Thermophysical Investigation of Oldroyd-B Fluid with Functional Effects of Permeability: Memory Effect Study Using Non-Singular Kernel Derivative Approach
Abstract
:1. Introduction
2. Mathematical Model
3. Preliminaries
4. Solution of the Problem
4.1. Exact Solution of Heat Profile
Nusselt Number
4.2. Exact Solution of Velocity Profile
5. Limiting Cases
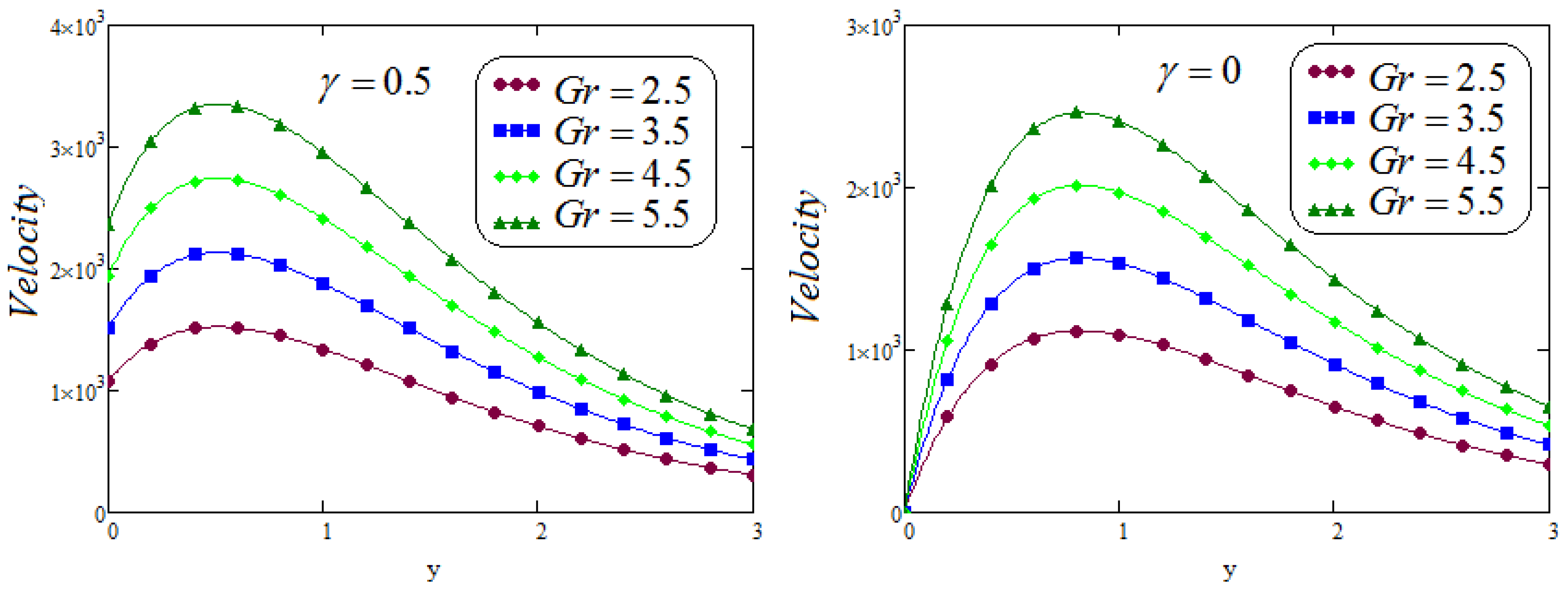
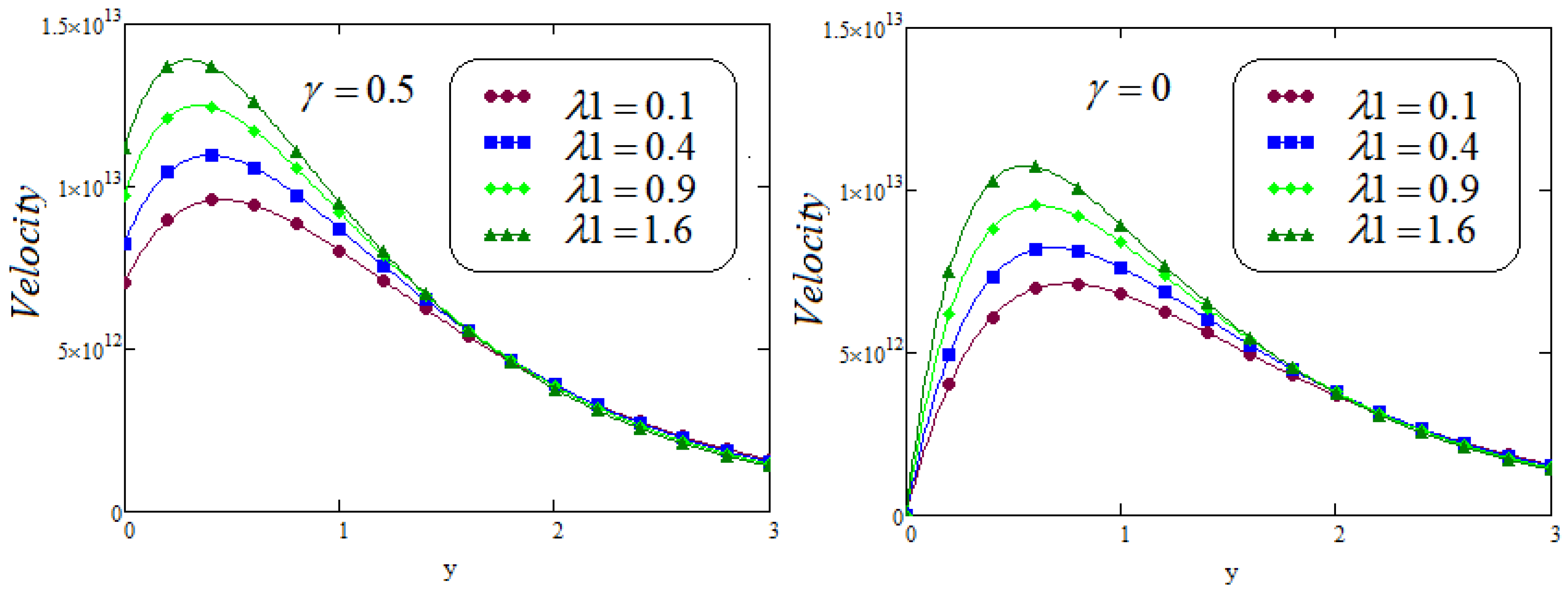
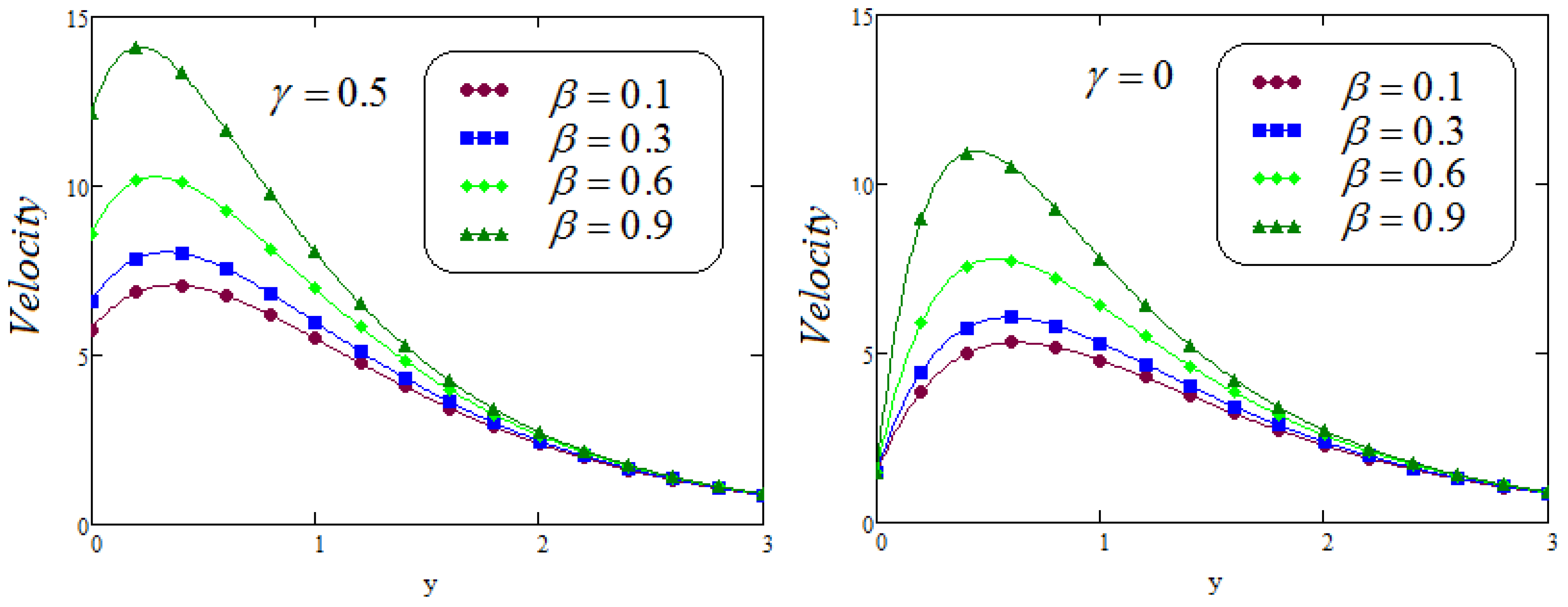
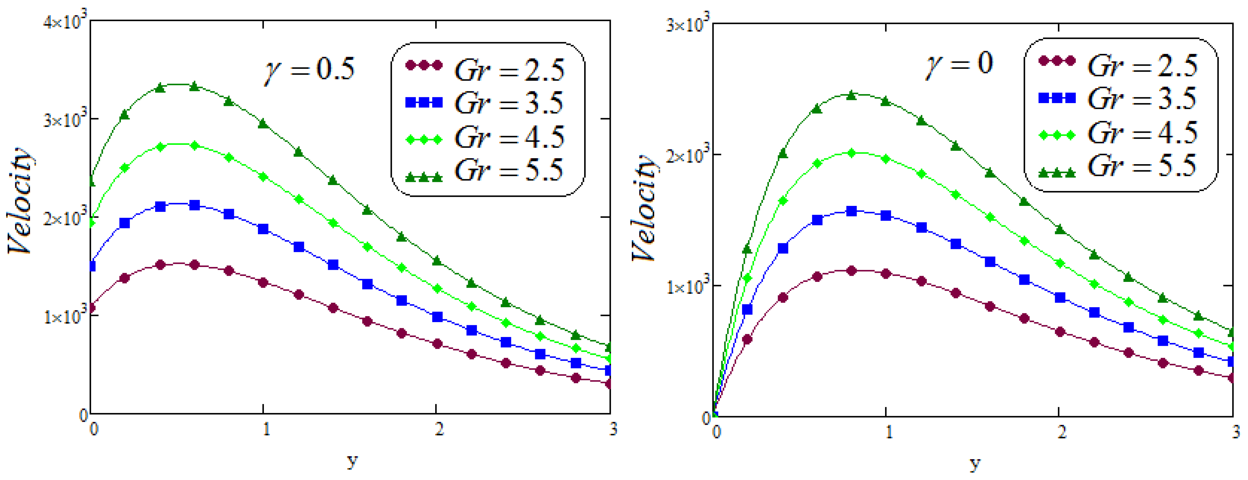
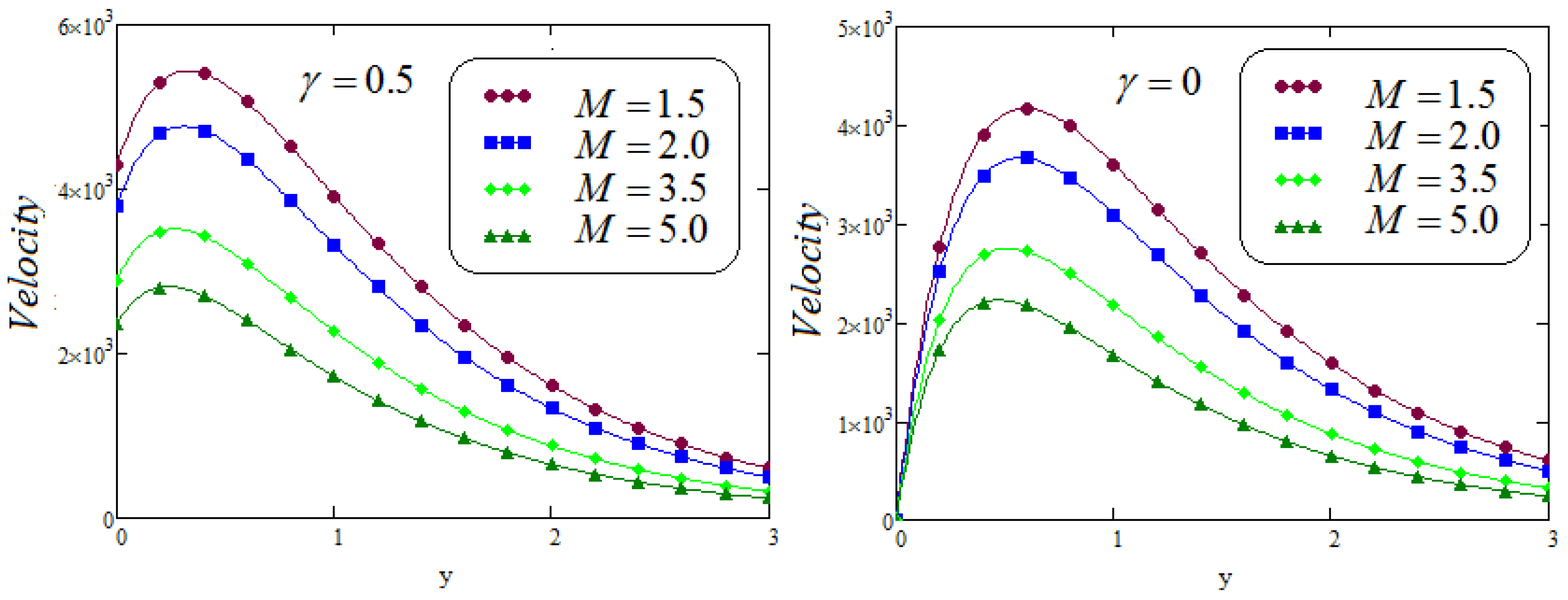
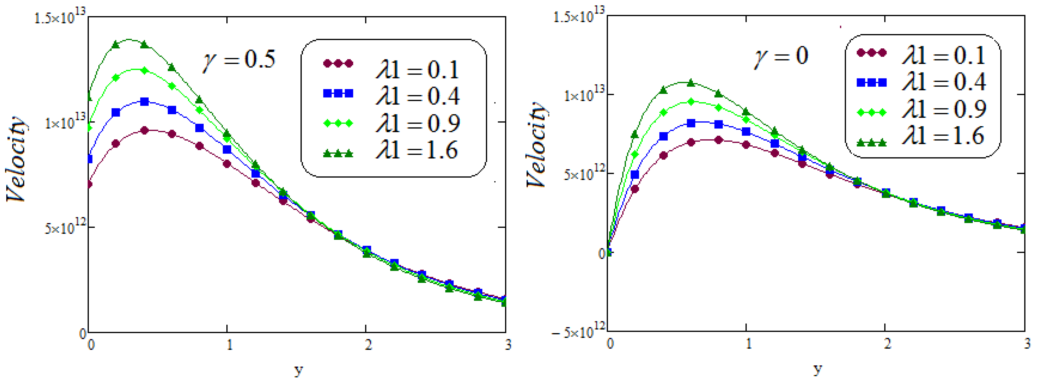
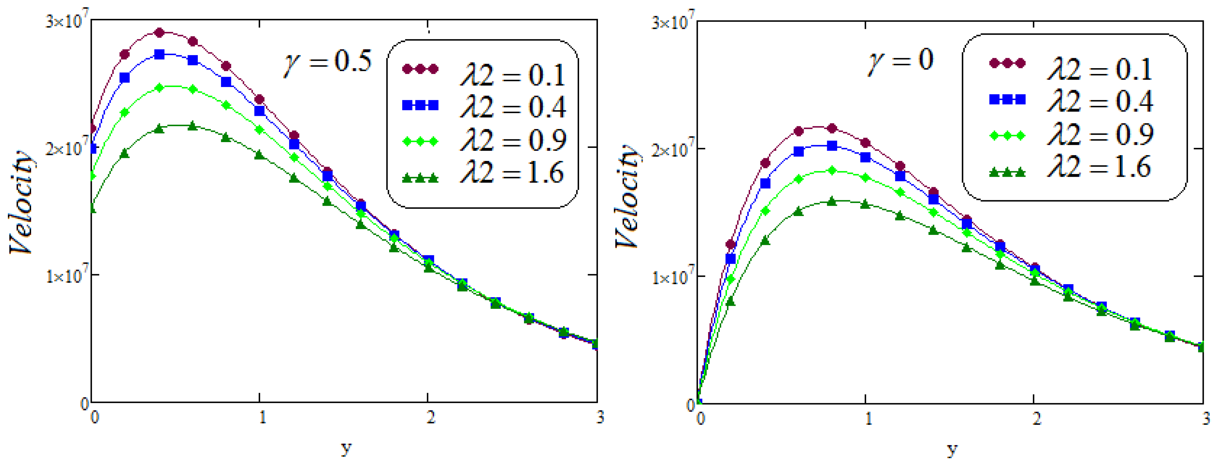
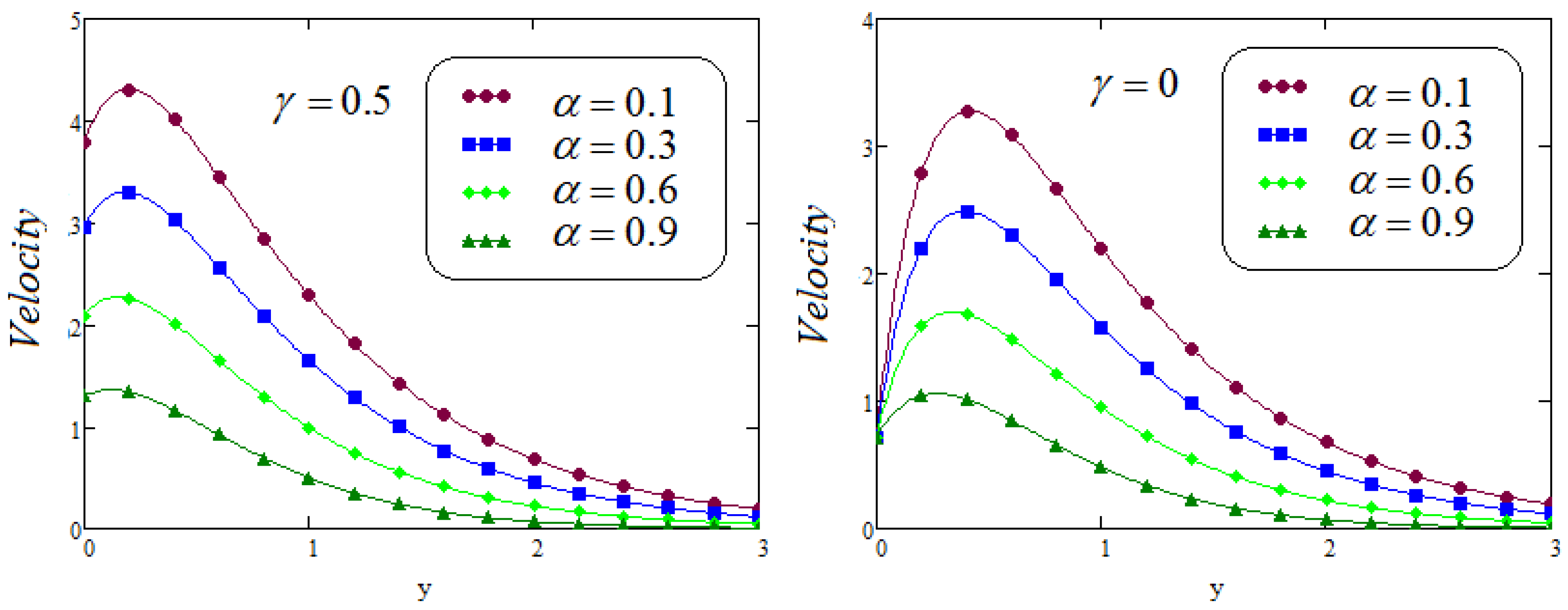
6. Results and Discussion
7. Conclusions
- The temperature field decline with the larger values of ;
- It is examined that the impacts of and on velocity profile are quite opposite;
- The accumulative values of the parameters M and decrease in the velocity distribution noticed;
- The increasing values of the grashof number stimulates the velocity distribution;
- It is analyzed that the effect of fractional parameters and on velocity contour are quite converse;
- Caputo Fabrizio fractional model approaches to classical model when ;
- It is noted that for two different functions and , velocity profile shows same behavior.
Author Contributions
Funding
Institutional Review Board Statement
Informed Consent Statement
Data Availability Statement
Conflicts of Interest
Nomenclature
| Symbol | Quantity | Units |
| Fractional parameters | ||
| Dynamic viscosity | (Kgms) | |
| Kinematic coefficient of viscosity | (ms) | |
| g | Acceleration due to gravity | (ms) |
| Thermal expansion coefficient | (K) | |
| Fluid density | (Kgm) | |
| Electrical conductivity | (sm) | |
| Specific heat at constant pressure | (jKgK) | |
| s | Laplace parameter | |
| Q | Heat generation/absorption | (JKms) |
| Non-dimensional velocity | ||
| Dimensionless temperature | ||
| Thermal Grashof number | ||
| Temperature of the plate | ||
| Temperature of fluid far away from the plat | ||
| Relaxation time | ||
| Retardation time | ||
| Prandtl number | ||
| Imposed Magnetic field | (Wm) | |
| M | Total Magnetic field | |
| k | Thermal conductivity of the fluid | (WmK) |
| t | Time | |
| P | Pressure | (N m) |
References
- Chen, J.L.S.; Smith, T.N. Forced Convection Heat Transfer from Non-isothermal Thin Needles. J. Heat Transf. 1978, 100, 358–362. [Google Scholar] [CrossRef]
- Jambal, O.; Shigechi, T.; Davaa, G.; Momoki, S. Effects of viscous dissipation and fluid axial heat conduction on heat transfer for non-Newtonian fluids in duct with uniform wall temperature. Int. Commun. Heat Mass Transf. 2005, 32, 1165–1173. [Google Scholar] [CrossRef]
- Zan, W.; Lei, W.; Bengt, S. Pressure drop and convective heat transfer of water and nanofluids in a double-pipe helical heat exchanger. Appl. Ther. Eng. 2013, 60, 266–274. [Google Scholar]
- Sheikholeslami, M.; Gorji Bandpy, M.; Ellahi, R.; Zeeshan, A. Simulation of MHD CuO-water nanofluid flow and convective heat transfer considering Lorentz forces. J. Magn. Magn. Mater. 2014, 369, 69–80. [Google Scholar] [CrossRef]
- Kashif, A.A.; Mukarrum, H.; Mirza, M.B. An Analytic Study of Molybdenum Disulfide Nanofluids Using Modern Approach of Atangana-Baleanu Fractional Derivatives. Eur. Phys. J. Plus 2017, 132, 439. [Google Scholar] [CrossRef]
- Bhojraj, L.; Abro, K.A.; Abdul, W.S. Thermodynamical analysis of heat transfer of gravity-driven fluid flow via fractional treatment: An analytical study. J. Ther. Anal. Calorim. 2020, 144. [Google Scholar] [CrossRef]
- Solangi, K.H.; Kazi, S.N.; Luhur, M.R.; Badarudin, A.; Amiri, A.; Sadri, R.; Zubir, M.N.M.; Gharehkhani, S.; Teng, K.H. A comprehensive review of thermo-physical properties and convective heat transfer to nanofluids. Energy 2015, 89, 1065e86. [Google Scholar] [CrossRef]
- Soomro, F.A.; Haq, R.U.; Khan, Z.H.; Zhang, Q. Passive control of nanoparticle due to convective heat transfer of Prandtl fluid model at the stretching surface. Chin. J. Phys. 2017, 55, 1561–1568. [Google Scholar] [CrossRef]
- Shafiq, A.; Hammouch, Z.; Sindhu, T.N. Bioconvective MHD flow of tangent hyperbolic nanofluid with Newtonian heating. Int. J. Mechan. Sci. 2017, 133, 759–766. [Google Scholar] [CrossRef]
- Kashif, A.A.; Ali, D.C.; Irfan, A.A.; Ilyas, K. Dual thermal analysis of magnetohydrodynamic flow of nanofluids via modern approaches of Caputo–Fabrizio and Atangana–Baleanu fractional derivatives embedded in porous medium. J. Ther. Anal. Calorim. 2018, 135, 1–11. [Google Scholar] [CrossRef]
- Hamid, M.; Usman, M.; Khan, Z.H. Dual solutions and stability analysis of flow and heat transfer of Casson fluid over a stretching sheet. Phys. Lett. A 2019, 383, 2400–2408. [Google Scholar] [CrossRef]
- Abro, K.A.; Irfan, A.A.; Sikandar, M.A.; Ilyas, K. On the Thermal Analysis of Magnetohydrodynamic Jeffery Fluid via Modern Non Integer Order derivative. J. King Saud Univ.-Sci. 2019, 31, 973–979. [Google Scholar] [CrossRef]
- Sheikholeslami, M.; Mehryan, S.A.M.; Shafee, A.; Sheremet, M.A. Variable magnetic forces impact on magnetizable hybrid nanofluid heat transfer through a circular cavity. J. Mol. Liq. 2019, 277, 388–396. [Google Scholar] [CrossRef]
- Abdelmalek, Z.; Tayebi, T.; Dogonchi, A.S.; Chamkha, A.J.; Ganji, D.D.; Tlili, I. Role of various configurations of a wavy circular heater on convective heat transfer within an enclosure filled with nanofluid. Int. Commun. Heat Mass Transf. 2020, 113, 104525. [Google Scholar] [CrossRef]
- Kashif, A.A. A Fractional and Analytic Investigation of Thermo-Diffusion Process on Free Convection Flow: An Application to Surface Modification Technology. Eur. Phys. J. Plus 2020, 135. [Google Scholar] [CrossRef]
- Reddy, M.G. Heat and mass transfer on magnetohydrodynamic peristaltic flow in a porous medium with partial slip. Alex. Eng. J. 2016, 55, 1225–1234. [Google Scholar] [CrossRef]
- Kashif, A.A.; Jose, F.G.-A. Fractional modeling of fin on non-Fourier heat conduction via modern fractional differential operators. Arab. J. Sci. Eng. 2021. [Google Scholar] [CrossRef]
- Yin, C.; Zheng, L.; Zhang, C.; Zhang, X. Flow and heat transfer of nanofluids over a rotating disk with uniform stretching rate in the radial direction. Propuls. Power Res. 2017, 6, 25–30. [Google Scholar] [CrossRef]
- Imran, M.A.; Riaz, M.B.; Shah, N.A.; Zafar, A.A. Boundary layer ow of MHD generalized Maxwell fluid over an exponentially accelerated infinite vertical surface with slip and Newtonian heating at the boundary. Results Phys. 2018, 8, 1061–1067. [Google Scholar] [CrossRef]
- Kashif, A.A.; Abdon, A. Role of Non-integer and Integer Order Differentiations on the Relaxation Phenomena of Viscoelastic Fluid. Phys. Script. 2020, 95, 035228. [Google Scholar] [CrossRef]
- Shaheen, A.; Asjad, M.I. Peristaltic flow of a Sisko fluid over a convectively heated surface with viscous dissipation. J. Phys. Chem. Solids 2018, 122, 210–227. [Google Scholar] [CrossRef]
- Patil, P.M.; Shankar, H.F.; Sheremet, M.A. Mixed Convection of Silica–Molybdenum Disulphide/Water Hybrid Nanoliquid over a Rough Sphere. Symmetry 2021, 13, 236. [Google Scholar] [CrossRef]
- Patil, P.M.; Shankar, H.F.; Sheremet, M.A. Nonlinear Mixed Convective Flow over a Moving Yawed Cylinder Driven by Buoyancy. Mathematics 2021, 9, 1275. [Google Scholar] [CrossRef]
- Kashif, A.A. Numerical study and chaotic oscillations for aerodynamic model of wind turbine via fractal and fractional differential operators. Numer. Methods Part. Diff. Eq. 2020, 1–15. [Google Scholar] [CrossRef]
- Wakif, A.; Boulahia, Z.; Mishra, S.R.; Rashidi, M.M.; Sehaqui, R. Influence of a uniform transverse magnetic field on the thermohydrodynamic stability in water-based nanofluids with metallic nanoparticles using the generalized Buongiorno’s mathematical model. Eur. Phys. J. Plus 2018, 133, 181. [Google Scholar] [CrossRef]
- Imran, M.A.; Aleem, M.; Riaz, M.B.; Ali, R.; Khan, I. A comprehensive report on convective flow of fractional (ABC) and (CF) MHD viscous fluid subject to generalized boundary conditions. Chaos Solitons Fractals 2018, 118, 274–289. [Google Scholar] [CrossRef]
- Muhammad, A.; Makinde, O.D. Thermo-dynamic analysis of unsteady MHD mixed convection with slip and thermal radiation over a permeable surface. Defect Diffus. Forum 2017, 374, 29–46. [Google Scholar] [CrossRef]
- Bhatti, M.M.; Rashidi, M.M. Study of heat and mass transfer with Joule heating on magnetohydrodynamic (MHD) peristaltic blood flow under the influence of Hall effect. Propuls. Power Res. 2017, 6, 177–185. [Google Scholar] [CrossRef]
- Imran, Q.M.; Kashif, A.A.; Muhammad, A.S.; Asif, A.S. Functional shape effects of nanoparticles on nanofluid suspended in ethylene glycol through Mittage-Leffler approach. Phys. Script. 2020, 96, 025005. [Google Scholar] [CrossRef]
- Kashif, A.A. Fractional characterization of fluid and synergistic effects of free convective flow in circular pipe through Hankel transform. Phys. Fluids 2020, 32, 123102. [Google Scholar] [CrossRef]
- Riaz, M.B.; Atangana, A.; Saeed, S.T. MHD Free Convection Flow over a Vertical Plate with Ramped Wall Temperature and Chemical Reaction in View of Non-Singular Kernel; Wiley: Hoboken, NJ, USA, 2020; pp. 253–279. [Google Scholar]
- Riaz, M.B.; Saeed, S.T.; Baleanu, D.; Ghalib, M. Computational results with non-singular and non-local kernel flow of viscous fluid in vertical permeable medium with variant temperature. Front. Phys. 2020, 8, 275. [Google Scholar] [CrossRef]
- Ali, A.K.; Abdon, A. Dual fractional modeling of rate type fluid through non-local differentiation. Numer. Methods Part. Diff. Eq. 2020, 1–16. [Google Scholar] [CrossRef]
- Afridi, M.I.; Qasim, M.; Wakif, A.; Hussanan, A. Second law analysis of dissipative nanofluid flow over a curved surface in the presence of Lorentz force: Utilization of the Chebyshev-Gauss-Lobatto spectral method. Nanomaterials 2019, 9, 195. [Google Scholar] [CrossRef] [Green Version]
- Kashif, A.A.; Abdon, A. Numerical and mathematical analysis of induction motor by means of AB–fractal–fractional differentiation actuated by drilling system. Numer. Methods Part. Diff. Eq. 2020, 1–15. [Google Scholar] [CrossRef]
- Kashif, A.A.; Ambreen, S.; Basma, S.; Abdon, A. Application of Statistical Method on Thermal Resistance and Conductance during Magnetization of Fractionalized Free Convection Flow. Int. Commun. Heat Mass Transf. 2020, 119, 104971. [Google Scholar] [CrossRef]
- Kashif, A.A.; Mehwish, S.; Abdon, A.; Jose, F.G.A. Thermophysical properties of Maxwell Nanoluids via fractional derivatives with regular kernel. J. Ther. Anal. Calorim. 2020. [Google Scholar] [CrossRef]
- Khan, I.; Saeed, S.T.; Riaz, M.B.; Abro, K.A.; Husnine, S.M.; Nissar, K.S. Influence in a Darcy’s Medium with Heat Production and Radiation on MHD Convection Flow via Modern Fractional Approach. J. Mater. Res. Technol. 2020, 9, 10016–10030. [Google Scholar] [CrossRef]
- Atangana, A.; Baleanu, D. New fractional derivative with non local and non-singular kernel: Theory and application to heat transfer model. Ther. Sci. 2016, 20, 763–769. [Google Scholar] [CrossRef] [Green Version]
- Riaz, M.B.; Atangana, A.; Iftikhar, N. Heat and mass transfer in Maxwell fluid in view of local and non-local differential operators. J. Ther. Anal. Calorim. 2020. [Google Scholar] [CrossRef]
- Riaz, M.B.; Iftikhar, N. A comparative study of heat transfer analysis of MHD Maxwell fluid in view of local and non-local differential operators. Chaos Solitons Fractals 2020, 132, 109556. [Google Scholar] [CrossRef]
- Rehman, A.U.; Riaz, M.B.; Awrejcewicz, J.; Baleanu, D. Exact solutions of thermomagnetized unsteady non-singularized jeffery fluid: Effects of ramped velocity, concentration with newtonian heating. Results Phys. 2021, 26, 104367. [Google Scholar] [CrossRef]
- Rehman, A.U.; Riaz, M.B.; Akgul, A.; Saeed, S.T.; Baleanu, D. Heat and mass transport impact on MHD second grade fluid: A comparative analysis of fractional operators. Heat Transf. 2021, 1–23. [Google Scholar] [CrossRef]
- Rehman, A.U.; Riaz, M.B.; Saeed, S.T.; Yao, S. Dynamical Analysis of Radiation and Heat Transfer on MHD Second Grade Fluid. Comput. Model. Eng. Sci. 2021. [Google Scholar] [CrossRef]
- Anwar, T.; Kumam Asifa, P.; Thounthong, P.; Muhammad, S.; Duraihem, F.Z. Generalized thermal investigation of unsteady MHD flow of Oldroyd-B fluid with slip effects and Newtonian heating; a Caputo-Fabrizio fractional model. Alex. Eng. J. 2021. [Google Scholar] [CrossRef]
- Asghar, S.; Parveen, S.; Hanif, S.; Siddiqui, A.M.; Hayat, T. Hall effects on the unsteady hydromagnetic flows of an Oldroyd–B fluid. Int. J. Eng. Sci. 2003, 41, 609–619. [Google Scholar] [CrossRef]
- Anwar, T.; Khan, I.; Kumam, P.; Watthayu, W. Impacts of thermal radiation and heat consumption/generation on unsteady MHD convection flow of an Oldroyd–B fluid with ramped velocity and temperature in a generalized Darcy medium. Mathematics 2020, 8, 130. [Google Scholar] [CrossRef] [Green Version]
- Martyushev, S.G.; Sheremet, M.A. Characteristics of Rosseland and P-1 approximations in modeling nonstationary conditions of convection-radiation heat transfer in an enclosure with a local energy source. J. Eng. Thermophys. 2012, 21, 111–118. [Google Scholar] [CrossRef]
- Ghalib, M.M.; Zafar, A.A.; Farman1, M.; Akgul, A.; Ahmad, M.O.; Ahmad, A. Unsteady MHD flow of Maxwell fluid with (CF) non-integer derivative model having slip/non-slip fluid flow and Newtonian heating at the boundary. Indian J. Phys. 2021. [Google Scholar] [CrossRef]


















Publisher’s Note: MDPI stays neutral with regard to jurisdictional claims in published maps and institutional affiliations. |
© 2021 by the authors. Licensee MDPI, Basel, Switzerland. This article is an open access article distributed under the terms and conditions of the Creative Commons Attribution (CC BY) license (https://creativecommons.org/licenses/by/4.0/).
Share and Cite
Riaz, M.B.; Awrejcewicz, J.; Rehman, A.-U.; Akgül, A. Thermophysical Investigation of Oldroyd-B Fluid with Functional Effects of Permeability: Memory Effect Study Using Non-Singular Kernel Derivative Approach. Fractal Fract. 2021, 5, 124. https://doi.org/10.3390/fractalfract5030124
Riaz MB, Awrejcewicz J, Rehman A-U, Akgül A. Thermophysical Investigation of Oldroyd-B Fluid with Functional Effects of Permeability: Memory Effect Study Using Non-Singular Kernel Derivative Approach. Fractal and Fractional. 2021; 5(3):124. https://doi.org/10.3390/fractalfract5030124
Chicago/Turabian StyleRiaz, Muhammad Bilal, Jan Awrejcewicz, Aziz-Ur Rehman, and Ali Akgül. 2021. "Thermophysical Investigation of Oldroyd-B Fluid with Functional Effects of Permeability: Memory Effect Study Using Non-Singular Kernel Derivative Approach" Fractal and Fractional 5, no. 3: 124. https://doi.org/10.3390/fractalfract5030124
APA StyleRiaz, M. B., Awrejcewicz, J., Rehman, A.-U., & Akgül, A. (2021). Thermophysical Investigation of Oldroyd-B Fluid with Functional Effects of Permeability: Memory Effect Study Using Non-Singular Kernel Derivative Approach. Fractal and Fractional, 5(3), 124. https://doi.org/10.3390/fractalfract5030124

