Combined Effects of Fishing and Environment on the Growth of Larimichthys polyactis in Coastal Regions of China
Abstract
1. Introduction
2. Materials and Methods
2.1. Sample Collection
2.2. Otolith Measurement
2.3. Environmental Data
2.4. Otolith Radius–Body Length Relationship
2.5. Mixed-Effects Modeling
2.5.1. Intrinsic Effect Selection
2.5.2. Extrinsic Effect Selection
3. Results
3.1. Spatial Variation in Otolith Radius–Body Length Relationship
3.2. Model-Derived Otolith Growth Variation
3.3. Optimal Intrinsic-Effect Structure
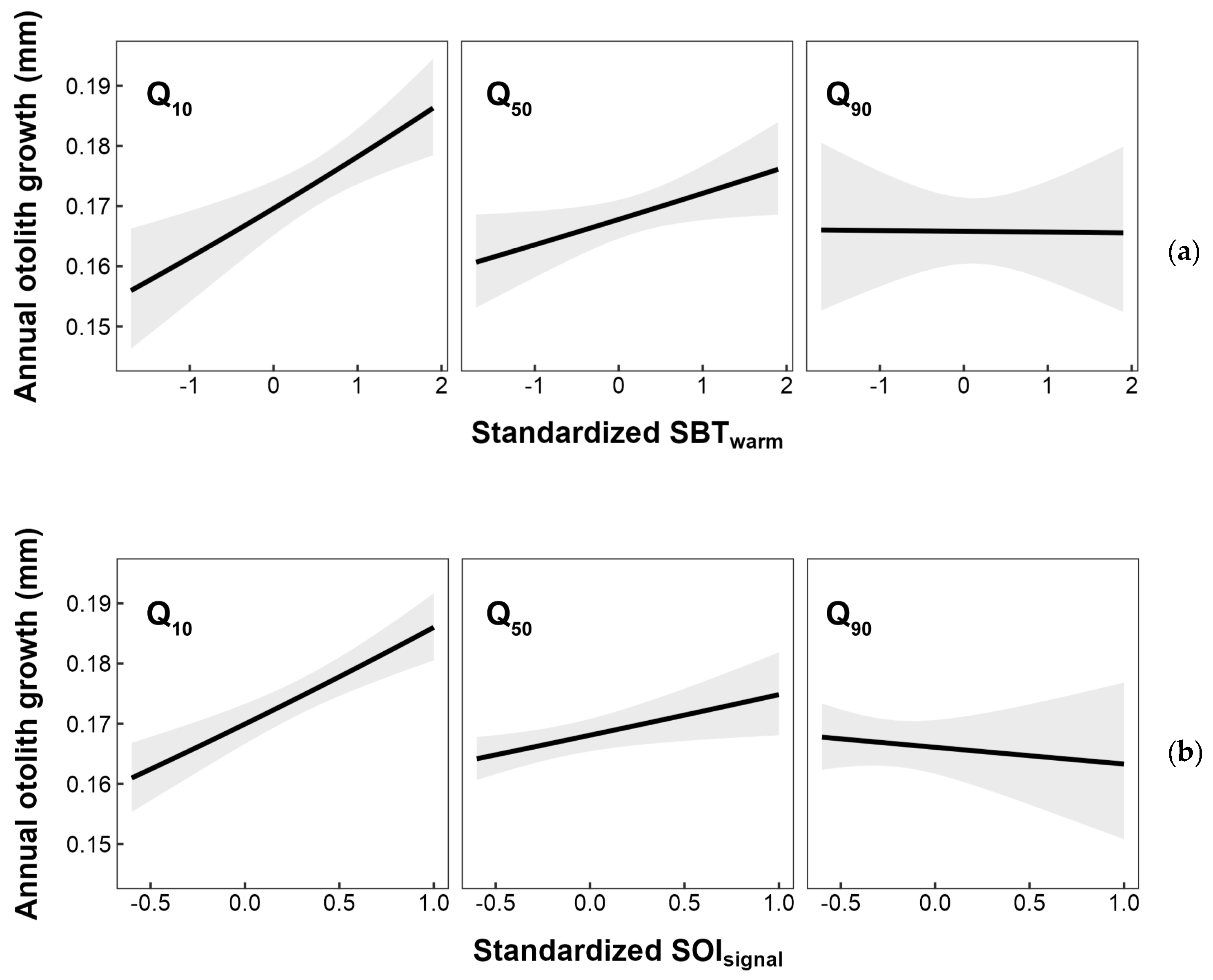
3.4. Optimal Extrinsic-Effect Structure
4. Discussion
4.1. Sources of Growth Acceleration
4.2. Synergetic Effect of Fishing and Environment on Growth
4.3. Differences in Growth Plasticity among Subpopulations
5. Conclusions
Supplementary Materials
Author Contributions
Funding
Institutional Review Board Statement
Data Availability Statement
Acknowledgments
Conflicts of Interest
Appendix A
References
- Bureau of Fishery of Ministry of Agriculture of China. China Fishery Statistical Yearbook, 2011th–2023rd ed.; China Agriculture Press: Beijing, China, 2023. [Google Scholar]
- Zhang, R.; Liu, Y.; Tian, H.; Liu, S.; Zu, K.; Xia, X. Impact of Climate Change on Long-Term Variations of Small Yellow Croaker (Larimichthys polyactis) Winter Fishing Grounds. Front. Mar. Sci. 2022, 9, 915765. [Google Scholar] [CrossRef]
- Cheng, J.; Lin, L.; Ling, J.; Li, J.; Ding, F. Effects of Summer Close Season and Rational Utilization on Redlip Croaker (Larimichthys polyactis Bleeker) Resource in the East China Sea Region. J. Fish. Sci. China 2004, 11, 554–560. [Google Scholar]
- Lin, L. Study on the Fishery Biology and Management Strategy of Larimichthys polyactis in the Southern Yellow Sea and the East China Sea. Ph.D. Thesis, Ocean University of China, Qingdao, China, 2009. [Google Scholar]
- Zhu, X.; Fang, Y.; Yan, L.; Zhang, G.; Huang, L. The Ecological Strategy Evolution of Marine Fishes under High Intensity Fishing Environment. Bull. Sci. Technol. 2009, 25, 51–55. [Google Scholar]
- Shan, X.; Li, X.; Yang, T.; Sharifuzzaman, S.M.; Zhang, G.; Jin, X.; Dai, F. Biological Responses of Small Yellow Croaker (Larimichthys polyactis) to Multiple Stressors: A Case Study in the Yellow Sea, China. Acta Oceanol. Sin. 2017, 36, 39–47. [Google Scholar] [CrossRef]
- Zhang, G.; Li, X.; Jin, X.; Zhu, J.; Dai, F. Changes of Biological Characteristics of Small Yellow Croaker (Larimichthys polyactis) in the Central and Southern Yellow Sea. Acta Ecol. Sin. 2010, 30, 6854–6861. [Google Scholar]
- Lin, L.; Jiang, Y.; Yan, L.; Gao, T.; Wang, J. Study on the Distribution Characteristics and Fecundity of Spawning Stock of Larimichthys polyactis in the Southern Yellow Sea and the East China Sea. J. Shanghai Ocean Univ. 2009, 18, 453–459. [Google Scholar]
- Shui, B. Study on the Age and Growth of Pseudosciaena polyactis in the South of the Yellow Sea and the North of the East China Sea. J. Zhejiang Ocean Univ. Nat. Sci. 2003, 22, 16–20. [Google Scholar]
- Cheng, J.; Ren, Y.; Ling, J. Analysis of Population Biology of Small Yellow Croaker Pseudosciaena polyactis in the East China Sea Region. J. Fish. Sci. China 2004, 11, 333–338. [Google Scholar]
- Guo, X.; Jin, X.; Dai, F. Growth Variations of Small Yellow Croaker (Pseudosciaena polyactis Bleeker) in the Bohai Sea. J. Fish. Sci. China 2006, 13, 243–249. [Google Scholar]
- Yan, L.; Hu, F.; Ling, J.; Li, S. Study on Age and Growth of Larimichthys polyactis in the East China Sea. J. Ocean Univ. China Nat. Sci. Ed. 2006, 36, 95–100. [Google Scholar] [CrossRef]
- Yan, L.; Liu, Z.; Zhang, H.; Ling, J.; Yuan, X.; Li, S. On the Evolution of Biological Characteristics and Resources of Small Yellow Croaker. Mar. Fish. 2014, 36, 481–488. [Google Scholar] [CrossRef]
- Gao, C.; Ma, Q.; Tian, S.; Dai, X.; Kindong, R.; Gou, X.; Lan, J. Growth, Mortality and Yield per Recruitment of Small Yellow Croaker in Offshore Waters of Southern Zhejiang. J. Fish. Sci. China 2019, 26, 925–937. [Google Scholar] [CrossRef]
- Audzijonyte, A.; Kuparinen, A.; Gorton, R.; Fulton, E.A. Ecological Consequences of Body Size Decline in Harvested Fish Species: Positive Feedback Loops in Trophic Interactions Amplify Human Impact. Biol. Lett. 2013, 9, 20121103. [Google Scholar] [CrossRef] [PubMed]
- Hixon, M.A.; Johnson, D.W.; Sogard, S.M. BOFFFFs: On the Importance of Conserving Old-Growth Age Structure in Fishery Populations. ICES J. Mar. Sci. 2014, 71, 2171–2185. [Google Scholar] [CrossRef]
- Barneche, D.R.; Robertson, D.R.; White, C.R.; Marshall, D.J. Fish Reproductive-Energy Output Increases Disproportionately with Body Size. Science 2018, 360, 642–645. [Google Scholar] [CrossRef]
- Lorenzen, K. The Relationship between Body Weight and Natural Mortality in Juvenile and Adult Fish: A Comparison of Natural Ecosystems and Aquaculture. J. Fish Biol. 1996, 49, 627–642. [Google Scholar] [CrossRef]
- Gislason, H.; Daan, N.; Rice, J.C.; Pope, J.G. Size, Growth, Temperature and the Natural Mortality of Marine Fish. Fish Fish. 2010, 11, 149–158. [Google Scholar] [CrossRef]
- Graeb, B.D.S.; Dettmers, J.M.; Wahl, D.H.; Cáceres, C.E. Fish Size and Prey Availability Affect Growth, Survival, Prey Selection, and Foraging Behavior of Larval Yellow Perch. Trans. Am. Fish. Soc. 2004, 133, 504–514. [Google Scholar] [CrossRef]
- Lorenzen, K. Toward a New Paradigm for Growth Modeling in Fisheries Stock Assessments: Embracing Plasticity and Its Consequences. Fish. Res. 2016, 180, 4–22. [Google Scholar] [CrossRef]
- Barrow, J.; Ford, J.; Day, R.; Morrongiello, J. Environmental Drivers of Growth and Predicted Effects of Climate Change on a Commercially Important Fish, Platycephalus laevigatus. Mar. Ecol. Prog. Ser. 2018, 598, 201–212. [Google Scholar] [CrossRef]
- Neves, J.; Giacomello, E.; Menezes, G.M.; Fontes, J.; Tanner, S.E. Temperature-Driven Growth Variation in a Deep-Sea Fish: The Case of Pagellus bogaraveo (Brünnich, 1768) in the Azores Archipelago. Front. Mar. Sci. 2021, 8, 703820. [Google Scholar] [CrossRef]
- Moyano, G.; Plaza, G.; Cerna, F.; Muñoz, A.A. Local and Global Environmental Drivers of Growth Chronologies in a Demersal Fish in the South-Eastern Pacific Ocean. Ecol. Indic. 2021, 131, 108151. [Google Scholar] [CrossRef]
- Smoliński, S. Sclerochronological Approach for the Identification of Herring Growth Drivers in the Baltic Sea. Ecol. Indic. 2019, 101, 420–431. [Google Scholar] [CrossRef]
- Tanner, S.E.; Vieira, A.R.; Vasconcelos, R.P.; Dores, S.; Azevedo, M.; Cabral, H.N.; Morrongiello, J.R. Regional Climate, Primary Productivity and Fish Biomass Drive Growth Variation and Population Resilience in a Small Pelagic Fish. Ecol. Indic. 2019, 103, 530–541. [Google Scholar] [CrossRef]
- Denechaud, C.; Smoliński, S.; Geffen, A.J.; Godiksen, J.A.; Campana, S.E. A Century of Fish Growth in Relation to Climate Change, Population Dynamics and Exploitation. Glob. Chang. Biol. 2020, 26, 5661–5678. [Google Scholar] [CrossRef] [PubMed]
- Zhang, C.; Ye, Z. Inter-Annual Otolith Growth Pattern of Adult Small Yellow Croaker in the East China Sea and Its Response to Environmental Changes. Environ. Biol. Fishes 2021, 104, 1643–1653. [Google Scholar] [CrossRef]
- Sun, Y.; Xie, Q.; Lou, B. Effect of Temperature on Early Growth Stage in Little Yellow Croaker, Larimichthys polyactis. J. Zhejiang Ocean Univ. Nat. Sci. 2018, 37, 208–214. [Google Scholar]
- Morrongiello, J.R.; Horn, P.L.; Maolagáin, C.Ó.; Sutton, P.J.H. Synergistic Effects of Harvest and Climate Drive Synchronous Somatic Growth within Key New Zealand Fisheries. Glob. Chang. Biol. 2021, 27, 1470–1484. [Google Scholar] [CrossRef]
- Rogers, L.A.; Dougherty, A.B. Effects of Climate and Demography on Reproductive Phenology of a Harvested Marine Fish Population. Glob. Chang. Biol. 2019, 25, 708–720. [Google Scholar] [CrossRef]
- Morrongiello, J.R.; Sweetman, P.C.; Thresher, R.E. Fishing Constrains Phenotypic Responses of Marine Fish to Climate Variability. J. Anim. Ecol. 2019, 88, 1645–1656. [Google Scholar] [CrossRef]
- Ciannelli, L.; Chan, K.-S.; Bailey, K.M.; Stenseth, N.C. Nonadditive Effects of the Environment on the Survival of a Large Marine Fish Population. Ecology 2004, 85, 3418–3427. [Google Scholar] [CrossRef]
- Martino, J.C.; Fowler, A.J.; Doubleday, Z.A.; Grammer, G.L.; Gillanders, B.M. Using Otolith Chronologies to Understand Long-Term Trends and Extrinsic Drivers of Growth in Fisheries. Ecosphere 2019, 10, e02553. [Google Scholar] [CrossRef]
- Conover, D.O.; Clarke, L.M.; Munch, S.B.; Wagner, G.N. Spatial and Temporal Scales of Adaptive Divergence in Marine Fishes and the Implications for Conservation. J. Fish Biol. 2006, 69, 21–47. [Google Scholar] [CrossRef]
- Lin, L.; Cheng, J.; Jiang, Y.; Yuan, X.; Li, J.; Gao, T. Spatial Distribution and Environmental Characteristics of the Spawning Grounds of Small Yellow Croaker in the Southern Yellow Sea and the East China Sea. Acta Ecol. Sin. 2008, 28, 3485–3494. [Google Scholar]
- Lin, L.; Liu, Z.; Jiang, Y.; Huang, W.; Gao, T. Current Status of Small Yellow Croaker Resources in the Southern Yellow Sea and the East China Sea. Chin. J. Ocean. Limnol. 2011, 29, 547–555. [Google Scholar] [CrossRef]
- Ichikawa, H.; Beardsley, R.C. The Current System in the Yellow and East China Seas. J. Oceanogr. 2002, 58, 77–92. [Google Scholar] [CrossRef]
- Liu, Z.; Gan, J.; Hu, J.; Wu, H.; Cai, Z.; Deng, Y. Progress on Circulation Dynamics in the East China Sea and Southern Yellow Sea: Origination, Pathways, and Destinations of Shelf Currents. Prog. Oceanogr. 2021, 193, 102553. [Google Scholar] [CrossRef]
- Delcroix, T.; Murtugudde, R. Sea Surface Salinity Changes in the East China Sea during 1997–2001: Influence of the Yangtze River. J. Geophys. Res. Oceans 2002, 107, SRF 9-1–SRF 9-11. [Google Scholar] [CrossRef]
- Yuan, D.; Zhu, J.; Li, C.; Hu, D. Cross-Shelf Circulation in the Yellow and East China Seas Indicated by MODIS Satellite Observations. J. Mar. Syst. 2008, 70, 134–149. [Google Scholar] [CrossRef]
- Quan, Q.; Mao, X.; Yang, X.; Hu, Y.; Zhang, H.; Jiang, W. Seasonal Variations of Several Main Water Masses in the Southern Yellow Sea and East China Sea in 2011. J. Ocean Univ. China 2013, 12, 524–536. [Google Scholar] [CrossRef]
- Zhang, S.W.; Wang, Q.Y.; Lü, Y.; Cui, H.; Yuan, Y.L. Observation of the Seasonal Evolution of the Yellow Sea Cold Water Mass in 1996–1998. Cont. Shelf Res. 2008, 28, 442–457. [Google Scholar] [CrossRef]
- Park, S.; Chu, P.C.; Lee, J.-H. Interannual-to-Interdecadal Variability of the Yellow Sea Cold Water Mass in 1967–2008: Characteristics and Seasonal Forcings. J. Mar. Syst. 2011, 87, 177–193. [Google Scholar] [CrossRef]
- Li, A.; Yu, F.; Si, G.; Wei, C. Long-Term Temperature Variation of the Southern Yellow Sea Cold Water Mass from 1976 to 2006. Chin. J. Oceanol. Limnol. 2017, 35, 1032–1044. [Google Scholar] [CrossRef]
- Mask, A.C.; O’Brien, J.J.; Preller, R. Wind-Driven Effects on the Yellow Sea Warm Current. J. Geophys. Res. Oceans 1998, 103, 30713–30729. [Google Scholar] [CrossRef]
- Yu, F.; Zhang, Z.; Diao, X.; Guo, J. Observational Evidence of the Yellow Sea Warm Current. Chin. J. Oceanol. Limnol. 2010, 28, 677–683. [Google Scholar] [CrossRef]
- Chi, L.; Song, X.; Yuan, Y.; Zhou, P.; Cao, X.; Yu, Z. Distribution of Dissolved Oxygen in the Yellow Sea and East China Sea in Summer and Winter. Oceanol. Limnol. Sin. 2017, 48, 1337–1345. [Google Scholar]
- Li, W.; Wang, Y.; Wang, J.; Wei, H. Distributions of Water Masses and Hydrographic Structures in the Yellow Sea and East China Sea in Spring and Summer 2011. Oceanol. Limnol. Sin. 2012, 43, 615–623. [Google Scholar]
- Liu, X.; Yang, C.; Ye, J. The Primary Research of Annuli Characteristics and Formation Patterns of Scale and Otolith for Small Yellow Croaker in Northern Yellow Sea and Bohai Sea. In Proceedings of the Collection of Papers on Marine Fisheries Resources; China Agriculture Press: Beijing, China, 1964; pp. 136–148. [Google Scholar]
- Wang, Y.; Huang, J.; Tang, X.; Jin, X.; Sun, Y. Stable Isotopic Composition of Otoliths in Identification of Stock Structure of Small Yellow Croaker (Larimichthys polyactis) in China. Acta Oceanol. Sin. 2016, 35, 29–33. [Google Scholar] [CrossRef]
- Zhang, C.; Ye, Z.; Wan, R.; Ma, Q.; Li, Z. Investigating the Population Structure of Small Yellow Croaker (Larimichthys polyactis) Using Internal and External Features of Otoliths. Fish. Res. 2014, 153, 41–47. [Google Scholar] [CrossRef]
- Wang, Y. Fishery Resource; China Agricultural Press: Beijing, China, 1962. [Google Scholar]
- Xu, Z.; Chen, J. Population Division of Larimichthys polyactis in China Sea. Chin. J. Appl. Ecol. 2010, 21, 2856–2864. [Google Scholar] [CrossRef]
- Xiao, Y.; Zhang, Y.; Gao, T.; Yanagimoto, T.; Yabe, M.; Sakurai, Y. Genetic Diversity in the mtDNA Control Region and Population Structure in the Small Yellow Croaker Larimichthys polyactis. Environ. Biol. Fishes 2009, 85, 303–314. [Google Scholar] [CrossRef]
- Cheng, Q.; Chen, W.; Ma, L. Genetic Diversity and Population Structure of Small Yellow Croaker (Larimichthys polyactis) in the Yellow and East China Seas Based on Microsatellites. Aquat. Living Resour. 2019, 32, 16. [Google Scholar] [CrossRef]
- Campana, S.E. How Reliable Are Growth Back-Calculations Based on Otoliths? Can. J. Fish. Aquat. Sci. 1990, 47, 2219–2227. [Google Scholar] [CrossRef]
- Vigliola, L.; Meekan, M.G. The Back-Calculation of Fish Growth From Otoliths. In Tropical Fish Otoliths: Information for Assessment, Management and Ecology; Green, B.S., Mapstone, B.D., Carlos, G., Begg, G.A., Eds.; Springer: Dordrecht, The Netherlands, 2009; pp. 174–211. ISBN 978-1-4020-5775-5. [Google Scholar]
- Black, B.A.; Matta, M.E.; Helser, T.E.; Wilderbuer, T.K. Otolith Biochronologies as Multidecadal Indicators of Body Size Anomalies in Yellowfin Sole (Limanda aspera). Fish. Oceanogr. 2013, 22, 523–532. [Google Scholar] [CrossRef]
- Weisberg, S.; Spangler, G.; Richmond, L.S. Mixed Effects Models for Fish Growth. Can. J. Fish. Aquat. Sci. 2010, 67, 269–277. [Google Scholar] [CrossRef]
- Morrongiello, J.R.; Thresher, R.E.; Smith, D.C. Aquatic Biochronologies and Climate Change. Nat. Clim. Chang. 2012, 2, 849–857. [Google Scholar] [CrossRef]
- Xu, Z.; Chen, J. Analysis on Migratory Routine of Larimichthy polyactis. J. Fish. Sci. China 2009, 16, 931–940. [Google Scholar]
- Ren, J.S.; Jin, X.; Yang, T.; Kooijman, S.A.L.M.; Shan, X. A Dynamic Energy Budget Model for Small Yellow Croaker Larimichthys polyactis: Parameterisation and Application in Its Main Geographic Distribution Waters. Ecol. Modell. 2020, 427, 109051. [Google Scholar] [CrossRef]
- Li, J.; Lin, L.S.; Cheng, J. Distribution Characteristic of Small Yellow Croaker (Larimichthys polyactis Bleeker) and Its Relationship with Bottom Water Temperature and Salinity in the Northern East China Sea in Autumn. J. Fish. Sci. China 2009, 16, 348–356. [Google Scholar]
- Liu, Z.; Yuan, X.; Yan, L.; Yang, L.; Cheng, J. Spatial Heterogeneity in Body Condition of Small Yellow Croaker in Yellow Sea and East China Sea Based on Mixed-Effects Model and Quantile Regression Analysis. Chin. J. Appl. Ecol. 2013, 24, 2631–2642. [Google Scholar] [CrossRef]
- Zhang, G.; Li, X.; Zhu, J.; Dai, F.; Jin, X. The Growth Characteristics of Small Yellow Croaker Larimichthys polyactis (Bleeker, 1987) under Yearling in the Central and Southern Yellow Sea. Prog. Fish. Sci. 2010, 31, 15–22. [Google Scholar]
- Zhao, C.; Chen, Y.; Hong, G. Survey and Zoning of Fishery Resources in the East China Sea; East China Normal University Press: Shanghai, China, 1990. [Google Scholar]
- Chen, J.; Xu, Z.; Chen, X. The Spatial Distribution Pattern of Fishing Ground for Small Yellow Croaker in China Seas. J. Fish. China 2010, 34, 236–244. [Google Scholar] [CrossRef]
- Morrongiello, J.R.; Thresher, R.E. A Statistical Framework to Explore Ontogenetic Growth Variation among Individuals and Populations: A Marine Fish Example. Ecol. Monogr. 2015, 85, 93–115. [Google Scholar] [CrossRef]
- Burnham, K.P.; Anderson, D.R. (Eds.) Model Selection and Multimodel Inference; Springer: New York, NY, USA, 2004; ISBN 978-0-387-95364-9. [Google Scholar]
- van de Pol, M.; Bailey, L.D.; McLean, N.; Rijsdijk, L.; Lawson, C.R.; Brouwer, L. Identifying the Best Climatic Predictors in Ecology and Evolution. Methods Ecol. Evol. 2016, 7, 1246–1257. [Google Scholar] [CrossRef]
- Buscher, E.; Olson, A.M.; Pascoe, E.S.; Weil, J.; Juanes, F.; David, H. Secor: Migration Ecology of Marine Fishes. Rev. Fish Biol. Fish. 2016, 26, 609–610. [Google Scholar] [CrossRef]
- Morais, P.; Daverat, F. An Introduction to Fish Migration; CRC Press: Boca Raton, FL, USA, 2016. [Google Scholar] [CrossRef]
- Hurst, T.P. Causes and Consequences of Winter Mortality in Fishes. J. Fish Biol. 2007, 71, 315–345. [Google Scholar] [CrossRef]
- Ren, Y.; Ye, Z. Distribution and Migration of Fishes. In Fishery Resource Biology; China Agriculture Press: Beijing, China, 2020; pp. 40–61. [Google Scholar]
- Carey, M.P.; Keith, K.D.; Schelske, M.; Lean, C.; McCormick, S.D.; Regish, A.; Zimmerman, C.E. Energy Depletion and Stress Levels in Sockeye Salmon Migrating at the Northern Edge of Their Distribution. Trans. Am. Fish. Soc. 2019, 148, 785–797. [Google Scholar] [CrossRef]
- Ma, S.; Tian, Y.; Li, J.; Yu, H.; Cheng, J.; Sun, P.; Fu, C.; Liu, Y.; Watanabe, Y. Climate Variability Patterns and Their Ecological Effects on Ecosystems in the Northwestern North Pacific. Front. Mar. Sci. 2020, 7, 546882. [Google Scholar] [CrossRef]
- Kim, S.; Jung, S.; Zhang, C.I. The Effect of Seasonal Anomalies of Seawater Temperature and Salinity on the Fluctuation in Yields of Small Yellow Croaker, Pseudosciaena polyactis, in the Yellow Sea. Fish. Oceanogr. 1997, 6, 1–9. [Google Scholar] [CrossRef]
- Killeen, H.; Dorman, J.; Sydeman, W.; Dibble, C.; Morgan, S. Effects of a Marine Heatwave on Adult Body Length of Three Numerically Dominant Krill Species in the California Current Ecosystem. ICES J. Mar. Sci. 2022, 79, 761–774. [Google Scholar] [CrossRef]
- Pörtner, H.-O.; Roberts, D.C.; Masson-Delmotte, V.; Zhai, P.; Tignor, M.; Poloczanska, E.; Mintenbeck, K.; Alegría, A.; Nicolai, M.; Okem, A.; et al. IPCC, 2019: IPCC Special Report on the Ocean and Cryosphere in a Changing Climate; Cambridge University Press: Cambridge, UK; New York, NY, USA, 2019. [Google Scholar]
- Ong, J.J.L.; Rountrey, A.N.; Black, B.A.; Nguyen, H.M.; Coulson, P.G.; Newman, S.J.; Wakefield, C.B.; Meeuwig, J.J.; Meekan, M.G. A Boundary Current Drives Synchronous Growth of Marine Fishes across Tropical and Temperate Latitudes. Glob. Chang. Biol. 2018, 24, 1894–1903. [Google Scholar] [CrossRef] [PubMed]
- Liang, Z.; Sun, P.; Tang, Y.; Huang, L.; Lu, Q.; Liu, C.; Liu, Q. Numeric Simulation on Impact of Trawl Mesh Selectivity on Phenotypic Traits of Fish Population. Oceanol. Limnol. Sin. 2008, 39, 488–493. [Google Scholar]
- Kuparinen, A.; Merilä, J. Detecting and Managing Fisheries-Induced Evolution. Trends Ecol. Evol. 2007, 22, 652–659. [Google Scholar] [CrossRef] [PubMed]
- Rijnsdorp, A.D.; van Leeuwen, P.I. Changes in Growth of North Sea Plaice since 1950 in Relation to Density, Eutrophication, Beam-Trawl Effort, and Temperature. ICES J. Mar. Sci. 1996, 53, 1199–1213. [Google Scholar] [CrossRef]
- Rochet, M.-J. Short-Term Effects of Fishing on Life History Traits of Fishes. ICES J. Mar. Sci. 1998, 55, 371–391. [Google Scholar] [CrossRef]
- Casini, M.; Rouyer, T.; Bartolino, V.; Larson, N.; Grygiel, W. Density-Dependence in Space and Time: Opposite Synchronous Variations in Population Distribution and Body Condition in the Baltic Sea Sprat (Sprattus sprattus) over Three Decades. PLoS ONE 2014, 9, e92278. [Google Scholar] [CrossRef]
- Rueda, L.; Massutí, E.; Alvarez-Berastegui, D.; Hidalgo, M. Effect of Intra-Specific Competition, Surface Chlorophyll and Fishing on Spatial Variation of Gadoid’s Body Condition. Ecosphere 2015, 6, art175. [Google Scholar] [CrossRef]
- Shan, X.; Li, Z.; Dai, F.; Jin, X. Seasonal and Annual Variations in Biological Characteristics of Small Yellow Croaker Larimichthys polyactis in the Central and Southern Yellow Sea. Prog. Fish. Sci. 2011, 32, 7–16. [Google Scholar]
- Song, Y.; Xu, C.; Ren, Y.; Xu, B.; Ji, Y.; Zhang, C.; Xue, Y. Effects of Environmental Factors on the Feeding Ecology of Small Yellow Croaker (Larimichthys polyactis) in Haizhou Bay Based on Hurdle GAMMs. J. Fish. Sci. China 2021, 28, 646–657. [Google Scholar] [CrossRef]
- Wei, X.; Zhang, B.; Shan, X.; Jin, X.; Ren, Y. Feeding Habits of Small Yellow Croaker Larimichthys polyactis in the Bohai Sea. J. Fish. Sci. China 2018, 25, 1289–1298. [Google Scholar] [CrossRef]
- Song, Y.; Xue, Y.; Xu, B.; Zhang, C.; Ren, Y. Composition of Food and Niche Overlap of Three Sciaenidae Species in Haizhou Bay. J. Fish. China 2020, 44, 2017–2027. [Google Scholar] [CrossRef]
- Xue, Y.; Jin, X.; Zhang, B.; Liang, Z. Diet Composition and Seasonal Variation in Feeding Habits of Small Yellow Croaker Pseudosciaena polyactis Bleeker in the Central Yellow Sea. J. Fish. Sci. China 2004, 11, 237–243. [Google Scholar]
- Yan, L.; Li, J.; Shen, D.; Yu, L.; Ling, L. Variations in Diet Composition and Feeding Intensity of Small Yellow Croaker Larimichthys polyactis Bleeker in the Southern Yellow Sea and Northern East China Sea. Mar. Fish. 2006, 28, 117–123. [Google Scholar]
- Zhang, B.; Tang, Q. Study on Trophic Level of Important Resources Species at High Trophic Levels in the Bohai Sea, Yellow Sea and East China Sea. Adv. Mar. Sci. 2004, 22, 393–404. [Google Scholar]
- Li, G.; Xiong, Y.; Zhong, X.; Song, D.; Kang, Z.; Li, D.; Tang, J.; Wang, Y.; Wu, L. Changes in Overwintering Ground of Small Yellow Croaker (Larimichthys polyactis) Based on MaxEnt and GARP Models: A Case Study of the Southern Yellow Sea Stock. J. Fish Biol. 2023, 102, 1358–1372. [Google Scholar] [CrossRef] [PubMed]
- Han, Q.; Shan, X.; Jin, X.; Gorfine, H.; Chen, Y.; Su, C. Changes in Distribution Patterns for Larimichthys polyactis in Response to Multiple Pressures in the Bohai Sea Over the Past Four Decades. Front. Mar. Sci. 2022, 9. [Google Scholar] [CrossRef]
- Larimichthys polyactis Summary Page. Available online: https://www.fishbase.us/summary/Larimichthys-polyactis.html (accessed on 28 July 2024).
- Cheung, W.W.L.; Watson, R.; Pauly, D. Signature of Ocean Warming in Global Fisheries Catch. Nature 2013, 497, 365–368. [Google Scholar] [CrossRef]
- Smith, A.C.; Shima, J.S. Variation in the Effects of Larval History on Juvenile Performance of a Temperate Reef Fish. Austral Ecol. 2011, 36, 830–838. [Google Scholar] [CrossRef]
- Landaeta, M.F.; Gómez, A.; Contreras, J.E.; Figueroa-González, Y.; Pinilla, E.; Reche, P.; Castillo, M.I.; Plaza, G. Linking Shape and Growth in Young-of-the-Year Rockfish: An Ecological Carry-over Effect? Mar. Biol. 2023, 170, 103. [Google Scholar] [CrossRef]
- Wu, R.; Liu, S.; Zhuang, Z.; Jin, X.; Su, Y.; Tang, Q. Genetic Structure of Small Yellow Croaker (Larimichthys polyactis) Populations in the Yellow Sea and East China Sea Based on Mitochondrial Cyt b Gene. Prog. Nat. Sci. 2009, 19, 924–930. [Google Scholar]
- Li, Y.; Han, Z.; Song, N.; Gao, T. New Evidence to Genetic Analysis of Small Yellow Croaker (Larimichthys polyactis) with Continuous Distribution in China. Biochem. Syst. Ecol. 2013, 50, 331–338. [Google Scholar] [CrossRef]
- Zhang, B.; Li, Y.; Xue, D.; Liu, J. Population Genomic Evidence for High Genetic Connectivity among Populations of Small Yellow Croaker (Larimichthys polyactis) in Inshore Waters of China. Fish. Res. 2020, 225, 105505. [Google Scholar] [CrossRef]
- Wang, P.; Li, S.; Liu, Z.; Jin, Y.; Jiang, Y.; Zhang, H.; Zhang, Y. Spatial Connectivity in Juvenile Larimichthys polyactis from Otolith Microchemistry in Coastal Areas of Southern Yellow Sea and East China Sea. Mar. Fish. 2022, 44, 140–151. [Google Scholar] [CrossRef]










| Type | Variable | Description |
|---|---|---|
| Response | Increment | Width of annual otolith increment (mm). |
| Intrinsic | FishID | Unique identifier of fish individual. |
| Year | Growth year of increment formation. | |
| Age | Age of fish individual when the increment was formed. | |
| AAC | Age of fish individual when it was captured. | |
| FI | Width of the first annual otolith increment of fish individual (mm). | |
| Area | Sea area where fish individual was sampled. | |
| Extrinsic 1 | SBTwarm | Sea bottom temperature (°C) of spawning ground during warm season (May to Aug). |
| SBTcold | Sea bottom temperature (°C) of overwintering ground during cold season (Nov to Feb). | |
| AvSBTw | Mean SBTwarm during 2014–2020. | |
| AvSBTc | Mean SBTcold during 2014–2020. | |
| SOIsignal | Mean southern oscillation index during the optimal time window selected by a sliding window analysis. | |
| FP | Annual fishing pressure measured by catch (105 t; 1 Jan to 31 Dec). |
| (a) | ||||
| Model | Df 1 | AICc | ΔAICc 2 | Res.LL 3 |
| (Age|FishID) + (Age|Area:Year) | 19 | −2800.36 | 0.00 | 1419.39 |
| (Age|FishID) + (1|Area:Year) | 17 | −2770.49 | 29.87 | 1402.42 |
| (1|FishID) + (Age|Area:Year) | 17 | −2738.83 | 61.52 | 1386.59 |
| (1|FishID) + (1|Area:Year) | 15 | −2720.91 | 79.44 | 1375.59 |
| (b) | ||||
| Model 5 | Df | AICc | ΔAICc | LL 4 |
| Age + FI × Area | 16 | −2860.49 | 0.00 | 1446.40 |
| Age + FI | 10 | −2858.77 | 1.72 | 1439.45 |
| Age + AAC + FI | 11 | −2858.46 | 2.03 | 1440.30 |
| Age + FI + Area | 13 | −2858.25 | 2.24 | 1442.23 |
| Age × Area + FI × Area | 19 | −2856.52 | 3.97 | 1447.48 |
| Age × Area + FI | 16 | −2853.49 | 7.00 | 1442.90 |
| Age | 9 | −2746.63 | 110.48 | 1382.36 |
| Model 1 | Df 2 | AICc | ΔAICc 3 | LL 4 |
|---|---|---|---|---|
| SBTwarm × FP(PY) + SBTwarm × Area + FP(PY) × Area | 22 | −2882.36 | 21.87 | 1463.47 |
| SOIsignal × FP(PY) + FP(PY) × Area | 19 | −2884.95 | 24.46 | 1461.69 |
| FP(PY) × Area | 17 | −2876.33 | 15.84 | 1455.34 |
| SOIsignal | 17 | −2871.30 | 10.81 | 1452.82 |
| SBTwarm × Area | 20 | −2871.01 | 10.52 | 1455.75 |
| SBTcold(PY) × AvSBTcold | 16 | −2870.34 | 9.85 | 1451.32 |
| Optimal intrinsic model | 16 | −2860.49 | 0.00 | 1446.40 |
Disclaimer/Publisher’s Note: The statements, opinions and data contained in all publications are solely those of the individual author(s) and contributor(s) and not of MDPI and/or the editor(s). MDPI and/or the editor(s) disclaim responsibility for any injury to people or property resulting from any ideas, methods, instructions or products referred to in the content. |
© 2024 by the authors. Licensee MDPI, Basel, Switzerland. This article is an open access article distributed under the terms and conditions of the Creative Commons Attribution (CC BY) license (https://creativecommons.org/licenses/by/4.0/).
Share and Cite
Yin, Z.; Xia, Y.; Zhang, C.; Zhang, R.; Liu, D.; Liu, Y. Combined Effects of Fishing and Environment on the Growth of Larimichthys polyactis in Coastal Regions of China. Fishes 2024, 9, 367. https://doi.org/10.3390/fishes9090367
Yin Z, Xia Y, Zhang C, Zhang R, Liu D, Liu Y. Combined Effects of Fishing and Environment on the Growth of Larimichthys polyactis in Coastal Regions of China. Fishes. 2024; 9(9):367. https://doi.org/10.3390/fishes9090367
Chicago/Turabian StyleYin, Zhuo, Yun Xia, Chi Zhang, Rui Zhang, Dan Liu, and Yang Liu. 2024. "Combined Effects of Fishing and Environment on the Growth of Larimichthys polyactis in Coastal Regions of China" Fishes 9, no. 9: 367. https://doi.org/10.3390/fishes9090367
APA StyleYin, Z., Xia, Y., Zhang, C., Zhang, R., Liu, D., & Liu, Y. (2024). Combined Effects of Fishing and Environment on the Growth of Larimichthys polyactis in Coastal Regions of China. Fishes, 9(9), 367. https://doi.org/10.3390/fishes9090367

