Abstract
The internal short circuit (ISC) in lithium-ion batteries is a serious problem since it is probably the most common cause of a thermal runaway (TR) that still presents many open questions, even though it has been intensively investigated. Therefore, this article focusses on the generation and characterisation of the local single-layer ISC, which is typically caused by cell-internal impurity particles that cannot be completely eliminated in the cell production. A new, very promising method of precise and slow (1 m ) needle penetration made it possible to generate the most safety-critical reliable short-circuit type—the contact between the Al-Collector and the graphite active material of the anode—as demonstrated on a 10 Ah Graphite/NMC pouch cell. The special efforts in achieving high reproducibility as well as the detailed analysis of the initiated internal short-circuit conditions led to more reliable and meaningful results. A comprehensive approach to characterisation has been made by detailed measurement of the dynamic short-circuit evolution and a subsequent post-characterisation, which included the application of different electrochemical measurement techniques as well as a post-abuse analysis. It was shown that the cells demonstrated a very individual and difficult-to-predict behaviour, which is a major challenge for early failure detection and risk assessment of cells with an existing or former ISC. On the one hand, it is found that despite high local temperatures of over 1260 °C and significant damage to the cell-internal structure, the cell did not develop a TR even with further cycling. On the other hand, it was observed that the TR occurs spontaneously without any previous abnormalities. Based on the overall test results, it was shown that at the high state of charge (SOC = 100%), even small, dynamically developing voltage drops (<10 mV) must be classified as safety-critical for the cell. For reliable and early failure detection, the first voltage drops of the ISC must already be detected.
1. Introduction
The lithium-ion battery (LIB) is the favoured energy storage device for a variety of applications today [1,2,3,4]. However, the safe operation of LIBs is still a major challenge [5,6]. Due to the limited thermal stability of the cell materials used in LIBs, insufficient heat dissipation can lead to a so-called Thermal Runaway (TR) of the cell, which means an uncontrolled, unstoppable temperature rise and the release of large amounts of toxic and explosive gases [7,8,9,10]. The uniform definition of TR in LIBs is challenging due to the complex and individual characteristics and is the subject of further research [11,12,13]. Only a small amount (<12%) of released energy is needed to heat up a neighbouring cell to such an extent that it causes TR [14]. This Thermal Propagation (TP) can lead to the complete burnout of a battery system and is particularly feared because of the huge hazard for people and the environment [8,15]. A wide variety of electrical (e.g., overcharging), thermal (e.g., external heat) or mechanical (e.g., crash) failures are possible causes of TR [16,17,18,19,20].
Another important failure type is the internal short circuit (ISC), which is characterised by the development of a cell-internal electroconductive contact between both electrodes. The ISC has been a special focus of battery safety for many years due to the high percentage of caused field failures, the lack of knowledge about the failure causes as well as the failure characteristics and the great challenge for risk reduction strategies, such as early failure detection. Please refer to Table 1 for a brief literature review of this special position of the ISC.
Table 1.
The special standing of the ISC in the field of LIB safety. Aspects that are particularly addressed in this paper are highlighted by bold font.
ISC can result from a wide variety of sources as listed in the following. Please refer to the given specific references for more detailed information.
- Mechanical penetration of the separator due to penetration by sharp external objects [36,37].
- Mechanically induced separator failure due to external forces [38,39,40].
- Microscopic bypassing of the pore structure of the separator due to electrochemically induced dendrite growth [41,42,43,44,45].
- Defective internal cell structure due to production defects [46,47,48,49,50,51,52].
- Penetration of the separator by cell-internal impurity particles (particle-induced ISC) [28,53,54,55].
Furthermore, at this point, reference can be made to the overall literature in which various failure cases are discussed [8,25,26,36]. However, the cause of many field failures remains unknown [17,23]. The reason for this is that for various interest groups (e.g., users, manufacturers, insurances, etc.), mainly the particularly safety-critical failure scenarios (TR and TP) catch attention. Research into the causes of burnt-out cells (TR) is challenging due to the high irreversible destruction level and results often in only a minimum of new insights [26]. In addition, abnormal cells that are largely intact and interesting for analysis are rarely available for detailed investigation [28,56]. Consequently, it is of great interest to replicate application-relevant failure scenarios and to analyse the resulting damage characteristics in detail [17]. For a comprehensive insight, cells in which no TR has occurred must also be examined. Only with a deep understanding of the failure progression is it possible to develop methods for intelligent failure detection [57]. The controlled creation of realistic failure data becomes especially useful for the validation of such methods since there is no homogenous test case yet [58].
The individual ISC behaviour results from numerous influencing factors. Each electrode consists of a collector and the matching active material. As a result, four different contact conditions for an ISC are possible [59]. Due to the different material properties, such as the electrical and thermal conductivity, the melting temperature of the collector and the exothermic reaction behaviour of the active materials, each contact condition has an individual criticality [23,59,60,61]. Here, the contact between the Al-Collector of the cathode with the graphite active material (An) of the anode (Al↔An) is considered as the most critical failure case [32,36,60,62].
A contact between the two active materials of cathode (Ca) and anode (Ca↔An) is rated as very divergent concerning the criticality by the literature and must be further investigated [36,59]. The resulting contact resistance is responsible for the criticality of the ISC and is influenced in particular by the size of the contact area [63,64], the material composition [64], the contact pressure [24,59] and the available amount of electrolyte [65]. This indicates that the contact resistance is subject to a certain degree of scattering, and thus, represents the basis for an individual ISC behaviour [59,65]. In cells, the typical small contact areas lead to a characteristic local fusing process with the first contact (corresponding to the first ISC), which causes a dynamic change of the ISC resistance [64]. This produces an individual ISC behaviour [25], which can be classified according to the voltage behaviour into a specific ISC type, as shown in Figure 1.
Figure 1.
Different voltage characteristics of an ISC compared to the open-circuit voltage of the undamaged cell, classified here as different ISC types. Adapted from [36].
In the case of the minor ISC (type I), the current flow is interrupted early so that the locally measurable temperature rise ( °C) and the voltage drop ( according to [36]) is low. Due to the small amount of removed charge, the voltage relaxes to the initial state within a short time (), but a structurally weakened area remains, from which renewed ISCs can possibly arise [64]. If, on the other hand, greater local heat input occurs, a stronger major ISC (type II) develops [66] with a more severe voltage drop (e.g., according to [36]) and a significant temperature increase ( °C). The further failure development of this ISC type II can be further divided into three subtypes (IIa, b and c), as shown in Figure 1. In type IIa, the dynamic short-circuit development is followed by the interruption of the ISC current, which leads to a relaxation of the cell voltage and decreasing of local temperatures. Due to the damage within the cell, the self-discharge is low but quite constant. In contrast, in type IIb, a continuous dynamic ISC develops, which is characterised by periods with stronger and weaker voltage drops. Finally, the TR of the cell occurs, and the voltage drops spontaneously to . A more violent cell reaction and an abrupt voltage drop to is characterised as type IIc. In particular, the combination of exothermic side reactions [66], the local evaporation of electrolyte [67] and the melting of the separator [24,25] lead to an individual and hard-to-predict ISC behaviour of type II. Furthermore, it is known that the state of charge (SOC) has a significant influence on the failure progression [24,68,69].
The replication of a hard ISC type IIc is comparatively simple, and can be realised by a multi-layer nail penetration or a high external loading [70,71,72]. However, due to the intense rapid reaction, the nail test is more suitable for investigating the general reactivity of a cell or as a failure case for studying TP behaviour than to replicate field-relevant local ISCs. In practice, in many failure cases, ISC in particular is caused by dendrites or impurity particles; however, a very local single-layer ISC results [28,43]. Although it has rarely been examined until now, especially on larger cells, a slower, initially less critical failure progression can be assumed here. As a result, ISC types IIa and IIb, as well as the minor ISC type I, enable an early detection of failures and the initiation of suitable countermeasures to minimise the potential risk. However, the challenge is to reproduce and characterise these local failures [28]. Approaches exist to specifically prepare the cells and insert small components, which subsequently initiate an ISC through an external temperature impact [73,74,75]. Besides the increased preparation effort, it has been shown that these components are not always reliably activated, and thus, do not result in reproducible mechanical initial conditions for ISC development [45,76]. In contrast, external penetration with a thin needle generates ISC reliably [65,77].
This study has the goal to further optimise the needle penetration approach for replicating application-relevant ISCs and to demonstrate the possibilities of reproducible ISC initiation. An ISC leads to internal structural damage, which, in the form of type I or IIa, makes the cell appear quite inconspicuous for a long time [24]. The failure detection of such an ISC is challenging, especially in the case of large-format cells [35,78], as a result of which it must be assumed that in practice, not all failure cases are detected when the first failure occurs, and consequently, such damaged cells remain in operation [31]. Various strategies can be considered for the detection of failures, whereby the change of the electrochemical behaviour in the form of voltage deviations is a particularly promising approach [34,79,80]. This is another reason to analyse extensively the electrochemical cell behaviour of cells with former or still existing ISC in this work. Hereby, an essential contribution is made for a better understanding of the ISC and forms the basis for an enhanced failure detection and risk assessment.
1.1. Structure
To replicate close-to-reality ISCs, a new method was developed. The new approach consists of precise needle penetration, which leads to controlled mechanical ISC conditions. In Section 1.2, the reasoning on the development of the method is described. The used material is then introduced in Section 2. First, the cell type including the cell environment, the temperature measurement and the penetration needle are described (Section 2.1, Section 2.2, Section 2.3 and Section 2.4). The experimental set-up, including the measurement technique for the ISC characterisation, is then examined in Section 2.5.
Subsequently, the specific experimental procedure of ISC initiation is explained in Section 3.1. The essential key features of the ISC are introduced in Section 3.2, while in Section 3.3, the procedure for post-characterisation of the damaged cells is described.
The results are discussed in Section 4. This is divided into the general ISC characteristics (Section 4.1), the investigation of the influence of penetration depth (Section 4.2), the summarised results of the short-term characterisation (Section 4.3) and the results of the post-characterisation (Section 4.4 and Section 4.5). Finally, the main conclusions are outlined in Section 5.
1.2. General Initial Considerations
To replicate a local, single-layer ISC, it is necessary to insert a thin, sharp needle precisely and slowly into the cell. In previous studies, after the first ISC, the needle penetration gets continuously deeper, which changes the primary initiation state [67,77]. Concerning ISCs triggered by dendrites or impurities, the state where no further penetration occurs and the progression of ISCs remains self-sustaining is of particular interest. Due to the immediate stop of the needle penetration, the smallest possible contact area is created. The high requirements for the accuracy of the penetration are realised by a self-developed test rig (Section 2.5). To investigate a better contact condition, it is useful to realise deeper penetrations as a comparison (Section 4.2). However, ISC behaviour can only be correctly rated if the exact mechanical initiation condition is known. This requires experiments with a dummy cell (Section 4.1.1). The low reproducibility of triggers for replicating an ISC is generally criticised, and thus, complicates the investigation of individual parameters [25]. However, the evaluation of reproducibility can only be carried out on the basis of repeated tests [69,81]. From this, a test repetition of six times for each penetration depth results. To evaluate the reproducibility, minimising external parasitic influences has high priority. For this reason, all possible influencing variables, such as temperature, cell bracing and the general cell condition (SOC and state of health (SOH)), are controlled (Section 2.1 and Section 2.2).
An SOC of was deliberately chosen because it corresponds to the maximum cell reactivity [69,82,83]. In addition, it should be mentioned that this high SOC is a probable initial state for an ISC caused by particle contamination [28] due to the increase in volume [51,84] or dendrite formation (e.g., Li-Plating [85]). Since the contact condition of the ISC cannot be identified from the voltage signal itself, it is meaningful to examine the most critical failure case here, the contact condition (Al↔An), in more detail. This is implemented by a specific cell geometry with a cathode as the outermost cell layer. It is clear that not all commercial cells have an outermost cathode and that the needle penetration of cell types with a solid casing (round and prismatic design) is only possible by prior modification, as already discussed in detail in our previous study [28]. At this point, it is important to add that we believe that the influence of the casing on the development and characteristics of the ISC behaviour is rather small, especially in the early stages, which increases the general validity of the obtained results. In addition, it should be mentioned that many cells in the prototype stage are initially pouch cells, to which transferability is good.
Preliminary studies have shown that ISC induces structural changes within the cell, which can lead to changes in the electrochemical behaviour [38,66,86]. From this, the need to measure cell voltage and temperature (Section 2.3) accurately is concluded. In addition, the force and the distance travelled by the needle as well as the gas emission are also measured to characterise the state of the ISC.
This approach will be complemented by extensive post-characterisation, including the cycling of damaged cells (Section 4.4) and a supplementary post-abuse analysis (Section 4.5). Through this, extensive additional data on ISC behaviour will be recorded as well as evaluated, and statements on the risk assessment of ISC behaviour will be concluded.
The main contributions of this paper are:
- Development and application of a method for the reliable replication of realistic single-layer ISCs in lithium-ion pouch cells.
- Detailed characterisation of many ISCs by several measurement techniques in different time ranges.
- Discovering the Partial Thermal Runaway as a new and very interesting failure characteristic.
- Creation of a knowledge base for the ISC which should be used, e.g., for the further development of failure detection methods or for an improved risk assessment in the future.
2. Material
2.1. Cells
The tested 10 Ah cell was specifically selected based on the following prior considerations:
- Creation of most critical ISC contact condition (Al↔An) by needle penetration requires:
- (a)
- A pouch cell;
- (b)
- A cathode as the outermost electrode.
- Utilised cell chemistry (Graphite/NMC) is common for many applications and more safety-critical composition due to the low thermal stability with respect to alternative chemistries [1,87,88].
- Investigation of the known inhomogeneous failure characteristic of an ISC cannot be sensibly conducted at small (laboratory) cells [45,89,90] but with a cell capacity close to application values to generate transferable results. The corresponding ISC risk rises with the capacity due to lower cell-internal resistance and larger currents [31,32,91].
Based on the above requirements, a high-energy NMC cell from Kokam, which was certified according to UL 1642, was used. This cell type consists of 23 double-coated anode layers, 22 cathode layers and 2 single-coated cathode layers as the outermost part of the electrode stack. The separator isolates the electrodes as a Z-winding and is made out of polyethylene (PE: melting point at ≈135 °C [92]). Further information of the cell can be found in Table 2.
Table 2.
Selected datasheet properties of the SLPB98106100 pouch cell from Kokam.
All cells originated from the same batch and were in new condition (100% SOH) before the beginning of the experimental investigation. The tests were performed within 8 months and the cells were stored at room temperature in the delivered state (<30% SOC) so that the calendar ageing can be neglected. Shortly before needle penetration—or other tests—the cells were preconditioned to check the proper cell condition and to reduce hysteresis effects [19]. During this process, the cells completed three full cycles with 1C at 20 °C. In the last cycle, the cells were charged to 100% SOC (CCCV until I < C/20).
The capacity measurement carried out identically on eight cells with 1C indicated a mean capacity of 9.994 Ah with a standard deviation of 0.023 Ah. This means that the relative standard deviation is only 0.23%, which demonstrates a low spread of the cells. In addition, the literature reports a low capacity variation for this cell type [93] or in general for commercially produced LIBs [58].
In summary, the entire procedure ensured that the cells had a very similar initial condition, which is the basis for the most possible reproducible and comparable test results.
2.2. Surrounding Cell Conditions
Bracing [94] and tempering [95] have a major impact on cell performance already in the normal operating window of LIBs. This requires that the bracing and temperature must be precisely controlled during the abuse tests [96,97]. For a realistic replication of the cell surroundings, the cells were tempered to 25 °C and braced with 0.11 MPa, which is inside the optimal operating range for lithium-ion pouch cells [95,98,99].
The cell was braced with six screws between two 8 mm thick aluminium (Al) plates. Between the Al plate and the cell, a 3 mm thick insulation material made of glass fibre was placed (for further information see subsequent Figure 4–Test setup). To control the temperature of the cell, two heating cartridges were integrated into the bracing plate, which were controlled via a PID controller. For post-characterisation (Section 3.3), the cell temperature was controlled by a temperature chamber.
2.3. Temperature Measurement
For the temperature measurement, different K-type sheath thermocouples were used, and the temperatures were recorded via a data logger. It is known from the literature [45,57,89] as well as from our own preliminary tests that an internal short circuit leads to a very inhomogeneous heat distribution. For this reason, the cell temperature field was recorded by numerous temperature sensors (Figure 2). The penetration point is marked by a dark brown cross on the pouch foil (reference contact). For local temperature recording near the penetration point, 0.5 mm thin sheath thermocouples (manufacturer: TC Direct; type: 406-613) are used. These temperature sensors can detect dynamic temperature changes due to their low heat capacity and are marked in red in Figure 2. With Kapton® adhesive tape, the sensors are attached to the cell. Starting from the penetration point, three of these sensors are glued on both the right and left side in the horizontal x-direction to record the radial temperature distribution. These temperature measuring points (, , and , , ) are located in a distance of 7 mm, 14 mm and 21 mm from the penetration point. On the bottom side of the cell (negative z-direction), exactly opposite the puncture position, is the temperature measuring point . The temperature is an indicator for the heat conduction through the individual cell layers. The other temperature measuring points to are used to determine the temperature of the overall cell. At these positions, marked in navy blue in Figure 2, 1.5 mm thick sheath thermocouples (manufacturer: TC Direct; type: 405-008) which are integrated into the upper bracing plate are used to measure the temperature. Based on all temperature sensors mentioned previously, the mean cell temperature () is calculated as an unweighted average (see Equation (1)). For the measuring point marked in green, the 1.5 mm sensor type is used as input value for the PID controller.
Figure 2.
Placement and nomenclature of temperature measurement points on the 10 Ah cell with respect to position of penetration. Detailed description and type of sensor are listed in the corresponding table.
2.4. Needle Design
For each test, a single-use medical cannula (manufacturer: B. Braun; type: Sterican® Safety—21G x ) was used as a penetration needle (see Figure 3), which has a high sharpness that is identical for each individual needle [100]. From this, the best possible mechanical initial conditions for the creation of an ISC were derived. Furthermore, this identical initial state of the needle is an important basis for the state characterisation of the melting process carried out later (see Section 4.5). The material of the needle is chrome-nickel steel, which is advantageously very similar to the material properties of the critical iron impurity particle found in [28]. A high melting temperature of above 1400 °C [101] results in slower fusing, which increases the criticality of the replicated ISC. This needle type has an outer diameter of 0.8 mm and an inner diameter of 0.57 mm, so that a sheath thermocouple (type K) can be integrated into the hollow needle to be able to measure the local ISC temperature as locally as possible [77,102]. The thermocouple can move freely in the hollow needle and measures the temperature () at the cell surface. Due to the small distance between the two collectors (≈173 m), the ISC is only caused by the foremost part of the needle (see detail in Figure 3), which is as point-to-point ISC very close to the realistic failure case [45].
Figure 3.
Tip of the needle with the integrated thermocouple on the left side and an additional zoom view of the foremost tip on the right side.
2.5. General Experimental Setup
For the precise needle penetration, a self-developed test method was used, which is shown in Figure 4 as a sketch and as a constructed test rig in Figure 5. The test rig (Figure 5) consists of the upper part (orange), in which the actuators and sensors are installed, and the test chamber below (red), in which the cell is penetrated in a controlled procedure. The test chamber is connected to a flue extraction system in the rear section (green) (volume flow ≈200 ). To achieve a high mechanical stiffness, the test rig was constructed from robust aluminium profiles. Except on the one side where the air inlet is located (blue), all other sides are closed with flame-retardant polycarbonate plates (Makrolon®).
Figure 4.
Schematic experimental set-up for the generation of a local, single-layer ISC. Different penetration levels marked with red arrows (see also Section 3.1). Information on material thickness taken from [93,103].
Figure 5.
Test rig for controlled needle penetration consisting of the upper part with actuators and sensors (orange), as well as the test chamber below (red), with an air inlet (blue) and flue extraction system (green).
The forward motion of the penetration needle is realised by the vertical movement of a spindle and is shown as a concept sketch in the upper area (Test setup) of Figure 4. A stepper motor is used as the drive. This motor is driven by a controller, which defines the set point position (). The motor-driven spindle presses on a load cell. A precision sensor measures the position () of the spindle via a connecting plate with an accuracy of ±1 m. On the bottom side of this plate, a shaft is mounted in the axial direction, which extends into the test chamber. A spring on the shaft provides a counterforce in the direction towards the motor so that gravity-induced lowering of the shaft is prevented. In the penetration area, a guiding sleeve for the needle is integrated into the bracing plate, thereby minimising electrolyte evaporation from the cell. An air quality sensor is installed in the test chamber, which can detect the typical released gases CO2 and TVOC (Total Volatile Organic Compounds) during venting of the cell [10,104]. The TVOC concentration is particularly interesting as an indicator for electrolyte evaporation. To identify larger amounts of smoke or sparks and flames, the test chamber is filmed with a video camera. A data logger records the cell voltage and the voltage of the load cell’s amplifier with 500 Hz sample rate. The comparatively high sampling rate is necessary due to the expected very dynamic voltage fluctuations [57]. Before and after the needle penetration, the mass of the cell was measured with a scale to calculate the mass loss. All recorded data for the characterisation of the ISC are summarised in Table 3.
Table 3.
Overview of recorded data, with optional information regarding the accuracy and the sampling rate.
3. Method
The general process for the generation and characterisation of ISCs is illustrated as a flowchart in Figure 6. A total of eight preliminary tests were carried out to get familiar with the self-developed test rig and the cell behaviour. The results of these preliminary tests form the basis for the concrete definition of the further test parameters, such as the variation of the penetration depths ( = 0, 25 and 100 m) with six repetitions in each case.
Figure 6.
General flowchart for the generation and characterisation of an ISC.
3.1. Experimental Procedure
The generation and characterisation of the ISC was realised by a standard procedure, consisting of the three consecutive steps (Preparing, Triggering and Characterisation) pictured in Figure 6 and described in more detail below.
First, the cell is preconditioned and fully charged (see Figure 6—Preparing), as already described in Section 2.1. After a homogeneous temperature of 25 °C was ensured in the cell, the needle was inserted step by step (➀ to ➂) in the central position (compare Figure 4 and Figure 6—Triggering). In the first step ➀, the needle is controlled manually (step size 10 and 100 m) towards the cell until an electrical contact is established between the needle and a reference contact (see Figure 4 in yellow).
This needle position is set to 0 m for reference. Then, in step ➁, the needle is moved further into the cell with a speed of 1 m until the first Al-Collector of the cathode is contacted. To generate the ISC, in step ➂, the needle is moved deeper into the cell until the first ISC is produced between the first cathode layer and the first anode active material (Al↔An). A voltage drop of is used as a criterion for the detection of the first ISC. The actual force on the needle is referred to the state just before the first ISC. At the time of the first ISC, the time reference is set to and the penetration is either stopped immediately, which corresponds to an additional penetration depth of theoretically 0 m (Case 1), or further driven into the cell for additional 25 or 100 m to achieve a better contact (reduction of ) between the needle and the anode (Case 2). Due to the individual ISC behaviour, six cells were tested at each penetration depth (0, 25 and 100 m). Please find an overview of the test specifications and nomenclature in Table 4.
Table 4.
General cell numbering for different penetration depths .
After triggering the ISC, the cell was observed in detail (see Figure 6—Characterisation). First, the cell was monitored until a clear ISC characteristic (Figure 1) was formed (). If there was no TR of the cell, the needle was removed from the cell and the puncture was sealed with a fast drying epoxy resin, which prepared the cell for further post-characterisation (see Section 3.3).
To specify the exact initial contact conditions, a dummy cell was used, which was not electrochemically active due to the missing electrolyte. With this dummy cell, the typical fusing did not occur during needle penetration, and thus, there was no direct change in contact condition between the needle and the anode. The geometrical parameters of the dummy cell were identical to those for the further experiments. This dummy cell was penetrated four times until the first contact with the anode and four times until the contact of the second cathode, which corresponds to the complete penetration of the first anode. To measure the contact resistance, a digital multimeter was used in a four-wire configuration, and then the damage inside the cell was analysed in more detail using the digital microscope. The penetration depth at which the measured resistance value of the multimeter changes from infinity (∞) to a value in the k range is defined as the first contact point.
3.2. Key Features to Describe the Short-Term Characteristics
The ISC is known for being highly dynamic and individual, as also illustrated in Figure 1. To compare the different ISC characteristics, several identifying features were defined, which are listed in Table 5.
Table 5.
Summary of the evaluation features to characterise the ISC behaviour. calculated by Formula (2).
The internal resistance and the open-circuit voltage of the cell are directly measurable or determinable cell-specific parameters and have a significant influence on the characteristics of the ISC. In the case of an ISC without any other external load, the voltage can be measured externally at the clamps. The resistance and the associated current , however, cannot be measured directly. Following Formula (2), it is possible to calculate the short-circuit resistance and, deduced from this, the internal short-circuit current and the short-circuit power as given by Equations (3) and (4):
The short-circuit current () responsible for the voltage drops leads to a discharge of the cell. By continuously calculating the amount of converted electrical discharge, the actual open-circuit voltage can be calculated with reference to the open-circuit voltage curve stored as a lookup table. This makes it possible to calculate the corresponding short-circuit resistance, current or power for each recorded voltage value. Based on this, the most severe ISCs were determined and analysed for each individual short-circuit characteristic. This characteristic is summarised under the rubric ISC-Severity. In addition, the time after short-circuit initiation is given as and the corresponding SOC as .
The general ISC characteristic can be described by further features. For this purpose, the temperature by is used, which represents the maximum measured temperature at position in the specific cell test. The ISC behaviour is related to the corresponding ISC-Type (see Figure 1). At this moment, the corresponding time at which this type of characteristic can be clearly identified and the corresponding SOC of the cell is also listed. The mass loss related to the total mass of the cell was determined as and calculated based on Equation (5). Here, the index 0 and ISC represent the initial state and the state after ISC creation, respectively:
3.3. Post-Characterisation
Many methods for the detection of cell-internal failure states are based on possible changes in the electrochemical cell behaviour [33,80], and therefore, the post-characterisation of the damaged cells is an important basis for improved failure detection. In addition to the electrochemical post-characterisation (Section 3.3.1), a post-abuse analysis was also carried out (Section 3.3.2) in order to evaluate the degree of cell-internal damage and these results with the short-term characteristics as well as the electrochemical post-characterisation.
3.3.1. Electrochemical Post-Characterisation
According to the literature, various methods can be used for the more detailed electrochemical characterisation of distinct damaged cells [26,66,86]. The techniques implemented in this study are briefly described below. All tests were carried out with a Bitrode battery test system (type: MCV 32-10-5). For comparison, a new, undamaged cell is always also tested as a reference.
Self-Discharge
An existing ISC leads to an increased self-discharge of the cell [105,106]. After the short-term characterisation, the cell voltage was measured for at least 4 days. The average self-discharge was then determined from the known open-circuit voltage characteristic of this cell type. If the cell reached the lower voltage limit ( 2.7 V) within this period, the cell was charged CCCV to 50% SOC, and then the resulting current after 5 h was defined as the self-discharge current.
Incremental Capacity Analysis (ICA)
The ICA is known in particular from the ageing investigation of LIBs and enables conclusions about the characteristics of essential ageing phenomena, such as the loss of active mass, loss of available lithium and the increase in internal resistance on the basis of the voltage characteristic [107,108]. For this purpose, the differential/incremental capacity () is formed according to Equation (6) by differentiating the charge quantity (Q) with respect to the voltage (U):
As a data basis, the cells are loaded with a small current of C/20 for two cycles to minimise cell-internal inhomogeneities. The second discharge curve is filtered first to smooth the voltage [109] and then the incremental capacity is calculated for each time step (1 s).
Pulse Characterisation
Pulse characterisation is an established method to characterise the dynamic cell properties [107,110]. In this study, cell states at 20, 50 and 80% SOC were examined. After setting the SOC, the cell was first discharged for 10 s with 1C and a 50 s rest phase () and then charged with the same current for another 10 s and subsequent rest phase. A common R-RC-RC cell model was fitted onto the pulse datasets to acquire the parameters as .
Cyclic Stability
The further use of the damaged cells was simulated by cycling (Charging: CCCV; Discharging: CC). For this purpose, a selection of damaged cells was loaded over more than 175 full cycles. Here, the charge and discharge current was 1 C (10 A). After every 25 full cycle, the self-discharge was determined by the already described five-hour CV phase at 50% SOC (see Section 4.4.1).
3.3.2. Post-Abuse Analysis
The post-abuse analysis began with an assessment of the overall optical impression. Using a digital microscope, the remaining width of each needle tip was measured, and thus, the melting process at the penetration needle was analysed (cf. Figure 3). Subsequently, the cells were discharged to 0% SOC and disassembled according to [28]. During disassembly, the damage characteristics of each cell layer were analysed by the following steps:
- Photographing the considered layer;
- Determining the melted separator area using a millimetre paper as a scale reference;
- Checking if collector foil is pierced (yes/no).
This procedure is repeated for the next deeper cell layer until the first undamaged separator layer is reached. As a result, the number of melted separator layers is given as . All layers account to the total melted separator area .
4. Results
4.1. General Short Circuit Development and Characterisation
This section consists of the geometric analysis of the trigger conditions for ISC initiation (Section 4.1.1) and the description and interpretation of the general ISC behaviour (Section 4.1.2).
4.1.1. Geometric Trigger Conditions
The penetration of the dummy showed that the force on the needle increases continuously, as expected with penetration depth. Only when the needle stopped penetrating was there a decrease in force, which resulted from the mechanical relaxation of the penetration device. As can be seen in Table 6, firstly, the tapered structure of the needle tip leads with increasing penetration depth to an enlarging incision size, and the greatest linear expansion of the incised area caused by the needle. Secondly, a decreasing incision size results in the deeper cell layers.
Table 6.
Penetration tests performed with the dummy cell: exemplary illustration of the failure image for the first separator and the first anode in each case after the first contact with the anode (penetration depth ➂) and after the complete penetration of the anode, which corresponds to the first contact of the second cathode.
The damage image shown in Table 6 (state I) shows that the incision of the separator closes itself again after the needle has been moved out (see Table 6a), as a result of which no clearly visible incision area remains. In this condition ➂, the incision size is only ≈27.5 m on average, which means that the contact area for the first ISC is very small. Due to the surface load acting in the puncture area, the separator structure is irreversibly compressed, with the effect that the separator becomes more transparent [111]. The needle transports graphite into the puncture area, which becomes visible through the dark colouring [65]. On the anode side (Table 6c), a recess with an average diameter of 75 m and a depth of about 50 m is formed in the graphite. From this increasing diameter, it can be deduced that the indentation is primarily caused by the prevailing pressure effect and only to a limited extent by the needle penetration. Through the penetration, the needle tip enlarges from about 10 to ≈40 m. The deeper penetration through the anode (state II) leads to significantly more damage, with an average incision size of 202 m at the separator (Table 6b) and 212 m at the anode (Table 6d). After penetration, the needle tip has an average width () of 45 m. In more than 75% of the tests, however, smaller distances were necessary for triggering the first ISC. Taking into account the additional layer compression, contact with the Cu-Collector can be assumed to be very unlikely. These results are in agreement with the test results that were carried out with the dummy set-up. It can, therefore, be safely expected that the most critical short-circuit contact condition, the contact between the Al-Collector of the cathode and the graphite of the anode (Al↔An), is generated by this needle penetration.
On the basis of a total number of 26 tests (18 tests + 8 preliminary tests), it was found that after the very first contact with the first Al-Collector, the needle still had to move an average of additional 167.52 m into the cell until the first ISC was formed. The standard deviation is 48.94 m. It can be seen that often a longer distance X than the theoretical distance of at least 106 m had to be covered (see Figure 4). This behaviour can be explained by the local compression of the cell caused by the needle, so that the needle has to travel a longer distance. Based on this behaviour, the individual spread can also be explained, whereby for this concept the achieved standard deviation is still considered to be satisfactory. Theoretically, a distance of at least 193 m is required for contacting the Cu-Collector of the first anode.
4.1.2. General Characteristic
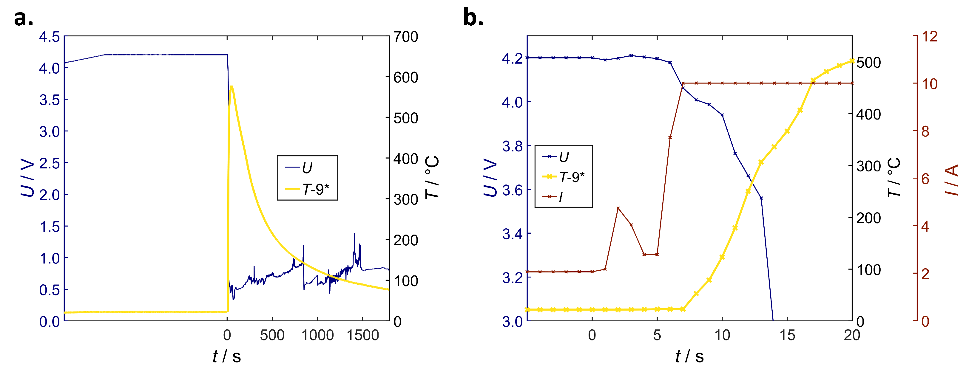
The first voltage drop of the first ISC is on average 6.1 mV (min. 0.6 mV, max. 18.0 mV) by considering all 18 cells, so that according to [36], a minimal ISC () was initiated by the needle at first. If there was no further needle penetration () after the occurrence of the first ISC, the ISC could be finished within a few seconds, and consequently, the cell showed a normal behaviour identical to an undamaged cell. In this case, the fusing at the contact point was so fast that the heat input at the ISC position was very low. It follows from this that no change in temperature and in the active force F on the needle was measurable. Yet typically, major ISC behaviour (type II) occurred, which generally poses a greater safety risk. In the following, the generally valid correlations are described on the basis of exemplary test results. Here, cell 1.6 is examined more closely, since this cell reached the highest temperature at a penetration depth of 0 m (Case 1) and accordingly showed increased internal cell damage (see Section 4.5). Subsequently, the characteristic ISC key features, as described in Section 3.2, are applied to cell 1.6.
Figure 7a shows the typical ISC characteristics for the period of the first 5 s after triggering. Immediately with the triggering of the first ISC, there is a significant decrease in the measured force (orange). After about 2.4 s, the needle penetration stops, which is indicated by the needle travel shown by a green dotted line. From this point on, no deeper penetration is initiated and the travel distance remains constant until the needle is removed. The lower part of Figure 7a shows the temperature curves of various sensors (see Figure 2).
Figure 7.
Typical ISC characteristic triggered by precise needle penetration. The initial SOC of this cell 1.6 is 100% and the penetration is stopped after the first ISC (penetration depth ). (a) Development within the first 5 s. (b) Behaviour for subsequent 650 s. (c) Display of total test time.
Immediately after the occurrence of the first ISC, an increase in the needle temperature can be detected. With a slight delay (≈3 s), the temperature sensor also detects a temperature rise. In the next Figure 7b, a longer time period of 650 s is shown for the same cell 1.6.
Correlation of Voltage Drop, Joule Heat and Temperature
It is clearly visible that the cell voltage U drops more and more frequently and a dynamic voltage behaviour develops. The intensity of the voltage drops is easier to classify with the help of the calculated open-circuit voltage characteristic (light blue line). In addition, the local joule heat of the ISC is shown in grey in the lower part of Figure 7b. Through the additional observation of the temperature curves, the relationship between the released joule heat and the direct temperature increase is shown. It can be seen that the needle temperature () shows the highest temperature and directly follows the dynamics of the released heat output. In particular, the more severe ISC, about 570 s after short-circuit initiation, shows this correlation very clearly. Here, the joule heat was about 50 W and was less than the maximal power (74 W) of the cell. The extreme localisation of the ISC is shown by the measurement data of the other temperature sensors. An ISC leads to a temperature increase with clear temperature gradients in the radial direction around the penetration position. At time , the temperature (0.7 mm distance from ISC position) was about 165 °C. However, the sensor , which was only 0.7 mm further away from the penetration position, only measured 80 °C. Compared to these sensors ( and ), the sensors and , which were located at the same distance from the ISC, measured very similar temperatures. The average cell temperature (), however, only increased by 1.5 °C.
Correlation of Temperature and Local Structural Damage
With additional local heat input, structural changes occurred at the puncture position, and consequently, the needle continued to “burn free”. If the intensity of the heat output and resulting temperature is compared with the progression of the force, it can be clearly identified that the decrease in force occurs only after new maximum temperature levels have been reached (see Figure 7a). In the case considered here in Figure 7b (cell 1.6), this behaviour can be observed after 23, 54, 240 and 372 s. However, the effects of the local force measurement become less and less significant. Besides, the travel distance sensor can also detect a change in travel , which occurred with a slight time delay to the measured decrease in force. The existing pre-tension on the needle led to a mechanical relaxation due to the reduction of the force. Minimal measured travel changes were the result. For clarity, the data recorded by the gas sensor are not shown in Figure 7b, but in the Appendix A (Figure A1). In general, slightly increased gas concentrations could be detected above a needle temperature of 80 °C in all experiments. However, significant concentrations occurred only above a temperature of about 200 °C measured by the sensor. At first, the local needle penetration led to only a minimal outgassing of electrolyte.
Overall Characteristics
Based on the entire ISC progression, shown in Figure 7c, the overall characteristics can be identified. The most severe ISC occurred with a calculated ISC resistance of 0.113 after 321 s of ISC development. This corresponds to a current of 37.7 A and a joule heat of 143 W. Since these high ISC currents flow only for a very short period of time, the calculated SOC at this time () was still 99.43%. Figure 7c clearly shows that the cell does not lead to a TR (t = 600 to 900 s), even at very high local temperatures ( > 1260 °C) and also keeps a high current dynamic. This behaviour was caused by the fact that the ISC is only very locally effective and, in contrast to homogeneous cell heating or an external short circuit, there is no kinetic limitation over a large area in the cell [32,112,113]. A high local temperature is therefore not a reliable criterion for a critical cell state leading to TR. Shortly before a more constant ISC was formed as a result of an abrupt fusing after 992 s at a SOC of 84.92%, reached 314 °C. This was followed by a much more constant short-circuit behaviour according to type IIa, which was characterised by continuous cell discharge and lower temperature dynamic. The mass loss of cell 1.6 was 3.5%.
4.2. Influence of Penetration Depth
With deeper needle penetration, a better contact between the needle and graphite was generated, which led to a decreasing resistance (see Figure 4). In practical application, a better contact can be caused, for example, by a larger, more electroconductive impurity particle or a greater force on the contact area. The resulting ISC behaviour at different penetration levels (0, 25 and 100 m) is analysed in this chapter based on the previously introduced characteristic features. Cell behaviour of particular relevance will be discussed here in more detail.
4.2.1. Penetration Depth of 0 m
Table 7 lists the key features according to Table 5 for six cells in which penetration stopped immediately upon ISC entry (penetration depth ). In addition, the specific cell behaviour is described by the following key points.
Table 7.
List of the key features according to Table 5 of six needle penetrations with the experimental conditions: 100% SOC and a penetration depth of 0 m.
- In experiments 1.2–1.6, there was a dynamic development of the ISC (type IIa), in which the most severe ISC occured within 116 s (cell 1.2) and 337 s (cell 1.3) after the first ISC.
- The maximum internal short-circuit currents of cells 1.2–1.6 were between 11 A and 38 A.
- Local temperatures () above the decomposition temperature ( °C) of the cell components did not necessarily lead to a TR (cell 1.6). The measured temperatures at the needle were typically above 500 °C.
- The characteristic formation of a constant ISC for type IIa occurred with a clear delay (567 to 992 s) in the high SOC (85 to 97%).
- Corresponding to the highest temperatures, a mass loss of 0.3% was measurable only for cell 1.3 ( °C) and of 3.52% in case of cell 1.6 ( °C).
Consequently, it can be stated that in the case of minimal contact with the active material (penetration depth ), as is for example typical for a dendrite, there is no immediate safety-critical condition. However, due to the remaining cell-internal structural weakening (see Section 4.5—cell 1.6), these cells pose a risk for further use that is difficult to calculate.
4.2.2. Penetration Depth of 25 m
All results presented in Table 8 show a major ISC behaviour (type II), which is characterised by the highly dynamic voltage behaviour. However, each experiment showed an individual characteristic as described by the following points:
Table 8.
List of key features (according to Table 5) of six needle penetrations with the experimental conditions: 100% SOC and a penetration depth of 25 m.
- In the experiments of cells 2.1–2.5, the most severe ISC with a joule heat () from 48 to 80 W was in the same range. However, the time of occurrence was very different (cf. for cell 2.3 and for cell 2.4).
- The characteristics of cell 2.1–2.5 correspond to type IIa, which only appeared with a significant time delay (500 to 965 s).
- Cell 2.6 showed an abrupt drop of the voltage below 3 V after 363 s. The released maximum joule heat was 884 W. At this point, the cell was still almost fully charged, with over 98% SOC. The heat released by the powerful ISC initiated exothermic side reactions and caused a TR. Just 9 s later, the cell voltage dropped to 0 V (type IIb). The corresponding curves are shown in the Appendix A in Figure A2.
Based on the key features, the ISC of cell 2.4 can be classified as less severe compared to cell 2.5, as shown, e.g., by the maximum temperature .
The special behaviour of cell 2.4 is the first dynamic short-circuit development, which came to an almost complete stop after 28 s and resulted in a nearly constant voltage. About 500 s later, dynamic ISC behaviour developed again, which is shown in Figure 8. A further 100 s later, (650 s after the first ISC), a stronger ISC occurred for nearly 2 s, and it released a joule heat of about 40 W locally in the cell. The mean cell temperature () raised by 17 °C within 15 s, and for a short time, the rate of temperature increase was more than 1 °C s, which is often taken as a threshold to indicate a TR [114,115]. In addition, an abrupt swelling of the cell as well as a clear release of smoke gas was visible in the video recording. The CO2 concentration measured by the gas sensor jumped within one second (corresponds to one measured value) from the reference value of 412 ppm to the maximum possible measured value of 57,330 ppm, which confirms the significant gas release. Such a characteristic corresponds for the most part to the behaviour of an initiating TR. However, compared to a typical TR, cell 2.4 showed an early stop of the temperature rise and the voltage drop. This behaviour, here named Partial Thermal Runaway, is not known from the previous literature and shows that new relevant results can be generated with this precise needle penetration.
Figure 8.
Dynamic ISC characteristic (type IIb) of cell 2.4, which is penetrated by an additional 25 m after the first ISC at a SOC of 100%. The strong temperature increase as a result of exothermic side reactions in combination with the voltage relaxation later indicates the cell to the Partial Thermal Runaway characteristics.
If the behaviour of cell 2.5 is considered, it shows a comparatively slow temperature increase with a maximum temperature increase of the average cell temperature of 8 °C within 100 s. Here, the maximum gas release was only 1647 ppm, although the local temperatures were increased. The reason for the more intense reaction of cell 2.4 was the triggering of exothermic side reactions, which led to an increased heat release and the mentioned gas generation. Out of a total of 26 needle penetrations, only one other cell (cell number 0.1) from a previous experiment showed this behaviour. The penetration depth of cell 0.1 was first 25 m and about 500 s later another 75 m (see Figure A3 in the Appendix A). A comparison between cells 2.4 and 2.5 shows that for the initiation of exothermic side reactions not only the heat itself, but especially the change, or in particular the rate of increase, of the heat power is relevant. In cell 2.6, a strong ISC which spontaneously developed during the dynamic behaviour led to the TR of the cell. Immediately before the abrupt voltage drop, the needle temperature was 176 °C and the temperature at was only 54 °C.
To summarise, neither local temperatures nor specific voltage drops can be used as a generally valid criterion for safety assessment. It seems more likely that the initiation of exothermic side reactions is related to further complex criteria, in particular the previous ISC development. The TR itself can occur without prior typical characteristics, and therefore, especially at high SOC, the occurrence of a dynamic ISC must already be classified as generally safety-critical. The unusual behaviour of the cell 2.4 underlines the difficulty of characterising the ISC behaviour by a limited number of key features.
4.2.3. Penetration Depth of 100 m
Due to the melting process (fusing) at the needle tip (>30 m), it can be ensured that there was no contact with the Cu-Collector even with an additional penetration depth of 100 m. This even deeper penetration of the needle led on average to a stronger ISC behaviour than the previously presented test series (1.X and 2.X) with lower penetration depths show. The following characteristics can be concluded from the results presented in Table 9:
Table 9.
List of the key features of six needle penetrations with the experimental conditions: 100% SOC and a penetration depth of 100 m.
- In four out of six tested cells, a TR developed from the dynamic ISC (type IIb). Here, the joule heat () of the ISC was more than 800 W;
- Many cell components combust in the TR, and consequently, the cell mass was reduced by 52 to 58%. The maximum temperature () was between 540 to 607 °C;
- For cells 3.1 and 3.2, a constant ISC (type IIa) developed from the dynamic ISC behaviour. This process occurred with a significant delay of more than 36 min for cell 3.1.
The results presented in Table 9 show the typical scatter. However, it is noticeable that the most severe ISC of cells 3.3–3.6 shows a similar characteristic, which led to the TR of the cell. For local cell heating, not only the heat power but also the amount of local heat energy is relevant. Figure 9 shows the voltage characteristics and the calculated joule heat for two of these cells. As an example, the weakest ISC (cell 3.3) and the most powerful ISC (cell 3.6), which resulted in a TR, are considered here. The time difference () after the occurrence of the abrupt voltage drop is plotted on the x-axis. Before the abrupt voltage drop occurred at cell 3.3, there was a high short-circuit resistance, which is represented by the low voltage drop, the low joule heat and the low measured local heating of the cell. One second before the TR, the temperature of the needle was still 92 °C and the temperature was only 52 °C. At this point, the measured CO2 concentration of 400 ppm was within the range of the reference value. Subsequently, cell 3.3 shows an abrupt voltage drop for approx. 0.2 s below 3.2 V. The corresponding released heat power is about 800 W for this period.
Figure 9.
Voltage drop (top) and released joule heat (bottom) of cells 3.3 and 3.6 immediately before the beginning of the TR.
In the time period from 0.2 to 0.35 s, there is a strong relaxation of the voltage. This is followed by another significant voltage drop. Within a few milliseconds, the cell voltage rises again—probably as a result of fusing. During the parallel TR, the cell burned out layer by layer. When the last cell layer has burned after ≈8 to 12 s, the cell voltage dropped to 0 V and the TR is completed. At this time, the mean temperature of the cell reached its maximum value. The cells 3.4 and 3.5, which are not shown here, also had a similar behaviour. Furthermore, cell 2.6 (), which also runs into the TR, corresponds to this specific behaviour. In the case of cell 3.6, a significant internal short-circuit already occurred 90 s before the severe voltage dropped. The result was an increased charge reduction and a continuously rising local temperature at the ISC location. One second before the TR, a temperature of 949 °C was measured at the needle and 278 °C at the position of . From the voltage drop ( to ) shown in Figure 9, it can be seen that the short-circuit resistance decreases comparatively slowly until the relaxation of the voltage occurs after about 0.42 s. About 10 s later, here, the voltage also drops to 0 V as a result of the TR. Despite the different progression of the voltage drop, in both experiments (3.3 and 3.6), there is a clear relaxation of the voltage after ≈0.6 s. When the mean power is calculated for this period (0.6 s), this results in about 321 W for cell 3.3 and 500 W for cell 3.6.
4.3. Summary and Interpretation of the Short-Term ISC Behaviour
The initiation of the first ISC is subject to statistical scatter, although intensive efforts were realised to ensure a reproducible experiments. Despite very similar mechanical initial conditions, the contact resistance varies significantly, which results in a scattered and unique short-circuit behaviour. This scattering ISC characteristic is also clearly shown by the listed key features (Table 7, Table 8 and Table 9). At this point, it is important to note that even the definition of suitable key features is a challenge, as already discussed by Bruchhausen et al. [114]. However, these individual contacting conditions are in principle also expected for every ISC occurring in practical application, and as a result, a direct correlation exists between the replicated and real ISC.
From the totality of all results, an extended, new model approach can be derived, which is shown in Figure 10. Based on the dummy experiments, it is known that the resistance between the needle, here generally referred as impurity particle (Ip), and the Al-Collector is much smaller than the contacting resistance between the needle tip and the graphite anode. Thus, the ISC characteristic is essentially determined by . The resistance can be simulated by a resistor network, as sketched in Figure 10. The observed short-term fluctuation is indicated by the switchable resistors to create the sharp voltage drops. In addition, the long-term ISC development is emulated by the controllable resistors themselves.
Figure 10.
Replication of dynamic ISC behaviour using variable parallel-connected resistors. Current-conducting paths shown in red as well as a currentless path in grey.
Local fusing can interrupt one or more current paths, which is symbolised in Figure 10 by the grey path with an open switch. The heat input from the ISC causes various subsequent processes, such as the initiation of exothermic side reactions [66], electrolyte evaporation [67] and the melting of the separator [24,25], as a result of which the local resistances change dynamically.
In the tested high SOC (100%), the required activation energy for the initiation of exothermic reactions is reduced and a dynamic, difficult-to-predict ISC development occurs. If the needle is inserted deeper into the anode, a lower short-circuit resistance results. The reason for this is that, on the one hand, there is a larger contact surface at the tip of the needle, and on the other hand, the distance to the copper collector is reduced. It is striking that in five out of six cases the TR develops spontaneously from a previously very moderate, local temperature increase ( < 60 °C). On the other hand, high local temperatures ( > 160 °C) do not induce TR of the cell.
During dynamic ISC development, local discharge occurs at the short-circuit area [116], which increases the required activation energy to initiate exothermic side reactions [69,83]. The longer the dynamic discharge continues, the greater the required energy input to initiate the TR. A slow local temperature increase leads to the evaporation of the electrolyte, which contributes to further passivation at the short-circuit area by acting as a missing reactant. Furthermore, it is known that a slower heating results in a reduced maximum heat release of the running exothermic side reactions [117,118]. Due to these processes, local temperatures of over 1260 °C were repeatedly measured at the needle in various experiments, without any accelerated, large-scale progression of exothermic side reactions. The individual reaction condition and process at the short-circuit location cannot be determined from the outside, which complicates the ISC assessment.
Neither the local temperature nor the cell voltage is any criteria for a generally valid risk assessment. Instead, dynamic ISC behaviour itself must be classified as potentially dangerous. Additionally, a further risk assessment based on the known SOC is meaningful. Compared to the external short circuit or the slow heating of the cell, there is no large-scale pore closing of the separator in the case of ISC due to the high locality, and thus, the entire cell is not limited by kinetics. Due to the very inhomogeneous temperature distribution in combination with the limited number of sensors installed in commercial batteries [35], the temperature measurement is not a suitable parameter for failure detection. The entirety of the tests showed that the initiation of a single-layer ISC type (Al↔An) with only a small contact area of the needle can trigger a TR of the cell. As a result, even the smallest production-related defects or contamination with impurity particles [28] must be considered as safety-critical, and therefore, have to be reduced with great effort to an absolute minimum in battery cell production.
4.4. Electrochemical Post-Characterisation
The electrochemical post-characterisation is an important complement to the ISC characterisation. In this section, the presented results give an understanding of the possibilities of non-destructive safety characterisation, which is required, e.g., before further battery use for second-life applications [119]. An overview of the cells considered in more detail is shown in Table 10. In this chapter, cell 0.1 from the preliminary tests is also characterised. The reason is that the Partial Thermal Runaway of cell 0.1 is a particularly interesting, but rare and difficult to replicate event, which represents an important complement to the second cell 2.4 with Partial Thermal Runaway. In this case, the different initiation (penetration depths) of the two cells (0.1 and 2.4) has only minor relevance for the post-characterisation considered here, as it is known that individual ISC characteristics develop even in the case of identical initial conditions.
Table 10.
Overview of the performed cell-specific post-characterisations.
4.4.1. Self-Discharge
Only a few conclusions regarding the previous short-circuit behaviour can be deduced from the measured self-discharge. Cells with a minimal ISC behaviour (type I) did not show an increased self-discharge. In case when the cells show a dynamic, major ISC behaviour (type II), very different characteristics can occur, as the results from Table 11 show. Cell 1.6 reached the highest local temperature of 314 °C, but the self-discharge was only about 19 mA. Compared to this, cell 2.1 showed an increased self-discharge despite lower previous local temperatures ( °C). Initially, the self-discharge of cell 2.1 was about 800 mA and dropped to roughly 400 mA within a few days.
Table 11.
Results of the post analysis for six cells damaged by needle-penetration caused ISC (SOC = 100%) with respect to the reference cell. Characteristic features of the non-destructive (self-discharge) and destructive analysis. For reference, the ISC behaviour is given (ISC-Type and ).
Cells 2.4 and 0.1 showed an abrupt temperature increase in the ISC behaviour (Partial Thermal Runaway), which can be explained by the progression of exothermic side reactions (see Figure 8). Nevertheless, both cells have only a slightly increased self-discharge. Within seven days, the voltage of cell 2.4 was reduced from 4.12 only 4.042 V, which corresponds to a self-discharge of about 4 mA. The largest self-discharge was measured at cell 3.1. Here, it was noticeable that even after five days, the internal short-circuit current still showed a high dynamic. After about 4.5 d, the current increased from 1.1 to 1.7 A within a few seconds. This observed behaviour causes an incalculable safety risk and can be a plausible cause for the time-delayed TR observed in practice after a damage event [7,120].
4.4.2. Electrochemical Behaviour via ICA (and Pulse)
The pulse characterisation of the damaged cells did not show clear changes compared to the reference cell and is not shown here. This behaviour can be explained by the minimal area-related damage to the cells. The only locally effective temperature input means that the majority of the cell remains undamaged. For all cells, the sometimes increased self-discharge is much smaller than the pulse load, and therefore, there is no relevant influence on the short-term characteristics. This behaviour corresponds to the result shown in [66], where no change in the short-term characteristics of damaged cells could be measured by electrochemical impedance spectroscopy (EIS).
The incremental capacity is shown in Figure 11 for three damaged cells (1.6, 2.4 and 0.1) and the reference, which corresponds to cell individual 1.6 in the new state. Cell 1.6 shows the same characteristic after the penetration, which is visible by the overlying green and orange curves. The red curve of cell 2.4 shows a slightly right-shifted peak, which can be an indication of an increased internal resistance [121]. However, even the largest first peak at 3.65 V is not significantly reduced, which indicates a small loss of active mass. For cell 0.1, the black curve indicates a general reduction of the peaks, which can be related to a reduced active mass. Especially the third peak at 3.47 V shows a significant reduction compared to the reference. This behaviour is typical if the cathode loses active mass in the delithiated state [121], which is a plausible scenario due to the high SOC (100%) of the tested cell. In terms of capacity, the anode of commercial cells is oversized [122]. Consequently, this decrease in the capacity of cells 2.4 and 0.1 at a low current load (here: C/20) can be plausibly explained by the loss of active mass of the cathode. In general, it must be pointed out that the changes in the incremental capacitance are small. Cell 1.6 considered here, with the highest local temperature impact, also shows a normal, inconspicuous behaviour in this respect. In consequence, no change in ICA can be seen for the less damaged cells (e.g., 1.1–1.5). Hence, the small changes in the electrochemical behaviour cannot be used as an indication of the internal extent of damage or the failure history.
Figure 11.
Incremental capacity analysis (ICA) of various damaged cells (1.6, 2.1, 0.1) and an undamaged reference cell (corresponding to cell 1.6 in a new, undamaged state).
4.4.3. Cycle Stability
The results for a reference cell (green) and three damaged cells (1.6, 2.1 and 0.1) are shown in Figure 12. At the start of cycling, the reference cell had a discharge capacity of about 10.2 Ah. During the first 125 cycles, there was a slight increase in capacity of about 0.1 Ah, which is typical for LIBs [122]. Due to the moderate load, no ageing of the reference cell could be detected, and self-discharge stayed at a low level over the entire test period.
Figure 12.
(a) Capacity curve and (b) self-discharge of a reference cell and three damaged cells 1.6, 2.1 and 0.1. The cyclic load was 1C (CCCV) at 25 °C.
Cell 1.6 showed an almost constant high capacity over 175 cycles. The self-discharge of 60 to 80 mA was slightly higher than the reference cell, but also quite constant. In the case of cells 2.1 and 0.1, the previous stress caused by the internal short circuit resulted in a notable decrease in capacity to about 9.6 Ah. Increased self-discharge of cell 2.1 (≈400 mA) led to a reduced capacity of 0.4 Ah during the discharge of about one hour. A large part of the capacity reduction was consequently caused by the increased self-discharge and only partly by typical ageing phenomena. As a result of the cycling of 350 full cycles in total, the self-discharge was reduced to about 200 mA over time. In contrast, cell 0.1 showed a lower self-discharge of less than 50 mA. The decrease in the capacity of cell 0.1 after needle penetration can, therefore, be attributed to an internal cell degradation, which can also be seen in the incremental capacity analysis (see Figure 11). After 25 cycles, a slight increase in capacity was measurable. Subsequently, the cell capacity was almost constant for another 225 cycles. However, after 255 cycles, the cell 0.1 suddenly suffered TR, which is illustrated by Figure 13. At this time, cell 0.1 was in the CV phase of the charging process and the charging current had already been reduced to 0.2 A. Without any previous abnormalities, a voltage drop of 10 mV occurred, which is defined as the reference time 0 s here. Due to the set point specification of the CV phase (), the current of the test bench was increased so that the voltage drop caused by the internal short circuit could be compensated for first.
Figure 13.
Characteristic of cell 0.1 (with prior Partial Thermal Runaway) before and during the TR. (a) Longer time range and (b) detailed view during the occurring TR.
Yet, after 7 s, the ISC became so powerful that the maximum charging current deliverable by the test bench of 10 A was reached. At this point, no increase in cell temperature could be measured. Just one second later (), the temperature directly increased to 53 °C. A short time later, the TR of the cell occurred. After 18 s, the cell voltage dropped to 0.4 V and the cell was completely burnt out. The test bench continued to supply 10 A, which flowed across the remaining contact of the collector foils. As a result, a dynamic voltage characteristic followed, which is visible for the rest of the record (Figure 13a). The abrupt voltage drop corresponds to type IIc and was, thus, significantly more severe than the voltage drops previously caused by the needle. Rather, the failure progression here corresponds to that of a nail penetration [70,71]. On the basis of the behaviour of cell 0.1, it is clear that cell-internal damage can lead to spontaneous TR during cycling. Due to the presented rapid failure development (), the result is that such a failure case can not be detected early enough. In this case, it is more promising to detect the failure when the first ISC occurs in order to stop the further use (cycling) of such a defective cell.
4.5. Post-Abuse Analysis
The post-abuse analysis shows that there are plausible correlations between the degree of optical damage, the maximum reached temperatures and the melting behaviour of the needle. Cells 2.4 and 0.1, with a Partial Thermal Runaway, showed a clearly divergent damage structure, which can be related to the additional heat input. Table 11 lists the visual damage (++ minor damage to −− severe damage) and the other results of the post-abuse analysis.
Cell 1.1 showed only a slight local temperature increase, and consequently, only a minimal puncture could be seen on the cell surface. The minimal ISC (type I) resulted in the melt area of the separator () having a diameter smaller than 200 m. Furthermore, the remaining width of the needle tip () of 110 m was only slightly increased compared to the new needle (cf. Figure 3), which corresponds to a low shortening of the needle length. In the case of a dynamic ISC behaviour (type II) which occurred in the other cells, the higher heat input led to increased cell-internal damage. Of all the cells in which no TR occurred, cell 1.6 had locally heated up to the highest temperature of 314 °C at . This resulted in a large area of melted separator () and a large agglomeration at the needle tip. Down to the fifth separator layer (), local melting of the separator can be detected here. The development of exothermic side reactions resulted in a clearly different damage structure in cell 2.4. Here, a large-area () but less deeply immersive melting behaviour () of the separator could be identified. In the following, the internal damage of cell 1.6 is discussed first (Section 4.5.1), followed by general correlations (Section 4.5.2. Based on these findings, in Section 4.5.3 the internal damage of cell 2.4 is then described. Finally, the damage of a burnt-out cell (TR) is shown in Section 4.5.4.
4.5.1. Cell 1.6
The increased local temperature triggered the gas release at the penetration point. This resulted in bumps, which are visible in pictures A and B of Figure 14. On the detailed image of the first cathode (Figure 14C), a melted area of approx. 3.6 mm is recognisable and the active material of the cathode has separated from the Al-Collector on an area of approx. 3 . As a consequence, there is an increased risk of a more critical short circuit with direct contact to the Al-Collector (Al↔An). The neighbouring separator (Figure 14D) shows a round melting area around the penetration point, which will be discussed in more detail later (see Figure 15a). Compared to the cathode, the anode (Figure 14E) shows an enlarged melting area of the Cu-Collector (). A similar damage structure was also observed by Y. Yokoshima et al. and can be explained by the high local joule heat [90].
Figure 14.
(a) Position of the corresponding images above and (b) the images of the damaged cell layers (A–G) and the molten penetration needle (N) of cell 1.6.
Figure 15.
(a) Melting characteristics of separator from cell 1.6 with related maximum measured temperatures and (b) the separator area for the different separator layers.
Copper has a melting temperature more than 400 °C higher than aluminium, and therefore, the heat hotspot, which caused the heating of deeper cell layers, can be allocated to the anode. Figure 14F shows the next second cathode, on which residues of the anode active material were found. However, the associated Al-Collector was not pierced, and thus, a contact between the two active materials (Ca↔An) was formed in the second to fifth cell layer. With a deeper cell layer, and therefore, a greater distance to the puncture point, the melting area of the separator reduces (Figure 14G). Figure 14N shows the needle, which has a dark clump of about 2 mm at the tip.
In Figure 15a, the melting surface of the first separator layer is measured and the maximum temperatures are plotted (see temperature curves in Figure 7c). It can be seen that the high temperatures ( and ) lead to complete melting of the separator. At the position of , the maximum temperature was 138 °C and a transparent area of the separator is visible. In contrast, the sensor only reached a maximum of 117 °C, which did not lead to any melting of the separator.
From this context, it becomes clear that in general, the maximum internal reached temperature can be reconstructed from the melting behaviour of the separator. In the practical analysis of damaged cells with unknown state, this correlation can help to evaluate the internal state quantitatively. The melting area for all damaged individual separator layers is plotted in Figure 15b. Here, layer 0 corresponds to the external insulation (see picture B in Figure 14) and shows a lower melting area than does layer 1, where the internal short circuit was initiated. For the entire time of the dynamic ISC, this temperature hotspot remained at the insertion point. However, no significant thermal energy seems to be released by this ISC contact condition (Ca↔An) itself, which was formed in the deeper layers. For the complete cell, the melted area was 36.3 . In the results of the electrochemical post-characterisation (Section 4.4), cell 1.6 showed only minor abnormalities, with a slightly increased self-discharge () and a minimal decrease in capacity. This behaviour can be explained by the high electrical resistance of both active materials ( [123]), with the result that even a large-area contact only leads to a low ISC current. Furthermore, non-conductive separator residues remain in the short-circuit area, which additionally reduce the electrical contact.
4.5.2. General Correlations
When the thermally induced damage characteristics were collected for all cells, excluding cells 2.4 and 0.1, the new relationships shown in Figure 16 were the result. The greater the maximum temperature was, the greater was the separator melting area . Furthermore, it is clear from Figure 16a that the number of damaged separator layers also increases with a higher maximum temperature. Figure 16b shows the remaining width of the needle tip and it also indicates an increased melting area with rising temperature .
Figure 16.
General melting characteristics of the separator (a) and the needle tip (b) as a function of the maximum temperature . Twelve cells are considered here in which no significant exothermic side reactions occurred.
4.5.3. Cell 2.4 and 0.1 (Partial Thermal Runaway)
Cell 2.4, as well as cell 0.1, showed a clearly divergent behaviour in form of a Partial Thermal Runaway. Figure 17 shows the corresponding damage characteristics. In Figure 17A, the pouch foil is clearly damaged as a result of the sudden gas release. Furthermore, a wrinkled structure of the first cathode’s Al-Collector and an almost completely melted isolation are visible in Figure 17B. Figure 17D,E clearly show the pronounced decomposition of the anode. It is noticeable that the graphite of the anode was detached from the collector to a much greater extent than the NMC of the cathode (Figure 17C). The detached active material increases the risk for a more critical ISC type with direct contact to the collector in the case of further electrical or mechanical loads. If a massive exothermic reaction of the cathode occurs, the heat of reaction typically induces complete melting of the Al-Collector [72,124]. The missing melting process here can be explained by the thicker, thermally more stable first collector foil (see also Figure 18). In Figure 17E, the needle penetration into the anode is clearly visible, whereas the deeper cell layers do not show any penetration of the needle. The third separator layer shown in Figure 17G is melted in the centre, but in a non-uniform structure, and the following layer (Figure 17H) is already undamaged. Due to the thermally insulating effect of the cathode active material and separator as well as the heat capacity of all components, the short-term released heat input from the decomposition of the anode did not reach so deep into further cell layers. Figure 17N shows the penetration needle with a clear melting area at the tip of the needle.
Figure 17.
(a) Position of the corresponding images above and (b) the images of the damage state for the cell layers (A–H) and the molten penetration needle (N) of cell 2.4 with a Partial Thermal Runaway.
Figure 18.
Typical damage image of a TR cell (here cell 2.6). Structural changes of the collectors (b–f) indicate the origin of the local gas release.
The extensive internal damage to the first and second layer and especially the visible structural changes at the first anode suggest that the original cell capacity is reduced by at least the amount of one layer. However, due to the over-dimensioning of the anode, the decomposition of the cathode in particular was responsible for a reduction in the cell capacity. In the new state, the cell capacity measured with a current of C/20 was 10.92 Ah and in the damaged state it was still 10.53 Ah. Thus, the capacity was only reduced by about 0.39 Ah. A single-sided cathode coated with active material has a nominal capacity of about 0.23 Ah. Accordingly, it can be assumed that the first cathode (Figure 17C) and also partly the second cathode (Figure 17F) decomposed thermally.
4.5.4. Cell with TR
All cells that ran into a TR show a similar damage characteristic, which is depicted in Figure 18 by representative cell 2.6. Due to the high heat input, the insulation material melted together with the pouch foil, as indicated in Figure 18a. The remaining combustion deposits of the active materials were no longer adherent to the collector. In Figure 18b,c, a hole of more than 10 mm could be detected at the area of the puncture point. In this case, the first Al-Collector also remained largely intact, because of the enhanced thickness of the material (Figure 18b). The TR caused the internal Al-Collector of the cathode to completely melt, and thus, only aluminium droplets could be found in the combustion deposits. Especially from the structural change of the first Cu-Collector (Figure 18c), the gas release starting from the penetration point becomes very clear. These structures that are oriented towards the centre occur up to the fourth Cu-Collector (Figure 18d). A needle puncture can be seen up to the seventh Cu-Collector (Figure 18e). Figure 18f shows the eighth Cu-Collector, which has a shapeless, but not penetrated structure.
The literature has already shown that local gas release occurs during the ISC, which then causes bending apart from the surrounding cell layers [73]. The resulting bulge in the direction of the penetration needle represents a low mechanical resistance, and consequently, the next deeper cell layer was penetrated. From the damage (see Figure 18), it can be deduced that the initiated ISC triggers the exothermic decomposition on the first four layers. This resulted in cell-internal reaction propagation over all layers. Due to the increase in volume of the entire cell stack, there is mechanical penetration of the already-decomposed cell layers 5–7. In the deeper cell layers, neither a local fusing nor an outgoing gas release is visible at the puncture site (see Figure 18e).
The needle shown in Figure 18g is comparatively less molten, i.e., about 0.4 mm. From the post-abuse analysis of all cells with TR behaviour, a very similar damage characteristic was found. This is characterised by the fact that always the first 3–4 Cu-Collector layers have a structure similar to Figure 18d and are oriented towards the centre with a clear melting area at the puncture point. The deepest puncture always occurs in layer 5–7. In contrast, cells 2.4 and 0.1, in which the process of exothermic side reactions was limited to the first cell layer, show only a single-layer needle puncture. It can be deduced from this that the gas release of cells 2.4 and 0.1 does not induce the penetration of the second cell layer, and thus, the progression of the reaction was stopped. Consequently, it can be stated that under these ISC conditions, only a multi-layer ISC leads to the complete TR of this 10 Ah cell.
5. Conclusions
The replication of a local, single-layer ISC, as caused by contamination with impurity particles or when dendrites grow, is especially relevant and can be reliably reproduced in pouch cells through the newly developed method in this work. A sharp, thin medical cannula is penetrated in the cell with a speed of 1 m . In this way, a reproducible mechanical damage scenario is generated in the cell, which is a great advantage compared to currently known trigger methods. For the cells used here (cell: 10 Ah; Graphite/NMC) with an outlying cathode, this generated a particularly critical contact situation between the Al-Collector of the cathode and the graphite active material of the anode. A defined tempering (25 °C) and a constant tension (0.11 MPa) were used to simulate realistic cell conditions and minimise any external influences. Therefore, the occurring individual ISC characteristics can be attributed to the scattering contacting resistance of the ISC.
The result is that at 100% SOC, dynamic short-circuit development (type II) is likely even at a very small penetration depth (<5 m). Deeper penetration results in better contacting, which makes spontaneous thermal runaway of the cell more likely, such that in practice even small impurity particles ≈100 m must be classified as very dangerous. The ISC is characterised by being very local and with a voltage drop correlating temperature increase, which initially shows the cell to be undamaged from the outside. A local temperature of over 1260 °C, which causes large-scale, multi-layer melting of the separator, did not lead to thermal runaway of the cell. Rather, a critical state develops after a comparatively mild failure characteristic, if a high SOC is locally present and a short-term high joule heat input occurs at the same time.
The post-abuse analysis showed that no TR occurs for the tested cell type as long as a multi-layer ISC does not develop as a result of local gas release. In many cells, especially at penetration depths of 0 and 25 m, local joule heat release mainly occurred and no large-scale process of exothermic side reactions followed. It can be seen that even a large-area contact between the two active materials (Ca↔An) does not lead to an immediate safety-critical state of the cell.
In two cells, the first cell layer suddenly decomposed without initiating further exothermic reactions in deeper cell layers. To our best knowledge, such a behaviour, which is named Partial Thermal Runaway, has not been documented in the literature yet, and it underlines the challenge in developing a uniform definition of the TR.
In many cases, the cells already show an inconspicuous behaviour after a few minutes (hazard level ). Cycling of damaged cells indicates that the risk of ISC is still high due to irreversible structural changes. This statement is supported by a spontaneous TR during cycling in the CV phase of the 255th full cycle.
The risk analysis of damaged cells by using non-destructive electrochemical methods (self-discharge, ICA, pulse) is not reliably possible. For timely failure detection, it is necessary to detect the first voltage drops by high-frequency sampling and to exclude further operation of the conspicuous cell.
In this study, many new insights into the still unknown complex ISC-behaviour have been presented, providing new explanations for better understanding. However, the results presented here are limited to one, although with an established cell type, so that it is desirable to conduct further research experiments with other pouch cells with other cell chemistries. The cyclic loading of pre-damaged cells should be further examined, in order to generate a well-founded basis for spontaneously occurring TRs. Another important future aspect is the further use of the here-generated data. In particular, the voltage characteristics should be used for the evaluation, comparison and further development of intelligent failure detection methods.
Author Contributions
Conceptualisation, J.G.; methodology, J.G.; software, J.K. and J.G.; validation, J.G. and J.K.; formal analysis, J.G. and J.K.; investigation, J.G., N.O. and J.K.; resources, R.B.; data curation, J.G.; writing—original draft preparation, J.G.; writing—review and editing, J.K., J.G., N.O., R.B., I.H. and H.-P.B.; visualisation, J.G.; supervision, H.-P.B. and I.H.; project administration, R.B. All authors have read and agreed to the published version of the manuscript.
Funding
This research was founded by the Federal Ministry for Economic Affairs and Climate Action of Germany in the project RiskBatt (project number: 03EI3010A).
Institutional Review Board Statement
Not applicable.
Informed Consent Statement
Not applicable.
Data Availability Statement
The data of this study as well as further information are available on request by the corresponding author.
Acknowledgments
The authors acknowledge the financial support of the Federal Ministry for Economic Affairs and Energy of Germany in the project RiskBatt (project number 03EI3010A). We thank the support by the Open Access Publishing Fund of Clausthal University of Technology.
Conflicts of Interest
The authors declare no conflict of interest.
Abbreviations
The following abbreviations are used in this manuscript:
| Al | Aluminium |
| An | Anode |
| C | C-Rate |
| Ca | Cathode |
| CC | Constant Current |
| Cu | Copper |
| CV | Constant Voltage |
| ICA | Incremental Capacity Analysis |
| ISC | Internal Short Circuit |
| Li | Lithium |
| LIB | Lithium-Ion Battery |
| max | Maximum |
| melt | Melting |
| min | Minimum |
| NMC | Nickel Manganese Cobalt |
| OCV | Open-Circuit Voltage |
| Sep | Separator |
| SOC | State of Charge |
| SOH | State of Health |
| TP | Thermal Propagation |
| TR | Thermal Runaway |
| TVOC | Total Volatile Organic Compounds |
| UL | Underwriters Laboratories |
Appendix A
Figure A1.
Relationship between the local cell temperature (upper plot) and the measured gas concentrations CO2 and TVOC (lower plot) of cell 1.6. These results complement the general characteristics shown in Figure 7c.
Figure A1.
Relationship between the local cell temperature (upper plot) and the measured gas concentrations CO2 and TVOC (lower plot) of cell 1.6. These results complement the general characteristics shown in Figure 7c.

Figure A2.
Characteristic of cell 2.6 (penetration depth 25 m) with a TR after ≈365 s. The result is an abrupt voltage drop to 0 V within seconds.
Figure A2.
Characteristic of cell 2.6 (penetration depth 25 m) with a TR after ≈365 s. The result is an abrupt voltage drop to 0 V within seconds.

Figure A3.
Characteristic of cell 0.1 with a Partial Thermal Runaway after ≈1000 s.
Figure A3.
Characteristic of cell 0.1 with a Partial Thermal Runaway after ≈1000 s.

References
- Tidblad, A.A.; Edström, K.; Hernández, G.; de Meatza, I.; Landa-Medrano, I.; Jacas Biendicho, J.; Trilla, L.; Buysse, M.; Ierides, M.; Horno, B.P.; et al. Future Material Developments for Electric Vehicle Battery Cells Answering Growing Demands from an End-User Perspective. Energies 2021, 14, 4223. [Google Scholar] [CrossRef]
- Yoshino, A. The Lithium-ion Battery: Two Breakthroughs in Development and Two Reasons for the Nobel Prize: Essay. Bull. Chem. Soc. Jpn. 2022, 95, 195–197. [Google Scholar] [CrossRef]
- Abu, S.M.; Hannan, M.A.; Hossain Lipu, M.S.; Mannan, M.; Ker, P.J.; Hossain, M.J.; Mahlia, T.I. State of the art of lithium-ion battery material potentials: An analytical evaluations, issues and future research directions. J. Clean. Prod. 2023, 394, 136246. [Google Scholar] [CrossRef]
- Degen, F. Lithium–ion battery cell production in Europe: Scenarios for reducing energy consumption and greenhouse gas emissions until 2030. J. Ind. Ecol. 2023, 27, 964–976. [Google Scholar] [CrossRef]
- Tran, M.K.; Mevawalla, A.; Aziz, A.; Panchal, S.; Xie, Y.; Fowler, M. A Review of Lithium-Ion Battery Thermal Runaway Modeling and Diagnosis Approaches. Processes 2022, 10, 1192. [Google Scholar] [CrossRef]
- Bravo Diaz, L.; He, X.; Hu, Z.; Restuccia, F.; Marinescu, M.; Barreras, J.V.; Patel, Y.; Offer, G.; Rein, G. Review—Meta-Review of Fire Safety of Lithium-Ion Batteries: Industry Challenges and Research Contributions. J. Electrochem. Soc. 2020, 167. [Google Scholar] [CrossRef]
- Chombo, P.V.; Laoonual, Y. A review of safety strategies of a Li-ion battery. J. Power Sources 2020, 478, 228649. [Google Scholar] [CrossRef]
- Wang, Q.; Mao, B.; Stoliarov, S.I.; Sun, J. A review of lithium ion battery failure mechanisms and fire prevention strategies. Prog. Energy Combust. Sci. 2019, 73, 95–131. [Google Scholar] [CrossRef]
- Qiu, M.; Liu, J.; Cong, B.; Cui, Y. Research Progress in Thermal Runaway Vent Gas Characteristics of Li-Ion Battery. Batteries 2023, 9, 411. [Google Scholar] [CrossRef]
- Amano, K.O.A.; Hahn, S.K.; Butt, N.; Vorwerk, P.; Gimadieva, E.; Tschirschwitz, R.; Rappsilber, T.; Krause, U. Composition and Explosibility of Gas Emissions from Lithium-Ion Batteries Undergoing Thermal Runaway. Batteries 2023, 9, 300. [Google Scholar] [CrossRef]
- Bruchhausen, M.; Pfrang, A.; Kriston, A.; Podias, A. Thermal Runaway Criteria: GTR-EVS, 22.-25.03.2022. p. 33. Available online: https://wiki.unece.org/display/trans/EVS+23rd+session?preview=%2F153583774%2F161841212%2FEVS23-E1TP-0100+%5BEC%5DThermal+runaway+criteria.pdf (accessed on 11 April 2022).
- Ruiz, V.; Pfrang, A. JRC Exploratory Research: Safer Li-Ion Batteries by Preventing Thermal Propagation: Workshop Report: Summary & Outcomes: EUR 29384 EN; EU Publications: Luxembourg, 2018. [Google Scholar] [CrossRef]
- Börger, A.; Mertens, J.; Wenzl, H. Thermal runaway and thermal runaway propagation in batteries: What do we talk about? J. Energy Storage 2019, 24, 100649. [Google Scholar] [CrossRef]
- Feng, X.; Sun, J.; Ouyang, M.; Wang, F.; He, X.; Lu, L.; Peng, H. Characterization of penetration induced thermal runaway propagation process within a large format lithium ion battery module. J. Power Sources 2015, 275, 261–273. [Google Scholar] [CrossRef]
- Srinivasan, R.; Thomas, M.E.; Airola, M.B.; Carkhuff, B.G.; Frizzell-Makowski, L.J.; Alkandry, H.; Reuster, J.G.; Oguz, H.N.; Green, P.W.; La Favors, J.; et al. Preventing Cell-to-Cell Propagation of Thermal Runaway in Lithium-Ion Batteries. J. Electrochem. Soc. 2020, 167, 020559. [Google Scholar] [CrossRef]
- Chen, Y.; Kang, Y.; Zhao, Y.; Wang, L.; Liu, J.; Li, Y.; Liang, Z.; He, X.; Li, X.; Tavajohi, N.; et al. A review of lithium-ion battery safety concerns: The issues, strategies, and testing standards. J. Energy Chem. 2021, 59, 83–99. [Google Scholar] [CrossRef]
- Feng, X.; Ouyang, M.; Liu, X.; Lu, L.; Xia, Y.; He, X. Thermal runaway mechanism of lithium ion battery for electric vehicles: A review. Energy Storage Mater. 2018, 10, 246–267. [Google Scholar] [CrossRef]
- Feng, X.; Ren, D.; He, X.; Ouyang, M. Mitigating Thermal Runaway of Lithium-Ion Batteries. Joule 2020, 4, 743–770. [Google Scholar] [CrossRef]
- Gandoman, F.H.; Jaguemont, J.; Goutam, S.; Gopalakrishnan, R.; Firouz, Y.; Kalogiannis, T.; Omar, N.; van Mierlo, J. Concept of reliability and safety assessment of lithium-ion batteries in electric vehicles: Basics, progress, and challenges. Appl. Energy 2019, 251, 113343. [Google Scholar] [CrossRef]
- Zhang, J.; Zhang, L.; Sun, F.; Wang, Z. An Overview on Thermal Safety Issues of Lithium-ion Batteries for Electric Vehicle Application. IEEE Access 2018, 6, 23848–23863. [Google Scholar] [CrossRef]
- Xiong, R.; Ma, S.; Li, H.; Sun, F.; Li, J. Toward a Safer Battery Management System: A Critical Review on Diagnosis and Prognosis of Battery Short Circuit. iScience 2020, 23, 101010. [Google Scholar] [CrossRef]
- Challa, V. How to Prevent Li-Ion Battery Failures: Real-World Applications of Physics of Failure Solving—Today’s Technology Challenges: Design for Reliability. In Proceedings of the DfR’s 2018 Design for Reliability Conference, Baltimore, MD, USA, 19–21 March 2018. [Google Scholar]
- Lai, X.; Jin, C.; Yi, W.; Han, X.; Feng, X.; Zheng, Y.; Ouyang, M. Mechanism, modeling, detection, and prevention of the internal short circuit in lithium-ion batteries: Recent advances and perspectives. Energy Storage Mater. 2021, 35, 470–499. [Google Scholar] [CrossRef]
- Liu, B.; Jia, Y.; Li, J.; Yin, S.; Yuan, C.; Hu, Z.; Wang, L.; Li, Y.; Xu, J. Safety issues caused by internal short circuits in lithium-ion batteries. J. Mater. Chem. A 2018, 6, 21475–21484. [Google Scholar] [CrossRef]
- Zhang, G.; Wei, X.; Tang, X.; Zhu, J.; Chen, S.; Dai, H. Internal short circuit mechanisms, experimental approaches and detection methods of lithium-ion batteries for electric vehicles: A review. Renew. Sustain. Energy Rev. 2021, 141, 110790. [Google Scholar] [CrossRef]
- Tübke, J.; Pinkwart, K.; Hendricks, C.E.; Fuentevilla, D.A.; Doering, H.; Garche, J.; Liebau, V.; Xuning, F.; Minggao, O.; Languang, L.; et al. 12 Li-Secondary Battery: Damage Control. In Electrochemical Power Sources: Fundamentals, Systems, and Applications. Li-Battery Safety; Garche, J., Brandt, K., Eds.; Elsevier: San Diego, CA, USA, 2019; pp. 507–629. [Google Scholar] [CrossRef]
- Matthew Gordon. Foreign Metallic Particle Contamination in EV Cell Manufactuting. In Proceedings of the AABC Europe 2023, Mainz, Germany, 19–22 June 2023. [Google Scholar]
- Grabow, J.; Klink, J.; Benger, R.; Hauer, I.; Beck, H.P. Particle Contamination in Commercial Lithium-Ion Cells—Risk Assessment with Focus on Internal Short Circuits and Replication by Currently Discussed Trigger Methods. Batteries 2023, 9, 9. [Google Scholar] [CrossRef]
- Ruiz, V.; Pfrang, A.; Kriston, A.; Omar, N.; van den Bossche, P.; Boon-Brett, L. A review of international abuse testing standards and regulations for lithium ion batteries in electric and hybrid electric vehicles. Renew. Sustain. Energy Rev. 2018, 81, 1427–1452. [Google Scholar] [CrossRef]
- Lai, X.; Yao, J.; Jin, C.; Feng, X.; Wang, H.; Xu, C.; Zheng, Y. A Review of Lithium-Ion Battery Failure Hazards: Test Standards, Accident Analysis, and Safety Suggestions. Batteries 2022, 8, 248. [Google Scholar] [CrossRef]
- Brodd, R.J. Batteries for Sustainability: Selected Entries from the Encyclopedia of Sustainability Science and Technology; Springer: New York, NY, USA, 2013. [Google Scholar] [CrossRef]
- Chen, M.; Bai, F.; Lin, S.; Song, W.; Li, Y.; Feng, Z. Performance and safety protection of internal short circuit in lithium-ion battery based on a multilayer electro-thermal coupling model. Appl. Therm. Eng. 2019, 146, 775–784. [Google Scholar] [CrossRef]
- Tran, M.K.; Fowler, M. A Review of Lithium-Ion Battery Fault Diagnostic Algorithms: Current Progress and Future Challenges. Algorithms 2020, 13, 62. [Google Scholar] [CrossRef]
- Zhang, X.; Chen, S.; Zhu, J.; Gao, Y. A Critical Review of Thermal Runaway Prediction and Early-Warning Methods for Lithium-Ion Batteries. Energy Mater. Adv. 2023, 4, 0008. [Google Scholar] [CrossRef]
- Liaw, B.Y.; Wang, F.; Wei, Y.; Garche, J.; Brandt, K. Managing Safety Risk by Manufacturers. In Electrochemical Power Sources: Fundamentals, Systems, and Applications. Li-Battery Safety; Garche, J., Brandt, K., Eds.; Elsevier: San Diego, CA, USA, 2019; pp. 267–378. [Google Scholar] [CrossRef]
- Liu, B.; Jia, Y.; Yuan, C.; Wang, L.; Gao, X.; Yin, S.; Xu, J. Safety issues and mechanisms of lithium-ion battery cell upon mechanical abusive loading: A review. Energy Storage Mater. 2020, 24, 85–112. [Google Scholar] [CrossRef]
- Smoke Event, VH-PRX, Sydney Airport, 25 November 2011: ATSB TRANSPORT SAFETY REPORT. Available online: https://reports.aviation-safety.net/2011/20111125_SF34_VH-PRX.pdf (accessed on 20 September 2023).
- Goodman, J.K.S.; Miller, J.T.; Kreuzer, S.; Forman, J.; Wi, S.; Choi, J.m.; Oh, B.; White, K. Lithium-ion cell response to mechanical abuse: Three-point bend. J. Energy Storage 2020, 28, 101244. [Google Scholar] [CrossRef]
- Zhu, J.; Wierzbicki, T.; Li, W. A review of safety-focused mechanical modeling of commercial lithium-ion batteries. J. Power Sources 2018, 378, 153–168. [Google Scholar] [CrossRef]
- Xia, Y.; Wierzbicki, T.; Sahraei, E.; Zhang, X. Damage of cells and battery packs due to ground impact. J. Power Sources 2014, 267, 78–97. [Google Scholar] [CrossRef]
- Wu, H.; Zhuo, D.; Kong, D.; Cui, Y. Improving battery safety by early detection of internal shorting with a bifunctional separator. Nat. Commun. 2014, 5, 5193. [Google Scholar] [CrossRef] [PubMed]
- Zhu, R.; Feng, J.; Guo, Z. In Situ Observation of Dendrite Behavior of Electrode in Half and Full Cells. J. Electrochem. Soc. 2019, 166, A1107–A1113. [Google Scholar] [CrossRef]
- Hogrefe, C.; Waldmann, T.; Hölzle, M.; Wohlfahrt-Mehrens, M. Direct observation of internal short circuits by lithium dendrites in cross-sectional lithium-ion in situ full cells. J. Power Sources 2023, 556, 232391. [Google Scholar] [CrossRef]
- Guo, R.; Lu, L.; Ouyang, M.; Feng, X. Mechanism of the entire overdischarge process and overdischarge-induced internal short circuit in lithium-ion batteries. Sci. Rep. 2016, 6, 30248. [Google Scholar] [CrossRef]
- Liu, L.; Feng, X.; Zhang, M.; Lu, L.; Han, X.; He, X.; Ouyang, M. Comparative study on substitute triggering approaches for internal short circuit in lithium-ion batteries. Appl. Energy 2020, 259, 114143. [Google Scholar] [CrossRef]
- Badmos, O.; Kopp, A.; Bernthaler, T.; Schneider, G. Image-based defect detection in lithium-ion battery electrode using convolutional neural networks. J. Intell. Manuf. 2020, 31, 885–897. [Google Scholar] [CrossRef]
- Qian, G.; Monaco, F.; Meng, D.; Lee, S.J.; Zan, G.; Li, J.; Karpov, D.; Gul, S.; Vine, D.; Stripe, B.; et al. The role of structural defects in commercial lithium-ion batteries. Cell Rep. Phys. Sci. 2021, 2, 100554. [Google Scholar] [CrossRef]
- Wu, Y.; Saxena, S.; Xing, Y.; Wang, Y.; Li, C.; Yung, W.; Pecht, M. Analysis of Manufacturing-Induced Defects and Structural Deformations in Lithium-Ion Batteries Using Computed Tomography. Energies 2018, 11, 925. [Google Scholar] [CrossRef]
- Samsung Newsroom U.S. Samsung Announces Cause of Galaxy Note7 Incidents in Press Conference. 2017. Available online: https://news.samsung.com/us/Samsung-Electronics-Announces-Cause-of-Galaxy-Note7-Incidents-in-Press-Conference (accessed on 23 January 2017).
- Spielbauer, M.; Steinhardt, M.; Singer, J.; Aufschläger, A.; Bohlen, O.; Jossen, A. Influence of Breathing and Swelling on the Jelly-Roll Case Gap of Cylindrical Lithium-Ion Battery Cells. Batteries 2023, 9, 6. [Google Scholar] [CrossRef]
- Willenberg, L.K.; Dechent, P.; Fuchs, G.; Sauer, D.U.; Figgemeier, E. High-Precision Monitoring of Volume Change of Commercial Lithium-Ion Batteries by Using Strain Gauges. Sustainability 2020, 12, 557. [Google Scholar] [CrossRef]
- Carter, R.; Klein, E.J.; Atkinson, R.W.; Love, C.T. Mechanical collapse as primary degradation mode in mandrel-free 18650 Li-ion cells operated at 0 °C. J. Power Sources 2019, 437, 226820. [Google Scholar] [CrossRef]
- Mohanty, D.; Hockaday, E.; Li, J.; Hensley, D.K.; Daniel, C.; Wood, D.L. Effect of electrode manufacturing defects on electrochemical performance of lithium-ion batteries: Cognizance of the battery failure sources. J. Power Sources 2016, 312, 70–79. [Google Scholar] [CrossRef]
- Kurfer, J.; Westermeier, M.; Tammer, C.; Reinhart, G. Production of large-area lithium-ion cells—Preconditioning, cell stacking and quality assurance. CIRP Ann. 2012, 61, 1–4. [Google Scholar] [CrossRef]
- Randall, C. BMW Recalls Multiple PHEV Models. 2020. Available online: https://www.electrive.com/2020/10/13/bmw-recalls-multiple-phev-models/ (accessed on 20 September 2023).
- Rheinfeld, J.A.G. Performance and Safety of Lithium-Ion Electrodes and Cells: Modeling, Simulation, and Validation at Elevated Temperatures and Currents. Doctoral Dissertation, Technische Universität München, München, Germany, 2019. [Google Scholar]
- Cai, T.; Stefanopoulou, A.G.; Siegel, J.B. Modeling Li-Ion Battery Temperature and Expansion Force during the Early Stages of Thermal Runaway Triggered by Internal Shorts. J. Electrochem. Soc. 2019, 166, A2431–A2443. [Google Scholar] [CrossRef]
- Klink, J.; Grabow, J.; Orazov, N.; Benger, R.; Hauer, I.; Beck, H.P. Systematic Approach for the Test Data Generation and Validation of ISC/ESC Detection Methods. Batteries 2023, 9, 339. [Google Scholar] [CrossRef]
- Volck, T.; Sinz, W.; Gstrein, G.; Breitfuss, C.; Heindl, S.; Steffan, H.; Freunberger, S.; Wilkening, M.; Uitz, M.; Fink, C.; et al. Method for Determination of the Internal Short Resistance and Heat Evolution at Different Mechanical Loads of a Lithium Ion Battery Cell Based on Dummy Pouch Cells. Batteries 2016, 2, 8. [Google Scholar] [CrossRef]
- Santhanagopalan, S.; Ramadass, P.; Zhang, J. Analysis of internal short-circuit in a lithium ion cell. J. Power Sources 2009, 194, 550–557. [Google Scholar] [CrossRef]
- Zhang, Z.J.; Ramadass, P.; Fang, W. Safety of Lithium-Ion Batteries. In Lithium-Ion Batteries; Elsevier: Amsterdam, The Netherlands, 2014; pp. 409–435. [Google Scholar] [CrossRef]
- Keyser, M.; Darcy, E. Internal Short-Circuit Instigator in Lithium Ion Cells, 8-9.03.2018. Available online: https://rechargebatteries.org/wp-content/uploads/2020/01/2-Initiation-presentation-MDBTC_matthew_keyser-nrel-nasa_internal_short_circuit_instigator_in_lithium_ion_cells_03_2018.pdf (accessed on 20 September 2023).
- Zhang, L.; Xu, M.; Zhao, P.; Wang, X. A Computational Study on the Critical Ignition Energy and Chemical Kinetic Feature for Li-Ion Battery Thermal Runaway; WCX World Congress Experience: SAE Technical Paper; SAE International: Warrendale, PA, USA, 2018. [Google Scholar] [CrossRef]
- Zhang, M.; Liu, L.; Stefanopoulou, A.; Siegel, J.; Lu, L.; He, X.; Ouyang, M. Fusing Phenomenon of Lithium-Ion Battery Internal Short Circuit. J. Electrochem. Soc. 2017, 164, A2738–A2745. [Google Scholar] [CrossRef]
- Chen, M.; Ye, Q.; Shi, C.; Cheng, Q.; Qie, B.; Liao, X.; Zhai, H.; He, Y.; Yang, Y. New Insights into Nail Penetration of Li–Ion Batteries: Effects of Heterogeneous Contact Resistance. Batter. Supercaps 2019, 2, 874–881. [Google Scholar] [CrossRef]
- Jia, Y.; Liu, B.; Hong, Z.; Yin, S.; Finegan, D.P.; Xu, J. Safety issues of defective lithium-ion batteries: Identification and risk evaluation. J. Mater. Chem. A 2020, 8, 12472–12484. [Google Scholar] [CrossRef]
- Yokoshima, T.; Mukoyama, D.; Maeda, F.; Osaka, T.; Takazawa, K.; Egusa, S.; Naoi, S.; Ishikura, S.; Yamamoto, K. Direct observation of internal state of thermal runaway in lithium ion battery during nail-penetration test. J. Power Sources 2018, 393, 67–74. [Google Scholar] [CrossRef]
- Wang, H.; Lara-Curzio, E.; Rule, E.T.; Winchester, C.S. Mechanical abuse simulation and thermal runaway risks of large-format Li-ion batteries. J. Power Sources 2017, 342, 913–920. [Google Scholar] [CrossRef]
- Mao, B.; Chen, H.; Cui, Z.; Wu, T.; Wang, Q. Failure mechanism of the lithium ion battery during nail penetration. Int. J. Heat Mass Transf. 2018, 122, 1103–1115. [Google Scholar] [CrossRef]
- Diekmann, J.; Doose, S.; Weber, S.; Münch, S.; Haselrieder, W.; Kwade, A. Development of a New Procedure for Nail Penetration of Lithium-Ion Cells to Obtain Meaningful and Reproducible Results. J. Electrochem. Soc. 2020, 167, 090504. [Google Scholar] [CrossRef]
- Ma, T.; Chen, L.; Liu, S.; Zhang, Z.; Xiao, S.; Fan, B.; Liu, L.; Lin, C.; Ren, S.; Wang, F. Mechanics-morphologic coupling studies of commercialized lithium-ion batteries under nail penetration test. J. Power Sources 2019, 437, 226928. [Google Scholar] [CrossRef]
- Lamb, J.; Orendorff, C.J. Evaluation of mechanical abuse techniques in lithium ion batteries. J. Power Sources 2014, 247, 189–196. [Google Scholar] [CrossRef]
- Finegan, D.P.; Darcy, E.; Keyser, M.; Tjaden, B.; Heenan, T.M.M.; Jervis, R.; Bailey, J.J.; Malik, R.; Vo, N.T.; Magdysyuk, O.V.; et al. Characterising thermal runaway within lithium-ion cells by inducing and monitoring internal short circuits. Energy Environ. Sci. 2017, 10, 1377–1388. [Google Scholar] [CrossRef]
- Zhang, M.; Du, J.; Liu, L.; Stefanopoulou, A.; Siegel, J.; Lu, L.; He, X.; Xie, X.; Ouyang, M. Internal Short Circuit Trigger Method for Lithium-Ion Battery Based on Shape Memory Alloy. J. Electrochem. Soc. 2017, 164, A3038–A3044. [Google Scholar] [CrossRef]
- Orendorff, C.J.; Roth, E.P.; Nagasubramanian, G. Experimental triggers for internal short circuits in lithium-ion cells. J. Power Sources 2011, 196, 6554–6558. [Google Scholar] [CrossRef]
- Keyser, M.; Darcy, E.; Shoesmith, M.; McCarthy, B. NREL/NASA Internal Short-Circuit Instigator in Lithium Ion Cells. In Proceedings of the 228th ECS Conference, Phoenix, AZ, USA, 11–15 October 2015. [Google Scholar]
- Huang, S.; Du, X.; Richter, M.; Ford, J.; Cavalheiro, G.M.; Du, Z.; White, R.T.; Zhang, G. Understanding Li-Ion Cell Internal Short Circuit and Thermal Runaway through Small, Slow and In Situ Sensing Nail Penetration. J. Electrochem. Soc. 2020, 167, 090526. [Google Scholar] [CrossRef]
- Kim, G.H.; Smith, K.; Ireland, J.; Pesaran, A. Fail-safe design for large capacity lithium-ion battery systems. J. Power Sources 2012, 210, 243–253. [Google Scholar] [CrossRef]
- Klink, J.; Hebenbrock, A.; Grabow, J.; Orazov, N.; Nylén, U.; Benger, R.; Beck, H.P. Comparison of Model-Based and Sensor-Based Detection of Thermal Runaway in Li-Ion Battery Modules for Automotive Application. Batteries 2022, 8, 34. [Google Scholar] [CrossRef]
- Klink, J.; Grabow, J.; Orazov, N.; Benger, R.; Börger, A.; Ahlberg Tidblad, A.; Wenzl, H.; Beck, H.P. Thermal fault detection by changes in electrical behaviour in lithium-ion cells. J. Power Sources 2021, 490. [Google Scholar] [CrossRef]
- Abaza, A.; Ferrari, S.; Wong, H.K.; Lyness, C.; Moore, A.; Weaving, J.; Blanco-Martin, M.; Dashwood, R.; Bhagat, R. Experimental study of internal and external short circuits of commercial automotive pouch lithium-ion cells. J. Energy Storage 2018, 16, 211–217. [Google Scholar] [CrossRef]
- Ribière, P.; Grugeon, S.; Morcrette, M.; Boyanov, S.; Laruelle, S.; Marlair, G. Investigation on the fire-induced hazards of Li-ion battery cells by fire calorimetry. Energy Environ. Sci. 2012, 5, 5271–5280. [Google Scholar] [CrossRef]
- Kvasha, A.; Gutiérrez, C.; Osa, U.; de Meatza, I.; Blazquez, J.A.; Macicior, H.; Urdampilleta, I. A comparative study of thermal runaway of commercial lithium ion cells. Energy 2018, 159, 547–557. [Google Scholar] [CrossRef]
- Bitzer, B.; Gruhle, A. A new method for detecting lithium plating by measuring the cell thickness. J. Power Sources 2014, 262, 297–302. [Google Scholar] [CrossRef]
- Waldmann, T.; Hogg, B.I.; Wohlfahrt-Mehrens, M. Li plating as unwanted side reaction in commercial Li-ion cells—A review. J. Power Sources 2018, 384, 107–124. [Google Scholar] [CrossRef]
- Zhu, X.; Wang, H.; Allu, S.; Gao, Y.; Cakmak, E.; Hopkins, E.J.; Veith, G.M.; Wang, Z. Investigation on capacity loss mechanisms of lithium-ion pouch cells under mechanical indentation conditions. J. Power Sources 2020, 465, 228314. [Google Scholar] [CrossRef]
- Feng, X.; Zheng, S.; Ren, D.; He, X.; Wang, L.; Liu, X.; Li, M.; Ouyang, M. Key Characteristics for Thermal Runaway of Li-ion Batteries. Energy Procedia 2019, 158, 4684–4689. [Google Scholar] [CrossRef]
- Zubi, G.; Dufo-López, R.; Carvalho, M.; Pasaoglu, G. The lithium-ion battery: State of the art and future perspectives. Renew. Sustain. Energy Rev. 2018, 89, 292–308. [Google Scholar] [CrossRef]
- Zhao, W.; Luo, G.; Wang, C.Y. Modeling Nail Penetration Process in Large-Format Li-Ion Cells. J. Electrochem. Soc. 2015, 162, A207–A217. [Google Scholar] [CrossRef]
- Yokoshima, T.; Mukoyama, D.; Maeda, F.; Osaka, T.; Takazawa, K.; Egusa, S. Operando Analysis of Thermal Runaway in Lithium Ion Battery during Nail-Penetration Test Using an X-ray Inspection System. J. Electrochem. Soc. 2019, 166, A1243–A1250. [Google Scholar] [CrossRef]
- Hsin, W.; Edga, L.C. Thermal Runaway Risk Assessment by Mechanically Induced Internal Short Circuit. Available online: https://www.prba.org/wp-content/uploads/Internal-short-circuit-BatterySafetyCouncil-Jan2017.pdf (accessed on 20 September 2023).
- Li, A.; Yuen, A.C.Y.; Wang, W.; de Cachinho Cordeiro, I.M.; Wang, C.; Chen, T.B.Y.; Zhang, J.; Chan, Q.N.; Yeoh, G.H. A Review on Lithium-Ion Battery Separators towards Enhanced Safety Performances and Modelling Approaches. Molecules 2021, 26, 478. [Google Scholar] [CrossRef]
- Schledde, D. Modellbasierte Identifikation von physikalischen Parametern zur Bestimmung der Veränderung charakteristischer Eigenschaften einer C/NMC Lithium-Ionen-Zelle durch Alterungsmechanismen zur Anwendung in Batteriemanagementsystemen: Eine empirische Studie. Doctoral Dissertation, Universität Kassel, Kassel, Germany, 2017. [Google Scholar] [CrossRef]
- Zhou, L.; Xing, L.; Zheng, Y.; Lai, X.; Su, J.; Deng, C.; Sun, T. A study of external surface pressure effects on the properties for lithium–ion pouch cells. Int. J. Energy Res. 2020, 44, 6778–6791. [Google Scholar] [CrossRef]
- Ma, S.; Jiang, M.; Tao, P.; Song, C.; Wu, J.; Wang, J.; Deng, T.; Shang, W. Temperature effect and thermal impact in lithium-ion batteries: A review. Prog. Nat. Sci. Mater. Int. 2018, 28, 653–666. [Google Scholar] [CrossRef]
- Höschele, P.; Heindl, S.F.; Erker, S.; Ellersdorfer, C. Influence of reversible swelling and preload force on the failure behavior of a lithium-ion pouch cell tested under realistic boundary conditions. J. Energy Storage 2023, 65, 107228. [Google Scholar] [CrossRef]
- Hahn, A.; Doose, S.; Saathoff, D.; Kwade, A. Effect of External Compression on the Thermal Runaway of Lithium-Ion Battery Cells during Crush Tests: Insights for Improved Safety Assessment. Batteries 2023, 9, 404. [Google Scholar] [CrossRef]
- Cannarella, J.; Arnold, C.B. Stress evolution and capacity fade in constrained lithium-ion pouch cells. J. Power Sources 2014, 245, 745–751. [Google Scholar] [CrossRef]
- Barai, A.; Tangirala, R.; Uddin, K.; Chevalier, J.; Guo, Y.; McGordon, A.; Jennings, P. The effect of external compressive loads on the cycle lifetime of lithium-ion pouch cells. J. Energy Storage 2017, 13, 211–219. [Google Scholar] [CrossRef]
- Präzision in der Injektion und Applikation: Mit B. Braun Einmalspritzen und Einmalkanülen. Available online: https://www.bbraun.ch/content/dam/catalog/bbraun/bbraunProductCatalog/CW_CH/de-ch/b9/spritzen-und-kanuelen0.pdf (accessed on 20 September 2023).
- DIN EN 1.4301; Stainless Steel X5CrNi18-10 Material Equivalent, Properties, Chemical Composition. European EN Standards—BSI and DIN Standards: Plzen, Czech Republic, 2023.
- Finegan, D.P.; Tjaden, B.; Heenan, T.M.M.; Jervis, R.; Di Michiel, M.; Rack, A.; Hinds, G.; Brett, D.J.L.; Shearing, P.R. Tracking Internal Temperature and Structural Dynamics during Nail Penetration of Lithium-Ion Cells. J. Electrochem. Soc. 2017, 164, A3285–A3291. [Google Scholar] [CrossRef]
- Hunt, I.A.; Zhao, Y.; Patel, Y.; Offer, J. Surface Cooling Causes Accelerated Degradation Compared to Tab Cooling for Lithium-Ion Pouch Cells. J. Electrochem. Soc. 2016, 163, A1846–A1852. [Google Scholar] [CrossRef]
- Essl, C.; Golubkov, A.W.; Fuchs, A. Influence of Aging on the Failing Behavior of Automotive Lithium-Ion Batteries. Batteries 2021, 7, 23. [Google Scholar] [CrossRef]
- Sazhin, S.V.; Dufek, E.J.; Gering, K.L. Enhancing Li-Ion Battery Safety by Early Detection of Nascent Internal Shorts. ECS Trans. 2017, 73, 161–178. [Google Scholar] [CrossRef]
- Seo, M.; Goh, T.; Koo, G.; Park, M.; Kim, S.W. Detection of Internal Short Circuit in Li-ion Battery by Estimating its Resistance. In Proceedings of the 4th IIAE International Conference on Intelligent Systems and Image Processing 2016 (ICISIP2016), Kyoto, Japan, 8–12 September 2016; pp. 212–217. [Google Scholar] [CrossRef]
- Barai, A.; Uddin, K.; Dubarry, M.; Somerville, L.; McGordon, A.; Jennings, P.; Bloom, I. A comparison of methodologies for the non-invasive characterisation of commercial Li-ion cells. Prog. Energy Combust. Sci. 2019, 72, 1–31. [Google Scholar] [CrossRef]
- Han, X.; Ouyang, M.; Lu, L.; Li, J. A comparative study of commercial lithium ion battery cycle life in electric vehicle: Capacity loss estimation. J. Power Sources 2014, 268, 658–669. [Google Scholar] [CrossRef]
- Grabow, J.; Benger, R.; Beushauen, L.; Deblon, F. Advanced filtering for Incremental Capacity Analysis applied to various lithium-ion batteries. In Proceedings of the Advanced Battery Power, Aachen, Germany, 2–4 April 2019. [Google Scholar]
- Schmidt, J.P.; Ivers-Tiffée, E. Pulse-fitting—A novel method for the evaluation of pulse measurements, demonstrated for the low frequency behavior of lithium-ion cells. J. Power Sources 2016, 315, 316–323. [Google Scholar] [CrossRef]
- Cannarella, J.; Arnold, C.B. The Effects of Defects on Localized Plating in Lithium-Ion Batteries. J. Electrochem. Soc. 2015, 162, A1365–A1373. [Google Scholar] [CrossRef]
- Grabow, J.; Orazov, N.; Benger, R.; Hauer, I.; Beck, H.-P. Influence of compression condition on the behaviour of lithium-ion cells in the event of an external short-circuit. In Proceedings of the AABC Europe Mainz, Mainz, Germany, 19–22 June 2023. [Google Scholar] [CrossRef]
- Zhao, R.; Liu, J.; Gu, J. A comprehensive study on Li-ion battery nail penetrations and the possible solutions. Energy 2017, 123, 392–401. [Google Scholar] [CrossRef]
- Bruchhausen, M.; Hildebrand, S.; Kriston, A.; Ruiz, V.; Podias, A.; Pfrang, A. Evaluation of detection criteria for thermal runaway experiments on commercial cells for electric vehicles. Energy Rep. 2023, 10, 510–519. [Google Scholar] [CrossRef]
- Feng, X.; Zheng, S.; Ren, D.; He, X.; Wang, L.; Cui, H.; Liu, X.; Jin, C.; Zhang, F.; Xu, C.; et al. Investigating the thermal runaway mechanisms of lithium-ion batteries based on thermal analysis database. Appl. Energy 2019, 246, 53–64. [Google Scholar] [CrossRef]
- Zavalis, T.G.; Behm, M.; Lindbergh, G. Investigation of Short-Circuit Scenarios in a Lithium-Ion Battery Cell. J. Electrochem. Soc. 2012, 159, A848–A859. [Google Scholar] [CrossRef]
- Hatchard, T.D.; MacNeil, D.D.; Basu, A.; Dahn, J.R. Thermal Model of Cylindrical and Prismatic Lithium-Ion Cells. J. Electrochem. Soc. 2001, 148, A755. [Google Scholar] [CrossRef]
- Ren, D.; Liu, X.; Feng, X.; Lu, L.; Ouyang, M.; Li, J.; He, X. Model-based thermal runaway prediction of lithium-ion batteries from kinetics analysis of cell components. Appl. Energy 2018, 228, 633–644. [Google Scholar] [CrossRef]
- Reid, G.; Julve, J. Second Life-Batterien als flexible Speicher für Erneuerbare Energien: Kurzstudie Im Auftrag Des Bundesverbandes Erneuerbare Energie e.V. und der Hannover Messe; Bundesverband Erneuerbare Energie e.V.: Berlin, Germany, 2016. [Google Scholar]
- Smith, B. Chevrolet Volt Battery Incident Overview Report. Accid. Reconstr. J. 2013, 23, 31–37. [Google Scholar]
- Dubarry, M.; Truchot, C.; Liaw, B.Y. Synthesize battery degradation modes via a diagnostic and prognostic model. J. Power Sources 2012, 219, 204–216. [Google Scholar] [CrossRef]
- Lewerenz, M.; Münnix, J.; Schmalstieg, J.; Käbitz, S.; Knips, M.; Sauer, D.U. Systematic aging of commercial LiFePO4|Graphite cylindrical cells including a theory explaining rise of capacity during aging. J. Power Sources 2017, 345, 254–263. [Google Scholar] [CrossRef]
- Yang, S.; Wang, W.; Lin, C.; Shen, W.; Li, Y. Investigation of Internal Short Circuits of Lithium-Ion Batteries under Mechanical Abusive Conditions. Energies 2019, 12, 1885. [Google Scholar] [CrossRef]
- Feng, X.; Zheng, S.; He, X.; Wang, L.; Wang, Y.; Ren, D.; Ouyang, M. Time Sequence Map for Interpreting the Thermal Runaway Mechanism of Lithium-Ion Batteries With LiNixCoyMnzO2 Cathode. Front. Energy Res. 2018, 6, 264. [Google Scholar] [CrossRef]
Disclaimer/Publisher’s Note: The statements, opinions and data contained in all publications are solely those of the individual author(s) and contributor(s) and not of MDPI and/or the editor(s). MDPI and/or the editor(s) disclaim responsibility for any injury to people or property resulting from any ideas, methods, instructions or products referred to in the content. |
© 2023 by the authors. Licensee MDPI, Basel, Switzerland. This article is an open access article distributed under the terms and conditions of the Creative Commons Attribution (CC BY) license (https://creativecommons.org/licenses/by/4.0/).





















