Next Article in Journal
Early Internal Short Circuit Diagnosis for Lithium-Ion Battery Packs Based on Dynamic Time Warping of Incremental Capacity
Previous Article in Journal
Optimization of Retired Lithium-Ion Battery Pack Reorganization and Recycling Using 3D Assessment Technology
 
 
Correction published on 19 December 2024, see Batteries 2024, 10(12), 450.
Font Type:
Arial Georgia Verdana
Font Size:
Aa Aa Aa
Line Spacing:
Column Width:
Background:
Review

North America’s Potential for an Environmentally Sustainable Nickel, Manganese, and Cobalt Battery Value Chain

by
Gary Vegh
1,
Anil Kumar Madikere Raghunatha Reddy
1,
Xia Li
1,
Sixu Deng
1,
Tongchao Liu
2,
Khalil Amine
2 and
Karim Zaghib
1,*
1
Department of Chemical and Materials Engineering, Concordia University, 1455 De Maisonneuve Blvd. West, Montreal, QC H3G 1M8, Canada
2
Chemical Sciences and Engineering Division, Argonne National Laboratory, Lemont, IL 60439, USA
*
Author to whom correspondence should be addressed.
Batteries 2024, 10(11), 377; https://doi.org/10.3390/batteries10110377
Submission received: 20 September 2024 / Revised: 21 October 2024 / Accepted: 22 October 2024 / Published: 27 October 2024 / Corrected: 19 December 2024

Abstract

The Detroit Big Three General Motors (GMs), Ford, and Stellantis predict that electric vehicle (EV) sales will comprise 40–50% of the annual vehicle sales by 2030. Among the key components of LIBs, the LiNixMnyCo1−x−yO2 cathode, which comprises nickel, manganese, and cobalt (NMC) in various stoichiometric ratios, is widely used in EV batteries. This review reveals NMC cathodes from laboratory research. Furthermore, this study examines the environmental effect of NMC cathode production for EV batteries (including coating technologies), encompassing aspects such as energy consumption, water usage, and air emissions. Although gaps persist in NMC cathode environmental assessments (NMC111, NMC532, NMC622, and NMC811), limited life cycle assessments “(LCA)” have been conducted. Most available data originate from Asia (primarily China), accounting for 85% of the production of EV LIB cathode materials. The concept of battery passports for data collection on LIB components has been proposed to facilitate material traceability as a system for ensuring a sustainable supply chain for critical minerals. The automotive industry’s shift to electrification necessitates a sustainable supply chain from mine to vehicle end-of-life. As the critical mineral supply moves from Asia to North America, environmentally friendly industrial methods must be studied to provide this supply chain direction.

Graphical Abstract

1. Introduction

The automotive industry is investing hundreds of billions of “dollars (USD )” in transitioning from internal combustion engine (ICE) vehicles to electric vehicle (EV) platforms [1,2]. Many countries have planned to ban the sale of ICE vehicles by 2035–2040 [3,4,5,6]. This change in vehicle drivetrains is rapid, and every original equipment manufacturer (OEM) is engaged in this market [7,8,9] (Figure 1). Automotive manufacturers estimate that EVs will constitute 40–50% of the annual vehicle sales volume by 2030 [7,10,11,12], thus increasing the need for Li-ion batteries (LIBs) and the development of active materials. This shift in the automotive sector is considered the most dramatic change in the industry since the introduction of the assembly line by Henry Ford in Detroit, Michigan [13]. There is a long history of using batteries for energy storage, from the Alessendro Volta cell in the 1800s to the commercialization of the LIB in 1992 [14,15]. The mining industry has a long history of providing hydrometallurgical processes [16] dating back to pre-industrial times [17,18,19].
With this major change in the automotive industry, OEMs are seeking to secure a dependable and sustainable supply chain [21,22] that considers the environmental impact. The United States Inflation Reduction Act (IRA) [23,24,25] is a primary driving force providing strong incentives for using raw materials sourced from the US and free-trade partner countries [26]. Canada has strong ties with the auto sector in the US via the North American Free Trade Agreement, which was enacted in 1994 (International Trade Administration) and has now been referred to as the US–Mexico–Canada agreement (USMCA) since July 2020 [27]. Many US-based automotive OEMs consider Canada a major supplier of the important minerals used in the production of LIBs. Companies such as General Motors (GMs), Ford, Tesla, and Northvolt are investing in critical minerals in Quebec [28,29,30] to secure reliable sources for creating precursors that can be used in producing cells for LIBs in EVs [31,32]. Many companies in Canada have invested in the EV market in cathode active material (CAM) and EV battery plants [33]. Stellantis and LG Energy Solutions are investing in an LIB facility in Windsor, Ontario, Canada [33]. Figure 2 shows investments in Quebec and Ontario, and these investments come from OEMs and chemical companies dealing with important minerals. The GMs/POSCO, BASF, and Umicore facilities produce CAMs [34,35,36].
With the exponential growth of the EV market, more LIBs are urgently required [8,37,38]. The following graph in Figure 3a depicts the global EV demands with respect to country (China, Japan, France, Germany, United Kingdom, and United States) from 2015 to 2040. According to these data, China has the highest growth versus Europe, the United States, and the rest of the world. This projection seems accurate as the global EV sales of China’s BYD automotive company have surpassed those of Tesla [39,40].
As the sales of EVs increase globally, LIB production must be increased. Figure 3b depicts the continuous growth in battery demand (GWh/year) for light-duty vehicles (LDEV) worldwide (total) in China, Europe, and the United States [41]. With the availability of larger battery packs in the market, there has been a push to develop NMC cathodes with higher nickel content and lower cobalt (NMC111, NMC622, and NMC811) in R&D technologies [42], which play a major role; thus, the industry focuses on already commercialized NMC cathodes that have a high energy density. “This also demonstrates how battery demand will increase with an increase in the EV platform sizes, specifically in North America because of the introduction of sports utility vehicles and pickup trucks into the EV market [43]”.
A plot of battery demand is shown in Figure 3c, as battery demand (MWh) versus NMC cathode type (NMC111, NMC622, and NMC811). The evolution of LIBs has resulted in the quest for higher-density EV batteries based on available critical minerals [44]. Figure 4 depicts the history of the development of LIBs over time [45]. The idea of LIBs emerged in the 1970s, and the commercialization of lithium manganese oxide (LMO), lithium iron phosphate (LFP), and lithium nickel cobalt aluminum oxide (NCA) batteries occurred in the 1990s. In 2000, NMC, niobium titanium oxide (NTO), and graphite anodes were fabricated (Figure 4). The Li-rich cathodes and C–Si alloy anodes were developed in the 2020s. Solid-state batteries are the next phase in battery development, with their predicted commercialization in the 2030s. The difference between a solid-state battery and a traditional LIB is that the electrolyte is solid instead of liquid, which is designed to increase the safety in a more energy dense battery [46].
The availability of critical minerals in Canada (mainly the province of Quebec) and the United States will play an important role in the development of a North American sustainable LIB supply chain.

1.1. Changing Battery Chemistries

In developing high-energy-density, multi-cycling, fast-charging, low-cost, and safe LIBs, NMC cathode has been subjected to several modifications [14,47]. Figure 5 shows the various cathode chemistries (namely, lithium cobalt oxide (LCO), LFP, LMO, NCA, and NMC). Variations in the “Elements” or “Chemical compositions” of the cathode material [48] (as found in LCO/NMC), olivine, and spinel phases play an important role in the performances of these cathodes, and these variations must be determined. The structure of the cathode affects the energy capacity of the cathode, for example, NMC (layered) (200 mA g−1) versus LFP (olivine) (170 mA g−1) (Figure 5). These chemical structures also contribute to the energy densities of the cathodes (Wh kg−1). Higher energy densities of NMC cathodes adversely affect the performances and safety of these cathodes [49]. The next stage in the development of LIBs is solid-state batteries due to the intrinsic safety characteristics and high theoretical energy density [50].

1.2. Battery Properties

1.2.1. Why NMC?

Cathode is one of the main components of an LIB. In the automotive industry, NMC cathodes comprise dominant transportation since they meet the industry requirements of battery range, charging, cost, and safety [5]. The NMC cathodes consist of various stoichiometric ratios of Ni, Mn, and Co atoms [53]. In an LIB, Mn stabilizes the structure, Ni determines the capacity, and Co increases the electrical conductivity, significantly influencing battery performance [54,55] with respect to electrodes and are independent active materials.
Stoichiometric ratios of these atoms affect different properties, including structural and chemical stabilities and charging capacity, of the NMC cathode [56]. NMC compounds can vary in size and crystal orientation, thereby leading to potential issues such as structural degradation, chemical destabilization, and heterogeneity of NMC [53]. Therefore, appropriate methods for material identification are required to ensure material quality, which significantly impact LIB performance [57]. Excellent performance of NMC cathodes is one of the primary reasons for the development of these cathodes. NMC cathodes are rapidly advancing, which has contributed to their widespread use in EVs and other high-demand applications [2,58]. The cathode material used in the first commercial LIBs produced by Sony was LiCoO2 (LCO), and NMC exhibits structural and chemical instabilities, which decreases cell performance over time [59]. Regulation of the crystallinity and size of the material are more difficult to control during cathode preparation; thus, a complete understanding of NMC particle morphologies, crystal orientations, and grain boundaries is needed to optimize the performance of LIBs [8]. Higher energy densities and outstanding performances of NMC cathodes, particularly those with higher Ni contents, lead to superior energy densities when compared with those in the cases of other cathodes, for example, LFP cathodes. Ni-based cathodes are popular and meet the requirement for application in higher-energy-capacity EV batteries [60].

1.2.2. Cost

NMC cathode materials demonstrate advantages over traditional cathode materials such as LCO in terms of cost. Despite its inferior chemical stabilities, NMC offers a higher capacity (160–200 Ah/kg−1) and contains less amounts of Co, reducing costs (since it does not have to be mined and imported from Africa). This aligns with the industry shift toward cost-effective battery materials including LMO and changes to its LIB supply chain. Higher Ni content increases cation mixing; however, this may decrease structural stability [61]. Although spinel oxides, such as LiMn2O4 and LiNi0.5Mn1.5O4, exhibit high Li-ion intercalation rates, they demonstrate some challenges, for instance, capacity fading caused by Mn dissolution in acidic media [62]. LiNi0.5Mn1.5O4 exhibits a specific capacity of 200 mA·h·g−1 and promising performance over a voltage range of 2.8–4.6 V [62]. Polyanionic compounds, such as LiFePO4, offer stability, safety, and low-cost advantages; nevertheless, they demonstrate low electrical conductivity. LiFePO4 exhibits a stable redox potential of 3.5 V (vs. Li+/Li) and high theoretical capacity of 170 mA·h·g−1 [62]. NMC cathodes are solid solutions of LiNiO2/LiMnO2/LiCoO2, which provide distinct advantages over other materials. These advantages include versatility in composition variations (e.g., NMC111, -532, -622, and -811) to tailor properties based on specific requirements and structural stability because of the Jahn–Teller inactivity of Mn4+ and energetic favorability of Ni2+ [62]. NMC111, for instance, demonstrates a specific capacity of 200 mA·h·g−1 within a voltage range of 2.8–4.6 V and a reversible capacity of 160 mA·h·g−1 [62]. Coating NMC811 with magnesium oxide (MgO) improves the coulombic efficiency of NMC811 because of less Ni and Li mixing within the NMC lattice [63]. Additionally, MgO coatings improve the stability of NMC811 during potential cycling, reducing the resistance during Li+ insertion and extraction [64]. Similar ionic radii of Mg2+ and Li+ lead to high structural stability as Mg2+ and Li+ attract adjacent layers in the cathode. Furthermore, decreasing the Co contents in NMC cathodes can mitigate the issues (such as high costs of raw materials, inferior performances, and low structural stabilities of these cathodes) related to Co. High-Co NMC formulations, for instance NMC111, have been replaced by lower-Co alternatives, such as NMC811 (LiNi0.8Mn0.1Co0.1O2), and zero-Co alternatives, for example, spinel LiNi0.5Mn1.5O4 and layered Ni-rich LiNi1−xMxO2 [37,65,66,67]. Increasing the Ni content in NMC-type cathodes enhances the capacities of these cathodes; nevertheless, this also renders these cathodes more reactive and less stable in the presence of liquid organic electrolytes, moisture, and cracks [39,55,66,68,69,70,71,72].
Widespread adoption of NMC in EVs and other applications is attributed to the balance between cost [73], capacity, and reduced Co content [74] of NMC as compared to that in the case of LCO [14]. Despite the inherent challenges related to the stability, performance, and cost of NMC, the material properties and potential for performance optimization render NMC an attractive cathode material [47] (Figure 6a,b).
Table 1 presents the advantages and disadvantages of various cathode chemistries, which support the use of NMC cathodes for LIBs in the automotive industry [74,75,76]. These advantages and disadvantages are graphically shown in Figure 6a. The transition metals used in the cathodes play a significant role in determining the overall performances and costs of LIBs [16]. NMC and NCA (LiNixCoyAl1−x−yO2) cathodes [81], which involve various ratios of Ni to other metal cations in different ratios, are pivotal in promoting the development of the automotive battery industry because of their high cycling and thermal stabilities [78,82]. In addition to the environmental impacts, key parameters must be considered when producing NMC cathodes, including (a) specific energy, (b) cost, (c) specific power, (d) safety, (e) performance, and (f) lifespan, during the syntheses of NMC cathodes [77,83]. Specific power and lifespan are optimized [84] in the NMC cathode, which make it very attractive to the automotive industry. Cathodes considerably contribute to production costs and the environmental impacts of LIBs. Cathodes that substantially rely heavily on scarce metals, such as Ni and Co, exhibit limitations owing to the limited reserves and high prices of these metals [85,86]. Therefore, advancing LIBs using more sustainable cathode materials is essential to balance sustainability, cost, and performances of these batteries [83]. Precursor preparation conditions (for example, sintering time, temperature, and atmosphere), morphology, electrochemical performance, capacity retention, impedance, and cycle stability are also important for developing NMC cathodes [87]. Preparation techniques incorporated into the manufacturing of NMC cathodes are a significant factor that contribute to the overall costs of the materials [88]. In addition to the critical mineral costs for cathodes, the processes employed for developing the precursors can utilize large amounts of water and generate waste [89]. During the establishment of new LIB supply chains in Canada and the US, processes must be carefully selected to reduce the environmental impact and produce a “green battery” to be truly sustainable [90].
NMC cathode materials demonstrate advantages over traditional cathode materials such as LCO in terms of cost. Despite its inferior structural and chemical stabilities, NMC affords a higher capacity (160–200 Ah kg−1) and contains less Co, which reduces costs and aligns with the industry shift toward cost-effective battery materials [91]. NMC cathodes contribute to more than 20% of the costs of EV batteries [78]. Approximately 4 kWh of energy and 15 L of water are required to produce 1 kg of NMC, and 50% of the cost of generating the NMC is ascribed to the costs of raw materials. Specific energy, cost, specific power, safety, performance, and lifespan are all drivers of the changing NMC cathode chemistry [78,92].

1.2.3. Performance

Understanding the relationships among the cathode performance, mechanical properties, and degradation are crucial for the appropriate functioning of LIBs [93]. With an increase in the demand for LIBs by the automotive industry, the requirement of NMC cathodes with higher performance, which are dependent on the crystallinity, morphology characterization [94], and other parameters during the syntheses of these NMC cathodes, has increased [47]. Charge/discharge cut-off voltages play an important role in the development of high-performance LIBs, as shown in Figure 7a,c,e. Although layered oxides, including LiCoO2 and LiNiO2, exhibit outstanding conductivities, they demonstrate structural instabilities during charge cycling [62]. LiCoO2 provides a reversible capacity of 140 mA·h·g−1 at 4.2 V; whereas, LiNiO2 can achieve a capacity of 240 mA·h·g−1; however, they experience structural changes compromising their thermal stabilities [39,95]. These cathodes are highly sensitive to the mechanical pressure exerted on the cell, which can affect their performances and cycling life [65,96,97].

1.2.4. Specific Energy

NMC811 exhibits a specific energy of over 600 Whkg−1, indicating its potential for realizing high energy density [56,98,99]. It demonstrates favorable rate capabilities with an electrical conductivity of ~2.8 × 10−5 S cm−1 and Li+ diffusivity [100] of 8–9 cm2 s−1. These characteristics support the potential of NMC811 for achieving high reversible capacities (>200 mAh gNMC−1) and desirable rate capabilities [56] (Figure 7).
Despite the challenges related to Ni-rich formulations, such as oxygen release and structural instabilities, research efforts have aimed to understand and mitigate the degradation mechanisms of NMC811. Studies have suggested that defects, including within NMC811 particles, can occur because of electrochemical expansion/contraction, grain orientation, and structural changes during cycling [65,98,99]. NMC cathodes exhibit a charge rate (C-rate) ranging from 0.7 to 1C at 4.20 V (Figure 7a,c), whereas the discharge rates (C-rate) at 1C and 2C can be attained for certain cells with a cut-off voltage of 2.50 V. This cathode chemistry achieves a balance between the strengths of Ni and Mn, thereby ensuring stable performance [101] (see Figure 7).

1.2.5. Safety

Safe operation of the cathode is a crucial characteristic of LIBs. Table 2 lists the safe operating parameters of the NMC cathode [77].
Nevertheless, NMC cathodes demonstrate high stabilities during cycling, higher reversible capacities, and better thermal stabilities in charged states, as compared to those of LCO cathodes, which render them promising candidates for LIBs [14,102].
Safety issues associated with LIBs due to their physical/chemical natures support the need for suitable characterization [103] of NMC cathode materials. NMC cathodes suffer from many challenges including (1) solvent co-interaction and graphite exfoliation, (2) structural disordering, (3) particle cracking, (4) internal short-circuit, (5) solid electrolyte interphase decomposition and precipitation, (6) binder decomposition/contact loss, (7) dendrite formation, (8) transition metal dissolution [77], and (9) corrosion of current collectors, as shown in Figure 8. These challenges can lead to side reactions that decrease the battery performance [104], resulting in reduced battery life and power capacity [77]. Dendrites are formations across the separator that cause short circuits and result in thermal runaway [105] (Figure 8).
Moreover, other limiting factors such as cell performance, cost, manufacturing capabilities, supply chain, and logistics, must be considered during the production of NMC cathodes [106]. Several parameters of NMC cathodes and desired properties of the cathode are important in developing the synthesis method with respect to cathode properties [47] (Figure 9) and have been modified to realize high energy densities, multi-cycling capabilities, fast-charging rates, cost effectiveness, and safety of these cathodes in LIBs [107].
Electrochemical performance is a crucial aspect of lithium-ion EV batteries and is directly related to the crystal structures [108] of materials, for example, the NMC cathode [77,109]. In addition to electrochemical performance, safety is an area of concern for LIBs considering previous failures reported for Samsung phones (2016), Boeing 787 aircraft (2013), and Tesla model S vehicles (2019) [77]. Goodenough, Yazami, and Yoshino were awarded the 2012 Institute of Electrical and Electronics Engineers Medal for Environmental and Safety Technologies for their work on LIBs [110]. Specific energy is a driving force in the development of LIBs, and automotive battery manufacturers are dedicating significant efforts to eliminating the use of Co [111]. Figure 10 shows the evolution of battery chemistry using a recursive model that represents the average Co content (g/kWh), average Co content per LIB, and average LIB size (kWh) [45,101].
Assumptions of the recursive model demonstrate cathode evolution, LIB size, and estimated Co content in kg kWh−1. Upon examining the recursive model, we observed a gradual increase in LIB size (kWh) from 2010 to 2050 (Figure 11 and Table 3). Average Co used (kg kWh−1) is decreasing with time; however, the average Co used in LIBs is increasing gradually and becoming steady despite the increase in LIB size by almost 2.5 times (50–120 kWh) [101]. Furthermore, Ni is becoming an issue for EV makers, and therefore, fabricating an LIB with very low Ni and Co contents that maintains a high specific energy and stable system is challenging [111]. Overall, these properties such as cost effectiveness, safety, performance, and specific energy make NMC cathodes a preferred choice for LIBs in EVs. Their balanced properties address the key requirements of high-performance and safe battery systems needed for widespread adoption of electric mobility in the automotive industry.

2. Mining

2.1. Availabilities of Critical Minerals

A considerable supply of critical minerals is essential to address the increasing global demand for LIBs. Currently, over 85% of LIB components are acquired from Asian countries, mainly China [112]. In North America, particularly in the US and Canada, a recent shift towards establishing a local green supply chain for the critical minerals used in LIBs is occurring (Figure 12). The Biden administration in the US is encouraging LIB growth under IRA [113] to ensure the availability of jobs in America [114].
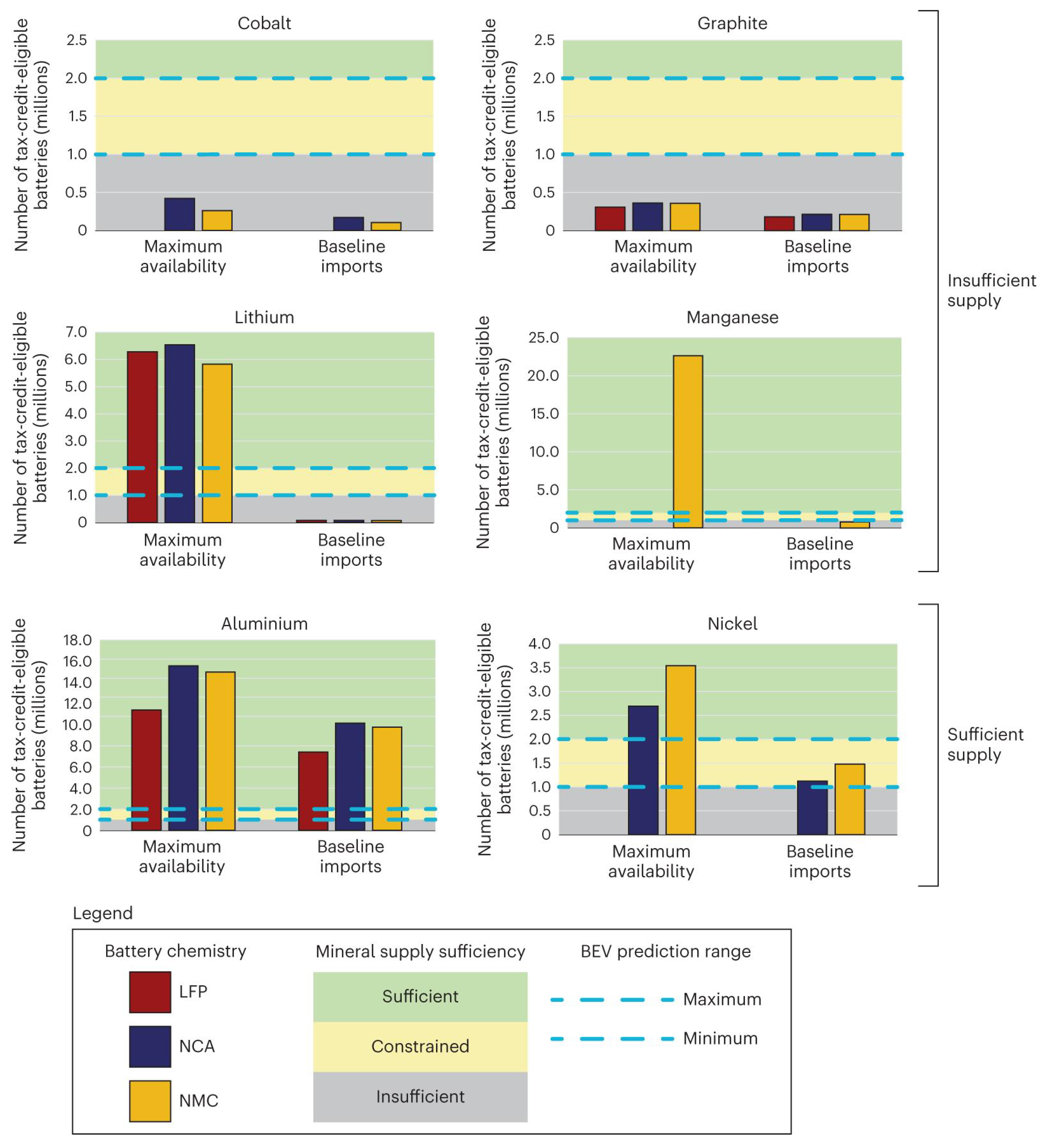
Figure 12 depicts critical mineral supply chains based on various battery chemistries (namely LFP, NCA, and NMC). These data indicate an insufficient supply of critical minerals for NMC, which is another driver for the development of a North American supply chain. Critical minerals’ mass targets or market values at the battery level are not taken into consideration in this analysis. It suggests that the supply of nickel and aluminum eligible for Inflation Reduction Acts (IRAs) is plenty. Notably, though, under either scenario of availability, there is not enough graphite or cobalt to meet demand. The supply of manganese is likewise limited. Regarding plug-in hybrid electric vehicles (PHEVs), the only minerals that show inadequate supply of other IRA-eligible minerals are cobalt and lithium. These minerals would enable the production of sufficient batteries to fulfill demand. Lithium supply is adequate for battery electric vehicles (BEVs) in the maximum-availability scenario, but it is insufficient at normal import levels. With supply chains adapting to a shifting policy environment, the US may increase its share of qualifying minerals, such as lithium [114].

2.2. Lithium (Li) Sources

Lithium can be found in different parts of the world. Australia leads the global Li production with several mines, and brine operations have been reported in Chile, Argentina, and Bolivia (lithium triangle), with the remaining Li mining conducted in China [32]. Spodumene mines and salt brine water are the two primary global sources of Li [32]. Li projects range from traditional hard rock mining to unconventional sources, including salt brines and industrial wastewaters [32]. Extracting lithium from ores involves more resource-intensive processes like calcination, roasting, and purification, consuming more energy. Its environmental impact largely stems from emissions linked to fossil fuel use, which can be 9.3–60.4 times higher than lithium extraction from brine [115].
Spodumene are hard rock clusters of crystals containing lithium that are mined using “traditional” mining processes. These processes are complicated and expensive and exhibit significant environmental impacts because of the consumption of large volumes of chemicals, production of considerable amounts of waste, and involvement of processes that necessitate extensive maintenance. General Li compounds are synthesized in numerous forms, which include lithium carbonate (Li2CO3), lithium oxide (Li2O), and lithium hydroxide (LiOH) [18,116]. Li2CO3 and LiOH are key components of EV batteries. Hard rock extraction of spodumene is performed via open-pit mining using sulfuric acid, and the subsequent processing of spodumene comprises the use of sulfuric acid and water to transform α-spodumene to β-spodumene via roasting to obtain Li2CO3 [117] (Figure 13a–c).
Lithium is extracted from salar brine water in South American countries such as Argentina, Bolivia, and Chile [32]. Direct impact of this type of traditional salar brine processing involves the heavy consumption of groundwater, which affects local residents by leaving large salt piles, and this processing demonstrates very low Li recovery rates. Figure 14a shows the typical extraction of Li from salar brine to produce Li2CO3 [119].
Extraction of Li2CO3 requires large quantities of water and is a time-consuming process [122]. Salar brine deposits represent over 50% of the global Li resources [123], and these deposits may become more important to the LIB supply chain as the demand for Li is forecasted to increase by 40% according to the International Energy Agency [124]. Figure 14(b.1) depicts the Li triangle area in South America (Chile, Bolivia, and Argentina) and the solar evaporation ponds leading to concentrated lithium carbonate. Multicolored ponds, in Figure 14c, suggest visual representations of various concentrations of Li as water is evaporated by the sun over time [32].
Researchers have been investigating other sources of Li because of the globally increasing demand for Li. Extracting from sea water (Figure 15) via pulsed electrochemical intercalation is another possible method of Li extraction [125], which is an interesting method to explore, as the amount of Li in sea water is 5000 times the combined amount of Li in ore- (hard rock) and brine-based resources [125]. Intercalation chemistry naturally offers high selectivity for Li owing to the higher structural activity of Li in FePO4 and faster ion diffusion [126,127,128].
Canada is rich in critical minerals, for instance, Li, Ni, Mn, Co, and graphite used in the syntheses of LIBs [30]. Canada is estimated to comprise 2.9 million tons of Li resources [30] (Figure 16). Advantageously, Canada is a part of the USMCA signed in July 2020 [32]. Under this agreement, the North American automobile sector can obtain critical minerals and low-cost hydroelectric power from Canada, specifically from Quebec [129,130]. In Quebec, Nemaska Lithium produced its first spodumene concentrate at the Whabouchi Mine in 2017. In early 2018, the Nemaska mine shipped spodumene concentrate to refineries in China for this concentrate processing into Li2CO3.
Analyzing the extraction of lithium in comparison to other critical minerals like nickel, cobalt, manganese, and aluminum is crucial for understanding Canada’s evolving mining landscape, particularly in regions such as Quebec. While traditional mining activities have long centered around minerals like nickel, cobalt, manganese, and aluminum, the emergence of lithium mining presents both opportunities and challenges. In Quebec, specifically, the exploration and development of lithium deposits have accelerated in recent years, driven by the province’s rich mineral reserves and supportive government policies. Quebec’s abundant hydroelectric resources also provide a clean energy advantage for lithium extraction operations, further enhancing the region’s appeal for investment in the lithium sector.

2.3. Nickel (Ni) Sources

Battery-grade Ni used in Ni cathode chemistries such as NMC and NCA [131] is in the form of nickel sulfate (NiSO4) and can be generated from high-purity Ni (Class I; 99.8% Ni), which is mainly found in Canada, Russia, and China [132]. Class I Ni represents 70%; whereas the other 30% comes from lower-purity Ni as matte and mixed sulfide precipitates. Lattice ore is another form of Ni and is found in countries including Indonesia, the Philippines, and New Caledonia [132]. Among 186 Ni mines operating globally [122] are located in Canada [133]. Canada produced 134,000 metric tons of Ni in 2021, ranking sixth in global Ni production [134]. In addition to Ni, Canada has other critical minerals, including Mn, Co, graphite, and Al [30] (Figure 17).

2.4. Manganese (Mn) Sources

According to the US Geological Survey (USGS) [118], the largest Mn resources are located in South Africa [118], accounting for 74% of the global Mn resources, along with reserves in Ukraine and Brazil [135]. Other countries with Mn ores include Australia, the Republic of Korea, and Mexico. China currently constitutes for over 50% of Mn processing and produces 70 and 86% of cathodes and anodes globally [135]. Mn is a part of the Canadian government’s critical minerals list [30] (Figure 18). The LIB cathode consists of manganese sulfate (MnSO4) [136].
Although Mn is extensively used in steel making, the demand for Mn is growing because of the popularity of the NMC cathode used in LIBs for EVs [137].

2.5. Cobalt (Co) Resources

Cobalt resources are mined mainly in the Democratic Republic of Congo (DRC), and according to the USGS, it represents 70% of the global production of LIBs [138], following Indonesia, Russia, Australia, and the Philippines [139]. NMC LIBs utilize cobalt sulfate (CoSO4), primarily generated in China, which accounts for 80% of the global production [138]. Finland produced the remaining 20% in 2020. Moreover, cobalt ores are mined in Canada, with 40% coming from the province of Ontario and the remainder from Newfoundland, Labrador, Manitoba, and Quebec [139] (Figure 19).

2.6. Aluminum (Al) Sources

NMC LIBs utilize 17–18% Al because Al represents several components [141] in the battery [138]. Al reserves are mainly present in Canada, Mexico, China, and Russia [142]. Canada produced three million metric tons of primary Al in 2022, with plants primarily situated in Quebec [143] (Figure 20). Currently, Canada is the fourth largest manufacturer of Al following China, India, and Russia [144].

2.7. Manufacturing of NMC Cathodes from Materials to Cells

Thermal runaway is an important drawback of LIBs that has led to further research on finding more stable CAMs that can operate under the charging and discharging conditions required for modern EV batteries [39].
Figure 21 reveals that the (1) equivalent electrons simultaneously move from the cathode to the anode via an external circuit to maintain charge neutrality; (2) during discharging, the cell releases electric energy to appliances; (3) during charging, when an external voltage is applied, Li ions transfer from the cathode to the anode via the electrolyte and intercalate into the anode; (4) chemical potential for the anode indicates electric energy storage; (5) during discharging, Li ions move from the anode to the cathode; and (6) separator is a microporous membrane that enables Li+ migration and prevents short circuiting.
Construction of NMC cathodes requires material acquisition, transportation, distribution, and final battery assembly [145]. Safe operations of cells and packs in LIBs are important aspects for selecting battery chemistry. High-quality LIBs with uniform capacities, safety, and long cycling lives can be developed by reducing the electrolyte wetting, formation, and aging times associated with LIBs [59]. Another aspect of new production facilities is reducing manufacturing costs: wetting and formation may take 3–7 days, and aging may need up to an additional two weeks. Figure 22 depicts the full process from material acquisition (mining) to final battery assembly.
All NMC cathodes necessitate processing from the mined material (ore mining) because they contain various minerals (including Ni, Mn, and Co). Figure 23 shows a schematic of the standard manufacturing process of an NMC cathode [75]. Sulfuric acid is used to prepare various sulfates (for example Ni, Mn, and Co sulfates). Na in the salt brine is transformed into NaOH via electrolysis. The drying process utilizes NH4OH and heat.

2.8. Lithium-Ion and NMC Cathode Materials

Crystal structure, particle size, morphology, surface chemistry, and electrochemical properties play crucial roles in the construction of the NMC cathodes (Figure 23). A single crystal structure and high truncation (planes) lend to higher ion transfer in NMC cathodes [49]. Storage of Li ions and adsorption of the electrolyte solution are the main functions of CAMs [146,147] (Figure 24).

2.9. Cell Production Mechanism

Synthesis of the Ni–Mn–Co cathode material is the first step in the preparation of NMC cathode materials [147]. NMC cathodes are fabricated by creating a homogeneous low-viscosity black slurry [87]. Production of NMC cathodes requires Ni, Co, and Mn salts and a Li source [47] (Figure 25).
Typical cell manufacturing includes three processes: (1) electrode manufacturing, (2) cell assembly, and (3) cell formation. Research on NMC cathodes in the laboratory starts with coin cell assembly (Figure 26) to minimize material usage at the bench stage. After the coin cells are produced, their performance must be evaluated [57]. Voltage profiles, specific capacities, and electrochemical stabilities are the standard parameters that need to be analyzed [148,149].
Pouch cell production has been reported in a recent study by GMs regarding quality verification during EV LIB manufacturing [7]. Basic fabrication processes of cathodes comprise mixing the raw materials to form a slurry, coating and drying the slurry, calendaring, and cell assembly using a CAM, for instance, NMC for pouch cells [7] (Figure 27).

2.10. Zero Waste

The processes for extracting and processing critical minerals in North America must be developed carefully with the shifting of the critical mineral supply chain of LIBs from Asia to North America [150]. Zero-waste [151] processes must be incorporated into the extraction and processing of critical minerals [86].
Incorporating zero-waste processes into the extraction and processing of critical minerals is essential for minimizing environmental impact and maximizing resource efficiency. Zero-waste principles aim to eliminate or reduce waste at every stage of production, from extraction to processing and beyond. By implementing innovative technologies and practices, such as recycling and reuse of materials, energy recovery, and efficient water management, it is possible to significantly reduce the environmental footprint of mineral extraction and processing operations. The type of NMC cathode dictates the amount of critical minerals since several types of cathode chemistries require different amounts of Li, Co, Ni, and Mn [57] (Figure 28).
In Quebec, there has been a movement towards extracting and processing critical minerals with zero waste. In Montreal, on March 7, 2023, St. Georges Eco-Mining Corp. (CSE/SX) (OTC/SXOOF) (FSE:85G1) announced that it has filed a provisional patent covering a new breakthrough in spodumene processing and lithium hydroxide production technologies [151]. St. Georges Eco-Mining Corp. claims that it uses nitric acid (HNO3) to extract Li from α-spodumene, with 92% of the acid being recirculated in the hydrometallurgy process and creating zero waste [151]. This company declares 98% recovery of Li from spodumene with a 99% purity of lithium hydroxide (LiOH). This company also claims that it can produce 99.99% pure LiOH in one step after the novel treatment of Li in the solution using an electrowinning method, thereby omitting the need to ship Li concentrates to a third party for refining and reducing greenhouse gases (GHGs) generated by shipping raw materials to Asia.

2.11. Reusing/Recycling

A circular economy is essential for developing a critical mineral supply chain. Reusing and recycling [152] NMC cathodes play important roles in the supply of LIBs [153]. The automotive lead-acid battery closed-loop recycling [154] program has been very successful in North America and can serve as a model for emerging LIBs [135]. Figure 29 depicts the recycling of LIBs from EVs for creating a circular economy.
Several governments, such as the United States and European Union, have placed critical minerals on high importance for national security. Figure 30 shows common recycling methods for LIBs. Hydrometallurgy, pyrometallurgy, and direct recycling are the primary methods for LIB recycling that can help achieve a circular economy [155,156].
Recycling of LIBs requires energy and produces emissions [158] during the creation of precursor cathode active materials (PCAMs) and cathode active materials (CAMs) from black masses (Figure 30). These environmental impacts should be considered during the evaluation of a sustainable LIB supply chain.

2.12. Creation of New Production Facilities

With the construction of numerous battery plants in the US, Canada, and Europe, a supply of precursors, including those entering the NMC cathode, is needed. Several investments have been made in North America, setting its path to becoming the fastest-growing battery manufacturing hub [159]. Figure 31a,b depict an updated geography of the North American second-life battery, sorted EOL battery, black mass (Co, Ni, C, and Li powder), metal sulfate (CoSO4, NiSO4, and MnSO4), cathode precursor material, and other metal (Al and Cu) facilities that are presently operating or being planned or whose status is unknown [158].
The Argonne National Laboratory (ANL) and the US Department of Energy (DOE) compiled a map of battery plant capacity (GWh year−1) in North America until the year 2030 [159]. Since November 2022, many automotive companies have announced various battery pack plants in North America [160]. These plants are presented according to the battery company, location, automotive company, and production start date in Table 4.
Figure 31. (a) Planned battery plant capacity based on state/province in 2030 GWh year1, as of November 2022 [159]. (b) North American LIB recycling facilities [161].
Figure 31. (a) Planned battery plant capacity based on state/province in 2030 GWh year1, as of November 2022 [159]. (b) North American LIB recycling facilities [161].
Batteries 10 00377 g031

3. Current Environmental Data on the Production of NMC Cathodes

Several variables, including but not limited to (a) the availabilities of critical minerals, (b) extraction techniques, (c) creation of new production facilities, (e) changing battery chemistry, (d) regulatory changes, (e) geopolitical forces, (f) reusing/recycling, (g) consumer demand, and (f) climate change, must be considered during the examination of environmentally sustainable NMC cathodes from mines to chassis.
Exploration and development of mines represent the “upstream” process in the EV LIB supply chain [135] (Figure 32). Mining is the main source of the critical minerals used to produce LIBs; the processes of this industry have historically been detrimental to the environment and raised human rights issues [135]. The mining law in the United States was established in 1872, and with the demand for localized critical minerals in the US and Canada, the interagency working group helped reform the outdated mining law. Efforts are currently being devoted to reducing the negative influences of the mining industry in both the United States and Canada [125]. In the US, the Federal Land Policy and Management Act of 1976 and the US Forest Service have been provided authority over hard rock mining.
The EV industry is a multi-stakeholder industry with agencies working on the definitions of waste, reuse, and manufacturing [135]. Accessing critical minerals such as nickel (Ni), cobalt (Co), manganese (Mn), and lithium (Li) in an environmentally sustainable manner [161] is challenging.
Examining the environmental effects of the adoption of EV platforms is important with the shift of our society from traditional ICE vehicles to EVs. Materials presently employed in LIBs are obtained from outside of North America, and 74% of these materials are acquired from China, Africa, and Latin America [101]. Environmental impacts of LIBs have been investigated in the current supply chain with respect to water use, energy consumption, and emissions of criteria pollutants, for example, carbon dioxide (CO2), sulfur oxide (SOx), nitrogen oxide (NOx), and particulate matter (PM).
NMC cathode production accounts for 50% of the GHG emissions of NMC LIBs [138]. Synthesis of the active material for an NMC cathode (NMC111 LIB) constitutes 40% of the water consumption [138]. During the evaluation of the environmental effects of NMC cathode production, the focus should be on CAMs (Ni, Co, or Li precursor). Reduced water consumption has been observed for a higher-Ni cathode because Co processed in DRC is treated using hydroelectric power [138]. Cell production and battery pack assembly powered by hydroelectric power increase the water consumption by 43, 36, 26, and 23% for NMC111, NMC532, NMC622, and NMC811, respectively [138]. NMC811 may be more sustainable with regards to water consumption, as shown in Table 5. Although electricity from Hydro-Quebec is renewable, the amount of water used should still be evaluated. ANL utilizes a life cycle assessment model, called GHGs, regulated emissions, and energy use in technology (GREET), for analyzing the environmental impact of LIBs [138]. NMC cathodes significantly reduce the reliance on Co to minimize the dependency on scarce metals, which is essential as Co faces supply challenges owing to its concentrated manufacturing in a few countries, mainly DRC [162]. Application of cathodes that are Ni-rich and Co-free has gained attention for alleviating concerns related to cost, C emissions during production, and ethical issues associated with Co mining [86,163]. Various other metal cations have been explored to replace Co in Ni-rich cathodes for maintaining the stabilities of cathodes while reducing the dependency on Co [163,164]. Increased cost may be associated with higher nickel content due to the addition of clean room, infrastructure, and energy [165].
Transition from NMC111 to higher-Ni lower-Co cathodes (including NMC532, NMC622, and NMC811) results in high energy densities and wide driving ranges for batteries, thereby rendering these cathodes’ industry-preferred choices. This transition demonstrated reductions in GHG emissions ranging from 0.3 to 7.5% as compared to those in the case of NMC111, whereas SOx emission levels substantially increased by 130–142% because of the production pathway of the Ni precursor [138,166,167,168]. Higher Ni content is correlated with considerable SOx emissions. Higher specific energy associated with high Ni content reduces GHG emissions despite higher GHG emissions from NiSO4 generation [136,138,167,169,170]. With the transition of batteries to higher-Ni batteries, SOx emissions have significantly increased, particularly from the production of NiSO4, which accounts for a substantial amount of SOx emissions. However, no distinct trend has been noticed for NOx emissions during this transition [136,138,166]. The increase in Ni content leads to high SOx emissions; with the use of a Ni precursor exclusively synthesized from mixed hydroxide precipitate (MHP) instead of Class I Ni lowering SOx emissions [138,167,169,170]. With an increase in the Ni content of batteries (for instance, NMC532, NMC622, and NMC811 batteries), water consumption consistently decreases during battery production as compared to those in the cases of lower-Ni batteries (NMC111 LIBs) [138,166,171]. Limited data are available on the environmental effects related to air emissions and water use for NMC (virgin raw material and CAMs), which are provided in Table 5.
Table 6 presents the data for CO2, SOx emissions, and water consumption for various types of NMC cathodes (NMC111, NMC532, NMC622, and NMC811) [94,120,129]. The water consumption of LIB production using NMC111 is 43% higher than that using LFP.
Comparison of CO2 emissions generated from LIB production in China, Japan, Korea [138], and Canada (Quebec) [130] indicates that the source of energy affects GHG emissions. Quebec exhibits the lowest CO2 eq kWh−1, which is understandable considering that its main source of electricity generation is hydropower (Figure 33).
Quebec comprises one of the world’s largest spodumene (hard rock Li mineral) deposits and is adequately positioned to become the hub of the critical mineral supply chain for the EV battery industry [130]. As of 2021, four Li projects have been established in Quebec: (1) Whabouchi, (2) Authier lithium, (3) Quebec lithium, and (4) Rose Li-Ta. GHG emissions for different processes (concentration and electrochemical plants) have been evaluated for the Whabouchi mine project [130] results summarized in Table 7.

3.1. Regulatory Changes

Recently, the EU enacted compulsory critical mineral recycling content in the construction of new EV batteries to protect the environment and secure a steady supply of essential minerals [172]. The US and Canadian governments are seeking to establish new regulations governing the transportation, storage, and fabrication of LIBs in the automotive industry [173]. With the introduction of more EVs into the market, the US government is working to set stricter standards for the quality, safety, and performance of LIBs [135].

3.2. Consumer Demand

Consumers are starting to adopt EVs over traditional ICE vehicles because of the low costs, high driving ranges, and lower charging times of EVs. Energy densities are an important parameter of LIBs, which determine the driving ranges of EVs. Interestingly, the majority of passenger vehicle trips in the US are less than 31 miles (Figure 34); nevertheless, the consumers remain focused on the EV battery range [174].
Automotive manufacturers continue to promote the production of vehicles with higher driving ranges, which in turn affects the battery chemistry. Figure 35 shows the all-EV driving ranges for cars sold in the US.

3.3. Climate Change and Sustainability

Climate change is another major driver of the EV market as countries all over the world are attempting to decarbonize their emissions from mobile sources [176]. Many parts of the world have set climate change targets to reduce GHG emissions via EV adoption [177]. The shift from ICE vehicles to EVs is a means of decarbonizing the transport sector [178]. However, the current challenge is that with the movement of the automotive sector away from ICE drivetrains, LIBs have become the power sources, and mining has become the primary source of critical minerals. Numerous mines in Canada are a part of renewable energy and decarbonization efforts, and ways to render these mines more sustainable are being investigated [179]. Table 8 provides the initiatives undertaken in Canadian mines via the adoption of fully electrified vehicles.

3.4. Environmental Impacts of NMC Cathode Production

With the shift of society from traditional ICE vehicles to EVs, close examination of the environmental effect of switching to EV platforms is important [180] (Figure 35. Presently, the materials employed in LIBs are obtained from outside North America, with 74% of these materials originating from China, Africa, and Latin America [101]. Environmental influences of LIBs have been investigated in the current supply chain with respect to water use, energy consumption, and emissions of pollutants such as CO2, SOx, NOx, and PM [181].
The North American automotive industry is committed to a local supply chain, and the abovementioned environmental parameters must be analyzed, mainly in the US and Canada [182]. In Canada, considerable emphasis is being placed on the acquisition of a “green battery” constructed in Quebec [183]. To establish a sustainable LIB supply chain, various environmental parameters must be considered [184]. The following table presents the historical data of these environmental parameters for China, Japan, and Korea [138]. NMC cathode preparation accounts for 50% of the GHG emissions of an NMC LIB [138]. Production of the active material for an NMC cathode (NMC111) constitutes 40% of the total water consumption [138].
Ni, Co, and Li precursors as CAMs should be considered during the evaluation of the environmental effects of NMC cathode production [83]. Reduced water consumption was detected for a higher-Ni cathode because Co processed in DRC is treated using hydroelectric power [138]. This should be considered during the analyses of the environmental effects of battery components manufactured by mines (raw material) and processing plants (steel/aluminum and cathode/anode/separator manufacturing) in Quebec using 100% hydroelectric power. Recently, Northvolt announced the construction of a new battery plant “Giga factory” [185] in Quebec.

4. Battery Passport (Future Perspectives)

With the global increase in demand for critical minerals, the development of a system that recovers EV LIB materials is crucial [182]. Many recommendations have been made to develop a circular economy [186] by the recovery of LIB critical minerals and other materials and creation of a battery passport [187] (Figure 36). The idea of a battery passport is to facilitate the tracking of several components of LIBs and LIB packs (Figure 36).
Suggested flows (cell to pack to vehicle to end-of-life) have been presented to the North American automotive industry [188] (Figure 37). These flows break the cell down into components, for instance, the cathode, anode, electrolyte, insulator, and tabs/poles, to identify the specific chemistry of the cell(s). Additionally, to track the entire battery pack, individual cells are tracked because they may change during the life of the battery. Tracking cells and packs offers an accurate battery profile, which is vital for material traceability. Linking the pack to the vehicle identification number (VIN) provides a unique number during the life of the vehicle and battery.
Considering the volume of information (big data of individual cells/pack), digitization of data via blockchain [189] has been recommended as a format to track LIB materials [190] (Figure 37).

5. Conclusions and Perspectives

Presently, hundreds of billions of dollars (USD) are being globally invested by the automotive industry [2]. Much of this investment is being made in North America, mainly the US and Canada, because of the building of Giga factories and EV assembly plants. With the growth of the EV market in North America, more critical minerals used in LIBs are needed. Because the North American automotive industry is committed to a local supply chain, environmental parameters must be investigated, primarily in the US and Canada. Canada emphasizes the acquisition of a “green battery” constructed in Quebec with zero waste. We must consider various environmental parameters to establish a sustainable LIB supply chain. With the production of larger EV platforms, battery size is increasing. Several NMC cathode coating chemistries must be understood to provide standards that can be employed in the automotive industry. Demand for higher-energy-density and faster-charging LIBs has created a challenge in designing a safe, cost-effective, and sustainable cathode coating [78]. NMC cathodes have proven to be superior in terms of performance. Environmental data are lacking for North American countries, namely, the US and Canada. Numerous studies have discussed the increase in Li extraction in Australia and China; however, hard rock mines in the US and Canada are not considered in these studies.
With a shift in the dependency of the supply chain in the automotive industry on Asia (mainly China), North American environmental data are crucial to the development of a sustainable supply chain. As critical mineral extraction, PCAMs, CAMs, cell, pack, and vehicle assembly are established in North America, environmental impacts must be evaluated in this new circular economy supply chain to ensure a sustainable “green” battery. Moreover, various studies have examined specific energy using the GREET model based on an 84 kWh LIB as the automobile sector produces larger vehicle platforms in North America. Many studies are focused on the “cradle-to-gate” concept and do not consider the “cradle-to-cradle” concept, which is a gap as the EV market demand drives growth in the recycling of LIB materials. New regulations, as implemented in Europe, require the recycling of critical minerals in new EV batteries, thereby indicating the importance of this aspect in LIB production. With the construction of numerous Giga factories in the US and Canada and several new LIB recycling facilities, environmental effects must be analyzed during the evaluation of NMC cathode supply chain emissions. An updated list of LIB recycling plants is important for evaluating the potential of a circular economy to stabilize the supply chain of LIBs and achieve zero waste. With this shift from ICE vehicles to EVs, appropriately planned processes must be investigated and implemented to ensure that we are reducing tailpipe emissions without creating other environmental problems via the processing and use of critical minerals such as those employed in NMC cathodes.

Author Contributions

Conceptualization, G.V.; methodology, G.V.; software, G.V.; validation, G.V.; formal analysis, G.V.; investigation, G.V.; resources, G.V.; data curation, G.V.; writing—original draft preparation, G.V.; writing—review and editing, G.V., A.K.M.R.R., X.L., S.D., T.L. and K.A.; visualization, K.Z., G.V. and A.K.M.R.R.; supervision, G.V.; project administration, K.Z., G.V. and A.K.M.R.R. All authors have read and agreed to the published version of the manuscript.

Funding

AI- Mogul and InnovÉÉ (Québec Government), as well as the support from NSERC-Alliance.

Acknowledgments

We would like to extend our sincere gratitude to those who have supported us in the preparation of this manuscript. We would specifically like to acknowledge Bingyang Yu for her invaluable contribution in providing graphics support and ingenuity. Her expertise and dedication have enhanced the visual elements of this article, elevating their overall qualities and impacts. We would also like to express our heartfelt appreciation to AI Mogul for their assistance and support throughout this endeavor.

Conflicts of Interest

The authors declare no conflicts of interest.

References

  1. International Workshop on the Characterization and Quantification of Lithium, from the Micro- to the Nano-Scale, from Mining to Energy–Sciencesconf.org. Available online: https://cqlmns.sciencesconf.org/ (accessed on 9 February 2024).
  2. Global EV Outlook. 2020. Available online: https://www.iea.org/reports/global-ev-outlook-2020 (accessed on 21 October 2024).
  3. Baars, J. Introduction: Chronological Time and Chronological Age: Problems of Temporal Diversity. In Aging and Time; Routledge: London, UK, 2007. [Google Scholar]
  4. Fallah, N.; Fitzpatrick, C.; Killian, S.; Johnson, M. End-of-Life Electric Vehicle Battery Stock Estimation in Ireland through Integrated Energy and Circular Economy Modelling. Resour. Conserv. Recycl. 2021, 174, 105753. [Google Scholar] [CrossRef]
  5. Fallah, N.; Fitzpatrick, C. Is Shifting from Li-Ion NMC to LFP in EVs Beneficial for Second-Life Storages in Electricity Markets? J. Energy Storage 2023, 68, 107740. [Google Scholar] [CrossRef]
  6. Paris Declaration on Electro-Mobility and Climate Change & Call to Action. Available online: https://unfccc.int/media/521376/paris-electro-mobility-declaration.pdf (accessed on 17 October 2023).
  7. McGovern, M.E.; Bruder, D.D.; Huemiller, E.D.; Rinker, T.J.; Bracey, J.T.; Sekol, R.C.; Abell, J.A. A Review of Research Needs in Nondestructive Evaluation for Quality Verification in Electric Vehicle Lithium-Ion Battery Cell Manufacturing. J. Power Sources 2023, 561, 232742. [Google Scholar] [CrossRef]
  8. BloombergNEF. 2017. Available online: https://www.mining.com/web/move-tesla-china-holds-keys-electric-vehicles/ (accessed on 21 October 2024).
  9. Electric Vehicles and Hybrids Surpass 16% of Total 2023 U.S. Light-Duty Vehicle Sales–U.S. Energy Information Administration (EIA). Available online: https://www.eia.gov/todayinenergy/detail.php?id=61344 (accessed on 29 June 2024).
  10. Driving Electric Vehicles for Good|General Motors. Available online: https://www.gm.com/public/us/en/gm/home/stories/evs-for-good.html (accessed on 17 October 2023).
  11. U.S. Automakers to Say They Aspire to Up to 50% of EV Sales by 2030-Sources|Reuters. Available online: https://www.reuters.com/business/autos-transportation/us-automakers-say-they-aspire-up-50-ev-sales-by-2030-sources-2021-08-04/ (accessed on 17 October 2023).
  12. Electric Car Sales, 2016–2023—Charts–Data & Statistics. IEA. Available online: https://www.iea.org/data-and-statistics/charts/electric-car-sales-2016-2023 (accessed on 29 June 2024).
  13. Cimino, A.; Gnoni, M.G.; Longo, F.; La Rosa, A. Digital Twin (DT) Based Methodology to Support Effective Design of Industrial Production Lines. Procedia Comput. Sci. 2023, 217, 1896–1907. [Google Scholar] [CrossRef]
  14. Julien, C.M.; Mauger, A.; Zaghib, K.; Groult, H. Comparative Issues of Cathode Materials for Li-Ion Batteries. Inorganics 2014, 2, 132–154. [Google Scholar] [CrossRef]
  15. Reddy, M.V.; Mauger, A.; Julien, C.M.; Paolella, A.; Zaghib, K. Brief History of Early Lithium-Battery Development. Materials 2020, 13, 1884. [Google Scholar] [CrossRef]
  16. Schwich, L.; Küpers, M.; Finsterbusch, M.; Schreiber, A.; Fattakhova-Rohlfing, D.; Guillon, O.; Friedrich, B. Recycling Strategies for Ceramic All-Solid-State Batteries—Part I: Study on Possible Treatments in Contrast to Li-Ion Battery Recycling. Metals 2020, 10, 1523. [Google Scholar] [CrossRef]
  17. Asare, M.O.; Afriyie, J.O. Ancient Mining and Metallurgy as the Origin of Cu, Ag, Pb, Hg, and Zn Contamination in Soils: A Review. Water Air Soil Pollut. 2021, 232, 240. [Google Scholar] [CrossRef]
  18. Burkin, A.R. Chemical Hydrometallurgy: Theory and Principles; Imperial College Press: London, UK; World Scientific Publishing Co.: Singapore, 2001. [Google Scholar] [CrossRef]
  19. Electrochemistry Encyclopedia—Pillars of Modern Electrochemistry: A Brief History. Available online: https://knowledge.electrochem.org/encycl/art-p05-pillars-of-ec.htm (accessed on 17 October 2023).
  20. Building America’s Clean Energy Future. Energy.gov. Available online: https://www.energy.gov/invest (accessed on 23 February 2024).
  21. Ballinger, B.; Stringer, M.; Schmeda-Lopez, D.R.; Kefford, B.; Parkinson, B.; Greig, C.; Smart, S. The Vulnerability of Electric Vehicle Deployment to Critical Mineral Supply. Appl. Energy 2019, 255, 113844. [Google Scholar] [CrossRef]
  22. Roelich, K.; Dawson, D.A.; Purnell, P.; Knoeri, C.; Revell, R.; Busch, J.; Steinberger, J.K. Assessing the Dynamic Material Criticality of Infrastructure Transitions: A Case of Low Carbon Electricity. Appl. Energy 2014, 123, 378–386. [Google Scholar] [CrossRef]
  23. Church, S.; Laske, N.; Leschiner, D.; Simmons, N.; Verhalen, S.; Willis, M. The Impact of the U.S. Inflation Reduction Act on Global Clean Energy Supply Chains. Available online: https://www.innovationnewsnetwork.com/the-impact-of-the-us-inflation-reduction-act-on-global-clean-energy-supply-chains/45302/ (accessed on 21 October 2024).
  24. Grimm, V.; Malmendier, U.; Schnitzer, M.; Truger, A.; Werding, M. The Inflation Reduction Act: Is the New U.S. Industrial Policy a Threat to Europe? Cons. Alemão Espec. Econômicos 2023, 1, 1–14. [Google Scholar]
  25. U.S. Department of the Treasury. Available online: https://home.treasury.gov/news/press-releases (accessed on 11 January 2024).
  26. Morris, C. Ford Signs Lithium and Nickel Deals to Secure IRA-Compliant Supply. Charged EVs. Available online: https://chargedevs.com/newswire/ford-signs-lithium-and-nickel-deals-to-secure-ira-compliant-supply/ (accessed on 19 September 2023).
  27. Guzman-Anaya, L. Challenges to Mexico’s Automotive Industry. The USMCA, COVID-19, and Electric Vehicle Production. In Japanese Cooperation and Supporting Industry in Mexico’s Automotive Sector: USMCA, Covid-19 Disruptions, and Electric Vehicle Production; Guzman-Anaya, L., Ed.; New Frontiers in Regional Science: Asian Perspectives; Springer Nature: Singapore, 2023; pp. 1–5. [Google Scholar] [CrossRef]
  28. Gorachinova, E.; Wolfe, D.A. New Path Development in a Semi-Peripheral Auto Region: The Case of Ontario. Econ. Geogr. 2023, 99, 526–547. [Google Scholar] [CrossRef]
  29. Praet, N.V. Quebec, Ottawa Offer Financial Aid for GM-Posco Battery Facility; The Globe and Mail Inc.: Toronto, ON, Canada, 2023; p. B1. [Google Scholar]
  30. Canada.ca. The Canadian Critical Minerals Strategy. Available online: https://www.canada.ca/en/campaign/critical-minerals-in-canada/canadian-critical-minerals-strategy.html (accessed on 17 October 2023).
  31. Anticipated Demand for Battery Minerals Creates Excitement in Quebec–ProQuest. Available online: https://www.proquest.com/openview/53ba0286ca180a3b15ab4b5b9f03d889/1?pq-origsite=gscholar&cbl=39 (accessed on 10 October 2023).
  32. What Are the Sources for Lithium? Available online: https://www.ibatterymetals.com/insights/what-are-the-sources-for-lithium (accessed on 3 October 2023).
  33. BASF and a GM-Posco Joint Venture Select Sites in Canada for Battery Materials. Chemical & Engineering News. Available online: https://cen.acs.org/energy/energy-storage-/BASF-GM-Posco-joint-venture/100/i10 (accessed on 19 September 2023).
  34. General Motors and POSCO Future M Welcome Québec and Canada Government Support For Bécancour CAM Project to Develop the EV Battery Supply Chain in North America. Available online: https://news.gm.ca/public/ca/en/gm/home/newsroom.detail.html/Pages/news/ca/en/2023/may/0529_posco-announcement.html (accessed on 23 February 2024).
  35. BASF Acquires Site for North American Battery Materials and Recycling Expansion in Canada. Available online: https://www.basf.com/ca/en/media/News-Releases/2022/basf-acquires-site-for-north-american-battery-materials-and-recy.html (accessed on 23 February 2024).
  36. Umicore Prepares to Construct Battery Materials Production Plant in Canada. Available online: https://www.umicore.ca/en/news/umicore-prepares-to-construct-battery-materials-production-plant-in-canada/ (accessed on 23 February 2024).
  37. Chen, Z.; Zhang, W.; Yang, Z. A Review on Cathode Materials for Advanced Lithium Ion Batteries: Microstructure Designs and Performance Regulations. Nanotechnology 2019, 31, 012001. [Google Scholar] [CrossRef] [PubMed]
  38. Lithium-Ion Battery Market Insight and Growth Projection, 2032. Allied Market Research. Available online: https://www.alliedmarketresearch.com/lithium-ion-battery-market (accessed on 10 October 2023).
  39. Khaleel, M.; Nassar, Y.; El-Khozondar, H.J.; Elmnifi, M.; Rajab, Z.; Yaghoubi, E.; Yaghoubi, E. Electric Vehicles in China, Europe, and the United States: Current Trend and Market Comparison. Int. J. Electr. Eng. Sustain. 2024, 2, 1–20. [Google Scholar]
  40. Pereira, P.M.P. Equity Research–Tesla Inc. Master’s Thesis, Universidade de Lisboa, Lisboa, Portugal, 2024. Available online: https://repositorium.sdum.uminho.pt/handle/1822/88250 (accessed on 5 February 2024).
  41. Barman, P.; Dutta, L.; Azzopardi, B. Electric Vehicle Battery Supply Chain and Critical Materials: A Brief Survey of State of the Art. Energies 2023, 16, 3369. [Google Scholar] [CrossRef]
  42. Schulz-Mönninghoff, M.; Neidhardt, M.; Niero, M. What Is the Contribution of Different Business Processes to Material Circularity at Company-Level? A Case Study for Electric Vehicle Batteries. J. Clean. Prod. 2023, 382, 135232. [Google Scholar] [CrossRef]
  43. Kampker, A.; Heimes, H.H.; Offermanns, C.; Vienenkötter, J.; Robben, T. Framework and Classification of Battery System Architectures. World Electr. Veh. J. 2023, 14, 88. [Google Scholar] [CrossRef]
  44. Diouf, B.; Pode, R. Potential of Lithium-Ion Batteries in Renewable Energy. Renew. Energy 2015, 76, 375–380. [Google Scholar] [CrossRef]
  45. Xiao, J.; Shi, F.; Glossmann, T.; Burnett, C.; Liu, Z. From Laboratory Innovations to Materials Manufacturing for Lithium-Based Batteries. Nat. Energy 2023, 8, 329–339. [Google Scholar] [CrossRef]
  46. Naz, B. Proposal of New Solid-State Battery Denser and Safer. 2024. Available online: https://www.onlinescientificresearch.com/articles/proposal-of-new-solidstate-battery-denser-and-safer.html (accessed on 21 October 2024).
  47. Malik, M.; Chan, K.H.; Azimi, G. Review on the Synthesis of LiNixMnyCo1-x-yO2 (NMC) Cathodes for Lithium-Ion Batteries. Mater. Today Energy 2022, 28, 101066. [Google Scholar] [CrossRef]
  48. Chu, B.; Guo, Y.-J.; Shi, J.-L.; Yin, Y.-X.; Huang, T.; Su, H.; Yu, A.; Guo, Y.-G.; Li, Y. Cobalt in High-Energy-Density Layered Cathode Materials for Lithium Ion Batteries. J. Power Sources 2022, 544, 231873. [Google Scholar] [CrossRef]
  49. Hu, J.; Wang, H.; Xiao, B.; Liu, P.; Huang, T.; Li, Y.; Ren, X.; Zhang, Q.; Liu, J.; Ouyang, X.; et al. Challenges and Approaches of Single-Crystal Ni-Rich Layered Cathodes in Lithium Batteries. Natl. Sci. Rev. 2023, 10, nwad252. [Google Scholar] [CrossRef] [PubMed]
  50. Li, X.; Ren, Z.; Norouzi Banis, M.; Deng, S.; Zhao, Y.; Sun, Q.; Wang, C.; Yang, X.; Li, W.; Liang, J.; et al. Unravelling the Chemistry and Microstructure Evolution of a Cathodic Interface in Sulfide-Based All-Solid-State Li-Ion Batteries. ACS Energy Lett. 2019, 4, 2480–2488. [Google Scholar] [CrossRef]
  51. Kiemel, S.; Glöser-Chahoud, S.; Waltersmann, L.; Schutzbach, M.; Sauer, A.; Miehe, R. Assessing the Application-Specific Substitutability of Lithium-Ion Battery Cathode Chemistries Based on Material Criticality, Performance, and Price. Resources 2021, 10, 87. [Google Scholar] [CrossRef]
  52. Ding, Y.; Cano, Z.P.; Yu, A.; Lu, J.; Chen, Z. Automotive Li-Ion Batteries: Current Status and Future Perspectives. Electrochem. Energy Rev. 2019, 2, 1–28. [Google Scholar] [CrossRef]
  53. Stephan, A.K. A Pathway to Understand NMC Cathodes. Joule 2020, 4, 1632–1633. [Google Scholar] [CrossRef]
  54. Cheng, C.; Tan, L.; Liu, H.; Huang, X. High Rate Performances of the Cathode Material LiNi1/3Co1/3Mn1/3O2 Synthesized Using Low Temperature Hydroxide Precipitation. Mater. Res. Bull. 2011, 46, 2032–2035. [Google Scholar] [CrossRef]
  55. Xu, L.; Zhou, F.; Liu, B.; Zhou, H.; Zhang, Q.; Kong, J.; Wang, Q. Progress in Preparation and Modification of LiNi0.6Mn0.2Co0.2O2 Cathode Material for High Energy Density Li-Ion Batteries. Int. J. Electrochem. 2018, 2018, e6930386. [Google Scholar] [CrossRef]
  56. Jung, R.; Metzger, M.; Maglia, F.; Stinner, C.; Gasteiger, H.A. Oxygen Release and Its Effect on the Cycling Stability of LiNixMnyCozO2 (NMC) Cathode Materials for Li-Ion Batteries. J. Electrochem. Soc. 2017, 164, A1361. [Google Scholar] [CrossRef]
  57. Jones, B.; Nguyen-Tien, V.; Elliott, R.J.R. The Electric Vehicle Revolution: Critical Material Supply Chains, Trade and Development. World Econ. 2023, 46, 2–26. [Google Scholar] [CrossRef]
  58. Nagmani; Pahari, D.; Tyagi, A.; Puravankara, D.S. Lithium-Ion Battery Technologies for Electric Mobility–State-of-the-Art Scenario. ARAI J. Mobil. Technol. 2022, 2, 233–248. [Google Scholar] [CrossRef]
  59. Wood, D.L.; Li, J.; An, S.J. Formation Challenges of Lithium-Ion Battery Manufacturing. Joule 2019, 3, 2884–2888. [Google Scholar] [CrossRef]
  60. International Council on Clean Transportation, icct. Available online: https://theicct.org/ (accessed on 11 January 2024).
  61. Li, T.; Yuan, X.-Z.; Zhang, L.; Song, D.; Shi, K.; Bock, C. Degradation Mechanisms and Mitigation Strategies of Nickel-Rich NMC-Based Lithium-Ion Batteries. Electrochem. Energy Rev. 2020, 3, 43–80. [Google Scholar] [CrossRef]
  62. Nie, K.; Hong, Y.; Qiu, J.; Li, Q.; Yu, X.; Li, H.; Chen, L. Interfaces Between Cathode and Electrolyte in Solid State Lithium Batteries: Challenges and Perspectives. Front. Chem. 2018, 6, 616. [Google Scholar] [CrossRef] [PubMed]
  63. Ma, F.; Wu, Y.; Wei, G.; Qiu, S.; Qu, J. Enhanced Electrochemical Performance of LiNi0.8Co0.1Mn0.1O2 Cathode via Wet-Chemical Coating of MgO. J. Solid State Electrochem. 2019, 23, 2213–2224. [Google Scholar] [CrossRef]
  64. Iriyama, Y.; Kurita, H.; Yamada, I.; Abe, T.; Ogumi, Z. Effects of Surface Modification by MgO on Interfacial Reactions of Lithium Cobalt Oxide Thin Film Electrode. J. Power Sources 2004, 137, 111–116. [Google Scholar] [CrossRef]
  65. Li, S.; Chai, Z.; Wang, Z.; Tai, C.-W.; Zhu, J.; Edström, K.; Ma, Y. A Multiscale, Dynamic Elucidation of Li Solubility in the Alloy and Metallic Plating Process. Adv. Mater. 2023, 35, 2306826. [Google Scholar] [CrossRef]
  66. Lu, L.; Han, X.; Li, J.; Hua, J.; Ouyang, M. A Review on the Key Issues for Lithium-Ion Battery Management in Electric Vehicles. J. Power Sources 2013, 226, 272–288. [Google Scholar] [CrossRef]
  67. Zuo, D.; Tian, G.; Li, X.; Chen, D.; Shu, K. Recent Progress in Surface Coating of Cathode Materials for Lithium Ion Secondary Batteries. J. Alloys Compd. 2017, 706, 24–40. [Google Scholar] [CrossRef]
  68. Gong, Z.; Yang, Y. Recent Advances in the Research of Polyanion-Type Cathode Materials for Li-Ion Batteries. Energy Environ. Sci. 2011, 4, 3223–3242. [Google Scholar] [CrossRef]
  69. Hu, M.; Pang, X.; Zhou, Z. Recent Progress in High-Voltage Lithium Ion Batteries. J. Power Sources 2013, 237, 229–242. [Google Scholar] [CrossRef]
  70. Li, C.; Zhang, H.P.; Fu, L.J.; Liu, H.; Wu, Y.P.; Rahm, E.; Holze, R.; Wu, H.Q. Cathode Materials Modified by Surface Coating for Lithium Ion Batteries. Electrochim. Acta 2006, 51, 3872–3883. [Google Scholar] [CrossRef]
  71. Mizushima, K.; Jones, P.C.; Wiseman, P.J.; Goodenough, J.B. LixCoO2 (0 < x ≤ 1): A new cathode material for batteries of high energy density. Solid State Ion. 1981, 3–4, 171–174. [Google Scholar] [CrossRef]
  72. Mao, Y.; Wang, X.; Xia, S.; Zhang, K.; Wei, C.; Bak, S.; Shadike, Z.; Liu, X.; Yang, Y.; Xu, R.; et al. High-Voltage Charging-Induced Strain, Heterogeneity, and Micro-Cracks in Secondary Particles of a Nickel-Rich Layered Cathode Material. Adv. Funct. Mater. 2019, 29, 1900247. [Google Scholar] [CrossRef]
  73. Patry, G.; Romagny, A.; Martinet, S.; Froelich, D. Cost Modeling of Lithium-Ion Battery Cells for Automotive Applications. Energy Sci. Eng. 2015, 3, 71–82. [Google Scholar] [CrossRef]
  74. Li, M.; Lu, J. Cobalt in Lithium-Ion Batteries. Science 2020, 367, 979–980. [Google Scholar] [CrossRef]
  75. BatPaC Model Software|Argonne National Laboratory (ANL). 2024. Available online: https://www.anl.gov/cse/batpac-model-software (accessed on 11 January 2024).
  76. Chae, C.; Park, H.; Kim, D.; Kim, J.; Oh, E.-S.; Lee, J.K. A Li-Ion Battery Using LiMn2O4 Cathode and MnOx/C Anode. J. Power Sources 2013, 244, 214–221. [Google Scholar] [CrossRef]
  77. Kaur, G.; Gates, B.D. Review—Surface Coatings for Cathodes in Lithium Ion Batteries: From Crystal Structures to Electrochemical Performance. J. Electrochem. Soc. 2022, 169, 043504. [Google Scholar] [CrossRef]
  78. Ahmed, S.; Nelson, P.A.; Gallagher, K.G.; Susarla, N.; Dees, D.W. Cost and Energy Demand of Producing Nickel Manganese Cobalt Cathode Material for Lithium Ion Batteries. J. Power Sources 2017, 342, 733–740. [Google Scholar] [CrossRef]
  79. Howell, D. Overview of the DOE Advanced Battery R&D Program; Hybrid Electric Systems Vehicle Technologies Office: Washington, DC, USA, 2014. [Google Scholar]
  80. Neubauer, J.; Pesaran, A.; Bae, C.; Elder, R.; Cunningham, B. Updating United States Advanced Battery Consortium and Department of Energy Battery Technology Targets for Battery Electric Vehicles. J. Power Sources 2014, 271, 614–621. [Google Scholar] [CrossRef]
  81. Kraft, L.; Zünd, T.; Schreiner, D.; Wilhelm, R.; Günter, F.J.; Reinhart, G.; Gasteiger, H.A.; Jossen, A. Comparative Evaluation of LMR-NCM and NCA Cathode Active Materials in Multilayer Lithium-Ion Pouch Cells: Part II. Rate Capability, Long-Term Stability, and Thermal Behavior. J. Electrochem. Soc. 2021, 168, 020537. [Google Scholar] [CrossRef]
  82. Lee, K.K.; Yoon, W.S.; Kim, K.B.; Lee, K.Y.; Hong, S.T. Characterization of LiNi0.85Co0.10M0.05O2 (M = Al, Fe) as a Cathode Material for Lithium Secondary Batteries. J. Power Sources 2001, 97–98, 308–312. [Google Scholar] [CrossRef]
  83. Gutsch, M.; Leker, J. Costs, Carbon Footprint, and Environmental Impacts of Lithium-Ion Batteries–From Cathode Active Material Synthesis to Cell Manufacturing and Recycling. Appl. Energy 2024, 353, 122132. [Google Scholar] [CrossRef]
  84. Purwanto, A.; Ikhsanudin, M.N.; Asri, P.P.P.; Giasari, A.S.; Hakam, M.; Yudha, C.S.; Widiyandari, H.; Dyartanti, E.R.; Jumari, A.; Nur, A. The Optimization of Nickel-Rich Cathode-Material Production on a Pilot Plant Scale. Processes 2024, 12, 685. [Google Scholar] [CrossRef]
  85. Ziegler, M.S.; Song, J.; Trancik, J.E. Determinants of Lithium-Ion Battery Technology Cost Decline. Energy Environ. Sci. 2021, 14, 6074–6098. [Google Scholar] [CrossRef]
  86. Yang, Z.; Huang, H.; Lin, F. Sustainable Electric Vehicle Batteries for a Sustainable World: Perspectives on Battery Cathodes, Environment, Supply Chain, Manufacturing, Life Cycle, and Policy. Adv. Energy Mater. 2022, 12, 2200383. [Google Scholar] [CrossRef]
  87. Hawley, W.B.; Li, M.; Li, J. Room-Temperature Eutectic Synthesis for Upcycling of Cathode Materials. Batteries 2023, 9, 498. [Google Scholar] [CrossRef]
  88. Nisa, S.S.; Rahmawati, M.; Yudha, C.S.; Nilasary, H.; Nursukatmo, H.; Oktaviano, H.S.; Muzayanha, S.U.; Purwanto, A. A Fast Approach to Obtain Layered Transition-Metal Cathode Material for Rechargeable Batteries. Batteries 2022, 8, 4. [Google Scholar] [CrossRef]
  89. Tahmasebi, M.H.; Zheng, L.; Hatchard, T.D.; Obrovac, M.N. Li[Ni0.6Mn0.2Co0.2]O2 Made From Crystalline Rock Salt Oxide Precursors. J. Electrochem. Soc. 2023, 170, 030531. [Google Scholar] [CrossRef]
  90. Berry, C. The Paradox of Green Growth: Challenges and Opportunities in Decarbonizing the Lithium-Ion Supply Chain. In Critical Minerals, the Climate Crisis and the Tech Imperium; Kalantzakos, S., Ed.; Archimedes; Springer Nature: Cham, Switzerland, 2023; pp. 107–123. [Google Scholar] [CrossRef]
  91. Schöberl, J.; Ank, M.; Schreiber, M.; Wassiliadis, N.; Lienkamp, M. Thermal Runaway Propagation in Automotive Lithium-Ion Batteries with NMC-811 and LFP Cathodes: Safety Requirements and Impact on System Integration. eTransportation 2024, 19, 100305. [Google Scholar] [CrossRef]
  92. Greenwood, M.; Wentker, M.; Leker, J. A Region-Specific Raw Material and Lithium-Ion Battery Criticality Methodology with an Assessment of NMC Cathode Technology. Appl. Energy 2021, 302, 117512. [Google Scholar] [CrossRef]
  93. Stallard, J.C.; Wheatcroft, L.; Booth, S.G.; Boston, R.; Corr, S.A.; De Volder, M.F.L.; Inkson, B.J.; Fleck, N.A. Mechanical Properties of Cathode Materials for Lithium-Ion Batteries. Joule 2022, 6, 984–1007. [Google Scholar] [CrossRef]
  94. Celeste, A.; Tuccillo, M.; Menon, A.S.; Brant, W.; Brandell, D.; Pellegrini, V.; Brescia, R.; Silvestri, L.; Brutti, S. On the Elusive Crystallography of Lithium-Rich Layered Oxides: Novel Structural Models. Small Methods 2024, 8, 2301466. [Google Scholar] [CrossRef]
  95. Chen, M.; Zheng, Z.; Wang, Q.; Zhang, Y.; Ma, X.; Shen, C.; Xu, D.; Liu, J.; Liu, Y.; Gionet, P.; et al. Closed Loop Recycling of Electric Vehicle Batteries to Enable Ultra-High Quality Cathode Powder. Sci. Rep. 2019, 9, 1654. [Google Scholar] [CrossRef]
  96. Kaboli, S.; Demers, H.; Paolella, A.; Darwiche, A.; Dontigny, M.; Clément, D.; Guerfi, A.; Trudeau, M.L.; Goodenough, J.B.; Zaghib, K. Behavior of Solid Electrolyte in Li-Polymer Battery with NMC Cathode via in-Situ Scanning Electron Microscopy. Nano Lett. 2020, 20, 1607–1613. [Google Scholar] [CrossRef]
  97. Sun, Y.; Li, J.-C.; Zhou, H.; Guo, S. Wide-Temperature-Range Sodium-Metal Batteries: From Fundamentals and Obstacles to Optimization. Energy Environ. Sci. 2023, 16, 4759–4811. [Google Scholar] [CrossRef]
  98. Heenan, T.M.M.; Wade, A.; Tan, C.; Parker, J.E.; Matras, D.; Leach, A.S.; Robinson, J.B.; Llewellyn, A.; Dimitrijevic, A.; Jervis, R.; et al. Identifying the Origins of Microstructural Defects Such as Cracking within Ni-Rich NMC811 Cathode Particles for Lithium-Ion Batteries. Adv. Energy Mater. 2020, 10, 2002655. [Google Scholar] [CrossRef]
  99. Zhao, E.; Fang, L.; Chen, M.; Chen, D.; Huang, Q.; Hu, Z.; Yan, Q.; Wu, M.; Xiao, X. New Insight into Li/Ni Disorder in Layered Cathode Materials for Lithium Ion Batteries: A Joint Study of Neutron Diffraction, Electrochemical Kinetic Analysis and First-Principles Calculations. J. Mater. Chem. A 2017, 5, 1679–1686. [Google Scholar] [CrossRef]
  100. McClelland, I.; Booth, S.G.; Anthonisamy, N.N.; Middlemiss, L.A.; Pérez, G.E.; Cussen, E.J.; Baker, P.J.; Cussen, S.A. Direct Observation of Dynamic Lithium Diffusion Behavior in Nickel-Rich, LiNi0.8Mn0.1Co0.1O2 (NMC811) Cathodes Using Operando Muon Spectroscopy. Chem. Mater. 2023, 35, 4149–4158. [Google Scholar] [CrossRef]
  101. Mayyas, A.; Moawad, K.; Chadly, A.; Alhseinat, E. Can Circular Economy and Cathode Chemistry Evolution Stabilize the Supply Chain of Li-Ion Batteries? Extr. Ind. Soc. 2023, 14, 101253. [Google Scholar] [CrossRef]
  102. Yabuuchi, N.; Ohzuku, T. Novel Lithium Insertion Material of LiCo1/3Ni1/3Mn1/3O2 for Advanced Lithium-Ion Batteries. J. Power Sources 2003, 119–121, 171–174. [Google Scholar] [CrossRef]
  103. Tiozzo, A.; Ghaseminezhad, K.; Mazzucco, A.; Giuliano, M.; Rocca, R.; Dotoli, M.; Nicol, G.; Nervi, C.; Baricco, M.; Sgroi, M.F. Investigating the Influence of Three Different Atmospheric Conditions during the Synthesis Process of NMC811 Cathode Material. Crystals 2024, 14, 137. [Google Scholar] [CrossRef]
  104. White, J.L.; Gittleson, F.S.; Homer, M.; El Gabaly, F. Nickel and Cobalt Oxidation State Evolution at Ni-Rich NMC Cathode Surfaces during Treatment. J. Phys. Chem. C 2020, 124, 16508–16514. [Google Scholar] [CrossRef]
  105. Aslam, M.K.; Niu, Y.; Hussain, T.; Tabassum, H.; Tang, W.; Xu, M.; Ahuja, R. How to Avoid Dendrite Formation in Metal Batteries: Innovative Strategies for Dendrite Suppression. Nano Energy 2021, 86, 106142. [Google Scholar] [CrossRef]
  106. Wentker, M.; Greenwood, M.; Leker, J. A Bottom-Up Approach to Lithium-Ion Battery Cost Modeling with a Focus on Cathode Active Materials. Energies 2019, 12, 504. [Google Scholar] [CrossRef]
  107. Hu, J.; Wang, Q.; Wu, B.; Tan, S.; Shadike, Z.; Bi, Y.; Whittingham, M.S.; Xiao, J.; Yang, X.-Q.; Hu, E. Fundamental Linkage Between Structure, Electrochemical Properties, and Chemical Compositions of LiNi1–x–yMnxCoyO2 Cathode Materials. ACS Appl. Mater. Interfaces 2021, 13, 2622–2629. [Google Scholar] [CrossRef]
  108. Garcia, J.C.; Bareño, J.; Yan, J.; Chen, G.; Hauser, A.; Croy, J.R.; Iddir, H. Surface Structure, Morphology, and Stability of Li(Ni1/3Mn1/3Co1/3)O2 Cathode Material. J. Phys. Chem. C 2017, 121, 8290–8299. [Google Scholar] [CrossRef]
  109. Para, M.L.; Querio, A.; Amici, J.; Versaci, D.; Barresi, A.A.; Bodoardo, S.; Marchisio, D. Electrochemical Performance Optimization of NMC811 through the Structure Design of Its Precursor. J. Electroanal. Chem. 2023, 943, 117630. [Google Scholar] [CrossRef]
  110. Deng, D. Li-Ion Batteries: Basics, Progress, and Challenges. Energy Sci. Eng. 2015, 3, 385–418. [Google Scholar] [CrossRef]
  111. Zhang, R.; Wang, C.; Zou, P.; Lin, R.; Ma, L.; Li, T.; Hwang, I.; Xu, W.; Sun, C.; Trask, S.; et al. Long-Life Lithium-Ion Batteries Realized by Low-Ni, Co-Free Cathode Chemistry. Nat. Energy 2023, 8, 695–702. [Google Scholar] [CrossRef]
  112. Moores, S. The Global Battery Arms Race: Lithium-ion Battery Gigafactories and Their Supply Chain. Oxf. Energy Forum 2021, 126, 26–30. [Google Scholar]
  113. Prina Cerai, A. Geography of Control: A Deep Dive Assessment on Criticality and Lithium Supply Chain. Miner. Econ. 2024, 37, 499–546. [Google Scholar] [CrossRef]
  114. Trost, J.N.; Dunn, J.B. Assessing the Feasibility of the Inflation Reduction Act’s EV Critical Mineral Targets. Nat. Sustain. 2023, 6, 639–643. [Google Scholar] [CrossRef]
  115. Gao, T.; Fan, N.; Chen, W.; Dai, T. Lithium Extraction from Hard Rock Lithium Ores (Spodumene, Lepidolite, Zinnwaldite, Petalite): Technology, Resources, Environment and Cost. China Geol. 2023, 6, 137–153. [Google Scholar] [CrossRef]
  116. Natural Resources Canada. Lithium Facts. Available online: https://natural-resources.canada.ca/our-natural-resources/minerals-mining/minerals-metals-facts/lithium-facts/24009 (accessed on 2 October 2023).
  117. Song, Y.; Zhao, T.; He, L.; Zhao, Z.; Liu, X. A Promising Approach for Directly Extracting Lithium from α-Spodumene by Alkaline Digestion and Precipitation as Phosphate. Hydrometallurgy 2019, 189, 105141. [Google Scholar] [CrossRef]
  118. U.S. Geological Survey. Mineral Commodity Summaries 2020; U.S. Geological Survey: Reston, VA, USA, 2020. [Google Scholar] [CrossRef]
  119. Flexer, V.; Baspineiro, C.F.; Galli, C.I. Lithium Recovery from Brines: A Vital Raw Material for Green Energies with a Potential Environmental Impact in Its Mining and Processing. Sci. Total Environ. 2018, 639, 1188–1204. [Google Scholar] [CrossRef]
  120. Vera, M.L.; Torres, W.R.; Galli, C.I.; Chagnes, A.; Flexer, V. Environmental Impact of Direct Lithium Extraction from Brines. Nat. Rev. Earth Environ. 2023, 4, 149–165. [Google Scholar] [CrossRef]
  121. South America’s “Lithium Fields” Reveal the Dark Side of Electric Cars. Euronews. Available online: https://www.euronews.com/green/2022/02/01/south-america-s-lithium-fields-reveal-the-dark-side-of-our-electric-future (accessed on 3 October 2023).
  122. Al-Jawad, J.; Ford, J.; Petavratzi, E.; Hughes, A. Understanding the Spatial Variation in Lithium Concentration of High Andean Salars Using Diagnostic Factors. Sci. Total Environ. 2024, 906, 167647. [Google Scholar] [CrossRef]
  123. Munk, L.A.; Hynek, S.A.; Bradley, D.C.; Boutt, D.; Labay, K.; Jochens, H. Lithium Brines: A Global Perspective. In Rare Earth and Critical Elements in Ore Deposits; Verplanck, P.L., Hitzman, M.W., Eds.; Society of Economic Geologists: Littleton, CO, USA, 2016; Volume 18. [Google Scholar] [CrossRef]
  124. Kim, T.Y.; Gould, T.; Bennet, S.; Briens, F.; Dasgupta, A.; Gonzales, P. The Role of Critical Minerals in Clean Energy Transitions; International Energy Agency: Washington, DC, USA, 2021. [Google Scholar]
  125. Liu, C.; Li, Y.; Lin, D.; Hsu, P.-C.; Liu, B.; Yan, G.; Wu, T.; Cui, Y.; Chu, S. Lithium Extraction from Seawater through Pulsed Electrochemical Intercalation. Joule 2020, 4, 1459–1469. [Google Scholar] [CrossRef]
  126. Zhu, Y.; Xu, Y.; Liu, Y.; Luo, C.; Wang, C. Comparison of Electrochemical Performances of Olivine NaFePO4 in Sodium-Ion Batteries and Olivine LiFePO4 in Lithium-Ion Batteries. Nanoscale 2013, 5, 780–787. [Google Scholar] [CrossRef] [PubMed]
  127. Dixit, M.; Engel, H.; Eitan, R.; Aurbach, D.; Levi, M.D.; Kosa, M.; Major, D.T. Classical and Quantum Modeling of Li and Na Diffusion in FePO4. J. Phys. Chem. C 2015, 119, 15801–15809. [Google Scholar] [CrossRef]
  128. Yu, J.; Fang, D.; Zhang, H.; Leong, Z.Y.; Zhang, J.; Li, X.; Yang, H.Y. Ocean Mining: A Fluidic Electrochemical Route for Lithium Extraction from Seawater. ACS Mater. Lett. 2020, 2, 1662–1668. [Google Scholar] [CrossRef]
  129. Anticipated Demand for Battery Minerals Creates Excitement in Québec|E & MJ. Available online: https://www.e-mj.com/news/australia-and-oceania/anticipated-demand-for-battery-minerals-creates-excitement-in-quebec/ (accessed on 12 October 2023).
  130. Ibarra-Gutiérrez, S.; Bouchard, J.; Laflamme, M.; Fytas, K. Assessing the Potential of Quebec Lithium Industry: Mineral Reserves, Lithium-Ion Batteries Production and Greenhouse Gas Emissions. Resour. Policy 2021, 74, 102371. [Google Scholar] [CrossRef]
  131. Campagnol, N.; Hoffman, K.; Lala, A.; Ramsbottom, O. The Future of Nickel: A Class Act; Basic Materials November 2017; McKinsey & Company: Chicago, IL, USA, 20 November 2017. [Google Scholar]
  132. Nickel Statistics and Information|U.S. Geological Survey. Available online: https://www.usgs.gov/centers/national-minerals-information-center/nickel-statistics-and-information (accessed on 8 February 2024).
  133. Carmen. The Five Largest Nickel Mines in Operation in Canada. Mining Technology. Available online: https://www.mining-technology.com/marketdata/five-largest-nickel-mines-canada/ (accessed on 8 February 2024).
  134. Natural Resources Canada. Nickel Facts. Available online: https://natural-resources.canada.ca/our-natural-resources/minerals-mining/minerals-metals-facts/nickel-facts/20519 (accessed on 8 February 2024).
  135. Ev-Battery-Supply-Chains-Report.Pdf. Available online: https://www.nrdc.org/sites/default/files/2023-07/ev-battery-supply-chains-report.pdf (accessed on 2 October 2023).
  136. Kelly, J.C.; Dai, Q.; Wang, M. Globally Regional Life Cycle Analysis of Automotive Lithium-Ion Nickel Manganese Cobalt Batteries. Mitig. Adapt. Strateg. Glob. Change 2020, 25, 371–396. [Google Scholar] [CrossRef]
  137. Clarke, C.; Upson, S. A Global Portrait of the Manganese Industry—A Socioeconomic Perspective. NeuroToxicology 2017, 58, 173–179. [Google Scholar] [CrossRef]
  138. Winjobi, O.; Kelly, J.C.; Dai, Q. Life-Cycle Analysis, by Global Region, of Automotive Lithium-Ion Nickel Manganese Cobalt Batteries of Varying Nickel Content. Sustain. Mater. Technol. 2022, 32, e00415. [Google Scholar] [CrossRef]
  139. Natural Resources Canada. Cobalt Facts. Available online: https://natural-resources.canada.ca/our-natural-resources/minerals-mining/mining-data-statistics-and-analysis/minerals-metals-facts/cobalt-facts/24981 (accessed on 8 February 2024).
  140. Canada: Cobalt Production by Province 2022|Statista. Available online: https://www.statista.com/statistics/434662/estimate-of-cobalt-production-in-canada-by-province/ (accessed on 8 February 2024).
  141. Sadeghian, A.; Iqbal, N. A Review on Dissimilar Laser Welding of Steel-Copper, Steel-Aluminum, Aluminum-Copper, and Steel-Nickel for Electric Vehicle Battery Manufacturing. Opt. Laser Technol. 2022, 146, 107595. [Google Scholar] [CrossRef]
  142. Aluminum Statistics and Information|U.S. Geological Survey. Available online: https://www.usgs.gov/centers/national-minerals-information-center/aluminum-statistics-and-information (accessed on 9 February 2024).
  143. The Industry. Aluminium.ca. Available online: https://aluminium.ca/en/the-industry/ (accessed on 8 February 2024).
  144. Natural Resources Canada. Aluminum Facts. Available online: https://natural-resources.canada.ca/our-natural-resources/minerals-mining/mining-data-statistics-and-analysis/minerals-metals-facts/aluminum-facts/20510 (accessed on 8 February 2024).
  145. Material and Energy Flows in the Production of Cathode and Anode Materialsfor Lithium Ion Batteries. Available online: https://publications.anl.gov/anlpubs/2015/10/121442.pdf (accessed on 10 October 2023).
  146. Dees, D. Enabling High-Energy/Voltage Lithium-Ion Cells: Materials Characterization. Available online: https://www.energy.gov/sites/prod/files/2016/06/f32/es252_dees_2016_o_web.pdf (accessed on 10 October 2023).
  147. Manufacturing of Lithium-Ion Battery Cell Components. Available online: https://www.pem.rwth-aachen.de/global/show_document.asp?id=aaaaaaaaaffpnvh (accessed on 3 October 2023).
  148. Chen, S.; Niu, C.; Lee, H.; Li, Q.; Yu, L.; Xu, W.; Zhang, J.-G.; Dufek, E.J.; Whittingham, M.S.; Meng, S.; et al. Critical Parameters for Evaluating Coin Cells and Pouch Cells of Rechargeable Li-Metal Batteries. Joule 2019, 3, 1094–1105. [Google Scholar] [CrossRef]
  149. Marks, T.; Trussler, S.; Smith, A.J.; Xiong, D.; Dahn, J.R. A Guide to Li-Ion Coin-Cell Electrode Making for Academic Researchers. J. Electrochem. Soc. 2010, 158, A51. [Google Scholar] [CrossRef]
  150. House Committee on Natural Resources. Available online: https://naturalresources.house.gov/uploadedfiles/testimony_hollomon.pdf (accessed on 26 October 2024).
  151. Zero Waste & Low Energy Lithium Processing Provisional Patent Filed & Proposed Plant Engineering Study Initiated. Insidexploration. Available online: https://insidexploration.com/zero-waste-low-energy-lithium-processing-provisional-patent-filed-proposed-plant-engineering-study-initiated/ (accessed on 10 February 2024).
  152. Qian, G.; Li, Z.; Wang, Y.; Xie, X.; He, Y.; Li, J.; Zhu, Y.; Xie, S.; Cheng, Z.; Che, H.; et al. Value-Creating Upcycling of Retired Electric Vehicle Battery Cathodes. Cell Rep. Phys. Sci. 2022, 3, 100741. [Google Scholar] [CrossRef]
  153. Marchese, D.; Giosuè, C.; Staffolani, A.; Conti, M.; Orcioni, S.; Soavi, F.; Cavalletti, M.; Stipa, P. An Overview of the Sustainable Recycling Processes Used for Lithium-Ion Batteries. Batteries 2024, 10, 27. [Google Scholar] [CrossRef]
  154. Do, M.P.; Jegan Roy, J.; Cao, B.; Srinivasan, M. Green Closed-Loop Cathode Regeneration from Spent NMC-Based Lithium-Ion Batteries through Bioleaching. ACS Sustain. Chem. Eng. 2022, 10, 2634–2644. [Google Scholar] [CrossRef]
  155. Gaines, L. Life-Cycle Analysis for Lithium-Ion Battery Production and Recycling; Argonne National Laboratory: Argonne, IL, USA, 2011. [Google Scholar]
  156. Qiao, D.; Ma, Y.; Bao, Y.; Hong, Y.; Batunacun; Narenmandula; Dai, T. Exploring the Potential Impact of Electric Passenger Vehicle Battery Recycling on China’s Cobalt Supply and Demand under the Goals of Carbon Peaking and Carbon Neutrality during 2010–2060. J. Clean. Prod. 2024, 444, 141139. [Google Scholar] [CrossRef]
  157. Gonzales-Calienes, G.; Kannangara, M.; Bensebaa, F. Economic and Environmental Viability of Lithium-Ion Battery Recycling—Case Study in Two Canadian Regions with Different Energy Mixes. Batteries 2023, 9, 375. [Google Scholar] [CrossRef]
  158. Kendall, A.; Slattery, M.; Dunn, J. End of Life EV Battery Policy Simulator: A Dynamic Systems, Mixed-Methods Approach; National Center for Sustainable Transportation: Davis, CA, USA, 2024. [Google Scholar] [CrossRef]
  159. Gohlke, D.; Zhou, Y.; Wu, X.; Courtney, C. Assessment of Light-Duty Plug-in Electric Vehicles in the United States, 2010–2020; Argonne National Lab (ANL): Argonne, IL, USA, 2021. [Google Scholar]
  160. Klier, T.; Rubenstein, J.M. North America’s Rapidly Growing Electric Vehicle Market: Implications for the Geography of Automotive Production. Rochester, NY, USA, 1 December 2022. Available online: https://papers.ssrn.com/abstract=4291029 (accessed on 2 October 2023).
  161. Chandrasekharam, D.; Şener, M.F.; Recepoğlu, Y.K.; Isık, T.; Demir, M.M.; Baba, A. Lithium: An Energy Transition Element, Its Role in the Future Energy Demand and Carbon Emissions Mitigation Strategy. Geothermics 2024, 119, 102959. [Google Scholar] [CrossRef]
  162. Das, J.; Kleiman, A.; Rehman, A.U.; Verma, R.; Young, M.H. The Cobalt Supply Chain and Environmental Life Cycle Impacts of Lithium-Ion Battery Energy Storage Systems. Sustainability 2024, 16, 1910. [Google Scholar] [CrossRef]
  163. Dunn, J.B.; Gaines, L.; Kelly, J.C.; James, C.; Gallagher, K.G. The Significance of Li-Ion Batteries in Electric Vehicle Life-Cycle Energy and Emissions and Recycling’s Role in Its Reduction. Energy Environ. Sci. 2015, 8, 158–168. [Google Scholar] [CrossRef]
  164. Kim, J.; Amine, K. A Comparative Study on the Substitution of Divalent, Trivalent and Tetravalent Metal Ions in LiNi1−xMxO2 (M = Cu2+, Al3+ and Ti4+). J. Power Sources 2002, 104, 33–39. [Google Scholar] [CrossRef]
  165. Kim, J.; Lee, H.; Cha, H.; Yoon, M.; Park, M.; Cho, J. Prospect and Reality of Ni-Rich Cathode for Commercialization. Adv. Energy Mater. 2018, 8, 1702028. [Google Scholar] [CrossRef]
  166. Bibra, E.M.; Connelly, E.; Gorner, M.; Lowans, C.; Paoli, L.; Tattini, J.; Teter, J. Global EV Outlook 2021: Accelerating Ambitions Despite the Pandemic; TRB: Washington, DC, USA, 2021. [Google Scholar]
  167. Dai, Q.; Kelly, J.C.; Gaines, L.; Wang, M. Life Cycle Analysis of Lithium-Ion Batteries for Automotive Applications. Batteries 2019, 5, 48. [Google Scholar] [CrossRef]
  168. Gaines, L. Lithium-Ion Battery Recycling Processes: Research towards a Sustainable Course. Sustain. Mater. Technol. 2018, 17, e00068. [Google Scholar] [CrossRef]
  169. Emilsson, E.; Dahllöf, L. Lithium-Ion Vehicle Battery Production–Status 2019 on Energy Use, CO2 Emissions, Use of Metals, Products Environmental Footprint, and Recycling; IVL Svenska Miljöinstitutet: Stockholm, Sweden, 2019. [Google Scholar]
  170. Lewrén, A. Life Cycle Assessment of Nickel-Rich Lithium-Ion Battery for Electric Vehicles A Comparatative LCA Between the Cathode Chemistries NMC 333 and NMC 622; Chalmers ODR: Stockholm, Sweden, 2019. [Google Scholar]
  171. Lampert, D.J.; Cai, H.; Elgowainy, A. Wells to Wheels: Water Consumption for Transportation Fuels in the United States. Energy Environ. Sci. 2016, 9, 787–802. [Google Scholar] [CrossRef]
  172. Jacob, M.; Wissel, K.; Clemens, O. Recycling of Solid-State Batteries—Challenge and Opportunity for a Circular Economy? Mater. Futures 2024, 3, 012101. [Google Scholar] [CrossRef]
  173. Slattery, M.; Dunn, J.; Kendall, A. Charting the Electric Vehicle Battery Reuse and Recycling Network in North America. Waste Manag. 2024, 174, 76–87. [Google Scholar] [CrossRef]
  174. Osaka, S. Analysis|The Obsession with EV Range Is All Wrong. Washington Post. 19 July 2023. Available online: https://www.washingtonpost.com/climate-solutions/2023/07/07/ev-range-anxiety-battery-myth/ (accessed on 16 October 2023).
  175. What’s the Real World Highway Range of Today’s Electric Cars? We Test to Find Out. InsideEVs. Available online: https://insideevs.com/reviews/443791/ev-range-test-results/ (accessed on 16 October 2023).
  176. Yee, M.S. Promoting Electric Vehicles as the Silver Bullet for Tackling Climate Change. In Climate and Energy Governance for a Sustainable Future; Leal-Arcas, R., Ed.; Climate Change Management; Springer Nature: Singapore, 2023; pp. 157–170. [Google Scholar] [CrossRef]
  177. Neshat, N.; Kaya, M.; Ghaboulian Zare, S. Exploratory Policy Analysis for Electric Vehicle Adoption in European Countries: A Multi-Agent-Based Modelling Approach. J. Clean. Prod. 2023, 414, 137401. [Google Scholar] [CrossRef]
  178. Rasbash, D.; Dillman, K.J.; Heinonen, J.; Ásgeirsson, E.I. A National and Regional Greenhouse Gas Breakeven Assessment of EVs across North America. Sustainability 2023, 15, 2181. [Google Scholar] [CrossRef]
  179. Issa, M.; Ilinca, A.; Rousse, D.R.; Boulon, L.; Groleau, P. Renewable Energy and Decarbonization in the Canadian Mining Industry: Opportunities and Challenges. Energies 2023, 16, 6967. [Google Scholar] [CrossRef]
  180. Shang, H.; Sun, Y.; Huang, D.; Meng, F. Life Cycle Assessment of Atmospheric Environmental Impact on the Large-Scale Promotion of Electric Vehicles in China. Resour. Environ. Sustain. 2024, 15, 100148. [Google Scholar] [CrossRef]
  181. Sankar, T.K.; Abhilash; Meshram, P. Environmental Impact Assessment in the Entire Life Cycle of Lithium-Ion Batteries. Rev. Environ. Contam. Toxicol. 2024, 262, 5. [Google Scholar] [CrossRef]
  182. Jannesar Niri, A.; Poelzer, G.A.; Zhang, S.E.; Rosenkranz, J.; Pettersson, M.; Ghorbani, Y. Sustainability Challenges throughout the Electric Vehicle Battery Value Chain. Renew. Sustain. Energy Rev. 2024, 191, 114176. [Google Scholar] [CrossRef]
  183. Aubertin, A.; Axsen, J.; Gunster, S. Electric Vehicles for Climate, a Green Economy, or Independence? Comparing Policy Discourse in Newspapers across Three Canadian Provinces. Energy Res. Soc. Sci. 2024, 108, 103353. [Google Scholar] [CrossRef]
  184. Niu, B.; Xu, H.; Mu, Z. To Divide or Not to Divide: Impact of Carbon Market Connections on Firms’ Resilient Profitability and Emission Reduction. Int. J. Prod. Econ. 2024, 270, 109167. [Google Scholar] [CrossRef]
  185. Bellan, R. Tracking the EV Battery Factory Construction Boom Across North America. TechCrunch. Available online: https://techcrunch.com/2023/08/16/tracking-the-ev-battery-factory-construction-boom-across-north-america/ (accessed on 30 January 2024).
  186. Gu, X.; Bai, H.; Cui, X.; Zhu, J.; Zhuang, W.; Li, Z.; Hu, X.; Song, Z. Challenges and Opportunities for Second-Life Batteries: Key Technologies and Economy. Renew. Sustain. Energy Rev. 2024, 192, 114191. [Google Scholar] [CrossRef]
  187. A Vision for a Sustainable Battery Value Chain in 2030 Unlocking the Full Potential to Power Sustainable Development and Climate Change Mitigation. Available online: https://www3.weforum.org/docs/WEF_A_Vision_for_a_Sustainable_Battery_Value_Chain_in_2030_Report.pdf (accessed on 19 September 2023).
  188. Kellen. SP’s 1st Quarter Meeting of 2020 Held at Honda of Alabama. Suppliers Partnership for the Environment. Available online: https://www.supplierspartnership.org/meetings/sps-1st-quarter-meeting-of-2020-held-at-honda-of-alabama/ (accessed on 8 February 2024).
  189. Shahzad, K.; Helo, P.; Ranta, M.; Nousiainen, E. Blockchain Technology for Operational Excellence and Supply Chain Resilience: A Framework Based on Use Cases and an Architecture Demonstration. Technol. Anal. Strateg. Manag. 2024, 1–18. [Google Scholar] [CrossRef]
  190. SP Responsible Battery Work Group. Suppliers Partnership for the Environment. Available online: https://www.supplierspartnership.org/responsible-battery-work-group/ (accessed on 8 February 2024).
Figure 1. North American investments in the electric vehicle (EV) battery industry (January 2024) [20].
Figure 1. North American investments in the electric vehicle (EV) battery industry (January 2024) [20].
Batteries 10 00377 g001
Figure 2. EV plant investments in Canada (Quebec and Ontario) (redesigned) [26].
Figure 2. EV plant investments in Canada (Quebec and Ontario) (redesigned) [26].
Batteries 10 00377 g002
Figure 3. (a) Annual demand (millions) estimate for EVs worldwide [8]. (b) Global demand of batteries for light-duty vehicles [41]. (c) Increase in NMC111, NMC622, and NMC811 battery demand over time [42].
Figure 3. (a) Annual demand (millions) estimate for EVs worldwide [8]. (b) Global demand of batteries for light-duty vehicles [41]. (c) Increase in NMC111, NMC622, and NMC811 battery demand over time [42].
Batteries 10 00377 g003
Figure 4. History of lithium-ion batteries (LIBs) (redesigned) [45].
Figure 4. History of lithium-ion batteries (LIBs) (redesigned) [45].
Batteries 10 00377 g004
Figure 5. Cathode chemical structures (redesigned) [51,52].
Figure 5. Cathode chemical structures (redesigned) [51,52].
Batteries 10 00377 g005
Figure 6. (a) Graphical representation of Table 1: Specific capacity (mA g−1), specific energy (Wh kg−1), and cost/kg of LCO, LMO, NMC, LFP, and NCA cathodes [75,76,77]. (b) Important NMC parameters [78].
Figure 6. (a) Graphical representation of Table 1: Specific capacity (mA g−1), specific energy (Wh kg−1), and cost/kg of LCO, LMO, NMC, LFP, and NCA cathodes [75,76,77]. (b) Important NMC parameters [78].
Batteries 10 00377 g006
Figure 7. (a,c,e) Summary of the charge and discharge cut-off voltages and current densities and (b,d) their effects on the discharge capacity of the LiNixMnyCo1−x−yO2 cathode material [47].
Figure 7. (a,c,e) Summary of the charge and discharge cut-off voltages and current densities and (b,d) their effects on the discharge capacity of the LiNixMnyCo1−x−yO2 cathode material [47].
Batteries 10 00377 g007
Figure 8. Dendrite formation based on material properties and different chemistries [77].
Figure 8. Dendrite formation based on material properties and different chemistries [77].
Batteries 10 00377 g008
Figure 9. Review on the synthesis of LiNixMnyCo1−x−yO2 (NMC) cathodes for LIBs (redesigned) [47].
Figure 9. Review on the synthesis of LiNixMnyCo1−x−yO2 (NMC) cathodes for LIBs (redesigned) [47].
Batteries 10 00377 g009
Figure 10. Evolution of battery chemistry using a recursive model of average Co content (g/kWh) and average LIB size (kWh) [101].
Figure 10. Evolution of battery chemistry using a recursive model of average Co content (g/kWh) and average LIB size (kWh) [101].
Batteries 10 00377 g010
Figure 11. Critical minerals (Li, Mn, Co, and Ni) used in NMC cathodes.
Figure 11. Critical minerals (Li, Mn, Co, and Ni) used in NMC cathodes.
Batteries 10 00377 g011
Figure 12. Critical mineral supplies based on battery chemistry [114] with NMC, NCA, and LFP chemistries are represented by blue-, yellow-, and rust-colored bars, respectively. Bars that fall within areas that are shaded in gray, yellow, or green, respectively, represent inadequate, limited, and sufficient mineral supply.
Figure 12. Critical mineral supplies based on battery chemistry [114] with NMC, NCA, and LFP chemistries are represented by blue-, yellow-, and rust-colored bars, respectively. Bars that fall within areas that are shaded in gray, yellow, or green, respectively, represent inadequate, limited, and sufficient mineral supply.
Batteries 10 00377 g012
Figure 13. (a) Spodumene (hard rock ore mining) (redesigned) [117]. (b) Open-pit hard rock mining of α-spodumene [118]. (c) Transformation of lithium from α-spodumene to β-spodumene via roasting to achieve Li2CO3 [117].
Figure 13. (a) Spodumene (hard rock ore mining) (redesigned) [117]. (b) Open-pit hard rock mining of α-spodumene [118]. (c) Transformation of lithium from α-spodumene to β-spodumene via roasting to achieve Li2CO3 [117].
Batteries 10 00377 g013
Figure 14. (a) Traditional Li extraction from salt brine lakes [119]. (b.1) “Lithium triangle” in South America (Source: ResearchGate) in a world map of lithium brine deposits. (b.2) Direct Li extraction from brines [120]. (c) Li salt brine extraction in South America [121].
Figure 14. (a) Traditional Li extraction from salt brine lakes [119]. (b.1) “Lithium triangle” in South America (Source: ResearchGate) in a world map of lithium brine deposits. (b.2) Direct Li extraction from brines [120]. (c) Li salt brine extraction in South America [121].
Batteries 10 00377 g014
Figure 15. Extraction of lithium from sea water (purple equals sea water with Li+ and without Li+ [126].
Figure 15. Extraction of lithium from sea water (purple equals sea water with Li+ and without Li+ [126].
Batteries 10 00377 g015
Figure 16. Canadian Li projects during 2021–2022 [32].
Figure 16. Canadian Li projects during 2021–2022 [32].
Batteries 10 00377 g016
Figure 17. Critical mineral-rich regions of Canada [30].
Figure 17. Critical mineral-rich regions of Canada [30].
Batteries 10 00377 g017
Figure 18. Canadian government critical mineral list [30].
Figure 18. Canadian government critical mineral list [30].
Batteries 10 00377 g018
Figure 19. Cobalt production in Canada by province [140].
Figure 19. Cobalt production in Canada by province [140].
Batteries 10 00377 g019
Figure 20. Alumina refinery and smelters located in Canada [144].
Figure 20. Alumina refinery and smelters located in Canada [144].
Batteries 10 00377 g020
Figure 21. Basic functionality and mechanism of an LIB (redesigned) [73].
Figure 21. Basic functionality and mechanism of an LIB (redesigned) [73].
Batteries 10 00377 g021
Figure 22. Battery cradle-to-gate schematic (redesigned) [145].
Figure 22. Battery cradle-to-gate schematic (redesigned) [145].
Batteries 10 00377 g022
Figure 23. NMC cathode manufacturing (redesigned) [75].
Figure 23. NMC cathode manufacturing (redesigned) [75].
Batteries 10 00377 g023
Figure 24. Li-ion transfer on NMC cathode layers.
Figure 24. Li-ion transfer on NMC cathode layers.
Batteries 10 00377 g024
Figure 25. Synthesis of NMC cathode precursors from Ni, Co, and Mn salts [47].
Figure 25. Synthesis of NMC cathode precursors from Ni, Co, and Mn salts [47].
Batteries 10 00377 g025
Figure 26. Schematic of a typical coin cell assembly.
Figure 26. Schematic of a typical coin cell assembly.
Batteries 10 00377 g026
Figure 27. Typical Li-ion pouch cell manufacturing process [7].
Figure 27. Typical Li-ion pouch cell manufacturing process [7].
Batteries 10 00377 g027
Figure 28. Amounts (kg kWh1) of Li, Co, Ni, and Mn required by various cathode chemistries [57].
Figure 28. Amounts (kg kWh1) of Li, Co, Ni, and Mn required by various cathode chemistries [57].
Batteries 10 00377 g028
Figure 29. (a) Model for closed-loop recycling (redesigned) [135] and (b) typical methods for LIB recycling.
Figure 29. (a) Model for closed-loop recycling (redesigned) [135] and (b) typical methods for LIB recycling.
Batteries 10 00377 g029
Figure 30. Standard process of NMC cathode material recycling [157].
Figure 30. Standard process of NMC cathode material recycling [157].
Batteries 10 00377 g030
Figure 32. Mine (upstream) to electric vehicle (downstream) material flow [135].
Figure 32. Mine (upstream) to electric vehicle (downstream) material flow [135].
Batteries 10 00377 g032
Figure 33. CO2 emissions generated from LIB production based on the country [131,139].
Figure 33. CO2 emissions generated from LIB production based on the country [131,139].
Batteries 10 00377 g033
Figure 34. Average vehicle trips in the US [174].
Figure 34. Average vehicle trips in the US [174].
Batteries 10 00377 g034
Figure 35. Driving range of electric vehicles currently being sold in the US (redesigned) [175].
Figure 35. Driving range of electric vehicles currently being sold in the US (redesigned) [175].
Batteries 10 00377 g035
Figure 36. Battery traceability “passport” portion of the poster presented (a) overview and (b) detail view (Vegh et al., 2023; Concordia University; Chemical and Materials Engineering Department) at International Workshop on the Characterization and Quantification of Lithium, from Mirco- to Nano-Scale, from Mining to Energy; Paris, June 2023 [1]. Proposed “battery passport” from cell to pack to vehicle to end-of-life.
Figure 36. Battery traceability “passport” portion of the poster presented (a) overview and (b) detail view (Vegh et al., 2023; Concordia University; Chemical and Materials Engineering Department) at International Workshop on the Characterization and Quantification of Lithium, from Mirco- to Nano-Scale, from Mining to Energy; Paris, June 2023 [1]. Proposed “battery passport” from cell to pack to vehicle to end-of-life.
Batteries 10 00377 g036
Figure 37. Proposed method for digitizing the LIB cell data “Big data” via blockchain.
Figure 37. Proposed method for digitizing the LIB cell data “Big data” via blockchain.
Batteries 10 00377 g037
Table 1. Specific capacity (mAg1), specific energy (Wh kg1), and cost kg1 of LCO, LMO, NMC, LFP, and NCA cathodes with advantages and disadvantages [75,76,77].
Table 1. Specific capacity (mAg1), specific energy (Wh kg1), and cost kg1 of LCO, LMO, NMC, LFP, and NCA cathodes with advantages and disadvantages [75,76,77].
ReferenceChemical FormulaAbbreviationSpecific Capacity (mA g−1)Specific Energy (Wh kg−1 vs. Li Metal)Cost kg−1Advantage(s)Disadvantage(s)
[72]LiCoO2LCO12361035High energy densityHigh cost and moderate stability
[71]LiMn2O4LMO10040514Low cost and high-power densityLower energy density and accelerated capacity fade
[75,79,80] LiNixMnyCo1−x−yO2NMC20067527Performs well in all metricsModerate cost and moderate stability
[72]LiFePO4LFP17051521High-power density and very stableLower energy density
[74]LiNixCoyAl1−x−yO2NCA18626033High energy densityHigh cost and moderate stability
Table 2. Safe operating parameters for the NMC cathode [77].
Table 2. Safe operating parameters for the NMC cathode [77].
NMC Cathode Operating Parameters
Operation2–4 V
Charging0–45 °C
Discharging−20–55 °C
Electrolyte decomposition70 °C
Solid-phase electrolyte (SEI) decomposes90–120 °C
Production of flammable gases>120 °C
Separator melts130 °C
Cathode material decomposes150 °C
Thermal runaway (self-heating)10 C/min *
11
* When a cell is under thermal runaway, temperature increases at a rate of 10 °C per minute.
Table 3. Assumptions of recursive model for the evolution of the NMC cathode [101].
Table 3. Assumptions of recursive model for the evolution of the NMC cathode [101].
Cathode 2010 2015 2020 2025 2030 2035 2040
NMC NMC111 (45%) NMC111 (35%) NMC111 (40%) NMC111 (20%) NMC111 (10%)
NMC532 (55%) NMC532 (50%) NMC532 (30%) NMC532 (50%) NMC532 (35%)
NMC622 (205) NMC622 (25%) NMC622 (30%) NMC622 (35%)
NMC811 (<5%) NMC811 (<5%) NMC811 (10%) NMC811 (20%)
kg Co per Battery 6.34 10.8 13.39 15.17 14.68
Battery Size kWh (extrapolated) * 25 43 55 67 80 92 105
NCA ** 83% Nickel (Ni) (100%) 83% Ni (100%) 83% Ni (48%) 83% Ni (40%) 83% Ni (25%)
87% Ni (52%) 87% Ni (45%) 87% Ni (40%)
90% Ni (15%) 90% Ni (35%)
Recovery Rate 46.50% 50% 70% 75% 80%
Collection Rate *** 20% 50% 60% 75% 85%
* As forecast in Aviceene report. ** Based on EIA 2020. *** Fraction of spent batteries obtained for recycling in year t.
Table 4. North America’s rapidly growing electric vehicle market: implications for the geography of automotive production [160].
Table 4. North America’s rapidly growing electric vehicle market: implications for the geography of automotive production [160].
Battery Pack Plants in North America Operating and Announced Since November 2022
Battery Company Location Automaker Customer Production Start Year
CATL Ciudad Juárez, Chihuahua, Mexico Ford, Tesla TBD
CATL Big Rapids, Michigan BMW, Ford 2026
Envision AESC Bowling Green, Kentucky Mercedes 2025
Envision AESC Smyrna, Tennessee Nissan 2012
Envision AESC Woodruff, South Carolina BMW TBD
iM3NY Endicott, New York TBD 2022
LG Chem Queen Creek, Arizona TBD 2024
LG Chem New Castle, Indiana GMs TBD
LG Chem Lansing, Michigan GMs2024
LG Chem Holland, Michigan GMs2011
LG Chem Lordstown, Ohio GMs2022
LG Chem Jeffersonville, Ohio Honda 2025
LG Chem Windsor, Ontario, Canada Stellantis 2024
LG Chem Spring Hill, Tennessee GMs 2023
Mercedes Woodstock, Alabama Mercedes TBD
Microvast Clarksville, Tennessee TBD 2022
ONE Van Buren Township, Michigan TBD 2024
Panasonic De Soto, Kansas Tesla 2025
Panasonic Sparks, Nevada Tesla, others 2016
Panasonic TBD, Oklahoma Tesla TBD
Samsung Kokomo, Indiana Stellantis 2025
SKI Commerce, Georgia Ford, VW 2022
SKI Glendale, Kentucky Ford 2025
SKI Glendale, Kentucky Ford 2026
SKI Stanton, Tennessee Ford 2025
Tesla Fremont, California Tesla 2022
Tesla Austin, Texas Telsa TBD
TBMNC Liberty, North Carolina Toyota 2025
VinFast Sanford, North Carolina VinFast 2023
VW Chattanooga, Tennessee VW 2022
Notes: TBD means to be determined. Unless indicated otherwise, the locations are within the US. BMW refers to Bavarian Motor Works; CATL, Contemporary Amperex Technology Co., Limited; Envision AESC, Envision Automotive Energy Supply Corporation; GMs, General Motors; ONE, Our Next Energy; SKI, SK Innovation; TBMNC Toyota Battery Manufacturing, North Carolina; and VW, Volkswagen. Sources: Battery company websites and Plante and Rindels (2022).
Table 5. Sample CO2 emissions from different processes [101,130,138].
Table 5. Sample CO2 emissions from different processes [101,130,138].
ReferenceProcess ParameterCO2 Emissions
(kg CO2 Eq/kg)
[94] NMC emissions (virgin raw material)8.9
[129]CoSO4 (cathode active material; (pCAM))6.73
[129]NiSO4 (pCAM)8.61
[120]Electricity power (concrentration plant) to produce LiOH monohydrate (raw material) from spodumene0.00254
[120]Electricity power (electrochemical plant) to produce LiOH monohydrate (raw material) from spodumene0.01095
[120]Natural gas (electrochemical plant) to produce LiOH monohydrate (raw material) from spodumene1.861
Table 6. CO2, SOx, and water consumption [101,130,138].
Table 6. CO2, SOx, and water consumption [101,130,138].
ReferenceProcess
Parameter
CO2 Emissions kg CO2 Eq Kwh−1CO2 Emissions kgSOX Emissions Increase Relative to NMC111Water
Consumption
Overall Emissions
[120,129]NMC811
Assembly of single lithium-ion battery
55.1141.5142%12%
[129]NMC11159.1 44%
[129]NMC532 130%28%
[129]NMC622 130%27%
[120] (LIB) 141.5
[94]NMC cathode (recycling; hydrometallurgy) >23%
[94]NMC cathode (recycling; pyrometallurgy) 0%
Table 7. GHG emissions with respect to process in the production of lithium hydroxide monohydrate (LiOH·H2O) from spodumene in the Whabouchi mine, Quebec [130].
Table 7. GHG emissions with respect to process in the production of lithium hydroxide monohydrate (LiOH·H2O) from spodumene in the Whabouchi mine, Quebec [130].
GHG Emissions to Produce 1 Ton Lithium Hydroxide Monohydrate from Spodumene
ProcessAmountEmissions
Spodumene concentrate5.81 t
Lithium sulfate0.054 t
Electricity power (concentration plant)7610 MJ2.54 kg CO2
Electricity power (electrochemical plant)32.85 GJ10.95 kg CO2
Natural gas (electrochemical plant)36.35 GJ1861.14 kg CO2
Total69.21 GJ1874.63 CO2
Table 8. Canadian mines that have adopted fully electrified vehicles [179].
Table 8. Canadian mines that have adopted fully electrified vehicles [179].
Project Operator/Owner Fleet Description
Borden Lake, Ontario Goldcorp Canada’s first fully electric underground mine (fully electric fleet)
Macassa Mone in Kirkland Lake, Ontario Agnico Eagle Twenty-two battery electric scoops with 6 X Z50 trucks (a 50-tonne battery-powered haul truck)
Onaping Depth Nickel–Copper Project, Ontario Glencore Canada Entire fleet of Epiroc battery–electric mining equipment (scoop tram loader, Minestruck hauler, Boomer fac drilling rig, Cabletec rock bolting rig, and drill rig)
Lamaque Gold Mine, Quebec Eldorado Gold Two Sandvik TH550B battery–electric trucks
NMG open-pit, Quebec Nouveau Monde Graphite One X 40-tonne Western Star 6900XD
Brucejack Mine, British Columbia Newcrest Mining Twelve electric haul trucks
Mcllvena Bay Project, Saskatchewan Foran Mining Corporation Fleet of 20 BEVs, including trucks, loaders, and drill
BHP Jansen Potash Project, Saskatchewan BHP Group Ten underground battery–electric loaders and one electric tethered loader
Disclaimer/Publisher’s Note: The statements, opinions and data contained in all publications are solely those of the individual author(s) and contributor(s) and not of MDPI and/or the editor(s). MDPI and/or the editor(s) disclaim responsibility for any injury to people or property resulting from any ideas, methods, instructions or products referred to in the content.

Share and Cite

MDPI and ACS Style

Vegh, G.; Madikere Raghunatha Reddy, A.K.; Li, X.; Deng, S.; Liu, T.; Amine, K.; Zaghib, K. North America’s Potential for an Environmentally Sustainable Nickel, Manganese, and Cobalt Battery Value Chain. Batteries 2024, 10, 377. https://doi.org/10.3390/batteries10110377

AMA Style

Vegh G, Madikere Raghunatha Reddy AK, Li X, Deng S, Liu T, Amine K, Zaghib K. North America’s Potential for an Environmentally Sustainable Nickel, Manganese, and Cobalt Battery Value Chain. Batteries. 2024; 10(11):377. https://doi.org/10.3390/batteries10110377

Chicago/Turabian Style

Vegh, Gary, Anil Kumar Madikere Raghunatha Reddy, Xia Li, Sixu Deng, Tongchao Liu, Khalil Amine, and Karim Zaghib. 2024. "North America’s Potential for an Environmentally Sustainable Nickel, Manganese, and Cobalt Battery Value Chain" Batteries 10, no. 11: 377. https://doi.org/10.3390/batteries10110377

APA Style

Vegh, G., Madikere Raghunatha Reddy, A. K., Li, X., Deng, S., Liu, T., Amine, K., & Zaghib, K. (2024). North America’s Potential for an Environmentally Sustainable Nickel, Manganese, and Cobalt Battery Value Chain. Batteries, 10(11), 377. https://doi.org/10.3390/batteries10110377

Note that from the first issue of 2016, this journal uses article numbers instead of page numbers. See further details here.

Article Metrics

Back to TopTop