Theoretical and Numerical Simulations on the Hepatitis B Virus Model through a Piecewise Fractional Order
Abstract
1. Introduction
2. Basic Concepts
3. Mathematical Model
- Susceptible individuals ;
- Exposed population ’
- Acute infected population ;
- Asymptomatic carrier ;
- Chronic infected individuals ;
- Recovered population .
4. Fundamental Characteristics of the HBV Model (1)
4.1. Non-Negativity and Boundedness of the Solutions
4.2. Equilibrium Point and Basic Reproduction Number
4.3. Endemic Equilibrium Point of the Model (1)
4.4. Local and Global Stability
4.5. Sensitivity Analysis
5. Qualitative Analysis of HBV Model (1)
5.1. Existence of the Solution
5.2. Uniqueness of the Solution
5.3. Stability Analysis
6. Numerical Scheme with Piecewise Derivative
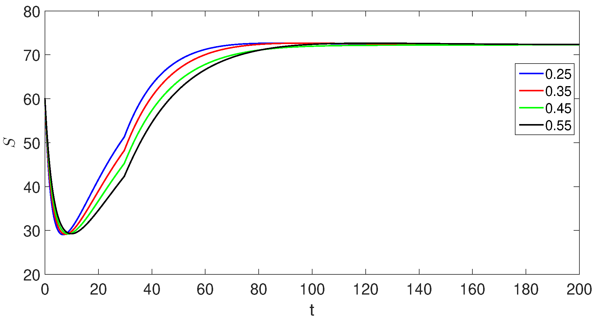
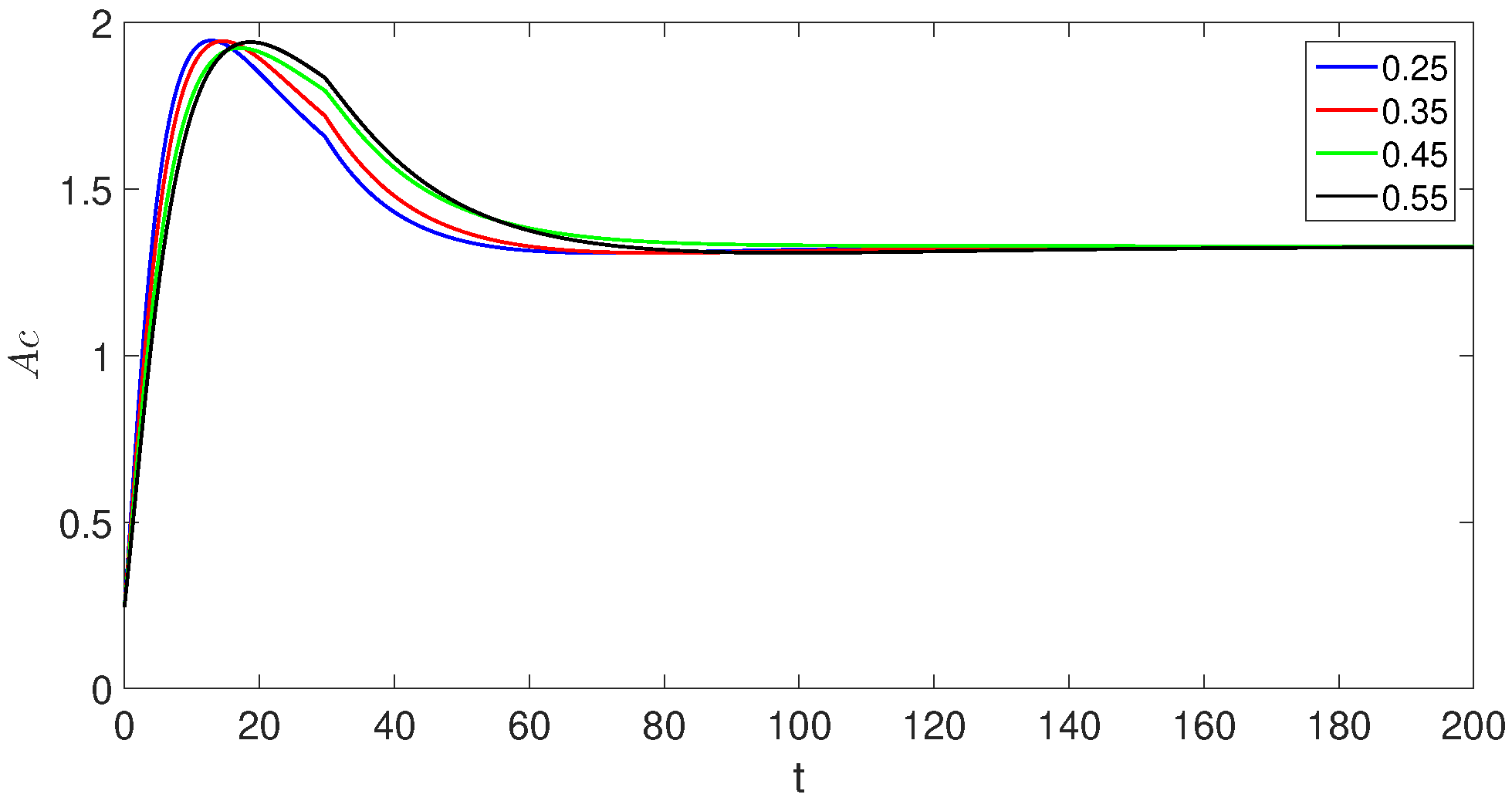
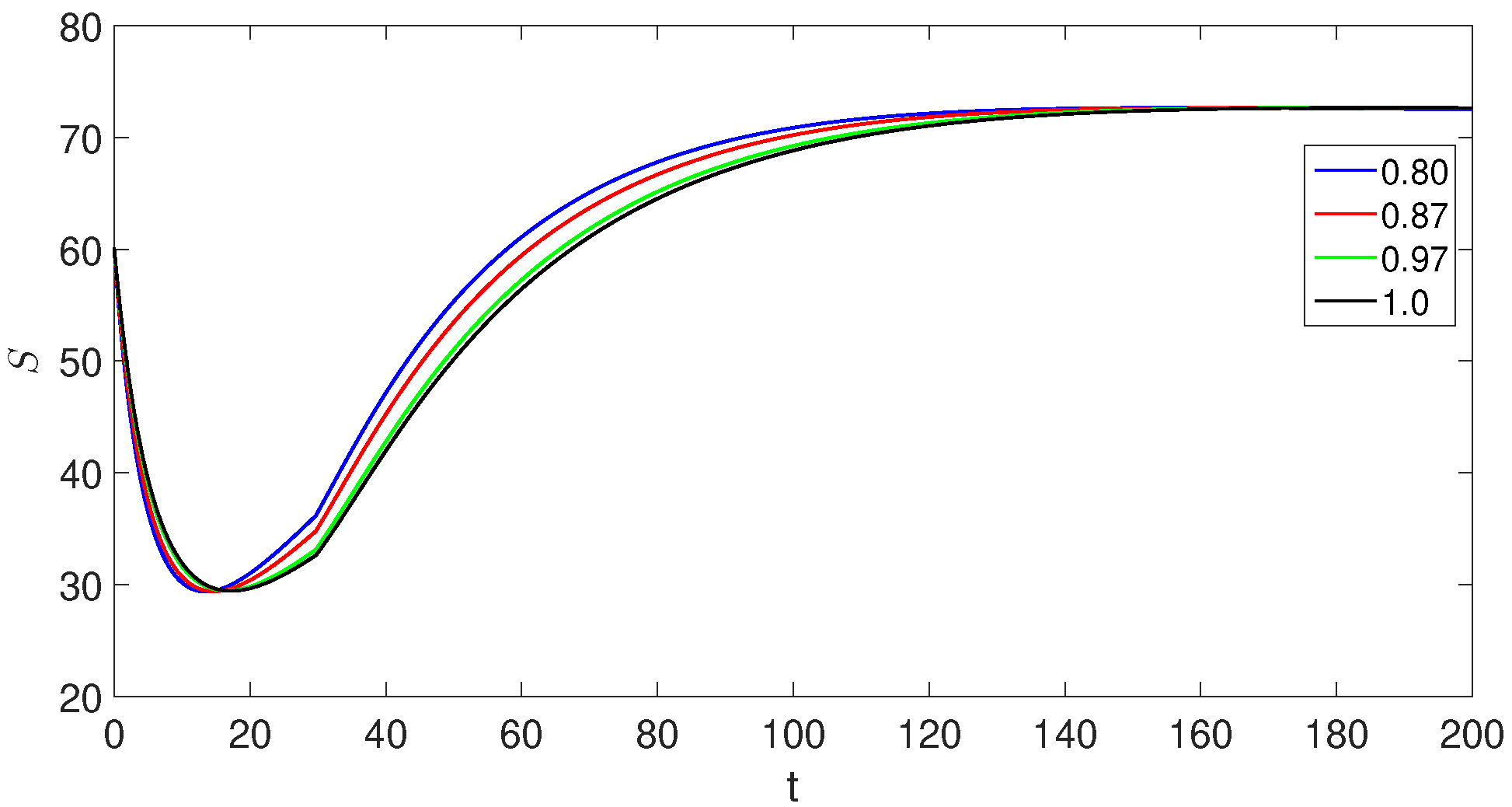
7. Simulations and Discussion
- The crossover behaviors in each compartment due to the piecewise version of derivatives near the point ;
- The decreases and increases over time in susceptible class, exposed classes, and the concerned changes in other compartments can be observed easily;
- The population of the exposed, asymptomatic carrier, and chronic infected individuals model classes increases and reaches its peak value around , but in the second sub-interval, they start decreasing.
8. Conclusions
Author Contributions
Funding
Data Availability Statement
Acknowledgments
Conflicts of Interest
References
- World Health Organization (WHO) Media Centre. Available online: http://www.who.int/mediacentre/factsheets/fs204/en/ (accessed on 12 February 2018).
- Thornley, S.; Bullen, C.; Roberts, M. Hepatitis B in a high prevalence New Zealand population: A mathematical model applied to infection control policy. J. Theor. Biol. 2008, 254, 599–603. [Google Scholar] [CrossRef] [PubMed]
- Mann, J.; Roberts, M. Modelling the epidemiology of hepatitis B in New Zealand. J. Theoret. Biol. 2011, 269, 266–272. [Google Scholar] [CrossRef] [PubMed]
- Wang, J.; Pang, J.; Liu, X. Modelling diseases with relapse and nonlinear incidence of infection: A multi-group epidemic model. J. Biolog. Dyn. 2014, 8, 99–116. [Google Scholar] [CrossRef] [PubMed][Green Version]
- Zhao, S.; Xu, Z.; Lu, Y. A mathematical model of hepatitis B virus transmission and its application for vaccination strategy in China. Int. J. Epidemiol. 2000, 29, 744–752. [Google Scholar] [CrossRef] [PubMed]
- Wang, K.; Wang, W.; Song, S. Dynamics of an HBV model with diffusion and delay. J. Theor. Biol. 2008, 253, 36–44. [Google Scholar] [CrossRef] [PubMed]
- Xu, R.; Ma, Z. An HBV model with diffusion and time delay. J. Theor. Biol. 2009, 257, 499–509. [Google Scholar] [CrossRef] [PubMed]
- Kilbas, A.A.; Shrivastava, H.M.; Trujillo, J.J. Theory and Applications of Fractional Differential Equations; Elsevier: Amsterdam, The Netherlands, 2006. [Google Scholar]
- Podlubny, I. Fractional Differential Equations; Academic Press: San Diego, CA, USA, 1999. [Google Scholar]
- Atangana, A.; Baleanu, D. New fractional derivatives with non-local and non-singular kernel: Theory and application to heat transfer model. Therm. Sci. 2016, 20, 763–769. [Google Scholar] [CrossRef]
- Atangana, A.; Araz, S.I. Nonlinear equations with global differential and integral operators: Existence, uniqueness with application to epidemiology. Results Phys. 2020, 20, 103593. [Google Scholar] [CrossRef]
- Khan, H.; Alam, K.; Gulzar, H.; Etemad, S.; Rezapour, S. A case study of fractal-fractional tuberculosis model in China: Existence and stability theories along with numerical simulations. Math. And Computers Simul. 2022, 198, 455–473. [Google Scholar] [CrossRef]
- Khan, A.; Gómez-Aguilar, J.F.; Khan, T.S.; Khan, H. Stability analysis and numerical solutions of fractional order HIV/AIDS model. Chaos Solitons Fractals 2019, 122, 119–128. [Google Scholar] [CrossRef]
- Alkahtani, B.S.T. Chua’s circuit model with Atangana-Baleanu derivative with fractional order. Chaos Solitons Fractals 2016, 89, 547–551. [Google Scholar] [CrossRef]
- Almalahi, M.A.; Panchal, S.K.; Shatanawi, W.; Abdo, M.S.; Shah, K.; Abodayeh, K. Analytical study of transmission dynamics of 2019-nCoV pandemic via fractal fractional operator. Results Phys. 2021, 24, 104045. [Google Scholar] [CrossRef]
- Abdeljawad, T. A Lyapunov type inequality for fractional operators with nonsingular Mittag-Leffler kernel. J. Inequal. Appl. 2017, 2017, 130. [Google Scholar] [CrossRef] [PubMed]
- Abdeljawad, T.; Baleanu, D. On fractional derivatives with generalized Mittag-Leffler kernels. Adv. Differ. Equ. 2018, 2018, 468. [Google Scholar] [CrossRef]
- Abdeljawad, T. Fractional operators with generalized Mittag-Leffler kernels and their differintegrals. Chaos 2019, 29, 023102. [Google Scholar] [CrossRef] [PubMed]
- Atangana, A.; Araz, S.I. New concept in calculus: Piecewise differential and integral operators. Chaos Solitons Fractals 2021, 145, 110638. [Google Scholar] [CrossRef]
- Gul, N.; Bilal, R.; Algehyne, E.A.; Alshehri, M.G.; Khan, M.A.; Chu, Y.M.; Islam, S. The dynamics of fractional order Hepatitis B virus model with asymptomatic carriers. Alex. Eng. J. 2021, 60, 3945–3955. [Google Scholar] [CrossRef]
- Kumar, S.; Chauhan, R.P.; Aly, A.A.; Momani, S.; Hadid, S. A study on fractional HBV model through singular and non-singular derivatives. Eur. Phys. J. Spec. Top. 2022, 231, 1885–1904. [Google Scholar] [CrossRef]
- Shah, S.A.A.; Khan, M.A.; Farooq, M.; Ullah, S.; Alzahrani, E.O. A fractional order model for Hepatitis B virus with treatment via Atangana–Baleanu derivative. Phys. Stat. Mech. Its Appl. 2020, 538, 122636. [Google Scholar] [CrossRef]
- Alazman, I.; Alkahtani, B.S.T. Investigation of Novel Piecewise Fractional Mathematical Model for COVID-19. Fractal Fract. 2022, 6, 661. [Google Scholar] [CrossRef]
- Momani, S.; Abu Arqub, O.; Maayah, B. Piecewise optimal fractional reproducing kernel solution and convergence analysis for the Atangana-Baleanu-Caputo model of the Lienarders equation. Fractals 2020, 28, 2040007. [Google Scholar] [CrossRef]
- Alkahtani, B.S.T. Dynamical Analysis of Rubella Disease Model in the Context of Fractional Piecewise Derivative: Simulations with Real Statistical Data. Fractal Fract. 2023, 7, 746. [Google Scholar] [CrossRef]
- Kattan, D.A.; Hammad, H.A. Existence and Stability Results for Piecewise Caputo-Fabrizio Fractional Differential Equations with Mixed Delays. Fractal Fract. 2023, 7, 644. [Google Scholar] [CrossRef]
- Van den Driessche, P.; Watmough, J. Reproduction numbers and sub-threshold endemic equilibria for compartmental models of disease transmission. Math. Biosci. 2002, 180, 29–48. [Google Scholar] [CrossRef]
- Alkahtani, B.S.T.; Atangana, A.; Koca, I. Novel analysis of the fractional Zika model using the Adams type predictor-corrector rule for non-singular and non-local fractional operators. J. Nonlinear Sci. Appl. 2017, 10, 3191–3200. [Google Scholar] [CrossRef]
- Garrappa, R. Numerical solution of fractional differential equations: A survey and a software tutorial. Mathematics 2018, 6, 16. [Google Scholar] [CrossRef]
- Zabidi, N.A.; Abdul Majid, Z.; Kilicman, A.; Rabiei, F. Numerical solutions of fractional differential equations by using fractional explicit Adams method. Mathematics 2020, 8, 1675. [Google Scholar] [CrossRef]
















Disclaimer/Publisher’s Note: The statements, opinions and data contained in all publications are solely those of the individual author(s) and contributor(s) and not of MDPI and/or the editor(s). MDPI and/or the editor(s) disclaim responsibility for any injury to people or property resulting from any ideas, methods, instructions or products referred to in the content. |
© 2023 by the authors. Licensee MDPI, Basel, Switzerland. This article is an open access article distributed under the terms and conditions of the Creative Commons Attribution (CC BY) license (https://creativecommons.org/licenses/by/4.0/).
Share and Cite
Aldwoah, K.A.; Almalahi, M.A.; Shah, K. Theoretical and Numerical Simulations on the Hepatitis B Virus Model through a Piecewise Fractional Order. Fractal Fract. 2023, 7, 844. https://doi.org/10.3390/fractalfract7120844
Aldwoah KA, Almalahi MA, Shah K. Theoretical and Numerical Simulations on the Hepatitis B Virus Model through a Piecewise Fractional Order. Fractal and Fractional. 2023; 7(12):844. https://doi.org/10.3390/fractalfract7120844
Chicago/Turabian StyleAldwoah, K. A., Mohammed A. Almalahi, and Kamal Shah. 2023. "Theoretical and Numerical Simulations on the Hepatitis B Virus Model through a Piecewise Fractional Order" Fractal and Fractional 7, no. 12: 844. https://doi.org/10.3390/fractalfract7120844
APA StyleAldwoah, K. A., Almalahi, M. A., & Shah, K. (2023). Theoretical and Numerical Simulations on the Hepatitis B Virus Model through a Piecewise Fractional Order. Fractal and Fractional, 7(12), 844. https://doi.org/10.3390/fractalfract7120844

