Measurements of the Permeability Coefficient of Waste Coal Ash under Hydrostatic Pressure to Identify the Feasibility of Its Use in Construction
Abstract
1. Introduction
2. Materials and Methods
2.1. Waste Coal Ashs
2.2. Technical Analysis
2.3. Sieve Analysis
2.4. Leaching of Soluble Components
- C —the ingredient concentration (mg/L).
- L —the volume of liquid used (L).
- MC —the moisture (%).
- MD —the dry mass of the sample (kg).
2.5. Compactability Tests
2.6. Permeability Tests
2.6.1. Triaxial Compression Apparatus
2.6.2. Measurement Procedure
- l—the sample height (m).
- Δh—the hydraulic head difference (m).
- Q—the filtration efficiency (m3).
- A—the cross-sectional area of the sample (m2).
- i—the hydraulic drop (-).
- t—the measurement duration (s).
- —the water viscosity at the reference temperature (Pa × s).
3. Results and Discussion
3.1. Technical Parameters
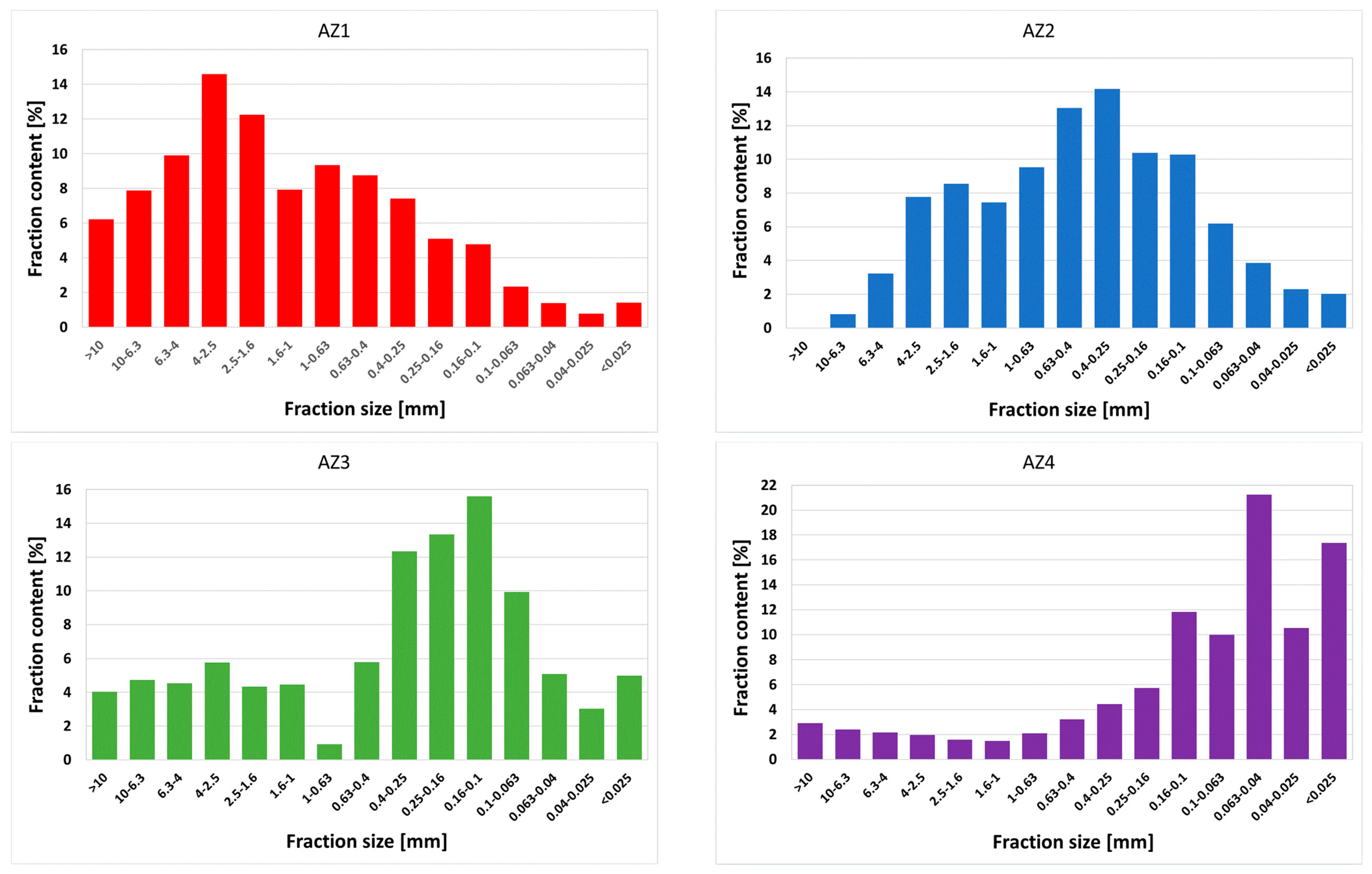
3.2. Granulometric Analysis
3.3. Leaching Test Results
3.4. Compactability Tests
3.5. Permeability Measurements
4. Summary and Conclusions
- The permeability coefficient k ranged from 4.4 × 10−7 to 1.91 × 10−6 m/s and classified waste coal ash as semipermeable soil. It was found in the work that the permeability coefficient was dependent on the hydrostatic pressure for samples with a density index of 0.964 and 0.98. On the contrary, the tested waste with of 1.00 did not respond to the increase in the hydrostatic pressure applied. The increase in the hydrostatic pressure resulted in a reduction in the permeability coefficient in cycle I of 26% at = 0.964 and of 33% at = 0.98. The permeability coefficient reduction in cycle II was 7.5% and ca. 10%, respectively. A gradual increase in the hydrostatic pressure from 0.5 to 1.8 bar in cycle I caused irreversible changes in the structure of the waste coal ash. The first cycle resulted in the formation of flow paths in the material, which most likely would not change further in the subsequent cycles.
- The relative reductions in the water permeability coefficient in cycle I resulting for each 1 m increase in depth amounted to 6.3 × 10−8 for a sample density = 0.964 and 8.0 × 10−8 m/s for = 0.98. The relative reductions in the permeability coefficient in cycle II with depth were ca. 2.0 × 10−8 m/s for both samples for each 1 m increase in depth. The water flow paths through the waste coal ash were reduced to a certain limit value appropriate for each density index.
- The permeability coefficient of water was influenced by the value of the hydraulic gradient. As the hydraulic gradient increased, a filtration rate increase was observed. The optimal performance of the filtration test was performed at a gradient of 0.3 bar.
Author Contributions
Funding
Data Availability Statement
Conflicts of Interest
References
- Myszczyszyn, J. Wpływ maszyny parowej na rozwój gospodarczy świata w XIX i XX w. Kultura i Historia 2009, 16, 95–102. [Google Scholar]
- BP Statistical Review of World Energy. Whitehouse Associates, London. 2022. Available online: https://www.bp.com/content/dam/bp/business-sites/en/global/corporate/pdfs/energy-economics/statistical-review/bp-stats-review-2022-full-report.pdf (accessed on 19 February 2024).
- International Energy Agency (IEA). Coal 2019 Analysis and Forecasts to 2024; IEA Publications: Paris, France, 2019. [Google Scholar]
- Dubiński, J.; Turek, M.; Aleksa, H. Węgiel Kamienny dla Energetyki Zawodowej w Aspekcie Wymogów Ekologicznych. Pr. Nauk. GIG. Górnictwo I Sr. 2005, 2, 5–21. [Google Scholar]
- 2021 Coal Combustion Product (CCP) Production and Use Survey Report. American Coal Ash Association. 2022. Available online: https://acaa-usa.org/wp-content/uploads/2022/12/2021-Production-and-Use-Survey-Results-FINAL.pdf (accessed on 19 February 2024).
- Key World Energy Statistic 2021—IEA International Energy Agency 2021. Available online: https://www.iea.org/reports/key-world-energy-statistics-2021 (accessed on 19 February 2024).
- Godyń, K.; Dutka, B. Preliminary Studies of Slag and Ash from Incinerated Municipal Waste for Prospective Applications. Energies 2023, 16, 117. [Google Scholar] [CrossRef]
- Murphy, S.; Pincetl, S. Zero waste in Los Angeles: Is the emperor wearing any clothes? Resour. Conserv. Recycl. 2013, 81, 40–51. [Google Scholar] [CrossRef]
- Zero Waste International Alliance. Available online: https://zwia.org/2023/03/ (accessed on 19 February 2024).
- Tiab, D.; Donaldson, E.C. Petrophysics: Theory and Practice of Measuring Reservoir Rock and Fluid Transport Properties, 3rd ed.; Elsevier/Gulf Professional Publishing: Amsterdam, The Netherlands, 2012. [Google Scholar]
- Kumar, D.; Gupta, A.; Ram, S. Uses of Bottom ash in the Replacement of fine aggregate for Making Concrete. Int. J. Curr. Eng. Technol. 2014, 4, 3891–3895. [Google Scholar]
- Galos, K.; Uliasz-Bocheńczyk, A. Źrodła i użytkowanie popiołow lotnych ze spalania węgli w Polsce. Gospod. Surowcami Miner. 2005, 1, 23–42. [Google Scholar]
- Jayaranjan, M.L.D.; van Hullebusch, E.D.; Annachhatre, A.P. Reuse options for coal fired power plant bottom ash and fly ash. Rev. Environ. Sci. Bio-Technol. 2014, 13, 467–486. [Google Scholar] [CrossRef]
- Kaczmarczyk, G. Application of Fluidized Bed Furnance Bottom Ash in Civil Engineering—A Review. IOP Conf. Ser. Mater. Sci. Eng. 2021, 1203, 032013. [Google Scholar] [CrossRef]
- Das, B.M.; Sobhan, K. Principles of Geotechnical Engineering; Cengage Learning: Boston, MA, USA, 2017. [Google Scholar]
- Knappett, J.; Craig, R.F. Craig’s Soil Mechanics; CRC Press: Boca Raton, FL, USA, 2012; pp. 39–42. [Google Scholar]
- Kuk, K.; Kim, H.; Chun, B. A Study on the Engineering Characteristics of Power Plant Coal Ash. J. Korean Geoenviron. Soc. 2010, 5, 25–34. (In Korean) [Google Scholar]
- Szwalec, A.; Gruchot, A.; Mundała, P.; Zawisza, E.; Kędzior, R. Physicochemical and geotechnical properties of an ash-slag mixture deposited on a landfill in terms of its use in engineering. Geol. Geophys. Environ. 2017, 43, 127–137. [Google Scholar] [CrossRef][Green Version]
- Lange, I.Y.; Lebedeva, Y.A.; Kotiukov, P.V. A Study of Water Permeability of Coal Ash and Slag to Assess the Possibility of Their Use as Road Pavement Layers. Int. J. Eng. Res. Technol. 2020, 13, 374–378. [Google Scholar] [CrossRef]
- Afinogenov, O.P.; Malykhin, R.N. The Use of Ash and Slag Waste from the Kuzbass Thermal Power Plants (TPP) for the Construction of the Road Pavements. Tech. Technol. Eng. 2019, 2, 20–24. [Google Scholar]
- Kaniraj, S.R.; Gayathri, V. Permeability and Consolidation Characteristics of Compacted Fly Ash. J. Energy Eng. 2004, 130, 18–43. [Google Scholar] [CrossRef]
- Vig, N.; Mor, S.; Ravindra, K. The multiple value characteristics of fly ash from Indian coal thermal power plants: A review. Environ. Monit. Assess. 2023, 195, 33. [Google Scholar] [CrossRef]
- PN-EN 1097-5:2008; Badania Mechanicznych i Fizycznych Właściwości Kruszyw—Część 5: Oznaczanie Zawartości Wody Przez Suszenie w Suszarce z Wentylacją. Polish Committee for Standardization: Warszawa, Poland, 2008.
- AccuPyc II 1340 Operator’s Manual V1.03. 134-42801-01; Micromeritics Instrument Corporation: Norcross, GA, USA, 2007.
- PN-EN 12620+A1:2010; Kruszywa do Betonu. Polish Committee for Standardization: Warszawa, Poland, 2010.
- PN-EN 12457-1:2006; Characterisation of Waste. Leaching. Compliance Test for Leaching of Granular Waste Materials and Sludges. Polish Committee for Standardization: Warszawa, Poland, 2006.
- Regulation of the Minister of Economy of 16 July 2015 on the acceptance of waste for landfill. Pol. J. Laws. 2015. Item 1277 (In Polish)
- PN-B-04481:1988; Construction Land. Soil Sample Testing. Polish Committee for Standardization: Warszawa, Poland, 1988. (In Polish)
- PN-EN 13286-2:2010; Unbound and Hydraulically Bound Mixtures—Part 2: Test Methods for Laboratory Reference Density and Water Content—Proctor Compaction. Polish Committee for Standardization: Warszawa, Poland, 2010.
- ISO 17892-11:2019; Geotechnical Investigation and Testing. Laboratory Testing of Soil. Part 11: Permeability Tests. International Organization for Standardization: Geneva, Switzerland, 2019.
- Skrzypkowski, K.; Korzeniowski, W.; Poborska-Młynarska, K. Binding capability of ashes and dusts from municipal solid waste incineration with salt brine and geotechnical parameters of the cemented samples. Arch. Min. Sci. 2018, 63, 903–918. [Google Scholar]
- Reddy, C.S.; Mohanty, S.; Shaik, R. Physical, chemical and geotechnical characterization of fly ash, bottom ash and municipal solid waste from Telangana State in India. Int. J. Geo-Eng. 2018, 9, 23. [Google Scholar] [CrossRef]












| Sample/Waste Ash | Moisture Content (%) | Real Density (kg/m3) | 
|---|---|---|
| AZ1 | 10.30 | data | 
| AZ2 | 11.80 | |
| AZ3 | 20.30 | 2300 | 
| AZ4 | 30.10 | |
| AZ5 | 27.16 | 
| Lp. | Component | Waste Sample (mg/kg) | Acceptable Leaching Values (mg/kg) | |
|---|---|---|---|---|
| AZ1 | AZ3 | |||
| 1 | (As) | 0.0555 | 0.0613 | 0.3 | 
| 2 | (Ba) | 0.162 | 0.644 | 7 | 
| 3 | (Cd) | <0.0024 | <0.0024 | 0,03 | 
| 4 | (Cr) | 0.0292 | 0.0908 | 0.2 | 
| 5 | (Cu) | 0.0102 | <0.0038 | 0.9 | 
| 6 | (Hg) | <0.0025 | <0.0025 | 0.003 | 
| 7 | (Mo) | 0.0211 | 0.0243 | 0.3 | 
| 8 | (Ni) | 0.0254 | 0.0105 | 0.2 | 
| 9 | (Pb) | <0.0022 | <0.0022 | 0.2 | 
| 10 | (Sb) | 0.016 | 0.015 | 0.2 | 
| 11 | (Se) | 0.014 | 0.335 1 | 0.06 | 
| 12 | (Zn) | <0.0109 | <0.0109 | 2 | 
| 13 | (Cl) | 8.13 | 9.64 | 550 | 
| 14 | (F) | 2.98 | 12.51 1 | 4 | 
| 15 | (SO42−) | 25.1 | 191 | 560 | 
| 16 | Phenolic compounds | <0.002 | <0.002 | 0.5 | 
| 17 | Soluble organic carbon (DOC) | 6.25 | 3.60 | 240 | 
| 18 | Solid soluble compounds (TDS) | 746 | 1380 | 2500 | 
| 19 | Total carbon | 110.7 | 203.5 | |
| 20 | Inorganic carbon | 105.4 | 199.9 | |
| 21 | pH | 9.34 | 9.55 | |
| (-) | Maximum Bulk Density (g/cm3) | Moisture from the Proctor Curve (%) | 
|---|---|---|
| 1.0 | 1.170 | 36.5 (optimal) | 
| 0.980 | 1.146 | 31.1 | 
| 0.964 | 1.138 | 26.2 | 
| Disclaimer/Publisher’s Note: The statements, opinions and data contained in all publications are solely those of the individual author(s) and contributor(s) and not of MDPI and/or the editor(s). MDPI and/or the editor(s) disclaim responsibility for any injury to people or property resulting from any ideas, methods, instructions or products referred to in the content. | 
© 2024 by the authors. Licensee MDPI, Basel, Switzerland. This article is an open access article distributed under the terms and conditions of the Creative Commons Attribution (CC BY) license (https://creativecommons.org/licenses/by/4.0/).
Share and Cite
Dutka, B.; Godyń, K.; Skotniczny, P.; Tokarczyk, K.; Tram, M. Measurements of the Permeability Coefficient of Waste Coal Ash under Hydrostatic Pressure to Identify the Feasibility of Its Use in Construction. Recycling 2024, 9, 22. https://doi.org/10.3390/recycling9020022
Dutka B, Godyń K, Skotniczny P, Tokarczyk K, Tram M. Measurements of the Permeability Coefficient of Waste Coal Ash under Hydrostatic Pressure to Identify the Feasibility of Its Use in Construction. Recycling. 2024; 9(2):22. https://doi.org/10.3390/recycling9020022
Chicago/Turabian StyleDutka, Barbara, Katarzyna Godyń, Przemysław Skotniczny, Katarzyna Tokarczyk, and Maciej Tram. 2024. "Measurements of the Permeability Coefficient of Waste Coal Ash under Hydrostatic Pressure to Identify the Feasibility of Its Use in Construction" Recycling 9, no. 2: 22. https://doi.org/10.3390/recycling9020022
APA StyleDutka, B., Godyń, K., Skotniczny, P., Tokarczyk, K., & Tram, M. (2024). Measurements of the Permeability Coefficient of Waste Coal Ash under Hydrostatic Pressure to Identify the Feasibility of Its Use in Construction. Recycling, 9(2), 22. https://doi.org/10.3390/recycling9020022
 
        


 
       