Combining Multispectral Imaging and XRF Analysis to Examine San Patroba predica ai fedeli di Pozzuoli by Massimo Stanzione
Abstract
:1. Introduction
2. Materials and Methods
2.1. San Patroba predica al popolo di Pozzuoli
2.2. Multispectral Imaging
2.3. XRF Analysis
3. Results
3.1. Multispectral Imaging
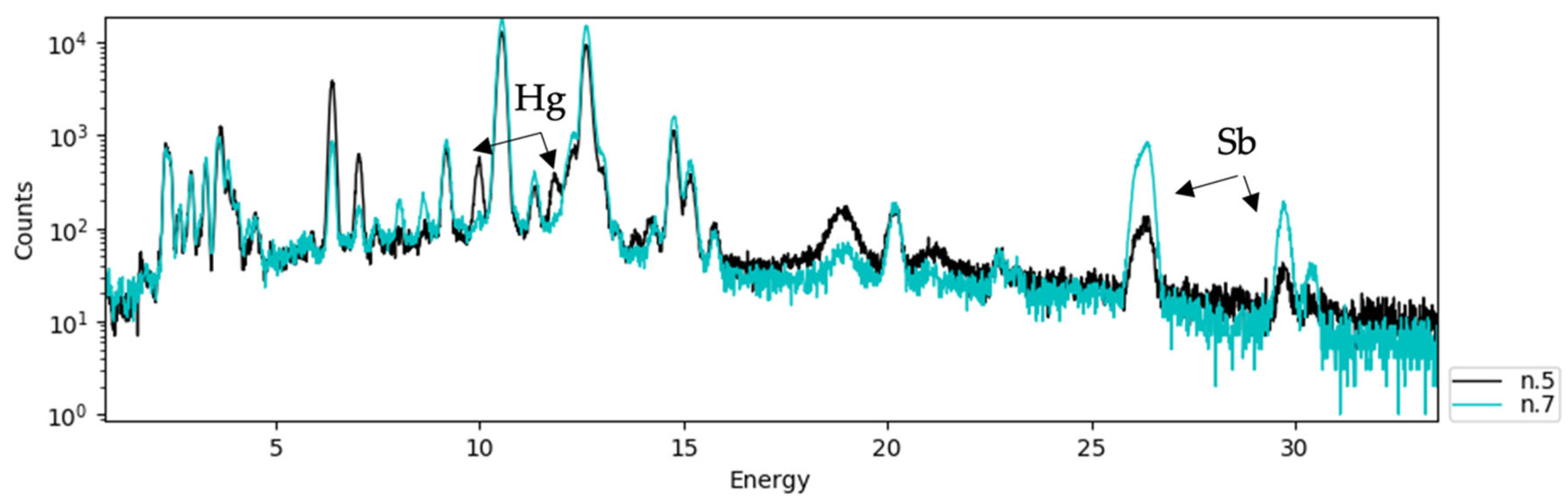
3.2. XRF Analysis
4. Discussion
5. Conclusions
Supplementary Materials
Author Contributions
Funding
Data Availability Statement
Acknowledgments
Conflicts of Interest
References
- De Dominici, B. Vite de’ Pittori, Scultori ed Architetti Napoletani; Forni Editore: Bologna, Italy, 2014; Volume 3, pp. 44–69. [Google Scholar]
- Causa, R. La pittura del Seicento a Napoli dal naturalismo al Barocco. In Storia di Napoli; Società Editrice Storia di Napoli: Napoli, Italy, 1972; Volume 5, pp. 94–95. [Google Scholar]
- Causa, S. La Strategia dell’Attenzione. Pittori a Napoli nel primo Seicento; Dante & Descartes: Napoli, Italy, 2007. [Google Scholar]
- de Castris, P.L. Civiltà del Seicento a Napoli; Electa: Napoli, Italy, 1984; Volume I, pp. 177–179, 473–485. [Google Scholar]
- Schütze, S.; Stanzioni, M.; Willette, M. Massimo Stanzione: L’opera Completa; Electa: Napoli, Italy, 1992. [Google Scholar]
- Spinosa, N. Pittura del Seicento a Napoli da Caravaggio a Massimo Stanzione; Artem: Napoli, Italy, 2010; pp. 15–66. [Google Scholar]
- Causa, S. Il ventriloquo del Domenichino. Massimo Stanzione dalla Cappella del Tesoro all’Oratorio della Concezione. In San Gennaro Patrono Delle Arti. Conversazioni in Cappella; Arte’m: Napoli, Italy, 2016; pp. 109–152. [Google Scholar]
- Forgione, G. Domenichino in conflitto. Una rilettura “per li rami” degli anni napoletani. In San Gennaro Patrono Delle Arti. Conversazioni in Cappella 2015; Causa S.,Artem: Napoli, Italy, 2015; pp. 32–58. [Google Scholar]
- Schleier, E. Giovanni Lanfranco. Un pittore barocco tra Parma, Roma e Napoli; Electa: Milano, Italy, 2002. [Google Scholar]
- Ambrasi, D.; D’Ambrosio, A. La Diocesi ei Vescovi di Pozzuoli:” Ecclesia Sancti Proculi Puteolani Episcopatus; Ufficio Pastorale Diocesano: Pozzuoli, Italy, 1990; pp. 284–287. [Google Scholar]
- Vallejo Penedo, J. Fray Martín de León y Cárdenas, OSA, Obispo de Pozzuoli y Arzobispo de Palermo (1584–1655); Revista Agustiniana: Madrid, Spain, 2001. [Google Scholar]
- Mauro, I. Il ruolo dei vescovi delle diocesi di regio patronato tra Spagna e Italia: Due casi a confronto: Martín de León y Cárdenas e Giovan Battista Visco (Veschi). In Circulations artistiques dans la Courone d’Aragon: Le Rôle des Chapitres Cathédraux (XVIe-XVIIIe siècles); Presses Universitaires de Perpignan: Perpignan, France, 2014; pp. 111–130. [Google Scholar]
- Pastorelli, R. Percorsi di storia artistica. In Il Duomo di Pozzuoli. Percorsi d’arte; Middione, R., Ed.; Artem: Napoli, Italy, 2010; pp. 25–30. [Google Scholar]
- Baldassari, F.; Beatrice, M. Artemisia Gentileschi e il Suo Tempo; Skira: Milano, Italy, 2016; pp. 238–239. [Google Scholar]
- Barker, S.; Cavizzini, P.; Cropper, E.; Keith, L.; Solinas, F.; Whitlum-Cooper, F. Artemisia; National Gallery Company: London, UK, 2020; pp. 204–206. [Google Scholar]
- D’Ambrosio, A. Il Duomo di Pozzuoli: Storia e Documenti Inediti; D’Oriano: Pozzuoli, Italy, 1973. [Google Scholar]
- Kawai, M. Un’ipotesi per la Ricostruzione Iconografica del Coro del Duomo di Pozzuoli del XVII Secolo. In Proculus; Rivista della Diocesi di Pozzuoli: Pozzuoli, Italy, 2014; pp. 229–256. [Google Scholar]
- Dalbono, C.T. Nuova Guida di Napoli e Dintorni: (Sistema Misto); Ant. Morano: Napoli, Italy, 1876. [Google Scholar]
- Scialla, E.; Brocchieri, J.; Sabbarese, C. Comparison of different methodologies for estimating gold thickness in multilayer samples using XRF spectra. Appl. Rad. Isot. 2023, 191, 110517. [Google Scholar] [CrossRef]
- Jones, C.; Duffy, C.; Gibson, A.; Terras, M. Understanding multispectral imaging of cultural heritage: Determining best practice in MSI analysis of historical artefacts. J. Cult. Herit. 2020, 45, 339–350. [Google Scholar] [CrossRef]
- Cosentino, A. Identification of pigments by multispectral imaging; a flowchart method. Herit. Sci. 2014, 2, 8. [Google Scholar] [CrossRef]
- Brocchieri, J.; de Viguerie, L.; Sabbarese, C.; Boyer, M. Combination of noninvasive imaging techniques to characterize pigments in Buddhist thangka paintings. X-ray Spectr. 2021, 50, 320–331. [Google Scholar] [CrossRef]
- Pimenta, A.; Felix, V.; Oliveira, M.; Andrade, M.; Oliveira, M.; Freitas, R. Investigating Brazilian Paintings from the 19th Century by MA-XRF. Quantum Beam Sci. 2023, 7, 9. [Google Scholar] [CrossRef]
- Martín-Ramos, P.; Cuchí-Oterino, J.A.; Bea-Martínez, M. Portable X-ray Fluorescence Analysis of Levantine and Schematic Art Pigments from the River Vero Shelters (Huesca, NE Spain). Heritage 2023, 6, 3789–3800. [Google Scholar] [CrossRef]
- Silveira, P.; Falcade, T. Applications of energy dispersive X-ray fluorescence technique in metallic cultural heritage studies. J. Cult. Herit. 2022, 57, 243–255. [Google Scholar] [CrossRef]
- Sanches, F.A.; Nardes, R.C.; Santos, R.S.; Gama Filho, H.S.; Machado, A.S.; Leitão, R.G.; Leitão, C.C.; Calgam, T.E.; Bueno, R.; Assis, J.T.; et al. Characterization an wooden Pietà sculpture from the XVIII century using XRF and microct techniques. Rad. Phys. Chem. 2023, 202, 110556. [Google Scholar] [CrossRef]
- Novelli Radice, M. Precisazioni cronologiche su Massimo Stanzione. Campania Sacra 1974, 5, 98–103. [Google Scholar]
- Denunzio, A.E.; Porzio, G. Artemisia Gentileschi a Napoli; Edizioni Gallerie d’Italia: Milano, Italy, 2022; pp. 146–149. [Google Scholar]
- Archival documents in Fondo Delle Parrocchie, II. 2, Cart. Ecclesias Cathedralis Restauri; Archivio Storico Diocesi di Pozzuoli: Pozzuoli, Italy.
- Archival Documents in OA/6 150; Archivio Storico del Museo di Capodimonte: Capodimonte, Italy.
- Barrella, G. La Cattedrale di Pozzuoli-Riscoperta del Rione Terra; Iniziative Editoriali: Quarto, Italy, 2020. [Google Scholar]
- Brocchieri, J.; Scialla, E.; D’Onofrio, A.; Sabbarese, C. Combining XRF, Multispectral Imaging and SEM/EDS to Characterize a Contemporary Painting. Quantum Beam Sci. 2023, 7, 13. [Google Scholar] [CrossRef]
- Scialla, E.; Improda, P.; Brocchieri, J.; Cardinali, M.; Cerasuolo, A.; Rullo, A.; Zezza, A.; Sabbarese, C. Study of ‘Cona degli Ordini’ by Colantonio with IR and XRF analyses. Heritage 2023, 6, 1785–1803. [Google Scholar] [CrossRef]
- Macchia, A.; Biribicchi, C.; Rivaroli, L.; Aureli, H.; Cerafogli, E.; Colasanti, I.A.; Carnazza, P.; Demasi, G.; La Russa, M.F. Combined use of non-invasive and micro-invasive analytical investigations to understand the state of conservation and the causes of degradation of I tesori del mare (1901) by Plinio Nomellini. Methods Protoc. 2022, 5, 52. [Google Scholar] [CrossRef] [PubMed]
- Moon, T.; Schilling, M.R.; Thirkettle, S. A Note on the Use of False-Color Infrared Photography in Conservation. Stud. Conserv. 1992, 37, 42–52. [Google Scholar] [CrossRef]
- Solé, V.A.; Papillon, E.; Cotte, M.; Walter, P.; Susini, J. A multiplatform code for the analysis of energy-dispersive X-ray fluorescence spectra. Spect. Acta Part B 2007, 62, 63–68. [Google Scholar] [CrossRef]
- Allegretta, I.; Marangoni, B.; Manzari, P.; Porfido, C.; Terzano, R.; De Pascale, O.; Senesi, G.S. Macro-classification of meteorites by portable energy dispersive X-ray fluorescence spectroscopy (pED-XRF), principal component analysis (PCA) and machine learning algorithms. Talanta 2020, 212, 120785. [Google Scholar] [CrossRef]
- Sawczak, M.; Kamińska, A.; Rabczuk, G.; Ferretti, M.; Jendrzejewski, R.; Śliwiński, G. Complementary use of the Raman and XRF techniques for non-destructive analysis of historical paint layers. Appl. Surf. Sci. 2009, 255, 5542–5545. [Google Scholar] [CrossRef]
- Brocchieri, J.; Scialla, E.; Manzone, A.; Graziano, G.O.; Sabbarese, C. Gouache gilding on lead and wood objects studied by multivariate and graph analyses applied to XRF spectra. J. Archaeol. Sci. 2022, 42, 103382. [Google Scholar] [CrossRef]
- Armetta, F.; Saladino, M.L.; Martinelli, M.C.; Vilardo, R.; Anastasio, G.; Trusso, S.; Nardo, V.M.; Giuffrida, D.; Ponterio, R.C. Improved chemometric approach for XRF data treatment: Application to the reverse glass paintings from the Lipari collection. RSC Adv. 2023, 13, 4495–4503. [Google Scholar] [CrossRef]
- Schonlau, M. The clustergram: A graph for visualizing hierarchical and nonhierarchical cluster analyses. Stata J. 2002, 2, 391–402. [Google Scholar] [CrossRef]
- Brocchieri, J.; Scialla, E.; Manzone, A.; Graziano, G.O.; D’Onofrio, A.; Sabbarese, C. An analytical characterization of different gilding techniques on artworks from the Royal Palace (Caserta, Italy). J. Cult. Herit. 2022, 57, 213–225. [Google Scholar] [CrossRef]
- Brocchieri, J.; Vitale, R.; Sabbarese, C. Characterization of the incuse coins of the Museo Campano in Capua (Southern Italy) by X-ray fluorescence and numismatic analysis. Nucl. Instrum. Methods Phys. Res. Sect. B 2020, 479, 93–101. [Google Scholar] [CrossRef]
- Likas, A.; Vlassis, N.; Verbeek, J.J. The global k-means clustering algorithm. Pattern Recognit. 2003, 36, 451–461. [Google Scholar] [CrossRef]
- Triolo, P.A.M. Manuale Pratico di Documentazione e Diagnostica per Immagine per i BB.CC; Il Prato: Prato, Italy, 2020; pp. 224–226. [Google Scholar]
- Ortolani, S. La Pittura Napoletana del Secolo XVII. In La Mostra Della Pittura Napoletana dei Secoli XVII-XVIII-XIX; Giannini Editore: Napoli, Italy, 1938; pp. 36–45. [Google Scholar]
- Roy, A. Artists’ Pigments: A Handbook of Their History and Characteristics; Oxford University Press: Oxford, UK, 1993; Volume 2. [Google Scholar]
- van Loon, A.; Noble, P.; de Man, D.; Alfeld, M.W.E.M.; Callewaert, T.; Van der Snickt, G.; Janssens, K.; Dik, J. The role of smalt in complex pigment mixtures in Rembrandt’s Homer 1663: Combining MA-XRF imaging, microanalysis, paint reconstructions and OCT. Herit. Sci. 2020, 8, 90. [Google Scholar] [CrossRef]
- Annarilli, S.; Casoli, A.; Colantonio, C.; Lanteri, L.; Marseglia, A.; Pelosi, C.; Sottile, S. A Multi-Instrument Analysis of the Late 16th Canvas Painting, “Coronation of the Virgin with the Saints Ambrose and Jerome”, Attributed to the Tuscany-Umbria Area to Support the Possibility of Bio-Cleaning Using a Bacteria-Based System. Heritage 2022, 5, 2904–2921. [Google Scholar] [CrossRef]
- Kriznar, A.; Moreno-Soto, J.; Gamero-Osuna, A.; Martín-de-Soto, A.; Ager, F.J.; Respaldiza, M.Á. Material and Technical Analysis of La Inmaculada by Francisco Pacheco. Minerals 2023, 13, 541. [Google Scholar] [CrossRef]
- Bevilacqua, N.; Borgioli, L.; Adrover Gracia, I. I Pigmenti Nell’arte Dalla Preistoria alla Rivoluzione Industriale; Il Prato: Padova, Italy, 2010. [Google Scholar]
- Feller, R.L. Artist’s Pigments: A Handbook of Their History and Characteristics; Oxford University Press: Oxford, UK, 1986; Volume 1. [Google Scholar]
- Križnar, A.; Ager, F.J.; Caliri, C.; Romano, F.P.; Respaldiza, M.R.; Gómez-Morón, M.A.; Núñez, L.; Magdaleno, R. Study of two large-dimension Murillo’s paintings by means of macro X-ray fluorescence imaging, point X-ray fluorescence analysis, and stratigraphic studies. X-ray Spectrom. 2019, 48, 482–489. [Google Scholar] [CrossRef]
- De Ruggieri, M.B.; Cardinali, M. Lungo la via degli Abruzzi. Un Restauro per Pescocostanzo. Massimo Stanzione e Giambattista Gamba nella Chiesa di Gesù e Maria; Etgraphiae Editrice: Foligno, Italy, 2014; pp. 43–48. [Google Scholar]










| Color/Point | XRF Elements | Pigments 1 | Principal Use |
|---|---|---|---|
| All points | Pb, Fe, Ca | Chalk, lead white, earths | Ground layer |
| Dark/19, 27 | Ba, Zn, Cr, Ti | Lithopone, titanium white, chrome green | Retouches |
| Red/1, 2, 4, 3, 13 | Hg | Vermilion | Clothes, lips |
| Flesh tones/14, 15, 16, 17, 26 | Pb, Hg, Fe | Lead white, vermilion, earths | Flesh tones |
| White/20, 22, 23 | Pb | Lead white | Tunic, drape, highlights |
| Green/18 | Cu, Pb, Sb | Copper-based blue, Naples yellow | Curtain |
| Gray/21, 24, 25 | Pb, Fe, Mn | Lead white, umber | Vessel, scale |
| Yellow/5, 6, 7, 8 | Pb, Sb | Naples yellow | Clothes, decoration |
| Pb, Fe, Mn | Yellow earth, umber | Mitra | |
| Blue/9, 10, 11, 12 | Cu | Copper-based blue (i.e., azurite) | Clothes |
| Cu, Co, As | Copper-based blue, smalt | Clothes |
Disclaimer/Publisher’s Note: The statements, opinions and data contained in all publications are solely those of the individual author(s) and contributor(s) and not of MDPI and/or the editor(s). MDPI and/or the editor(s) disclaim responsibility for any injury to people or property resulting from any ideas, methods, instructions or products referred to in the content. |
© 2023 by the authors. Licensee MDPI, Basel, Switzerland. This article is an open access article distributed under the terms and conditions of the Creative Commons Attribution (CC BY) license (https://creativecommons.org/licenses/by/4.0/).
Share and Cite
Brocchieri, J.; Scialla, E.; Merolle, M.; Recchia, P.M.; della Rocca, R.; Sabbarese, C. Combining Multispectral Imaging and XRF Analysis to Examine San Patroba predica ai fedeli di Pozzuoli by Massimo Stanzione. Quantum Beam Sci. 2023, 7, 30. https://doi.org/10.3390/qubs7040030
Brocchieri J, Scialla E, Merolle M, Recchia PM, della Rocca R, Sabbarese C. Combining Multispectral Imaging and XRF Analysis to Examine San Patroba predica ai fedeli di Pozzuoli by Massimo Stanzione. Quantum Beam Science. 2023; 7(4):30. https://doi.org/10.3390/qubs7040030
Chicago/Turabian StyleBrocchieri, Jessica, Elvira Scialla, Marianna Merolle, Palma Maria Recchia, Roberto della Rocca, and Carlo Sabbarese. 2023. "Combining Multispectral Imaging and XRF Analysis to Examine San Patroba predica ai fedeli di Pozzuoli by Massimo Stanzione" Quantum Beam Science 7, no. 4: 30. https://doi.org/10.3390/qubs7040030
APA StyleBrocchieri, J., Scialla, E., Merolle, M., Recchia, P. M., della Rocca, R., & Sabbarese, C. (2023). Combining Multispectral Imaging and XRF Analysis to Examine San Patroba predica ai fedeli di Pozzuoli by Massimo Stanzione. Quantum Beam Science, 7(4), 30. https://doi.org/10.3390/qubs7040030

