Abstract
Given the intricate combustion process and the multitude of control parameters inherent to the high-pressure direct injection (HPDI) diesel/natural gas dual-fuel engine, achieving precise combustion control represents a significant challenge. It is imperative to develop a high-precision engine model and integrate it with advanced control algorithms to achieve an optimal combustion strategy. In this study, a system-level engine plant model with high accuracy and real-time performance was developed using a modular modeling method through the calibration of experimental data and the simplification of model calculations. In this model, the relative error of the model simulation is controlled to be less than 5%, and the real-time factor (RTF) is less than 1. The multi-stage combustion process was parameterized by performing piecewise linear fitting of the heat release rate curve, and the relationship between injection parameters and combustion parameters was established using multiple regression analysis. On this basis, a model predictive control (MPC) algorithm was designed and verified in the constructed model-in-the-loop (MiL) platform. The results demonstrate that the designed MPC algorithm can accurately track the combustion phasing CA50 and the indicated mean effective pressure (IMEP) targets with a maximum error of 0.0624° and 0.046% within 6 and 8 cycles while ensuring the stability of the control process. The MiL platform not only meets the current combustion control requirements but also provides a general basis for the development of subsequent engine multi-control strategies and cooperative control optimization.
1. Introduction
In light of the accelerated global energy transformation and the increasingly stringent environmental regulations that have emerged in recent years, the demand for energy conservation and emission reduction in a traditional internal combustion engine has become increasingly imperative [1]. The development and application of alternative fuels has gradually emerged as a prominent area of research [2,3]. Among these alternative fuels, natural gas is regarded as one of the most promising for an internal combustion engine [4] due to its abundance, low cost, and low carbon emissions [5]. Due to the high self-ignition temperature of natural gas [6], a sparking plug or a highly active fuel is typically required as an ignitor. The high-pressure direct injection (HPDI) diesel/natural gas dual-fuel engine employs a coaxial injector to achieve a dual direct injection strategy [7] of micro-ignition diesel and main injection natural gas. This dual direct injection strategy offers significant potential for optimization.
The combustion process plays a pivotal role in determining engine performance. Closed-loop combustion control enables precise regulation of the combustion process through real-time monitoring of the combustion state within the cylinder and dynamic adjustment of fuel injection parameters. This results in enhanced thermal efficiency of the engine and reduced emissions [8]. In the design phase of control algorithms, the model-based design (MBD) method has been extensively utilized due to its precise modeling capabilities for intricate systems and the benefits of expeditious iterative development [9,10]. Model-in-the-loop (MiL) represents a pivotal testing methodology within the MBD frame. It can be employed to facilitate expeditious simulation verification at the nascent stages of control strategy design [11]. In addition to curbing dependence on hardware, it furnishes a model foundation for the subsequent transition to hardware-in-the-loop (HiL) testing. The transition from MiL testing to HiL testing facilitates the extension of algorithm validation in a pure simulation environment to a testbed that incorporates real hardware. This transition enables the validation of the compatibility and stability of control algorithms on real hardware, thereby facilitating more comprehensive problem identification and optimization of control strategies. The plant model represents the core part of MiL. By meticulously simulating the actual dynamic behavior of the system, it can proffer a dependable simulation environment for the control algorithm. In recent years, a substantial body of research has been conducted on the topic of control-oriented engine combustion modeling. Irdmousa et al. [12] put forth a control-oriented data-driven linear parameter-varying (LPV) model for the prediction of the combustion phase in a reactivity-controlled compression ignition (RCCI) engine. In this model, fuel quality is employed as the scheduling variable, and CA50 is modeled as a function of three control inputs: injection timing, compression ratio, and fuel quality. It was demonstrated that the LPV model achieves accurate predictions of CA50, with an average error of less than 1°. As a result, a reliable foundation for the precise control of the combustion phase in an RCCI engine is provided by the model. Yin et al. [13] conducted an experimental study on a natural gas spark ignition engine and analyzed the correlation between the combustion phase and control parameters under different spark timing and EGR rates. Based on these findings, a prediction model for sensorless closed-loop combustion control was developed using an artificial neural network (ANN). The correlation coefficient between the ANN prediction results of CA50 and the experimental results is close to 1, indicating that the ANN model is able to predict the combustion characteristics efficiently and replace the in-cylinder pressure sensor, which provides an effective solution for low-cost closed-loop combustion control. Yamasaki et al. [14] developed a control-oriented quasi-dimensional premixed charge compression ignition (PCCI) combustion model, where the combustion process was discretized into distinct stages, including valve opening and closing, fuel injection, and ignition using fundamental thermodynamic equations. The model is capable of predicting the corresponding peak cylinder pressure and its corresponding phase based on the input fuel injection parameters with satisfactory accuracy in prediction. As testing requirements become more rigorous, it is necessary to transition from MiL to HiL testing. This requires that the plant model not only meet the requirements of high-precision prediction but also account for real-time performance during the initial construction phase [15]. This presents a significant technical challenge for the simplification of the modeling engine system.
In previous studies, closed-loop combustion control has predominantly been implemented using straightforward control methodologies, such as PID closed-loop control. However, it has significant limitations when applied to the complex control of engine combustion, as using PID in a multi-input multi-output system requires decoupled control, which makes it difficult to fully account for the interactions between control variables. Moreover, adjustments are made by PID control solely based on the current error, making it susceptible to overshoot and potentially leading to issues with combustion stability. To address the shortcomings of conventional control techniques in engine closed-loop combustion control, more sophisticated control methodologies need to be integrated. Among these, model predictive control (MPC) represents an advanced control strategy that introduces a system model to predict the system’s future behavior in real time. Control inputs are optimized within each control cycle to meet preset targets and constraints. The advantages of MPC are reflected in the following aspects: Firstly, MPC can simultaneously consider multiple control variables, effectively solving the problem of strong coupling between control variables in complex combustion systems. Furthermore, MPC enables real-time adjustment of the control input through a predictive model and rolling optimization method, thereby ensuring the stability of the system response and preventing overshoot. Additionally, MPC incorporates physical constraints into the control framework, thus guaranteeing the safety and feasibility of the control scheme, which is particularly well-suited to the precise control of complex internal combustion engine combustion systems. Michael Pamminger et al. [16] conducted a study on combustion control for a gasoline compression ignition (GCI) engine. The study proceeded to design the MPC controller by augmenting an existing GCI engine model with cycle changes and introducing a Kalman filter for state estimation. It was demonstrated that the MPC controller is capable of maintaining the brake mean effective pressure (BMEP) and CA50 at the reference values while controlling the peak cylinder pressure. Additionally, disturbance estimation is shown to effectively reduce state fluctuation and control workload. Behrouz Khoshbakht Irdmousa et al. [17] proposed a data-driven modeling approach based on kernel-typical correlation analysis (KCCA) for generating an LPV model of the combustion process in an RCCI engine. This LPV model is capable of predicting the combustion phase CA50 and the indicated mean effective pressure (IMEP) of the RCCI engine based on the fuel injection parameters. The developed LPV model was then employed in the design of an MPC for tracking the CA50 and the IMEP under different operating conditions. Validation results demonstrate that the designed MPC controller is capable of accurately tracking the combustion process with CA50, exhibiting an error of less than 1.5 CAD and an error of less than 37 kPa for IMEP. Sadaf Batool et al. [18] employed machine learning algorithms to categorize disparate heat release rate (HRR) shapes during engine combustion and developed a predictive model for MPC based on the constructed classifier. A number of machine learning methods were evaluated, with the support vector machine (SVM) identified as the most effective, achieving a classification accuracy of 92.4%. The designed MPC controller demonstrated the ability to accurately track CA50 and IMEP.
Despite recent advancements in engine closed-loop combustion control technology, precise control of the combustion process in an HPDI dual-fuel engine remains a significant challenge. This is due to the numerous control parameters and intricate combustion characteristics involved. In this context, the support of advanced control algorithms and efficient models is necessary. Nevertheless, the majority of current research in engine modeling with a control focus is concentrated on component-level models, such as those pertaining to combustion chambers, injectors, or fuel systems. While these models may satisfy local control requirements under specific conditions, they are unable to fully reflect the dynamic behavior of the engine system as a whole. The existing system-level engine modeling is frequently confronted with the challenge of model accuracy and real-time performance due to its inherent complexity. On the one hand, the high computational cost of high-precision models makes it challenging to meet real-time control requirements; on the other hand, simplified models with strong real-time performance may lack key physical properties, limiting their applicability in practical closed-loop control. These issues highlight the necessity for the collaborative development of efficient system-level models and advanced control algorithms. Consequently, there is an urgent requirement for the construction of a comprehensive MiL test platform that integrates a system-level engine model that strikes a balance between accuracy and real-time performance with advanced combustion control algorithms, with the objective of validating and optimizing engine performance.
In conclusion, this study focuses on the HPDI diesel/natural gas dual-fuel engine as the subject of investigation. The objective is to develop a system-level engine model that is both highly accurate and exhibits real-time performance, as well as to design an advanced closed-loop combustion control algorithm based on MPC. The construction of a comprehensive MiL test platform serves to initially verify the fundamental performance of the engine model and the functional validity of the control algorithm, thereby providing a reference point for the precise regulation of the combustion process of the HPDI dual-fuel engine.
2. Materials and Methods
The MiL platform, as constructed in this study, is shown on the left side of Figure 1. The platform encompasses two fundamental modules: a high-precision real-time HPDI dual-fuel engine model developed on the AVL Cruise M platform and an MPC controller designed in Matlab/Simulink R2024a. By integrating these two modules within a unified simulation framework, the platform is capable of realizing closed-loop iterative optimization of the engine combustion process. The control algorithms and engine simulation models that have been validated in the MiL platform can be further applied to the HiL testbed shown on the right side of Figure 1 to support hardware deployment and validation of control strategies.
Figure 1.
General framework of the MiL platform.
2.1. HPDI Dual-Fuel Engine Model
The HPDI dual-fuel engine model constructed in this study is based on a WP14TDI four-stroke turbocharged engine with coaxial injectors and a displacement of 13.5 L. It supports the construction of the current MiL platform and facilitates research on control strategies. Additionally, it serves as a virtual simulation environment for subsequent HiL testing. The accuracy of the simulation and the real-time performance of the engine plant model directly affect the ability of the HiL simulation platform to accurately simulate the engine’s characteristics and to respond promptly to changes in control strategies. Consequently, during the current MiL testing phase, it is essential to guarantee that the model exhibits high-precision performance and to ascertain its real-time computing capabilities in advance to ensure compliance with the real-time requirements of subsequent HiL testing. In order to satisfy the dual criteria of high accuracy and high real-time performance, this study employs the AVL Cruise M software R2023.2 to construct a zero-dimensional HPDI dual-fuel engine model. The platform supports the complete development process, from MiL to HiL, and can effectively adapt to the varying needs for simulation accuracy and simulation speed at different stages of the development process. In the modeling process, a modular design method is employed to divide the engine into multiple key sub-modules, including the intake and exhaust boundary modules, air filter, turbocharger, intercooler, intake and exhaust manifolds, and cylinder system. The parameter settings of each sub-module are based on the physical characteristics and test data of the real HPDI engine, and the accuracy and applicability of the model are ensured through a fine-grained configuration. The overall structure of the simulation model is illustrated in Figure 2. The arrows in the diagram indicate the direction of flow of gases, liquids and energy.
Figure 2.
HPDI diesel/natural gas dual-fuel engine model.
The following section presents the modeling principles of the main engine components. For a more detailed exposition of these principles, please refer to [19,20].
2.1.1. Intake and Exhaust Boundary Systems
In the engine model, the system boundary component is employed to delineate the boundary conditions of the air path, thereby establishing the external environmental parameters and fuel characteristics of the air path. At the air inlet boundary, the measured pressure and temperature are set as boundary conditions. Concurrently, the dual-fuel modeling function is enabled in the air inlet boundary component, and the physical properties of diesel and natural gas are set. These are then assigned to the two fuel tanks in the model, thus satisfying the modeling requirements of the HPDI dual-fuel engine. At the exhaust boundary, the atmospheric pressure and ambient temperature are set as the boundary conditions for the exhaust.
2.1.2. Modeling of Fluid Components Based on a Restriction Component
In the engine model, the air filter, intake throttle valve, and exhaust bypass valve are represented by means of a restriction component. The objective is to simulate the pressure drop characteristics and mass flow rate changes for the fluid passing through these submodels. Furthermore, the aftertreatment system is an extension of the engine model. In this study, only its pressure drop characteristics are considered. Consequently, the restriction component is also employed to simulate the pressure loss of the exhaust gas passing through the catalytic converter.
The restriction component is modeled based on the orifice equation, and the mass flow rate of the fluid is calculated using parameters such as the flow coefficient and orifice area [19,20]. The specific calculation formula is as follows:
where is the mass flow rate of the fluid in the throttling element, is the dynamic viscosity, is the area of the orifice, is the fluid pressure at the inlet, is the inlet gas constant, is the fluid temperature at the inlet, and is the flow function, the form of which depends on the flow state of the fluid.
Under subsonic flow conditions, the flow function is expressed as follows:
where is the gas adiabatic index and is the fluid pressure at the outlet.
When the flow reaches the sonic state, the expression for the flow function simplifies to the following:
2.1.3. Turbocharger
The primary function of the turbocharger is to utilize the energy in the exhaust gas to pressurize the intake air, thereby improving the mass flow rate of the air entering the cylinder. To accurately simulate the dynamic characteristics of the turbocharger during engine operation, the “Full Model” modeling method is employed in this study. The instantaneous velocity of the turbocharger impeller is calculated dynamically through the following momentum balance equation [20]:
In this equation, represents the turbocharger wheel speed, denotes time, is the turbocharger wheel inertia, is the power supplied by the turbine, and is the power consumed by the compressor. Equation (4) enables the model to capture the dynamic speed variation characteristics of the turbocharger impeller under different operating conditions.
2.1.4. Intercooler
In this study, the intercooler employs air cooling to dissipate heat, and the pressure loss of the airflow is calculated using a restriction element. The cooling effect is achieved through a synergistic heat exchange between the restriction element and the solid wall component. The solid wall component is employed to simulate the storage and transfer of heat by a solid wall surface. The transient thermodynamic behavior of the system is described by the following energy balance equation [20]:
where represents the mass of the solid wall, denotes the specific heat of the solid wall, denotes the temperature of the solid wall surface, and denotes the heat flux.
The convective heat transfer calculation for the intercooler is based on the differential energy balance equations for the flow element. The heat transfer law is derived from the assumption of a plug-flow reactor with an ideal axially uniform wall temperature. The heat transfer calculation equation [20] is provided below:
In the equation, is the heat transferred by convection, is the mass flow rate of the air, is the specific heat capacity of the air, is the inlet temperature of the air, is the temperature of the solid wall, is the heat transfer area, is the heat transfer coefficient, is the heat transfer multiplier, and is the target pressure drop coefficient.
2.1.5. Cylinder System
The present study employs a six-cylinder HPDI diesel/natural gas dual-fuel engine as the research object. In the context of multi-cylinder engine modeling, the dynamic coupling effect between cylinders and gas paths is of paramount importance for the accuracy and simplification of the model. Accordingly, multiplexed filling and emptying is the employed option to enhance computational efficiency while preserving the dynamic coupling attributes between the cylinder and the gas path. In this configuration, the engine’s multiple cylinders are divided into distinct cylinder groups, each of which is equipped with a master cylinder. The master cylinder provides an accurate simulation of key parameters, including intake and exhaust flow, fuel injection characteristics, and cylinder pressure, through the use of detailed physical calculations. The resulting calculations are then employed as the slave cylinders within the aforementioned group. By eliminating the necessity for repeated calculations of the slave cylinders, the multiplexed filling/emptying scheme reduces the overall calculation load of the model, thereby improving real-time performance. Meanwhile, the dynamic correction mechanism of the master cylinder calculation results guarantees the physical consistency of the model under complex operating conditions.
The single-cylinder system of this research is composed of two injectors, intake and exhaust valves, a combustion chamber, and a cylinder heat transfer subsystem, which are connected in accordance with the configuration depicted in Figure 3.
Figure 3.
Single-cylinder system.
Injector Model: A coaxial injector is a feature of the HPDI dual-fuel engine used to implement a dual direct injection strategy for diesel and natural gas. Accordingly, an alternative implementation strategy for reproducing the dual direct injection characteristics of diesel and natural gas is put forth in this study. In the alternative scheme, two independent injectors are provided. Each injector is connected to a separate fuel tank. By adjusting the injection parameters, the coordinated injection of diesel and natural gas in the combustion chamber can be achieved, providing an accurate fuel distribution and control basis for the subsequent combustion process. The mass flow rate of the direct injection injector is calculated according to the following formula:
where / is the fuel mass flow rate, is the cycle injection amount, is the engine speed, and is the stroke type.
Combustion Model: In this study, the fundamental geometric parameters of the combustion chamber are derived from the design specifications of the actual engine. The HPDI dual-fuel engine exhibits distinctive multi-stage heat release characteristics, and its intricate and variable combustion process presents a significant challenge for precise modeling. To address this issue, a triple Wiebe combustion model for the HPDI dual-fuel engine is constructed by fitting the experimental heat release rate curve using a triple Wiebe function. In comparison to the single Wiebe function and double Wiebe function, the triple Wiebe function is better suited to accurately capture the energy release characteristics of complex combustion processes. This is achieved by superimposing the characteristic curves of the three combustion stages: premixed combustion, main combustion, and tail combustion. The mathematical expression is provided in Equation (8) [21].
where / represents the instantaneous heat release rate; represents the crank angle; subscript represents the premixed combustion stage, the main combustion stage, and the tail combustion stage, respectively; is the combustion efficiency index, which is 6.908; represents the combustion proportion; represents the shape factor; represents the combustion duration; and represents the combustion start point.
Cylinder Heat Transfer Model: The heat transfer system within the engine cylinder primarily encompasses the transfer of heat between the gas within the cylinder and the cylinder head, piston, and cylinder liner. In this study, heat transfer model elements are employed to connect the combustion chamber to the solid wall elements in order to simulate the dynamic transfer of heat from the cylinder to the wall. The temperature of the wall element is dependent upon the operational state of the engine. This study employs a two-dimensional interpolation methodology based on engine speed and BMEP to ascertain the wall temperature value under the corresponding operational condition from a predefined wall temperature map, thereby providing reliable thermal boundary conditions for the cylinder system.
2.1.6. CMC (Common Model Compiler) Interface
In this study, a CMC interface module is set up to achieve signal interaction between the engine model and the MPC model. The input interface of the CMC module is primarily responsible for receiving the inlet and exhaust boundary temperature and pressure signals, engine speed signal, throttle opening signal, and fuel injection signal. The output interface encompasses the temperature and pressure signals of each subsystem, in addition to the control feedback signals CA50 and IMEP. By configuring the aforementioned interface module, the engine model and control strategy model can be integrated, thereby providing a simulation environment that supports the verification of control algorithms and the optimization of the system.
2.2. Combustion Control Based on MPC
2.2.1. MPC Principle
MPC represents an advanced control strategy based on rolling optimization. The fundamental concept is illustrated in Figure 4. In the finite prediction time domain, MPC employs the predictive model of the system to anticipate future output and solves the optimal control sequence through rolling optimization to achieve the dynamic tracking of the system output to a set reference trajectory. The MPC controller comprises three essential components: the prediction model, the rolling optimization, and the feedback correction [22].
Figure 4.
Model predictive control schematic (in accordance with [23]).
Prediction Model: The prediction model employs historical data and current information about the system to anticipate future outputs and furnish a priori data for control optimization. In this study, the state space equations [24] are utilized to construct the target prediction model, which is represented in the following discrete form:
where , , and represent the system state quantities, system control inputs, and system outputs at moment , respectively. denotes the system state quantities at moment . The state space matrices , , and are also included in this notation. At each sampling moment, the MPC generates a sequence of future outputs by estimating the system outputs in the prediction time domain through the prediction model.
where represents the prediction time domain, whereas denotes the output value at moment that has been predicted at moment .
Rolling Optimization: The objective of rolling optimization is to identify the control sequence that yields the optimal system performance within the prediction time domain, thereby ensuring that the output of the prediction system aligns with the specified reference trajectory .
In the context of tracking control problems, the cost function is typically set to minimize the sum of the squares of the discrepancies between the predicted output and the reference trajectory [23].
At each sampling moment, only the initial control quantity of the optimal sequence is applied to the plant. Thereafter, the prediction model and optimization process are updated at the subsequent moment to achieve dynamic closed-loop control.
Feedback Correction: In practical applications, the inherent uncertainty of the model and the influence of external disturbances can result in discrepancies between the predictive model and the actual system. The feedback correction mechanism serves to ensure the robustness of the MPC by utilizing the actual output of the system to correct the prediction model. In this study, feedback correction is achieved through the calculation of the discrepancy between the predicted output and the actual output and the subsequent adjustment of the predicted output.
2.2.2. Design of the MPC Algorithm
MPC Prediction Modeling: The combustion prediction model constructed in this study is control-oriented and must meet the real-time requirements. Accordingly, Wiebe function linearization is employed in this study to model the combustion process for a single operating point of the engine, thereby reducing the computational burden associated with the online solution of complex nonlinear systems.
The construction process of the MPC prediction model is shown in Figure 5.
Figure 5.
The process of constructing the MPC prediction model.
The specific construction process of the MPC prediction model and the theory for using the key methods are described below.
The general form of the Wiebe function [21] is shown in Equation (13).
where represents the combustion fraction, is the crankshaft angle, is the start of combustion, is the end of combustion, and are Wiebe parameters, and = 0.99 is taken as the end of combustion in this study, which can be substituted into the above formula to give ≈ 5.
Equation (13) is deformed to obtain the following linearized function [25]:
The shape of the linearization function is illustrated in Figure 6.
Figure 6.
Schematic diagram of the results of linearizing the heat release rate (in accordance with [25]).
By analyzing the trend of the linearized function , it can be observed that has an evident two-segmented form. The two curves represent the low-temperature exothermic stage of the pilot-ignited diesel fuel and the main exothermic stage of the main injected natural gas. The slopes of the curves indicate the combustion rates. A turning point in combustion rate is observed in each stage, which can be considered the demarcation point between premixed combustion and diffusion combustion. In consideration of the exothermic stages of diesel and natural gas, as well as the turning point of the combustion rate at each stage, it can be determined that can be divided into four segments, each of which is essentially linear. Accordingly, four line segments with varying slopes are employed to fit linearly within each segment, thereby obtaining an approximation of the linearized function , designated as [25].
In this context, the slopes of the four line segments are represented by the variables , , , and . The low-temperature exothermic starting point of the ignition diesel is represented by , the turning point of the combustion rate of the exothermic phase of the ignition diesel is represented by , the main exothermic starting point of the natural gas is represented by , and the turning point of the combustion rate of the natural gas exothermic phase is represented by . The aforementioned eight parameters determine the fitted value of the linearized function .
The MPC prediction model developed in this study primarily considers the impact of injection parameters on the combustion process. The four-dimensional injection parameters, namely the injection advance angle and , the diesel injection amount , and the natural gas injection amount , are taken as independent variables. The eight-dimensional heat release rate linearization parameters are taken as the dependent variable . The coefficient matrix is solved by using the method of multiple regression analysis, which establishes the relationship between the injection parameters and the heat release rate linearization parameter.
where represents a column vector with a value of 1.
For a given set of defined injection parameters, the corresponding eight-dimensional heat release rate linearization parameters can be obtained by substituting injection parameters into Equation (16). Substitution of the heat release rate linearization parameters into Equation (15) yields the segmented linear function , and substitution of into Equation (13) yields the cumulative heat release rate. The corresponding crank angle is defined as CA50 when the cumulative heat release rate reaches 50%. The cylinder pressure is calculated from the cumulative heat release rate, and the IMEP is obtained by integrating the reconstructed cylinder pressure curve.
Up to this point, the regression model between injection parameters and CA50 and IMEP has been systematically established. In order to further construct a prediction model applicable to MPC, this study derives the model in state-space form by means of the Euler method on this basis. The state quantity , control input , and system output of the MPC controller designed in this study are shown in the following equation:
In the formula, represents the control quantity calculated by MPC, which indicates the variation amount of the injection parameter. The initial injection parameter accumulates to obtain the injection parameter , which is then input for the engine.
Cost Function: In this study, the design of the cost function takes into account a number of factors, including the control target error, the cost of the rate of change for the control variables, and the cost of the slack variables. Among these factors, the output target error term is employed to evaluate the extent of the discrepancy between the CA50 and IMEP values and the reference value, thereby facilitating precise tracking of the target value. The control variable change rate cost is utilized to restrict the magnitude of the change in control variables, thus ensuring the smooth operation of control inputs. Additionally, the slack variable cost is applied to address the feasibility of system constraints, thereby guaranteeing the solvability of the optimization problem. The cost function is expressed as follows:
where and are the weighting coefficients of the output variables CA50 and IMEP, respectively. A larger value of makes the controller track the CA50 objective value more strictly, while a larger value of enhances the tracking of the IMEP objective value. The weighting coefficient constrains the rate of change for the control inputs, and a larger value of makes the controller more inclined to smooth the control changes but reduces the speed of the control response. acts on the relaxation variables and is used to ensure that the optimization problem is solvable, and a larger value of implies that the system more strictly satisfies the constraints. In this study, the weight coefficients of the MPC cost function are determined by simulation tuning to strike a balance between control accuracy and dynamic response speed. The variables and represent the actual state values at step k, whereas and represent the target reference values at step k. The term denotes the rate of change for the control variable, while is the slack variable. The quantity signifies the number of prediction steps.
3. Results and Discussion
3.1. Verification of Engine Model Performance
3.1.1. Validation of Engine Model Accuracy
In this study, the engine model was compiled as an FMU file and imported into the Simulink platform for the purpose of coupling the MPC model, thereby constructing a complete MiL test environment. The accuracy of the offline-calibrated engine model was validated against the universal characteristic steady-state operating condition data provided by the manufacturer. During the validation process, an automated test script was designed and applied, and the engine boundary parameters and control input parameters were provided by the experimental data MAP. The simulation time for each operating point was set to 100 s.
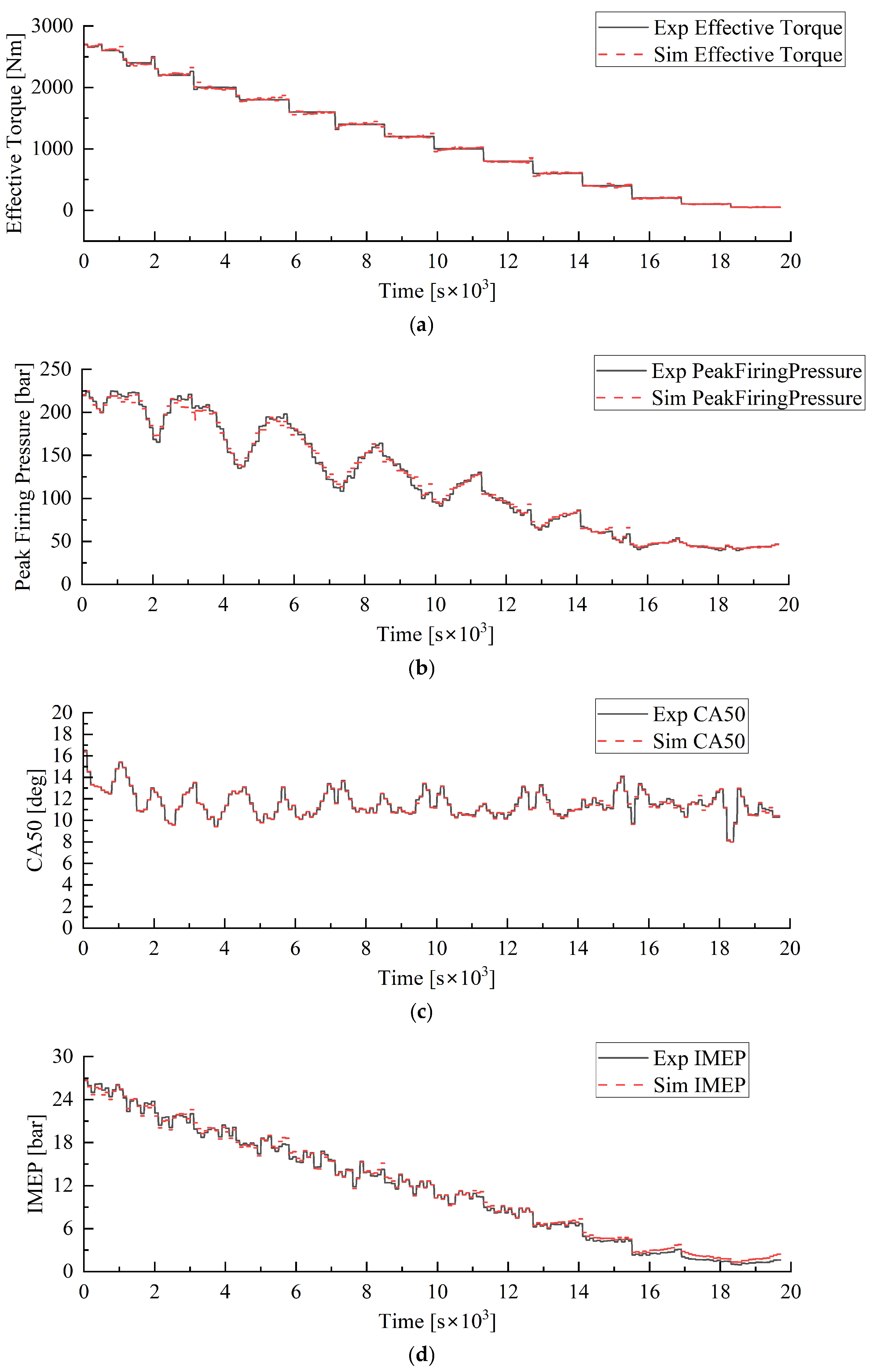
The validation process concentrated on a series of pivotal indicators that influence engine performance. These include effective torque, peak cylinder pressure, CA50, IMEP, turbine downstream pressure, and temperature. Among the aforementioned indicators, the effective torque is defined as the net torque output from the crankshaft after the gas pressure acting on the top of the piston is transmitted to the crankshaft through the connecting rods and overcomes the losses of friction and driving accessories. This is used to evaluate the model’s ability to simulate the power output characteristics. The peak cylinder pressure represents a pivotal performance metric for pressure dynamics during combustion. CA50 is utilized to evaluate the model’s precision in simulating combustion timing, IMEP serves as a measure of combustion efficiency and smoothness of the output, and turbine downstream pressure and temperature are utilized to furnish accurate boundary conditions for the construction of the subsequent post-processing model. The simulation results were compared and analyzed with experimental data, and the comparison curves of the key indicators were plotted in Figure 7.

Figure 7.
Calculation errors of the engine model: (a) calculation error of torque; (b) calculation error of peak firing pressure; (c) calculation error of CA50; (d) calculation error of IMEP; (e) calculation error of downstream turbine pressure; (f) calculation error of downstream turbine temperature.
Among the simulation errors of the model for each key index, the maximum error of effective torque is 3.642%, the maximum error of peak cylinder pressure is 4.785%, the error of CA50 is not greater than 0.749°, the maximum error of IMEP is 4.947%, and the maximum errors of post-turbine pressure and temperature are 2.312% and 4.473%, respectively. The validation results demonstrate that the model exhibits high prediction accuracy with regard to power performance and combustion characteristics. It is thus capable of meeting the simulation requirements under the steady-state conditions of the engine, thereby providing a robust foundation for the optimization and implementation of subsequent control strategies.
3.1.2. Real-Time Validation of the Engine Model
The primary objective of the MiL phase is to ascertain the functionality of the control algorithm and the fundamental behavior of the plant model. This phase does not necessitate that the plant model exhibit strict real-time performance. However, with a view to optimizing the simulation efficiency and facilitating a seamless transition to the HiL test phase, this study assessed the model’s real-time performance in advance within the MiL phase.
In this study, the real-time factor (RTF) is employed as the index for real-time assessment. The RTF is defined as the ratio of the simulation time to the actual running time. If the RTF value is always less than 1, the model is deemed to satisfy the real-time requirement. The test encompassed all steady-state operating points, thereby ensuring the computational performance of the model under a variety of typical load and speed conditions. The simulation step size was set to 1 ms, and the test result is presented in Figure 8.
Figure 8.
RTF of the engine model.
The validation results demonstrate that the RTF value of the model is consistently less than 1 across all test conditions. The maximum RTF value is 0.43, indicating that the model exhibits robust real-time computational performance and meets the requisite real-time computational capability for HiL testing. This validation provides a robust foundation for further optimization and evaluation of the control strategy in the subsequent HiL test.
3.2. Validation of MPC Prediction Model Accuracy
3.2.1. Results of Heat Release Rate Linearization
By substituting the experimental cumulative heat release rate and the Wiebe parameters and into Equation (14), the curve for the heat release rate linearization process was obtained, as illustrated by the black solid curve in Figure 9. It is important to note that the value of the Wiebe parameter affects the shape of the linearized function . When is larger, the combustion segmentation characteristics are more significant, which facilitates the subsequent segmentation linear fitting. However, given that the combustion process is dominated by the main exothermic phase of the main injection of natural gas in an HPDI dual-fuel engine, an excessive value for the Wiebe parameter may result in a reduction in the overall accuracy of the fitting. Consequently, following an analysis of the experimental data, the value of the Wiebe parameter was determined to be 5, with this figure taking into account the segmented characteristics of the combustion process and the desired level of calculation accuracy.
Figure 9.
Results of the linearization of the heat release rate and piecewise linear fitting.
The aforementioned results demonstrate that the linearized curve of the heat release rate exhibits pronounced segmental characteristics, thereby providing a robust foundation for subsequent segmental linear fitting.
3.2.2. Results of the Piecewise Linear Fitting
Following the linearization of the heat release rate, the combustion process was subjected to further parameterization through piecewise linear fitting. During the fitting process, the fmincon function in MATLAB was employed to optimize the eight-dimensional fitting parameters , , , , , , , and of the piecewise linear function , with the objective of minimizing the discrepancy between the fitted curve and the linearized curve . The result of the piecewise linear fitting was illustrated in Figure 9 as a red dashed curve. As can be observed in the figure, the piecewise linear model is better able to capture the multi-stage characteristics of the combustion process, and the dividing points and slopes of each stage are found to reasonably reflect the combustion characteristics of the low-temperature exothermic and main exothermic stages.
3.2.3. Results of Multiple Regression Analysis
In this study, a multiple regression analysis was conducted using the MATLAB platform. The four-dimensional fuel injection parameters , , , and were employed as the independent variables, while the eight-dimensional heat release rate linearization parameters , , , , , , , and served as the dependent variables. The solution of the regression coefficient matrix was employed to construct a regression model between the fuel injection parameters and combustion parameters. By substituting the injection parameters of the target operating point into the regression model, the corresponding eight heat release rate linearization parameters were obtained, and the cumulative heat release rate curve was reconstructed using these parameters. Based on the aforementioned reconstruction of the cumulative heat release rate, the predicted values of CA50 and IMEP can be calculated. A comparison of the predicted and experimental values of CA50 and IMEP is presented in Figure 10.
Figure 10.
Forecasting errors for CA50 and IMEP.
The findings of the research demonstrate that the established regression model of injection control parameters and combustion characteristics exhibits a high degree of predictive accuracy. The maximum error associated with CA50 is 0.879°, while the maximum error pertaining to IMEP is 4.332%. By further transforming this model into a predictive model in state-space form, it is possible to generate highly efficient and accurate prediction results for MPC, thereby ensuring that the control system is capable of attaining optimal control performance.
3.3. Functional Verification of the MPC Algorithm
In order to ascertain the efficacy of the MPC algorithm at the steady-state operating point, the control algorithm was subjected to testing and evaluation on the MiL platform as part of this study. The reference value adjustment scheme involves a step change in CA50 and IMEP, with a step change in CA50 followed by a step change in IMEP. The test results for the example operating point of 1400 rpm and 100% load are presented in Figure 11.
Figure 11.
Tracing control effect based on the MPC controller: (a) combustion parameter follow-up effect; (b) response of the injection control parameters.
The experimental results demonstrate that the MPC algorithm is capable of dynamically adjusting the fuel injection parameters based on the real-time feedback of the engine state parameters, thereby achieving precise tracking of the target value. In particular, the maximum tracking errors of CA50 and IMEP are 0.0624° and 0.046%, respectively. The control algorithm completed dynamic adjustment and reached a stable state within six and eight cycles, respectively. This result corroborates the assertion that the MPC algorithm exhibits high control accuracy, response speed, and dynamic stability at the target operating point, thereby fulfilling essential performance criteria such as engine combustion timing and output stability. Furthermore, the analysis of the control process indicates that when the reference value of CA50 is altered, the injection and injection advance angles undergo a notable adjustment, whereas the injection and injection quality remain largely unaltered. This suggests that CA50 is highly sensitive to the injection and injection advance angles. Conversely, when IMEP is modified, the adjustment of the injection and injection quality assumes a primary role, indicating that IMEP is predominantly influenced by the injection and injection quality.
4. Conclusions
In this study, a MiL test environment suitable for controlling the combustion of an HPDI diesel/natural gas dual-fuel engine is successfully constructed by combining a self-developed high-precision real-time engine simulation model and an elaborate MPC controller. The developed engine model is a system-level high-precision simulation model that facilitates extended research on the control target. The principal findings of the research are presented below:
- A high-precision system-level simulation model of an HPDI dual-fuel engine was constructed using modular modeling and a system-level calibration method. The model was simplified through the implementation of a zero-dimensional simulation of the gas circuit and a multiplexed filling and emptying method for the cylinder module. This ensures that the model exhibits optimal real-time performance with an RTF < 1. The high-precision real-time simulation model not only provides a reliable simulation environment for the MiL test of the current combustion control algorithm but also establishes a foundation for the seamless transition from MiL to HiL.
- The experimental heat release rate was processed using a linearized Wiebe function, and a piecewise linear fitting method was employed to parameterize the combustion process. A mathematical relationship between the fuel injection parameters and the Wiebe linearization parameters was derived using multiple regression analysis. The maximum error predicted by the regression model for CA50 was 0.879°, and the maximum error for IMEP was 4.332%. This provided an accurate model basis for the construction of the MPC algorithm.
- The multi-stage linearized heat release rate model was coupled with the MPC algorithm for closed-loop combustion control. The performance of this algorithm was evaluated using the MiL platform. The results demonstrate that the MPC algorithm can achieve tracking control of CA50 and IMEP within six and eight cycles, respectively, with maximum tracking errors of 0.0624° and 0.046%, respectively. The control algorithm exhibits rapid regulation capability and excellent steady-state tracking performance.
Despite the progress made in this study, further exploration and optimization are necessary to address the following issues. Firstly, the model validation has been conducted only for steady-state conditions to date, and the validation will be extended to transient conditions in the future to enhance the model’s practical applicability. Secondly, the weight coefficients of the current MPC cost function are derived through simulation tuning, which is a manual method that relies on experience. Consequently, future research will consider the introduction of global optimization methods, such as particle swarm optimization and genetic algorithms, to automatically adjust the weight coefficients. This will allow for the optimal performance of the control system under various working conditions and further enhance the automation and adaptability of the system.
Author Contributions
Conceptualization, W.Y. and F.Z.; methodology, X.S. and H.L. (Hongyu Liu); software, X.S.; validation, X.S. and H.L. (Hongyu Liu); formal analysis, X.S.; investigation, X.S., H.L. (Hongyu Liu), W.C. and Q.W.; resources, W.Y.; data curation, X.S., H.L. (Hongyu Liu), H.L. (He Li) and W.C.; writing—original draft preparation, X.S. and F.Z.; writing—review and editing, X.S. and F.Z.; visualization, X.S. and Q.W.; supervision, W.Y. and F.Z.; project administration, W.Y. and F.Z.; funding acquisition, W.Y. and F.Z. All authors have read and agreed to the published version of the manuscript.
Funding
This research was funded by the Shandong Provincial Natural Science Foundation (No. 2022HWYQ-061) and the Open Funds of State Key Laboratory of Engines and Powertrain System (No. K2023-075).
Data Availability Statement
No new data were created or analyzed in this study. Data sharing is not applicable to this article.
Acknowledgments
The authors extend their appreciation to AVL List GmbH for their invaluable contribution of both software and hardware resources, which were essential for the development of the system.
Conflicts of Interest
The authors declare that the research was conducted in the absence of any commercial or financial relationships that could be construed as a potential conflict of interest.
References
- Zhao, F.; Chen, K.; Hao, H.; Liu, Z. Challenges, Potential and Opportunities for Internal Combustion Engines in China. Sustainability 2020, 12, 4955. [Google Scholar] [CrossRef]
- Mao, G.; Liu, X.; Du, H.; Zuo, J.; Wang, L. Way Forward for Alternative Energy Research: A Bibliometric Analysis during 1994–2013. Renew. Sustain. Energy Rev. 2015, 48, 276–286. [Google Scholar] [CrossRef]
- Sadeq, A.M. Combustion Advancements: From Molecules to Future Challenges; Independently Published: Chicago, IL, USA, 2023. [Google Scholar]
- Bae, C.; Kim, J. Alternative Fuels for Internal Combustion Engines. Proc. Combust. Inst. 2017, 36, 3389–3413. [Google Scholar] [CrossRef]
- Chala, G.T.; Abd Aziz, A.R.; Hagos, F.Y. Natural Gas Engine Technologies: Challenges and Energy Sustainability Issue. Energies 2018, 11, 2934. [Google Scholar] [CrossRef]
- Mazacioglu, A.; Gross, M.C.; Kern, J.; Sick, V. Infrared Borescopic Characterization of Corona and Conventional Ignition for Lean/Dilute Combustion in Heavy-Duty Natural-Gas Engines. Proc. Combust. Inst. 2019, 37, 4993–5001. [Google Scholar] [CrossRef]
- Wei, D.; Dong, Q.; Ju, C.; Wang, X.; Yang, X. Simultaneous Measurement and Analysis of Gas Needle Lift and Injected Rate for HPDI Fuel Injector. Measurement 2024, 231, 114493. [Google Scholar] [CrossRef]
- Mohan, B.; Yang, W.; Chou, S. kiang Fuel Injection Strategies for Performance Improvement and Emissions Reduction in Compression Ignition Engines—A Review. Renew. Sustain. Energy Rev. 2013, 28, 664–676. [Google Scholar] [CrossRef]
- Xiao, T.; He, A.; Pei, X.; Pan, M.; Wang, X.; Hu, Z. Research on Hydrogen-Fueled Turbojet Engine Control Method Based on Model-Based Design. Processes 2023, 11, 3268. [Google Scholar] [CrossRef]
- Su, P.; Chang, G.; Li, Y.; Feng, X. Application of Model-Based Design in the Development of Diesel Engine Electronic Control System. In Proceedings of the 2024 IEEE 4th International Conference on Electronic Technology, Communication and Information (ICETCI), Changchun, China, 24–26 May 2024; pp. 272–276. [Google Scholar]
- Neme, J.; Santos, M.; Teixeira, E. Model Based Design for Automobile External Lighting Systems. In Proceedings of the 24th SAE Brasil International Congress and Display, Sao Paulo, Brazil, 22–24 September 2015. SAE Technical Paper 2015-36-0374. [Google Scholar] [CrossRef]
- Irdmousa, B.K.; Rizvi, S.Z.; Veini, J.M.; Nabert, J.D.; Shahbakhti, M. Data-Driven Modeling and Predictive Control of Combustion Phasing for RCCI Engines. In Proceedings of the 2019 American Control Conference (ACC), Philadelphia, PA, USA, 10–12 July 2019; pp. 1617–1622. [Google Scholar]
- Yin, X.; Li, Z.; Yang, B.; Sun, T.; Wang, Y.; Zeng, K. Experimental study of the combustion characteristics prediction model for a sensor-less closed-loop control in a heavy-duty NG engine. Fuel 2021, 300, 120945. [Google Scholar] [CrossRef]
- Yamasaki, Y.; Ikemura, R.; Takahashi, M.; Shimizu, F.; Kaneko, S. Simple Combustion Model for a Diesel Engine with Multiple Fuel Injections. Int. J. Engine Res. 2019, 20, 167–180. [Google Scholar] [CrossRef]
- Mihalič, F.; Truntič, M.; Hren, A. Hardware-in-the-Loop Simulations: A Historical Overview of Engineering Challenges. Electronics 2022, 11, 2462. [Google Scholar] [CrossRef]
- Pamminger, M.; Hall, C.M.; Wallner, T. Model Predictive Combustion Control of a Gasoline Compression Ignition Engine. Control. Eng. Pract. 2022, 119, 104977. [Google Scholar] [CrossRef]
- Irdmousa, B.K.; Naber, J.D.; Velni, J.M.; Borhan, H.; Shahbakhti, M. Input-Output Data-Driven Modeling and MIMO Predictive Control of an RCCI Engine Combustion. IFAC PapersOnLine 2021, 54, 406–411. [Google Scholar] [CrossRef]
- Batool, S.; Naber, J.D.; Shahbakhti, M. Machine Learning Approaches for Identification of Heat Release Shapes in a Low Temperature Combustion Engine for Control Applications. Control. Eng. Pract. 2024, 144, 105838. [Google Scholar] [CrossRef]
- Heywood, J.B. Combustion engine fundamentals. 1ª Edição. Estados Unidos 1988, 25, 1117–1128. [Google Scholar]
- Isermann, R. Engine Modeling and Control; Springers: Berlin/Heidelberg, Germany, 2014; p. 1017. [Google Scholar]
- Chen, L.; Xu, Z.; Liu, S.; Liu, L. Dynamic modeling of a free-piston engine based on combustion parameters prediction. Energy 2022, 249, 123792. [Google Scholar] [CrossRef]
- Chen, J.; Xu, G.; Zhou, Z. Data-driven learning-based Model Predictive Control for energy-intensive systems. Adv. Eng. Inform. 2023, 58, 102208. [Google Scholar] [CrossRef]
- Schwenzer, M.; Ay, M.; Bergs, T.; Abel, D. Review on model predictive control: An engineering perspective. Int. J. Adv. Manuf. Technol. 2021, 117, 1327–1349. [Google Scholar] [CrossRef]
- Raut, A.; Irdmousa, B.K.; Shahbakhti, M. Dynamic modeling and model predictive control of an RCCI engine. Control. Eng. Pract. 2018, 81, 129–144. [Google Scholar] [CrossRef]
- Hu, J.; Chen, Z.; Yao, Y.; Shi, L.; Deng, K. Study on control-oriented emission predictions of PPCI diesel engine with two-stage fuel injection. Fuel 2022, 320, 123984. [Google Scholar] [CrossRef]
Disclaimer/Publisher’s Note: The statements, opinions and data contained in all publications are solely those of the individual author(s) and contributor(s) and not of MDPI and/or the editor(s). MDPI and/or the editor(s) disclaim responsibility for any injury to people or property resulting from any ideas, methods, instructions or products referred to in the content. |
© 2025 by the authors. Licensee MDPI, Basel, Switzerland. This article is an open access article distributed under the terms and conditions of the Creative Commons Attribution (CC BY) license (https://creativecommons.org/licenses/by/4.0/).











