An Energy-Saving and Efficient Deployment Strategy for Heterogeneous Wireless Sensor Networks Based on Improved Seagull Optimization Algorithm
Abstract
1. Introduction
1.1. Problem Description and Research Motivation
1.2. Contribution
- While proposing the coverage control algorithm problem, we described the coverage control method problem of HWSNs.
- We proposed a coverage deployment strategy based on the particle swarm collaborative optimization seagull algorithm.
- We performed a large number of simulation calculations to improve the efficiency and coverage of the network coverage optimization algorithm.
- We evaluated the superior performance of the proposed algorithm by comparing it with the algorithms of PSO, GWO, and SOA.
2. Related Work
2.1. Deterministic Coverage
2.2. Random Coverage
3. Mathematical Model
4. Seagull Optimization Algorithm Optimized by PSO (PSO-SOA)
4.1. Seagull Optimization Algorithm (SOA)
4.1.1. Migration (Global Exploration)
4.1.2. Attack (Partial Exploitation)
4.2. Implementation Process of Seagull Optimization Algorithm Optimized by PSO (PSO-SOA)
4.2.1. Particle Swarm Optimization Algorithm with Jump Operator
4.2.2. Seagull Optimization Algorithm Optimized by PSO (PSO-SOA)
4.3. Algorithm Complexity Analysis
5. Node Deployment Strategy of HWSNs Based on the PSO-SOA Algorithm
- (1)
- Set the coverage model parameters of the sensor nodes in HWSNs, and generate and calculate the sensor node positions that initialize the corresponding network coverage according to the objective function. Set the total number N of the initial gull population and the maximum number of iterations Tmax;
- (2)
- Calculate fitness. Each individual seagull is evaluated based on its position. The initialization of individual optimal coverage Pbest and population optimal coverage Pg for each individual seagull;
- (3)
- Calculate the position of the seagull after the collision through the migratory behavior of the individual seagull, and move to the optimal individual and calculate the relative displacement position;
- (4)
- Calculate the position of the spiral attack according to Formulas (13)–(16);
- (5)
- Use the PSO mechanism to update the worst seagull individual position, and calculate the worst seagull individual position according to Formulas (20) and (21);
- (6)
- According to the average optimal position of the calculated population, the position of each individual seagull is updated, and the coverage rate of HWSNS of each individual seagull position after the update is calculated according to the objective function f;
- (7)
- Compare the individual coverage rate of each seagull after updating the position, corresponding to the coverage rate of the individual optimal Pbest, if the former is larger, the Pbest will be updated;
- (8)
- Perform backtracking iterative update, update the seagull population and update the optimal coverage, and output the optimal solution found;
- (9)
- If the cycle does not reach the preset maximum number of iterations, return to 2); otherwise, it ends, and the optimal solution is output.
6. Algorithm Simulation Comparison and Analysis
6.1. Simulation Environment Settings
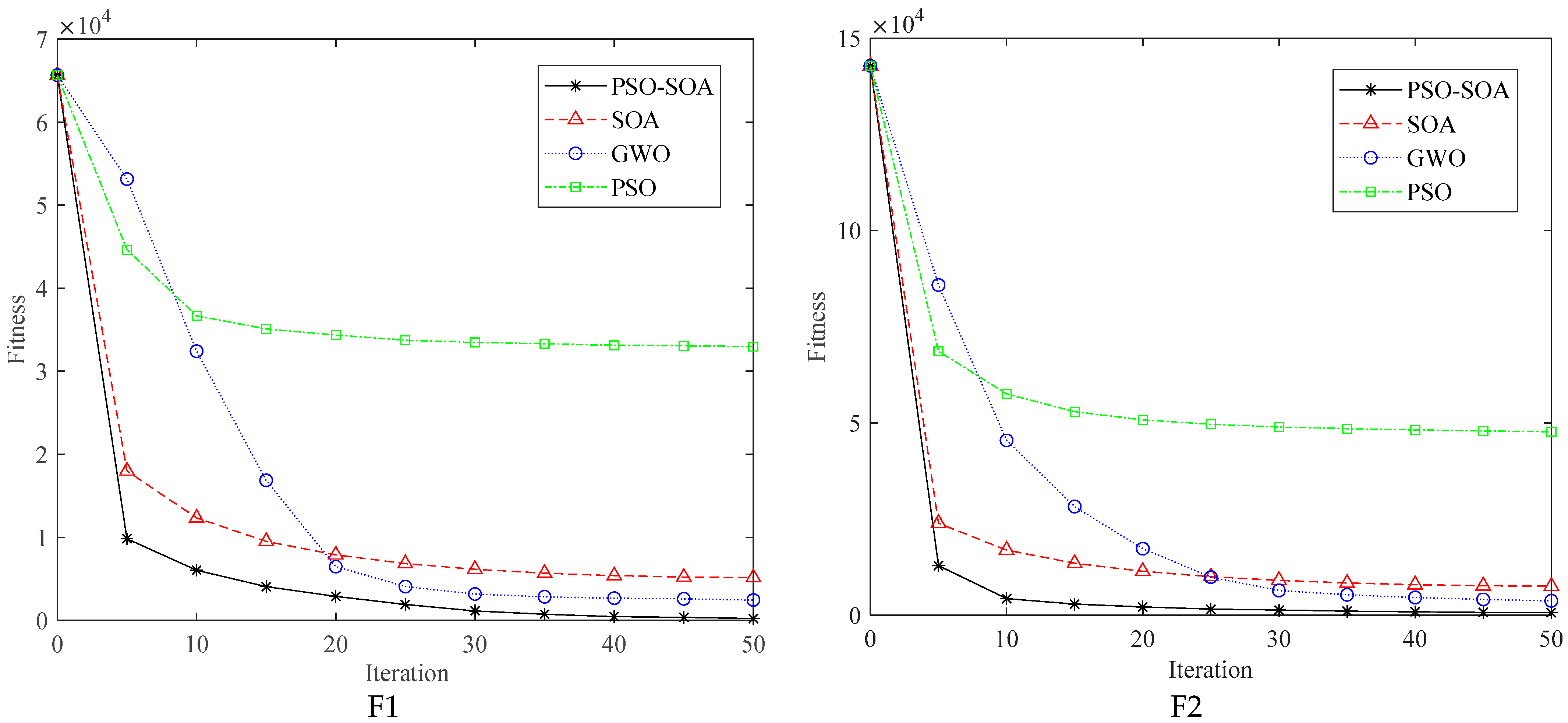
6.2. Test Objective Function Optimization
6.3. Simulation Results and Analysis
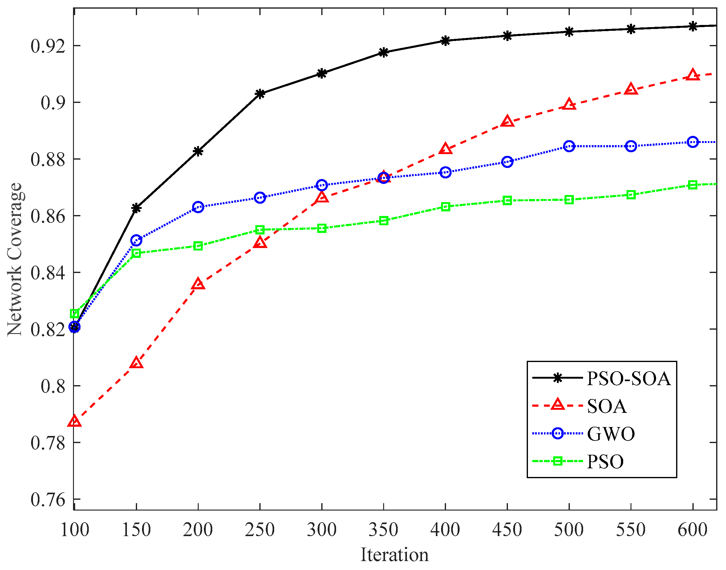
6.3.1. Comparison of Coverage Effects of Sensor Node Deployment
6.3.2. Comparison of Network Coverage with Different Number of Nodes
6.3.3. Comparison of 3D Energy Consumption
7. Conclusions
Author Contributions
Funding
Institutional Review Board Statement
Data Availability Statement
Conflicts of Interest
References
- Huo, R.; Zeng, S.; Wang, Z.; Shang, J.; Chen, W.; Huang, T.; Wang, S.; Yu, F.; Liu, Y. A comprehensive survey on blockchain in industrial internet of things: Motivations, research progresses, and future challenges. IEEE Commun. Surv. Tutor. 2022, 24, 88–122. [Google Scholar] [CrossRef]
- Siqueira, H.; Macedo, M.; Tadano, Y.D.S.; Alves, T.A.; Stevan, S.L., Jr.; Oliveira, D.S., Jr.; Marinho, M.H.; Neto, P.S.D.M.; Oliveira, J.F.D.; Luna, I.; et al. Selection of temporal lags for predicting riverflow series from hydroelectric plants using variable selection methods. Energies 2020, 13, 4236. [Google Scholar] [CrossRef]
- Yue, Y.; Cao, L.; Lu, D.; Hu, Z.; Xu, M.; Wang, S.; Li, B.; Ding, H. Review and empirical analysis of sparrow search algorithm. Artif. Intell. Rev. 2023. [Google Scholar] [CrossRef]
- Corallo, A.; Lazoi, M.; Lezzi, M.; Luperto, A. Cybersecurity awareness in the context of the Industrial Internet of Things: A systematic literature review. Comput. Ind. 2022, 137, 103614. [Google Scholar] [CrossRef]
- Majid, M.; Habib, S.; Javed, A.R.; Rizwan, M.; Srivastava, G.; Gadekallu, T.R.; Lin, J.C.W. Applications of wireless sensor networks and internet of things frameworks in the industry revolution 4.0: A systematic literature review. Sensors 2022, 22, 2087. [Google Scholar] [CrossRef] [PubMed]
- Wang, S.; You, H.; Yue, Y.; Cao, L. A novel topology optimization of coverage-oriented strategy for wireless sensor networks. Int. J. Distrib. Sens. Netw. 2021, 17, 1550147721992298. [Google Scholar] [CrossRef]
- Bai, Y.; Cao, L.; Wang, S.; Ding, H.; Yinggao, Y. Data Collection Strategy Based on OSELM and Gray Wolf Optimization Algorithm for Wireless Sensor Networks. Comput. Intell. Neurosci. 2022, 2022, 4489436. [Google Scholar] [CrossRef] [PubMed]
- Yinggao, Y.; You, H.; Wang, S.; Cao, L. Improved whale optimization algorithm and its application in heterogeneous wireless sensor networks. Int. J. Distrib. Sens. Netw. 2021, 17, 15501477211018140. [Google Scholar]
- Temene, N.; Sergiou, C.; Georgiou, C.; Vassiliou, V. A survey on mobility in Wireless Sensor Networks. Ad Hoc Netw. 2022, 125, 102726. [Google Scholar] [CrossRef]
- Zeng, C.; Qin, T.; Tan, W.; Lin, C.; Zhu, Z.; Yang, J.; Yuan, S. Coverage Optimization of Heterogeneous Wireless Sensor Network Based on Improved Wild Horse Optimizer. Biomimetics 2023, 8, 70. [Google Scholar] [CrossRef]
- Khalaf, O.I.; Romero, C.A.T.; Hassan, S.; Iqbal, M. Mitigating hotspot issues in heterogeneous wireless sensor networks. J. Sens. 2022, 2022, 7909472. [Google Scholar] [CrossRef]
- Singh, S.; Malik, A.; Singh, P.K. A threshold-based energy efficient military surveillance system using heterogeneous wireless sensor networks. Soft Comput. 2023, 27, 1163–1176. [Google Scholar] [CrossRef]
- Zhang, H.; Yang, J.; Qin, T.; Fan, Y.; Li, Z.; Wei, W. A Multi-Strategy Improved Sparrow Search Algorithm for Solving the Node Localization Problem in Heterogeneous Wireless Sensor Networks. Appl. Sci. 2022, 12, 5080. [Google Scholar] [CrossRef]
- Khalily-Dermany, M. Multi-criteria itinerary planning for the mobile sink in heterogeneous wireless sensor networks. J. Ambient. Intell. Humaniz. Comput. 2022. [Google Scholar] [CrossRef]
- Choudhary, M.; Goyal, N. Dynamic topology control algorithm for node deployment in mobile underwater wireless sensor networks. Concurr. Comput. Pract. Exp. 2022, 34, e6942. [Google Scholar] [CrossRef]
- Bravo-Arrabal, J.; Zambrana, P.; Fernandez-Lozano, J.J.; Ruiz, J.; Barba, J.; Cerezo, A. Realistic deployment of hybrid wireless sensor networks based on ZigBee and LoRa for search and Rescue applications. IEEE Access 2022, 10, 64618–64637. [Google Scholar] [CrossRef]
- Dampage, U.; Bandaranayake, L.; Wanasinghe, R.; Kottahachchi, K.; Jayasanka, B. Forest fire detection system using wireless sensor networks and machine learning. Sci. Rep. 2022, 12, 46–57. [Google Scholar] [CrossRef]
- Liu, Y.; Chin, K.W.; Yang, C.; He, T. Nodes deployment for coverage in rechargeable wireless sensor networks. IEEE Trans. Veh. Technol. 2019, 68, 6064–6073. [Google Scholar] [CrossRef]
- Karimi-Bidhendi, S.; Guo, J.; Jafarkhani, H. Energy-efficient node deployment in heterogeneous two-tier wireless sensor networks with limited communication range. IEEE Trans. Wirel. Commun. 2020, 20, 40–55. [Google Scholar] [CrossRef]
- Djenouri, D.; Bagaa, M. Energy-aware constrained relay node deployment for sustainable wireless sensor networks. IEEE Trans. Sustain. Comput. 2017, 2, 30–42. [Google Scholar] [CrossRef]
- Liu, C.; Zhao, Z.; Qu, W.; Qiu, T.; Sangaiah, A.K. A distributed node deployment algorithm for underwater wireless sensor networks based on virtual forces. J. Syst. Archit. 2019, 97, 9–19. [Google Scholar] [CrossRef]
- Deng, X.; Yu, Z.; Tang, R.; Qian, X.; Yuan, K.; Liu, S. An optimized node deployment solution based on a virtual spring force algorithm for wireless sensor network applications. Sensors 2019, 19, 1817. [Google Scholar] [CrossRef] [PubMed]
- Priyadarshi, R.; Gupta, B.; Anurag, A. Deployment techniques in wireless sensor networks: A survey, classification, challenges, and future research issues. J. Supercomput. 2020, 76, 7333–7373. [Google Scholar] [CrossRef]
- Akram, J.; Munawar, H.S.; Kouzani, A.Z.; Mahmud, M.A.P. Using adaptive sensors for optimised target coverage in wireless sensor networks. Sensors 2022, 22, 1083. [Google Scholar] [CrossRef] [PubMed]
- Bhat, S.J.; Santhosh, K.V. A localization and deployment model for wireless sensor networks using arithmetic optimization algorithm. Peer-to-Peer Netw. Appl. 2022, 15, 1473–1485. [Google Scholar] [CrossRef]
- Tirandazi, P.; Rahiminasab, A.; Ebadi, M.J. An efficient coverage and connectivity algorithm based on mobile robots for wireless sensor networks. J. Ambient. Intell. Humaniz. Comput. 2022. [Google Scholar] [CrossRef]
- Narayan, V.; Daniel, A.K. CHHP: Coverage optimization and hole healing protocol using sleep and wake-up concept for wireless sensor network. Int. J. Syst. Assur. Eng. Manag. 2022, 13 (Suppl. 1), 546–556. [Google Scholar] [CrossRef]
- Binh, H.T.; Hanh, N.T.; Nghia, N.D.; Quan, L.; Nghia, N.; Dey, N. Metaheuristics for maximization of obstacles constrained area coverage in heterogeneous wireless sensor networks. Appl. Soft Comput. 2018, 86, 105939. [Google Scholar] [CrossRef]
- Hashim, H.A.; Ayinde, B.; Abido, M. Optimal placement of relay nodes in wireless sensor network using artificial bee colony algorithm. J. Netw. Comput. Appl. 2016, 64, 239–248. [Google Scholar] [CrossRef]
- Feng, Y.; Zhao, S.; Liu, H. Analysis of Network Coverage Optimization Based on Feedback K-Means Clustering and Artificial Fish Swarm Algorithm. IEEE Access 2020, 8, 42864–42876. [Google Scholar] [CrossRef]
- Wang, L.; Wu, W.; Qi, J.; Jia, Z. Wireless sensor network coverage optimization based on whale group algorithm. Comput. Sci. Inf. Syst. 2018, 15, 569–583. [Google Scholar] [CrossRef]
- Chaturvedi, P.; Daniel, A.K. A comprehensive review on scheduling based approaches for target coverage in WSN. Wirel. Pers. Commun. 2022, 123, 3147–3199. [Google Scholar] [CrossRef]
- Toloueiashtian, M.; Golsorkhtabaramiri, M.; Rad, S.Y.B. An improved whale optimization algorithm solving the point coverage problem in wireless sensor networks. Telecommun. Syst. 2022, 79, 417–436. [Google Scholar] [CrossRef]
- Dhiman, G.; Kumar, V. Seagull optimization algorithm: Theory and its applications for large-scale industrial engineering problems. Knowl.-Based Syst. 2019, 165, 169–196. [Google Scholar] [CrossRef]
- Jia, H.; Xing, Z.; Song, W. A new hybrid seagull optimization algorithm for feature selection. IEEE Access 2019, 7, 49614–49631. [Google Scholar] [CrossRef]
- Cao, Y.; Li, Y.; Zhang, G.; Jermsittiparsert, G.; Razmjooy, N. Experimental modeling of PEM fuel cells using a new improved seagull optimization algorithm. Energy Rep. 2019, 5, 1616–1625. [Google Scholar] [CrossRef]
- Jiang, H.; Yang, Y.; Ping, W.; Dong, Y. A novel hybrid classification method based on the opposition-based seagull optimization algorithm. IEEE Access 2020, 8, 100778–100790. [Google Scholar] [CrossRef]
- Dhiman, G.; Singh, K.K.; Soni, M.; Nagar, A.; Dehghani, M.; Slowik, A.; Kaur, A.; Sharma, A.; Houssein, E.; Cengiz, K. MOSOA: A new multi-objective seagull optimization algorithm. Expert Syst. Appl. 2021, 167, 114150. [Google Scholar] [CrossRef]
- Panagant, N.; Pholdee, N.; Bureerat, S.; Kaen, K.; Yildiz, A.; Sait, S. Seagull optimization algorithm for solving real-world design optimization problems. Mater. Test. 2020, 62, 640–644. [Google Scholar] [CrossRef]
- Dhiman, G.; Singh, K.K.; Slowik, A.; Chang, V.; Yildiz, A.; Kaur, Z.; Garg, M. EMoSOA: A new evolutionary multi-objective seagull optimization algorithm for global optimization. Int. J. Mach. Learn. Cybern. 2021, 12, 571–596. [Google Scholar] [CrossRef]
- Ewees, A.A.; Mostafa, R.R.; Ghoniem, R.M.; Gaheen, M. Improved seagull optimization algorithm using Lévy flight and mutation operator for feature selection. Neural Comput. Appl. 2022, 34, 7437–7472. [Google Scholar] [CrossRef]
- Abdelhamid, M.; Houssein, E.H.; Mahdy, M.A.; Selim, A.; Kamel, S. An improved seagull optimization algorithm for optimal coordination of distance and directional over-current relays. Expert Syst. Appl. 2022, 200, 116931. [Google Scholar] [CrossRef]
- Che, Y.; He, D. An enhanced seagull optimization algorithm for solving engineering optimization problems. Appl. Intell. 2022, 52, 13043–13081. [Google Scholar] [CrossRef]
- Shami, T.M.; El-Saleh, A.A.; Alswaitti, M.; Tashi, Q.; Summakieh, M.; Mirjalili, S. Particle swarm optimization: A comprehensive survey. IEEE Access 2022, 10, 10031–10061. [Google Scholar] [CrossRef]
- Gad, A.G. Particle swarm optimization algorithm and its applications: A systematic review. Arch. Comput. Methods Eng. 2022, 29, 2531–2561. [Google Scholar] [CrossRef]
- Houssein, E.H.; Gad, A.G.; Hussain, K.; Suganthan, P. Major advances in particle swarm optimization: Theory, analysis, and application. Swarm Evol. Comput. 2021, 63, 100868. [Google Scholar] [CrossRef]
- Li, T.; Shi, J.; Deng, W.; Hu, Z. Pyramid particle swarm optimization with novel strategies of competition and cooperation. Appl. Soft Comput. 2022, 121, 108731. [Google Scholar] [CrossRef]
- Siqueira, H.; Santana, C.; Macedo, M.; Figueiredo, E.; Gokhale, A.; Bastos-Filho, C. Simplified binary cat swarm optimization. Integr. Comput.-Aided Eng. 2021, 28, 35–50. [Google Scholar] [CrossRef]
- Wang, J.; Ju, C.; Kim, H.-J.; Sherratt, R.S.; Lee, S. A mobile assisted coverage hole patching scheme based on particle swarm optimization for WSNs. Clust. Comput. 2019, 22, 1787–1795. [Google Scholar] [CrossRef]
- Wang, Z.; Xie, H.; Hu, Z.; Li, D.; Wang, J.; Liang, W. Node coverage optimization algorithm for wireless sensor networks based on improved grey wolf optimizer. J. Algorithms Comput. Technol. 2019, 11, 1–15. [Google Scholar] [CrossRef]














| Function | Formula | Dimension | Bounds | Optimum | 
|---|---|---|---|---|
| Sphere | 30 | [−100, 100] | 0 | |
| Step | 30 | [−100, 100] | 0 | |
| Quartic | 30 | [−1.28, 1.28] | 0 | |
| Alpine | 30 | [−10, 100] | 0 | |
| Rastrigin | 30 | [−5.12, 5.12] | 0 | |
| Ackley | 30 | [−32, 32] | 0 | 
| Function | PSO-SOA | SOA | GWO | PSO | ||||||||
|---|---|---|---|---|---|---|---|---|---|---|---|---|
| Max | Mean | Std | Max | Mean | Std | Max | Mean | Std | Max | Mean | Std | |
| F1 | 1.98 × 102 | 3.21 × 102 | 2.19 × 102 | 4.89 × 103 | 5.24 × 103 | 4.79 | 3.04 × 104 | 4.87 × 104 | 5.24 × 103 | 2.27 × 102 | 5.87 × 102 | 3.04 | 
| F2 | 5.97 × 101 | 1.41 × 102 | 2.87 | 2.98 × 103 | 3.05 × 103 | 7.07 × 101 | 8.28 × 103 | 9.05 × 103 | 6.34 × 102 | 1.97 × 102 | 2.03 × 102 | 2.34 | 
| F3 | 1.15 | 4.07 | 3.09 | 1.27 | 1.95 | 3.01 × 10−1 | 1.57 × 101 | 5.98 × 101 | 2.84 × 101 | 3.02 | 2.87 × 102 | 4.27 × 102 | 
| F4 | 2.23 | 5.12 | 1.74 | 1.23 × 101 | 1.16 × 101 | 1.35 × 10−1 | 4.04 | 5.86 | 1.48 | 4.07 | 6.87 | 3.04 | 
| F5 | 1.32 × 102 | 1.24 × 102 | 1.98 × 101 | 1.58 × 102 | 1.82 × 102 | 1.64 × 10−1 | 1.31 × 102 | 1.56 × 102 | 1.64 × 101 | 1.57 × 102 | 2.34 × 102 | 6.01 × 101 | 
| F6 | 2.65 | 3.21 | 2.07 × 10−1 | 1.29 × 101 | 1.53 × 101 | 3.24 × 10−3 | 5.48 | 4.57 | 2.12 × 10−1 | 3.05 | 4.12 | 4.01 × 10−1 | 
| Disclaimer/Publisher’s Note: The statements, opinions and data contained in all publications are solely those of the individual author(s) and contributor(s) and not of MDPI and/or the editor(s). MDPI and/or the editor(s) disclaim responsibility for any injury to people or property resulting from any ideas, methods, instructions or products referred to in the content. | 
© 2023 by the authors. Licensee MDPI, Basel, Switzerland. This article is an open access article distributed under the terms and conditions of the Creative Commons Attribution (CC BY) license (https://creativecommons.org/licenses/by/4.0/).
Share and Cite
Cao, L.; Wang, Z.; Wang, Z.; Wang, X.; Yue, Y. An Energy-Saving and Efficient Deployment Strategy for Heterogeneous Wireless Sensor Networks Based on Improved Seagull Optimization Algorithm. Biomimetics 2023, 8, 231. https://doi.org/10.3390/biomimetics8020231
Cao L, Wang Z, Wang Z, Wang X, Yue Y. An Energy-Saving and Efficient Deployment Strategy for Heterogeneous Wireless Sensor Networks Based on Improved Seagull Optimization Algorithm. Biomimetics. 2023; 8(2):231. https://doi.org/10.3390/biomimetics8020231
Chicago/Turabian StyleCao, Li, Zihui Wang, Zihao Wang, Xiangkun Wang, and Yinggao Yue. 2023. "An Energy-Saving and Efficient Deployment Strategy for Heterogeneous Wireless Sensor Networks Based on Improved Seagull Optimization Algorithm" Biomimetics 8, no. 2: 231. https://doi.org/10.3390/biomimetics8020231
APA StyleCao, L., Wang, Z., Wang, Z., Wang, X., & Yue, Y. (2023). An Energy-Saving and Efficient Deployment Strategy for Heterogeneous Wireless Sensor Networks Based on Improved Seagull Optimization Algorithm. Biomimetics, 8(2), 231. https://doi.org/10.3390/biomimetics8020231
 
        


 
       