortion parameters | ||||
| θ | 292.38 | 291.98 | 289.93 | 294.06 |
| Σ | 79.59 | 79.41 | 77.66 | 78.90 |
| 1 | |||||||||
| 100 K | 298 K | ||||||||
| D-H···A | D-H | H···A | D···A | angle | D-H···A | D-H | H···A | D···A | angle |
| N2-H12···O2 i | 0.78(5) | 2.32(5) | 3.091(4) | 170(4) | N2-H12···O2 iv | 0.87(2) | 2.25(3) | 3.108(3) | 171(2) |
| O2-H2···O7 ii | 0.72(5) | 1.96(5) | 2.677(4) | 175(4) | O2-H2···O5 v | 0.71(4) | 2.01(4) | 2.711(3) | 177(3) |
| O3-H27···O6 iii | 0.80(4) | 2.04(5) | 2.796(4) | 158(4) | O3-H27···O6 vi | 0.79(3) | 2.06(3) | 2.807(3) | 158(3) |
| 2 | |||||||||
| 100 K | 298 K | ||||||||
| D-H···A | D-H | H···A | D···A | angle | D-H···A | D-H | H···A | D···A | angle |
| N3-H17···O3 i | 0.88(2) | 2.34(2) | 3.1779(19) | 159.2(18) | N2-H12···O2 vii | 0.89(6) | 2.34(6) | 3.206(6) | 165(5) |
| O2-H2···O7 vi | 0.84 | 2.03 | 2.8420(18) | 163 | O2-H2···O5 ii | 0.82 | 2.11 | 2.922(8) | 171 |
| O3-H27···O6 | 0.84 | 1.95 | 2.784(2) | 174 | O3-H27···O8 viii | 0.71(5) | 2.18(5) | 2.861(8) | 163(6) |
| O3-H27···O7 | 0.84 | 2.674 | 3.248(2) | 126.79 | O2-H2···O8 | 0.821 | 2.658 | 3.272(9) | 132.9 |
Publisher’s Note: MDPI stays neutral with regard to jurisdictional claims in published maps and institutional affiliations. |
© 2021 by the authors. Licensee MDPI, Basel, Switzerland. This article is an open access article distributed under the terms and conditions of the Creative Commons Attribution (CC BY) license (http://creativecommons.org/licenses/by/4.0/).
Share and Cite
Xu, P.-Y.; Wang, Y.-T.; Yu, Z.-M.; Li, Y.-H.; Wang, S. New Mononuclear Mn(III) Complexes with Hydroxyl-Substituted Hexadentate Schiff Base Ligands. Magnetochemistry 2021, 7, 12. https://doi.org/10.3390/magnetochemistry7010012
Xu P-Y, Wang Y-T, Yu Z-M, Li Y-H, Wang S. New Mononuclear Mn(III) Complexes with Hydroxyl-Substituted Hexadentate Schiff Base Ligands. Magnetochemistry. 2021; 7(1):12. https://doi.org/10.3390/magnetochemistry7010012
Chicago/Turabian StyleXu, Peng-Yu, Yu-Ting Wang, Zong-Mei Yu, Yong-Hua Li, and Shi Wang. 2021. "New Mononuclear Mn(III) Complexes with Hydroxyl-Substituted Hexadentate Schiff Base Ligands" Magnetochemistry 7, no. 1: 12. https://doi.org/10.3390/magnetochemistry7010012
APA StyleXu, P.-Y., Wang, Y.-T., Yu, Z.-M., Li, Y.-H., & Wang, S. (2021). New Mononuclear Mn(III) Complexes with Hydroxyl-Substituted Hexadentate Schiff Base Ligands. Magnetochemistry, 7(1), 12. https://doi.org/10.3390/magnetochemistry7010012

