Synthesis and Characterization of Magnetic Molecularly Imprinted Polymer for the Monitoring of Amoxicillin in Real Samples Using the Chromatographic Method
Abstract
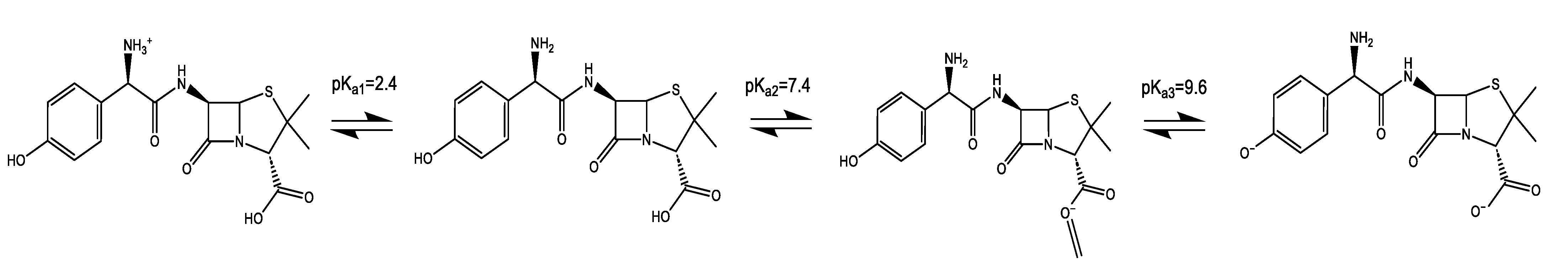
1. Introduction
2. Materials and Methodologies
2.1. Chemicals
2.2. Computational Simulation
2.3. Synthesis of a Molecularly Imprinted Superparamagnetic Polymer with Core-Shell Structure (SP-MIP)
2.4. Characterization Experiments
2.5. High-Performance Liquid Chromatography Analysis of AMX
2.6. Selectivity for AMX Binding
2.7. Real Samples
3. Results and Discussion
3.1. Computational Simulation
3.2. Characterization Experiments
3.3. HPLC-UV Analysis of AMX
3.4. Optimizaion of SP-MIP Adsorption
3.5. Adsorption Isotherms
3.6. Selectivity
3.7. Real Sample
4. Conclusions
Author Contributions
Funding
Institutional Review Board Statement
Informed Consent Statement
Data Availability Statement
Acknowledgments
Conflicts of Interest
References
- Rezaei, B.; Damiri, S. Electrochemistry and Adsorptive Stripping Voltammetric Determination of Amoxicillin on a Multiwalled Carbon Nanotubes Modified Glassy Carbon Electrode. Electroanalysis 2009, 21, 1577–1586. [Google Scholar] [CrossRef]
- Muhammad, A.; Yusof, N.; Hajian, R.; Abdullah, J. Construction of an Electrochemical Sensor Based on Carbon Nanotubes/Gold Nanoparticles for Trace Determination of Amoxicillin in Bovine Milk. Sensors 2016, 16, 56. [Google Scholar] [CrossRef]
- Yang, Q.; Gao, Y.; Ke, J.; Show, P.L.; Ge, Y.; Liu, Y.; Guo, R.; Chen, J. Antibiotics: An Overview on the Environmental Occurrence, Toxicity, Degradation, and Removal Methods. Bioengineered 2021, 12, 7376–7416. [Google Scholar] [CrossRef]
- Rojanarata, T.; Opanasopit, P.; Ngawhirunpat, T.; Saehuan, C.; Wiyakrutta, S.; Meevootisom, V. A Simple, Sensitive and Green Bienzymatic UV-Spectrophotometric Assay of Amoxicillin Formulations. Enzyme Microb. Technol. 2010, 46, 292–296. [Google Scholar] [CrossRef]
- Saleh, G.A. Two Selective Spectrophotometric Methods for the Determination of Amoxicillin and Cefadroxil. Analyst 1996, 121, 641. [Google Scholar] [CrossRef]
- Al-Abachi, M.Q.; Haddi, H.; Al-Abachi, A.M. Spectrophotometric Determination of Amoxicillin by Reaction with N,N-Dimethyl-p-Phenylenediamine and Potassium Hexacyanoferrate(III). Anal. Chim. Acta 2005, 554, 184–189. [Google Scholar] [CrossRef]
- Pham, T.H.Y.; Mai, T.T.; Nguyen, H.A.; Chu, T.T.H.; Vu, T.T.H.; Le, Q.H. Voltammetric Determination of Amoxicillin Using a Reduced Graphite Oxide Nanosheet Electrode. J. Anal. Methods Chem. 2021, 2021, 8823452. [Google Scholar] [CrossRef] [PubMed]
- López, R.; Khan, S.; Wong, A.; Sotomayor, M.D.P.T.; Picasso, G. Development of a New Electrochemical Sensor Based on Mag-MIP Selective Toward Amoxicillin in Different Samples. Front. Chem. 2021, 146, 615602. [Google Scholar] [CrossRef] [PubMed]
- Li, Y.; Tang, Y.; Yao, H.; Fu, J. Determination of Ampicillin and Amoxycillin by Flow Injection Chemiluminescence Method Based on Their Enhancing Effects on the Luminol-Periodate Reaction. Luminescence 2003, 18, 313–317. [Google Scholar] [CrossRef]
- Xie, X.; Song, Z. Ultrasensitive Determination of Amoxicillin Using Chemiluminescence with Flow Injection Analysis. J. Spectrosc. 2006, 20, 37–43. [Google Scholar] [CrossRef]
- Hernández, M.; Borrull, F.; Calull, M. Determination of Amoxicillin in Plasma Samples by Capillary Electrophoresis. J. Chromatogr. B Biomed. Sci. Appl. 1999, 731, 309–315. [Google Scholar] [CrossRef] [PubMed]
- Pajchel, G.; Pawłowski, K.; Tyski, S. CE versus LC for Simultaneous Determination of Amoxicillin/Clavulanic Acid and Ampicillin/Sulbactam in Pharmaceutical Formulations for Injections. J. Pharm. Biomed. Anal. 2002, 29, 75–81. [Google Scholar] [CrossRef]
- Issa, M.; Nejem, M.; Al-Kholy, M.; El-Abadla, S.; Helles, S.; Saleh, A. An Indirect Atomic Absorption Spectrometric Determination of Ciprofloxacin, Amoxycillin and Diclofenac Sodium in Pharmaceutical Formulations. J. Serb. Chem. Soc. 2008, 73, 569–576. [Google Scholar] [CrossRef]
- Lee, T.L.; D’Arconte, L.; Brooks, M.A. High-Pressure Liquid Chromatographic Determination of Amoxicillin in Urine. J. Pharm. Sci. 1979, 68, 454–458. [Google Scholar] [CrossRef] [PubMed]
- Douša, M.; Hosmanová, R. Rapid Determination of Amoxicillin in Premixes by HPLC. J. Pharm. Biomed. Anal. 2005, 37, 373–377. [Google Scholar] [CrossRef]
- Nguyen, M.D.; Tran, H.-V.; Xu, S.; Lee, T.R. Fe3O4 Nanoparticles: Structures, Synthesis, Magnetic Properties, Surface Functionalization, and Emerging Applications. Appl. Sci. 2021, 11, 11301. [Google Scholar] [CrossRef]
- Zhang, Q.; Yang, X.; Guan, J. Applications of Magnetic Nanomaterials in Heterogeneous Catalysis. ACS Appl. Nano Mater. 2019, 2, 4681–4697. [Google Scholar] [CrossRef]
- Sappino, C.; Primitivo, L.; De Angelis, M.; Domenici, M.O.; Mastrodonato, A.; Ben Romdan, I.; Tatangelo, C.; Suber, L.; Pilloni, L.; Ricelli, A.; et al. Functionalized Magnetic Nanoparticles as Catalysts for Enantioselective Henry Reaction. ACS Omega 2019, 4, 21809–21817. [Google Scholar] [CrossRef]
- Vaghari, H.; Jafarizadeh-Malmiri, H.; Mohammadlou, M.; Berenjian, A.; Anarjan, N.; Jafari, N.; Nasiri, S. Application of Magnetic Nanoparticles in Smart Enzyme Immobilization. Biotechnol. Lett. 2016, 38, 223–233. [Google Scholar] [CrossRef]
- Dalpozzo, R. Magnetic Nanoparticle Supports for Asymmetric Catalysts. Green Chem. 2015, 17, 3671–3686. [Google Scholar] [CrossRef]
- Govan, J.; Gun’ko, Y. Recent Advances in the Application of Magnetic Nanoparticles as a Support for Homogeneous Catalysts. Nanomaterials 2014, 4, 222–241. [Google Scholar] [CrossRef] [PubMed]
- Khan, S.; Hussain, S.; Wong, A.; Foguel, M.V.; Gonçalves, L.M.; Gurgo, M.I.P.; Del Pilar Taboada Sotomayor, M. Synthesis and Characterization of Magnetic-Molecularly Imprinted Polymers for the HPLC-UV Analysis of Ametryn. React. Funct. Polym. 2017, 122, 175–182. [Google Scholar] [CrossRef]
- Hussain, S.; Khan, S.; Gul, S.; Pividori, M.I.; Del Pilar Taboada Sotomayor, M. A Novel Core@shell Magnetic Molecular Imprinted Nanoparticles for Selective Determination of Folic Acid in Different Food Samples. React. Funct. Polym. 2016, 106, 51–56. [Google Scholar] [CrossRef]
- Du, X.; He, J.; Zhu, J.; Sun, L.; An, S. Ag-Deposited Silica-Coated Fe3O4 Magnetic Nanoparticles Catalyzed Reduction of p-Nitrophenol. Appl. Surf. Sci. 2012, 258, 2717–2723. [Google Scholar] [CrossRef]
- Gunoglu, K.; Akkurt, İ. Radiation Shielding Properties of Concrete Containing Magnetite. Progress in Nuclear Energy 2021, 137, 103776. [Google Scholar] [CrossRef]
- Wang, Z.; Bai, E.; Huang, H.; Wang, T.; Sun, H. Study on the Electromagnetic Property and Microwave Heating Efficiency of Concrete with Magnetite Aggregate. Constr. Build. Mater. 2022, 342, 128080. [Google Scholar] [CrossRef]
- Ahmed, S.M.; Kamal, I. Electrical Resistivity and Compressive Strength of Cement Mortar Based on Green Magnetite Nanoparticles and Wastes from Steel Industry. Case Stud. Constr. Mater. 2022, 17, e01712. [Google Scholar] [CrossRef]
- Jędrzak, A.; Kuznowicz, M.; Rębiś, T.; Jesionowski, T. Portable Glucose Biosensor Based on Polynorepinephrine@magnetite Nanomaterial Integrated with a Smartphone Analyzer for Point-of-Care Application. Bioelectrochemistry 2022, 145, 108071. [Google Scholar] [CrossRef]
- Li, Y.; Huang, L.; Tai, G.; Yan, F.; Cai, L.; Xin, C.; Al Islam, S. Graphene Oxide-Loaded Magnetic Nanoparticles within 3D Hydrogel Form High-Performance Scaffolds for Bone Regeneration and Tumour Treatment. Compos. Part A Appl. Sci. Manuf. 2022, 152, 106672. [Google Scholar] [CrossRef]
- Nuzhina, J.V.; Shtil, A.A.; Prilepskii, A.Y.; Vinogradov, V.V. Preclinical Evaluation and Clinical Translation of Magnetite-Based Nanomedicines. J. Drug Deliv. Sci. Technol. 2019, 54, 101282. [Google Scholar] [CrossRef]
- Rutkowski, S.; Si, T.; Gai, M.; Sun, M.; Frueh, J.; He, Q. Magnetically-Guided Hydrogel Capsule Motors Produced via Ultrasound Assisted Hydrodynamic Electrospray Ionization Jetting. J. Colloid. Interface Sci. 2019, 541, 407–417. [Google Scholar] [CrossRef]
- Mukhortova, Y.R.; Pryadko, A.S.; Chernozem, R.V.; Pariy, I.O.; Akoulina, E.A.; Demianova, I.V.; Zharkova, I.I.; Ivanov, Y.F.; Wagner, D.V.; Bonartsev, A.P.; et al. Fabrication and Characterization of a Magnetic Biocomposite of Magnetite Nanoparticles and Reduced Graphene Oxide for Biomedical Applications. Nano-Struct. Nano-Objects 2022, 29, 100843. [Google Scholar] [CrossRef]
- Chowdhury, S.R.; Yanful, E.K. Arsenic Removal from Aqueous Solutions by Adsorption on Magnetite Nanoparticles. Water Environ. J. 2011, 25, 429–437. [Google Scholar] [CrossRef]
- Arun, A.V.; Gangadharan, D. Adsorptive Remediation of Organic Pollutant and Arsenic (V) Ions from Water Using Fe3O4-MnO2 Nanocomposite. Nano-Struct. Nano-Objects 2022, 29, 100837. [Google Scholar] [CrossRef]
- Wei, J.; Yang, Z.; Sun, Y.; Wang, C.; Fan, J.; Kang, G.; Zhang, R.; Dong, X.; Li, Y. Nanocellulose-Based Magnetic Hybrid Aerogel for Adsorption of Heavy Metal Ions from Water. J. Mater. Sci. 2019, 54, 6709–6718. [Google Scholar] [CrossRef]
- Cai, W.; Wan, J. Facile Synthesis of Superparamagnetic Magnetite Nanoparticles in Liquid Polyols. J Colloid Interface Sci 2007, 305, 366–370. [Google Scholar] [CrossRef]
- Neres, L.C.S.; Feliciano, G.T.; Dutra, R.F.; Sotomayor, M.D.P.T. Development of a Selective Molecularly Imprinted Polymer for Troponin T Detection: A Theoretical-Experimental Approach. Mater. Today Commun. 2022, 30, 102996. [Google Scholar] [CrossRef]
- Viveiros, R.; Karim, K.; Piletsky, S.A.; Heggie, W.; Casimiro, T. Development of a Molecularly Imprinted Polymer for a Pharmaceutical Impurity in Supercritical CO2: Rational Design Using Computational Approach. J. Clean Prod. 2017, 168, 1025–1031. [Google Scholar] [CrossRef]
- Marestoni, L.D.; Wong, A.; Feliciano, G.T.; Marchi, M.R.R.; Tarley, C.R.T.; Sotomayor, M.D.P.T. Semi-Empirical Quantum Chemistry Method for Pre-Polymerization Rational Design of Ciprofloxacin Imprinted Polymer and Adsorption Studies. J. Braz. Chem. Soc. 2015. [Google Scholar] [CrossRef]
- Vega-Chacón, J.; Picasso, G.; Avilés-Félix, L.; Jafelicci, M. Influence of Synthesis Experimental Parameters on the Formation of Magnetite Nanoparticles Prepared by Polyol Method. Adv. Nat. Sci. Nanosci. Nanotechnol. 2016, 7, 015014. [Google Scholar] [CrossRef]
- Ruiz-Córdova, G.; López, R.; Vega-Chacón, J.; Khan, S.; Picasso, G.; Taboada Sotomayor, M. del P. Chapter 2. Molecularly Imprinted Polymers in Hybrid Materials Using Inorganic Nanoparticles. In A Complete Guide to Hybrid Materials; Torres, N., Ed.; Nova Sciences: Hauppauge, NY, USA, 2020; p. 141. ISBN 978-1-53618-820-2. [Google Scholar]
- Stober, W.; Fink, A.; Bohn, E. Controlled Growth of Monodisperse Silica Spheres in the Micron Size Range. J. Colloid. Interface Sci. 1968, 26, 62–69. [Google Scholar] [CrossRef]
- Saadi, R.; Saadi, Z.; Fazaeli, R.; Fard, N.E. Monolayer and Multilayer Adsorption Isotherm Models for Sorption from Aqueous Media. Korean J. Chem. Eng. 2015, 32, 787–799. [Google Scholar] [CrossRef]
- Al-Ghouti, M.A.; Da’ana, D.A. Guidelines for the Use and Interpretation of Adsorption Isotherm Models: A Review. J. Hazard Mater. 2020, 393, 122383. [Google Scholar] [CrossRef]
- Ndunda, E.N. Molecularly Imprinted Polymers—A Closer Look at the Control Polymer Used in Determining the Imprinting Effect: A Mini Review. J. Mol. Recognit. 2020, 33, e2855. [Google Scholar] [CrossRef]
- Sun, J.; Guo, W.; Ji, J.; Li, Z.; Yuan, X.; Pi, F.; Zhang, Y.; Sun, X. LWT—Food Science and Technology Removal of Patulin in Apple Juice Based on Novel Magnetic Molecularly. LWT—Food Sci. Technol. 2020, 118, 108854. [Google Scholar] [CrossRef]
- Effting, L.; Carolyne, M.; Urbano, A.; Maria, L.; Bail, A.; Eduardo, M.; Gonz, C.; Tarley, T. Preparation of Magnetic Nanoparticle-Cholesterol Imprinted Polymer Using Semi-Covalent Imprinting Approach for Ultra-Effective and Highly Selective Cholesterol Adsorption. React. Funct. Polym. 2022, 172, 105178. [Google Scholar] [CrossRef]
- Sobiech, M.; Synoradzki, K.; Bednarchuk, T.J.; Sobczak, K.; Janczura, M.; Giebu, J.; Luli, P. Impact of Structure and Magnetic Parameters of Nanocrystalline Cores on Surface Properties of Molecularly Imprinted Nanoconjugates for Analysis of Biomolecules—A Case of Tyramine. Microchem. J. 2022, 179, 107571. [Google Scholar] [CrossRef]
- Unutkan, T.; Bakırdere, S.; Keyf, S. Development of an Analytical Method for the Determination of Amoxicillin in Commercial Drugs and Wastewater Samples, and Assessing Its Stability in Simulated Gastric Digestion. J. Chromatogr. Sci. 2018, 56, 36–40. [Google Scholar] [CrossRef]
- Üstündağ Okur, N.; Çağlar, E.Ş.; Yozgatlı, V. Vorikonazol Etken Maddesi ve Farmasötik Formülasyonları Için HPLC Yönteminin Geliştirilmesi ve Validasyonu. Marmara Pharm. J. 2016, 20, 79–85. [Google Scholar] [CrossRef]
- Zhao, J.; Sun, Y.; Wu, F.; Shi, M.; Liu, X.; Meca, G. Oxidative Degradation of Amoxicillin in Aqueous Solution by Thermally Activated Persulfate. J. Chem. 2019, 2019, 2505823. [Google Scholar] [CrossRef]
- Aryee, A.A.; Han, R.; Qu, L. Occurrence, Detection and Removal of Amoxicillin in Wastewater: A Review. J. Clean Prod. 2022, 368, 133140. [Google Scholar] [CrossRef]
- Chullasat, K.; Nurerk, P.; Kanatharana, P.; Davis, F.; Bunkoed, O. A Facile Optosensing Protocol Based on Molecularly Imprinted Polymer Coated on CdTe Quantum Dots for Highly Sensitive and Selective Amoxicillin Detection. Sens. Actuators B Chem. 2018, 254, 255–263. [Google Scholar] [CrossRef]
- Yang, G.; Zhao, F. Molecularly Imprinted Polymer Grown on Multiwalled Carbon Nanotube Surface for the Sensitive Electrochemical Determination of Amoxicillin. Electrochim. Acta 2015, 174, 33–40. [Google Scholar] [CrossRef]
- Zeinali, S.; Khoshsafar, H.; Rezaei, M.; Bagheri, H. Fabrication of a Selective and Sensitive Electrochemical Sensor Modified with Magnetic Molecularly Imprinted Polymer for Amoxicillin. Anal. Bioanal. Chem. Res. 2018, 5, 195–204. [Google Scholar]
- Ayankojo, A.G.; Reut, J.; Öpik, A.; Furchner, A.; Syritski, V. Hybrid Molecularly Imprinted Polymer for Amoxicillin Detection. Biosens. Bioelectron. 2018, 118, 102–107. [Google Scholar] [CrossRef]











| Sigla | Monomer |
|---|---|
| MP1 | N,N-methylenbisacrilamide |
| MP2 | Imidazole-4-acrylic acid |
| MP3 | Imidazole-4-acrylic ethyl ester |
| MP4 | Acrylic acid |
| MP5 | Acrylamide |
| MP6 | Acrolein |
| MP7 | Alylamine |
| MP8 | Acrylonitrile |
| MP9 | Ethylene glycol Dimethacrylate |
| MP10 | 2-(cyanoethyl amine)ethylmethacrylate |
| MP11 | Methylensuccinic acid |
| MP12 | Methacrylic acid |
| MP13 | 3-divinylbenzene |
| MP14 | 4-divinylbenzene |
| MP15 | Estiren |
| MP16 | 1-vinylimidazole |
| MP17 | 2-vinylpyridine |
| MP18 | 4-vinylpyridine |
| MP19 | 2-acrylamide-2-methyl-1-propanesulfonic acid |
| MP20 | 2-hydroxyethyl methacrylate |
| Sample | BET Surface Area (m2 g−1) | Mesopore Area (m2 g−1) | Average Pore Diameter (nm) |
|---|---|---|---|
| SP-MIP | 155.5 | 129.5 | 8.5 |
| SP-NIP | 109.3 | 83.84 | 7.8 |
| Parameter | Value |
|---|---|
| pH | 7.0 |
| Polymer mass | 6.0 mg |
| AMX concentration | 10 mg L−1 |
| Adsorption time | 90 min |
| Qmax (mg g−1) | SP-MIP | SP-NIP | |
|---|---|---|---|
| Langmuir a | Ka (L mg−1) | 12.61 ± (0.0618) | 13.42 ± (0.059) |
| R2 | 8.37 × 10−3 ± (1.03) | 7.87 × 10−3 ± (1.08) | |
| Qmax (mg g−1) | 0.114 | 0.104 | |
| Freundlich b | Ka (mg1−β Lβ g−1) | 0.107 ± (0.091) | 0.0243 ± (0.276) |
| β | 0.95 ± (0.079) | 1.27 ± (0.235) | |
| R2 | 0.960 | 0.850 | |
| SIPS c | Qmax (mg g−1) | 2.76 ± (0.36) | 1.35 ± (0.035) |
| Ka (L μmol−1) | 0.0118 ± (0.0055) | 0.0011 ± (3.98 × 10−4) | |
| β | 1.73 ± (0.28) | 2.91 ± (0.175) | |
| R2 | 0.989 | 0.999 |
| Interferent | Kd-SP-MIP (mL g−1) | Kd-SP-NIP (mL g−1) | S | Ifactor | KSR |
|---|---|---|---|---|---|
| Amoxicillin | 69.79 | 11.97 | - | 5.83 | - |
| Uric acid | 22.983 | 5.33 | 3.04 | 4.31 | 1.35 |
| Caffeine | 16.094 | 14.674 | 4.34 | 1.10 | 5.3 |
| Ciprofloxacin | 10.360 | 9.483 | 6.74 | 1.09 | 5.35 |
| Urea | 16.970 | 17.372 | 4.11 | 0.97 | 6.01 |
| Samples | AMX Added (ppm) | % Recovery |
|---|---|---|
| Tap water (Laboratory, Lima, Perú) | 30 | 94.43 ± 0.13 |
| River Water (Puquio, Huancayo, Perú) | 30 | 92.82 ± 0.14 |
| Amoxicillin pills (generic formulation) | 30 | 95.30 ± 0.02 |
| Amoxicillin pills (Commercial formulation) | 30 | 94.99 ± 0.13 |
| Material | Analyte/ Real Sample | LOD/ % Recovery | Ref. |
|---|---|---|---|
| MIP coated on CdTe quantum dots | Amoxicillin/ egg, milk, and honey | 0.14 µg L−1/ 85–102% | [53] |
| MIP grown on MWCNT surface | Amoxicillin/ milk and honey | 8.9 × 10−10 mol L−1/ 88–96% | [54] |
| Magnetic MIP—CPE Sensor | Amoxicillin/ Capsule | 0.26 × 10−9 mol L−1/ 98.8 and 103.2% | [55] |
| Magnetic MIP—CPE Sensor | Amoxicillin/ milk and river water | 0.75 × 10−6 mol L−1/ 96–100% | [8] |
| Hybrid MIP | Amoxicillin/ Tap water | 73 × 10−12 mol L−1/ 93–96% | [56] |
| This work | Amoxicillin/river water, tap water, and pills | 0.147 mg L−1 or 4.02 × 10−7 mol L−1/ 93–95% |
Disclaimer/Publisher’s Note: The statements, opinions and data contained in all publications are solely those of the individual author(s) and contributor(s) and not of MDPI and/or the editor(s). MDPI and/or the editor(s) disclaim responsibility for any injury to people or property resulting from any ideas, methods, instructions or products referred to in the content. |
© 2023 by the authors. Licensee MDPI, Basel, Switzerland. This article is an open access article distributed under the terms and conditions of the Creative Commons Attribution (CC BY) license (https://creativecommons.org/licenses/by/4.0/).
Share and Cite
López, R.; Khan, S.; Torres, S.E.; Wong, A.; Sotomayor, M.D.P.T.; Picasso, G. Synthesis and Characterization of Magnetic Molecularly Imprinted Polymer for the Monitoring of Amoxicillin in Real Samples Using the Chromatographic Method. Magnetochemistry 2023, 9, 92. https://doi.org/10.3390/magnetochemistry9040092
López R, Khan S, Torres SE, Wong A, Sotomayor MDPT, Picasso G. Synthesis and Characterization of Magnetic Molecularly Imprinted Polymer for the Monitoring of Amoxicillin in Real Samples Using the Chromatographic Method. Magnetochemistry. 2023; 9(4):92. https://doi.org/10.3390/magnetochemistry9040092
Chicago/Turabian StyleLópez, Rosario, Sabir Khan, Sergio Espinoza Torres, Ademar Wong, Maria D. P. T. Sotomayor, and Gino Picasso. 2023. "Synthesis and Characterization of Magnetic Molecularly Imprinted Polymer for the Monitoring of Amoxicillin in Real Samples Using the Chromatographic Method" Magnetochemistry 9, no. 4: 92. https://doi.org/10.3390/magnetochemistry9040092
APA StyleLópez, R., Khan, S., Torres, S. E., Wong, A., Sotomayor, M. D. P. T., & Picasso, G. (2023). Synthesis and Characterization of Magnetic Molecularly Imprinted Polymer for the Monitoring of Amoxicillin in Real Samples Using the Chromatographic Method. Magnetochemistry, 9(4), 92. https://doi.org/10.3390/magnetochemistry9040092

