Spectral Collocation Approach via Normalized Shifted Jacobi Polynomials for the Nonlinear Lane-Emden Equation with Fractal-Fractional Derivative
Abstract
1. Introduction
- We suggest orthonormal Jacobi polynomials as the basis of the solution.
- We build and prove all derivatives needed within the algorithm.
- We construct and implement a collocation scheme to handle the nonlinear LE equation with a generalized fractional derivative.
- We study in detail the truncation error of the method.
- We perform some numerical examples with comparisons, when possible, with other existing methods.
2. Preliminaries
2.1. Generalized Caputo Type Fractional Derivative
2.2. An Account of Shifted Orthonormal Normalized Jacobi Polynomials
3. Collocation Approach for the Nonlinear Generalized Fractional LE Equation
- The case in which and
- The case in which and
3.1. The Case in Which and
3.2. The Case in Which and
| Algorithm 1: Coding algorithm for the proposed scheme. |
| Input and . |
| Step 1. Assume an approximate solution as in (27). |
| Step 2. Compute as in (29). |
| Step 3. Apply the collocation method to obtain the system in (32). |
| Step 4. Use FindRoot command with initial guess |
| to solve the system in (32) to get . |
| Output |
4. Error Bound
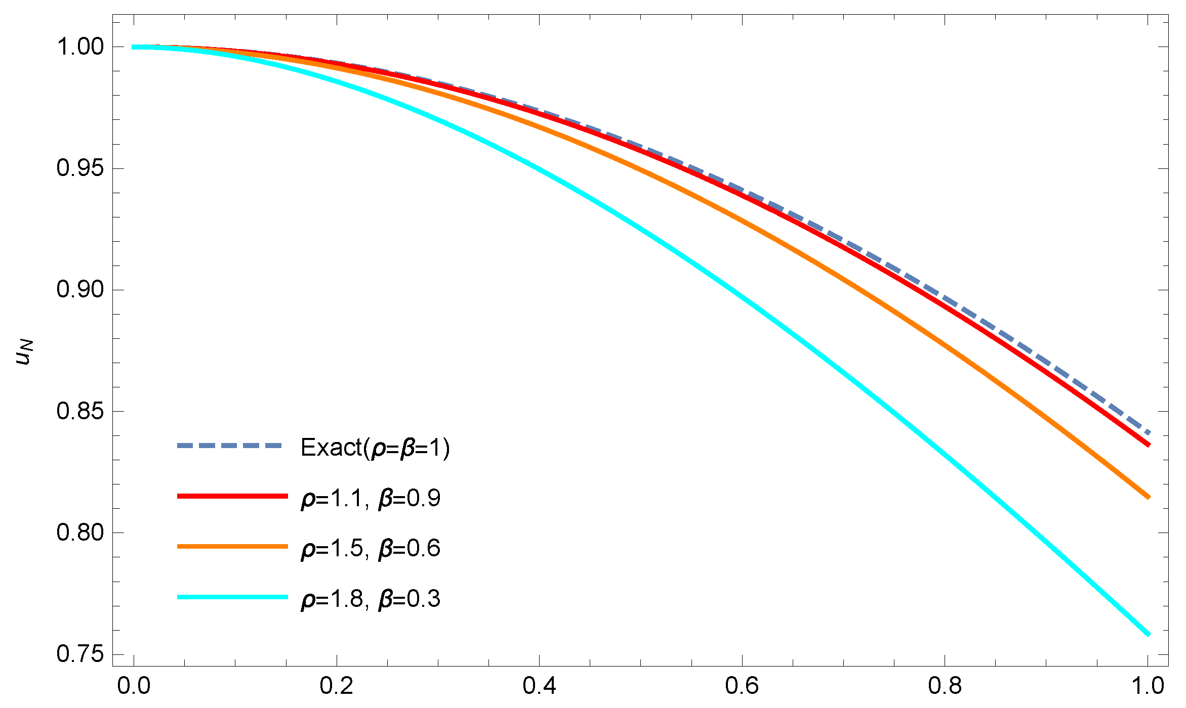
5. Illustrative Examples and Comparisons
6. Closing Remarks
Author Contributions
Funding
Institutional Review Board Statement
Informed Consent Statement
Data Availability Statement
Conflicts of Interest
References
- Lane, H.J. On the theoretical temperature of the sun, under the hypothesis of a gaseous mass maintaining its volume by its internal heat, and depending on the laws of gases as known to terrestrial experiment. Am. J. Sci. 1870, 2, 57–74. [Google Scholar] [CrossRef]
- Liu, F. Polytropic gas spheres: An approximate analytic solution of the Lane-Emden equation. MNRAS 1996, 281, 1197–1205. [Google Scholar] [CrossRef]
- Singh, M.; Singh, K. An efficient technique based on higher order Haar wavelet method for Lane–Emden equations. Math. Comput. Simul. 2023, 206, 21–39. [Google Scholar]
- Kumbinarasaiah, S.; Manohara, G.; Hariharan, G. Bernoulli wavelets functional matrix technique for a system of nonlinear singular Lane Emden equations. Math. Comput. Simul. 2023, 204, 133–165. [Google Scholar]
- El-Essawy, S.H.; Nouh, M.I.; Soliman, A.A.; Rahman, H.I.; Abd-Elmougod, G.A. Monte Carlo simulation of Lane–Emden type equations arising in astrophysics. Astron. Comput. 2023, 42, 100665. [Google Scholar] [CrossRef]
- He, J.H.; Ji, F.Y. Taylor series solution for Lane–Emden equation. J. Math. Chem. 2019, 57, 1932–1934. [Google Scholar] [CrossRef]
- Sabir, Z.; Wahab, H.A.; Umar, M.; Sakar, M.G.; Raja, M.A. Novel design of Morlet wavelet neural network for solving second order Lane–Emden equation. Math. Comput. Simul. 2020, 172, 1–14. [Google Scholar] [CrossRef]
- Izadi, M.; Srivastava, H.M.; Adel, W. An Effective Approximation Algorithm for Second-Order Singular Functional Differential Equations. Axioms 2022, 11, 133. [Google Scholar] [CrossRef]
- Sabir, Z.; Raja, M.A.Z.; Botmart, T.; Weera, W. A neuro-evolution heuristic using active-set techniques to solve a novel nonlinear singular prediction differential model. Fractal Fract. 2022, 6, 29. [Google Scholar] [CrossRef]
- Awonusika, R.O. Analytical Solutions of a Class of Fractional Lane–Emden Equation: A Power Series Method. Int. J. Appl. Comput. Math. 2022, 8, 155. [Google Scholar] [CrossRef]
- Momoniat, E.; Harley, C. Approximate implicit solution of a Lane-Emden equation. New Astron. 2006, 11, 520–526. [Google Scholar] [CrossRef]
- Aydinlik, S.; Kiris, A.; Roul, P. An effective approach based on Smooth Composite Chebyshev Finite Difference Method and its applications to Bratu-type and higher order Lane–Emden problems. Math. Comput. Simul. 2022, 202, 193–205. [Google Scholar] [CrossRef]
- Bisheh-Niasar, M. A computational method for solving the Lane-Emden initial value problems. Comput. Methods Differ. Equ. 2020, 8, 673–684. [Google Scholar]
- Adel, W.; Sabir, Z.; Rezazadeh, H.; Aldurayhim, A. Application of a Novel Collocation Approach for Simulating a Class of Nonlinear Third-Order Lane–Emden Model. Math. Probl. Eng. 2022, 2022, 5717924. [Google Scholar] [CrossRef]
- Abd-Elhameed, W.; Ahmed, H.M. Tau and Galerkin operational matrices of derivatives for treating singular and Emden–Fowler third-order-type equations. Int. J. Mod. Phys. C 2022, 33, 2250061. [Google Scholar] [CrossRef]
- Abdelhakem, M.; Youssri, Y.H. Two spectral Legendre’s derivative algorithms for Lane-Emden, Bratu equations, and singular perturbed problems. Appl. Numer. Math. 2021, 169, 243–255. [Google Scholar] [CrossRef]
- Luo, W.H.; Li, C.; Huang, T.Z.; Gu, X.M.; Wu, G.C. A high-order accurate numerical scheme for the Caputo derivative with applications to fractional diffusion problems. Numer. Funct. Anal. Optim. 2018, 39, 600–622. [Google Scholar] [CrossRef]
- Bu, S. A collocation methods based on the quadratic quadrature technique for fractional differential equations. AIMS Math. 2022, 7, 804–820. [Google Scholar] [CrossRef]
- Derakhshan, M. The stability analysis and numerical simulation based on Sinc Legendre collocation method for solving a fractional epidemiological model of the Ebola virus. Partial Differ. Equ. Appl. Math. 2021, 3, 100037. [Google Scholar] [CrossRef]
- Dadkhah, E.; Shiri, B.; Ghaffarzadeh, H.; Baleanu, D. Visco-elastic dampers in structural buildings and numerical solution with spline collocation methods. J. Appl. Math. Comput. 2020, 63, 29–57. [Google Scholar] [CrossRef]
- Caputo, M. Linear models of dissipation whose Q is almost frequency independent—II. Geophys. J. Int. 1967, 13, 529–539. [Google Scholar] [CrossRef]
- Podlubny, I. Fractional differential equations. Math. Sci. Eng. 1999, 198, 41–119. [Google Scholar]
- Kilbas, A.A.; Srivastava, H.M.; Trujillo, J.J. Theory and Applications of Fractional Differential Equations; Elsevier: Amsterdam, The Netherlands, 2006; Volume 204. [Google Scholar]
- Odibat, Z.; Baleanu, D. Numerical simulation of initial value problems with generalized Caputo-type fractional derivatives. Appl. Numer. Math. 2020, 156, 94–105. [Google Scholar] [CrossRef]
- Katugampola, U.N. New approach to a generalized fractional integral. Appl. Math. Comput. 2011, 218, 860–865. [Google Scholar] [CrossRef]
- Youssri, Y.H. Orthonormal ultraspherical operational matrix algorithm for fractal–fractional Riccati equation with generalized Caputo derivative. Fractal Fract. 2021, 5, 100. [Google Scholar] [CrossRef]
- Shen, J.; Tang, T.; Wang, L. Spectral Methods: Algorithms, Analysis and Applications; Springer Science & Business Media: Berlin/Heidelberg, Germany, 2011; Volume 41. [Google Scholar]
- Ashry, H.; Abd-Elhameed, W.M.; Moatimid, G.M.; Youssri, Y.H. Robust Shifted Jacobi-Galerkin Method for Solving Linear Hyperbolic Telegraph Type Equation. Palestine J. Math. 2022, 11, 504–518. [Google Scholar]
- Youssri, Y.H.; Hafez, R.M. Exponential Jacobi spectral method for hyperbolic partial differential equations. Math. Sci. 2019, 13, 347–354. [Google Scholar] [CrossRef]
- Marasi, H.; Sharifi, N.; Piri, H. Modified differential transform method for singular Lane-Emden equations in integer and fractional order. TWMS J. Appl. Eng. Math. 2015, 5, 124–131. [Google Scholar]
- Zhao, Y.L.; Zhu, P.Y.; Gu, X.M.; Zhao, X.L.; Jian, H.Y. A preconditioning technique for all-at-once system from the nonlinear tempered fractional diffusion equation. J. Sci. Comput. 2020, 83, 10. [Google Scholar] [CrossRef]
- Abd-Elhameed, W.M.; Alsuyuti, M.M. Numerical Treatment of Multi-Term Fractional Differential Equations via New Kind of Generalized Chebyshev Polynomials. Fractal Fract. 2023, 7, 74. [Google Scholar] [CrossRef]
- Abd-Elhameed, W.M.; Ali, A.; Youssri, Y.H. Newfangled Linearization Formula of Certain Nonsymmetric Jacobi Polynomials: Numerical Treatment of Nonlinear Fisher’s Equation. J. Funct. Spaces 2023, 2023, 9833404. [Google Scholar]
- Abd-Elhameed, W.M.; Doha, E.H.; Youssri, Y.H. Efficient spectral-Petrov-Galerkin methods for third-and fifth-order differential equations using general parameters generalized Jacobi polynomials. Quaest. Math. 2013, 36, 15–38. [Google Scholar] [CrossRef]
- Atta, A.G.; Moatimid, G.M.; Youssri, Y.H. Generalized Fibonacci operational collocation approach for fractional initial value problems. Int. J. Appl. Comput. Math. 2019, 5, 1–11. [Google Scholar] [CrossRef]
- Hafez, R.; Youssri, Y. Shifted Gegenbauer–Gauss collocation method for solving fractional neutral functional-differential equations with proportional delays. Kragujev. J. Math. 2022, 46, 981–996. [Google Scholar] [CrossRef]
- Atta, A.G.; Youssri, Y.H. Advanced shifted first-kind Chebyshev collocation approach for solving the nonlinear time-fractional partial integro-differential equation with a weakly singular kernel. Comput. Appl. Math. 2022, 41, 1–19. [Google Scholar] [CrossRef]
- Bhrawy, A.H.; Zaky, M.A. A method based on the Jacobi tau approximation for solving multi-term time-space fractional partial differential equations. J. Comput. Phys. 2015, 281, 876–895. [Google Scholar] [CrossRef]
- Aghazadeh, N.; Ahmadnezhad, G.; Mohammadi, A. Chebyshev-quasilinearization method for solving fractional singular nonlinear Lane-Emden equations. Commun. Math. 2022, 30, 201–228. [Google Scholar]
- Wazwaz, A.M. Adomian decomposition method for a reliable treatment of the Emden–Fowler equation. Appl. Math. Comput. 2005, 161, 543–560. [Google Scholar] [CrossRef]
- Shiralashetti, S.C.; Deshi, A.B.; Desai, P.B.M. Haar wavelet collocation method for the numerical solution of singular initial value problems. Ain Shams Eng. J. 2016, 7, 663–670. [Google Scholar] [CrossRef]
- Khodier, A.M.M.; Hassan, A.Y. One-dimensional adaptive grid generation. Internat. J. Math. Math. Sci. 1997, 20, 577–584. [Google Scholar] [CrossRef]
- Saeed, U. Haar Adomian method for the solution of fractional nonlinear Lane-Emden type equations arising in astrophysics. Taiwan. J. Math. 2017, 21, 1175–1192. [Google Scholar] [CrossRef]
- Gu, X.M.; Sun, H.W.; Zhao, Y.L.; Zheng, X. An implicit difference scheme for time-fractional diffusion equations with a time-invariant type variable order. Appl. Math. Lett. 2021, 120, 107270. [Google Scholar] [CrossRef]
- Gu, X.M.; Huang, T.Z.; Zhao, Y.L.; Lyu, P.; Carpentieri, B. A fast implicit difference scheme for solving the generalized time–space fractional diffusion equations with variable coefficients. Numer. Methods Partial Differ. Equ. 2021, 37, 1136–1162. [Google Scholar] [CrossRef]





| a | , | , | , | ||||
|---|---|---|---|---|---|---|---|
| Error | Error | Error | Error | Error | Error | ||
| 4 | 2.63416 | 1.53419 | 3.56771 | 4.94507 | 5.18941 | 7.99767 | |
| 1 | 8 | 1.61411 | 6.39142 | 7.61436 | 3.64833 | 9.68827 | 1.42884 |
| 12 | 1.76776 | 1.01641 | 5.56363 | 3.31957 | 2.09734 | 8.46545 | |
| 4 | 1.69006 | 1.42379 | 2.37063 | 5.65026 | 3.3588 | 9.01696 | |
| 2 | 8 | 1.20331 | 1.94289 | 7.22686 | 6.96721 | 9.06465 | 2.20747 |
| 12 | 1.19946 | 1.76942 | 1.57298 | 1.94289 | 2.76152 | 5.82867 | |
| 4 | 9.71126 | 1.75633 | 1.41421 | 5.98682 | 1.99222 | 9.46116 | |
| 3 | 8 | 5.09106 | 1.11022 | 5.46102 | 1.07617 | 6.80349 | 3.10428 |
| 12 | 1.77111 | 2.89699 | 2.21721 | 3.88578 | 4.23896 | 6.38378 | |
| , | , | |||||||
|---|---|---|---|---|---|---|---|---|
| Error | CPU Time | Error | CPU Time | Error | CPU Time | Error | CPU Time | |
| 4 | 0 | 8.97 | 2.78666 | 8.923 | 0 | 7.847 | 4.32987 | 7.831 |
| 6 | 3.86623 | 8.441 | 3.19189 | 8.051 | 3.50141 | 9.983 | 8.88178 | 9.437 |
| , | , | , | ||||
|---|---|---|---|---|---|---|
| E | CPU Time | E | CPU Time | E | CPU Time | |
| 1 | 4.14113 | 15.132 | 5.24048 | 10.872 | 3.75029 | 16.706 |
| 3 | 2.99225 | 15.881 | 2.20543 | 16.693 | 7.55597 | 16.069 |
Disclaimer/Publisher’s Note: The statements, opinions and data contained in all publications are solely those of the individual author(s) and contributor(s) and not of MDPI and/or the editor(s). MDPI and/or the editor(s) disclaim responsibility for any injury to people or property resulting from any ideas, methods, instructions or products referred to in the content. |
© 2023 by the authors. Licensee MDPI, Basel, Switzerland. This article is an open access article distributed under the terms and conditions of the Creative Commons Attribution (CC BY) license (https://creativecommons.org/licenses/by/4.0/).
Share and Cite
Youssri, Y.H.; Atta, A.G. Spectral Collocation Approach via Normalized Shifted Jacobi Polynomials for the Nonlinear Lane-Emden Equation with Fractal-Fractional Derivative. Fractal Fract. 2023, 7, 133. https://doi.org/10.3390/fractalfract7020133
Youssri YH, Atta AG. Spectral Collocation Approach via Normalized Shifted Jacobi Polynomials for the Nonlinear Lane-Emden Equation with Fractal-Fractional Derivative. Fractal and Fractional. 2023; 7(2):133. https://doi.org/10.3390/fractalfract7020133
Chicago/Turabian StyleYoussri, Youssri Hassan, and Ahmed Gamal Atta. 2023. "Spectral Collocation Approach via Normalized Shifted Jacobi Polynomials for the Nonlinear Lane-Emden Equation with Fractal-Fractional Derivative" Fractal and Fractional 7, no. 2: 133. https://doi.org/10.3390/fractalfract7020133
APA StyleYoussri, Y. H., & Atta, A. G. (2023). Spectral Collocation Approach via Normalized Shifted Jacobi Polynomials for the Nonlinear Lane-Emden Equation with Fractal-Fractional Derivative. Fractal and Fractional, 7(2), 133. https://doi.org/10.3390/fractalfract7020133

