Investigation of Critical Aspects of Roughness Assessment for Airfield Pavements
Abstract
1. Introduction
2. Evaluation Methods
2.1. Roughness Indices
2.1.1. Boeing Bump Index (BBI)
- (a)
- For a selected sample point in the profile, the bump height and bump length for all straightedge lengths is computed;
- (b)
- For each straightedge length, the limit of the acceptable bump height (upper limit of the acceptable zone) for the computed bump length is computed;
- (c)
- For each straightedge length, the ratio (measured bump height)/(limit of acceptable bump height) is computed;
- (d)
- Steps (a) through (c) are repeated for all sample points in the profile.
2.1.2. International Roughness Index (IRI)
2.1.3. Straightedge (SE)
2.1.4. Root Mean Square Vertical Acceleration (RMSVA)
2.2. Research Methodology
3. Results and Discussion
3.1. Estimation of IRI, BBI, SE and RMSVA CP
3.2. Comparative Analysis of BBI, IRI, SE
3.3. Comparison Between RMSVA CP and RMSVA CG
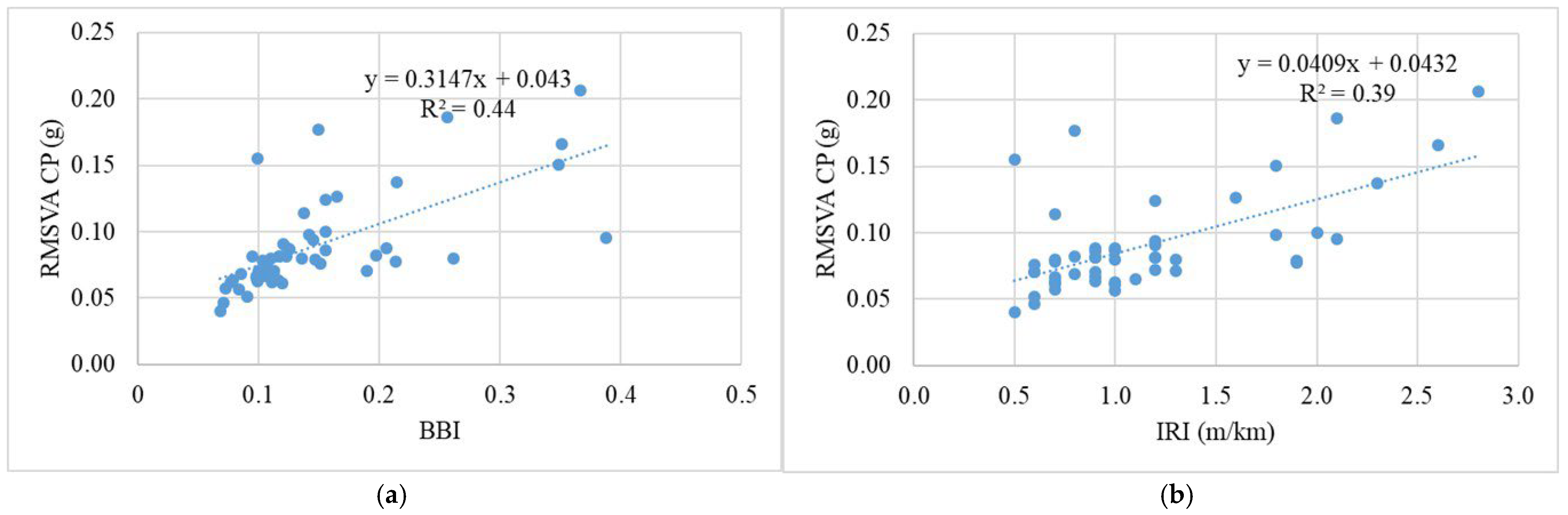
3.4. Comparative Analysis of BBI and IRI with RMSVP CP
4. Conclusions
Author Contributions
Funding
Data Availability Statement
Conflicts of Interest
References
- Jackman, F. Nearly half of commercial jet accidents occur during final approach landing. AeroSafety World 2014, 9, 45–47. [Google Scholar]
- SKYbrary. Approach and Landing Accidents (ALA). Available online: https://skybrary.aero/articles/approach-and-landing-accidents-ala (accessed on 10 September 2024).
- Airbus. Accidents by Flight Phase. Available online: https://accidentstats.airbus.com/accidents-by-flight-phase/ (accessed on 10 September 2024).
- Naseri, H.; Jahanbakhsh, H.; Foomajd, A.; Galustanian, N.; Karimi, M.; Waygood, E. A newly developed hybrid method on pavement maintenance and rehabilitation optimization applying Whale Optimization Algorithm and random forest regression. Int. J. Pavement Eng. 2022, 24, 2147672. [Google Scholar] [CrossRef]
- Shokoohi, M.; Golroo, A.; Ardeshir, A. Pavement maintenance planning using a risk-based approach and fault tree analysis. Int. J. Pavement Eng. 2023, 24, 2276160. [Google Scholar] [CrossRef]
- Llopis-Castelló, D.; García-Segura, T.; Montalbán-Domingo, L.; Sanz-Benlloch, A.; Pellicer, E. Influence of Pavement Structure, Traffic, and Weather on Urban Flexible Pavement Deterioration. Sustainability 2020, 12, 9717. [Google Scholar] [CrossRef]
- Bhandari, S.; Luo, X.; Wang, F. Understanding the effects of structural factors and traffic loading on flexible pavement performance. Int. J. Transp. Sci. Technol. 2023, 12, 258–272. [Google Scholar] [CrossRef]
- FAA (Federal Aviation Administration). Guidelines and Procedures for Measuring Airfield Pavement Roughness; Advisory Circular AC 150/5380-9; U.S. Department of Transportation: Washington, DC, USA, 2009.
- Durán, J.B.C.; Fernandes Júnior, J.L. Airport pavement roughness evaluation based on cockpit and center of gravity vertical accelerations. Transportes 2020, 28, 147–159. [Google Scholar] [CrossRef]
- Merighi, J.; Uddin, W. Influence of airfield pavement roughness and ponding on gear life and safety of commercial aircraft. In Proceedings of the 10th International Conference on the Bearing Capacity of Roads, Railways and Airfields (BCRRA), Athens, Greece, 28–30 June 2017; pp. 1773–1781. [Google Scholar] [CrossRef]
- Loprencipe, G.; Zoccali, P. Comparison of methods for evaluating airport pavement roughness. Int. J. Pavement Eng. 2017, 20, 782–791. [Google Scholar] [CrossRef]
- Song, I.; Hayhoe, G. Airport Pavement Roughness Index Relationships Using the Federal Aviation Administration (FAA) Profiling System. In Proceedings of the Airfield and Highway Pavements Specialty Conference 2006, Atlanta, GA, USA, 30 April–3 May 2006; pp. 741–752. [Google Scholar] [CrossRef][Green Version]
- Emery, S.; Hefer, A.; Horak, E. Roughness of Runways and Significance of Appropriate Specifications and Measurement. In Proceedings of the Conference on Asphalt Pavements for Southern Africa, Sun City, South Africa, 16–19 August 2015. [Google Scholar]
- Advisory Circular (AC) No. 302–023; Measurement and Evaluation of Runway Roughness. Transport Canada: Ottawa, Canada, 2016.
- De Luca, M. Evaluation of Runway Bearing Capacity using International Roughness Index. Transp. Res. Procedia 2020, 45, 119–126. [Google Scholar] [CrossRef]
- Di Graziano, A.; Ragusa, E.; Marchetta, V.; Palumbo, A. Analysis of an Airport Pavement Management System during the Implementation Phase. KSCE J. Civ. Eng. 2021, 25, 1424–1432. [Google Scholar] [CrossRef]
- Major, W.L.; Matthew, J.K.; Hubbard, S.M.; Bullock, D.M. Evaluation of Opportunities for Connected Aircraft Data to Identify Pavement Roughness at Airports. Coll. Aviat. Rev. Int. 2018, 36, 18–32. Available online: http://ojs.library.okstate.edu/osu/index.php/CARI/article/view/7411 (accessed on 10 September 2024). [CrossRef]
- Di Mascio, P.; Moretti, L. Implementation of a pavement management system for maintenance and rehabilitation of airport surfaces. Case Stud. Constr. Mater. 2019, 11, e00251. [Google Scholar] [CrossRef]
- Chen, Y.; Chou, C. Assessment of Aircraft’s Vertical Responses to Develop the Roughness Evaluation Index for Airport Pavement. In Proceedings of the FAA Worldwide Airport Technology Transfer Conference, Atlantic City, NJ, USA, 18–21 April 2004. [Google Scholar]
- Tian, Y.; Liu, S.; Liu, L.; Xiang, P. Optimization of International Roughness Index Model Parameters for Sustainable Runway. Sustainability 2021, 13, 2184. [Google Scholar] [CrossRef]
- ICAO. International Standards and Recommended Practices, Aerodromes, Annex 14 to the Convention on Civil Aviation. In Aerodrome Design and Operations, 3rd ed.; International Civil Aviation Organization: Montréal, Canada, 2004; Volume 1. [Google Scholar]
- Sayers, M.W.; Karamihas, S.M. The Little Book of Profiling: Basic Information about Measuring and Interpreting Road Profiles; Regent of the University of Michigan: New York, NY, USA, 1998. [Google Scholar]
- Lenkutis, T.; Čerškus, A.; Šešok, N.; Dzedzickis, A.; Bučinskas, V. Road Surface Profile Synthesis: Assessment of Suitability for Simulation. Symmetry 2021, 13, 68. [Google Scholar] [CrossRef]
- ASTM E867-06 (2020); Standard Terminology Relating to Vehicle-Pavement Systems. American Society for Testing and Materials International: West Conshohocken, PA, USA, 2020.
- BCAG (Boeing Commercial Airplane Group). Runway Roughness Measurement Quantification and Application—The Boeing Method; Document: D6-81746; Airport Technology Organization: Seattle, DC, USA, 2002. [Google Scholar]
- Gillespie, T.D.; Sayers, M.W.; Segel, L. Calibration of Response-Type Road Roughness Measuring Systems; Report 228; National Cooperative Highway Research Program: Washington, DC, USA, 1980. [Google Scholar]
- Sayers, M.W.; Karamihas, M. Interpretation of Road Roughness Profile Data; Final Report; Federal Highway Administration: Washington, DC, USA, 1996. [Google Scholar]
- Sayers, M.W. On the Calculation of IRI from Longitudinal Road Profile. Transp. Res. Rec. 1501 1995, 1–12. [Google Scholar]
- Sayers, M.; Gillespie, T.; Queiroz, C. WTP-45: The International Road Roughness Experiment. Establishing Correlation and a Calibration Standard for Measurements; The World Bank: Washington, DC, USA, 1986. [Google Scholar]
- Gharieb, M.; Nishikawa, T.; Nakamura, S.; Thepvongsa, K. Modeling of pavement roughness utilizing artificial neural network approach for Laos national road network. J. Civ. Eng. Manag. 2022, 28, 261–277. [Google Scholar] [CrossRef]
- van Gelder, P.A.; Stet, M.J.A. Evaluation Methods for Longitudinal Evenness of Runway Pavements; Report NLR-TP-2009-190; National Aerospace Laboratory NLR: Amsterdam, The Netherlands, 2009. [Google Scholar]
- Dynatest. 5051 Mark III/IV, Road Surface Profiler, Test Systems, Owner’s Manual version 2.3.4; Dynatest: Ballerup, Denmark, 2007. [Google Scholar]
- ASTM E950/E950M-22; Standard Test Method for Measuring the Longitudinal Profile of Traveled Surfaces. American Society for Testing and Materials International: West Conshohocken, PA, USA, 2022.
- EN 13036-5:2019; Road and Airfield Surface Characteristics. Test Methods. Determination of Longitudinal Unevenness Indices. European Committee for Standardization: Brussels, Belgium, 2019.
- Gerardi, Τ.; Gerardi, M. Method to Identify and Quantify Multiple Event Roughness; Report DOT/FAA/TC-23/09; Federal Aviation Administration, William J. Hughes Technical Center, Aviation Research Division, Atlantic City International Airport: Egg Harbor Township, NJ, USA, 2023. [Google Scholar]
- Zhao, T.; Yang, L.; Xie, Y.; Ding, M.; Tomizuka, M.; Wei, Y. RoadBEV: Road Surface Reconstruction in Bird’s Eye View. IEEE Transac. Intell. Transp. Syst. 2024, 25, 19088–19099. [Google Scholar] [CrossRef]
- Zhao, T.; Xie, Y.; Ding, M.; Yang, L.; Tomizuka, M.; Wei, Y. A road surface reconstruction dataset for autonomous driving. Sci. Data 2024, 11, 459. [Google Scholar] [CrossRef] [PubMed]



















| Index | Index (Path) | | tstat | | tcritical | Null Hypothesis |
|---|---|---|---|---|
| BBI | BBI (left)–BBI (center) | 0.201 | 2.009 | Accepted |
| BBI (center)–BBI (right) | 2.171 | 2.009 | Rejected | |
| BBI (left)–BBI (right) | 2.122 | 2.009 | Rejected | |
| IRI | IRI (left)–IRI (center) | 2.226 | 2.009 | Rejected |
| IRI (center)–IRI (right) | 0.719 | 2.009 | Accepted | |
| IRI (left)–IRI (right) | 2.380 | 2.009 | Rejected | |
| SE | SE (left)–SE (center) | 2.958 | 2.009 | Rejected |
| SE (center)–SE (right) | 3.215 | 2.009 | Rejected | |
| SE (left)–SE (right) | 0.939 | 2.009 | Accepted | |
| RMSVA CP | RMSVA CP (left)–RMSVA CP (center) | 0.240 | 2.009 | Accepted |
| RMSVA CP (center)–RMSVA CP (right) | 2.412 | 2.009 | Rejected | |
| RMSVA CP (left)–RMSVA CP (right) | 2.667 | 2.009 | Rejected |
| SE-IRI | SE-BBI | IRI-BBI | |
|---|---|---|---|
| Left path | 0.92 | 0.43 | 0.53 |
| Center path | 0.83 | 0.18 | 0.37 |
| Right path | 0.77 | 0.10 | 0.23 |
| All paths | 0.84 | 0.19 | 0.35 |
| BBI-RMSVA CP | IRI-RMSVA CP | |
|---|---|---|
| Left path | 0.44 | 0.39 |
| Center path | 0.54 | 0.52 |
| Right path | 0.47 | 0.18 |
| All paths | 0.48 | 0.36 |
Disclaimer/Publisher’s Note: The statements, opinions and data contained in all publications are solely those of the individual author(s) and contributor(s) and not of MDPI and/or the editor(s). MDPI and/or the editor(s) disclaim responsibility for any injury to people or property resulting from any ideas, methods, instructions or products referred to in the content. |
© 2024 by the authors. Licensee MDPI, Basel, Switzerland. This article is an open access article distributed under the terms and conditions of the Creative Commons Attribution (CC BY) license (https://creativecommons.org/licenses/by/4.0/).
Share and Cite
Armeni, A.; Plati, C.; Loizos, A. Investigation of Critical Aspects of Roughness Assessment for Airfield Pavements. Infrastructures 2024, 9, 203. https://doi.org/10.3390/infrastructures9110203
Armeni A, Plati C, Loizos A. Investigation of Critical Aspects of Roughness Assessment for Airfield Pavements. Infrastructures. 2024; 9(11):203. https://doi.org/10.3390/infrastructures9110203
Chicago/Turabian StyleArmeni, Angeliki, Christina Plati, and Andreas Loizos. 2024. "Investigation of Critical Aspects of Roughness Assessment for Airfield Pavements" Infrastructures 9, no. 11: 203. https://doi.org/10.3390/infrastructures9110203
APA StyleArmeni, A., Plati, C., & Loizos, A. (2024). Investigation of Critical Aspects of Roughness Assessment for Airfield Pavements. Infrastructures, 9(11), 203. https://doi.org/10.3390/infrastructures9110203

