A New Technique for Solving a Nonlinear Integro-Differential Equation with Fractional Order in Complex Space
Abstract
:1. Introduction
2. Basic Concepts
- for .
3. Existence and Uniqueness Solution
4. Computational Approaches for Solving the NFIDEq (1)
4.1. Rationalized Haar Wavelet Method
Numerical Solution for Solving NFIDEq Using RH Method:
4.2. New Technique for Solving the NFIDEq (1)
4.2.1. Bernoulli Polynomial Approximation
4.2.2. The Proposed Technique (B—RH Method) for Solving NFIDEq (1)
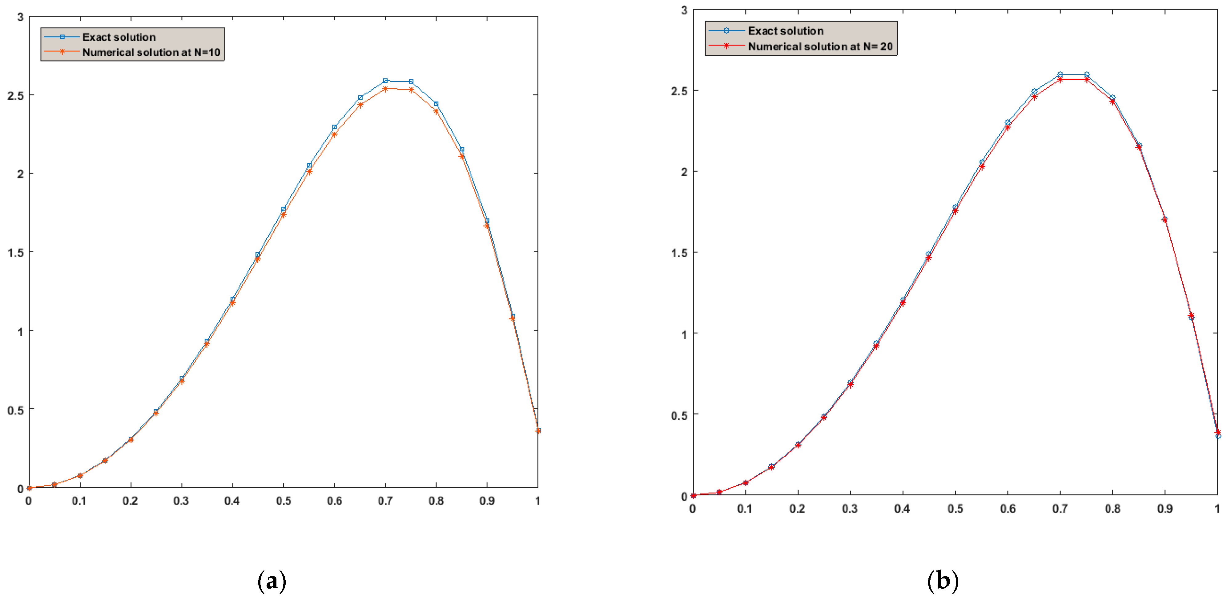
5. Numerical Problems
| HR Method | B-HR Method | |||
| abs. Error | abs. Error | |||
| Largest abs. error | (0.5, 0.5) | 1.07 × 10−9 | (0.3, 0.3) | 1.64 × 10−10 |
| Least abs. error | (0.6, 0.6) | 7.14 × 10−11 | (0.8, 0.8) | 3.77 × 10−12 |
| HR Method | B-HR Method | |||
| abs. Error | abs. Error | |||
| Largest abs. error | (0.1, 0.1) | 1.14 × 10−10 | (0.7, 0.7) | 3.04 × 10−10 |
| Least abs. error | (0.6, 0.6) | 7.06 × 10−12 | (1, 1) | 9.75 × 10−13 |
| HR Method | B-HR Method | |||
| abs. Error | abs. Error | |||
| Largest abs. error | (0.5, 0.5) | 3.9 × 10−9 | (0.3, 0.3) | 9.19 × 10−10 |
| Least abs. error | (0.6, 0.6) | 9.77 × 10−11 | (0.9, 0.9) | 8.97 × 10−12 |
| HR method | B-HR method | |||
| abs. error | abs. error | |||
| Largest abs. error | (0.3, 0.3) | 7.11 × 10−9 | (0.1, 0.1) | 9.05 × 10−11 |
| Least abs. error | (1, 1) | 9.87 × 10−11 | (0.8, 0.8) | 5.75 × 10−14 |
6. Conclusions
7. Future Work
Author Contributions
Funding
Data Availability Statement
Conflicts of Interest
References
- Seoudy, T.M.; Shammaky, A.E. Some Properties of Certain Classes of Meromorphic Multivalent Functions Defined by Subordination. Symmetry 2023, 15, 347. [Google Scholar] [CrossRef]
- Pei, S.; Wang, J.; Guo, J.; Yin, H.; Yao, Y. A Human-like Inverse Kinematics Algorithm of an Upper Limb Rehabilitation Exoskeleton. Symmetry 2023, 15, 1657. [Google Scholar] [CrossRef]
- Alsulaiman, R.E.; Abdou, M.A.; ElBorai, M.M.; El-Sayed, W.G.; Youssef, E.M.; Taha, M. Qualitative Analysis for Solving a Fractional Integro-Differential Equation of Hyperbolic Type with Numerical Treatment Using the Lerch Matrix Collocation Method. Fractal Fract. 2023, 7, 599. [Google Scholar] [CrossRef]
- Alsulaiman, R.E.; Abdou, M.A.; Youssef, E.M.; Taha, M. Solvability of a nonlinear integro-differential equation with fractional order using the Bernoulli matrix approach. J. AIMS Math. 2023, 8, 7515–7534. [Google Scholar] [CrossRef]
- Zhou, H.; Liu, Z.; Luo, L.; Wang, M.; Song, X. An Improved Two-Stage Spherical Harmonic ESPRIT-Type Algorithm. Symmetry 2023, 15, 1607. [Google Scholar] [CrossRef]
- Yue, Z.; Zou, Y. New uniqueness results for fractional differential equation with dependence on the first order derivative. Adv. Differ. Equ. 2019, 2019, 38. [Google Scholar] [CrossRef]
- Wang, M.; Jia, B.; Chen, C.; Zhu, X.; Du, F. Discrete fractional Bihari inequality and uniqueness theorem of solutions of nabla fractional difference equations with non-Lipschitz nonlinearities. Appl. Math. Comput. 2020, 376, 125118. [Google Scholar] [CrossRef]
- Beylkin, G.; Coifman, R.; Rokhlin, V. Fast wavelet transforms and numerical algorithms I. Comm. Pure Appl. Math. 1991, 44, 141–183. [Google Scholar] [CrossRef]
- Kumbinarasaiah, S.; Manohara, G.; Hariharan, G. Bernoulli wavelets functional matrix technique for a system of nonlinear singular Lane Emden equations. Math. Comput. Simul. 2023, 204, 133–165. [Google Scholar]
- Lepik, Ü.; Tamme, E. Application of the Haar Wavelet for Solution of Linear Integral Equations. In Proceedings of the Dynamical System and Applications, Antalya, Turkey, 5–10 July 2004; pp. 494–507. [Google Scholar]
- Erfanian, M.; Zeidabadi, H. Solution of nonlinear Volterra and Fredholm integro-differential equations by the rational Haar wavelet. J. Math. Model. 2021, 9, 201–213. [Google Scholar] [CrossRef]
- Erfanian, M. The approximate solution of nonlinear mixed Volterra-Fredholm-Hammerstein integral equations with RH wavelet bases in a complex plane. Math. Methods Appl. Sci. 2018, 41, 8942–8952. [Google Scholar] [CrossRef]
- Ratas, M.; Majak, J.; Salupere, A. Solving Nonlinear Boundary Value Problems Using the Higher Order Haar Wavelet Method. Mathematics 2021, 9, 2809. [Google Scholar] [CrossRef]
- Liu, X.; Ahsan, M.; Ahmad, M.; Nisar, M.; Liu, X.; Ahmad, I.; Ahmad, H. Applications of Haar Wavelet-Finite Difference Hybrid Method and Its Convergence for Hyperbolic Nonlinear Schrödinger Equation with Energy and Mass Conversion. Energies 2021, 14, 7831. [Google Scholar] [CrossRef]
- Kumar, A.; Hashmi, M.; Ansari, A.; Haar, A.S. Wavelet Solution Analysis of Compound Pendulum-based Computational Electromagnetic Damping Oscillation Problem. IETE J. Res. 2023, 69, 4130–4138. [Google Scholar] [CrossRef]
- Abdollahi, Z.; Mohseni, M.M.; Saeedi, H.; Ebadi, M. A computational approach for solving fractional Volterra integral equations based on two-dimensional Haar wavelet method. Int. J. Comput. Math. 2022, 99, 1488–1504. [Google Scholar] [CrossRef]
- Li, B.; Zhang, T.; Zhang, C. Investigation of financial bubble mathematical model under fractal-fractional Caputo derivative. Fractals 2023, 31, 1–13. [Google Scholar] [CrossRef]
- Fatima, B.; Rahman, M.U.; Althobaiti, S.; Althobaiti, A.; Arfan, M. Analysis of age wise fractional order problems for the Covid-19 under non-singular kernel of Mittag-Leffler law. Comput. Methods Biomech. Biomed. Eng. 2023, 28, 1–19. [Google Scholar] [CrossRef]
- Li, P.; Han, L.; Xu, C.; Peng, X.; Rahman, M.U.; Shi, S. Dynamical properties of a meminductor chaotic system with fractal–fractional power law operator. Chaos Solitons Fractals 2023, 175, 114040. [Google Scholar] [CrossRef]
- Bertoluzza, S.; Falletta, S.; Scuderi, L. Wavelets and convolution quadrature for the efficient solution of a 2D space-time BIE for the wave equation. Appl. Math. Comp. 2020, 366, 124726. [Google Scholar] [CrossRef]
- Podlubny, I. Fractional Differential Equations; Academic Press: New York, NY, USA, 1999. [Google Scholar]
- Attia, N.; Akgül, A.; Seba, D. An efficient numerical technique for a biological population model of fractional order. Chaos Solitons Fractals 2020, 141, 110349. [Google Scholar] [CrossRef]
- Karthikeyan, K.; Trujillo, J.J. Existence and uniqueness results for fractional integro-differential equations with boundary value conditions. Commun. Nonlinear Sci. Numer. Simul. 2012, 17, 4037–4043. [Google Scholar] [CrossRef]
- Kwok, Y.K. Applied Complex Variables for Scientists and Engineers; Cambridge University Press: Cambridge, UK, 2010. [Google Scholar]
- Boas, R.P.; Buck, R.C. Polynomial Expansions of Analytic Functions; Springer: New York, NY, USA, 1964. [Google Scholar]
- Kim, D.S.; Kim, T.; Lee, H. A Note on Degenerate Euler and Bernoulli Polynomials of Complex Variable. Symmetry 2019, 11, 1168. [Google Scholar] [CrossRef]




| For N = 10 | For N = 20 | |||
|---|---|---|---|---|
| HR Method | The Proposed Method | HR Method | The Proposed Method | |
| (0.1, 0.1) | 7.87 × 10−9 | 9.69 × 10−10 | 1.14 × 10−10 | 2.44 × 10−11 |
| (0.2, 0.2) | 8.47 × 10−10 | 5.18 × 10−11 | 7.29 × 10−11 | 4.25 × 10−12 |
| (0.3, 0.3) | 2.41 × 10−10 | 1.64 × 10−10 | 3.17 × 10−10 | 9.36 × 10−13 |
| (0.4, 0.4) | 7.57 × 10−9 | 4.02 × 10−9 | 4.09 × 10−10 | 6.08 × 10−12 |
| (0.5, 0.5) | 1.07 × 10−9 | 3.47 × 10−10 | 8.14 × 10−10 | 1.17 × 10−12 |
| (0.6, 0.6) | 7.14 × 10−11 | 7.64 × 10−11 | 7.06 × 10−12 | 1.49 × 10−11 |
| (0.7, 0.7) | 5.09 × 10−11 | 1.17 × 10−12 | 5.87 × 10−10 | 3.04 × 10−10 |
| (0.8, 0.8) | 9.22 × 10−9 | 3.77 × 10−12 | 2.19 × 10−11 | 2.91 × 10−12 |
| (0.9, 0.9) | 4.72 × 10−10 | 7.97 × 10−11 | 1.36 × 10−11 | 8.07 × 10−13 |
| (1, 1) | 1.39 × 10−11 | 2.04 × 10−12 | 7.19 × 10−11 | 9.75 × 10−13 |
| For N = 15 | For N = 25 | |||
|---|---|---|---|---|
| HR Method | The Proposed Method (B-HR) | HR Method | The Proposed Method (B-HR) | |
| (0.1, 0.1) | 1.14 × 10−10 | 2.87 × 10−11 | 7.27 × 10−11 | 9.05 × 10−11 |
| (0.2, 0.2) | 3.26 × 10−9 | 4.66 × 10−11 | 9.06 × 10−10 | 4.57 × 10−12 |
| (0.3, 0.3) | 7.75 × 10−10 | 9.19 × 10−10 | 7.11 × 10−9 | 6.33 × 10−12 |
| (0.4, 0.4) | 5.22 × 10−11 | 6.07 × 10−12 | 1.75 × 10−10 | 7.17 × 10−13 |
| (0.5, 0.5) | 3.09 × 10−9 | 1.75 × 10−11 | 9.67 × 10−11 | 3.98 × 10−12 |
| (0.6, 0.6) | 9.77 × 10−11 | 1.09 × 10−12 | 4.27 × 10−11 | 7.39 × 10−13 |
| (0.7, 0.7) | 4.19 × 10−10 | 3.66 × 10−11 | 1.67 × 10−10 | 9.07 × 10−13 |
| (0.8, 0.8) | 7.37 × 10−11 | 2.73 × 10−11 | 7.18 × 10−11 | 5.75 × 10−14 |
| (0.9, 0.9) | 1.75 × 10−11 | 8.97 × 10−12 | 1.06 × 10−11 | 1.36 × 10−14 |
| (1, 1) | 7.77 × 10−11 | 4.01 × 10−12 | 9.87 × 10−11 | 6.01 × 10−13 |
Disclaimer/Publisher’s Note: The statements, opinions and data contained in all publications are solely those of the individual author(s) and contributor(s) and not of MDPI and/or the editor(s). MDPI and/or the editor(s) disclaim responsibility for any injury to people or property resulting from any ideas, methods, instructions or products referred to in the content. |
© 2023 by the authors. Licensee MDPI, Basel, Switzerland. This article is an open access article distributed under the terms and conditions of the Creative Commons Attribution (CC BY) license (https://creativecommons.org/licenses/by/4.0/).
Share and Cite
Shammaky, A.E.; Youssef, E.M.; Abdou, M.A.; ElBorai, M.M.; ElSayed, W.G.; Taha, M. A New Technique for Solving a Nonlinear Integro-Differential Equation with Fractional Order in Complex Space. Fractal Fract. 2023, 7, 796. https://doi.org/10.3390/fractalfract7110796
Shammaky AE, Youssef EM, Abdou MA, ElBorai MM, ElSayed WG, Taha M. A New Technique for Solving a Nonlinear Integro-Differential Equation with Fractional Order in Complex Space. Fractal and Fractional. 2023; 7(11):796. https://doi.org/10.3390/fractalfract7110796
Chicago/Turabian StyleShammaky, Amnah E., Eslam M. Youssef, Mohamed A. Abdou, Mahmoud M. ElBorai, Wagdy G. ElSayed, and Mai Taha. 2023. "A New Technique for Solving a Nonlinear Integro-Differential Equation with Fractional Order in Complex Space" Fractal and Fractional 7, no. 11: 796. https://doi.org/10.3390/fractalfract7110796
APA StyleShammaky, A. E., Youssef, E. M., Abdou, M. A., ElBorai, M. M., ElSayed, W. G., & Taha, M. (2023). A New Technique for Solving a Nonlinear Integro-Differential Equation with Fractional Order in Complex Space. Fractal and Fractional, 7(11), 796. https://doi.org/10.3390/fractalfract7110796

