Semi-Analytical Solutions for Fuzzy Caputo–Fabrizio Fractional-Order Two-Dimensional Heat Equation
Abstract
:1. Introduction
2. Background Materials
- (i)
- k is continuous up to a peak value;
- (ii)
- k ;
- (iii)
- ∃∈; , i.e., k is normal;
- (iv)
- , is bounded and continuous, where represents closure for the support of y.
- (i)
- is left-defined on [0,1], with a bounded increasing operator on ;
- (ii)
- is right-defined on [0,1], with a bounded decreasing operator on ;
- (iii)
- .
3. Main Work
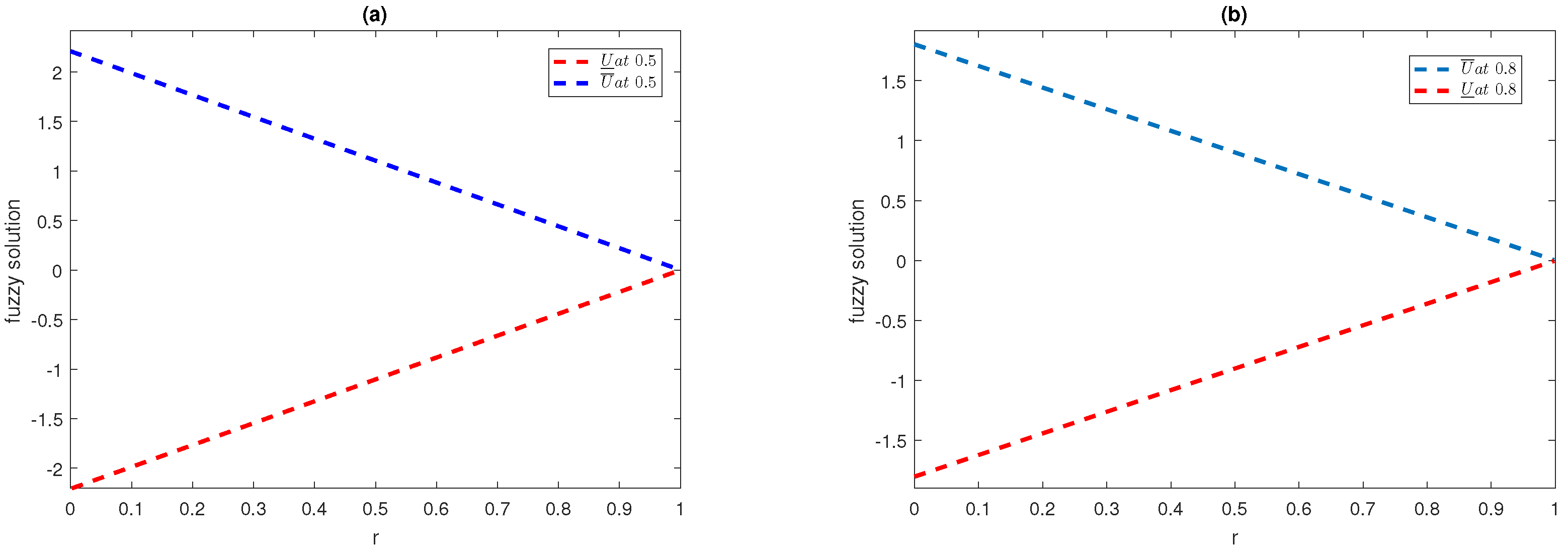
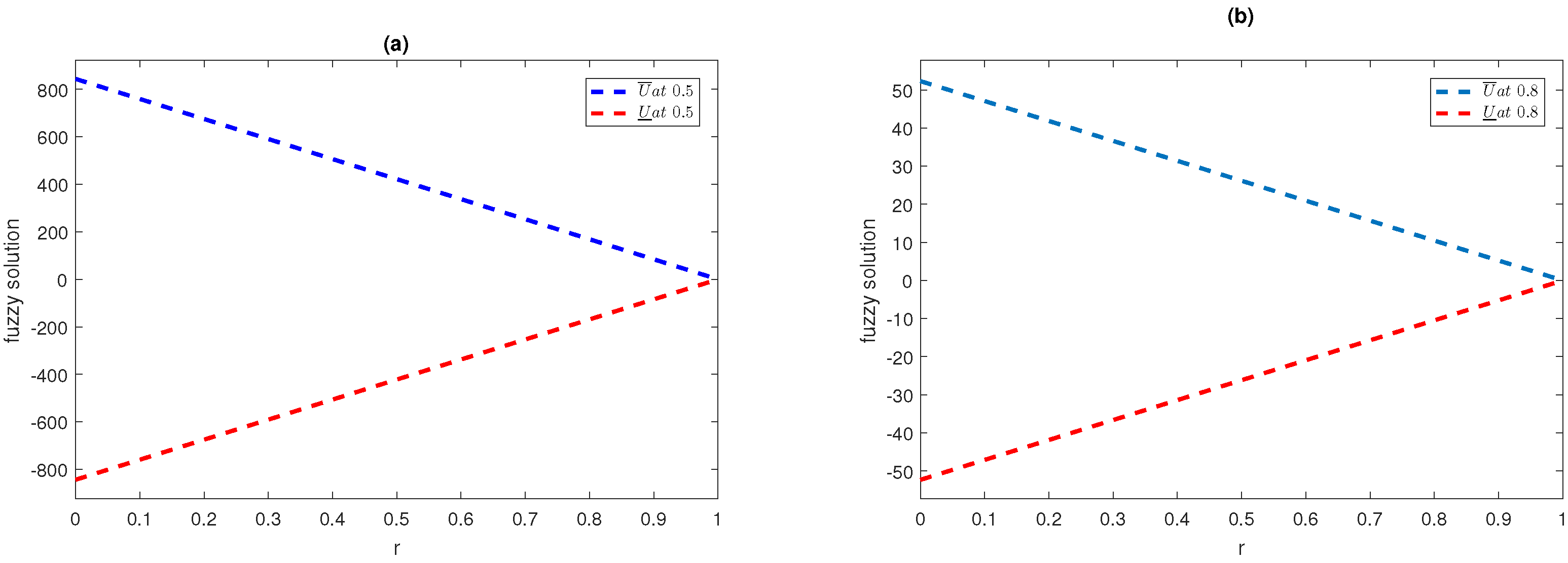
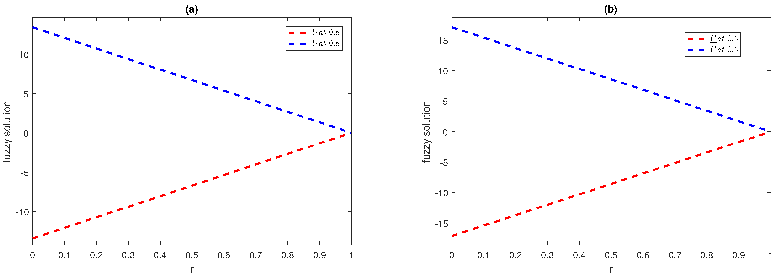
4. Examples
5. Conclusions and Discussion
Author Contributions
Funding
Institutional Review Board Statement
Informed Consent Statement
Data Availability Statement
Acknowledgments
Conflicts of Interest
References
- Podlubny, I. Fractional Differential Equations, Mathematics in Science and Engineering; Academic Press: New York, NY, USA, 1999. [Google Scholar]
- Lakshmikantham, V.; Leela, S.; Vasundhara, J. Theory of Fractional Dynamic Systems; Cambridge Academic Publishers: Cambridge, UK, 2009. [Google Scholar]
- Hilfer, R. Applications of Fractional Calculus in Physics; World Scientific: Singapore, 2000. [Google Scholar]
- Rahman, N.A.A.; Ahmad, M.Z. Solving fuzzy fractional differential equations using fuzzy Sumudu transform. J. Nonlinear Sci. Appl. 2017, 10, 2620–2632. [Google Scholar] [CrossRef]
- Rossikhin, Y.A.; Shitikova, M.V. Applications of fractional calculus to dynamic problems of linear and nonlinear hereditary mechanics of solids. Appl. Mech. Rev. 1997, 50, 15–67. [Google Scholar] [CrossRef]
- Zadeh, L.A. Fuzzy sets. Inf. Control 1965, 8, 338–353. [Google Scholar] [CrossRef] [Green Version]
- Chang, S.S.; Zadeh, L.A. On Fuzzy Mapping and Control: In Fuzzy Sets, Fuzzy Logic, and Fuzzy Systems: Selected Papers by Lotfi A Zadeh; World Scientific: Singapore, 1996. [Google Scholar]
- Prade, H.; Dubois, D. Towards fuzzy differential calculus. Fuzzy Sets Syst. 1982, 8, 225–233. [Google Scholar]
- Goetschel, J.R.; Voxman, W. Elementary fuzzy calculus. Fuzzy Sets Syst. 1986, 18, 31–43. [Google Scholar] [CrossRef]
- Kaleva, O. Fuzzy differential equations. Fuzzy Sets Syst. 1987, 24, 301–317. [Google Scholar] [CrossRef]
- Wang, L.; Wang, L. A Course in Fuzzy Systems and Control; Prentice Hall PTR: Upper Saddle River, NJ, USA, 1997. [Google Scholar]
- Ahmad, M.Z.; Hasan, M.K.; Abbasbandy, S. Solving fuzzy fractional differential equations using Zadehs extension principle. Sci. World J. 2013, 2013, 454969. [Google Scholar] [CrossRef] [Green Version]
- Pirzada, U.M.; Vakaskar, D.C. Solution of fuzzy heat equations using Adomian Decomposition. Int. J. Adv. Appl. Math. Mech. 2015, 3, 87–91. [Google Scholar]
- Chakraverty, S.; Tapaswini, S.; Behera, D. Fuzzy Fractional Heat Equations; John Wiley & Sons, Inc.: Hoboken, NJ, USA, 2016. [Google Scholar]
- Yavuz, M.; Özdemir, N. European vanilla option pricing model of fractional order without singular kernel. Fractal Fract. 2018, 2, 3. [Google Scholar] [CrossRef] [Green Version]
- Veeresha, P. A numerical approach to the coupled atmospheric ocean Model using a fractional Operator. Math. Model. Numer. Simul. Appl. (MMNSA) 2021, 1, 1–10. [Google Scholar]
- Arfan, M.; Shah, K.; Abdeljawad, T.; Hammouch, Z. An efficient tool for solving two-dimensional fuzzy fractional-ordered heat equation. Numer. Methods Partial. Differ. Equ. 2020, 37, 1407–1418. [Google Scholar] [CrossRef]
- Hammouch, Z.; Yavuz, M.; Özdemir, N. Numerical solutions and synchronization of a variable-order fractional chaotic system. Math. Model. Numer. Simul. Appl. (MMNSA) 2021, 1, 11–23. [Google Scholar]
- Akgül, E.K.; Akgül, A.; Yavuz, M. New illustrative applications of integral transforms to financial models with different fractional derivatives. Chaos Solitons Fractals 2021, 146, 110877. [Google Scholar] [CrossRef]
- Shah, K.; Seadawy, A.R.; Arfan, M. Evaluation of one dimensional fuzzy fractional partial differential equations. Alex. Eng. J. 2020, 59, 3347–3353. [Google Scholar]
- Ullah, I.; Ahmad, S.; Rahman, M.U.; Arfan, M. Investigation of fractional order Tuberculosis (TB) model via caputo derivative. Chaos Solitons Fractals 2021, 142, 110479. [Google Scholar] [CrossRef]
- Shen, W.Y.; Chu, Y.M.; ur Rahman, M.; Mahariq, I.; Zeb, A. Mathematical Analysis of HBV and HCV Co-infection Model Under Nonsingular Fractional Order Derivative. Results Phys. 2021, 28, 104582. [Google Scholar] [CrossRef]
- Nazir, G.; Zeb, A.; Shah, K.; Saeed, T.; Khan, R.A.; Khan, S.I.U. Study of COVID-19 Mathematical Model of Fractional Order Via Modified Euler Method. AEJ Alex. Eng. J. 2021, 60, 5287–5296. [Google Scholar] [CrossRef]
- Atangana, A.; Koca, I. Chaos in a simple nonlinear system with Atangana-Baleanu derivatives with fractional order. Chas Solitons Fractals 2016, 89, 447–454. [Google Scholar] [CrossRef]
- Tofigh, A.; Ghanbari, B. On the fuzzy fractional differential equation with interval Atangana-Baleanu fractional derivative approach. Chaos Solitons Fractals 2020, 130, 109397. [Google Scholar]
- Abdon, A.; Gómez-Aguilar, J.F. Numerical approximation of Riemann-Liouville definition of fractional derivative: From Riemann-Liouville to Atangana-Baleanu. Numer. Methods Partial. Differ. Equ. 2018, 34, 1502–1523. [Google Scholar]
- Gómez-Aguilar, J.F.; Atangana, A.; Morales-Delgado, V.F. Electrical circuits RC, LC, and RL described by Atangana-Baleanu fractional derivatives. Int. J. Circ. Theory Appl. 2017, 45, 1514–1533. [Google Scholar] [CrossRef]
- Zhang, Y. Initial boundary value problem for fractal heat equation in the semi-infinite region by Yang-Laplace transform. Therm. Sci. 2014, 18, 677–681. [Google Scholar] [CrossRef]
- Atangana, A. Mathematical model of survival of fractional calculus, critics and their impact: How singular is our world? Adv. Differ. Equ. 2021, 2021, 403. [Google Scholar] [CrossRef]
- Avci, D.; Yavuz, M.; Özdemir, N. Fundamental solutions to the Cauchy and Dirichlet problems for a heat conduction equation equipped with the Caputo-Fabrizio differentiation. In Heat Conduction: Methods, Applications and Research; Nova Science Publishers: Hauppauge, NY, USA, 2019; pp. 95–107. [Google Scholar]
- Evirgen, F.; Yavuz, M. An alternative approach for nonlinear optimization problem with Caputo-Fabrizio derivative. In ITM Web of Conferences; EDP Sciences: Les Ulis, France, 2018; Volume 22, p. 01009. [Google Scholar]
- Yavuz, M.; Özdemir, N. Numerical inverse Laplace homotopy technique for fractional heat equations. Therm. Sci. 2018, 22, 185–194. [Google Scholar] [CrossRef]
- Lin, J.; Feng, W.; Reutskiy, S.; Xu, H.; He, Y. A semi-analytical method for solving a class of time fractional partial differential equations with variable coefficients. Appl. Math. Lett. 2021, 112, 106712. [Google Scholar] [CrossRef]
- Lin, J. Homogenization function method for 2D and 3D inverse source problems of nonlinear time-fractional wave equation. Eng. Comput. 2021. [Google Scholar] [CrossRef]
- Eltayeb, H.; Kiliçman, A. A note on solutions of wave, Laplace’s and heat equations with convolution terms by using a double Laplace transform. Appl. Math. Lett. 2008, 21, 1324–1329. [Google Scholar] [CrossRef] [Green Version]
- Yu, Z. Povstenko, Fractional heat conduction equation and associated thermal stress. J. Therm. Stress. 2004, 28, 83–102. [Google Scholar]
- Allahviranloo, T.; Taheri, N. An analytic approximation to the solution of fuzzy heat equation by Adomian decomposition method. Int. J. Contemp. Math. Sci. 2009, 4, 105–114. [Google Scholar]
- Richard, H. Elementary Applied Partial Differential Equations; Prentice Hall: Englewood Cliffs, NJ, USA, 1983. [Google Scholar]
- Rizzo, F.J.; Shippy, D.J. A method of solution for certain problems of transient heat conduction. AIAA J. 1970, 8, 2004–2009. [Google Scholar] [CrossRef]
- Khan, T.; Shah, K.; Khan, R.A.; Khan, A. Solution of fractional order heat equation via triple Laplace transform in 2 dimensions. Math. Methods Appl. Sci. 2018, 41, 818–825. [Google Scholar] [CrossRef]
- Baleanu, D.; Mousalou, A.; Rezapour, S. A new method for investigating approximate solutions of some fractional integro-differential equations involving the Caputo-Fabrizio derivative. Adv. Differ. Equn 2017, 2017, 51. [Google Scholar] [CrossRef] [Green Version]
- Shah, K.; Khalil, H.; Khan, R.A. Analytical solutions of fractional order diffusion equations by natural transform method. Iran. J. Sci. Technol. Trans. A Sci. 2018, 42, 1479–1490. [Google Scholar] [CrossRef]






Publisher’s Note: MDPI stays neutral with regard to jurisdictional claims in published maps and institutional affiliations. |
© 2021 by the authors. Licensee MDPI, Basel, Switzerland. This article is an open access article distributed under the terms and conditions of the Creative Commons Attribution (CC BY) license (https://creativecommons.org/licenses/by/4.0/).
Share and Cite
Sitthiwirattham, T.; Arfan, M.; Shah, K.; Zeb, A.; Djilali, S.; Chasreechai, S. Semi-Analytical Solutions for Fuzzy Caputo–Fabrizio Fractional-Order Two-Dimensional Heat Equation. Fractal Fract. 2021, 5, 139. https://doi.org/10.3390/fractalfract5040139
Sitthiwirattham T, Arfan M, Shah K, Zeb A, Djilali S, Chasreechai S. Semi-Analytical Solutions for Fuzzy Caputo–Fabrizio Fractional-Order Two-Dimensional Heat Equation. Fractal and Fractional. 2021; 5(4):139. https://doi.org/10.3390/fractalfract5040139
Chicago/Turabian StyleSitthiwirattham, Thanin, Muhammad Arfan, Kamal Shah, Anwar Zeb, Salih Djilali, and Saowaluck Chasreechai. 2021. "Semi-Analytical Solutions for Fuzzy Caputo–Fabrizio Fractional-Order Two-Dimensional Heat Equation" Fractal and Fractional 5, no. 4: 139. https://doi.org/10.3390/fractalfract5040139
APA StyleSitthiwirattham, T., Arfan, M., Shah, K., Zeb, A., Djilali, S., & Chasreechai, S. (2021). Semi-Analytical Solutions for Fuzzy Caputo–Fabrizio Fractional-Order Two-Dimensional Heat Equation. Fractal and Fractional, 5(4), 139. https://doi.org/10.3390/fractalfract5040139

