Abstract
Polybenzoxazines (PBZs) have garnered significant attention as a versatile class of precursors for the development of advanced carbon-based materials, particularly in the field of electrochemical energy storage. This review comprehensively examines recent progress in the synthesis, structural design, and application of polybenzoxazine-derived materials for supercapacitor electrodes. Owing to their intrinsic nitrogen content, tunable functionality, and excellent thermal and mechanical stability, polybenzoxazines serve as ideal precursors for producing nitrogen-doped porous carbons with high surface areas and desirable electrochemical properties. This review discusses the influence of molecular design, polymerization conditions, and carbonization parameters on the resulting microstructure and performance of the materials. Furthermore, the electrochemical behavior of these materials in both electric double-layer capacitors (EDLCs) and pseudocapacitors is analyzed in detail. Challenges such as optimizing pore architecture, improving conductivity, and achieving scalable synthesis are also addressed. This article highlights emerging trends and offers perspectives on the future development of polybenzoxazine-derived materials for next-generation high-performance supercapacitors.
1. Introduction
The heavy dependence on traditional fossil fuels has caused significant environmental issues. Consequently, there is an urgent demand for clean energy conversion and storage solutions to enhance energy security and build sustainable, carbon-free power systems, which are essential steps toward achieving global carbon neutrality. Despite advancements, fossil fuels remain a dominant energy source, contributing to both energy shortages and environmental concerns. Researchers are increasingly investing in advanced materials to address the growing need for sustainable and renewable energy solutions. The scope covers advancements in flexible energy storage devices like capacitors, supercapacitors, and batteries, as well as energy conversion systems such as solar panels, fuel cells, thermoelectric modules, and wind energy technologies [1,2,3,4,5,6,7]. Notably, fuel cells and supercapacitors are gaining attention as prominent candidates for future energy storage and conversion solutions. Their high efficiency, near-zero greenhouse gas emissions, and ability to support clean, smokeless transportation make them particularly attractive. As dependence on fossil fuels persists, the demand for eco-friendly energy solutions—such as electrochemical supercapacitors and fuel cells—continues to rise. Additionally, the increasing global reliance on electronic and electrical devices has intensified scientific and technological interest in energy storage and renewable energy innovations [8,9,10,11].
Supercapacitors (SCs), or electrochemical capacitors, have emerged as promising energy storage devices due to their rapid charging/discharging, high power density, long cycle life, and excellent safety profile. Commonly used in electric vehicles, renewable energy systems, and aerospace, SCs complement or replace traditional batteries in various applications by offering lightweight design, fast response times, and extended operational life (>105 cycles) [12,13,14,15]. SCs are broadly classified into electrical double-layer capacitors (EDLCs) and pseudocapacitors (PCs). EDLCs store charge electrostatically using carbon-based materials like carbon nanotubes, graphene, and activated carbon. PCs, in contrast, utilize Faradaic redox reactions with materials such as conductive polymers or transition metal compounds to achieve higher capacitance. While SCs offer much higher power density (>10 kW·kg−1) than batteries, their energy density (~10 W·h·kg−1) remains lower. To improve this, research focuses on optimizing electrode materials, electrolytes, and operating voltages [16,17,18], since specific energy (E) is given by Equation (1):
E = ½·C·V2
A typical SC consists of two carbon-based electrodes, a separator, and an aqueous or organic electrolyte. Due to the cost of conventional carbon materials, heteroatom-doped porous carbons—especially those rich in nitrogen and oxygen—have gained attention as low-cost alternatives. These materials enhance electrostatic attraction and charge storage through surface doping, increasing capacitance and enabling high-performance systems [19,20,21]. To bridge the gap between energy and power densities, supercapacitors combine EDLC and pseudocapacitive mechanisms. This integration maximizes energy storage while retaining fast response and stability, making SCs a promising next step in supercapacitor technology [22,23,24].
Carbon materials, particularly activated carbon, are widely used as electrode components in electrical double-layer capacitors due to their high surface area and conductivity. Carbon particles, ranging in size from a few nanometers to micrometers, have gained widespread attention across various fields, including energy storage and conversion, biomedicine, catalysis, and adsorption [25,26,27]. Their controllable size, high surface-area-to-volume ratio, engineered morphology, and tunable composition make them highly versatile. These physicochemical properties can be precisely tailored through the careful selection of precursors and synthetic strategies. As a result, in the past decade, significant research efforts have been devoted to designing novel molecular precursors to develop functional carbon materials with enhanced properties [28,29,30]. Polymer precursors have emerged as promising candidates for deriving carbon frameworks due to their well-defined molecular architecture, versatile chemical composition, and ability to retain morphological integrity during carbonization. Their adaptability allows for the fabrication of carbon materials with tailored properties, making them attractive for various applications. Over the years, several polymer precursors—such as polyimide, poly(ether imide), polystyrene, polyaniline, and polyacrylonitrile—have been widely explored for their potential in carbon material synthesis [31,32]. Phenolic resins, such as resorcinol formaldehyde (RF) and phenol formaldehyde (PF) are among the most widely used precursors for synthesizing porous carbon spheres, particularly due to their high carbon yield, controllable cross-linking chemistry, excellent thermal stability and easy compatibility with templating or surfactant-assisted synthesis routes [33,34]. More recently, nitrogen-rich or heteroatom-doped carbon materials have been successfully obtained using an in situ process with polymers such as polyamines, polyamides, and polyacrylonitrile [35,36,37]. These nitrogen-doped carbon materials exhibit enhanced physicochemical properties, further expanding their application potential. However, many of these polymers fail to achieve high carbon yields due to molecular fragmentation during carbonization [38,39].
As the core component of supercapacitors, electrode materials play a crucial role in determining performance. The most commonly used electrode materials include porous carbon materials, metal oxides, and conductive polymers. Among these, metal oxides exhibit the highest specific capacitance but suffer from high costs and poor cycle stability. Similarly, conductive polymers offer excellent capacitance and conductivity but are limited by poor thermal stability and mechanical deformability, restricting their practical applications. In contrast, porous carbon materials have gained significant attention due to their exceptional electrical and thermal conductivity, high-temperature resistance, and strong corrosion resistance, making them highly suitable for energy storage applications [40,41,42,43]. Polybenzoxazine (PBZ) has recently emerged as an advanced class of phenolic thermosetting polymers, synthesized via the ring-opening polymerization of the oxazine moiety in benzoxazine monomers (Figure 1). This process occurs through thermal curing without requiring a catalyst or curing agent, allowing PBZs to form inter- and intramolecular hydrogen bonds. Due to their unique structural and chemical properties, PBZs are widely utilized in coatings, low-dielectric materials, and aerospace applications. The use of amine precursors in benzoxazine synthesis enriches the resulting polymer network with nitrogen heteroatoms, making PBZs highly suitable for producing heteroatom-doped carbon materials. PBZs also offer several advantageous characteristics, including molecular design flexibility, high char yield (35–80 wt.%), high cross-linking density, and excellent dimensional stability with minimal volume shrinkage. These materials exhibit remarkable thermal resistance, high glass transition temperatures (Tg), and flame-retardant properties, making them one of the most promising polymeric precursors for carbon material synthesis [44,45,46,47]. To obtain heteroatom-doped carbon from PBZ precursors, various advanced synthetic approaches have been employed, including soft templating via organic–organic self-assembly, hard templating, and modified sol–gel methods. Additionally, carbon materials derived from PBZs—such as foams, nanofibers, nanospheres, aerogels, and xerogels—have been synthesized using carbonization and graphitization techniques [48,49,50,51]. These materials possess controlled pore distribution, pseudocapacitive properties, and high charge stability, making them highly relevant for energy storage applications, particularly in supercapacitors and batteries [52,53].
Figure 1.
Synthesis and heat-triggered ring-opening polymerization of BZ monomers: (A) type P-a and (B) type B-a.
This review details the use of PBZs in the development of advanced carbon materials for supercapacitors, highlighting the role of structured polymer frameworks in energy storage applications. Additionally, it explores the combination of PBZ-based materials with metal oxides and conductive polymers to create hybrid structures that bridge the gap between capacitors and batteries, offering high power density along with improved energy density. This review discusses the results of the literature reports in several sections. The first section deals about the supercapacitor performance of novel benzoxazines and their copolymers synthesized using several raw materials such as eugenol, apigenin, vanillin, melamine, furfurylamine, tetraethylene pentaamine, and boric acid. This section highlights the importance of several dopants into the carbon framework, like nitrogen, oxygen, boron and phosphorous in enhancing the supercapacitor performance. In the next section, the role of metal oxides along with PBZ carbon is discussed in detail. The formation of PBZ carbon with metal oxides—Ni, Mn, Co and bimetaloxides—NiMn and NiCo and the effect of carbonization temperature and redox active electrolytes in enhancing the electrochemical performance have been discussed in detailed. The third sections deal with PBZ composites with CNTs, graphitic carbon nitride, silica and graphene oxide. Here, the structure stability of the composites and the enhanced conductivity of the composites in enhancing the supercapacitor performance have been discussed. Finally, it concludes with a discussion on challenges, future perspectives, and potential avenues for improving performance through hybridization, scalable synthesis, and structural design innovations.
2. Supercapacitor Performance of Novel Benzoxazines and Their Copolymers
Recent research highlights the promise of novel benzoxazine-based materials and their copolymers in enhancing the performance of supercapacitors. By tailoring monomer structures or blending them into copolymers, enhanced electrochemical properties, such as higher capacitance, better cycle life, and increased energy density could be achieved. Thirukumaran et al. [38] introduced nitrogen-enriched mesoporous carbon ropes (NMCRs), produced from polybenzoxazine—an advanced thermosetting polymer—as active electrode materials for supercapacitors. The benzoxazine monomer was synthesized using eugenol and tetraethylenepentamine. The NMCRs were generated via straightforward carbonization followed by activation using aqueous KOH. Their research highlighted the significant influence of the nitrogen-rich polybenzoxazine precursor’s composition on boosting electrochemical performance. The final NMCRs contained notable nitrogen (5.26 wt.%) and oxygen (7.31 wt.%) levels [38], attributed due to the intrinsic heteroatoms present in the polybenzoxazine [54,55].
The Brunauer–Emmett–Teller (BET) surface analysis revealed that the NMCRs possessed a surface area of approximately 300 m2/g, with an average pore size of 3.0 nm and a pore volume of 0.003 cm3/g. High-resolution imaging revealed a unique rope-like porous morphology, which contributes to the enhanced surface area and offers additional electrochemically active sites [56,57]. Elemental mapping confirmed the distribution of carbon, nitrogen, and oxygen elements within the NMCR structure (Figure 2). Enhanced electrochemical behavior was achieved through modifications to both the surface properties and electrical conductivity of the carbon material [58,59]. Performance testing indicated a specific capacitance of 60 F/g in a 2 M KOH solution under a current density of 1 A/g. This improved result is attributed to the material’s distinct porous framework and excellent conductivity.
Figure 2.
(a–d) FESEM images of N-MCRs at varying magnifications [(a): 5 µm, (b): 500 nm, (c): 100 nm and (d): 1000 nm]; (e–g) elemental distribution maps highlighting C, N, and O presence; (h) EDX spectrum analysis of the synthesized N-MCRs. Reproduced from [38].
In a related study by Thirukumaran et al. [60], a cost-efficient and straightforward method (involving Mannich condensation, thermal polymerization, carbonization and activation) was introduced to synthesize nitrogen-doped mesoporous carbon using a novel polybenzoxazine precursor. Two carbon structures were fabricated from the same precursor, made from apigenin, furfuryl amine, and formaldehyde. The product obtained through thermal treatment was named APFC-N (apigenin-furfurylamine-based carbon obtained through normal carbonization), while the one prepared via an aerogel route was termed APFC-G (apigenin-furfurylamine-based carbon obtained through gelation). Nitrogen adsorption–desorption studies revealed that both materials exhibited characteristics of type I and IV isotherms, indicating a considerable presence of mesopores—particularly pronounced in APFC-G [61]. BET analysis showed surface areas of 248 m2/g for APFC-N and 635 m2/g for APFC-G. APFC-G displayed a narrow pore size distribution between 20–50 nm, as well as notable macropores with voids larger than 0.5 µm, making it well suited for electrochemical use (Figure 3a,b). Electrochemical evaluation of APFC-G, which was activated in KOH at 900 °C, revealed a peak specific capacitance of 120 F/g in a 1 M H2SO4 electrolyte at a current density of 0.5 A/g (Figure 4). The high performance is credited to its oxygen- and nitrogen-rich surface and large surface area [62,63]. Impressively, it retained excellent stability, with no meaningful loss in capacitance observed over 25,000 charge–discharge cycles, highlighting its long-term durability. Moreover, the APFC-G electrode displays a low solution resistance of 2.2 Ω, indicating good electronic conductivity.
Figure 3.
(Top) FESEM micrographs of the synthesized samples: (a–c) APFC-N and (d–f) APFC-G, captured at varying magnifications [(a,d): 10 µm; (b,e): 5 µm; and (c,f): 1 µm]. (Bottom) (a) N2 adsorption isotherms and (b) pore size distributions of APFC-N and APFC-G samples. Reproduced from [60].
Figure 4.
(a) Cyclic voltammetry curves recorded at multiple scan rates, (b) galvanostatic charge–discharge profiles under varying current densities, (c) plot of specific capacitance versus current density [inset: schematic illustration of an electric double-layer capacitor (EDLC)], and (d) Nyquist plot from electrochemical impedance spectroscopy with curve fitting [inset: corresponding equivalent circuit model, R1 = solution resistance, R2 = charge-transfer resistance, R3 = Warburg resistance] for the synthesized APFC-G material. Reproduced from [60].
Thubsuang et al. [64] synthesized carbon microspheres based on polybenzoxazine (PBZ) using a simple preparation method (Mannich polycondensation) that utilized a mixture of formaldehyde and dimethylformamide (DMF) as solvents. Successful formation of PBZ microspheres was achieved at F/DMF weight ratios of 0.4 and 0.6. Upon carbonization, the materials displayed a high nitrogen content, and structural analysis confirmed an amorphous nature with regions of partial graphitization. Notably, the carbon derived from a 0.4 F/DMF ratio showed a superior specific capacitance of 275.1 F g−1, outperforming the reference carbon (PBZ carbon synthesized using pure DMF) (198.9 F g−1) when tested at 0.05 A g−1. This performance boost was linked to a synergistic effect of electric double-layer capacitance and pseudocapacitance, the latter being enhanced by nitrogen and oxygen surface groups [65,66]. After CO2 activation, the specific surface area of the 0.4 ratio sample increased markedly from 349 m2 g−1 to 859 m2 g−1, resulting in a further rise in capacitance to 424.7 F g−1—more than double that of the reference. These results indicate that an F/DMF ratio of 0.4 is optimal for producing high-performance carbon microspheres, with improvements mainly driven by surface chemistry and increased porosity [67,68].
Meanwhile, Mohammed et al. [44] developed a new type of porous organic polymer (POP) by coupling Cr-TPA-4BZ-Br4 with tetraethynylpyrene (Py-T) (Figure 5). The precursor benzoxazine monomers—Cr-TPA-4BZ (Dibenzo-crown ether-triphenylamine-based benzoxazine) and its brominated version Cr-TPA-4BZ-Br4—were synthesized through a conventional three-step pathway, involving CH=N formation, sodium borohydride reduction, and a Mannich-type condensation. These monomers were then linked via a Sonogashira cross-coupling reaction to create Cr-TPA-4BZ-Py-POP. Upon further carbonization, this yielded poly(Cr-TPA-4BZ-Py-POP)-800, a carbonaceous material with graphite-like domains. This material showed a high CO2 adsorption capacity of 4.4 mmol g−1 at 273 K. Electrochemical evaluations revealed a significant specific capacitance of 397.2 F g−1 at a current density of 0.5 A g−1, along with excellent stability, retaining 94% of its capacitance over extended cycling. The enhanced performance was largely attributed to an optimized ratio (C = 73.5%, N = 8.9% and O = 17.6%) of heteroatom doping [69,70], which contributed to improved structural features and electrochemical behavior.
Figure 5.
(a,b) BET isotherm and pore distribution analysis; (c) TEM image; (d–f) SEM micrographs at different magnifications [(d): 10 µm, (e): 1 µm and (f): 1 µm]; (g–i) elemental mapping (EDS-SEM) of poly(Cr-TPA-4BZ-Py-POP)-800. Reproduced from [44].
Wan et al. [71] developed nitrogen-doped porous carbon materials with high surface areas and well-defined micro-/mesoporous architectures by employing a novel nitrile-functionalized polybenzoxazine. The process combined a soft-templating strategy (Surfactant F127 was used as soft templating agent) with KOH chemical activation. Both the use of the soft template and the activation temperature were found to significantly affect the resulting pore structure and surface characteristics [72]. Compared to the primarily microporous NPC-0, the hierarchical pore systems in NPC-1 and NPC-2 demonstrated superior capacitive behavior. This enhancement was linked to a large surface area (up to 2036 m2/g), balanced pore distribution, robust electrical conductivity, and the inclusion of nitrogen (2.33–5.32 wt.%) and oxygen (10.26–14.22 wt.%) functionalities within the carbon framework [73,74]. Notably, NPC-2, activated at 700 °C, delivered the highest specific capacitance of 362.4 F/g at a current density of 1 A/g in a KOH aqueous solution (Figure 6).
Figure 6.
Change in specific gravimetric capacitance over cycling for the four NPC electrodes at 10 A g−1 current density. Reproduced from [71].
The material also exhibited excellent rate performance and long-term durability, preserving 94.7% of its capacitance after 5000 charge–discharge cycles. Moreover, the solid adsorbent NPC-1, thermally activated at 600 °C, achieved the highest CO2 adsorption capacity under 1 bar—recording 6.20 mmol g−1 at 0 °C and 3.95 mmol g−1 at 25 °C. It also demonstrated high CO2/N2 selectivity and could be reused effectively without performance loss. These exceptional properties, both as supercapacitor electrodes and CO2 adsorbents, were primarily ascribed to their extensive surface area, tailored pore architecture, superior electrical conductivity, and the incorporation of nitrogen functionalities within the carbon framework [75,76]. In a related study, Liu et al. [77] developed nitrogen and oxygen co-doped porous carbon materials (NOPC-x and NOPC-bis-CN-x) [NOPC and NOPC-bis-CN are carbon materials derived from different benzoxazine monomers, Boz-Va (benzoxazine synthesized from vanillin, aniline and paraformaldehde) and Boz-bis-VaCN (benzoxazine synthesized from diaminodiphenyl ether, 2-(4-hydroxy-3-methoxybenzylidene) malanonitrile and paraformaldehyde)] derived from bio-based polybenzoxazines through a soft-template strategy. They found that increasing the cyano content in the monomers improved surface area, pore structure, and graphitization level. Notably, the NOPC-bis-CN-3 variant achieved a remarkable surface area of 2347 m2 g−1 and abundant mesopores (20–40 nm), along with a higher density of electrochemically active nitrogen [N-1 (pyridinic N), N-2 (pyridonic N), and N-3 (quarternary N)] and oxygen (O-2, O-3) species [78,79]. Electrochemical testing confirmed the superior performance of the NOPC-bis-CN-x series over the NOPC-x group. Specifically, NOPC-bis-CN-3 delivered the highest specific capacitance of 167.3 F g−1 at 1 A g−1, retained more than 80% of its capacitance at 10 A g−1, and demonstrated strong pseudocapacitive behavior and excellent cycling durability. The symmetric device assembled with this material showed minimal decline in energy density—from 10.8 to 9.0 Wh kg−1—as power density increased from 45 to 4500 W kg−1 (see Figure 7). The convergence of outstanding electrochemical features, eco-friendly origins, and straightforward synthesis renders NOPC-bis-CN-3 a top contender for next-generation supercapacitor applications.
Figure 7.
(Right) Electrochemical characterization of the assembled symmetric two-electrode supercapacitor: (a) cyclic voltammetry (CV) curves measured at various scan rates; (b) galvanostatic charge–discharge (GCD) profiles at different current densities; (c) electrochemical impedance spectroscopy (EIS) represented by Nyquist plots from 100 kHz to 10 mHz; (d) cycling stability at 2 A g−1 (inset shows selected GCD segments); (e) Ragone plot of the NOPC-bis-CN-3-based device; (f) charging of two series-connected symmetric supercapacitors over 30 s (top), and illumination of a red LED (1.5 V) powered by the series-connected devices. (Left) Illustration of potential nitrogen and oxygen functional groups on the carbon surface. Reproduced from [77].
M.M. Samy and colleagues [46] developed an innovative bio-based benzoxazine monomer, termed VFBZ-CN, synthesized through the condensation reaction of vanillin, formaldehyde, and furfurylamine—compounds derived from renewable natural sources. Characterization via differential scanning calorimetry (DSC) and thermogravimetric analysis (TGA) indicated that VFBZ-CN underwent thermal curing at a relatively low onset temperature of 196 °C, a property attributed to cyano functionalities enhancing oxazine ring-opening. Upon curing at 250 °C, the resulting polymer displayed impressive thermal resilience, with a 10% weight loss temperature (Td10) of 379 °C, surpassing traditional benzoxazine analogs. Electrochemical assessments revealed that poly(VFBZ-CN)-800 achieved a gravimetric capacitance of 506 F g−1, significantly exceeding that of poly(VFBZ-CN)-700, which reached only 171 F g−1 at 0.5 A g−1 in an alkaline KOH medium. Moreover, the poly(VFBZ-CN)-800 electrode retained 99.43% of its capacitance after 2000 cycles at a high current density of 10 A g−1, underscoring its cycling durability. This enhanced electrochemical efficiency was primarily ascribed to its porous carbon architecture and elevated nitrogen/oxygen content [80,81]. Apart from energy storage, these N- and O-enriched microporous carbons derived from VFBZ-CN also exhibited strong CO2 adsorption capacity, reinforcing their multifunctionality and alignment with sustainable technologies.
Zhang and colleagues [82] developed nitrogen and phosphorus co-doped carbon materials (C/P-Cs) derived from nonporous polybenzoxazine, using polybenzoxazine as the carbon base and melamine polyphosphate as a dual-source dopant for nitrogen and phosphorus. These carbon structures exhibited notably high atomic concentrations of nitrogen (5.5%) and phosphorus (5.1%), which played a key role in enhancing their electrochemical properties—specifically in terms of capacitance, charge–discharge efficiency, and operational stability as supercapacitor electrodes. Among them, the optimized variant (C/P-20-1) delivered an impressive specific capacitance of 203.0 F g−1 at a current density of 0.5 A g−1, and still maintained 173.2 F g−1 under a much higher load of 20 A g−1. The electrode’s durability was also remarkable, preserving 90.1% of its capacitance over 5000 cycles at 5 A g−1. When configured into a symmetric supercapacitor, this material demonstrated a peak energy density of 11.45 Wh kg−1 at a power density of 50 W kg−1, and a maximum power output of 25 kW kg−1 at an energy density of 5.55 Wh kg−1. Even after undergoing 10,000 cycles of charging and discharging at 5 A g−1, the device retained 79.9% of its original capacitance. The superior electrochemical behavior of the C/P-20-1 electrode and the symmetric device was attributed to a combination of factors: (i) the presence of functional nitrogen and phosphorus species (such as pyridinic and pyrrolic N), which boosted pseudocapacitive effects and overall charge storage [41]; (ii) nitrogen doping, which enhanced electrical conductivity and charge transfer rate [83]; and (iii) phosphorus doping, which notably contributed to the material’s long-term cycling resilience [84].
Wang et al. [40] developed a range of oxygen-rich porous carbon materials by copolymerizing a diacetal-type benzoxazine (ACE-a) with melamine in varying proportions, utilizing a straightforward, template-free synthesis approach. The inclusion of melamine introduced a substantial amount of reactive C–N bonds into the network during polymer formation, which contributed to the creation of abundant micropores during the carbonization and activation phases [85], thanks to melamine’s self-sacrificing behavior (see Figure 8). This decomposition process not only promoted micropore generation but also increased the oxygen content in the resulting carbon, improved its surface wettability, and lowered internal resistance. Among the materials synthesized, CA3MK showed outstanding characteristics, including a high BET surface area of 1383.9 m2 g−1, a large pore volume of 0.748 cm3 g−1, and a notable surface oxygen content of 66.2%. Electrochemical evaluations revealed impressive performance, with a specific capacitance of 430 F g−1 in 0.5 M H2SO4 and 194 F g−1 in 6 M KOH at 0.5 A g−1 (Figure 9). Moreover, the material demonstrated excellent cycling stability and strong performance at high current densities. These results underscore the promise of oxygen-functionalized porous carbons in supercapacitor technologies, driven by their high surface area, well-developed porosity, and abundant oxygen-containing groups [86,87].
Figure 8.
(a) Chemical structures of ACE-a, BA-a and melamin; (b) preparation process of porous carbon materials. Reproduced from [40].
Figure 9.
(Top) SEM micrographs of CA3MK material captured at various magnifications (10 µm and 1 µm). (Bottom) (a) Galvanostatic charge–discharge profiles of the CA3MK electrode at multiple current densities; (b) cyclic voltammetry curves of the same electrode recorded at different scan rates. Reproduced from [40].
Bai et al. [88] developed boron and nitrogen co-doped porous carbons (BNPC-X) by carbonizing boron-containing polybenzoxazines followed by chemical activation. In this synthesis, the benzoxazine resin functioned as both the carbon and nitrogen precursor, while boric acid provided the boron dopant. Among the series, BNPC-0.15 showed notable elemental incorporation, containing 2.97 wt.% boron and 2.43 wt.% nitrogen, with a homogeneous spatial distribution (Figure 10). This material delivered a high specific capacitance of 286 F g−1 at 0.05 A g−1 and retained a commendable 174 F g−1 at 1 A g−1, maintaining 92% of its initial capacitance after 1000 cycles in 6 M KOH. The synergistic effects of boron and nitrogen functionalities enhanced electrolyte interaction and introduced additional redox activity, leading to improved electrochemical performance [89,90]. These features highlight BNPC-X as a strong candidate for advanced supercapacitor electrode applications.
Figure 10.
SEM micrographs of (a) NPC, (b) BNPC-0.05, (c) BNPC-0.10, and (d) BNPC-0.15. Panels (e–h) show the elemental mapping of BNPC-0.15 obtained via energy-dispersive X-ray spectroscopy (EDS). Reproduced from [88].
3. Supercapacitor Performance of Polybenzoxazine/Bimetal Oxides
The integration of polybenzoxazine-based carbons with bimetallic oxides is one of the emerging combinations that has gained notable attention. This synergy merges the high surface area and conductivity of carbon materials with the redox-active sites provided by bimetallic oxides, leading to significant performance enhancements in electrochemical energy storage. Thirukumaran et al. [91] developed a hierarchical framework in which electroactive materials are securely integrated onto a carbon scaffold, promoting optimal exposure of active sites and facilitating efficient ion and electron transport. The carbon base is derived from polybenzoxazine (Pbz), synthesized from a benzoxazine monomer. The carbonized Pbz features a rigid network enriched with nitrogen and oxygen heteroatoms, which contributes to enhanced supercapacitor (SC) performance. Furthermore, incorporation of pseudocapacitive metal hydroxides like Ni(OH)2 and Mn(OH)2 supports reversible Faradaic reactions. The final products—nitrogen-rich porous carbon (NRPC), along with its composites NRPC/Mn, NRPC/Ni, and NRPC/NiMn—demonstrate pore volumes between 0.18 and 0.42 cm3 g−1. The NRPC displayed a tangled porous network containing a variety of pore sizes, including prominent macropores. SEM analysis revealed that the NRPC/Mn composite developed flake- or petal-like formations, while NRPC/Ni exhibited a deformed petal structure with sharp, spike-like tips. These morphological elements were embedded within the carbon framework. Interestingly, co-incorporation of Mn and Ni gave rise to a vertically oriented, three-dimensional flower-like architecture formed by interlinked petal structures. These petals were anchored by a hollow central core, contributing to mechanical robustness and offering abundant electroactive sites conducive to efficient ion storage in supercapacitor applications [92,93] (Figure 11).
Figure 11.
SEM images of NRPC, NRPC/Mn, NRPC/Ni, and NRPC/NiMn at different magnifications (5 µm, 2 µm and 1 µm). Reproduced from [91].
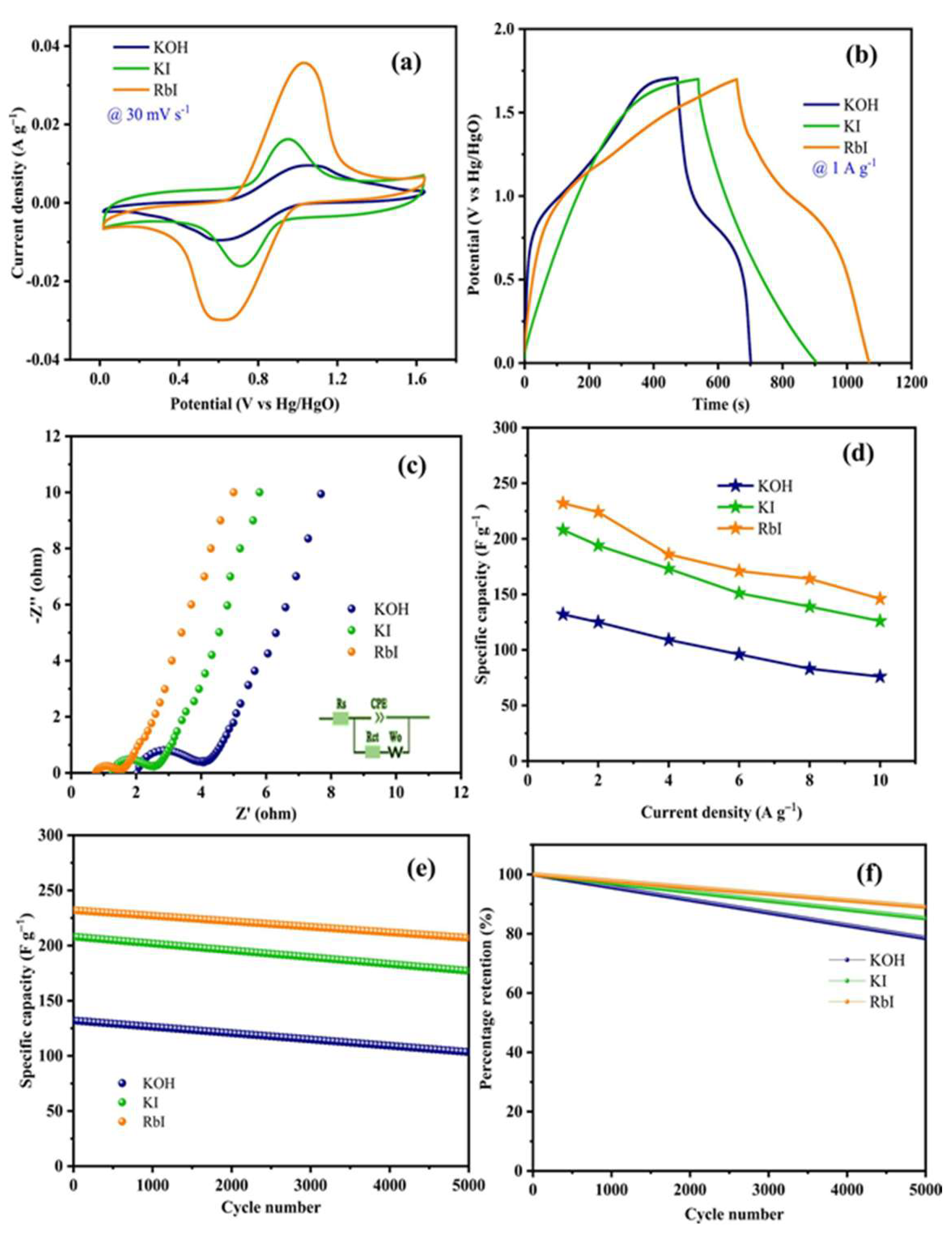
In contrast to NRPC containing only monometallic components, the NRPC/NiMn composite exhibits a notably higher specific surface area of 365 m2 g−1 and a greater pore volume of 0.42 cm3 g−1, attributed to its distinctive flower-like architecture. Electrochemical measurements reveal a significant specific capacitance of 1825 F g−1 for NRPC/NiMn, retaining 78% of its initial capacity after 2500 charge–discharge cycles. This performance is driven by the synergistic effects of bimetallic active sites and heteroatom doping, which collectively promote strong pseudocapacitive behavior. Additionally, the porous carbon framework acts as a highly conductive matrix, enhancing electron mobility and supporting electrochemical double-layer capacitance (EDLC) through efficient ion transport and surface adsorption. Asrafali et al. [15] designed a novel supercapacitor configuration integrating heteroatom-enriched carbon, bimetallic oxide nanostructures, and redox-active electrolytes to significantly boost electrochemical efficiency. The system leverages dual pseudocapacitive mechanisms: one originating from the electrode material—specifically, nitrogen and oxygen-doped carbon derived from polybenzoxazine blended with NiCo bimetallic oxides—and the other from the electrolyte, utilizing iodide-containing redox-active species such as KI and RbI. The polymer precursor, synthesized via Mannich condensation of eugenol and ethylenediamine, yields a heteroatom-doped carbon (HC) upon calcination at 800 °C. The resulting HC/NiCo@800 °C structure features a hierarchical assembly of interlinked 3D and ultrathin 2D morphologies [94], as confirmed by SEM and TEM imaging. The flower-like architecture, formed without observable thermal degradation, provides a high surface area, interconnected pore networks, and abundant electroactive sites, all of which contribute to improved electrolyte accessibility and charge storage kinetics [95,96]. Remarkably, devices tested with redox-active RbI and KI electrolytes achieved elevated specific capacitances of 2334 F g−1 and 2076 F g−1 at 1 A g−1, respectively. The asymmetric device HC/NiCo@800 °C//HC operating in RbI demonstrated a peak specific capacitance of 232 F g−1 with 89.04% retention after 5000 cycles, along with a low solution resistance (Rs) of 0.75 Ω and charge transfer resistance (Rct) of 0.77 Ω (Figure 12). The superior electrochemical response in RbI is credited to the rapid transport dynamics of Rb+ and I− ions, which enhance ion–solvent and solvent–solvent interactions. This configuration achieved an impressive energy density of 96.57 Wh kg−1 while maintaining a power density of 850 W kg−1. The integration of functionalized porous carbon, dual-metal oxides, and redox-active electrolytes demonstrates a promising strategy for developing high-performance supercapacitors with excellent durability, high capacitance, and energy output, paving the way for broader practical applications.
Figure 12.
Electrochemical characterization of the asymmetric HC/NiCo@ 800//HC device, including (a) CV, (b) GCD, (c) EIS spectra, (d) specific capacitance versus current density, (e) cycle count, and (f) cyclic stability. Reproduced from [15].
4. Supercapacitor Performance of Polybenzoxazine Composites
Polybenzoxazine composites, particularly when combined with other functional materials like carbon nanotubes (CNTs), graphitic carbon nitride (g-C3N4), graphene oxide (GO) and silica (SiO2), enable the development of high-capacitance, stable, and conductive electrode architectures. Ge et al. [97] introduced a straightforward yet efficient approach for producing highly porous carbon nanofiber (CNF) membranes with superior mechanical flexibility and multifunctional performance. Their method involved multicomponent electrospinning followed by in situ polymerization using polybenzoxazine (PBZ) as a novel carbon precursor. The incorporation of SnCl2 enhanced both the spinnability and thermal stability of the precursor nanofibers (Figure 13 and Figure 14). During the carbonization process, SnO2 nanoclusters—ranging from 20 to 40 nm—were uniformly embedded throughout the carbon network and anchored onto the nanofiber surfaces via in situ synthesis. This led to the formation of a heterogeneous nanostructure that imparted a plasticizing effect, enabling the resulting SnO2/CNF membrane to withstand large deformations while preserving its structural integrity. The membrane exhibited a high specific surface area of 1415 m2/g and a pore volume of 0.82 cm3/g. It also achieved an energy density of 16.25 Wh/kg and a power density of 1.03 kW/kg, significantly surpassing traditional porous CNF electrodes. Moreover, the membrane maintained excellent electrochemical performance under bending, highlighting its potential for use as flexible electrodes in wearable energy storage systems. The enhanced performance was primarily due to (i) the strong interfacial interaction between the SnO2 clusters and the carbon matrix, which minimized resistance, and (ii) the well-developed porosity that facilitated rapid ion transport [98,99].
Figure 13.
Diagram depicting the synthesis pathway of porous SnO2/CNF membranes obtained from PBZ. Reproduced from [97].
Figure 14.
(A) SEM images of SnO2/CNFs at various carbonization temperatures: (a) 650 °C, (b) 750 °C, (c) 850 °C, and (d) 950 °C. (B) Corresponding (a) TEM image, (b) and (c) HR-TEM images, and (d) XRD patterns of SnO2/CNFs. Reproduced from [97].
Wu et al. [34] developed uniform porous yolk-shell carbon nanospheres (PYCNs) via a two-step coating strategy, using resorcinol–formaldehyde (RF) resin spheres as the initial core material. RF resin was selected for its affordability, high carbon yield, and structural stability. The process involved coating the RF spheres with two layers: an inner dense silica layer and an outer composite shell made of polybenzoxazine and silica (PB/SiO2). Tetraethyl orthosilicate (TEOS) served as the silica source, while a mixture of resorcinol, formaldehyde, and ethylenediamine (EDA) was used for the PB layer. Transmission electron microscopy revealed that the final carbon shell measured about 20 nm in thickness, enclosing a central void of approximately 40 nm, with a carbon core approximately 600 nm in diameter—matching the original size of the solid carbon spheres (SCS). Surface area analysis showed that SCS possessed a higher specific surface area of 606 m2 g−1 and a micropore volume of 0.25 cm3 g−1, in contrast to PYCNs, which exhibited values of 486 m2 g−1 and 0.15 cm3 g−1, respectively. Despite the slightly lower surface area, the yolk-shell design, mesoporosity, and nitrogen doping in PYCNs significantly enhanced ion transport and diffusion [100,101]. Consequently, PYCNs outperformed SCS in supercapacitor applications, achieving a specific capacitance of 236 F g−1 at a current density of 0.5 A g−1, compared to 176 F g−1 for SCS.
Du et al. [102] introduced a co-assembly strategy for producing nitrogen-doped hollow mesoporous carbon spheres (N-HMCS) with tunable morphologies. This method employed cetyl-3-methyl ammonium bromide (CTAB) and tetraethyl orthosilicate (TEOS) in conjunction with polybenzoxazine (PBZ), synthesized from phenol, formaldehyde, and ethylenediamine, via electrostatic interactions. In the process, CTAB served as a structural template, TEOS functioned as a silica precursor, and the PF oligomers with ethylenediamine acted as carbon and nitrogen sources within a modified Stöber synthesis. Ethylenediamine also facilitated both TEOS hydrolysis and PF oligomer polymerization. The resulting core-shell particles displayed morphology-dependent surface features—silica@PB-0.1 had a smooth, spherical structure with a distinct core-shell interface, while silica@PB-0.4 featured a rougher surface with prominent protrusions [103,104]. Among the derived carbon spheres, N-HMCS-0.1 delivered the highest specific capacitance of 307 F g−1, outperforming its counterparts (198, 206, and 192 F g−1 for N-HMCS-0.05, 0.2, and 0.4, respectively) (Figure 15). Moreover, N-HMCS-0.1 maintained 83% capacitance retention at elevated current densities. A symmetric supercapacitor assembled using N-HMCS-0.1 and a 6 M KOH electrolyte attained an energy density of 11.2 Wh kg−1 at 660.8 W kg−1, and 10 Wh kg−1 at 9000.5 W kg−1. The superior electrochemical performance of N-HMCS-0.1 is ascribed to its fine particle size, thin shell, and high surface area, which together enhance charge storage and ion accessibility [105,106]. Additionally, the mesoporous architecture ensures efficient ion transport, while the nitrogen functionalities promote pseudocapacitive behavior through redox activity [107,108].
Figure 15.
Electrochemical assessment of N-HMCS samples in a three-electrode setup: (a) CV profiles at a scan rate of 5 mV s−1, (b) typical GCD profiles at a current density of 0.5 A g−1, (c) specific capacitances at varying GCD current densities, (d) Nyquist plots with fitting curves and their corresponding high-frequency ranges (inset), (e) CV profiles at different scan rates, and (f) GCD profiles at various current densities for N-HMCS-0.1. Reproduced from [102].
Wan et al. [109] developed a method for producing graphene oxide (GO) and nitrogen-doped porous carbon (NC) nanocomposites aimed at enhancing supercapacitor electrode performance. The synthesis involved a polybenzoxazine (PBZ)-based ring-opening polymerization followed by KOH activation, leveraging both hydrogen bonding and covalent interactions between GO and benzoxazine. Nanocomposites with different GO loadings were fabricated, revealing that the inclusion of GO significantly altered the surface characteristics, porosity, and electrical conductivity of the materials, thereby improving their electrochemical behavior [110,111,112,113]. Among the samples, the electrode containing 1.29 wt.% GO exhibited the highest specific capacitance of 405.6 F g−1 at 1.0 A g−1 in a 6 M KOH electrolyte. This electrode also showed excellent rate performance (267.8 F g−1 at 40 A g−1) and strong cycling durability, retaining 95.8% of its capacitance after 5000 cycles. Moreover, symmetric supercapacitor devices assembled with the GO/NC material in 1 M Na2SO4 operated within a broad 1.8 V voltage range, delivering an energy density of 38.6 Wh kg−1 at 180 W kg−1 and sustaining 19.9 Wh kg−1 at a power density of 32.4 kW kg−1.
Selvaraj et al. [10] reported the synthesis of a novel quinoline-based Mannich-type benzoxazine monomer (Q-xda), derived from the reaction of 8-hydroxyquinoline, xylylenediamine, and paraformaldehyde. This monomer was used to fabricate high-performance carbon-based materials for energy storage. Composites were formulated by incorporating graphitic carbon nitride (GCN) at varying concentrations (5, 10, and 15 wt.%) into the poly(Q-xda) matrix. The presence of GCN notably improved the thermal resistance and char yield of the composites [114,115]. Electrochemical tests confirmed pseudocapacitive behavior, with poly(Q-xda) + 15 wt.% GCN showing the highest specific capacitance of 370 F g−1 at a current density of 6 A g−1. The composites with 5 and 10 wt.% GCN exhibited capacitances of 294 and 310 F g−1, respectively, while the pristine poly(Q-xda) showed a lower value of 216 F g−1. The poly(Q-xda) + 15 wt.% GCN sample also demonstrated superior charge transport characteristics, with a reduced charge transfer resistance (20.8 Ω) compared to that of the unmodified polymer (26.0 Ω), and maintained 96.2% of its capacitance after 2000 cycles. In a related study by the same group [9], a facile and scalable approach was introduced for producing nitrogen-rich porous carbon (NRPC), which was further integrated with graphitic carbon nitride and magnetite (g-C3N4/Fe3O4) to fabricate a functional nanocomposite. The difunctional benzoxazine monomer (NP-ha), synthesized from nonylphenol, hexane-1,6-diamine, and paraformaldehyde, served as the precursor. The process involved direct carbonization, KOH activation, and subsequent hydrothermal treatment to embed Fe3O4 and g-C3N4 into the NRPC matrix. Characterization using FE-SEM and HR-TEM confirmed uniform dispersion of the nanophases [116]. (Figure 16) The resulting composite exhibited a high specific surface area of 479.6 m2 g−1 and demonstrated effective pseudocapacitive behavior, highlighting its potential for use in advanced supercapacitor applications.
Figure 16.
HR-TEM images of (a) Fe3O4, (b) NRPC/g-C3N4, and (c,d) NRPC/g-C3N4/Fe3O4-0.1. Reproduced from [9].
Compared to the Fe3O4 and g-C3N4/Fe3O4 electrodes, the NRPC/g-C3N4/Fe3O4 electrode exhibited lower charge transfer resistance and higher capacitance. Specifically, the NRPC/g-C3N4/Fe3O4 electrode achieved the highest specific capacitance of 385 F g−1 at 1 A g−1, outperforming Fe3O4 (112 F g−1) and g-C3N4/Fe3O4 (150 F g−1). Additionally, the cycling efficiency of the NRPC/g-C3N4/Fe3O4 electrode remained at 94.3% after 2000 cycles. These results demonstrate that the incorporation of NRPC into g-C3N4/Fe3O4 significantly enhances its potential for use in high-performance supercapacitors [117,118].
5. Supercapacitor Performance of Polybenzoxazine with Other Polymers
Polybenzoxazine-based thermosets, known for their high nitrogen content and substantial char yield, are gaining attention as sustainable precursors for nitrogen-doped carbon materials. A key consideration in upcycling these materials is the reduction in both energy input and processing costs. The combination of PBZ with other functional polymers, including polyaniline (PANI), polypyrrole (PPy), or porous organic polymers (POPs), leads to multifunctional electrode materials that deliver a balanced combination of energy and power densities, making them suitable for both commercial and high-performance supercapacitor applications. In line with this goal, Sharma et al. [119] demonstrated a method for producing carbon materials under relatively mild carbonization conditions, eliminating the need for chemical activation. Electrochemical analysis using a three-electrode system revealed that the carbon derived from guaiacol-based polybenzoxazine (C-GP81), which features 6.4% nitrogen incorporation, delivered a notable specific capacitance of 700 F g−1 at 10 A g−1. This indicates excellent charge storage and rate capability, making it a strong candidate for supercapacitor electrode applications.
The material also achieved an energy density of 48 Wh kg−1 at a power density of 8400 W kg−1 in the same three-electrode setup. Its performance in an acidic medium is credited to the synergistic effects of a well-developed surface area and a favorable composition of nitrogen (pyridinic, pyrrolic, and graphitic) and oxygen (quinone) functional groups [41,120]. When evaluated in a symmetric supercapacitor device, C-GP81 delivered a specific capacitance of 76 F g−1 at 0.5 A g−1, which gradually declined to 40% after 10,000 cycles, reflecting moderate cycling stability. The device also reached a peak energy density of 10 Wh kg−1 at a power density of 2400 W kg−1 (Figure 17). Overall, these findings underscore the promise of eco-friendly carbonization strategies for transforming polybenzoxazine resins into high-performance, heteroatom-enriched carbon materials for energy storage applications [121,122].
Figure 17.
Electrochemical performance of the carbon material C-GP81 as an active material on carbon cloth, measured in a three-electrode system: (a) CV curves at a scan rate of 100 mV s−1 across different potential windows, (b) CV curves at a selected potential window with varying scan rates, (c) GCD profiles at different current densities, (d) variation in specific capacitance with changing current density, (e) long-term stability over 5000 cycles, and (f) Ragone plot showing energy and power densities. Reproduced from [119].
Tiwari et al. [25] leveraged the molecular design flexibility of polybenzoxazine to fabricate polybenzoxazine colloidal spheres using phloroglucinol, polyethylenimine, and formaldehyde as multifunctional precursors, employing a simple template-free extended sol–gel method (Figure 18). The kinetics of particle formation were controlled by adjusting synthesis parameters such as the stoichiometric ratio of the reactants, precursor concentration, and solvent ratio, which influenced the morphology, particle size, and heteroatom content in the polymeric particles [123]. The heteroatom-doped carbon spheres, containing 28% nitrogen and 20.5% oxygen (as determined by CHNS analysis), were obtained by subjecting the polybenzoxazine particles to moderate carbonization conditions, resulting in a partial graphitic structure.
Figure 18.
Schematic diagram showing the N, O-co-doped carbon particles obtained from polybenzoxazine colloidal spheres using a template-free extended sol–gel process. Reproduced from [25].
The uniform morphology, coupled with a significant BET surface area of 221 m2 g−1 and high heteroatom content in the resulting carbon structure, highlights their potential as active materials for supercapacitor electrodes [124,125]. The N, O co-doped carbon structure exhibited an impressive specific capacitance of 728 F g−1 at a current density of 10 A g−1, resulting in a maximum energy density of 56 W-h kg−1 and a maximum power density of 14,246 W kg−1. Further electrochemical performance evaluation was conducted using a flexible all-solid-state symmetric two-electrode system to simulate real-time conditions. The active material displayed a notable specific capacitance of 50.3 F g−1 at 0.2 A g−1. Additionally, the material maintained approximately 86% capacitance retention after 2500 cycles in the asymmetric two-electrode configuration, confirming the reversible nature of the device with negligible changes in resistance before and after cyclic tests. These results underscore the potential of fabricating high-performance supercapacitors by precisely modulating the surface characteristics and functionality of polybenzoxazine precursors through the careful selection of multifunctional precursors in the extended sol–gel method [126,127].
Murugan et al. [1] reported the development of a series of polybenzoxazine-co-copper metal-organic frameworks (PABz-co-Cu MOFs) and their covalently cross-linked membrane composites with poly(imidazole-diphosphoric acid) (PIDPA) in various weight ratios (80/20, 60/20, 50/50, 40/60, and 20/80%). These hybrid membranes were fabricated using a sequential thermal curing method at different temperatures, resulting in a networked polymer structure (Figure 19). Among the formulations, the 50/50 wt.% PABz-co-Cu MOFs-graft-PIDPA membrane displayed the best performance as a high-temperature proton exchange membrane fuel cell (HT-PEMFC) material, outperforming both pristine PA-PIDPA and unmodified PABz-co-Cu MOFs. The enhanced performance was attributed to the presence of large voids between the particles, which effectively retained phosphoric acid (PA), crucial for proton conduction [128,129]. At the optimal 50/50 ratio, the PA-doped membrane achieved a proton conductivity of 7.57 × 10−2 S cm−1, an open-circuit voltage (OCV) of 0.91 V, and a peak power density of 0.729 W cm−2—significantly higher than those of the pure PABz-co-Cu MOFs membrane (3.21 × 10−2 S cm−1 conductivity, 0.43 V OCV, and 0.357 W cm−2 power density).
Figure 19.
Proposed reaction pathway between ABz-co-Cu MOFs and PIDPA leading to the formation of covalently crosslinked PABz-co-Cu MOFs-graft-PIDPA. Reproduced from [1].
Furthermore, the 50/50 membrane composite showed a specific capacitance of 387 F g−1 at a current density of 1 A g−1, exceeding the 187 F g−1 achieved by the unmodified MOFs. This research offers a cost-efficient strategy to design covalently bonded PABz-co-Cu MOFs-graft-PIDPA networks enriched with imidazole, diphosphoric acid, and 5-sulfo salicylic acid functional groups, showcasing strong potential for both HT-PEMFC and supercapacitor technologies. Table 1 shows the list of different carbon materials synthesized from PBZ and their properties.
Table 1.
Comparative data showing the different synthesis process for carbon materials and their properties.
PBZ naturally contain nitrogen and oxygen, making them ideal for heteroatom doping during pyrolysis. This enhances Faradaic activity, wettability, and electrical conductivity, boosting pseudocapacitance and electrolyte access. With rising interest in green chemistry, PBZ precursors are increasingly synthesized from biomass sources like natural phenols and amines. Advanced methods, such as foaming and templating, enable the creation of hierarchically porous structures (micro-, meso-, and macropores), which improve ion transport and boost power and energy density. PBZ-derived carbons are often composited with graphene, CNTs, or conductive polymers to enhance conductivity and mechanical strength, supporting the development of flexible, wearable supercapacitors. However, the field presents contradictions: Some studies credit micropores with high EDLC [59], while others highlight mesopores for better ion compatibility [130]. The effect of KOH activation is debated—beneficial in some cases [15], but linked to pore collapse in others [59]. There is also no agreement on the best electrolyte type, or whether co-doping (e.g., N and S) improves or destabilizes performance. Key research gaps include: understanding capacity fading (e.g., heteroatom leaching, pore blockage), limited data on cycling beyond 10,000 cycles, and a lack of studies on all-solid-state or stretchable devices. Additionally, there is minimal insight into the cost, scalability, and environmental impact of PBZ synthesis, calling for life cycle and techno-economic assessments.
6. Conclusions and Future Directions
Polybenzoxazine-derived supercapacitors offer a promising alternative for energy storage applications due to their tunable properties, high stability, and potential for large-scale production. The research landscape on polybenzoxazine-derived supercapacitors is rapidly evolving, focusing on (i) Sustainable materials: The integration of bio-derived PBZs into supercapacitor electrodes is a major step toward sustainable energy storage solutions, aligning with the principles of green chemistry. These materials are gaining attention due to their eco-friendliness, cost-effectiveness, and excellent electrochemical properties, making them ideal candidates for next-generation supercapacitor electrodes. (ii) Enhanced performance: Heteroatom doping involves introducing elements like nitrogen (N), oxygen (O), sulfur (S), phosphorus (P), or boron (B) into the carbon framework derived from polybenzoxazines. This process modifies the electronic structure, improves charge distribution, and enhances redox activity, leading to higher specific capacitance and energy storage efficiency. Nitrogen and oxygen doping introduce functional groups, such as -NH2, -OH, -C=O, and -COOH, that participate in Faradaic redox reactions, significantly boosting capacitance. Research results show that N-doped carbon materials show up to a 50% increase in capacitance compared to undoped carbons. Particularly, graphitic-N and pyridinic-N doping have been shown to improve conductivity and charge transfer rates. Oxygen and sulfur doping improve surface hydrophilicity, ensuring better electrolyte penetration and reducing charge transfer resistance. (iii) Composite materials combine PBZ-derived carbon with other high-performance materials like graphene and metal oxides to leverage synergistic effects that boost energy storage capabilities. Metal oxides (MnO2, Fe2O3) and conducting polymers (polyaniline, polypyrrole) introduce Faradaic charge storage mechanisms, significantly increasing capacitance. Graphene reinforce the PBZ-derived carbon matrix, preventing electrode degradation over repeated charge–discharge cycles. Future work may explore scalable manufacturing techniques for PBZ-based supercapacitor materials and their integration into next-generation energy storage systems. These innovations will be crucial in meeting the increasing demand for high-performance, environmentally friendly, and cost-effective supercapacitors.
Future research should aim at low-cost, eco-friendly, and scalable polymerization and carbonization techniques, possibly incorporating bio-based benzoxazine monomers and solvent-free processes. It should emphasize controllable synthesis of multi-scale porous architectures (micro-, meso-, and macropores) to optimize ion transport and electrolyte accessibility while preserving high surface areas. Addressing degradation mechanisms and ensuring thermal and electrochemical stability over extended cycles remain crucial for commercial viability. Investigating the integration of polybenzoxazine-based materials into flexible or solid-state supercapacitors could expand their application in wearable and portable electronics. By focusing on these areas, researchers can unlock the full potential of polybenzoxazine-derived materials in next-generation supercapacitor technologies.
Author Contributions
Conceptualization—T.P. and S.P.A.; methodology—T.P. and S.P.A.; validation— J.L.; formal analysis—T.P. and S.P.A.; investigation—J.L.; resources—J.L.; data curation—T.P. and S.P.A.; writing—original draft preparation—T.P. and S.P.A.; writing—review and editing—S.P.A., T.P. and J.L.; visualization—J.L.; supervision—J.L.; project administration—J.L.; funding acquisition—J.L. All authors have read and agreed to the published version of the manuscript.
Funding
This research received no external funding.
Acknowledgments
This work was supported by the 2025 Yeungnam University Research Grant.
Conflicts of Interest
The authors declare no conflict of interest.
References
- Murugan, E.; Munusamy, K.; Babu, A.V. Development of Aryl Ether-Free Cross-Linked Polymer Membranes for Sustainable Electrochemical Energy Conversion and Storage Applications. Chem. Eng. J. 2024, 501, 157473. [Google Scholar] [CrossRef]
- Raja, M.; Sadhasivam, B.; Janraj Naik, R.; Dhamodharan, R.; Ramanujam, K. A Chitosan/Poly(Ethylene Glycol)-Ran-Poly(Propylene Glycol) Blend as an Eco-Benign Separator and Binder for Quasi-Solid-State Supercapacitor Applications. Sustain. Energy Fuels 2019, 3, 760–773. [Google Scholar] [CrossRef]
- Murugan, E.; Govindaraju, S.; Santhoshkumar, S. Hydrothermal Synthesis, Characterization and Electrochemical Behavior of NiMoO4 Nanoflower and NiMoO4/RGO Nanocomposite for High-Performance Supercapacitors. Electrochim. Acta 2021, 392, 138973. [Google Scholar] [CrossRef]
- Kesava, M.; Velautham, S.; Krishnan, S.; Kannaiyan, D. Graphene Nanosheets Dispersed Hydrophobic and Flexible Aliphatic Chain Containing Multifunctional Poly(Benzoxazines) Nanocomposites for Medium Temperature Proton Exchange Membrane Fuel Cell Applications. Int. J. Energy Res. 2022, 46, 18162–18178. [Google Scholar] [CrossRef]
- Cao, X.; Cui, L.; Liu, B.; Liu, Y.; Jia, D.; Yang, W.; Razal, J.M.; Liu, J. Reverse Synthesis of Star Anise-like Cobalt Doped Cu-MOF/Cu2+1 O Hybrid Materials Based on a Cu(OH)2 Precursor for High Performance Supercapacitors. J. Mater. Chem. A 2019, 7, 3815–3827. [Google Scholar] [CrossRef]
- Kesava, M.; Dinakaran, K. SnO2 Nanoparticle Assisted Enhanced Proton Exchange Membrane Fuel Cell Performance of Sulfuric Acid-Doped Porous Poly (Triphenylpyridine-Aliphatic Ethers). J. Phys. Chem. C 2021, 125, 130–142. [Google Scholar] [CrossRef]
- Lade, H.; Kumar, V.; Arthanareeswaran, G.; Ismail, A.F. Sulfonated Poly(Arylene Ether Sulfone) Nanocomposite Electrolyte Membrane for Fuel Cell Applications: A Review. Int. J. Hydrogen Energy 2017, 42, 1063–1074. [Google Scholar] [CrossRef]
- Le, Q.B.; Nguyen, T.H.; Fei, H.; Bubulinca, C.; Munster, L.; Bugarova, N.; Micusik, M.; Kiefer, R.; Dao, T.T.; Omastova, M.; et al. Electrochemical Performance of Composite Electrodes Based on RGO, Mn/Cu Metal–Organic Frameworks, and PANI. Sci. Rep. 2022, 12, 664. [Google Scholar] [CrossRef]
- Selvaraj, K.; Yu, B.; Spontón, M.E.; Kumar, P.; Veerasamy, U.S.; Arulraj, A.; Mangalaraja, R.V.; Almarhoon, Z.M.; Sayed, S.R.M.; Kannaiyan, D. Nonylphenol Polybenzoxazines-Derived Nitrogen-Rich Porous Carbon (NRPC)-Supported g-C3N4/Fe3O4 Nanocomposite for Efficient High-Performance Supercapacitor Application. Soft Matter 2024, 20, 7957–7969. [Google Scholar] [CrossRef]
- Selvaraj, K.; Spontón, M.E.; Estenoz, D.A.; Casarino, A.F.; Veerasamy, U.S.; Kumar, M.; Al-Mohaimeed, A.M.; Al-onazi, W.A.; Kannaiyan, D. Development of Quinoline-Based Heteroatom Polybenzoxazines Reinforced Graphitic Carbon Nitride (GCN) Carbonisation Composites for Emerging Supercapacitor Applications. Soft Matter 2024, 20, 1210–1223. [Google Scholar] [CrossRef]
- Wang, S.; Ma, J.; Shi, X.; Zhu, Y.; Wu, Z.S. Recent Status and Future Perspectives of Ultracompact and Customizable Micro-Supercapacitors. Nano Res. Energy 2022, 1, e9120018. [Google Scholar] [CrossRef]
- Amir, M.; Deshmukh, R.G.; Khalid, H.M.; Said, Z.; Raza, A.; Muyeen, S.M.; Nizami, A.S.; Elavarasan, R.M.; Saidur, R.; Sopian, K. Energy Storage Technologies: An Integrated Survey of Developments, Global Economical/Environmental Effects, Optimal Scheduling Model, and Sustainable Adaption Policies. J. Energy Storage 2023, 72, 108694. [Google Scholar] [CrossRef]
- Wang, H.; Shao, Y.; Mei, S.; Lu, Y.; Zhang, M.; Sun, J.K.; Matyjaszewski, K.; Antonietti, M.; Yuan, J. Polymer-Derived Heteroatom-Doped Porous Carbon Materials. Chem. Rev. 2020, 120, 9363–9419. [Google Scholar] [CrossRef]
- Rajendran, K.; Lolupiman, K.; Okhawilai, M.; Therese, H.A.; Kheawhom, S.; Tan, P.; Qin, J. Synthesis, Formation Mechanism and Supercapacitor Performance of MoS2/Mo2C/C Nanofibers. J. Alloys Compd. 2024, 980, 173549. [Google Scholar] [CrossRef]
- Asrafali, S.P.; Periyasamy, T.; Kim, S.C. Enhanced Electrochemical Performance of HC/NiCo@800C//HC Using Redox-Active Electrolytes Showing Increased Energy Density. J. Alloys Compd. 2024, 972, 172753. [Google Scholar] [CrossRef]
- Zhu, X.; Ji, C.; Meng, Q.; Mi, H.; Yang, Q.; Li, Z.; Yang, N.; Qiu, J. Freeze-Tolerant Hydrogel Electrolyte with High Strength for Stable Operation of Flexible Zinc-Ion Hybrid Supercapacitors. Small 2022, 18, 2200055. [Google Scholar] [CrossRef]
- Silva, R.J.; Klobukoski, V.; de Paula, J.I.S.; Riegel-Vidotti, I.C.; Vidotti, M. Assembly of Symmetric Supercapacitor Based on Alginate Hydrogel Electrolyte and Polyaniline Modified Electrodes. Electrochim. Acta 2022, 429, 140914. [Google Scholar] [CrossRef]
- Liu, J.; Ye, Z.; Hu, X.; Ahmed, S.; Song, S. High-Performance Na-Ion Conducting Polymer Gel Membrane for Supercapacitor Applications. ACS Appl. Polym. Mater. 2022, 4, 280–288. [Google Scholar] [CrossRef]
- Jin, T.; Su, J.; Luo, Q.; Zhu, W.; Lai, H.; Huang, D.; Wang, C. Preparation of N,P Co-Doped Porous Carbon Derived from Daylily for Supercapacitor Applications. ACS Omega 2022, 7, 37564–37571. [Google Scholar] [CrossRef]
- Zhang, P.; Mu, J.; Guo, Z.; Wong, S.I.; Sunarso, J.; Zhao, Y.; Xing, W.; Zhou, J.; Zhuo, S. Watermelon Peel-Derived Heteroatom-Doped Hierarchical Porous Carbon as a High-Performance Electrode Material for Supercapacitors. ChemElectroChem 2021, 8, 1196–1203. [Google Scholar] [CrossRef]
- Ghosh, S.; Barg, S.; Jeong, S.M.; Ostrikov, K. Heteroatom-Doped and Oxygen-Functionalized Nanocarbons for High-Performance Supercapacitors. Adv. Energy Mater. 2020, 10, 2001239. [Google Scholar] [CrossRef]
- Zuo, W.; Li, R.; Zhou, C.; Li, Y.; Xia, J.; Liu, J. Battery-Supercapacitor Hybrid Devices: Recent Progress and Future Prospects. Adv. Sci. 2017, 4, 1600539. [Google Scholar] [CrossRef]
- Lukatskaya, M.; Dunn, B.; Gogotsi, Y. Multidimensional materials and device architectures for future hybrid energy storage. Nat. Commun. 2016, 7, 12647. [Google Scholar] [CrossRef]
- Wang, D.-G.; Liang, Z.; Gao, S.; Qu, C.; Zou, R. Metal-organic framework-based materials for hybrid supercapacitor application. Coord. Chem. Rev. 2020, 404, 213093. [Google Scholar] [CrossRef]
- Tiwari, I.; Tanwar, V.; Ingole, P.P.; Nebhani, L. Heteroatom-Enriched Carbon Particles Derived from Multifunctional Polybenzoxazine Particles for High-Performance Supercapacitors. ACS Appl. Energy Mater. 2024, 7, 7185–7204. [Google Scholar] [CrossRef]
- Ye, X.; Fan, Q.; Shang, L.; Ye, F. Adsorptive Carbon-Based Materials for Biomedical Applications. Eng. Regen. 2022, 3, 352–364. [Google Scholar] [CrossRef]
- Saida, T.; Sakakibara, K.; Igami, R.; Maruyama, T. Synthesis of a Pt/Carbon-Sphere Catalyst and Evaluation of Its Oxygen Reduction Reaction Activity in Acidic Environments. Energy Fuels 2022, 36, 1027–1033. [Google Scholar] [CrossRef]
- Sobczuk, K.S.; Pełech, I.; Narkiewicz, U.; Staciwa, P.; Sibera, D.; Moszyński, D. The Influence of the Synthesis PH on the Morphology and Adsorption Properties of Carbon Spheres. Appl. Surf. Sci. 2023, 608, 155196. [Google Scholar] [CrossRef]
- Kakani, V.; Ramesh, S.; Yadav, H.M.; Bathula, C.; Basivi, P.K.; Palem, R.R.; Kim, H.S.; Pasupuletti, V.R.; Lee, H.; Kim, H. Hydrothermal Synthesis of CuO@MnO2 on Nitrogen-Doped Multiwalled Carbon Nanotube Composite Electrodes for Supercapacitor Applications. Sci. Rep. 2022, 12, 12951. [Google Scholar] [CrossRef]
- Bîru, E.I.; Gârea, S.A.; Iovu, H. Developing Polybenzoxazine Composites Based on Various Carbon Structures. Macromol. Chem. Phys. 2019, 220, 1800322. [Google Scholar] [CrossRef]
- Le, T.H.; Yoon, H. Strategies for Fabricating Versatile Carbon Nanomaterials from Polymer Precursors. Carbon 2019, 152, 796–817. [Google Scholar] [CrossRef]
- Al Aiti, M.; Jehnichen, D.; Fischer, D.; Brünig, H.; Heinrich, G. On the Morphology and Structure Formation of Carbon Fibers from Polymer Precursor Systems. Prog. Mater. Sci. 2018, 98, 477–551. [Google Scholar] [CrossRef]
- Liu, J.; Qiao, S.Z.; Liu, H.; Chen, J.; Orpe, A.; Zhao, D.; Lu, G.Q. Extension of the Stöber Method to the Preparation of Monodisperse Resorcinol-Formaldehyde Resin Polymer and Carbon Spheres. Angew. Chem.—Int. Ed. 2011, 50, 5947–5951. [Google Scholar] [CrossRef]
- Wu, H.; Qin, Y.; Zong, S.; Hu, Y.; Xaba, M.S.; Liu, X.; Chen, A. Porous Yolk–Shell-Structured Carbon Nanospheres for Electrochemical Energy Storage. J. Mater. Sci. Mater. Electron. 2020, 31, 13321–13329. [Google Scholar] [CrossRef]
- Konnola, R.; Anirudhan, T.S. Efficient Carbon Dioxide Capture by Nitrogen and Sulfur Dual-Doped Mesoporous Carbon Spheres from Polybenzoxazines Synthesized by a Simple Strategy. J. Environ. Chem. Eng. 2020, 8, 103614. [Google Scholar] [CrossRef]
- Inagaki, M.; Toyoda, M.; Soneda, Y.; Morishita, T. Nitrogen-Doped Carbon Materials. Carbon 2018, 132, 104–140. [Google Scholar] [CrossRef]
- Leng, J.; Wang, Z.; Wang, J.; Wu, H.H.; Yan, G.; Li, X.; Guo, H.; Liu, Y.; Zhang, Q.; Guo, Z. Advances in Nanostructures Fabricated: Via Spray Pyrolysis and Their Applications in Energy Storage and Conversion. Chem. Soc. Rev. 2019, 48, 3015–3072. [Google Scholar] [CrossRef]
- Thirukumaran, P.; Atchudan, R.; Parveen, A.S.; Lee, Y.R.; Kim, S.C. Polybenzoxazine Originated N-Doped Mesoporous Carbon Ropes as an Electrode Material for High-Performance Supercapacitors. J. Alloys Compd. 2018, 750, 384–391. [Google Scholar] [CrossRef]
- Yang, Y.; Du, H.; Sun, D.; Lu, C.; Lu, C.; Gao, J.; Xu, C.; Ma, X. Boosting Capacitive Performance of S-Doped Carbon Fibers via Substrate-Oriented Activation Methodology. Ind. Eng. Chem. Res. 2025, 64, 2745–2757. [Google Scholar] [CrossRef]
- Wang, H.; Wang, P.; Li, J.; Ran, Q. Facile Preparation and Improved Electrochemical Performance of Oxygen-Enriched Porous Carbon Materials Based on Diacetal-Containing Polybenzoxazine. Macromol. Mater. Eng. 2023, 308, 2200508. [Google Scholar] [CrossRef]
- Hulicova-Jurcakova, D.; Kodama, M.; Shiraishi, S.; Hatori, H.; Zhu, Z.H.; Lu, G.Q. Nitrogen-Enriched Nonporous Carbon Electrodes with Extraordinary Supercapacitance. Adv. Funct. Mater. 2009, 19, 1800–1809. [Google Scholar] [CrossRef]
- Wang, L.; Sun, J.; Zhang, H.; Xu, L.; Liu, G. Preparation of Benzoxazine-Based N-Doped Mesoporous Carbon Material and Its Electrochemical Behaviour as Supercapacitor. J. Electroanal. Chem. 2020, 868, 114196. [Google Scholar] [CrossRef]
- Cheng, Q.; Tang, J.; Ma, J.; Zhang, H.; Shinya, N.; Qin, L.C. Graphene and Carbon Nanotube Composite Electrodes for Supercapacitors with Ultra-High Energy Density. Phys. Chem. Chem. Phys. 2011, 13, 17615–17624. [Google Scholar] [CrossRef] [PubMed]
- Mohamed, M.G.; Su, B.X.; Kuo, S.W. Robust Nitrogen-Doped Microporous Carbon via Crown Ether-Functionalized Benzoxazine-Linked Porous Organic Polymers for Enhanced CO2 Adsorption and Supercapacitor Applications. ACS Appl. Mater. Interfaces 2024, 16, 40858–40872. [Google Scholar] [CrossRef]
- Zhang, K.; Liu, Y.; Ishida, H. Polymerization of an AB-Type Benzoxazine Monomer toward Different Polybenzoxazine Networks: When Diels-Alder Reaction Meets Benzoxazine Chemistry in a Single-Component Resin. Macromolecules 2019, 52, 7386–7395. [Google Scholar] [CrossRef]
- Samy, M.M.; Mohamed, M.G.; Kuo, S.W. Directly Synthesized Nitrogen-and-Oxygen–Doped Microporous Carbons Derived from a Bio-Derived Polybenzoxazine Exhibiting High-Performance Supercapacitance and CO2 Uptake. Eur. Polym. J. 2020, 138, 109954. [Google Scholar] [CrossRef]
- Mukherjee, S.; Amarnath, N.; Lochab, B. Oxazine Ring-Substituted 4th Generation Benzoxazine Monomers & Polymers: Stereoelectronic Effect of Phenyl Substituents on Thermal Properties. Macromolecules 2021, 54, 9510–9525. [Google Scholar] [CrossRef]
- Pei, F.; An, T.H.; Zang, J.; Zhao, X.J.; Fang, X.L.; Zheng, M.S.; Dong, Q.F.; Zheng, N.F. From Hollow Carbon Spheres to N-Doped Hollow Porous Carbon Bowls: Rational Design of Hollow Carbon Host for Li-S Batteries. Adv. Energy Mater. 2016, 6, 1502539. [Google Scholar] [CrossRef]
- Zhao, J.; Gilani, M.R.H.S.; Lai, J.; Nsabimana, A.; Liu, Z.; Luque, R.; Xu, G. Autocatalysis Synthesis of Poly(Benzoxazine- Co-Resol)-Based Polymer and Carbon Spheres. Macromolecules 2018, 51, 5494–5500. [Google Scholar] [CrossRef]
- Majumdar, D.; Mandal, M.; Bhattacharya, S.K. V2O5 and Its Carbon-Based Nanocomposites for Supercapacitor Applications. ChemElectroChem 2019, 6, 1623–1648. [Google Scholar] [CrossRef]
- Chen, N.; Younis, A.; Huang, S.; Chu, D.; Li, S. Advanced Three-Dimensional Hierarchical Pr6O11@Ni-Co Oxides-Based Core-Shell Electrodes for Supercapacitance Application. J. Alloys Compd. 2019, 783, 772–778. [Google Scholar] [CrossRef]
- Das, T.K.; Ghosh, P.; Das, N.C. Preparation, Development, Outcomes, and Application Versatility of Carbon Fiber-Based Polymer Composites: A Review. Adv. Compos. Hybrid Mater. 2019, 2, 214–233. [Google Scholar] [CrossRef]
- Zhang, Z.; Deng, S.; Wang, D.; Qing, Y.; Yan, G.; Li, L.; Wu, Y. Low-Tortuosity Carbon Electrode Derived from Wood@ZIF-67 for Supercapacitor Applications. Chem. Eng. J. 2023, 454, 140410. [Google Scholar] [CrossRef]
- Wang, S.; Li, W.C.; Zhang, L.; Jin, Z.Y.; Lu, A.H. Polybenzoxazine-based monodisperse carbon spheres with low-thermal shrinkage and their CO2 adsorption properties. J. Mater. Chem. A 2014, 2, 4406–4412. [Google Scholar] [CrossRef]
- Wang, S.; Li, W.C.; Hao, G.P.; Hao, Y.; Sun, Q.; Zhang, X.Q.; Lu, A.H. Temperature-Programmed Precise Control over the Sizes of Carbon Nanospheres Based on Benzoxazine Chemistry. J. Am. Chem. Soc. 2011, 133, 15304–15307. [Google Scholar] [CrossRef]
- Lu, N.; He, G.; Liu, J.; Liu, G.; Li, J. Combustion synthesis of graphene for water treatment. Ceram. Int. 2018, 44, 2463–2469. [Google Scholar] [CrossRef]
- Nagaraju, P.; Alsalme, A.; Alswieleh, A.; Jayavel, R. Facile in-situ microwave irradiation synthesis of TiO2/graphene nanocomposite for high-performance supercapacitor applications. J. Electroanal. Chem. 2018, 808, 90–100. [Google Scholar] [CrossRef]
- Li, Y.-Y.; Li, Y.-L.; Liu, L.-N.; Xu, Z.-W.; Xie, G.; Wang, Y.; Zhao, F.-G.; Gao, T.; Li, W.-S. Microporous N- and O-Codoped Carbon Materials Derived from Benzoxazine for Supercapacitor Application. Inorganics 2023, 11, 269. [Google Scholar] [CrossRef]
- Shaer, C.; Oppenheimer, L.; Lin, A.; Ishida, H. Advanced Carbon Materials Derived from Polybenzoxazines: A Review. Polymers 2021, 13, 3775. [Google Scholar] [CrossRef]
- Thirukumaran, P.; Atchudan, R.; Parveen, A.S.; Lee, Y.R.; Kim, S.C. The Synthesis of Mechanically Stable Polybenzoxazine-Based Porous Carbon and Its Application as High-Performance Supercapacitor Electrodes. New J. Chem. 2021, 45, 8738–8746. [Google Scholar] [CrossRef]
- Xu, X.; Zhou, J.; Nagaraju, D.H.; Jiang, L.; Marinov, V.R.; Lubineau, G.; Alshareef, H.N.; Oh, M. Flexible, Highly Graphitized Carbon Aerogels Based on Bacterial Cellulose/Lignin: Catalyst-Free Synthesis and its Application in Energy Storage Devices. Adv. Funct. Mater. 2015, 25, 3193–3202. [Google Scholar] [CrossRef]
- Jin, Y.; Tian, K.; Wei, L.; Zhang, X.; Guo, X. Hierarchical porous microspheres of activated carbon with a high surface area from spores for electrochemical double-layer capacitors. J. Mater. Chem. A 2016, 4, 15968–15979. [Google Scholar] [CrossRef]
- Sudhan, N.; Subramani, K.; Karnam, M.; Ilayaraja, N.; Sathish, M. Biomass-Derived Activated Porous Carbon from Rice Straw for a High-Energy Symmetric Supercapacitor in Aqueous and Non-aqueous Electrolytes. Energy Fuels 2017, 31, 977–985. [Google Scholar] [CrossRef]
- Thubsuang, U.; Chotirut, S.; Thongnok, A.; Promraksa, A.; Nisoa, M.; Manmuanpom, N.; Wongkasemjit, S.; Chaisuwan, T. Facile Preparation of Polybenzoxazine-Based Carbon Microspheres with Nitrogen Functionalities: Effects of Mixed Solvents on Pore Structure and Supercapacitive Performance. Front. Chem. Sci. Eng. 2020, 14, 1072–1086. [Google Scholar] [CrossRef]
- Lei, W.; Guo, J.; Wu, Z.; Xuan, C.; Xiao, W.; Wang, D. Highly nitrogen and sulfur dual-doped carbon microspheres for supercapacitors. Sci. Bull. 2017, 62, 1011–1017. [Google Scholar] [CrossRef] [PubMed]
- Wang, Y.; Yan, X.; Tu, M.; Cheng, J.; Zhang, J. Resin-derived activated carbons with in-situ nitrogen doping and high specific surface area for high-performance supercapacitors. Mater. Lett. 2017, 191, 178–181. [Google Scholar] [CrossRef]
- Zhu, D.; Jiang, J.; Sun, D.; Qian, X.; Wang, Y.; Li, L.; Wang, Z.; Chai, X.; Gan, L.; Liu, M. A general strategy to synthesize high-level N-doped porous carbons via Schiff-base chemistry for supercapacitors. J. Mater. Chem. A 2018, 6, 12334–12343. [Google Scholar] [CrossRef]
- Song, Z.; Duan, H.; Zhu, D.; Lv, Y.; Xiong, W.; Cao, T.; Li, L.; Liu, M.; Gan, L. Ternary-doped carbon electrodes for advanced aqueous solid-state supercapacitors based on a “water-in-salt” gel electrolyte. J. Mater. Chem. A 2019, 7, 15801–15811. [Google Scholar] [CrossRef]
- Li, Q.; Lu, T.; Wang, L.; Pang, R.; Shao, J.; Liu, L.; Hu, X. Biomass based N-doped porous carbons as efficient CO2 adsorbents and high-performance supercapacitor electrodes. Sep. Purif. Technol. 2021, 275, 119204. [Google Scholar] [CrossRef]
- Li, J.; Zou, Y.; Xiang, C.; Xu, F.; Sun, L.; Li, B.; Zhang, J. Osmanthus fragrans-derived N-doped porous carbon for supercapacitor applications. J. Energy Storage 2021, 42, 103017. [Google Scholar] [CrossRef]
- Wan, L.; Wang, J.; Sun, Y.; Feng, C.; Li, K. Polybenzoxazine-Based Nitrogen-Containing Porous Carbons for High-Performance Supercapacitor Electrodes and Carbon Dioxide Capture. RSC Adv. 2015, 5, 5331–5342. [Google Scholar] [CrossRef]
- Wang, J.C.; Liu, Q. An efficient one-step condensation and activation strategy to synthesize porous carbons with optimal micropore sizes for highly selective CO2 adsorption. Nanoscale 2014, 6, 4148–4156. [Google Scholar] [CrossRef] [PubMed]
- Hao, G.P.; Li, W.C.; Qian, D.; Lu, A.H. Rapid Synthesis of Nitrogen-Doped Porous Carbon Monolith for CO2 Capture. Adv. Mater. 2010, 22, 853–857. [Google Scholar] [CrossRef] [PubMed]
- Sun, L.; Tian, C.; Fu, Y.; Yang, Y.; Yin, J.; Wang, L.; Fu, H. Nitrogen-Doped Porous Graphitic Carbon as an Excellent Electrode Material for Advanced Supercapacitors. Chem.–Eur. J. 2014, 20, 564–574. [Google Scholar] [CrossRef]
- Xu, B.; Zheng, D.; Jia, M.; Cao, G.; Yang, Y. Nitrogen-doped porous carbon simply prepared by pyrolyzing a nitrogen-containing organic salt for supercapacitors. Electrochim. Acta 2013, 98, 176–182. [Google Scholar] [CrossRef]
- Chen, L.F.; Huang, Z.H.; Liang, H.W.; Yao, W.T.; Yu, Z.Y.; Yu, S.H. Flexible all-solid-state high-power supercapacitor fabricated with nitrogen-doped carbon nanofiber electrode material derived from bacterial cellulose. Energy Environ. Sci. 2013, 6, 3331–3338. [Google Scholar] [CrossRef]
- Liu, Y.; Cao, L.; Luo, J.; Peng, Y.; Ji, Q.; Dai, J.; Zhu, J.; Liu, X. Biobased Nitrogen- and Oxygen-Codoped Carbon Materials for High-Performance Supercapacitor. ACS Sustain. Chem. Eng. 2019, 7, 2763–2773. [Google Scholar] [CrossRef]
- Huang, C.H.; Zhang, Q.; Chou, T.C.; Chen, C.M.; Su, D.S.; Doong, R.A. Three dimensional hierarchically ordered porous carbons with partially graphitic nanostructures for electrochemical capacitive energy storage. ChemSusChem 2012, 5, 563–571. [Google Scholar] [CrossRef]
- Chen, L.F.; Zhang, X.D.; Liang, H.W.; Kong, M.G.; Guan, Q.F.; Chen, P.; Wu, Z.Y.; Yu, S.H. Synthesis of nitrogen-doped porous carbon nanofibers as an efficient electrode material for supercapacitors. ACS Nano 2012, 6, 7092–7102. [Google Scholar] [CrossRef]
- Li, J.G.; Lee, P.Y.; Ahmed, M.M.M.; Mohamed, M.G.; Kuo, S.W. Varying the hydrogen bonding strength in phenolic/PEO-b -PLA blends provides mesoporous carbons having large accessible pores suitable for energy storage. Macromol. Chem. Phys. 2020, 221, 2000040. [Google Scholar] [CrossRef]
- Mohamed, M.G.; Hung, W.S.; EL-Mahdy, A.F.M.; Ahmed, M.M.M.; Dai, L.; Chen, T.; Kuo, S.W. High-molecular-weight PLA-b-PEO-b-PLA triblock copolymer templated large mesoporous carbons for supercapacitors and CO2 capture. Polymers 2020, 12, 1193. [Google Scholar] [CrossRef]
- Zhang, M.; Yang, C.; Wang, Y.; Gao, F.; Cheng, J.; Zhang, J. High-Performance Supercapacitor Based on Nitrogen and Phosphorus Co-Doped Nonporous Polybenzoxazine-Based Carbon Electrodes. J. Electrochem. Soc. 2018, 165, A3313–A3320. [Google Scholar] [CrossRef]
- Lee, Y.-H.; Lee, Y.-F.; Chang, K.-H.; Hu, C.-C. Synthesis of N-doped carbon nanosheets from collagen for electrochemical energy storage/conversion systems. Electrochem. Commun. 2011, 13, 50. [Google Scholar] [CrossRef]
- Wang, C.; Sun, L.; Zhou, Y.; Wan, P.; Zhang, X.; Qiu, J. P/N co-doped microporous carbons from H3PO4-doped polyaniline by in situ activation for supercapacitors. Carbon 2013, 59, 537. [Google Scholar] [CrossRef]
- Bardestani, R.; Patience, G.S.; Kaliaguine, S. Experimental methods in chemical engineering: Specific surface area and pore size distribution measurements—BET, BJH, and DFT. Can. J. Chem. Eng. 2019, 97, 2781–2791. [Google Scholar] [CrossRef]
- Liu, Y.; Yao, Z.; Zhou, J.; Jin, L.; Wei, B.O.; He, X. Facile synthesis of MOF-derived concave cube nanocomposite by self-templated toward lightweight and wideband microwave absorption. Carbon 2022, 186, 574–588. [Google Scholar] [CrossRef]
- Chen, Y.; Zhang, Z.; Huang, Z.; Zhang, H. Effects of oxygen-containing functional groups on the supercapacitor performance of incompletely reduced graphene oxides. Int. J. Hydrogen Energy 2017, 42, 7186–7194. [Google Scholar] [CrossRef]
- Bai, L.; Ge, Y.; Bai, L. Boron and Nitrogen Co-Doped Porous Carbons Synthesized from Polybenzoxazines for High-Performance Supercapacitors. Coatings 2019, 9, 657. [Google Scholar] [CrossRef]
- Puthusseri, D.; Aravindan, V.; Madhavi, S.; Ogale, S. 3D micro-porous conducting carbon beehive by single step polymer carbonization for high performance supercapacitors: The magic of in situ porogen formation. Energy Environ. Sci. 2014, 7, 728–735. [Google Scholar] [CrossRef]
- Wang, Y.G.; Song, Y.F.; Xia, Y.Y. Electrochemical capacitors: Mechanism, materials, systems, characterization and applications. Chem. Soc. Rev. 2016, 45, 5925–5950. [Google Scholar] [CrossRef]
- Periyasamy, T.; Asrafali, S.P.; Kim, S.C. Nitrogen-Rich Porous Carbon/NiMn Hybrids as Electrode Materials for High-Performance Supercapacitors. ACS Appl. Energy Mater. 2022, 5, 15605–15614. [Google Scholar] [CrossRef]
- Aasen, D.A.; Shen, Y.; Ivey, D.G. Zn-Based Oxides Anchored to Nitrogen-Doped Carbon Nanotubes as Efficient Bifunctional Catalysts for Zn-Air Batteries. ChemElectroChem. 2020, 7, 2283. [Google Scholar] [CrossRef]
- Chen, X.; Chen, X.; Zhang, F.; Yang, Z.; Huang, S. One-pot hydrothermal synthesis of reduced graphene oxide/carbon nanotube/α-Ni(OH)2 composites for high performance electrochemical supercapacitor. J. Power Sources 2013, 243, 555–561. [Google Scholar] [CrossRef]
- Thirukumaran, P.; Atchudan, R.; Shakila Parveen, A.; Santhamoorthy, M.; Ramkumar, V.; Kim, S.-C. N-Doped Mesoporous Carbon Prepared from a Polybenzoxazine Precursor for High Performance Supercapacitors. Polymers 2021, 13, 2048. [Google Scholar] [CrossRef] [PubMed]
- Zhu, G.; Wen, H.; Ma, M.; Wang, W.; Yang, L.; Wang, L.; Shi, X.; Cheng, X.; Sun, X.; Yao, Y. A self-supported hierarchical Co-MOF as a supercapacitor electrode with ultrahigh areal capacitance and excellent rate performance. Chem. Commun. 2018, 54, 10499–10502. [Google Scholar] [CrossRef] [PubMed]
- Yang, Y.; Zhu, T.; Chi, C.; Liu, L.; Zheng, J.; Gong, X. All-Solid-State Asymmetric Supercapacitors with Novel Ionic Liquid Gel Electrolytes. ACS Appl. Electron. Mater. 2020, 2, 3906–3914. [Google Scholar] [CrossRef]
- Ge, J.; Qu, Y.; Cao, L.; Wang, F.; Dou, L.; Yu, J.; Ding, B. Polybenzoxazine-Based Highly Porous Carbon Nanofibrous Membranes Hybridized by Tin Oxide Nanoclusters: Durable Mechanical Elasticity and Capacitive Performance. J. Mater. Chem. A 2016, 4, 7795–7804. [Google Scholar] [CrossRef]
- Ma, C.; Li, Y.J.; Shi, J.L.; Song, Y.; Liu, L. High-performance supercapacitor electrodes based on porous flexible carbon nanofiber paper treated by surface chemical etching. Chem. Eng. J. 2014, 249, 216–225. [Google Scholar] [CrossRef]
- Ike, I.S.; Sigalas, I.; Iyuke, S. Understanding performance limitation and suppression of leakage current or self-discharge in electrochemical capacitors: A review. Phys. Chem. Chem. Phys. 2016, 18, 661–680. [Google Scholar] [CrossRef]
- Wang, G.; Wang, R.; Liu, L.; Zhang, H.; Du, J.; Zhang, Y.; Liu, M.; Liang, K.; Chen, A. Synthesis of hollow mesoporous carbon spheres via Friedel-Crafts reaction strategy for supercapacitor. Mater. Lett. 2017, 197, 71–74. [Google Scholar] [CrossRef]
- Chen, A.; Xia, K.; Zhang, L.; Yu, Y.; Li, Y.; Sun, H.; Wang, Y.; Li, Y.; Li, S. Fabrication of Nitrogen-Doped Hollow Mesoporous Spherical Carbon Capsules for Supercapacitors. Langmuir 2016, 32, 8934–8941. [Google Scholar] [CrossRef]
- Du, J.; Chen, A.; Liu, L.; Li, B.; Zhang, Y. N-Doped Hollow Mesoporous Carbon Spheres Prepared by Polybenzoxazines Precursor for Energy Storage. Carbon 2020, 160, 265–272. [Google Scholar] [CrossRef]
- Ding, B.; Fan, Z.; Lin, Q.; Wang, J.; Chang, Z.; Li, T.; Henzie, J.; Kim, J.; Dou, H.; Zhang, X.; et al. Confined pyrolysis of ZIF-8 polyhedrons wrapped with graphene oxide nanosheets to prepare 3D porous carbon heterostructures. Small Methods 2019, 3, 1900277. [Google Scholar] [CrossRef]
- Sobrinho, R.A.L.; Andrade, G.R.S.; Costa, L.P.; de Souza, M.J.B.; de Souza, A.; Gimenez, I.F. Ordered micro-mesoporous carbon from palm oil cooking waste via nanocasting in HZSM-5/SBA-15 composite: Preparation and adsorption studies. J. Hazard. Mater. 2019, 362, 53–61. [Google Scholar] [CrossRef] [PubMed]
- Zhou, H.; Zhou, Y.; Li, L.; Li, Y.; Liu, X.; Zhao, P.; Gao, B. Amino acid protic ionic liquids: Multifunctional carbon precursor for N/S codoped hierarchically porous carbon materials toward supercapacitive energy storage. ACS Sustain. Chem. Eng. 2019, 7, 9281–9290. [Google Scholar] [CrossRef]
- Shen, H.; Xia, X.; Ouyang, Y.; Jiao, X.; Mutahir, S.; Mandler, D.; Hao, Q. Preparation of high specific capacitance biomass based porous carbons for its application in supercapacitors. ChemElectroChem 2019, 15, 3599–3605. [Google Scholar] [CrossRef]
- Liu, F.; Gao, Y.; Zhang, C.; Huang, H.; Yan, C.; Chu, X.; Xu, Z.; Wang, Z.; Zhang, H.; Xiao, X.; et al. Highly microporous carbon with nitrogen-doping derived from natural biowaste for highperformance flexible solid-state supercapacitor. J. Colloid Interface Sci. 2019, 548, 322–332. [Google Scholar] [CrossRef]
- Lin, Y.; Chen, Z.; Yu, C.; Zhong, W. Heteroatom-doped sheet-like and hierarchical porous carbon based on natural biomass small molecule peach gum for high performance supercapacitors. ACS Sustain. Chem. Eng. 2019, 7, 3389–3403. [Google Scholar] [CrossRef]
- Wan, L.; Du, C.; Yang, S. Synthesis of Graphene Oxide/Polybenzoxazine-Based Nitrogen-Containing Porous Carbon Nanocomposite for Enhanced Supercapacitor Properties. Electrochim. Acta 2017, 251, 12–24. [Google Scholar] [CrossRef]
- Zhang, H.; Bhat, V.V.; Gallego, N.C.; Contescu, C.I. Thermal Treatment Effects on Charge Storage Performance of Graphene-Based Materials for Supercapacitors. ACS Appl. Mater. Interfaces 2012, 4, 3239–3246. [Google Scholar] [CrossRef]
- Xu, J.; Gai, S.; He, F.; Niu, N.; Gao, P.; Chen, Y.; Yang, P. A Sandwich-Type Three-Dimensional Layered Double Hydroxide Nanosheet Array/Graphene Composite: Fabrication and High Supercapacitor Performance. J. Mater. Chem. A 2014, 2, 1022–1031. [Google Scholar] [CrossRef]
- Shi, K.; Zhitomirsky, I. Polypyrrole Nanofiber-Carbon Nanotube Electrodes for Supercapacitors with High Mass Loading Obtained Using an Organic Dye as a Co-Dispersant. J. Mater. Chem. A 2013, 1, 11614–11622. [Google Scholar] [CrossRef]
- Kotz, R.; Carlen, M. Principles and Applications of the Electrochemical Capacitors. Electrochim. Acta 2000, 45, 2483–2498. [Google Scholar] [CrossRef]
- Mohamed, M.; Gamal, M.; Kuo, S. Pyrene-functionalized tetraphenylethylene polybenzoxazine for dispersing single-walled carbon nanotubes and energy storage. Compos. Sci. Technol. 2020, 199, 108360. [Google Scholar] [CrossRef]
- Wen, Y.; Liu, X.; Wen, X.; Chen, X.; Szymanska, K.; Dobrzynska, R.; Mijowska, E. Na3PO4 assistant dispersion of nano-CaCO3 template to enhance electrochemical interface: N/O/P co-doped porous carbon hybrids towards high-performance flexible supercapacitors. Compos. Part B 2020, 199, 108256. [Google Scholar] [CrossRef]
- Yang, Y.; Jiang, K.; Guo, J.; Li, J.; Peng, X.; Hong, B.; Wang, X.; Ge, H. Facile fabrication of Au/Fe3O4 nanocomposites as excellent nanocatalyst for ultrafast recyclable reduction of 4-nitropheol. Chem. Eng. J. 2020, 381, 122596. [Google Scholar] [CrossRef]
- Li, H.; Lun, N.; Bai, Y.J. N-doped carbon-coated TiN exhibiting excellent electrochemical performance for supercapacitors. Electrochim. Acta 2017, 257, 56–63. [Google Scholar]
- Wang, S.; Wang, B.; He, S.; Wang, Y.; Cheng, J.; Li, Y. Enhancing the photovoltaic performance of planar heterojunction perovskite solar cells via introducing binary-mixed organic electron transport layers. New J. Chem. 2023, 47, 5048–5055. [Google Scholar] [CrossRef]
- Sharma, P.; Tanwar, V.; Tiwari, I.; Ingole, P.P.; Nebhani, L. Sustainable Upcycling of Nitrogen-Enriched Polybenzoxazine Thermosets into Nitrogen-Doped Carbon Materials for Contriving High-Performance Supercapacitors. Energy Fuels 2023, 37, 7445–7467. [Google Scholar] [CrossRef]
- Wu, J.; Zhang, D.; Wang, Y.; Hou, B. Electrocatalytic Activity of Nitrogen-Doped Graphene Synthesized via a One-Pot Hydrothermal Process towards Oxygen Reduction Reaction. J. Power Sources 2013, 227, 185–190. [Google Scholar] [CrossRef]
- Bhattacharjya, D.; Kim, M.-S.; Bae, T.-S.; Yu, J.-S. High Performance Supercapacitor Prepared from Hollow Mesoporous Carbon Capsules with Hierarchical Nanoarchitecture. J. Power Sources 2013, 244, 799–805. [Google Scholar] [CrossRef]
- Lau, S.C.; Lim, H.N.; Ravoof, T.B.S.A.; Yaacob, M.H.; Grant, D.M.; MacKenzie, R.C.I.; Harrison, I.; Huang, N.M. A Three-Electrode Integrated Photo-Supercapacitor Utilizing Graphene-Based Intermediate Bifunctional Electrode. Electrochim. Acta 2017, 238, 178–184. [Google Scholar] [CrossRef]
- Zhao, J.; Niu, W.; Zhang, L.; Cai, H.; Han, M.; Yuan, Y.; Majeed, S.; Anjum, S.; Xu, G. A Template-Free and Surfactant-Free Method for High-Yield Synthesis of Highly Monodisperse 3-Aminophenol-Formaldehyde Resin and Carbon Nano/Microspheres. Macromolecules 2013, 46, 140–145. [Google Scholar] [CrossRef]
- Silvestre-Albero, A.M.; Juárez-Galán, J.M.; Silvestre-Albero, J.; Rodríguez-Reinoso, F. Low-Pressure Hysteresis in Adsorption: An Artifact? J. Phys. Chem. C 2012, 116, 16652–16655. [Google Scholar] [CrossRef]
- Wen, Y.; Chi, L.; Wenelska, K.; Wen, X.; Chen, X.; Mijowska, E. Eucalyptus Derived Heteroatom-Doped Hierarchical Porous Carbons as Electrode Materials in Supercapacitors. Sci. Rep. 2020, 10, 14631. [Google Scholar] [CrossRef] [PubMed]
- Zhang, Y.; Li, G.Y.; Lv, Y.; Wang, L.Z.; Zhang, A.Q.; Song, Y.H.; Huang, B.L. Electrochemical Investigation of MnO2 Electrode Material for Supercapacitors. Int. J. Hydrogen Energy 2011, 36, 11760–11766. [Google Scholar] [CrossRef]
- Khan, M.S.; Shakya, P.; Bhardwaj, N.; Jhankal, D.; Sharma, A.K.; Banerjee, M.K.; Sachdev, K. Chemical Vapor Deposited Graphene-Based Quasi-Solid-State Ultrathin and Flexible Sodium-Ion Supercapacitor. J. Electrochem. Sci. Eng. 2022, 12, 799–813. [Google Scholar] [CrossRef]
- Li,, D.-J.; Lei, S.; Wang, Y.-Y.; Chen, S.; Kang, Y.; Gu, Z.-G; Zhang, J. Helical carbon tubes derived from epitaxial Cu-MOF coating on textile for enhanced supercapacitor performance. Dalton Trans. 2018, 47, 5558–5563. [Google Scholar] [CrossRef] [PubMed]
- Chameh, B.; Pooriraj, M.; Keyhan, M.; Moradi, M. Cu-MOF-derived CuO/NiO/Ni3(VO4)2 composite materials with improved electrochemical performance for supercapacitor. J. Mater. Sci Mater. Electron. 2023, 34, 525. [Google Scholar] [CrossRef]
- Deng, Y.; Xie, Y.; Zou, K.; Ji, X. Review on recent advances in nitrogen-doped carbons: Preparations and applications in supercapacitors. J. Mater. Chem. A 2016, 4, 1144–1173. [Google Scholar] [CrossRef]
Disclaimer/Publisher’s Note: The statements, opinions and data contained in all publications are solely those of the individual author(s) and contributor(s) and not of MDPI and/or the editor(s). MDPI and/or the editor(s) disclaim responsibility for any injury to people or property resulting from any ideas, methods, instructions or products referred to in the content. |
© 2025 by the authors. Licensee MDPI, Basel, Switzerland. This article is an open access article distributed under the terms and conditions of the Creative Commons Attribution (CC BY) license (https://creativecommons.org/licenses/by/4.0/).


















