Improvement of Thermal Protection in Recycled Polyolefins through Hybrid Mesoporous Silica–Antioxidant Particles
Abstract
1. Introduction
2. Results and Discussion
2.1. Characterization of Modified Particles
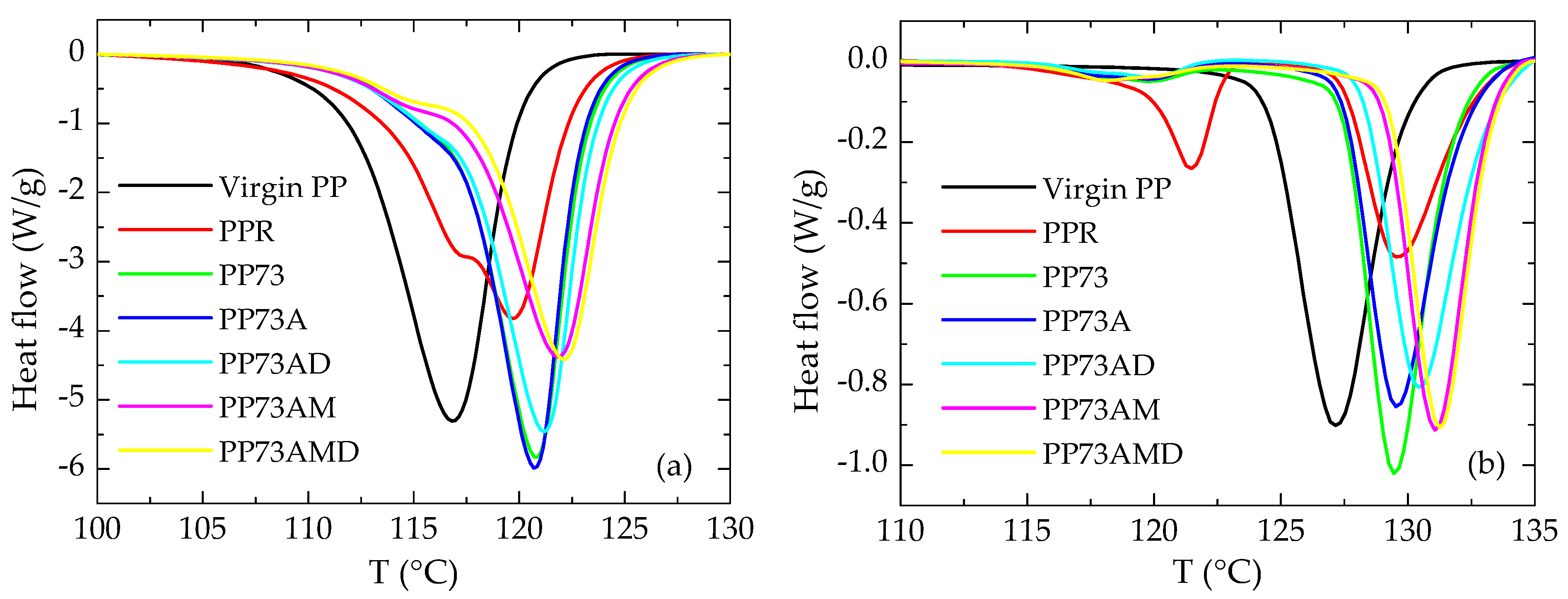
2.2. Characterization and Properties of the Different Materials
3. Materials and Methods
3.1. Materials and Chemicals
3.2. Preparation of Hybrid MCM-41@Irganox 1076 Particles
3.3. Preparation of Materials and Processing of Films
3.4. Characterization of the Hybrid MCM-41@Irganox 1076 Particles
3.4.1. X-ray Experiments with Synchrotron Radiation
3.4.2. Scanning Electronic Microscopy
3.4.3. N2 Adsorption/Desorption
3.5. Characterization of the Films
3.5.1. Differential Scanning Calorimetry
3.5.2. Microhardness
3.5.3. Thermogravimetric Analysis
3.5.4. Determination of Additives by GC/MS
3.5.5. Oxidation Induction Time Tests (OIT)
4. Conclusions
- -
- The synergistic action between the Irganox 1076 antioxidant and the MCM-41 particles offers a very significant increase in the thermal stability in the resulting composites, as deduced from the excellent results of OIT tests;
- -
- The use of the wet impregnation methodology and of MCM-41 particles also allows a reduction in the consumption of other antioxidants such as Irgafos 168;
- -
- The incorporation of PPR promotes a faster virgin PP crystallization in the resulting materials, which is even higher when hybrid MCM41@Irganox 1076 particles are added;
- -
- Moreover, a reinforcing role is also played for these modified mesoporous silicas in the resultant systems, as deduced from the corresponding MH values.
Author Contributions
Funding
Data Availability Statement
Acknowledgments
Conflicts of Interest
References
- Velásquez, E.; Patiño Vidal, C.; Copello, G.; López de Dicastillo, C.; Pérez, C.J.; Guarda, A.; Galotto, M.J. Developing Post-Consumer Recycled Flexible Polypropylene and Fumed Silica-Based Nanocomposites with Improved Processability and Thermal Stability. Polymers 2023, 15, 1142. [Google Scholar] [CrossRef] [PubMed]
- Aurrekoetxea, J.; Sarrionandia, M.A.; Urrutibeascoa, I.; Maspoch, M.L. Effects of Recycling on the Microstructure and the Mechanical Properties of Isotactic Polypropylene. J. Mater. Sci. 2001, 36, 2607–2613. [Google Scholar] [CrossRef]
- Blázquez-Blázquez, E.; Díez-Rodríguez, T.M.; Pérez, E.; Cerrada, M.L. Recycling of metallocene isotactic polypropylene: Importance of antioxidants. J. Therm. Anal. Calorim. 2022, 147, 13363–13374. [Google Scholar] [CrossRef] [PubMed]
- Mihelčič, M.; Oseli, A.; Huskić, M.; Slemenik Perše, L. Influence of Stabilization Additive on Rheological, Thermal and Mechanical Properties of Recycled Polypropylene. Polymers 2022, 14, 5438. [Google Scholar] [CrossRef]
- Tsenoglou, C.; Kartalis, C.N.; Papaspyrides, C.D.; Pfaendner, R. Modeling the Role of Stabilizing Additives During Melt Recycling of High-Density Polyethylene. J. Appl. Polym. Sci. 2001, 80, 2207–2217. [Google Scholar] [CrossRef]
- La Mantia, F.P.; Scaffaro, R.; Baiamonte, M.; Ceraulo, M.; Mistretta, M.C. Comparison of the Recycling Behavior of a Polypropylene Sample Aged in Air and in Marine Water. Polymers 2023, 15, 2173. [Google Scholar] [CrossRef]
- Gijsman, P.; Fiorio, R. Long Term Thermo-Oxidative Degradation and Stabilization of Polypropylene (PP) and the Implications for its Recyclability. Polym. Degrad. Stab. 2023, 208, 110260. [Google Scholar] [CrossRef]
- Peham, L.; Wallner, G.M.; Grabmann, M.; Beißmann, S. Temperature dependent degradation of phenolic stabilizers and ageing behaviour of PP-R micro-specimen. Polym. Degrad. Stab. 2023, 211, 110311. [Google Scholar] [CrossRef]
- Spatafore, R.; Pearson, T. Migration and Blooming of Stabilizing Antioxidants in Polypropylene. Polym. Eng. Sci. 1991, 31, 1610–1617. [Google Scholar] [CrossRef]
- Saunier, J.; Mazel, V.; Paris, C.; Yagoubi, N. Polymorphism of Irganox 1076: Discovery of New Forms and Direct Characterization of the Polymorphs on a Medical Device by Raman Microspectroscopy. Eur. J. Pharm. Biopharm. 2010, 75, 443–450. [Google Scholar] [CrossRef]
- Xu, A.; Roland, S.; Colin, X. Physico-chemical characterization of the blooming of Irganox 1076® antioxidant onto the surface of a silane-crosslinked polyethylene. Polym. Degrad. Stab. 2020, 171, 109046. [Google Scholar] [CrossRef]
- Zhong, B.; Lin, J.; Liu, M.; Jia, Z.; Luo, Y.; Jia, D.; Liu, F. Preparation of halloysite nanotubes loaded antioxidant and its antioxidative behavior in natural rubber. Polym. Degrad. Stab. 2017, 141, 19–25. [Google Scholar] [CrossRef]
- Weizman, O.; Meada, J.; Dodiuk, H.; Ophir, A.; Kenig, S. The effect of nanoparticles on the loss of UV stabilizers in polyethylene films. Polym. Degrad. Stab. 2022, 195, 109811. [Google Scholar] [CrossRef]
- Lin, J.; Luo, Y.; Zhong, B.; Hu, D.; Jia, Z.; Jia, D. Enhanced interfacial interaction and antioxidative behavior of novel halloysite nanotubes/silica hybrid supported antioxidant in styrene-butadiene rubber. Appl. Surf. Sci. 2018, 441, 798–806. [Google Scholar] [CrossRef]
- Pan, Q.; Wang, B.; Chen, Z.; Zhao, J. Reinforcement and antioxidation effects of antioxidant functionalized silica in styrene–butadiene rubber. Mater. Des. 2013, 50, 558–565. [Google Scholar] [CrossRef]
- Cotea, V.V.; Luchian, C.E.; Bilba, N.; Niculaua, M. Mesoporous silica SBA-15, a new adsorbent for bioactive polyphenols from red wine. Anal. Chim. Acta 2012, 712, 180–185. [Google Scholar] [CrossRef] [PubMed]
- Lewandowski, D.; Ruszkowski, P.; Pińska, A.; Schroeder, G.; Kurczewska, J. SBA-15 mesoporous silica modified with gallic acid and evaluation of its cytotoxic activity. PLoS ONE 2015, 10, 0132541. [Google Scholar] [CrossRef][Green Version]
- Rashidi, L.; Vasheghani-Farahani, E.; Soleimani, M.; Atashi, A.; Rostami, K.; Gangi, F.; Fallahpour, M.; Tahouri, M.T. A cellular uptake and cytotoxicity properties study of gallic acid-loaded mesoporous silica nanoparticles on Caco-2 cells. J. Nanoparticle Res. 2014, 16, 2285. [Google Scholar] [CrossRef]
- Lau, M.; Giri, K.; García-Bennett, A.E. Antioxidant Properties of Probucol released from mesoporous silica. Eur. J. Pharm. Sci. 2019, 138, 105038. [Google Scholar] [CrossRef]
- Beck, J.S.; Vartuli, J.C.; Roth, W.J.; Leonowicz, M.E.; Kresge, C.T.; Schmitt, K.D.; Chu, C.T.-W.; Olson, D.H.; Sheppard, E.W.; McCullen, S.B.; et al. A new family of mesoporous molecular sieves prepared with liquid crystal templates. J. Am. Chem. Soc. 1992, 114, 10834–10843. [Google Scholar] [CrossRef]
- Loganathan, S.; Jacob, J.; Valapa, R.B.; Thomas, S. Influence of linear and branched amine functionalization in mesoporous silica on the thermal, mechanical and barrier properties of sustainable poly(lactic acid) biocomposite films. Polymer 2018, 148, 149–157. [Google Scholar] [CrossRef]
- Costa, J.A.S.; de Jesus, R.A.; Santos, D.O.; Mano, J.F.; Romao, L.P.; Paranhos, C.M. Recent progresses in the adsorption of organic, inorganic, and gas compounds by MCM-41-based mesoporous materials. Microporous Mesoporous Mater. 2020, 291, 109698–109718. [Google Scholar] [CrossRef]
- Nakajima, H.; Yamada, K.; Iseki, Y.; Hosoda, S.; Hanai, A.; Oumi, Y.; Teranishi, T.; Sano, T. Preparation and characterization of polypropylene/mesoporous silica nanocomposites with confined polypropylene. J. Polym. Sci. Part B Polym. Phys. 2003, 41, 3324–3332. [Google Scholar] [CrossRef]
- Campos, J.M.; Lourenço, J.P.; Pérez, E.; Cerrada, M.L.; Ribeiro, M.R. Self-reinforced Hybrid Polyethylene/MCM-41 Nanocomposites: In-situ Polymerisation and Effect of MCM-41 Content on Rigidity. J. Nanosci. Nanotechnol. 2009, 9, 3966–3974. [Google Scholar] [CrossRef] [PubMed]
- Campos, J.M.; Lourenço, J.P.; Cramail, H.; Ribeiro, M.R. Nanostructured silica materials in olefin polymerisation: From catalytic behaviour to polymer characteristics. Prog. Polym. Sci. 2012, 37, 1764–1804. [Google Scholar] [CrossRef]
- Huang, M.H.; Choudrey, A.; Yang, P. Ag nanowire formation within mesoporous silica. Chem. Commun. 2000, 12, 1063–1064. [Google Scholar] [CrossRef]
- Díez-Rodríguez, T.M.; Blázquez-Blázquez, E.; Fernández-García, M.; Muñoz-Bonilla, A.; Pérez, E.; Cerrada, M.L. Antimicrobial activity and crystallization features in bio-based composites of PLLA and MCM-41 particles either pristine or functionalized with confined Ag nanowires. Polymers 2023, 15, 2084. [Google Scholar] [CrossRef]
- Juère, E.; Kleitz, F. On the nanopore confinement of therapeutic drugs into mesoporous silica materials and its implications. Microporous Mesoporous Mater. 2018, 270, 109–119. [Google Scholar] [CrossRef]
- Barranco-García, R.; López-Majada, J.M.; Martínez, J.C.; Gómez-Elvira, J.M.; Pérez, E.; Cerrada, M.L. Confinement of iPP crystallites within mesoporous SBA-15 channels in extruded iPP-SBA-15 nanocomposites by Small Angle X-ray Scattering. Microporous Mesoporous Mater. 2018, 272, 209–216. [Google Scholar] [CrossRef]
- Berlier, G.; Gastaldi, L.; Ugazio, E.; Miletto, I.; Iliade, P.; Sapino, S. Stabilization of quercetin flavonoid in MCM-41 mesoporous silica: Positive effect of surface functionalization. J. Colloid Interface Sci. 2013, 393, 109–118. [Google Scholar] [CrossRef]
- Van Speybroeck, M.; Barillaro, V.; Thi, T.D.; Mellaerts, R.; Martens, J.; Van Humbeeck, J.; Vermant, J.; Annaert, P.; Van Den Mooter, G.; Augustijns, P. Ordered mesoporous silica material SBA-15: A broad-spectrum formulation platform for poorly soluble drugs. J. Pharm. Sci. 2009, 98, 2648–2658. [Google Scholar] [CrossRef] [PubMed]
- Szewczyk, A.; Brzezińska-Rojek, J.; Ośko, J.; Majda, D.; Prokopowicz, M.; Grembecka, M. Antioxidant-Loaded Mesoporous Silica—An Evaluation of the Physicochemical Properties. Antioxidants 2022, 11, 1417. [Google Scholar] [CrossRef] [PubMed]
- Watanabe, R.; Hagihara, H.; Sato, H. Structure-property relationship of polypropylene-based nanocomposites by dispersing mesoporous silica in functionalized polypropylene containing hydroxyl groups. Part 1: Toughness, stiffness and transparency. Polym. J. 2018, 50, 1057–1065. [Google Scholar] [CrossRef]
- Narayan, R.; Nayak, U.Y.; Raichur, A.M.; Garg, S. Mesoporous Silica Nanoparticles: A Comprehensive Review on Synthesis and Recent Advances. Pharmaceutics 2018, 10, 118. [Google Scholar] [CrossRef] [PubMed]
- Sing, K.S.W.; Everett, D.H.; Haul, R.A.W.; Moscou, L.; Pierotti, R.A.; Rouquerol, J.; Siemieniewska, T. Reporting physisorption data for gas/solid systems with special reference to the determination of surface area and porosity. Pure Appl. Chem. 1985, 57, 603–619. [Google Scholar] [CrossRef]
- Donohue, M.D.; Aranovich, G.L. Adsorption Hysteresis in Porous Solids. J. Colloid Interface Sci. 1998, 205, 121–130. [Google Scholar] [CrossRef]
- Juan, R.; Paredes, B.; García-Muñoz, R.; Domínguez, C. Quantification of PP contamination in recycled PE by TREF analysis for improved the quality and circularity of plastics. Polym. Test. 2021, 100, 107273. [Google Scholar] [CrossRef]
- Badini, C.; Ostrovskaya, O.; Bernagozzi, G.; Lanfranco, R.; Miranda, S. Recycling of Polypropylene Recovered from a Composting Plant: Mechanical Behavior of Compounds with Virgin Plastic. Recycling 2023, 8, 62. [Google Scholar] [CrossRef]
- Larsen, Å.G.; Olafsen, K.; Alcock, B. Determining the PE fraction in recycled PP. Polym. Test. 2021, 96, 107058. [Google Scholar] [CrossRef]
- Barranco-García, R.; Gómez-Elvira, J.M.; Ressia, J.A.; Quinzani, L.; Vallés, E.M.; Pérez, E.; Cerrada, M.L. Variation of Ultimate Properties in Extruded iPP-Mesoporous Silica Nanocomposites by Effect of iPP Confinement within the Mesostructures. Polymers 2020, 12, 70. [Google Scholar] [CrossRef]
- Wang, N.; Fang, Q.H.; Chen, E.F.; Zhang, J. Structure, crystallization behavior, and thermal stability of PP/MCM-41 nanocomposite. Polym. Eng. Sci. 2009, 49, 2459–2466. [Google Scholar] [CrossRef]
- Blázquez-Blázquez, E.; Barranco-García, R.; Díez-Rodríguez, T.M.; Cerrada, M.L.; Pérez, E. Combined Effects from Dual Incorporation of ATBC as Plasticizer and Mesoporous MCM-41 as Nucleating Agent on the Isothermal Crystallization in Environmentally-Friendly Ternary Composite Systems. Polymers 2023, 16, 624. [Google Scholar] [CrossRef] [PubMed]
- Jacob, J.; Robert, V.; Valapa, R.B.; Kuriakose, S.; Thomas, S.; Loganathan, S. Poly(lactic acid)/Polyethylenimine Functionalized Mesoporous Silica Biocomposite Films for Food Packaging. ACS Appl. Polym. Mater. 2022, 4, 4632–4642. [Google Scholar] [CrossRef]
- Kozlov, G.V.; Beloshenko, V.A.; Aloev, V.Z.; Varyukhin, V.N. Microhardness of extruded polyethylene and composites based on it. Mater. Sci. 2000, 36, 431–436. [Google Scholar] [CrossRef]
- Slouf, M.; Pavlova, E.; Krejcikova, S.; Ostafinska, A.; Zhigunov, A.; Krzyzanek, V.; Sowinski, P.; Piorkowska, E. Relations between morphology and micromechanical properties of alpha, beta and gamma phases of iPP. Polym. Test. 2018, 67, 522–532. [Google Scholar] [CrossRef]
- Li, R.; Zhang, Z.; Liu, W.; Pan, Y.; Ji, X. Chain microstructure of two in-reactor alloy impact polypropylene resins with same stiffness and different toughness. J. Polym. Res. 2023, 30, 364. [Google Scholar] [CrossRef]
- Wang, N.; Zhao, C.; Shi, X.; Shao, Y.; Li, H.; Gao, N. Co-incorporation of MMT and MCM-41 nanomaterials used as fillers in PP composite. Mater. Sci. Eng. B 2009, 157, 44–47. [Google Scholar] [CrossRef]
- Miandad, R.; Rehan, M.; Barakat, M.A.; Aburiazaiza, A.S.; Khan, H.; Ismail, I.M.I.; Dhavamani, J.; Gardy, J.; Hassanpour, A.; Nizami, A.-S. Catalytic Pyrolysis of Plastic Waste: Moving Toward Pyrolysis Based Biorefineries. Front. Energy Res. 2019, 7, 27. [Google Scholar] [CrossRef]
- Marcilla, A.; Gómez-Siurana, A.; Berenguer, D. Study of the influence of the characteristics of different acid solids in the catalytic pyrolysis of different polymers. Appl. Catal. A Gen. 2006, 301, 222–231. [Google Scholar] [CrossRef]
- Barranco-García, R.; Cerrada, M.L.; Ressia, J.A.; Vallés, E.M.; García-Peñas, A.; Pérez, E.; Gómez-Elvira, J.M. Effect of mesoporous SBA-15 silica on the thermal stability of isotactic polypropylene based nanocomposites prepared by melt extrusion. Polym. Degrad. Stab. 2018, 154, 211–221. [Google Scholar] [CrossRef]
- Yan, Y.; Hu, C.-Y.; Wang, Z.-W.; Jiang, Z.-W. Degradation of Irgafos 168 and migration of its degradation products from PP-R composite films. Packag. Technol. Sci. 2018, 31, 679–688. [Google Scholar] [CrossRef]
- Yang, Y.; Hu, C.; Zhong, H.; Chen, X.; Chen, R.; Yam, K.L. Effects of Ultraviolet (UV) on Degradation of Irgafos 168 and Migration of Its Degradation Products from Polypropylene Films. J. Agric. Food Chem. 2016, 64, 7866–7873. [Google Scholar] [CrossRef] [PubMed]
- Hermabessiere, L.; Receveur, J.; Himber, C.; Mazurais, D.; Huvet, A.; Lagarde, F.; Lambert, C.; Paul-Pont, I.; Dehaut, A.; Jezequel, R.; et al. An Irgafos® 168 story: When the ubiquity of an additive prevents studying its leaching from plastics. Sci. Total Environ. 2020, 749, 141651. [Google Scholar] [CrossRef] [PubMed]
- Blázquez-Blázquez, E.; Lahoz, J.; Pérez, E.; Cerrada, M.L. An Effective Package of Antioxidants for Avoiding Premature Failure in Polypropylene Random Copolymer Plastic Pipes under Hydrostatic Pressure and High Temperature. Polymers 2021, 13, 2825. [Google Scholar] [CrossRef] [PubMed]
- Luo, K.; You, G.; Zhao, X.; Lu, L.; Wang, W.; Wu, S. Synergistic effects of antioxidant and silica on enhancing thermooxidative resistance of natural rubber: Insights from experiments and molecular simulations. Mater. Des. 2019, 181, 107944. [Google Scholar] [CrossRef]
- Prosheva, M.; Ehsani, M.; Pérez-Martínez, B.T.; Blazevska, J.; Joseph, Y.; Tomovska, R. Dry sonication process for preparation of hybrid structures based on graphene and carbon nanotubes usable for chemical sensors. Nanotechnology 2021, 32, 215601. [Google Scholar] [CrossRef] [PubMed]
- Baltá-Calleja, F.J. Microhardness relating to crystalline polymers. Adv. Polym. Sci. 1985, 66, 117–148. [Google Scholar] [CrossRef]
- Crawford, R.J. Microhardness testing of plastics. Polym. Test. 1982, 3, 37–54. [Google Scholar] [CrossRef]
- Blázquez-Blázquez, E.; Cerrada, M.L.; Benavente, R.; Pérez, E. Identification of additives in polypropylene and their degradation under solar exposure studied by gas chromatography−mass spectrometry. ACS Omega 2020, 5, 9055–9063. [Google Scholar] [CrossRef]











| Sample Name | Polymer Composition | Irganox 1076 | Irganox 1076D | MCMA | MCMAD | |
|---|---|---|---|---|---|---|
| PP070 | PPR | |||||
| Virgin PP | 100 | |||||
| PPR | 100 | |||||
| PP73 | 70 | 30 | ||||
| PP73A | 69.6 | 29.9 | 0.5 | |||
| PP73AD | 69.6 | 29.9 | 0.5 | |||
| PP73AM | 63 | 27 | 10 | |||
| PP73AMD | 63 | 27 | 10 | |||
| Material | Ratio Irgafos 168/ Irgafos 168 Ox. |
|---|---|
| Virgin PP | 2.02 |
| PPR | 0.02 |
| PP73 | 0.14 |
| PP73A | 0.59 |
| PP73AD | 2.20 |
| PP73AM | 1.86 |
| PP73AMD | 2.61 |
Disclaimer/Publisher’s Note: The statements, opinions and data contained in all publications are solely those of the individual author(s) and contributor(s) and not of MDPI and/or the editor(s). MDPI and/or the editor(s) disclaim responsibility for any injury to people or property resulting from any ideas, methods, instructions or products referred to in the content. |
© 2024 by the authors. Licensee MDPI, Basel, Switzerland. This article is an open access article distributed under the terms and conditions of the Creative Commons Attribution (CC BY) license (https://creativecommons.org/licenses/by/4.0/).
Share and Cite
Blázquez-Blázquez, E.; Barranco-García, R.; Díez-Rodríguez, T.M.; Posadas, P.; Pérez, E.; Cerrada, M.L. Improvement of Thermal Protection in Recycled Polyolefins through Hybrid Mesoporous Silica–Antioxidant Particles. Recycling 2024, 9, 3. https://doi.org/10.3390/recycling9010003
Blázquez-Blázquez E, Barranco-García R, Díez-Rodríguez TM, Posadas P, Pérez E, Cerrada ML. Improvement of Thermal Protection in Recycled Polyolefins through Hybrid Mesoporous Silica–Antioxidant Particles. Recycling. 2024; 9(1):3. https://doi.org/10.3390/recycling9010003
Chicago/Turabian StyleBlázquez-Blázquez, Enrique, Rosa Barranco-García, Tamara M. Díez-Rodríguez, Pilar Posadas, Ernesto Pérez, and María L. Cerrada. 2024. "Improvement of Thermal Protection in Recycled Polyolefins through Hybrid Mesoporous Silica–Antioxidant Particles" Recycling 9, no. 1: 3. https://doi.org/10.3390/recycling9010003
APA StyleBlázquez-Blázquez, E., Barranco-García, R., Díez-Rodríguez, T. M., Posadas, P., Pérez, E., & Cerrada, M. L. (2024). Improvement of Thermal Protection in Recycled Polyolefins through Hybrid Mesoporous Silica–Antioxidant Particles. Recycling, 9(1), 3. https://doi.org/10.3390/recycling9010003

