Abstract
Rechargeable zinc-ion batteries (ZIBs) have grown in popularity due to their low cost and the abundance of resources. However, there has been little research into the development of gel polymer electrolytes (GPEs) for high voltage and capacity ZIBs. The use of agricultural waste as a polymer electrolyte (PE) is gradually increasing in order to support a circular economy. This study focuses on the utilization of cellulose derived from coffee silverskin (CS); coffee silverskin is a by-product generated during coffee roasting. We employ a reasonable approach to create the coffee silverskin cellulose (CSC)/polyacrylamide (PAM) GPE, with the goal of achieving good properties and improved battery performance. An investigation was conducted to determine the effect of CSC content in GPEs on ZIB characteristics. The cellulose derived from CS had a crystallinity index (CrI) of 64.60%. The optimal amount of cellulose added to the acrylamide monomer (AM) for the GPE of ZIB was found to be 2.5 mg (CSC/AM/salt weight ratio of 0.01/6/23). This amount resulted in the highest electrochemical stability and a cycling time of approximately 226 h. Furthermore, the PAM/Cellulose 2.5-based GPE exhibited increased Young’s modulus and tensile strength compared to the pure PAM. The electrochemical impedance spectroscopy (EIS) test revealed a diffusion resistance of 27.47 Ω and an ionic conductivity of 9.10 mS/cm at a temperature of 25 °C. Additionally, the use of cellulose in GPEs does not affect the electrochemical window. When the pure PAM-based GPE was compared to the CSC/PAM-based GPE, the biocomposites demonstrated electrochemical stability for a cycle life of over 200 cycles in the ZIB application.
1. Introduction
Renewable energy sources such as wind, solar, and wave power are designed to mitigate the environmental damage resulting from the combustion of fossil fuels. Efficient energy storage is essential for the widespread use of sources of clean energy, considering factors such as seasonality and regional variations [1,2,3,4,5,6]. Lithium-ion batteries (LIBs), known for their high energy density, are widely used in portable electronic devices and electric vehicles (EVs) [7,8,9,10]. Nonetheless, the LIBs’ progress is slowed by limited resources, high costs, and safety concerns [11]. In recent years, zinc-ion batteries (ZIBs) have improved significantly in terms of cost effectiveness, safety, and eco-friendliness [12,13,14,15]. One of the main benefits of using zinc as an anode is its inexpensive cost, its high volume capacity, its low redox potential, and its abundant metal sources. Furthermore, the aqueous electrolyte provides an additional benefit in comparison to organic electrolytes. The material possesses intrinsic safety, exhibits high ionic conductivity, has a low cost, and requires minimal environmental conditions during battery assembly [16,17,18]. Consequently, ZIBs possess substantial potential for advancement in the field of energy storage applications [19,20,21,22].
In recent years, there has been a significant increase in interest in solid polymer electrolytes (SPEs) as a potential substitute for liquid electrolytes (LEs) in rechargeable ZIBs. SPEs, as per the formula, are a specific type of polymer electrolyte (PE) that can be employed in the production of advanced ZIBs. Other forms of PEs that can be used in safe ZIBs are hybrid polymer electrolytes (HPEs) and gel polymer electrolytes (GPEs) [23,24]. The three forms of PEs are primarily composed of zinc salts, media, and long polymer chains. To clarify, it is feasible to include zinc salts in polymer chains when referring to SPEs. The gels for GPEs can be developed by dissolving the zinc salts in an appropriate solvent. HPEs are often synthesized via crosslinking or copolymerization techniques to join different polymer chains, which may include the addition of zinc salts [25,26].
Cellulose and its related compounds have attracted significant interest from researchers, due to their unique characteristics among the numerous alternative material possibilities. A previous study has examined the beneficial applications of cellulose in energy-related products, such as sensors, batteries, supercapacitors, and conductive materials [27,28,29,30]. Cellulose is a bio-based substance that is found in large quantities in plants and which contains approximately 50% carbon. Cellulose and its derivatives, including carboxymethyl cellulose (CMC), cellulose acetate (CA), and nanocellulose (NC), mainly serve as binding and dispersion agents in various applications [31,32]. Cellulose is commonly recognized as an economical, biodegradable, and thermally stable natural polymer. The presence of polar functional groups in each repeating unit allows the polymer to readily dissolve zinc salts, while its high glass transition temperature (Tg) contributes to the required physical properties, such as strength and modulus [33]. Scientists have employed the technique of papermaking to produce GPEs utilizing bionanocomposites made from cellulose for ZIBs [34]. Furthermore, the hydrophilic structure of cellulose and its extensive three-dimensional fiber network can assist in stabilizing the channels responsible for transferring charges.
Multiple polymers can be employed to manufacture hydrogels as GPEs for energy storage devices and batteries [35,36,37,38,39]. Polyvinyl alcohol (PVA), polyethylene oxide (PEO), and polyacrylonitrile (PAN) are commonly studied materials for solid-state batteries (SSBs). However, these polymers have some disadvantages, like insufficient thermal stability, a restricted ability to conduct ions, and inadequate mechanical properties. These disadvantages eventually limit the performance of the batteries [40,41]. Polyacrylamide (PAM), an environmentally friendly material, is an exceptionally attractive option for producing the GPEs employed in ZIBs. The semi-interpenetrating (semi-IPN) network provides excellent ionic conductivity, flexibility, stretchability, and cycle stability [42]. In recent times, there has been a growing interest in PAM-based GPEs because of the advantages offered by the amide functional group. The polar amide group increases the effectiveness of separating salts and dissolving ions. Additionally, its hydrogen bonding promotes the retention of water, resulting in improved conductivity [43,44]. In addition, connecting cellulose to PAM molecular chains by hydrogen bonding is straightforward due to the abundance of hydroxyl groups on cellulose’s surface [45,46]. When combined, cellulose and PAM can behave as a robust solid electrolyte with high ionic conductivity and excellent mechanical properties. Hydrogel polymers possess exceptional thermal stability, enabling SSBs to operate effectively in both hot-and low-temperature environments. This property is crucial for the utilization of batteries in challenging settings, such as in extremely cold regions and space travel [47].
Coffee is a widely consumed beverage that is immensely popular globally. It is the second-largest traded product, after petroleum, which highlights its substantial market influence on a worldwide level. However, the coffee industry generates enormous amounts of hazardous solid waste by-products that result in serious environmental issues. Therefore, it is crucial to engage in additional efforts in order to build sustainable solutions [48]. Coffee silverskin (CS) is a residual material derived from the coffee cherry, comprising the delicate outer coating of the coffee beans [49,50,51]. It is extracted from the seeds during the process of roasting (Figure 1). CS is composed of cellulose (24%), hemicellulose (17%), and lignin (29%) on average. During the coffee manufacturing process, significant quantities of CS are generated, amounting to thousands of metric tons. This particular CS possesses the capacity to be effectively applied as an abundant resource of cellulose. The utilization of pure cellulose in GPEs has been restricted because of pure cellulose’s inherent drawbacks, such as its inadequate mechanical characteristics and its restricted water resistance [52,53,54,55,56]. Our goal is hence to investigate the potential of using coffee silverskin cellulose (CSC) as an additive in the PAM polymer matrix for GPEs.
Figure 1.
A schematic section of a coffee cherry and the extraction of CS from coffee cherries.
To the best of our knowledge, there is no published research article study on the use of CSC and PAM in the manufacturing of GPEs for battery applications. In addition, we introduced different amounts of CSC into PAM hydrogels to produce GPEs that have improved stability and a high level of ionic conductivity. CSC was chosen as an additive because of its many hydroxyl groups, which have the ability to create hydrogen bonds with PAM molecular chains. The stability of the single PAM network hydrogel can be enhanced by forming dual network GPEs composed of PAM and CSC. Finally, the novel PAM-based GPEs were designed and developed by using CSC from CS as the GPEs for ZIBs application.
2. Experimental Procedure
2.1. Chemicals and Materials
CS is a cellulose-rich material obtained from the Café Amazon Regional Store Operation Division and from the Quality Analysis and Product Research & Development Department, New Energy Solutions, in Thailand. Acrylamide monomer (AM) was purchased from Loba Chemie PVT. Ltd., a supplier based in Mumbai, India, and it was of analytical grade. Manganese dioxide (MnO2) was acquired from Alfa Aesar, Ward Hill, MA, USA. Zinc sulphate 7-hydrate (ZnSO4·7H2O), with a purity of 99%, was bought from Elago Enterprises Pty. Ltd. in Cherrybrook, New South Wales, Australia. A sheet of zinc with a purity of 99.99% was obtained from Sirikul Engineering Ltd., Part. located in Samut Prakan, Thailand. Carbon fiber paper, which has a thickness of 180 µm and a density of 62 g/cm3, was purchased from The Fuel Cell Store in Bryan, TX, USA. The product is specifically created to fulfill the diverse needs in battery applications. The carbon black used in this study was Vulcan®XC-72, with a purity of 99.99%. It was provided by Cabot Corporation, Boston, MA, USA. Additional reagents were of analytical quality and utilized without any additional purification.
2.2. Extraction and Modification of Cellulose from CS
Cellulose was extracted from CS using an alkaline treatment and a subsequent bleaching process. At first, 30 g of CS were treated in a solution comprising 1.5 L of sodium hydroxide (NaOH) with a concentration of 4% w/v. The mixture was continuously stirred at a constant rate for a period of 2 h, while keeping the temperature at 80 °C. After the soaking time had finished, the sample was allowed to settle for 24 h before it was filtered using a filter cloth. An identical procedure was then repeated twice more to effectively isolate a significant quantity of cellulose particles of reduced dimensions. The treated CS was rinsed with deionized water until the pH values reached a measurement of 7. Following that, the substance underwent a drying process in an oven maintained at a temperature of 80 °C for a period of 24 h.
The CS treated with a base was subjected to bleaching using hydrogen peroxide (H2O2) at a concentration of 10% v/v. The buffer solution was prepared by dissolving 75 mL of acetic acid and 27 g of NaOH in 1 L of deionized water. The concentration ratio of CS to H2O2 to the buffer solution was 1:20:20 w:v:v. The bleaching process was carried out at a temperature of 80 °C for a duration of 2 h. The same technique was repeated two further times in order to obtain a substantial quantity of cellulose particles. The modified cellulose was filtered using a filter cloth and then washed with deionized water until the pH of the filtered water reached 7. The final product or CSC was dehydrated at a temperature of 80 °C for 24 h and homogenized into a fine powder using a mortar.
2.3. Preparation of PAM and PAM/Cellulose Composite
2.5, 5.0, and 7.5 mg of cellulose powder were dispersed in 10 mL of deionized water using an ultrasonic machine set to 120 Hz for 30 min. 1.5 g of AM was added, and the solution was agitated until it was homogeneous at room temperature. Subsequently, 2 mol of ZnSO4·7H2O were mixed and stirred for 20 min until the solid was completely dissolved. Table 1 shows the different amounts of CSC, AM, and salt required for the synthesis of semi-solid electrolytes (SeSEs). Afterwards, 3.3 mg of methylene bisacrylamide (C7H10N2O2) was added and the solution was circulated for a duration of 5 min. Next, 24 mg of ammonium persulfate ((NH4)2S2O8) were added and the solution was mixed for 5 min. A volume of 10 μL of tetramethylethylenediamine ((CH3)2NCH2CH2N(CH3)2) was used. The mixture was agitated for 1 min before being transferred to a Petri dish with a diameter of 7.5 cm. The mixture was heated to a temperature of 60 °C for 50 min. The same procedure was used to prepare the pure PAM. This is intended to compare various GPE characteristics.
Table 1.
The amount of CSC, AM, and salt required for synthesis of GPEs.
2.4. Production of Cathode and Anode Electrodes
A slurry composed of MnO2 powder, carbon black, and polyvinylidene fluoride (PVDF) binder, mixed in N-Methyl-2-pyrrolidone (NMP) at a weight ratio of 70/20/10, was prepared. The slurry was applied to carbon fiber paper (180 µm thickness) using a doctor blade, and the blade-coating technique was employed to achieve a film thickness of 60 µm. Subsequently, the coated electrode was dried at 60 °C until it reached a constant weight. The dried electrode was then compressed using calendaring to achieve a final electrode thickness of 250 µm. Finally, the sample was cut to dimensions of 4 cm × 1 cm.
Following that, the anode was prepared by scrubbing the zinc sheet with sandpaper to remove the zinc oxide (ZnO) from its surface. Then, the zinc sheet was cut to 4 cm × 1 cm dimensions and cleaned with acetone.
2.5. Fabrication and Assembly of Zinc-Ion Batteries
The PAM and PAM/cellulose composite were precisely cut to a dimension of 2 cm × 1 cm. The polymer materials were immersed in a ZnSO4 electrolyte solution with a concentration of 2 mol/L for 24 h, resulting in the production of PAM-based GPE and CSC/PAM-based GPE, respectively. Figure 2 depicts the process of synthesizing the GPE. This involves connecting the PAM to the cellulose chains that are present in the network of a PAM, through a polymerization reaction. The grafting process is accomplished via a technique called free radical polymerization, which allows for the creation of the GPE [57,58,59]. Furthermore, the synthesized CSC/PAM-based GPE was combined with ZnSO4.
Figure 2.
Schematic imagining of the internal structure of CSC/PAM-based GPE.
The SeSE, consisting of PAM and varying amounts of cellulose (0, 2.5, 5.0, and 7.5 mg), was obtained. Afterwards, the battery cell was assembled by placing the GPE material between the previously fabricated cathode made of MnO2/C and the anode made of zinc sheet. However, in the Zn//Zn symmetric cells, both the cathode and the anode were zinc sheets (Figure 3). Additionally, Figure 4 displays a schematic representation of flexible batteries in this work. The graphic provides full information on the specific materials used as the cathode and anode electrodes in the ZIB and Zn//Zn symmetric cells.
Figure 3.
Schematic presentation of the rechargeable ZIB fabrication procedure.
Figure 4.
A schematic representation of flexible ZIBs.
2.6. Material Characterization
The chemical structures of the samples were confirmed using Fourier transform infrared spectroscopy (FT-IR) with a VERTEX 70v instrument from Bruker, Germany. The spectroscopy was conducted in the wavelength range of 4000–400 cm–1 using the potassium bromide (KBr) technique.
The X-ray diffraction (XRD) pattern of the samples was obtained using a LabX XRD-6100 (manufactured by Shimadzu, Kyoto, Japan) that operates with Cu-Kα radiation. The instrument was set to a target voltage of 30 kV and a current of 20 mA. The scans were conducted within the diffraction angle (2θ) range of 10° to 40°, with a step size of 0.04°. The crystallinity index (CrI) was determined by calculating the ratio of the sum of areas under the diffraction peaks to the total area under the curve [60,61,62].
The thermal stability of the material was investigated using a Pyris 6 TGA Perkin Elmer Thermogravimetric Analyzer (TGA, Artisan Technology Group®, Champaign, IL, USA). The specimens were subjected to a temperature increase from 50 to 600 °C at a rate of 10 °C per minute in a condition containing nitrogen (N2) gas.
The surface morphology of materials was examined by a field-emission scanning electron microscope (FE-SEM, MIRA3, TESCAN, Brno, Czech Republic).
2.7. GPEs and Batteries Performance Testing
The polymer was cut to dimensions of 1.5 cm × 1.5 cm. After that, the material underwent freeze-drying at a temperature of −50 °C for a duration of 24 h. The percentage of the water content (WC) in GPEs was determined [63] using Equation (1)
where %WC denotes the WC percentage in GPEs, and Wb and Wa represent the weight of GPEs before and after freeze-drying, respectively.
%WC = (Wb − Wa)/Wb × 100
The tensile strength of GPEs was examined using a Lloyd LF Plus Tensile Test Machine (TTS, Tailored Test Solutions Ltd., Worthing, UK). The tested samples had a width of 25 mm and a thickness of 1.5 mm. The experiment involved using a gauge length of 50 mm, a load cell of 50 N, and a test speed of 200 mm per minute. The objective was to analyze the stress-strain curves of the polymers.
The plating and stripping experiments on the Zn//Zn symmetric cells, applying the PAM-based GPE and the PAM/Cellulose 2.5, 5.0, and 7.5-based GPEs, were performed using battery testers for battery modules and packs (BTS4000 SERIES FOR MODULES, NEWARE, Shenzhen, China) at atmosphere pressure and various current densities (0.5, 1, 2, 3, 5, and 8 mA/cm2).
The Nyquist plot of the electrochemical impedance spectroscopy (EIS) spectra was obtained for the Zn//Zn symmetric cells using the PAM-based GPE and the PAM/Cellulose 2.5, 5.0, and 7.5-based GPEs. The measurements were performed using a chemical impedance analyzer IM3590 (Hioki, Nagano, Japan) at a voltage of 0.1 V, and a frequency range of 0.1 Hz to 100 kHz. The ionic conductivity at 25 °C of PAM-based GPE and PAM/Cellulose 2.5, 5.0, and 7.5-based GPEs was calculated [64,65,66] using Equation (2)
where σ denotes the ionic conductivity of the polymer-based GPE (S/cm), and l, R, and A correspond to the thickness (cm), resistance (Ω), and area (cm2) of the GPE, respectively.
σ = l/RA
The cyclic voltammetry (CV) of ZIBs applying the PAM-based GPE and PAM/Cellulose 2.5-based GPE was carried out using the Potentiostat/Galvanostat (Autolab PGSTAT204, Metrohm AG, Herisau, Switzerland) at a scan rate of 1 mV/s in the voltage range of 0.4 to 2.0 V.
The galvanostatic charge-discharge (GCD) cycling tests were performed with battery testers. The capacity performance of ZIBs using the PAM-based GPE and the PAM/Cellulose 2.5-based GPE was observed between the operated potential voltages of 0.6 and 1.8 V at series current densities of 0.05, 0.1, 0.3, 0.5, 0.7, 0.9, and 1.0 A/g, with 5 cycles in each current. Moreover, ZIBs were tested for extended cycling stability and capacity retention for 200 cycles of charging and discharging at a constant current density of 1.0 A/g and a voltage range of 0.6 to 1.8 V.
3. Results and Discussion
An analysis using FT-IR spectroscopy was carried out to investigate the structural modification of the materials following chemical treatment and to verify that the resulting product obtained from CS was actually cellulose [62]. Figure 5a displays the FTIR spectra of the CS, the alkali-treated coffee silverskin (ACS), and of the bleached coffee silverskin (BCS), which demonstrated the characteristic absorption bands of lignocellulosic materials [67]. The prominent spectral band located at 3356 cm−1 corresponds to the O−H stretching vibration specific to the hydroxyl groups present in polysaccharide chains. The peak observed at 2923 cm−1 corresponds to the asymmetric and symmetric stretching of C−H bonds. The bands at 1738 cm−1 in the CS samples, which are associated with the acetyl and uronic ester groups of hemicelluloses, as well as the ester linkages of the carboxylic group of ferulic and p-coumaric acids in lignin, were no longer present in the ACS and BCS samples [68]. Furthermore, in CS, the bands at 1650 cm−1, which correspond to the aromatic ring of lignin and absorption of water, were detected. However, these bands were noticeably weakened in both ACS and BCS [69]. This was due to the substantial elimination of pectin, hemicellulose, and lignin from CS through the alkali treatment and the bleaching process [70].
Figure 5.
(a) FT-IR spectra and (b) XRD patterns of CS, ACS, and BCS.
The XRD technique was employed to evaluate and compare the crystallinity of the specimens. Figure 5b displays the XRD patterns of the CS, the ACS, and the BCS samples. The materials exhibit two diffraction peaks at 2-theta values of 16.18° and 22.46°, which correspond to the crystallographic planes (110) and (200), respectively [71]. The intensity of the peak at 22.46° in the extracted cellulose is increased, suggesting a higher level of perfection in the crystal structure of the (200) plane compared to the CS sample. Furthermore, the CrI of the BCS, the ACS, and the CS samples was determined to be 64.60%, 60.81%, and 33.48%, respectively. The increase in CrI for the ACS and the BCS, as compared to the CS, can be attributed to the elimination of amorphous non-cellulosic substances, particularly lignin and hemicelluloses, during the alkali treatment and bleaching process [72]. Consequently, cellulose has been effectively extracted from CS [73].
Figure 6a,b displays the TGA and derivative thermogravimetry (DTG) curves of the CS, the ACS, and the BCS, respectively. The TGA/DTG thermograms indicate that the thermal decomposition of CS takes place in three distinct stages. During the first stage, which occurred at temperatures up to 140 °C, a reduction in mass of 7.5% was observed. The low rate of weight loss can be attributed to the evaporation of moisture (dehydration) from within the CS. The second and third stages of mass loss, amounting to 85% each, are caused by the thermal decomposition of the organic matter contained in the material. The most notable weight fluctuations take place within the temperature range of 210–510 °C. At this temperature, the decomposition and depolymerization of the polysaccharides and particular oils occur [74]. The last segment of the TG curve enables the determination of the proportion of residues, which may be attributed to the existence of highly stable inorganic compounds [53]. In addition, the maximum and onset decomposition temperatures (Td) were changed to a higher temperature. The reason for this was the reduction in the content of lower thermally stable hemicelluloses that was due to the alkali treatment. The complete elimination of hemicelluloses and lignin was indicated by the subsequent shift in the decomposition temperature to a typical cellulose after bleaching. Concurrently, the char residue of BCS was also raised [75].
Figure 6.
(a) TGA and (b) DTG thermograms of CS, ACS, and BCS.
Figure 7 shows FE-SEM images of the CS, the ACS, and the BCS. The acquired photos demonstrate significant morphological changes between untreated and treated CS after the alkali treatment and bleaching. Microscopic analysis of CS (Figure 7a) revealed the presence of fibrous tissues on the CS’s surface layers. The primary components of these materials are cellulose and hemicellulose. The monosaccharides in CS include glucose, xylose, galactose, mannose, and arabinose [76]. The lignin–hemicellulose mixture serves as a matrix, whereas cellulose-based microfibrils function as fibers [77]. The untreated CS surface exhibited a denser lignin–hemicellulose layer, an almost flat shape, and a low porosity [78]. Following the alkali treatment (Figure 7b) and bleaching process (Figure 7c), the surface of the sample became rough, and flaky protuberances formed. Chemical treatment facilitated the entire or partial breakdown of the lignin–hemicellulose matrix, resulting in increased porosity and small fragments [79].
Figure 7.
FE-SEM images at 1000× magnification of (a) CS, (b) ACS, and (c) BCS.
The water content of the PAM-based GPE and PAM/Cellulose-based GPEs can be seen in Figure 8. The GPE based on PAM/Cellulose 2.5 was found to have the lowest water content value (46.51%) among all the GPEs. When the GPE has a lower water content, it will result in a decrease in side reactions within the ZIB, thereby reducing the production of hydrogen (H2) gas that can lead to corrosion on the battery electrodes. An inorganic by-product of ZnO formed as a coating on the electrode surface. This phenomenon will decrease the efficiency and lifetime of the battery [80]. Additionally, ZIBs have excellent security and ionic conductivity. When water is present in the GPE utilized in LIBs, the water molecules can easily react with the lithium metal and oxide cathode. The oxygen (O2) or H2 evolution reaction can influence the pH value at the electrode, resulting in the instability of the active material and the insertion/extraction of metal ions. The chemical composition and structure of the solid electrolyte interface (SEI) layer are hence directly influenced by the salt, the solvent, and the additive involved in the electrolytes [63]. It is necessary to investigate a novel GPE for the production of ZIB.
Figure 8.
Water content in PAM-based GPE and PAM/Cellulose 2.5, 5.0, and 7.5-based GPEs.
Figure 9 illustrates the stress-strain curves for the PAM-based GPE and the PAM/Cellulose 2.5-based GPE. The GPE composed only of PAM exhibited a ductile fracture, with a percentage strain at failure of around 709%. The addition of cellulose to the PAM/Cellulose 2.5-based GPE increased its Young’s modulus and tensile strength compared to pure PAM, with a large strain of 577%. This significant improvement was ascribed to the confinement of the preformed network-formed cellulose fiber. The increased mechanical properties can be related to the uniform distribution of cellulose within the PAM matrix [81]. Because of the high aspect ratio, the cellulose became interconnected, resulting in a nano-network structure within the PAM matrix. These networks are critical for transferring force from the matrix to the fibers and between fibers, leading to enhanced mechanical characteristics (Young’s modulus and tensile strength) [82]. However, including the cellulose reduces the strain at failure. The addition of 2.5 mg of cellulose powder reduced the fracture strain of the PAM composites from 709% to 577%. This finding is consistent with other previous research [45]. Furthermore, both gels demonstrated a superior strain capability of over 500%, which surpasses the mechanical properties required for practical applications. Thus, optimizing the mechanical properties (related to stress-strain) is essential for enhancing the gel’s durability and structural integrity. Our results show that the increase in modulus is beneficial, as it indicates greater stability of the gel’s structure under stress while maintaining a strain of over 500%.
Figure 9.
Stress-strain curves of PAM-based GPE and PAM/Cellulose 2.5-based GPE.
Figure 10 depicts the plating/stripping test results of the Zn//Zn symmetric cells applying the PAM-based GPE and the PAM/Cellulose 2.5, 5.0, and 7.5-based GPEs. The investigation was carried out at current densities of 0.5, 1, 2, 3, 5, and 8 mA/cm2, with a fixed charge/discharge time of 15 min. This experiment aimed to confirm the interfacial compatibility between the GPE and the metal anode by studying the reversibility of zinc-ion plating and stripping between Zn metal and the electrolyte [83]. The initially noticed increase in voltage in the symmetric cells is primarily caused by zinc deposition/stripping, side reactions occurring on the zinc surface, and the production of side products [84]. The PAM/Cellulose-based GPEs cell successfully solves the problems of voltage instability and poor reversibility as compared to the symmetric cell using PAM-based GPE. Moreover, the overvoltage of the Zn//Zn symmetric cell using PAM/Cellulose-based GPEs is consistently lower compared to pure PAM-based GPEs. The presence of cellulose enhances ion mobility and conductivity, leading to favorable plating and stripping procedures for zinc ions [85].
Figure 10.
Plating/stripping studies of Zn//Zn symmetric cells applying PAM-based GPE and PAM/Cellulose 2.5, 5.0, and 7.5-based GPEs at atmosphere pressure and various current densities (0.5, 1, 2, 3, 5, and 8 mA/cm2).
The stability and reversibility of Zn//Zn symmetric cells are related to their plating and stripping characteristics. Figure 11 represents the plating and stripping experiments of Zn//Zn symmetric cells using the PAM-based GPE and the PAM/Cellulose-based GPEs. The investigations were performed at a constant current density of 1 mA/cm2 and a charge/discharge time of 15 min. The Zn//Zn symmetric cells, utilizing a PAM/Cellulose 2.5-based GPE, exhibited the longest stable cycling duration of over 220 h. Each cycle had a smooth voltage profile, without any instances of a short circuit or a quick increase in overvoltage. There was a small degree of polarization in the initial cycles due to the unstable contact between the surfaces of the Zn anode and the PAM/Cellulose 2.5-based GPE [86]. On the other hand, the pure PAM-based GPE experienced significant polarization within just 80 h, suggesting that the Zn anode surface deteriorated due to irregular deposition. Consequently, the interface stability between the zinc electrode and the PAM/Cellulose 2.5-based GPE is significantly superior to that between the zinc electrode and the PAM-based GPE [85].
Figure 11.
Plating/stripping studies of Zn//Zn symmetric cells applying PAM-based GPE and PAM/Cellulose 2.5, 5.0, and 7.5-based GPEs at atmosphere pressure and a constant current density of 1 mA/cm2.
In addition, the Zn//Zn symmetric cells using the PAM/Cellulose 5.0 and the 7.5-based GPEs show more pronounced voltage fluctuations and have a shorter lifespan (failing after 222 h and 100 h, respectively) compared to those using the PAM/Cellulose 2.5-based GPE. The presence of more cellulose in the structure of polymer composites restricts the flow of Zn2+ ions in the electrolyte, resulting in a rise of overvoltage [86]. Furthermore, the by-products formed at the interface between the anode and electrolyte during the plating process are a result of the limited transfer of newly generated Zn2+ ions to the cathode due to electrostatic force. As a result, the voltage had to be varied in order to maintain the proper current [87,88].
After 100 h of application of PAM/Cellulose 2.5-based GPE in a Zn//Zn symmetric cell at a constant current density of 1 mA/cm2, the Zn surface of the electrode was examined using SEM. Figure 12a illustrates that the anode electrode’s morphology is smooth, indicating that zinc was plated onto the anode during the electrical discharge period. The deposits are devoid of dendrites, and a Zn framework that is highly porous and interconnected, such as apatite, is produced [89]. While Figure 12b shows that the cathode electrode’s morphology is uneven and resembles a sheet, this implies that zinc is stripped from the cathode during electrical charging. The amide functional group of the PAM chain and the hydroxyl functional group of the cellulose chain can assist in the transportation of zinc ions within the GPE of the Zn//Zn symmetric cell [90]. On the cycled Zn surface, there was no evidence of dendritic growth or fracture. As a result, this phenomenon, which aids in the prevention of zinc dendrite formation, results in a battery that has a long lifespan and which does not experience a short circuit.
Figure 12.
FE-SEM images at 5000× magnification of (a) plating and (b) stripping studies of Zn electrodes applying PAM/Cellulose 2.5-based GPE at a constant current density of 1 mA/cm2.
Figure 13 shows that the surface morphology of a Zn electrode is highly rough, with some zinc dendrite development. The formation of dendrite results from uneven zinc deposition during the charging process of zinc-based batteries. The dendrite growth has a significant impact on battery cycle life and performance stability [91].
Figure 13.
FE-SEM images at 5000× magnification of (a) plating and (b) stripping studies of Zn electrodes applying PAM-based GPE at a constant current density of 1 mA/cm2.
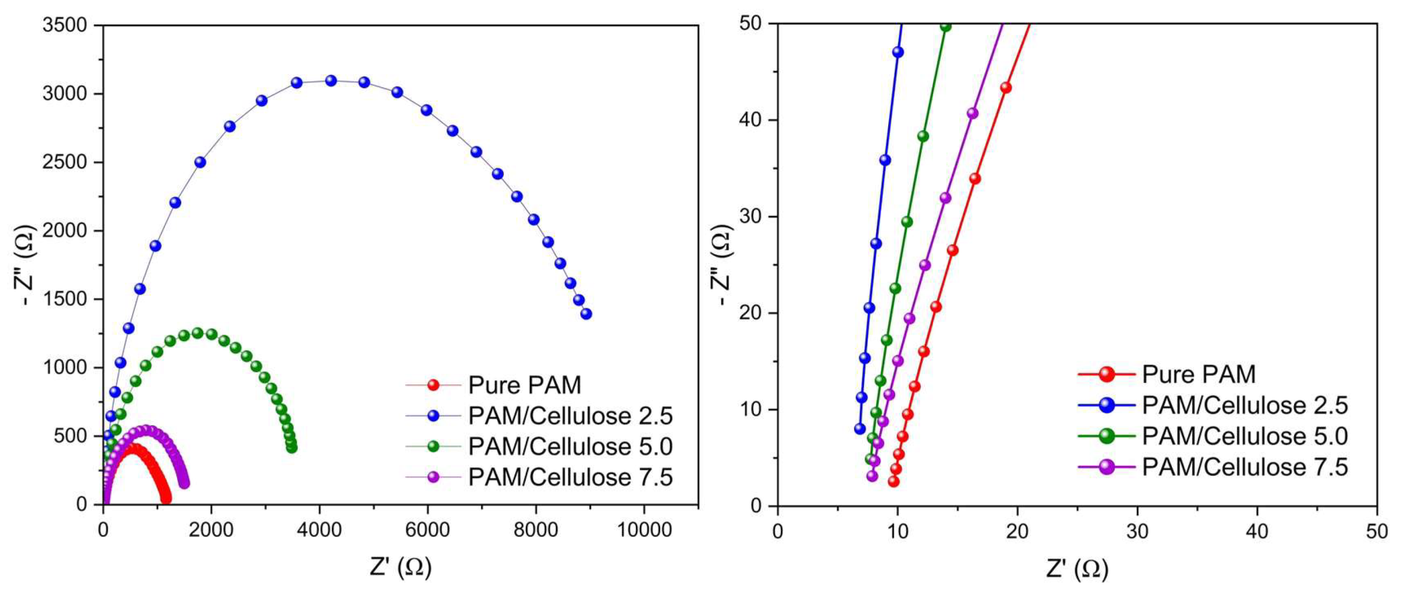
EIS measurements were conducted to acquire a comprehensive understanding of recombination and charge transport in batteries. Figure 14 displays the Nyquist plots of various PAM/Cellulose-based GPEs. Spectroscopic observations were carried out within a frequency range of 0.1 Hz to 100 kHz, using an alternating current (AC) voltage of 0.1 V. An incomplete semicircle with a high frequency represents the resistance of solution (Rs) or electrolyte reaction. The value of Rs is the measure of impedance between the reference electrode and the working electrode. It is calculated at a higher frequency. On the other hand, a complete semicircle at a lower frequency indicates electrode reactions or electron transfer resistance (Ret). The value of Ret corresponds to the diameter of the semicircle in the Nyquist diagram. The presence of a semicircle in the Nyquist plot indicates the electron transfer resistance, and this relationship is directly proportional [92,93]. When comparing PAM-based GPE with PAM/Cellulose-based GPEs, it was shown that the addition of cellulose in the GPE significantly reduced the resistance of the electrolyte. The PAM/Cellulose 2.5-based GPEs achieved the lowest resistance when applied to the Zn//Zn symmetric cells. The results demonstrate that both the PAM and the cellulose components positively influence the enhancement of ionic transportation and of electrode–electrolyte interaction [94,95].
Figure 14.
EIS spectra of Zn//Zn symmetric cells applying PAM-based GPE and PAM/Cellulose 2.5, 5.0, and 7.5-based GPEs at a voltage of 0.1 V and a frequency range of 0.1 Hz to 100 kHz.
The relationship between the filler content and the ionic conductivity of PAM/Cellulose-based GPEs is graphed in Figure 15. This study revealed that the ionic conductivity of the pure PAM-based GPE significantly increased upon the presence of cellulose in the electrolyte. Cellulose improves Zn2+ ions mobility and conductivity. The gel electrolyte based on PAM/Cellulose 2.5 achieves the highest ionic conductivity of 36.51 mS/cm, higher than the ionic conductivity of 25.85 mS/cm observed in the PAM-based GPE. The gel electrolyte’s ionic conductivity had a small decrease when the cellulose content exceeded 2.5 mg, possibly due to the steric affect caused by the self-aggregation of the inclusions [95].
Figure 15.
Ionic conductivity of PAM-based GPE and PAM/Cellulose 2.5, 5.0, and 7.5-based GPEs at a temperature of 25 °C.
Figure 16 exhibits the EIS spectra of ZIBs applying the pure PAM-based GPE and a mixture of the PAM and the cellulose with a concentration of 2.5 mg as the GPE. The investigation revealed that the diffusion resistance of zinc ions in the electrode of the ZIB employing the PAM-based GPE and PAM/Cellulose 2.5-based GPE were measured to be 29.17 Ω and 27.47 Ω, respectively. In addition, the ionic conductivity of ZIB utilizing PAM-based GPE and PAM/Cellulose 2.5-based GPE were 8.57 mS/cm and 9.10 mS/cm, respectively. Adding cellulose to the gel electrolyte decreases the resistance to diffusion in batteries and enhances the ionic conductivity of the gel electrolyte [96]. The incorporation of cellulose with hydroxyl functional groups enhances the mobility of zinc ions towards the electrodes more effectively than using just PAM as the electrolyte gel. The experimental results in this section were in agreement with the tests of the EIS spectra of the Zn//Zn symmetric cells shown in Figure 14.
Figure 16.
EIS spectra of ZIBs applying PAM-based GPE and PAM/Cellulose 2.5-based GPE at a voltage of 0.1 V and a frequency range of 0.1 Hz to 100 kHz.
Figure 17a depicts the electrochemical performance of ZIBs using GPEs during the first cycle, with a voltage range of 0.4 to 2.0 V and a scan rate of 1 mV/s. The CV curves of the two Zn batteries, which include a PAM-based GPE and a PAM/Cellulose 2.5-based GPE, are displayed. The Zn battery using the PAM/Cellulose 2.5-based GPE produces a CV curve characterized by broad regions and sharp peaks, similar to the PAM-based GPE. The amount of zinc-ion intercalation into the electrode determines the magnitude of the CV curve, with a larger area indicating a higher concentration of zinc ions intercalated into the electrode. The width of peaks is regulated by the constraining phase of processes, either mass or electron transfer velocity. Accordingly, the sharper peaks propose accelerated transport kinetics in this situation [96]. The peaks are observed at potentials of 1.35 V and 1.65 V, indicating the occurrence of the redox reaction in the ZIB. The peak at the potential of 1.35 V corresponds to the reduction reaction of protons and zinc ions, during which zinc loses electrons and dissolves. The peak observed at the potential of 1.65 V corresponds to the oxidation reaction of zinc. Also, the zinc receives electrons and subsequently incorporates them back into the anode electrode [97]. Furthermore, the addition of cellulose in the gel electrolyte has no impact on the redox reaction of the ZIBs.
Figure 17.
CV curves of (a) ZIBs applying PAM-based GPE and PAM/Cellulose 2.5-based GPE for the first cycle, and (b) ZIB applying PAM/Cellulose 2.5-based GPE for the first, second, and third cycles.
Moreover, the use of the ZIB with the PAM/Cellulose 2.5-based GPE was evaluated using the CV method for the first, second, and third cycles. The voltage range used was 0.4 V to 2.0 V, and the scan rate was set at 1 mV/s. Figure 17b proves that the CV properties of ZIB remained constant when the scanning rate was repeated for 3 cycles. This demonstrates that the pattern of reduction and oxidation reactions remained constant. Two distinct peaks were seen at the same potentials of 1.35 V and 1.65 V, suggesting that the application of a PAM/Cellulose 2.5-based GPE in ZIB does not impact the redox reaction of the ZIB.
The rate capability of ZIBs with the PAM-based GPE and the PAM/Cellulose 2.5-based GPE was investigated. The GCD cycling experiments were performed at various current densities (0.05, 0.1, 0.3, 0.5, 0.7, 0.9, and 1.0 A/g) for 5 cycles at each current. Subsequently, it returned to a current density of 0.1 A/g. It is clearly seen that the ZIB shows a response corresponding to the applied current at the initial 50 cycles (Figure 18a). After 50 cycles, we maintained a constant current of 0.1 A/g for a cycle stability test. The capacity fluctuations observed in the PAM after cycling may be attributed to irregular ion conductivity, indicating instability in the PAM molecular chain under high current loading. In contrast, the PAM combined with cellulose demonstrated higher capacity-retention stability. This improved stability is due to the strong interaction between PAM and cellulose, which provides a robust pathway for Zn2+ transportation during cycling [98].
Figure 18.
Performance of ZIBs applying PAM-based GPE and PAM/Cellulose 2.5-based GPE in terms of (a) rate capability at series current densities of 0.05, 0.1, 0.3, 0.5, 0.7, 0.9, and 1.0 A/g with 5 cycles in each current, (b) extended cycling stability and capacity retention at a constant current density of 1.0 A/g and a voltage range of 0.6 to 1.8 V, and (c) voltage profiles of ZIBs at current densities of 0.05, 0.1, 0.3, 0.5, 0.7, 0.9, and 1.0 A/g.
Figure 18b demonstrates that the ZIBs using the PAM/Cellulose 2.5-based GPE and the PAM-based GPE have capacity retention values of about 50% and 10%, respectively, after 200 cycles. The addition of cellulose in the gel electrolyte, which contains hydroxyl functional groups in the polymer chain, facilitates the transportation of zinc ions towards the electrodes during the current supply and charging process [99,100]. Additionally, Figure 18c presents the charge-discharge curves of ZIBs for current densities of 0.05, 0.1, 0.3, 0.5, 0.7, 0.9, and 1.0 A/g. Capacity reversal is common in MnO2, especially in aqueous rechargeable ZIBs, due to the activation of the MnO2 cathode and the initial influx of Zn2+ ions. After reaching maximum capacity, the PAM shows a decreased performance as the Zn(OH)42− complexes disperse from the Zn electrode, leading to loss of active material. Additionally, in the presence of the Zn(OH)42−, dendrite growth and H2 evolution are key issues that cause irreversible reactions in ZIBs with high levels of Zn(OH)42− complexes, leading to Zn electrode degradation and reduced performance. PAM with cellulose effectively inhibits Zn dendrite formation and reduces interface resistance. The well-dispersed hydrophilic cellulose in the PAM matrix interacts with Zn2+ ion to suppress undesired reactions at the Zn surface, such as dendrite formation, a hydrogen evolution reaction (HER), and a passive ZnO inactive layer. Moreover, this improves ion diffusion and reaction kinetics, leading to better capacity retention and to the enhanced cycling performance of ZIBs. Overall, this explanation aligns with plating/stripping studies of Zn//Zn using PAM and PAM-cellulose.
GPEs based on organic polymers have advantages in all-organic batteries, including high flexibility, tunable properties, and compatibility with organic electrode materials [101]. Table 2 compares several GPE compositions in terms of the preparation process, specific capacity, cyclic stability, and ionic conductivity for different battery systems. The electrochemical properties of PAM/Cellulose 2.5-based GPE determined in this study are similar to the range of values reported by previous researchers [102,103,104].
Table 2.
Comparative analysis of several GPE compositions, including the preparation processes, specific capacities, cyclic stabilities, and ionic conductivities for various battery systems.
4. Conclusions
This study involves the use of cellulose extracted from CS to produce a CSC/PAM gel electrolyte for ZIB applications. The addition of cellulose into the GPE resulted in an enhancement of the Young’s modulus and of the tensile strength of the PAM/Cellulose-based GPE, higher than the properties of the pure PAM-based GPE. The PAM/Cellulose 2.5-based GPE has the lowest water content value (46.51%) compared to all other GPEs. The Zn//Zn symmetric cells, using a PAM/Cellulose 2.5-based GPE, have a cycling lifetime of over 220 h, which is the longest stable duration. The presence of cellulose in the gel electrolyte improves the mobility and conductivity of Zn2+ ions. The gel electrolyte composed of PAM/Cellulose 2.5 has a superior ionic conductivity of 36.51 mS/cm, above the ionic conductivity of 25.85 mS/cm reported in the PAM-based GPE. Furthermore, the application of a PAM/Cellulose 2.5-based GPE in a battery does not affect the redox reaction of the ZIB. Hence, the notable advantages achieved with the incorporation of cellulose highlight the potential of PAM/Cellulose 2.5-based GPE as innovative gel electrolytes for secure, flexible, and effective rechargeable ZIBs.
Author Contributions
Conceptualization, V.L. and A.B.; methodology, V.L., A.B. and P.P.; software, A.B. and P.P.; validation, V.L., J.K., P.D., A.B. and P.P.; formal analysis, V.L., J.K., P.D., A.B. and P.P.; investigation, J.K., P.D. and P.P.; resources, V.L., A.B. and P.P.; data curation, V.L., A.B. and P.P.; writing—original draft preparation, V.L. and A.B.; writing—review and editing, V.L., A.B. and P.P.; visualization, A.B.; supervision, A.B.; project administration, A.B.; funding acquisition, V.L., A.B. and P.P. All authors have read and agreed to the published version of the manuscript.
Funding
The Department of Materials Science and Engineering (MATSE), Faculty of Engineering and Industrial Technology (EnTech), Silpakorn University (SU) provides financial support for this project.
Institutional Review Board Statement
Not applicable.
Informed Consent Statement
Not applicable.
Data Availability Statement
The data can be obtained from the corresponding author, Associate Professor Achanai Buasri, via email at achanai130@gmail.com.
Acknowledgments
The following organizations provided support for this work: (i) Silpakorn University (SU), (ii) Café Amazon Regional Store Operation Division, and (iii) Quality Analysis and Product Research & Development Department, New Energy Solutions.
Conflicts of Interest
The authors have declared no conflicts of interest.
Abbreviations
| ZIB | Zinc-ion battery |
| LIB | Lithium-ion battery |
| SSB | Solid-state battery |
| EV | Electric vehicles |
| SEI | Solid electrolyte interface |
| SPE | Solid polymer electrolyte |
| LE | Liquid electrolyte |
| SeSE | Semi-solid electrolyte |
| GPE | Gel polymer electrolyte |
| PE | Polymer electrolyte |
| HPE | Hybrid polymer electrolyte |
| CS | Coffee silverskin |
| ACS | Alkali-treated coffee silverskin |
| BCS | Bleached coffee silverskin |
| CSC | Coffee silverskin cellulose |
| NC | Nanocellulose |
| CMC | Carboxymethyl cellulose |
| CA | Cellulose acetate |
| AM | Acrylamide monomer |
| PAM | Polyacrylamide |
| PAN | Polyacrylonitrile |
| PEO | Polyethylene oxide |
| PVA | Polyvinyl alcohol |
| PVDF | Polyvinylidene fluoride |
| NMP | N-Methyl-2-pyrrolidone |
| Semi-IPN | Semi-interpenetrating |
| Tg | Glass transition temperature |
| Td | Decomposition temperature |
| CrI | Crystallinity index |
| WC | Water content |
| AC | Alternating current |
| Rs | Solution resistance |
| Ret | Electron transfer resistance |
| FT-IR | Fourier transform infrared spectroscopy |
| XRD | X-ray diffraction |
| TGA | Thermogravimetric analyzer |
| DTG | Derivative thermogravimetry |
| FE-SEM | Field-emission scanning electron microscope |
| TTS | Tensile test machine |
| EIS | Electrochemical impedance spectroscopy |
| CV | Cyclic voltammetry |
| GCD | Galvanostatic charge-discharge |
| HER | Hydrogen evolution reaction |
References
- Li, F.; Zhu, Y.; Ueno, H.; Deng, T. An electrochemically prepared mixed phase of cobalt hydroxide/oxyhydroxide as a cathode for aqueous zinc ion batteries. Inorganics 2023, 11, 400. [Google Scholar] [CrossRef]
- Samarin, A.S.; Ivanov, A.V.; Fedotov, S.S. Toward efficient recycling of vanadium phosphate-based sodium-ion batteries: A review. Clean Technol. 2023, 5, 881–900. [Google Scholar] [CrossRef]
- Panloetparnich, W.; Loryuenyong, V.; Buasri, A. Facile synthesis of polyaniline-nickel oxide composites via interfacial polymerization. Mater. Today Proc. 2022, 52, 2485–2489. [Google Scholar] [CrossRef]
- Shahverdi, M.; Mazzola, M.; Doude, M.; Grice, Q.; Gafford, J.; Sockeel, N. An experiment-based methodology for evaluating the impacts of full bandwidth load on the hybrid energy storage system for electrified vehicles. Sci 2019, 1, 26. [Google Scholar] [CrossRef]
- Dulău, L.-I. CO2 emissions of battery electric vehicles and hydrogen fuel cell vehicles. Clean Technol. 2023, 5, 696–712. [Google Scholar] [CrossRef]
- Panloetparnich, W.; Loryuenyong, V.; Buasri, A. The preparation of composites between polyaniline-silver (PANI-Ag) via interfacial polymerization. IOP Conf. Ser. Mater. Sci. Eng. 2020, 965, 012015. [Google Scholar] [CrossRef]
- Gao, L.; Zhan, H.; Feng, G.; Ma, Y.; Zhang, C.; Zhang, Y.; Cao, M. Engineering mesoporous Na4Mn0.9Ni0.1V(PO4)3@NC microspheres cathode towards advanced sodium ion batteries. J. Energy Storage 2024, 97, 112890. [Google Scholar] [CrossRef]
- Rauh, A.; Lahme, M.; Benzinane, O. A comparison of the use of Pontryagin’s maximum principle and reinforcement learning techniques for the optimal charging of lithium-ion batteries. Clean Technol. 2022, 4, 1269–1289. [Google Scholar] [CrossRef]
- Lakshmi-Narayana, A.; Hussain, O.M.; Mauger, A.; Julien, C.M. Transport properties of nanostructured Li2TiO3 anode material synthesized by hydrothermal method. Sci 2019, 1, 56. [Google Scholar] [CrossRef]
- Rangarajan, S.S.; Sunddararaj, S.P.; Sudhakar, A.; Shiva, C.K.; Subramaniam, U.; Collins, E.R.; Senjyu, T. Lithium-ion batteries—The crux of electric vehicles with opportunities and challenges. Clean Technol. 2022, 4, 908–930. [Google Scholar] [CrossRef]
- Gao, L.; Ma, Y.; Cao, M. Self-supported Se-doped Na2Ti3O7 arrays for high performance sodium ion batteries. Int. J. Hydrogen Energy 2024, 49, 1–10. [Google Scholar] [CrossRef]
- Jia, X.; Yan, K.; Sun, Y.; Chen, Y.; Tang, Y.; Pan, J.; Wan, P. Solvothermal guided V2O5 microspherical nanoparticles constructing high-performance aqueous zinc-ion batteries. Materials 2024, 17, 1660. [Google Scholar] [CrossRef] [PubMed]
- Zheng, S.; Chen, J.; Wu, T.; Li, R.; Zhao, X.; Pang, Y.; Pan, Z. Rational design of Ni-doped V2O5@3D Ni core/shell composites for high-voltage and high-rate aqueous zinc-ion batteries. Materials 2024, 17, 215. [Google Scholar] [CrossRef] [PubMed]
- Liu, Y.; Zhang, Y.; Wu, X. Polypyrrole film decorated manganese oxide electrode materials for high-efficient aqueous zinc ion battery. Crystals 2023, 13, 1445. [Google Scholar] [CrossRef]
- Gao, L.; Ma, Y.; Zhang, C.; Cao, M. Nitrogen-doped carbon trapped MnMoO4 microrods toward high performance aqueous zinc-ion battery. J. Alloys Compd. 2023, 968, 172008. [Google Scholar] [CrossRef]
- Liu, X.; Yue, L.; Dong, W.; Qu, Y.; Sun, X.; Chen, L. Sodium citrate electrolyte additive to improve zinc anode behavior in aqueous zinc-ion batteries. Batteries 2024, 10, 97. [Google Scholar] [CrossRef]
- Cao, B.; Xu, C.; Jiang, B.; Jin, B.; Zhang, J.; Ling, L.; Lu, Y.; Zou, T.; Zhang, T. Electrolyte optimization strategy: Enabling stable and eco-friendly zinc adaptive interfacial layer in zinc ion batteries. Molecules 2024, 29, 874. [Google Scholar] [CrossRef]
- Yin, H.; Liu, Y.; Zhu, Y.; Ye, F.; Xu, G.; Lin, M.; Kang, W. Bimetal-initiated concerted Zn regulation enabling highly stable aqueous Zn-ion batteries. Batteries 2024, 10, 70. [Google Scholar] [CrossRef]
- Lionetto, F.; Arianpouya, N.; Bozzini, B.; Maffezzoli, A.; Nematollahi, M.; Mele, C. Advances in zinc-ion structural batteries. J. Energy Storage 2024, 84, 110849. [Google Scholar] [CrossRef]
- Chang, K.; Zhao, S.; Deng, W. Achieving long-cycle-life zinc-ion batteries through a zincophilic Prussian blue analogue interphase. Molecules 2024, 29, 1501. [Google Scholar] [CrossRef] [PubMed]
- Lin, H.; Cheng, H.; Zhang, Y. Improving zinc-ion batteries’ performance: The role of nitrogen doping in V2O3/C cathodes. Inorganics 2024, 12, 117. [Google Scholar] [CrossRef]
- Liang, Z.; Lv, C.; Wang, L.; Li, X.; Cheng, S.; Huo, Y. Design of hollow porous P-NiCo2O4@Co3O4 nanoarray and its alkaline aqueous zinc-ion battery performance. Int. J. Mol. Sci. 2023, 24, 15548. [Google Scholar] [CrossRef]
- Ruan, P.; Liang, S.; Lu, B.; Fan, H.J.; Zhou, J. Design strategies for high-energy-density aqueous zinc batteries. Angew. Chem. 2022, 134, e202200598. [Google Scholar] [CrossRef]
- Dang, J.; Yin, M.; Pan, D.; Tian, Z.; Chen, G.; Zou, J.; Miao, H.; Wang, Q.; Yuan, J. Four-functional iron/copper sulfide heterostructure for alkaline hybrid zinc batteries and water splitting. Chem. Eng. J. 2023, 457, 141357. [Google Scholar]
- Cordeiro, I.M.D.C.; Li, A.; Lin, B.; Ma, D.X.; Xu, L.; Eh, A.L.-S.; Wang, W. Solid polymer electrolytes for zinc-ion batteries. Batteries 2023, 9, 343. [Google Scholar] [CrossRef]
- Yao, W.; Zheng, Z.; Zhou, J.; Liu, D.; Song, J.; Zhu, Y. A minireview of the solid-state electrolytes for zinc batteries. Polymers 2023, 15, 4047. [Google Scholar] [CrossRef]
- Zhang, Z.; Fang, Z.; Xiang, Y.; Liu, D.; Xie, Z.; Qu, D.; Sun, M.; Tang, H.; Li, J. Cellulose-based material in lithium-sulfur batteries: A review. Carbohydr. Polym. 2021, 255, 117469. [Google Scholar] [PubMed]
- Agate, S.; Joyce, M.; Lucia, L.; Pal, L. Cellulose and nanocellulose-based flexible-hybrid printed electronics and conductive composites—A review. Carbohydr. Polym. 2018, 198, 249–260. [Google Scholar] [CrossRef] [PubMed]
- Buasri, A.; Ojchariyakul, S.; Kaewmanechai, P.; Eakviriyapichat, W.; Loryuenyong, V. The fabrication of multicolor electrochromic device based on graphene conductive ink/poly(Lactic acid) thin films by voltage-step method. Optoelectron. Adv. Mater.–Rapid Commun. 2018, 12, 388–393. [Google Scholar]
- Buasri, A.; Chinaphong, T.; Muangkum, P.; Telakul, A.; Loryuenyong, V. Green synthesis of reduced graphene oxide using pomelo peel and its application in electrochromic device. AIP Conf. Proc. 2021, 2397, 070006. [Google Scholar]
- Das, A.K.; Islam, M.N.; Ghosh, R.K.; Maryana, R. Cellulose-based bionanocomposites in energy storage applications—A review. Heliyon 2023, 9, e13028. [Google Scholar] [CrossRef] [PubMed]
- Poompiew, N.; Pattananuwat, P.; Potiyaraj, P. Controllable morphology of sea-urchin-like nickel−cobalt carbonate hydroxide as a supercapacitor electrode with battery-like behavior. ACS Omega 2021, 6, 25138–25150. [Google Scholar] [CrossRef] [PubMed]
- Hadad, S.; Hamrahjoo, M.; Dehghani, E.; Salami-Kalajahi, M.; Eliseeva, S.N.; Moghaddam, A.R.; Roghani-Mamaqani, H. Cellulose-based solid and gel polymer electrolytes with super high ionic conductivity and charge capacity for high performance lithium ion batteries. Sustain. Mater. Technol. 2022, 33, e00503. [Google Scholar] [CrossRef]
- Khamsanga, S.; Nguyen, M.T.; Yonezawa, T.; Thamyongkit, P.; Pornprasertsuk, R.; Pattananuwat, P.; Tuantranont, A.; Siwamogsatham, S.; Kheawhom, S. MnO2 heterostructure on carbon nanotubes as cathode material for aqueous zinc-ion batteries. Int. J. Mol. Sci. 2020, 21, 4689. [Google Scholar] [CrossRef] [PubMed]
- Poompiew, N.; Jirawatanaporn, N.; Okhawilai, M.; Qin, J.; Román, A.J.; Aumnate, C.; Osswald, T.A.; Potiyaraj, P. 3D-printed polyacrylamide-based hydrogel polymer electrolytes for flexible zinc-ion battery. Electrochim. Acta 2023, 466, 143076. [Google Scholar] [CrossRef]
- Buasri, A.; Ananganjanakit, T.; Peangkom, N.; Khantasema, P.; Pleeram, K.; Lakaeo, A.; Arthnukarn, J.; Loryuenyong, V. A facile route for the synthesis of reduced graphene oxide (RGO) by DVD laser scribing and its applications in the environment-friendly electrochromic devices (ECD). J. Optoelectron. Adv. M 2017, 19, 492–500. [Google Scholar]
- Cruz-Balaz, M.I.; Bósquez-Cáceres, M.F.; Delgado, A.D.; Arjona, N.; Morera Córdova, V.; Álvarez-Contreras, L.; Tafur, J.P. Green energy storage: Chitosan-avocado starch hydrogels for a novel generation of zinc battery electrolytes. Polymers 2023, 15, 4398. [Google Scholar] [CrossRef]
- Liu, C.; Tang, X.; Wang, Y.; Sacci, R.L.; Bras, W.; Keum, J.K.; Chen, X.C. Ionic conductivity enhancement of polymer electrolytes by directed crystallization. ACS Macro Lett. 2022, 11, 595–602. [Google Scholar] [CrossRef]
- Liu, C.; Sacci, R.L.; Sahore, R.; Veith, G.M.; Dudney, N.J.; Chen, X.C. Polyacrylonitrile-based electrolytes: How processing and residual solvent affect ion transport and stability. J. Power Sources 2022, 527, 231165. [Google Scholar] [CrossRef]
- Bao, H.; Pu, W.; Gao, H. Synthesis and characterization of acrylamide/zeolite nanocomposite hydrogels for aqueous zinc-ion batteries. Alex. Eng. J. 2024, 87, 417–423. [Google Scholar] [CrossRef]
- Kao-ian, W.; Mohamad, A.A.; Liu, W.-R.; Pornprasertsuk, R.; Siwamogsatham, S.; Kheawhom, S. Stability enhancement of zinc-ion batteries using non-aqueous electrolytes. Batter. Supercaps 2022, 5, e202100361. [Google Scholar] [CrossRef]
- Wang, M.; Fan, L.; Qin, G.; Hu, X.; Wang, Y.; Wang, C.; Yang, J.; Chen, Q. Flexible and low temperature resistant semi-IPN network gel polymer electrolyte membrane and its application in supercapacitor. J. Membr. Sci. 2020, 597, 117740. [Google Scholar] [CrossRef]
- Li, Y.; Yuan, J.; Qiao, Y.; Xu, H.; Zhang, Z.; Zhang, W.; He, G.; Chen, H. Recent progress in structural modification of polymer gel electrolytes for use in solid-state zinc-ion batteries. Dalton Trans. 2023, 52, 11780–11796. [Google Scholar] [CrossRef]
- Guo, Y.; Lim, G.J.H.; Verma, V.; Cai, Y.; Chua, R.; Nicholas Lim, J.J.; Srinivasan, M. Solid state zinc and aluminum ion batteries: Challenges and opportunities. ChemSusChem 2023, 16, e202202297. [Google Scholar] [CrossRef]
- Wang, D.; Li, H.; Liu, Z.; Tang, Z.; Liang, G.; Mo, F.; Yang, Q.; Ma, L.; Zhi, C. A Nanofibrillated cellulose/polyacrylamide electrolyte-based flexible and sewable high-performance Zn–MnO2 battery with superior shear resistance. Small 2018, 14, 1803978. [Google Scholar] [CrossRef] [PubMed]
- Ma, L.; Chen, S.; Long, C.; Li, X.; Zhao, Y.; Liu, Z.; Huang, Z.; Dong, B.; Zapien, J.A.; Zhi, C. Achieving high-voltage and high-capacity aqueous rechargeable zinc ion battery by incorporating two-species redox reaction. Adv. Energy Mater. 2019, 9, 1902446. [Google Scholar] [CrossRef]
- Xu, W.; Liu, C.; Wu, Q.; Xie, W.; Kim, W.-Y.; Lee, S.-Y.; Gwon, J. A stretchable solid-state zinc ion battery based on a cellulose nanofiber–polyacrylamide hydrogel electrolyte and a Mg0.23V2O5·1.0H2O cathode. J. Mater. Chem. A 2020, 8, 18327. [Google Scholar] [CrossRef]
- Lee, Y.-G.; Cho, E.-J.; Maskey, S.; Nguyen, D.-T.; Bae, H.-J. Value-added products from coffee waste: A review. Molecules 2023, 28, 3562. [Google Scholar] [CrossRef]
- Gondim, F.F.; Rodrigues, J.G.P.; Aguiar, V.O.; de Fátima Vieira Marques, M.; Monteiro, S.N. Biocomposites of cellulose isolated from coffee processing by-products and incorporation in poly(butylene adipate-co-terephthalate) (PBAT) matrix: An overview. Polymers 2024, 16, 314. [Google Scholar] [CrossRef]
- Narita, Y.; Inouye, K. Review on utilization and composition of coffee silverskin. Food Res. Int. 2014, 61, 16–22. [Google Scholar] [CrossRef]
- Bianchi, S.; Vannini, M.; Sisti, L.; Marchese, P.; Mallegni, N.; Rodríguez, Ó.; Kohnen, S.; Tchoumtchoua, J.; Cinelli, P.; Celli, A. Valorization of coffee silverskin by cascade extraction of valuable biomolecules: Preparation of eco-friendly composites as the ultimate step. Biofuels Bioprod. Bioref. 2024, 18, 524–542. [Google Scholar] [CrossRef]
- Liu, X.; Sun, H.; Leng, X. Coffee silverskin cellulose-based composite film with natural pigments for food packaging: Physicochemical and sensory abilities. Foods 2023, 12, 2839. [Google Scholar] [CrossRef] [PubMed]
- Górska, A.; Brzezińska, R.; Wirkowska-Wojdyła, M.; Bryś, J.; Domian, E.; Ostrowska-Ligęza, E. Application of thermal methods to analyze the properties of coffee silverskin and oil extracted from the studied roasting by-product. Appl. Sci. 2020, 10, 8790. [Google Scholar] [CrossRef]
- Guo, S.; Li, Q.; Huang, J.; Chen, Z.; Ma, D.; Wang, J. High-performance electrochromic device based on poly acrylamide gel polymer electrolyte containing hypromellose. Electrochim. Acta 2024, 476, 143721. [Google Scholar] [CrossRef]
- Abbasi, A.; Xu, Y.; Abouzari-Lotf, E.; Etesami, M.; Khezri, R.; Risse, S.; Kardjilov, N.; Tran, K.V.; Jia, H.; Somwangthanaroj, A.; et al. Phosphonated graphene oxide-modified polyacrylamide hydrogel electrolytes for solid-state zinc-ion batteries. Electrochim. Acta 2022, 435, 141365. [Google Scholar] [CrossRef]
- Xun, Z.; Liu, Y.; Gu, J.; Liu, L.; Huo, P. A biomass-based redox gel polymer electrolyte for improving energy density of flexible supercapacitor. J. Electrochem. Soc. 2019, 166, A2300–A2312. [Google Scholar] [CrossRef]
- Li, H.F.; Han, C.P.; Huang, Y.; Huang, Y.; Zhu, M.S.; Pei, Z.X.; Xue, Q.; Wang, Z.F.; Liu, Z.X.; Tang, Z.J.; et al. An extremely safe and wearable solid-state zinc ion battery based on a hierarchical structured polymer electrolyte. Energy Environ. Sci. 2018, 11, 941–951. [Google Scholar] [CrossRef]
- Huang, J.Q.; Chi, X.W.; Yang, J.H.; Liu, Y. An ultrastable Na-Zn solid-state hybrid battery enabled by a robust dual-cross-linked polymer electrolyte. ACS Appl. Mater. Interfaces 2020, 12, 17583–17591. [Google Scholar] [CrossRef]
- Rathika, R.; Padmaraj, O.; Suthanthiraraj, S.A. Electrical conductivity and dielectric relaxation behaviour of PEO/PVdF-based solid polymer blend electrolytes for zinc battery applications. Ionics 2017, 24, 243–255. [Google Scholar] [CrossRef]
- Ouajai, S.; Shanks, R.A. Composition, structure and thermal degradation of hemp cellulose after chemical treatments. Polym. Degrad. Stab. 2005, 89, 327–335. [Google Scholar] [CrossRef]
- Alghooneh, A.; Amini, A.M.; Behrouzian, F.; Razavi, S.M.A. Characterisation of cellulose from coffee silverskin. Int. J. Food Prop. 2017, 20, 2830–2843. [Google Scholar] [CrossRef]
- Sung, S.H.; Chang, Y.; Han, J. Development of polylactic acid nanocomposite films reinforced with cellulose nanocrystals derived from coffee silverskin. Carbohydr. Polym. 2017, 169, 495–503. [Google Scholar] [CrossRef]
- Wang, X.; Li, X.; Fan, H.; Ma, L. Solid electrolyte interface in Zn-based battery systems. Nano-Micro Lett. 2022, 14, 205. [Google Scholar] [CrossRef] [PubMed]
- Weng, G.; Yang, X.; Wang, Z.; Xu, Y.; Liu, R. Hydrogel electrolyte enabled high-performance flexible aqueous zinc ion energy storage systems toward wearable electronics. Small 2023, 19, 2303949. [Google Scholar] [CrossRef] [PubMed]
- Li, W.; Pang, Y.; Liu, J.; Liu, G.; Wang, Y.; Xia, Y. A PEO-based gel polymer electrolyte for lithium ion batteries. RSC Adv. 2017, 7, 23494. [Google Scholar] [CrossRef]
- Lin, Y.-H.; Huang, W.-T.; Huang, Y.-T.; Jhang, Y.-N.; Shih, T.-T.; Yılmaz, M.; Deng, M.-J. Evaluation of polymer gel electrolytes for use in MnO2 symmetric flexible electrochemical supercapacitors. Polymers 2023, 15, 3438. [Google Scholar] [CrossRef] [PubMed]
- Sarasini, F.; Tirillò, J.; Zuorro, A.; Maffei, G.; Lavecchia, R.; Puglia, D.; Dominici, F.; Luzi, F.; Valente, T.; Torre, L. Recycling coffee silverskin in sustainable composites based on a poly (butylene adipate-co-terephthalate)/poly (3-hydroxybutyrate-co-3-hydroxyvalerate) matrix. Ind. Crop. Prod. 2018, 118, 311–320. [Google Scholar] [CrossRef]
- Dominici, F.; García, D.G.; Fombuena, V.; Luzi, F.; Puglia, D.; Torre, L.; Balart, R. Bio-polyethylene-based composites reinforced with alkali and palmitoyl chloride-treated coffee silverskin. Molecules 2019, 24, 3113. [Google Scholar] [CrossRef]
- Kumar, A.; Negi, Y.S.; Choudhary, V.; Bhardwaj, N.K. Characterization of cellulose nanocrystals produced by acid-hydrolysis from sugarcane bagasse as agro-waste. J. Mater. Phys. Chem. 2014, 2, 1–8. [Google Scholar] [CrossRef]
- Zuluaga, R.; Putaux, J.L.; Cruz, J.; Vélez, J.; Mondragon, I.; Gañán, P. Cellulose microfibrils from banana rachis: Effect of alkaline treatments on structural and morphological features. Carbohydr. Polym. 2009, 76, 51–59. [Google Scholar] [CrossRef]
- French, A.D. Idealized powder diffraction patterns for cellulose polymorphs. Cellulose 2014, 21, 885–896. [Google Scholar] [CrossRef]
- El Achaby, M.; Fayoud, N.; Figueroa-Espinoza, M.C.; Ben Youcef, H.; Aboulkas, A. New highly hydrated cellulose microfibrils with a tendril helical morphology extracted from agro-waste material: Application to removal of dyes from waste water. RSC Adv. 2018, 8, 5212–5224. [Google Scholar] [CrossRef]
- El Achaby, M.; Ruesgas-Ramón, M.; Fayoud, N.-E.H.; Figueroa-Espinoza, M.C.; Trabadelo, V.; Draoui, K.; Ben Youcef, H. Bio-sourced porous cellulose microfibrils from coffee pulp for wastewater treatment. Cellulose 2019, 26, 3873–3889. [Google Scholar] [CrossRef]
- Ballesteros, L.F.; Teixeira, J.A.; Mussatto, S.I. Chemical, functional, and structural properties of spent coffee grounds and coffee silverskin. Food Bioprocess Technol. 2014, 7, 3493–3503. [Google Scholar] [CrossRef]
- Zhou, L.; He, H.; Jiang, C.; Ma, L.; Yu, P. Cellulose nanocrystals from cotton stalk for reinforcement of poly(vinyl alcohol) composites. Cellul. Chem. Technol. 2017, 51, 109–119. [Google Scholar]
- Mussatto, S.I.; Machado, E.M.S.; Martins, S.; Teixeira, J.A. Production, composition, and application of coffee and its industrial residues. Food Bioprocess Technol. 2011, 4, 661–672. [Google Scholar] [CrossRef]
- Dittenber, D.B.; GangaRao, H.V.S. Critical review of recent publications on use of natural composites in infrastructure. Compos. A Appl. Sci. Manuf. 2012, 43, 1419–1429. [Google Scholar] [CrossRef]
- Ochoa, D.R.H.; Rojas-Vargas, J.A.; Costa, Y. Characterization of NaOH-treated Colombian silverskin coffee fiber as a composite reinforcement. BioResources 2017, 12, 8803–8812. [Google Scholar] [CrossRef]
- Hao, L.; Wang, P.; Valiyaveettil, S. Successive extraction of As(V), Cu(II) and P(V) ions from water using spent coffee powder as renewable bioadsorbents. Sci. Rep. 2017, 7, 42881. [Google Scholar] [CrossRef]
- Ma, G.; Miao, L.; Dong, Y.; Yuan, W.; Nie, X.; Di, S.; Wang, Y.; Wang, L.; Zhang, N. Reshaping the electrolyte structure and interface chemistry for stable aqueous zinc batteries. Energy Storage Mater. 2022, 47, 203–210. [Google Scholar] [CrossRef]
- Yang, J.; Han, C.-R.; Duan, J.-F.; Ma, M.-G.; Zhang, X.-M.; Xu, F.; Sun, R.-C. Synthesis and characterization of mechanically flexible and tough cellulose nanocrystals–polyacrylamide nanocomposite hydrogels. Cellulose 2013, 20, 227–237. [Google Scholar] [CrossRef]
- Chen, C.; Wang, H.; Li, S.; Fang, L.; Li, D. Reinforcement of cellulose nanofibers in polyacrylamide gels. Cellulose 2017, 24, 5487–5493. [Google Scholar] [CrossRef]
- Zheng, Z.; Shi, W.; Zhou, X.; Zhang, X.; Guo, W.; Shi, X.; Xiong, Y.; Zhu, Y. Agar-based hydrogel polymer electrolyte for high-performance zinc-ion batteries at all climatic temperatures. iScience 2023, 26, 106437. [Google Scholar] [CrossRef] [PubMed]
- Cheng, Y.; Han, K.S.; Nie, Z.; Wang, C.; Yang, J.; Li, X.; Bhattacharya, P.; Karl, T.; Mueller, K.T.; Liu, J. Reversible aqueous zinc/manganese oxide energy storage from conversion reactions. Nat. Energy 2016, 1, 16039–16046. [Google Scholar]
- Ma, D.; He, H.; Huang, X.; Wang, J.; Hu, X. HEC/PAM hydrogel electrolyte toward regulating the surface of zinc negative electrode for inhibited dendrite in zinc-ion batteries. J. Mater. Sci. Mater. Electron. 2024, 35, 140. [Google Scholar] [CrossRef]
- Sun, M.; Ji, G.; Zheng, J. A hydrogel electrolyte with ultrahigh ionic conductivity and transference number benefit from Zn2+ “highways” for dendrite-free Zn-MnO2 battery. Chem. Eng. J. 2023, 463, 142535. [Google Scholar] [CrossRef]
- Li, Z.; Lu, W.; Zhang, N.; Pan, Q.; Chen, Y.; Xu, G.; Zeng, D.; Zhang, Y.; Cai, W.; Yang, M.; et al. Single ion conducting lithium sulfur polymer batteries with improved safety and stability. J. Mater. Chem. A 2018, 6, 14330–14338. [Google Scholar] [CrossRef]
- Chan, C.Y.; Wang, Z.; Li, Y.; Yu, H.; Fei, B.; Xin, J.H. Single-ion conducting double-network hydrogel electrolytes for long cycling zinc-ion batteries. ACS Appl. Mater. Inter. 2021, 13, 30594–30602. [Google Scholar] [CrossRef] [PubMed]
- Naveed, A.; Yang, H.; Yang, J.; Nuli, Y.; Wang, J. Highly reversible and rechargeable safe Zn batteries based on a triethyl phosphate electrolyte. Angew. Chem. 2019, 58, 2760–2764. [Google Scholar] [CrossRef]
- Cao, L.; Li, D.; Pollard, T.; Deng, T.; Zhang, B.; Yang, C.; Chen, L.; Vatamanu, J.; Hu, E.; Hourwitz, M.J.; et al. Fluorinated interphase enables reversible aqueous zinc battery chemistries. Nat. Nanotechnol. 2021, 16, 902–910. [Google Scholar] [CrossRef]
- Zuo, Y.; Wang, K.; Pei, P.; Wei, M.; Liu, X.; Xiao, Y.; Zhang, P. Zinc dendrite growth and inhibition strategies. Mater. Today Energy 2021, 20, 100692. [Google Scholar] [CrossRef]
- Magar, H.S.; Hassan, R.Y.A.; Mulchandani, A. Electrochemical impedance spectroscopy (EIS): Principles, construction, and biosensing applications. Sensors 2021, 21, 6578. [Google Scholar] [CrossRef]
- Faizan, S.; Shah, L.A.; Bakhtawara; Ye, D.; Ahmad, F.; Khan, M.; Ismail, M. Effects of Cu2+/Zn2+ on the electrochemical performance of polyacrylamide hydrogels as advanced flexible electrode materials. RSC Adv. 2022, 12, 19072–19085. [Google Scholar] [CrossRef]
- Nohara, S.; Wada, H.; Furukawa, N.; Inoue, H.; Morita, M.; Iwakura, C. Electrochemical characterization of new electric double layer capacitor with polymer hydrogel electrolyte. Electrochim. Acta 2003, 48, 749–753. [Google Scholar] [CrossRef]
- Hou, G.-M.; Huang, Y.-F.; Ruan, W.-H.; Zhang, M.-Q.; Rong, M.-Z. Hypergrafted nano-silica modified polymer gel electrolyte for high-performance solid-state supercapacitor. J. Solid State Electrochem. 2016, 20, 1903–1911. [Google Scholar] [CrossRef]
- Al-Amin, M.; Islam, S.; Shibly, S.U.A.; Iffat, S. Comparative review on the aqueous zinc-ion batteries (AZIBs) and flexible zinc-ion batteries (FZIBs). Nanomaterials 2022, 12, 3997. [Google Scholar] [CrossRef] [PubMed]
- Ren, Y.; Meng, F.; Zhang, S.; Ping, B.; Li, H.; Yin, B.; Ma, T. CNT@MnO2 composite ink toward a flexible 3D printed micro-zinc-ion battery. Carbon Energy 2022, 4, 446–457. [Google Scholar] [CrossRef]
- Chen, S.; Ying, Y.; Ma, L.; Zhu, D.; Huang, H.; Song, L.; Zhi, C. An asymmetric electrolyte to simultaneously meet contradictory requirements of anode and cathode. Nat. Commun. 2023, 14, 2925. [Google Scholar] [CrossRef] [PubMed]
- Liu, Y.; He, H.; Gao, A.; Ling, J.; Yi, F.; Hao, J.; Li, Q.; Shu, D. Fundamental study on Zn corrosion and dendrite growth in gel electrolyte towards advanced wearable Zn-ion battery. Chem. Eng. J. 2022, 446, 137021. [Google Scholar] [CrossRef]
- Hu, F.; Li, M.; Gao, G.; Fan, H.; Ma, L. The gel-state electrolytes in zinc-ion batteries. Batteries 2022, 8, 214. [Google Scholar] [CrossRef]
- Aruchamy, K.; Ramasundaram, S.; Divya, S.; Chandran, M.; Yun, K.; Oh, T.H. Gel polymer electrolytes: Advancing solid-state batteries for high-performance applications. Gels 2023, 9, 585. [Google Scholar] [CrossRef] [PubMed]
- Muench, S.; Burges, R.; Lex-Balducci, A.; Brendel, J.C.; Jäger, M.; Friebe, C.; Wild, A.; Schubert, U.S. Printable ionic liquid-based gel polymer electrolytes for solid state all-organic batteries. Energy Storage Mater. 2020, 25, 750–755. [Google Scholar] [CrossRef]
- Lei, B.; Li, G.-R.; Chen, P.; Gao, X.-P. A Quasi-solid-state solar rechargeable battery with polyethylene oxide gel electrolyte. ACS Appl. Energy Mater. 2019, 2, 1000–1005. [Google Scholar] [CrossRef]
- Wang, S.; Xiao, X.; Fu, C.; Tu, J.; Tan, Y.; Jiao, S. Room temperature solid state dual-ion batteries based on gel electrolytes. J. Mater. Chem. A 2018, 6, 4313–4323. [Google Scholar] [CrossRef]
Disclaimer/Publisher’s Note: The statements, opinions and data contained in all publications are solely those of the individual author(s) and contributor(s) and not of MDPI and/or the editor(s). MDPI and/or the editor(s) disclaim responsibility for any injury to people or property resulting from any ideas, methods, instructions or products referred to in the content. |
© 2024 by the authors. Licensee MDPI, Basel, Switzerland. This article is an open access article distributed under the terms and conditions of the Creative Commons Attribution (CC BY) license (https://creativecommons.org/licenses/by/4.0/).

















