Abstract
Internal short-circuit (ISC) faults are a common cause of thermal runaway in lithium-ion batteries (LIBs), which greatly endangers the safety of LIBs. Different LIBs have common features related to ISC faults. Due to the insufficient volume of acquired ISC fault data, conventional machine learning models could not effectively identify ISC faults. To compensate for the above deficiencies, this paper proposes a multi-machine learning fusion method to predict ISC faults and to perform faults warning classification under multiple operating conditions using the input of voltage normalization. Firstly, learning data acquisition is captured by experiments and simulation. Secondly, the simulation data are inputted into the ResNet-convolutional neural network (CNN) for pretraining, followed by the transfer learning method to freeze parts of the model layers in the CNN, and part of the experimental data are also inputted into the CNN model for parameter fine-tuning to build a multi-machine learning model. Finally, the degree of ISC faults within the laboratory battery is predicted based on the multi-machine learning model. The results show that the CNN model had a 99.9% prediction accuracy on the simulated dataset, and the multi-machine learning fusion model after transfer learning had a 96.67% prediction accuracy on the laboratory battery dataset, which can accurately identify different levels of ISC faults in batteries and realize the graded warning of ISC faults.
1. Introduction
In recent years, LIB safety accidents have occurred due to mechanical abuse, electrical abuse, and thermal abuse. In the case of abuse or malfunction, the abuse, or fault mode, represented by the short circuit inside the battery, is the most important causative factor for serious accidents [1,2,3]. The fault of the battery management system (BMS) not to provide a timely alarm is the most important factor leading to electric vehicle fires [4,5,6]. The early symptoms of battery ISC fault characteristics are not obvious and not easy to detect. When the ISC faults occur in the early stage, because the short-circuit resistance is large, the corresponding leakage amount is small, and the ISC fault signals are not obvious. With the continuous aging of the battery, the severity of the ISC faults gradually deepens, and the corresponding thermal runaway risk increases, posing a great threat to battery safety. In order to improve the safety of the battery, it is necessary to detect the ISC faults in the battery and classify the early warning at an early stage of the fault occurrence.
Many available ISC diagnostic methods have been widely proposed, mainly model-based, and data-driven approaches. In the model-based approach, M. Ouyang et al. [7,8] proposed an ISC fault mode based on the battery consistency model and the least squares method, severe ISC faults can be accurately detected. For temperature changes caused by ISC faults, Feng et al. [9,10] performed the temperature level diagnosis of ISC faults in batteries. By analyzing the abnormal voltage and current variation characteristics with the help of circuit structure, the diagnosis of ISC faults in the battery was performed [11,12].
The data-driven approach relies heavily on ISC diagnosis by constructing salient characteristics between normal and ISC cells, such as voltage, current, charge, and other important characteristics. M. Schmid et al. [13] proposed a nonlinear regression prediction model which was constructed using the voltage difference value between different cells in the battery pack to quickly detect the ISC. With the widely used big data cloud platform, the battery data accumulating in the electric vehicle monitoring system generates the battery big data security monitoring platform. Using data analysis methods, a large volume of battery data can be processed to realize ISC faults and issue warnings, but ISC diagnosis methods depend on high-quality ISC features data which needs to be extracted from a large amount of historical data [14,15,16]. By using charging data and analyzing the characteristics of leakage caused by ISC faults to different degrees, Kong et al. [17] proposed an online quantitative diagnosis method based on the abnormal increase in remaining charge capacity (RCC). Through the power consumed by the ISC, the ISC can be diagnosed using the increase in the abnormal characteristics of the multiple cycle RCC, and the ISC faults can be accurately predicted. In the study of the direction of capacity characteristics caused by ISC faults, Zheng et al. [18,19,20] estimated the battery capacity with the deepening degree of the ISC faults. As the battery capacity value of the ISC faults becomes larger, the corresponding ISC battery faults could be effectively detected. D. Qiao et al. [21] converted the leakage current caused by ISC faults into the ISC internal resistance according to the incremental capacity (IC) curve.
With the rapid development of artificial intelligence, data-driven algorithms such as machine learning and deep learning have also been introduced into battery fault diagnosis research. J. Jiang et al. [22] proposed a method for the faults diagnosis of LIBs based on the isolation forest algorithm, which can accurately classify and predict different faults, predicting progressive faults and sudden faults in advance with obvious faults characteristics. H. Yang et al. [23] proposed a hybrid neural network combining CNN and a bi-directional long short-term memory network (Bi-LSTM) for battery monitoring and prediction. L. Yao et al. [24] proposed a machine learning algorithm of support vector machine (SVM) to classify the faults of batteries and normal batteries and to identify the faults of LIBs. A. Naha et al. [25] applied a supervised machine learning approach to the ISC detection in batteries to learn the implied feature space from health data and short circuit data and then applied the trained model for the ISC due to mechanical abuse in smartphones. D. Li et al. [26] proposed a fault diagnosis method combining LSTM and ECM. The model can be trained offline and implemented online, which is conducive to the rapid diagnosis of the battery system. According to battery safety classification modeling, Y. Jia et al. [27] used the machine learning intelligence algorithm to classify and warn of the potential safety risks of LIBs. J. Xie et al. [28] used a multiclass correlation vector machine to discriminate ISC states, the proposed diagnosis scheme could effectively identify ISC faults with a rank misclassification rate and a low-state misclassification rate.
According to the above literature review, the ISC faults diagnoses within LIBs have yielded fruitful results and have shown the potential of deep learning in inferring a more comprehensive battery status. However, due to the sparse nature of real data, there are few studies on the diagnosis of ISCs using multi-machine learning methods, and there are still challenges on how to learn the complex mapping relationship between the voltage curve and the degree of the fault from the simulation data for the prediction of ISC faults in batteries. Therefore, this paper proposes a multi-machine learning fusion method based on CNN and transfer learning for the identification of ISC faults. By learning the voltage curve of battery ISC faults, the features caused by the battery ISC faults are learned from it to predict the lithium-ion battery ISC under uncertain conditions, and the degree of the fault is graded and warned. It effectively solves the problem of unsatisfactory prediction effects under a single machine learning and realizes the ISC diagnosis based on multi-machine learning fusion.
The contribution of this paper is summarized as follows:
- (1)
- The voltage curve is normalized and directly inputted into the neural network model without complicated data feature extraction.
- (2)
- Using simulation data in the ResNet model to learn the complex mapping relationship between the voltage curve and the degree of ISC faults, the problem of less actual battery failure data is effectively solved.
- (3)
- Based on the transfer learning method, part of the ResNet neural network layer is frozen, and part of the battery experimental data is inputted into the pretraining model for parameter fine-tuning to establish a multi-machine learning fusion model to identify the ISC faults of the target battery in advance.
The remainder of this paper is organized as follows: Section 2 describes the ISC faults simulation model with a lithium-ion battery pack and the ISC faults experiments to obtain the simulation data and experimental data for the ISC faults. Section 3 introduces the multi-machine learning fusion based on the ISC faults diagnosis method for LIBs. In Section 4, the ISC faults prediction results and discussion are presented, followed by the main conclusions summarized in Section 5.
2. Learning Data Acquisition of Experiments and Simulation
2.1. ISC Fault Experiments
The occurrence of ISCs is highly stochastic, and in order to study the mechanism of ISC evolution, The ISC experimental data were obtained for subsequent model training and prediction. A manufacturer’s ternary lithium-ion battery was used as the research object, and ISC faults were simulated by the equivalent short circuit experiments. Then, individual square-shell cells and a module of six square-shell cells in series were used for the experiments. Table 1 shows the specific basic performance parameters of the battery.
Table 1.
Basic performance parameters of the battery.
To simulate the module ISC faults, the physical diagram of ISC faults of a cell in the module is shown in Figure 1, which will be regarded as the ISC faults module. The battery pack uses six 100 Ah capacity NCM523 cells connected in series, where a cell is selected to simulate an ISC with an external resistor, and the remaining five cells of the battery pack are normal. The battery was tested for three charge/discharge cycles, then stand for 30 min between charge and discharge. The battery discharge process was dynamic, and the charge condition was constant current and voltage charging.
Figure 1.
Simulation experiments of ISC faults within the battery module.
2.2. ISC Fault Simulation Model with the Battery Pack
The battery pack simulation model simulates the internal characteristics of the battery and outputs simulation data such as voltage, SOC, and temperature of each cell in the battery pack. The simulation model consists of several battery models, and the equivalent short circuit resistance is added to the basic circuit model of each cell model to simulate the ISC phenomenon in the battery pack.
The battery pack simulation model contained 96 series-connected cell modules, where each battery cell model was based on a 100 Ah capacity NCM523 battery with an operating voltage range of 2.75–4.25 V and a normal voltage of 3.7 V. The battery model is based on the first-order RC ECM and is built as shown in Figure 2.
Figure 2.
First-order RC equivalent circuit model.
The first-order RC ECM is shown in Equations (1) and (2):
In the model, is terminal voltage, is the open-circuit voltage of the battery which can be obtained by looking up the SOC-OCV relationship table. In the time k − 1, is the RC link voltage of the battery. At the battery time k, is the voltage of the RC link. is the ohmic internal resistance of the battery, and is the polarization parameter of the battery, is the battery time constant ( = ), and are parameters obtained by the particle swarm optimization algorithm (PSO) to identify the parameters under charging conditions.
2.3. Simulation Results of ISC Fault Model
The simulation results of the ISC faults model set to different serious levels of ISC faults, and the corresponding ISC resistance values, are shown in Table 2. The lower the number of short-circuit levels, the more serious the ISC situation. After determining the basic simulation parameters, the current condition of the battery module in actual use is shown in Figure 3. The current condition is a constant current charge and charge rest, and then, the New European Driving Cycle (NEDC) dynamic discharge conditions (charging is positive, discharging is negative). The data of the current condition is loaded into the simulation model for ISC faults simulation.
Table 2.
Levels corresponding to different ISC resistance values of the battery.
Figure 3.
Simulation of current working conditions.
Based on the model parameters and the loaded current conditions, the battery pack model simulates the voltage response curve of 96 cells at one time. Some specific cells are selected to simulate the occurrence of an ISC. Considering that a large amount of data is needed to learn the complex mapping relationship between the fault characteristics and the degree of short circuits for the later training of the AI algorithm, the total equivalent ISC resistance value of the battery pack model is simulated from 1 to 300 Ω. The ISC resistance interval is 1 Ω, and a total of 300 ISC resistance points need to be simulated. According to the simulation condition, the final obtained battery faults simulation results are shown in Figure 4.
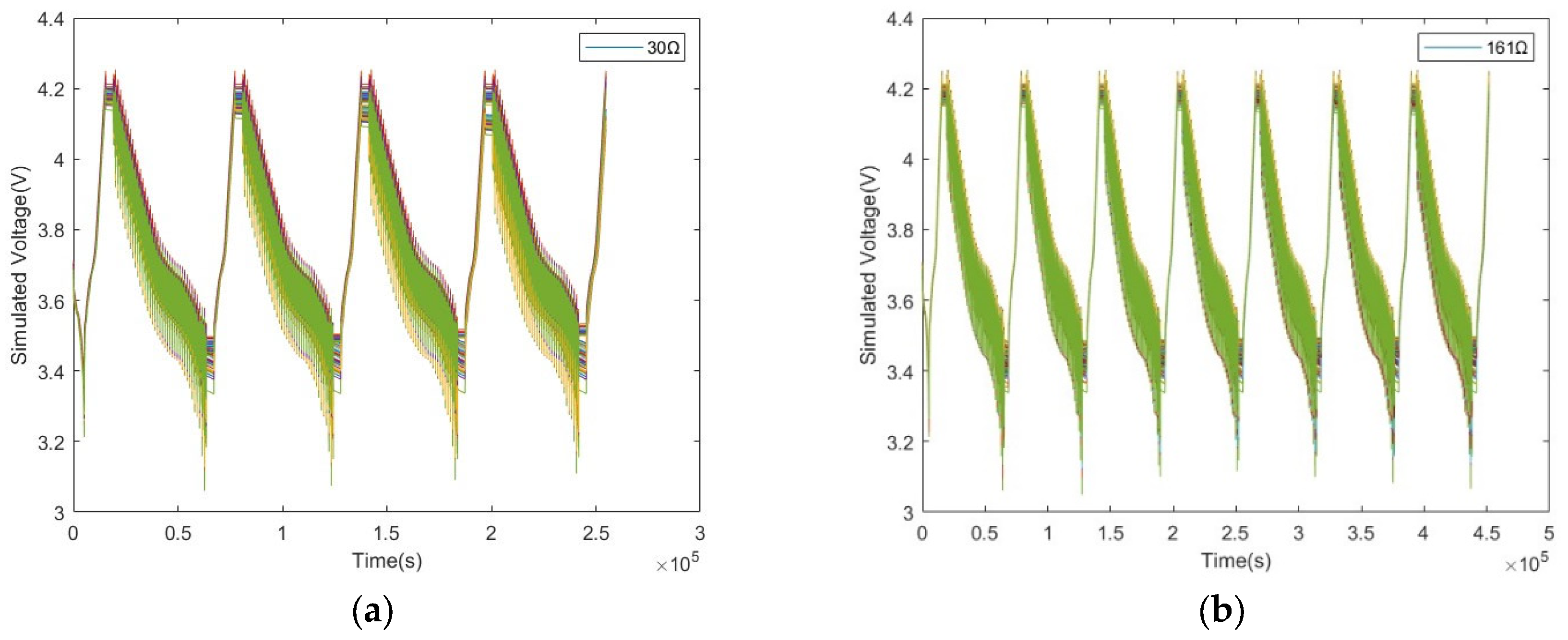
Figure 4.
Simulated voltage curve of ISC. (a) ISC resistance of 30 Ω; (b) ISC resistance of 161 Ω.
Figure 4a shows the voltage response curve for an equivalent ISC resistance of 30 Ω, and b shows the voltage response curve for an ISC resistance of 161 Ω. Figure 4 contains the voltage curve of a normal cell and an ISC cell. The ISC resistance of 30 Ω belongs to class I, which is a more serious ISC with a larger leakage. From Figure 4a, it is obvious that there is a clear separation trend between the voltage of the ISC cell and the voltage of the normal cell. As shown in Figure 4b, the ISC resistance of 161 Ω is a micro-short circuit, and an ISC resistance of 161 Ω is less than the leakage caused by the ISC resistance of 30 Ω. The conclusions can be obtained from the analysis of the simulation results. The voltage of the short-circuit cell is relatively small compared to the normal cell voltage, and the voltage curve as a whole has no obvious separation trend from the normal cell. However, in the discharge resting section, where the voltage of the short-circuit cell can be obviously seen to be decreasing, it is difficult to find out whether the cell has an ISC through the voltage curve in the other charging and discharging sections.
Therefore, through the above analysis of the voltage response curves for the different severities of ISC resistance, it was found that there is a lack of a method to learn the voltage data to predict the ISC faults of the battery. Based on a large amount of battery ISC faults simulation working condition data, the model learns the voltage data of the battery under various ISC faults degrees. Consequently, this paper proposes a multi-machine learning fusion method based on CNN and the transfer learning method for ISC faults diagnosis which realizes the prediction and identification of the different degrees of battery ISC faults.
3. Methodology
Figure 5 shows the architecture diagram of a proposed ISC faults identification method based on multi-machine learning fusion. Firstly, the ISC faults were experimentally simulated, and the ISC faults dataset was constructed. Then, the characteristics of the faults from the battery voltage curve were analyzed and normalized data processing was carried out. The ResNet101 neural network model was established to predict the ISC fault results in both the simulation and experimental datasets. Finally, part of the ResNet101 neural network layer was frozen, based on the transfer learning method, and a multi-machine learning fusion model was established so as to realize the multi-machine learning fusion method to identify the ISC faults.
Figure 5.
The architecture diagram of the ISC fault identification method based on the multi-machine learning fusion model.
3.1. ISC Fault Diagnosis Construction of ResNet-CNN Model
In this section, a ResNet 101 layer network model based on the convolutional neural network [29] was used, which is based on the basic CNN and incorporates the residual connection part.
For the classification of the different degrees of ISC faults of the cell, four different degrees of ISC types (I, II, III, IV) were set in addition to the normal cell class. Consequently, the five types of ISC fault results were required to be outputted by the ResNet 101 model. In order to enable the subsequent multi-machine learning fusion to optimize the ResNet 101 model, the final fully connected layer of the ResNet101 layer network was modified, and the network structure is shown in Figure 6. The network structure was then modified from the fully connected layer of 1000 nodes in the ResNet101 model to 1024 nodes, 512 nodes, 256 nodes, 128 nodes, and finally the output of 5 nodes.
Figure 6.
Schematic diagram of the ResNet 101 layer network structure after modification.
In Equation (3), is the activation function, using the ReLu activation function with the expression = max(0, ); i represents the currently located fully connected layer; is the input node of the fully connected layer; m is the number of input nodes, and for different fully connected layers m = 2048, 1024, 512, 256, 128; is the output node of the fully connected layer; n is the output node; and W and b are parameters that need to be learned continuously during the training process of the neural network to achieve the determination of different ISC levels and the normal state type of the battery.
3.2. Multi-Machine Learning Fusion Method for ISC Fault Identification
Since different LIBs contain common features associated with ISC faults, a single machine learning model based on ResNet-CNN is prone to misclassification in predicting battery micro-short-circuit faults. By fusing transfer learning with the ResNet-CNN model, a multi-machine learning model for ISC faults identification was established and the multi-machine learning fusion-based method for ISC faults diagnosis was then proposed. The laboratory battery data was used as the target domain of the transfer learning network model, and some of the parameters of the ResNet-CNN model were trained again to identify different levels of ISC faults.
The multi-machine learning models use the trained ResNet-CNN model, sharing a part of the ResNet-CNN parameters with the transfer learning method which sets the ResNet-CNN model parameters to the frozen state. At the same time, the last part of the ResNet-CNN model is released to set the parameters to become trainable in several fully connected layers. The specific transfer learning model is shown in Figure 7. The part enclosed by the yellow box in the figure is the part of the ResNet101 convolutional neural network model parameter freeze, which contains the ResNet network layer and most of the fully connected layers that are not involved in the transfer learning parameter training. The part enclosed by the green box is the trainable part of the ResNet101 convolutional neural network model parameters, which are 256 nodes, 128 nodes, and 5 nodes for a total of two fully connected layers for learning some of the features of the battery fault experimental data. Combining the ResNet-CNN and the transfer learning method enables the identification and graded alarm for different ISC fault levels in batteries under various operating conditions.
Figure 7.
Multi-machine learning model architecture.
4. Results and Discussion
4.1. Identification Results of ResNet-CNN Model
After the ResNet-CNN model was built, the model was trained using ISC faults simulation data. Considering the trade-off between a large amount of data and prediction accuracy, the voltage profile of the battery was used as the input of the ResNet-CNN for model training.
The simulation was performed with 96 cells as a module, and the ISC faults diagnosis algorithm was designed to detect individual cells. The simulation was set to simulate each ISC resistance value only once. The voltage curves of all short-circuit cells in a module were divided into training and test sets, as shown in Table 3.
Table 3.
Division of simulation data training and test sets.
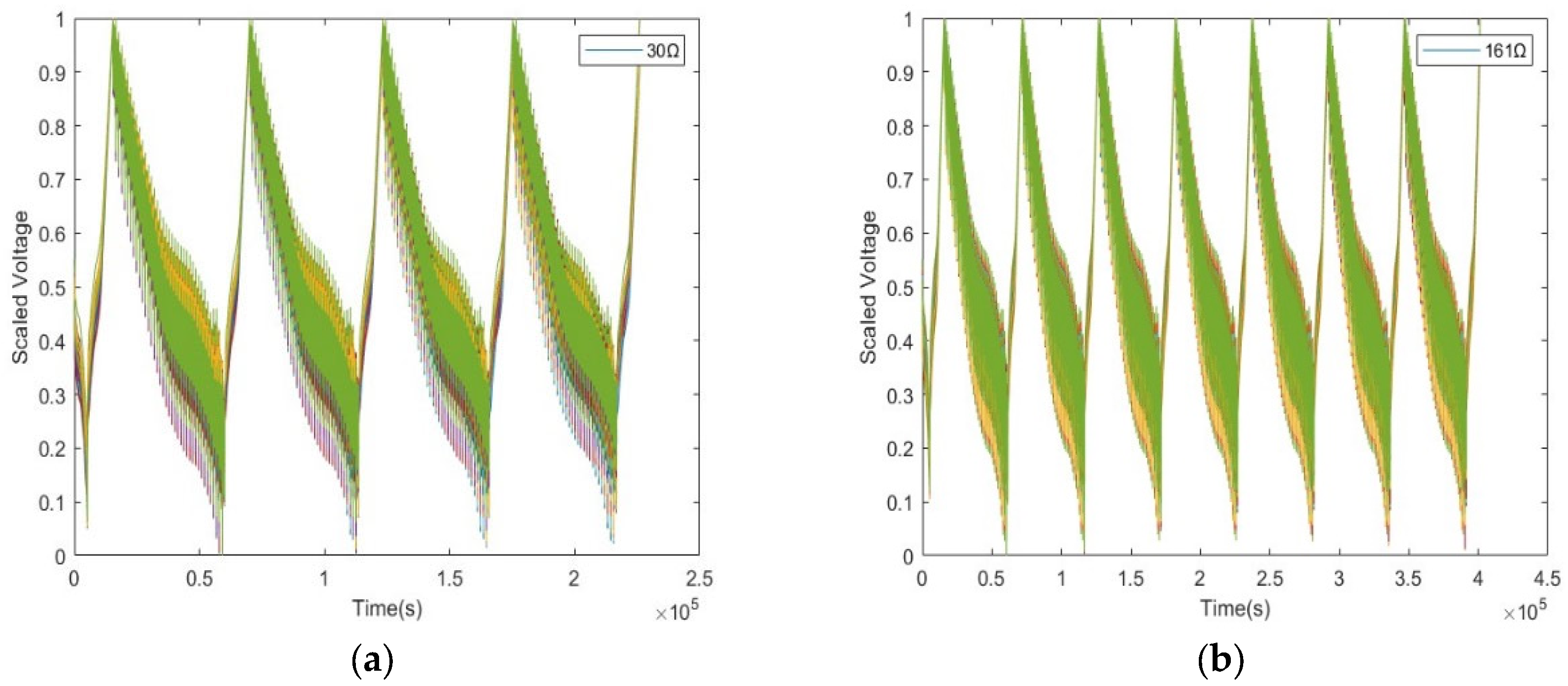
At the end of dividing the data set, all voltage curves in the data set needed to be normalized between [0, 1] using the maximum–minimum normalization method in Equation (4).
In Equation (4), X is the input voltage curve; is the maximum voltage value on the selected voltage curve; is the minimum voltage value on the selected voltage curve; and is the normalized voltage value.
Considering that the battery does not necessarily have a resting period at the end of each charge or discharge, we chose to delete the resting segment data from the battery voltage curve and keep only the charging and discharging segment data. The voltage curves after the maximum–minimum normalization are shown in Figure 8, where (a) is the normalized voltage curve for an ISC resistance of 30 Ω, and (b) is the normalized voltage curve for an ISC resistance of 161 Ω. Finally, the processed battery voltage data were inputted into the model for training.
Figure 8.
Normalized voltage curves: (a) ISC resistance of 30 Ω; and (b) ISC resistance of 161 Ω.
Based on the prepared work, the hyperparameters of the neural network model were set. The learning rate of the neural network model was set to 0.001, the random number seed of the PyTorch framework [30] and the NVIDIA CUDA framework was 36, batch size = 32; the Adam optimizer algorithm was used to adjust the model parameters, with the cross-entropy loss function selected as the target for parameter optimization, as mathematically expressed in Equation (5).
In Equation (5), m is the number of fault types, divided into five categories; is the sign function, and if it is the real fault category of the voltage curve, then is equal to c (c = 1), otherwise, it is equivalent to zero; is the predicted probability of the voltage curve of the category c, and the calculation result of Equation (5) is the training loss value of the model.
After the epoch iteration of the model, the loss value of the cross-entropy function no longer decreases with the continuation of the epoch, and the model completes the training at this time. The model achieved 99.9% accuracy in classifying different degrees of ISC for the battery simulation data test set, and the classification prediction results of the model are shown in Figure 9. The prediction results are displayed in the form of a confusion matrix. The vertical coordinate is the real battery voltage curve fault type. First, the 1–300 Ω ISC resistance is divided into four levels, and the last one is the normal battery category. The horizontal coordinate is the predicted battery voltage curve fault type, and when the predicted fault type is the same as the actual fault type, a ‘1’ is added to the position corresponding to the diagonal line in this matrix. The prediction results show that the proposed model has a high accuracy rate for other battery fault class types, except for two class IV ISC faults, one of which was identified as a class III short-circuit fault and the other one, a normal one which was identified as a class IV short-circuit fault.
Figure 9.
Fault classification prediction results of battery simulation data test set.
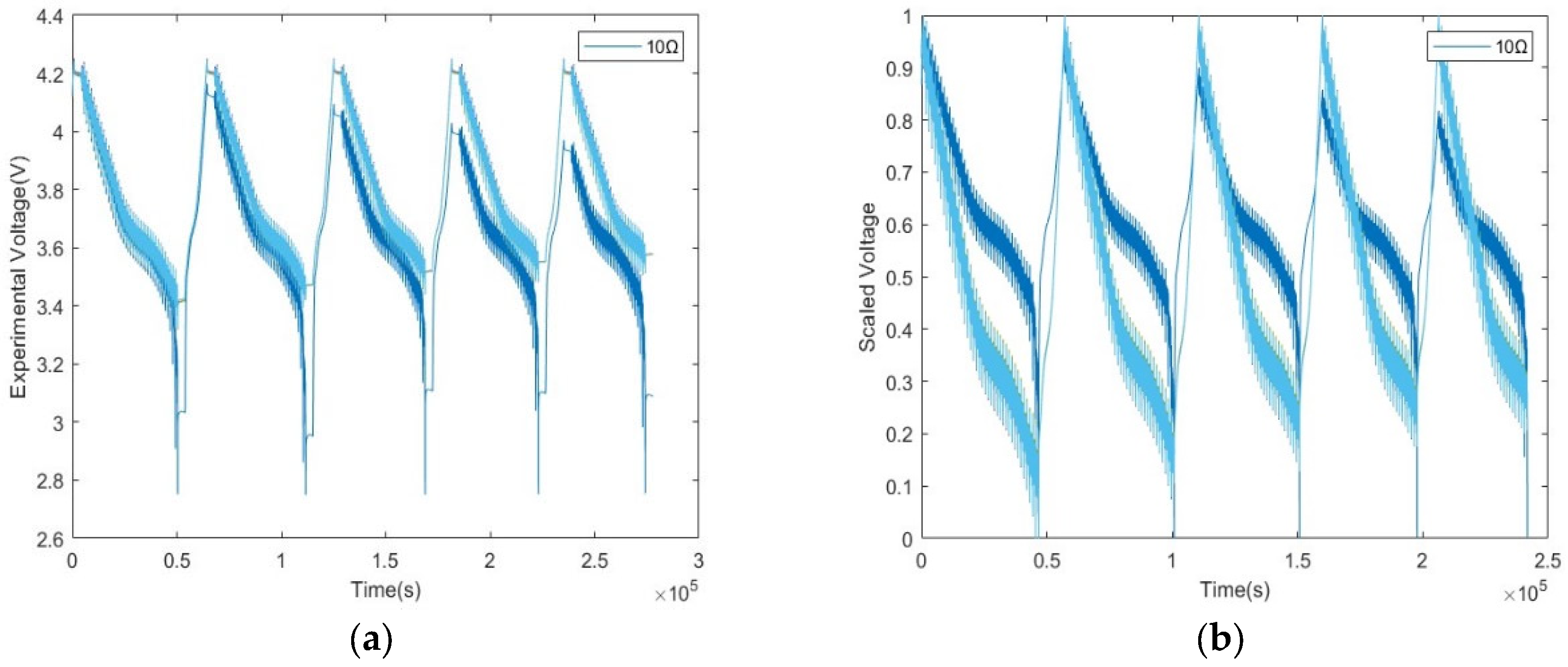
The above model validation was based on the fault simulation data in order to verify the prediction effectiveness of the ResNet-CNN model in the face of real fault cells. In this regard, based on the analysis of the ISC experimental data, the cell voltage characteristic curves obtained from the laboratory battery pack under constant current charging conditions as well as dynamic discharging conditions are shown in Figure 10a. The laboratory voltage curves were preprocessed with the data, and the laboratory data were processed according to Equation (4); the processed laboratory voltage curves are shown in Figure 10b.
Figure 10.
The laboratory battery pack voltage characteristic curve with an ISC resistance of 10 Ω: (a) Voltage curve of ISC; and (b) Normalized voltage curve.
The processed laboratory voltage curve data were inputted into the trained ResNet-CNN model, and the predicted results were obtained as shown in Figure 11. Analyzing the prediction results, it can be seen from Figure 11 that for the laboratory data, all three class I ISC level faults were predicted, while the other two class II and III ISC level faults, the two cells with ISC resistances of 50 and 100 Ω, respectively, were identified as other types of ISC level faults. The final level IV fault, with an ISC resistance of 300 Ω, was identified as a normal cell. This was because the fault result with the ISC resistance of 300 Ω was of a micro-short-circuit type. The fault characteristics were similar to the normal cell voltage curve characteristics in the voltage curve, and as a result, the model did not learn the corresponding micro-short-circuit fault characteristics, which led to misclassification.
Figure 11.
ResNet-CNN model prediction results of ISC fault classification for the experimental battery data.
To resolve the fact that the ResNet-CNN model performed well on the laboratory data set, but misclassified the micro-short-circuit fault identification, the multi-machine learning fusion approach using transfer learning and ResNet-CNN was used to achieve further learning optimization of the model to improve the accuracy of the ISC prediction. The multi-machine learning models integrate the advantages of ResNet-CNN and transfer learning models with higher identification accuracy, stronger robustness, and wider adaptability.
4.2. Identification Results Based on Multiple Machine Learning Models
In order to further improve the accuracy of the ISC fault recognition, the data set is divided after the multi-machine learning model is built. The basic unit of the battery pack model has a short-circuited cell and five normal cells. Data from two normal cells are selected as the training set for the transfer learning target domain, and the remaining short-circuit cell and three normal cells are used as the test set for the target domain.
The data set of the source domain (96 cells of the simulated battery pack as a unit) is divided, and the data set division is shown in Table 4. The battery experimental dataset underwent maximum–minimum normalization and was inputted into the multi-machine learning model for training.
Table 4.
Source and target domain data set partitioning for multi-machine learning.
The training set of the target domain was inputted into the multi-machine learning model. Following this, the learning rate, optimizer, loss function, and amount of training data per batch were set using the same settings as for the ResNet101 model. The amount of training data for transfer learning was relatively small and most of the parameters of the ResNet-CNN model were frozen, so only the last few layers of the network parameters needed to be trained.
The prediction results of the multi-machine learning are shown in Figure 12. The model has a prediction accuracy of 96.67% on the laboratory battery dataset. Compared with Figure 11, when the transfer learning was fine-tuned, the multi-machine learning fusion model was able to accurately predict the cells with a fault level ISC resistance of 50 Ω and 100 Ω. The multi-machine learning fusion model correctly identified cells with fault ISC resistances of 2, 5, and 10 Ω. There was a cell with an ISC resistance of 300 Ω that could not be correctly identified after learning the multi-machine learning fusion model; This fault belonged to the micro-short circuit. When the degree of micro-short-circuit fault continues to deepen, its voltage curve is inputted into the model again for ISC fault degree prediction, which can then detect the ISC faults of the battery in advance and provide a graded warning for the ISC of the battery.
Figure 12.
ISC fault classification prediction results with multiple machine learning models for experimental battery data.
5. Conclusions
In this paper, based on the common features associated with ISC faults in different LIBs and the problem of limited actual batteries fault data, a multi-machine learning fusion method based on ResNet-CNN and transfer learning was applied to the diagnosis and prediction of ISC faults in LIBs.
First, based on the ISC fault simulation model of a built battery pack, the battery voltage characteristic curves of the battery pack under different ISC resistance values were simulated, and experiments were conducted to obtain the experimental data of the battery ISC fault. Then, based on the ResNet-CNN model for the battery simulation data test set for the different degrees of graded ISC fault prediction, the accuracy rate reached 99.9%, and the severe ISC fault type could be accurately identified.
In order to improve the accuracy of ISC fault identification at lower levels, the ResNet-CNN model was transfer-learned to construct a multi-machine learning model. Compared with the single ResNet-CNN model, the multi-machine learning model also had a good prediction capability at lower ISC fault levels, and the multi-machine learning model, fine-tuned by the transfer learning, had a prediction accuracy of 96.67% on the laboratory battery dataset. It accurately identified four degrees of ISC fault levels and normal cells and realized the graded alarm of ISC faults in LIBs.
Future work could strengthen the model training for cells with ISC faults with a micro-short-circuit, add further simulation data of micro-short-circuit cells and laboratory battery data, and collect further real battery ISC fault data to verify the method of battery ISC fault diagnosis under multi-machine learning.
Author Contributions
T.S.: Methodology, data curation, writing—review and editing. G.Z.: Software, data curation, validation, writing—original draft. Y.X.: Data curation, writing—review and editing. Y.Z.: Supervision, writing—review and editing. L.Z.: Supervision, writing—review and editing. All authors have read and agreed to the published version of the manuscript.
Funding
This research was supported by the National Natural Science Foundation of China (NSFC) under grant numbers 52277222 and 52277223, the Shanghai Science and Technology Development Fund 22ZR1444500, and the Shanghai Science and Technology Development Fund 22ZR1444500.
Data Availability Statement
The data are available upon request from the corresponding author.
Acknowledgments
The authors thank the National Natural Science Foundation of China (NSFC) under grant numbers 52277222 and 52277223, and the Shanghai Science and Technology Development Fund 22ZR1444500. Furthermore, thank you to Tao Sun, Yuwen Xu, Yuejiu Zheng, and Long Zhou for their support in the realization of the testing and the methodology.
Conflicts of Interest
The authors declare no conflict of interest.
Abbreviations
The following abbreviations are used in this manuscript:
| ISC | Internal short circuit |
| LIBs | lithium-ion batteries |
| CNN | Convolutional neural network |
| BMS | Battery management system |
| RCC | Remaining charge capacity |
| KPCA | Kernel principal component analysis |
| ECM | Equivalent circuit model |
| RCC | Remaining charge capacity |
| Bi-LSTM | Bi-directional long- and short-term memory network |
| SVM | Support vector machine |
| SOC | State of charge |
| OCV | Open-circuit voltage |
| PSO | Particle swarm optimization algorithm |
| NEDC | New European Driving Cycle |
References
- Ren, D.; Liu, X.; Feng, X.; Lu, L.; Ouyang, M.; Li, J.; He, X. Model-based thermal runaway prediction of lithium-ion batteries from kinetics analysis of cell components. Appl. Energ. 2018, 228, 633–644. [Google Scholar] [CrossRef]
- Coman, P.T.; Darcy, E.C.; Veje, C.T.; White, R.E. Numerical analysis of heat propagation in a battery pack using a novel technology for triggering thermal runaway. Appl. Energ. 2017, 203, 189–200. [Google Scholar] [CrossRef]
- Sun, T.; Shen, T.; Zheng, Y.; Ren, D.; Zhu, W.; Li, J.; Wang, Y.; Kuang, K.; Rui, X.; Wang, S.; et al. Modeling the inhomogeneous lithium plating in lithium-ion batteries induced by non-uniform temperature distribution. Electrochim. Acta 2022, 425, 140701. [Google Scholar] [CrossRef]
- Cai, T.; Valecha, P.; Tran, V.; Engle, B.; Stefanopoulou, A.; Siegel, J. Detection of Li-ion battery failure and venting with Carbon Dioxide sensors. eTransportation 2021, 7, 100100. [Google Scholar] [CrossRef]
- Yin, H.; Ma, S.; Li, H.; Wen, G.; Santhanagopalan, S.; Zhang, C. Modeling strategy for progressive failure prediction in lithium-ion batteries under mechanical abuse. eTransportation 2021, 7, 100098. [Google Scholar] [CrossRef]
- Hu, G.; Huang, P.; Bai, Z.; Wang, Q.; Qi, K. Comprehensively analysis the failure evolution and safety evaluation of automotive lithium ion battery. eTransportation 2021, 10, 100140. [Google Scholar] [CrossRef]
- Lai, X.; Jin, C.; Yi, W.; Han, X.; Feng, X.; Zheng, Y.; Ouyang, M. Mechanism, modeling, detection, and prevention of the internal short circuit in lithium-ion batteries: Recent advances and perspectives. Energ. Storage Mater. 2021, 35, 470–499. [Google Scholar] [CrossRef]
- Ouyang, M.; Zhang, M.; Feng, X.; Lu, L.; Li, J.; He, X.; Zheng, Y. Internal short circuit detection for battery pack using equivalent parameter and consistency method. J. Power Sources 2015, 294, 272–283. [Google Scholar] [CrossRef]
- Feng, X.; Weng, C.; Ouyang, M.; Sun, J. Online internal short circuit detection for a large format lithium ion battery. Appl. Energ. 2016, 161, 168–180. [Google Scholar] [CrossRef]
- Feng, X.; Pan, Y.; He, X.; Wang, L.; Ouyang, M. Detecting the internal short circuit in large-format lithium-ion battery using model-based fault-diagnosis algorithm. J. Energ. Storage 2018, 18, 26–39. [Google Scholar] [CrossRef]
- Kang, Y.; Duan, B.; Zhou, Z.; Shang, Y.; Zhang, C. A multi-fault diagnostic method based on an interleaved voltage measurement topology for series connected battery packs. J. Power Sources 2019, 417, 132–144. [Google Scholar] [CrossRef]
- Pan, Y.; Feng, X.; Zhang, M.; Han, X.; Lu, L.; Ouyang, M. Internal short circuit detection for lithium-ion battery pack with parallel-series hybrid connections. J. Clean. Prod. 2020, 255, 120277. [Google Scholar] [CrossRef]
- Schmid, M.; Kleiner, J.; Endisch, C. Early detection of Internal Short Circuits in series-connected battery packs based on nonlinear process monitoring. J. Energ. Storage 2022, 48, 103732. [Google Scholar] [CrossRef]
- Xu, C.; Li, L.; Xu, Y.; Han, X.; Zheng, Y. A vehicle-cloud collaborative method for multi-type fault diagnosis of lithium-ion batteries. eTransportation 2022, 12, 100172. [Google Scholar] [CrossRef]
- Lu, Y.; Li, K.; Han, X.; Feng, X.; Chu, Z.; Lu, L.; Huang, P.; Zhang, Z.; Zhang, Y.; Yin, F.; et al. A method of cell-to-cell variation evaluation for battery packs in electric vehicles with charging cloud data. eTransportation 2020, 6, 100077. [Google Scholar] [CrossRef]
- Hong, J.; Wang, Z.; Yao, Y. Fault prognosis of battery system based on accurate voltage abnormity prognosis using long short-term memory neural networks. Appl. Energ. 2019, 251, 113381. [Google Scholar] [CrossRef]
- Kong, X.; Zheng, Y.; Ouyang, M.; Lu, L.; Li, J.; Zhang, Z. Fault diagnosis and quantitative analysis of micro-short circuits for lithium-ion batteries in battery packs. J. Power Sources 2018, 395, 358–368. [Google Scholar] [CrossRef]
- Zheng, Y.; Shen, A.; Han, X.; Ouyang, M. Quantitative short circuit identification for single lithium-ion cell applications based on charge and discharge capacity estimation. J. Power Sources 2022, 517, 230716. [Google Scholar] [CrossRef]
- Sun, T.; Wang, S.; Jiang, S.; Xu, B.; Han, X.; Lai, X.; Zheng, Y. A cloud-edge collaborative strategy for capacity prognostic of lithium-ion batteries based on dynamic weight allocation and machine learning. Energy 2022, 239, 122185. [Google Scholar] [CrossRef]
- Sun, T.; Xu, B.; Cui, Y.; Feng, X.; Han, X.; Zheng, Y. A sequential capacity estimation for the lithium-ion batteries combining incremental capacity curve and discrete Arrhenius fading model. J. Power Sources 2021, 484, 229248. [Google Scholar] [CrossRef]
- Qiao, D.; Wang, X.; Lai, X.; Zheng, Y.; Wei, X.; Dai, H. Online quantitative diagnosis of internal short circuit for lithium-ion batteries using incremental capacity method. Energy 2022, 243, 123082. [Google Scholar] [CrossRef]
- Jiang, J.; Li, T.; Chang, C.; Yang, C.; Liao, L. Fault diagnosis method for lithium-ion batteries in electric vehicles based on isolated forest algorithm. J. Energ. Storage 2022, 50, 104177. [Google Scholar] [CrossRef]
- Yang, H.; Wang, P.; An, Y.; Shi, C.; Sun, X.; Wang, K.; Zhang, X.; Wei, T.; Ma, Y. Remaining useful life prediction based on denoising technique and deep neural network for lithium-ion capacitors. eTransportation 2020, 5, 100078. [Google Scholar] [CrossRef]
- Yao, L.; Fang, Z.; Xiao, Y.; Hou, J.; Fu, Z. An Intelligent Fault Diagnosis Method for Lithium Battery Systems Based on Grid Search Support Vector Machine. Energy 2021, 214, 118866. [Google Scholar] [CrossRef]
- Naha, A.; Khandelwal, A.; Agarwal, S.; Tagade, P.; Hariharan, K.S.; Kaushik, A.; Yadu, A.; Kolake, S.M.; Han, S.; Oh, B. Internal short circuit detection in Li-ion batteries using supervised machine learning. Sci. Rep. 2020, 10, 1–10. [Google Scholar] [CrossRef]
- Li, D.; Zhang, Z.S.; Liu, P.; Wang, Z.P.; Zhang, L. Battery Fault Diagnosis for Electric Vehicles Based on Voltage Abnormality by Combining the Long Short-Term Memory Neural Network and the Equivalent Circuit Model. IEEE Trans. Power Electron. 2021, 36, 1303–1315. [Google Scholar] [CrossRef]
- Jia, Y.; Li, J.; Yao, W.; Li, Y.; Xu, J. Precise and fast safety risk classification of lithium-ion batteries based on machine learning methodology. J. Power Sources 2022, 548, 232064. [Google Scholar] [CrossRef]
- Xie, J.; Zhang, L.; Yao, T.; Li, Z. Quantitative diagnosis of internal short circuit for cylindrical li-ion batteries based on multiclass relevance vector machine. J. Energ. Storage 2020, 32, 101957. [Google Scholar] [CrossRef]
- Kaiming, H.; Xiangyu, Z.; Shaoqing, R.; Jian, S. Deep residual learning for image recognition. arXiv 2015, arXiv:1512.03385. [Google Scholar]
- Paszke, A.; Gross, S.; Massa, F.; Lerer, A.; Bradbury, J.; Chanan, G.; Killeen, T.; Lin, Z.; Gimelshein, N.; Antiga, L.; et al. Pytorch: An imperative style, high-performance deep learning library. Adv. Neural Inf. Process. Syst. 2019, 32, 1–12. [Google Scholar]
Disclaimer/Publisher’s Note: The statements, opinions and data contained in all publications are solely those of the individual author(s) and contributor(s) and not of MDPI and/or the editor(s). MDPI and/or the editor(s) disclaim responsibility for any injury to people or property resulting from any ideas, methods, instructions or products referred to in the content. |
© 2023 by the authors. Licensee MDPI, Basel, Switzerland. This article is an open access article distributed under the terms and conditions of the Creative Commons Attribution (CC BY) license (https://creativecommons.org/licenses/by/4.0/).











