Deterministic and Fractional-Order Co-Infection Model of Omicron and Delta Variants of Asymptomatic SARS-CoV-2 Carriers
Abstract
1. Introduction
1.1. Preliminaries
1.2. Linear Growth Condition
1.3. Data Operator
1.4. Memory Function
2. Model Formulation
- Incident co-infection with both strains is assumed, and also, that the vaccine has some efficacy against incident co-infection.
- The model considers the SARS-CoV-2 Omicron variant (denoted by “1”) and the SARS-CoV-2 Delta variant (denoted by “2”).
- The transmissibility of the Omicron variant is assumed higher than that of the Delta variant [57].
- Vaccinated susceptible individuals (assumed also to have completed two doses of any of the available vaccines) have a reduced rate of infection by both variants.
- It is further assumed that immigrants in the population have completed their vaccination dosage.
3. Mathematical Analysis
3.1. Boundedness of the Governing Model (5)
3.2. Positivity of Solution
3.3. Lipschitz Condition
3.4. Existence of the Solution
3.5. Uniqueness of the Solution
3.6. The Basic Reproduction Number of the Model
3.7. Local Asymptotic Stability of the Disease-Free Equilibrium of the Model
4. Stability Analysis
Hyers–Ulam–Rassias Stability
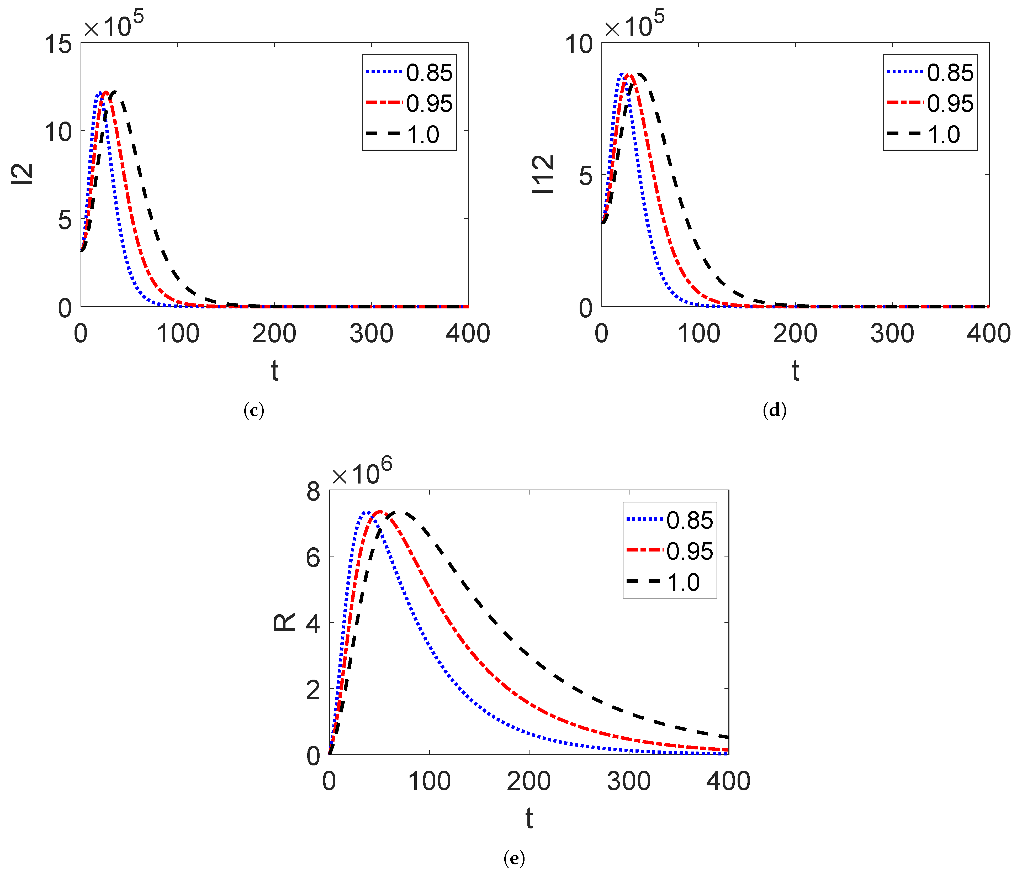
5. Simulations of the SARS-CoV-2 Model (7)
6. Conclusions
Author Contributions
Funding
Informed Consent Statement
Data Availability Statement
Acknowledgments
Conflicts of Interest
References
- Brauer, F.; Driessche, V.D.; Wu, J. Mathematical Epidemiology; Springer: New York, NY, USA, 2008; Volume 415. [Google Scholar]
- Ma, Z.; Li, J. Dynamic Modeling and Analysis of Epidemics; World Scientific: Singapore, 2009; Volume 513. [Google Scholar]
- Kermack, W.; McKendrick, A.G. A contribution to the mathematical theory of epidemics. Proc. R. Soc. A 1927, 115, 700721. [Google Scholar]
- Riley, S.; Christophe, F.; Donnelly, C. Transmission dynamics of the etiological agent of SARS in Hong Kong: Impact of public health interventions. Science 2003, 300, 1961–1966. [Google Scholar] [CrossRef] [PubMed]
- Tan, X.; Feng, E.; Xu, G. SARS epidemic modeling and the study on its parameter control system. J. Eng. Math. 2003, 20, 39–44. [Google Scholar]
- Lee, J.; Chowell, G.; Jung, E. A dynamic compartmental model for the middle east respiratory syndrome outbreak in the republic of korea: A retrospective analysis on control interventions and super spreading events. J. Theor. Biol. 2016, 408, 118–126. [Google Scholar] [CrossRef]
- Kim, K.; Tandi, T.; Choi, J.; Moon, J.; Kim, M. Middle East respiratory syndrome coronavirus (MERS-CoV) outbreak in South Korea, 2015: Epidemiology, characteristics and public health implications. J. Hosp Infect. 2017, 95, 207–213. [Google Scholar] [CrossRef] [PubMed]
- World Health Organization (WHO). Coronavirus Disease (COVID-19) Outbreak Situation. Available online: https://www.who.int/emergencies/diseases/novel-coronavirus-2019 (accessed on 17 December 2020).
- Zhou, P.; Yang, X.L.; Wang, X.G.; Hu, B.; Zhang, L.; Zhang, W. A pneumonia outbreak associated with a new coronavirus of probable bat origin. Nature 2020, 579, 270–273. [Google Scholar] [CrossRef]
- Li, Q.; Guan, X.; Wu, P.; Wang, X.; Zhou, L.; Tong, Y. Early transmission dynamics in Wuhan, China, of novel coronavirus-infected pneumonia. N. Engl. J. Med. 2020, 382, 1199–1207. [Google Scholar] [CrossRef]
- Huang, C.; Wang, Y.; Li, X.; Ren, L.; Zhao, J.; Hu, Y. Clinical features of patients infected with 2019 novel coronavirus in Wuhan, China. Lancet 2020, 395, 497–506. [Google Scholar] [CrossRef]
- Bedford, J.; Enria, D.; Giesecke, J.; Heymann, D.L.; Ihekweazu, C.; Kobinger, G. Covid-19: Towards controlling of a pandemic. Lancet 2020, 395, 10229. [Google Scholar] [CrossRef]
- Guo, R.; Cao, Q.D.; Hong, Z.S.; Tan, Y.; Chen, S.D.; Jin, H.J. The origin transmission and clinical therapies on coronavirus disease 2019 (COVID-19) outbreak-an update on the status. Mil. Med. Res. 2020, 7, 1–10. [Google Scholar] [CrossRef]
- Liu, J.; Liao, X.; Qian, S.; Yuan, J.; Wang, F.; Liu, Y.; Wang, Z.; Wang, F.; Liu, L.; Zhang, Z. Community transmission of severe acute respiratory syndrome coronavirus 2, Shenzhen, China, 2020. Emerg. Infect. Dis. 2020, 26, 1320–1323. [Google Scholar] [CrossRef] [PubMed]
- Almeida, R. A Caputo fractional derivative of a function with respect to another function. Communic Nonline Sci. Nume. Simul. 2017, 44, 460–481. [Google Scholar] [CrossRef]
- Khalil, R.; Horani, M.A.; Yousef, A.; Sababheh, M. A new definition of fractional derivative. J. Comput. Appl. Math. 2014, 264, 65–70. [Google Scholar] [CrossRef]
- Scott, A.C. Encyclopedia of Nonlinear Science; Routledge, Taylor and Francis Group: New York, NY, USA, 2005. [Google Scholar]
- Sousa, J.; de Oliveira, E.C. A new truncated M-fractional derivative type unifying some fractional derivative types with classical properties. Int. J. Anal. Appl. 2018, 16, 83–96. [Google Scholar]
- Jumarie, G. Modified Riemann–Liouville derivative and fractional Taylor series of no-differentiable functions further results. Comput. Math. Appl. 2006, 51, 1367–1376. [Google Scholar]
- Caputo, M.; Fabrizio, M. A new definition of fractional derivative without singular kernel. Prog. Fract. Differ. Appl. 2015, 1, 73–85. [Google Scholar]
- Atangana, A.; Baleanu, D. New fractional derivative without non-local and non-singular kernel: Theory and application to heat transfer model. Therm. Sci. 2016, 20, 763–769. [Google Scholar] [CrossRef]
- Oldham, K.B.; Spanier, J. The Fractional Calculus; Academic Press: New York, NY, USA, 1974. [Google Scholar]
- Podlubny, I. Fractional Differential Equations; Academic Press: New York, NY, USA, 1999. [Google Scholar]
- Miller, K.S.; Ross, B. An Introduction to the Fractional Calculus and Fractional Differential Equations; John Wiley and Sons: New York, NY, USA, 1993. [Google Scholar]
- Imran, M.A. Application of fractal fractional derivative of power law kernel to MHD viscous fluid flow between two plates. Chaos Solitons Fractals 2020, 134, 109691. [Google Scholar] [CrossRef]
- Imran, M.A.; Sunthrayuth, P.; Ikram, M.D.; Taseer, M.; Alshomrani, A.S. Analysis of non-singular fractional bioconvection and thermal memory with generalized Mittag-Leffler kernel. Chaos Solitons Fractals 2020, 159, 112090. [Google Scholar]
- Aleem, M.; Imran, M.A.; Shaheen, A.; Khan, I. MHD Influence on different water based nanofluids (TiO2, Al2O3, CuO) in porous medium with chemical reaction and newtonian heating. Chaos Solitons Fractals 2020, 130, 109437. [Google Scholar] [CrossRef]
- Naik, P.A.; Owolabi, K.M.; Yavuz, M.; Zu, J. Chaotic dynamics of fractional order HIV-1 model involving AIDS-related cancer cells. Chaos Solitons Fractals 2020, 140, 110272. [Google Scholar] [CrossRef]
- Naik, P.A.; Zu, J.; Owolabi, K.M. Global dynamics of a fractional order model For the transmission of HIV epidemic with optimal control. Chaos Solitons Fractals 2020, 138, 109826. [Google Scholar] [CrossRef] [PubMed]
- Naik, P.A.; Owolabi, K.M.; Zu, J.; Naik, M. Modeling the transmission dynamics of Covid-19 pandemic in Caputo type fractional derivative. J. Multiscale Model. 2021, 12, 2150006. [Google Scholar] [CrossRef]
- Mishra, A.M.; Purohit, S.D.; Owolabi, K.M.; Sharma, Y.D. A nonlinear epidemiological model considering asymptotic and quarantine classes for SARS CoV-2 virus. Chaos Solitons Fractals 2020, 138, 109953. [Google Scholar] [CrossRef] [PubMed]
- Owolabi, K.M.; Patidar, K.C.; Shikongo, A. A fitted operator method for a system of delay model of tumour cells dynamics within their micro-environment. Appl. Math. Inf. Sci. 2022, 16, 367–388. [Google Scholar] [CrossRef]
- Owolabi, K.M.; Shikongo, A. Fractal Fractional Operator Method on HER2+ Breast Cancer Dynamics. Int. J. Appl. Comput. Math. 2021, 7, 85. [Google Scholar] [CrossRef]
- Atangana, A.; Alqahtani, A.T. Modelling the spread of river blindness disease via the caputo fractional derivative and the beta-derivative. Entropy 2016, 18, 40. [Google Scholar] [CrossRef]
- Salman, S.M.; Yousef, A.M. On a fractional-order model for HBV infection with cure of infected cells. J. Egypt. Math. Soc. 2017, 25, 445–451. [Google Scholar]
- Area, I.; Batarfi, H.; Losada, J.; Nieto, J.J.; Shammakh, W.; Torres, A. On a fractional order Ebola epidemic model. Adv. Differ. Equ. 2015, 2015, 278. [Google Scholar] [CrossRef]
- Yao, S.W.; Faridi, W.A.; Asjad, M.I.; Jhangeer, A.; Inc, M. A mathematical modelling ofa Atherosclerosis intimation with Atangana–Baleanu fractional derivative in terms of memory function. Res. Phy. 2021, 27, 104425. [Google Scholar]
- Baleanu, D.; Mohammadi, H.; Rezapour, S. A mathematical theoretical study of a particular system of Caputo–Fabrizio fractional differential equations for the rubella disease model. Adv. Differ. Equ. 2020, 184, 1–19. [Google Scholar] [CrossRef]
- Addai, E.; Zhang, L.; Preko, A.K.; Asamoah, J.K.K. Fractional order epidemiological model of SARS-CoV-2 dynamism involving Alzheimer’s disease. Healthc. Anal. 2022, 2, 100114. [Google Scholar] [CrossRef]
- Omame, A.; Abbas, M.; Onyenegecha, C.P. A fractional-order model for COVID-19 and tuberculosis co-infection using Atangana–Baleanu derivative. Chaos Solitons Fractals 2021, 153, 111486. [Google Scholar] [CrossRef] [PubMed]
- Omame, A.; Abbas, M.; Abdel-Aty, A.H. Assessing the impact of SARS-CoV-2 infection on the dynamics of dengue and HIV via fractional derivatives. Chaos Solitons Fractals 2022, 162, 112427. [Google Scholar] [CrossRef] [PubMed]
- Omame, A.; Abbas, M. Backward bifurcation and optimal control in a co-infection model for ARS-CoV-2 and ZIKV. Results Phys. 2022, 37, 105481. [Google Scholar] [CrossRef] [PubMed]
- Angstmann, C.; Henry, B.; McGann, A. A fractional order recovery SIR model from a stochastic process. Bull. Math. Biol. 2016, 78, 468–499. [Google Scholar] [CrossRef]
- Angstmann, C.; Henry, b.; McGann, A. A fractional-order infectivity and recovery SIR model. Fractal Fract. 2017, 1, 11. [Google Scholar] [CrossRef]
- Kumar, R.; Kumar, S. A new fractional modelling on susceptible-infected-recovered equations with constant vaccination rate. Nonlinear Eng. 2014, 3, 11–19. [Google Scholar] [CrossRef]
- El-Saka, H. The fractional-order SIS epidemic model with variable population size. J. Egyptian Math. Soc. 2014, 22, 50–54. [Google Scholar] [CrossRef]
- Ozalp, N.; Demirrci, E. A fractional order SEIQR model with vertical transmission. Math. Comput. Model 2011, 54, 1–6. [Google Scholar] [CrossRef]
- AL-Smadi, M.H.; Gumah, G.N. On the homotopy analysis method for fractional SEIQR epidemic model. Res. J. Appl. Sci., Eng. Technol. 2014, 7, 3809–3820. [Google Scholar] [CrossRef]
- Casagrandi, R.; Bolzoni, L.; Levin, S.A.; Andreasen, V. The SIRC model for influenza A. Math. BioSci. 2006, 200, 152–169. [Google Scholar] [CrossRef] [PubMed]
- Kumar, D.; Singh, J.; Qurashi, M.A.; Baleanu, D. A new fractional SIRS-SI malaria disease model with application of vaccines, anti-malarial drugs, and spraying. Adv. Differ. Equ. 2019, 2019, 278. [Google Scholar] [CrossRef]
- Anderson, R.M.; Anderson, B.; May, R.M. Infectious Diseases of Humans: Dynamics and Control; Oxford University Press: Oxford, UK, 1992. [Google Scholar]
- Biswas, S.K.; Ghosh, J.K.; Sarkar, S.; Ghosh, U. COVID-19 pandemic in India: A mathematical model study. Nonlinear Dyn. 2020, 102, 537–553. [Google Scholar] [CrossRef] [PubMed]
- He, S.; Peng, Y.; Sun, K. SEIQR modeling of the COVID-19 and its dynamics. Nonlinear Dyn. 2020, 101, 1667–1680. [Google Scholar] [CrossRef] [PubMed]
- Huang, J.; Qi, G. Effects of control measures on the dynamics of COVID-19 and double-peak behaviour in Spain. Nonlinear Dyn. 2020, 101, 1889–1899. [Google Scholar] [CrossRef]
- Abdulwasaa, M.A.; Abdo, M.S.; Shah, K.; Nofal, T.A.; Panchal, S.K.; Kawale, S.V.; Abdel-Aty, A. Fractal-fractional mathematical modeling and forecasting of new cases and deaths of COVID-19 epidemic outbreaks in India. Res. Phy. 2021, 20, 103702. [Google Scholar] [CrossRef] [PubMed]
- Kouidere, A.; Kada, D.; Balatif, O.; Rachik, M.; Naim, M. Optimal control approach of a mathematical modeling with multiple delays of the negative impact of delays in applying preventive precautions against the spread of the COVID-19 pandemic with a case study of Brazil and cost-effectiveness. Chaos Solitons Fractals 2021, 142, 110438. [Google Scholar] [CrossRef]
- Hu, B.; Guo, H.; Zhou, P.; Shi, Z.L. Characteristics of SARS-CoV-2 and SARS-CoV-2. Nat. Rev. Microbiol. 2021, 19, 141–154. [Google Scholar] [CrossRef]
- Available online: https://www.cdc.gov/coronavirus/2019-ncov/science/science-briefs/scientific-brief-Omicron-variant.html (accessed on 28 November 2022).
- United States Food and Drug Administration. FDA Takes Key Action in Fight against SARS-CoV-2 By Issuing Emergency Use Authorization for First SARS-CoV-2 Vaccine. 2020. Available online: https://www.fda.gov/news-events/press-announcements/fda-takes-key-action-fight-against-covid-19-issuing-emergency-use-authorization-first-covid-19 (accessed on 17 June 2021).
- Interim Clinical Considerations for Use of SARS-CoV-2 Vaccines Currently Authorized in the United States. Available online: https://www.cdc.gov/vaccines/covid-19/clinical-considerations/covid-19-vaccines-us.html (accessed on 17 June 2021).
- Israel Ministry of Health. SARS-CoV-2 Vaccine Effectiveness against the Delta Variant. Israel’s Ministry of Health Report; 2021. Available online: https://www.gov.il/BlobFolder/reports/vaccine-efficacy-safety-follow-up-committee/he/files_publications_corona_two-dose-vaccination-data.pdf (accessed on 28 November 2022).
- Andrews, N. Vaccine effectiveness and duration of protection of Comirnaty, Vaxzevria and Spikevax against mild and severe SARS-CoV-2 in the UK. 2021. Available online: https://www.medrxiv.org/content/10.1101/2021.09.15.21263583v2.full.pdf (accessed on 28 November 2022).
- Nasreen, S. Effectiveness of SARS-CoV-2 vaccines against variants of concern, Canada. medRxiv 2021. [Google Scholar] [CrossRef]
- Puranik, A. Comparison of two highly effective mRNA vaccines for SARS-CoV-2 during periods of Alpha and Delta variant prevalence. medRxiv 2021. [Google Scholar] [CrossRef]
- Nanduri, S. Effectiveness of Pfizer-BioNTech and Moderna vaccines in preventing SARS-CoV-2 infection among nursing home residents before and during widespread circulation of the SARS-CoV-2 B.1.617.2 (Delta) variant-National Healthcare Safety Network, 1 March–1 August 2021. Morb. Mortal. Wkly. Rep. 2021, 70, 1163–1166. [Google Scholar]
- Tang, P.; Hasan, M.R.; Chemaitelly, H.; Yassine, H.M.; Benslimane, F.M.; Al Khatib, H.A.; AlMukdad, S.; Coyle, P.; Ayoub, H.H.; Al Kanaani, Z.; et al. BNT162b2 and mRNA-1273 SARS-CoV-2 vaccine effectiveness against the SARS-CoV-2 Delta variant in Qatar. Nat. Med. 2021, 27, 2136–2143. [Google Scholar] [CrossRef] [PubMed]
- Atangana, A. New concept of rate of change: A decolonization of calculus. In Proceedings of the ICMMAAC, Jaipur, India, 7–9 August 2020. [Google Scholar]
- Tateshi, A.A.; Ribeiro, H.V.; Lenzi, E.K. The role of fractional time-derivative operators on anomalous diffusion. Front. Phys. 2017, 5, 52. [Google Scholar] [CrossRef]
- Government of India Ministry of Health and Family Welfare: Guidelines for International Arrivals. Available online: https://www.mohfw.gov.in/pdf/GuidelinesforInternationalArrival11thNovember2021.pdf (accessed on 28 November 2022).
- Rothana, H.A.; Byrareddy, S.N. The epidemiology and pathogenesis of coronavirus disease (SARS-CoV-2) outbreak. J. Autoimmun. 2020, 109, 102433. [Google Scholar] [CrossRef] [PubMed]
- Driessche, P.v.; Watmough, J. Reproduction numbers and sub-threshold endemic equilibria for compartmental models of disease transmission. Math. Biosci. 2002, 180, 29–48. [Google Scholar] [CrossRef] [PubMed]
- Hussain, A.; Baleanu, D.; Adeel, M. Existence of solution and stability for the fractional order novel coronavirus (nCoV-2019) model. Adv. Diff. Eq. 2020, 2020, 384. [Google Scholar] [CrossRef] [PubMed]
- India: Coronavirus Pandemic Country Profile. Available online: https://ourworldindata.org/coronavirus/country/india (accessed on 11 November 2021).
- Pakistan: Coronavirus Pandemic Country Profile. Available online: https://ourworldindata.org/coronavirus/country/pakistan (accessed on 11 November 2021).





| Parameter | Description | Value | Source |
|---|---|---|---|
| Recruitment rate for individuals | See Table 2 | ||
| Contact rates for Omicron and Delta variants’ transmission | See Table 2 | Fit | |
| Contact rate for co-infection transmission | See Table 2 | Fit | |
| Fraction of vaccinated individuals | See Table 2 | ||
| Vaccination rate | See Table 2 | ||
| Vaccine efficacy against the Omicron SARS-CoV-2 variant | 0.80 | [66] | |
| Vaccine efficacy against the Delta SARS-CoV-2 variant | 0.57 | [66] | |
| Cross-immunity parameter | 1.0 | Assumed | |
| Natural death rate | See Table 2 | ||
| Omicron and Delta variants induced death rates | See Table 2 | Fit | |
| Co-infection induced death rates | See Table 2 | Fit | |
| Modification parameter accounting for the infectivity | |||
| of individuals in the class | 1.0 | Assumed | |
| Modification parameters for the infectiousness of | |||
| symptomatic individuals in and , respectively | 1.5 | [60] | |
| Omicron, Delta SARS-CoV-2 variant’s progression rates | [69] | ||
| Progression rate for co-infection of SARS-CoV-2 variants | [70] | ||
| Recovery rates | [70] |
| Parameter | Source | |
|---|---|---|
| Fit | ||
| Fit | ||
| Fit | ||
| 0.0171 | Fit | |
| Fit | ||
| 0.08 | Estimated | |
| 0.26 | Estimated | |
| 2.0904 | Fit |
Disclaimer/Publisher’s Note: The statements, opinions and data contained in all publications are solely those of the individual author(s) and contributor(s) and not of MDPI and/or the editor(s). MDPI and/or the editor(s) disclaim responsibility for any injury to people or property resulting from any ideas, methods, instructions or products referred to in the content. |
© 2023 by the authors. Licensee MDPI, Basel, Switzerland. This article is an open access article distributed under the terms and conditions of the Creative Commons Attribution (CC BY) license (https://creativecommons.org/licenses/by/4.0/).
Share and Cite
Faridi, W.A.; Asjad, M.I.; Ahmad, S.; Iftene, A.; Abd El-Rahman, M.; Sallah, M. Deterministic and Fractional-Order Co-Infection Model of Omicron and Delta Variants of Asymptomatic SARS-CoV-2 Carriers. Fractal Fract. 2023, 7, 192. https://doi.org/10.3390/fractalfract7020192
Faridi WA, Asjad MI, Ahmad S, Iftene A, Abd El-Rahman M, Sallah M. Deterministic and Fractional-Order Co-Infection Model of Omicron and Delta Variants of Asymptomatic SARS-CoV-2 Carriers. Fractal and Fractional. 2023; 7(2):192. https://doi.org/10.3390/fractalfract7020192
Chicago/Turabian StyleFaridi, Waqas Ali, Muhammad Imran Asjad, Shabir Ahmad, Adrian Iftene, Magda Abd El-Rahman, and Mohammed Sallah. 2023. "Deterministic and Fractional-Order Co-Infection Model of Omicron and Delta Variants of Asymptomatic SARS-CoV-2 Carriers" Fractal and Fractional 7, no. 2: 192. https://doi.org/10.3390/fractalfract7020192
APA StyleFaridi, W. A., Asjad, M. I., Ahmad, S., Iftene, A., Abd El-Rahman, M., & Sallah, M. (2023). Deterministic and Fractional-Order Co-Infection Model of Omicron and Delta Variants of Asymptomatic SARS-CoV-2 Carriers. Fractal and Fractional, 7(2), 192. https://doi.org/10.3390/fractalfract7020192

