A Robust and Versatile Numerical Framework for Modeling Complex Fractional Phenomena: Applications to Riccati and Lorenz Systems
Abstract
1. Introduction
2. Formulation of the Problem
2.1. Our 1st Example Is the Fractional Riccati Equation
2.2. Our 2nd Example Is the Fractional Lorenz System
3. Method of Solution
3.1. Generalized Caputo-Kind Fractional Derivative [63]
3.2. Our First Shape Function Is Lagrange Interpolation Polynomial Based DQM (PDQM)
3.3. Discrete Singular Convolution-Based DQM (DSCDQM)
- •
- Our second shape function is the Regularized Shannon kernel (DSCDQM–RSK)
3.4. Algorithm: Fractional Differential Quadrature Method (FDQM) for Nonlinear Initial Value Problems
| Algorithm 1: Fractional Differential Quadrature Method (FDQM) for Nonlinear Initial Value Problems |
Input:
|
4. Numerical Results
4.1. Problem 4.1
4.2. Problem 4.2
- ▪
- The integer-order Lorenz system exhibits a well-defined chaotic regime within a specific parameter range.
- ▪
- Fractional-order Lorenz systems often exhibit chaotic behavior over a wider range of parameters and fractional orders. This can lead to more complex and diverse chaotic dynamics.
- ▪
- The integer-order Lorenz system typically has a single strange attractor.
- ▪
- Fractional-order Lorenz systems can exhibit multiple strange attractors or even the coexistence of different attractors, depending on the fractional order and system parameters.
- ▪
- The fractal dimension of the strange attractor in the integer-order Lorenz system is generally between 2 and 3.
- ▪
- The fractal dimension of the strange attractors in fractional-order Lorenz systems can vary more widely, often exceeding 3. This indicates a more complex and convoluted structure.
- ▪
- The integer-order Lorenz system is highly sensitive to initial conditions, leading to the butterfly effect.
- ▪
- Fractional-order Lorenz systems can exhibit even greater sensitivity to initial conditions, making long-term predictions even more challenging.
- ▪
- The integer-order Lorenz system does not have memory effects.
- ▪
- The fractional-order Lorenz system incorporates memory effects, which can influence the system’s dynamics and make it more resilient to perturbations.
- ▪
- Grid Points: The function Chebyshev grid (N) generates N Chebyshev nodes, requiring O(N) space.
- ▪
- Weighting Coefficients: The function PDQM weights (N, t) creates a matrix A of size N × N. Therefore, it requires O(N2) space.
- ▪
- Solution Vectors:
- -
- The solution υ, X, Y, Z vectorsfor the Riccati equation and Lorenz system are initialized as zero vectors of size N × 1, each requiring O(N) space.
- -
- Total for all solution vectors combined: 4 × O(N) = O(N).
- ▪
- The dominant term is O(N2) from the weighting coefficients matrix. Thus, the total memory space complexity is:
- ▪
- The grid points are generated in O(N) time.
- ▪
- The PDQM weights(N, t, 1) function computes the coefficients with a nested loop over N, resulting in O(N2) time complexity:
- ▪
- Each entry in matrix A involves calculations that depend on N, leading to O(N2) complexity for the entire matrix.
- ▪
- The time integration loop runs for N-1 iterations, performing a constant time calculation for each iteration:
- ▪
- Combining these, we get:
- ▪
- Again, this takes O(N) time.
- ▪
- The calculations for Ax, Ay, and Az each take O(N2):
- ▪
- Similar to the Riccati equation, the integration loop runs for N-1 iterations:
- ▪
- Again combining these:
- ▪
- Memory Complexity: O(N2)
- ▪
- Time Complexity for Riccati Equation: O(N2)
- ▪
- Time Complexity for Lorenz System: O(N2)
- ▪
- For N = 9:
- ▪
- Weighting coefficients: 81 × 8 = 648 bytes (approximately 0.64 KB).
- ▪
- Solution vectors: 36 × 8 = 288 bytes (approximately 0.28 KB).
- ▪
- If the operations in the loops take, say, 0.001 s per iteration:
- ▪
- Each step introduces local error, which accumulates over time. Smaller time steps help minimize this accumulation, resulting in a more accurate final solution (error ≤10−8)
- ▪
- The global error, which is the total error over the entire integration period, also tends to decrease with smaller time steps, leading to better overall accuracy.
4.3. Stability Analysis
- The vector {U} represents the unknown variables at the internal grid points, where υ, X, Y, and Z are the individual components;
- •
- The initial conditions are stored in the vector [K];
- R[U] is the right-hand side of Equations (1)∓(6); and
- is the weighting coefficient matrix of the first derivative:
- If all eigenvalues satisfy , the method is stable.
- If any eigenvalue has , the method may be unstable.
5. Conclusions
Author Contributions
Funding
Data Availability Statement
Conflicts of Interest
References
- Cafagna, D.; Grassi, G. Bifurcation and Chaos in the Fractional-Order Chen System via a Time-Domain Approach. Int. J. Bifurc. Chaos 2008, 18, 1845–1863. [Google Scholar] [CrossRef]
- Petráš, I. The Fractional-Order Lorenz-Type Systems: A Review. Fract. Calc. Appl. Anal. 2022, 25, 362–377. [Google Scholar] [CrossRef]
- Grigorenko, I.; Grigorenko, E. Chaotic Dynamics of the Fractional Lorenz System. Phys. Rev. Lett. 2003, 91, 034101. [Google Scholar] [CrossRef]
- Deng, W.H.; Li, C.P. Chaos Synchronization of the Fractional Lü System. Phys. A Stat. Mech. Its Appl. 2005, 353, 61–72. [Google Scholar] [CrossRef]
- Lü, J.; Chen, G. A New Chaotic Attractor Coined. Int. J. Bifurc. Chaos 2002, 12, 659–661. [Google Scholar] [CrossRef]
- Rahman, Z.-A.S.A.; Jasim, B.H.; Al-Yasir, Y.I.A.; Hu, Y.-F.; Abd-Alhameed, R.A.; Alhasnawi, B.N. A New Fractional-Order Chaotic System with Its Analysis, Synchronization, and Circuit Realization for Secure Communication Applications. Mathematics 2021, 9, 2593. [Google Scholar] [CrossRef]
- Aminikhah, H.; Hemmatnezhad, M. An Efficient Method for Quadratic Riccati Differential Equation. Commun. Nonlinear Sci. Numer. Simul. 2010, 15, 835–839. [Google Scholar] [CrossRef]
- Khan, N.A.; Ara, A.; Jamil, M. An Efficient Approach for Solving the Riccati Equation with Fractional Orders. Comput. Math. Appl. 2011, 61, 2683–2689. [Google Scholar] [CrossRef]
- Odibat, Z.; Momani, S. Modified Homotopy Perturbation Method: Application to Quadratic Riccati Differential Equation of Fractional Order. Chaos Solitons Fractals 2008, 36, 167–174. [Google Scholar] [CrossRef]
- Cang, J.; Tan, Y.; Xu, H.; Liao, S.-J. Series Solutions of Non-Linear Riccati Differential Equations with Fractional Order. Chaos Solitons Fractals 2009, 40, 1–9. [Google Scholar] [CrossRef]
- Tan, Y.; Abbasbandy, S. Homotopy Analysis Method for Quadratic Riccati Differential Equation. Commun. Nonlinear Sci. Numer. Simul. 2008, 13, 539–546. [Google Scholar] [CrossRef]
- Gülsu, M.; Sezer, M. On the Solution of the Riccati Equation by the Taylor Matrix Method. Appl. Math. Comput. 2006, 176, 414–421. [Google Scholar] [CrossRef]
- Li, Y.; Hu, L. Solving Fractional Riccati Differential Equations Using Haar Wavelet. In Proceedings of the 2010 Third International Conference on Information and Computing, Wuxi, China, 4–6 June 2010; IEEE: Piscataway, NJ, USA, 2010; Volume 1, pp. 314–317. [Google Scholar]
- Cui, M. Combined Compact Difference Scheme for the Time Fractional Convection–Diffusion Equation with Variable Coefficients. Appl. Math. Comput. 2014, 246, 464–473. [Google Scholar] [CrossRef]
- Gu, X.-M.; Huang, T.-Z.; Ji, C.-C.; Carpentieri, B.; Alikhanov, A.A. Fast Iterative Method with a Second-Order Implicit Difference Scheme for Time-Space Fractional Convection–Diffusion Equation. J. Sci. Comput. 2017, 72, 957–985. [Google Scholar] [CrossRef]
- Wang, Y.-M. A Compact Finite Difference Method for a Class of Time Fractional Convection-Diffusion-Wave Equations with Variable Coefficients. Numer. Algorithms 2015, 70, 625–651. [Google Scholar] [CrossRef]
- Salman, W.; Gavriilidis, A.; Angeli, P. A Model for Predicting Axial Mixing during Gas–Liquid Taylor Flow in Microchannels at Low Bodenstein Numbers. Chem. Eng. J. 2004, 101, 391–396. [Google Scholar] [CrossRef]
- Xu, Q.; Hesthaven, J.S. Discontinuous Galerkin Method for Fractional Convection-Diffusion Equations. SIAM J. Numer. Anal. 2014, 52, 405–423. [Google Scholar] [CrossRef]
- Aboelenen, T. A Direct Discontinuous Galerkin Method for Fractional Convection-Diffusion and Schrödinger-Type Equations. Eur. Phys. J. Plus 2018, 133, 316. [Google Scholar] [CrossRef]
- Jin, B.; Lazarov, R.; Zhou, Z. A Petrov–Galerkin Finite Element Method for Fractional Convection-Diffusion Equations. SIAM J. Numer. Anal. 2016, 54, 481–503. [Google Scholar] [CrossRef]
- Li, C.; Zeng, F. Numerical Methods for Fractional Calculus; CRC Press: Boca Raton, FL, USA, 2015; Volume 24, ISBN 148225381X. [Google Scholar]
- Parvizi, M.; Eslahchi, M.R.; Dehghan, M. Numerical Solution of Fractional Advection-Diffusion Equation with a Nonlinear Source Term. Numer. Algorithms 2015, 68, 601–629. [Google Scholar] [CrossRef]
- Saadatmandi, A.; Dehghan, M.; Azizi, M.-R. The Sinc–Legendre Collocation Method for a Class of Fractional Convection–Diffusion Equations with Variable Coefficients. Commun. Nonlinear Sci. Numer. Simul. 2012, 17, 4125–4136. [Google Scholar] [CrossRef]
- Bhrawy, A.H.; Baleanu, D. A Spectral Legendre–Gauss–Lobatto Collocation Method for a Space-Fractional Advection Diffusion Equations with Variable Coefficients. Rep. Math. Phys. 2013, 72, 219–233. [Google Scholar] [CrossRef]
- Tian, W.; Deng, W.; Wu, Y. Polynomial Spectral Collocation Method for Space Fractional Advection–Diffusion Equation. Numer. Methods Partial Differ. Equ. 2014, 30, 514–535. [Google Scholar] [CrossRef]
- Badr, M.; Yazdani, A.; Jafari, H. Stability of a Finite Volume Element Method for the Time-fractional Advection-diffusion Equation. Numer. Methods Partial Differ. Equ. 2018, 34, 1459–1471. [Google Scholar] [CrossRef]
- Gao, F.; Yuan, Y.; Du, N. An Upwind Finite Volume Element Method for Nonlinear Convection Diffusion Problem. Am. J. Comput. Math. 2011, 1, 264–270. [Google Scholar] [CrossRef]
- Bi, Y.; Jiang, Z. The Finite Volume Element Method for the Two-Dimensional Space-Fractional Convection–Diffusion Equation. Adv. Differ. Equ. 2021, 2021, 379. [Google Scholar] [CrossRef]
- Liu, J.; Zhang, J.; Zhang, X. Semi-Discretized Numerical Solution for Time Fractional Convection–Diffusion Equation by RBF-FD. Appl. Math. Lett. 2022, 128, 107880. [Google Scholar] [CrossRef]
- Saadeh, R. Numerical Solutions of Fractional Convection-Diffusion Equation Using Finite-Difference and Finite-Volume Schemes. J. Math. Comput. Sci. 2021, 11, 7872–7891. [Google Scholar]
- Tuan, N.H.; Aghdam, Y.E.; Jafari, H.; Mesgarani, H. A Novel Numerical Manner for Two-dimensional Space Fractional Diffusion Equation Arising in Transport Phenomena. Numer. Methods Partial Differ. Equ. 2021, 37, 1397–1406. [Google Scholar] [CrossRef]
- Devshali, P.; Arora, G. Solution of Two-Dimensional Fractional Diffusion Equation by a Novel Hybrid D (TQ) Method. Nonlinear Eng. 2022, 11, 135–142. [Google Scholar] [CrossRef]
- Khader, M.M. Numerical Treatment for Solving Fractional Riccati Differential Equation. J. Egypt. Math. Soc. 2013, 21, 32–37. [Google Scholar] [CrossRef]
- Li, X.Y.; Wu, B.Y.; Wang, R.T. Reproducing Kernel Method for Fractional Riccati Differential Equations. Abstr. Appl. Anal. 2014, 2014, 970967. [Google Scholar] [CrossRef]
- Sakar, M.G.; Akgül, A.; Baleanu, D. On Solutions of Fractional Riccati Differential Equations. Adv. Differ. Equ. 2017, 2017, 39. [Google Scholar] [CrossRef]
- Agheli, B. Approximate Solution for Solving Fractional Riccati Differential Equations via Trigonometric Basic Functions. Trans. A. Razmadze Math. Inst. 2018, 172, 299–308. [Google Scholar] [CrossRef]
- Liu, X.; Kamran; Yao, Y. Numerical Approximation of Riccati Fractional Differential Equation in the Sense of Caputo-Type Fractional Derivative. J. Math. 2020, 2020, 1274251. [Google Scholar] [CrossRef]
- Hartley, T.T.; Lorenzo, C.F.; Qammer, H.K. Chaos in a Fractional Order Chua’s System. IEEE Trans. Circuits Syst. I Fundam. Theory Appl. 1995, 42, 485–490. [Google Scholar] [CrossRef]
- Lu, J.-G. Chaotic Dynamics of the Fractional-Order Ikeda Delay System and Its Synchronization. Chin. Phys. 2006, 15, 301–305. [Google Scholar]
- Li, C.; Peng, G. Chaos in Chen’s System with a Fractional Order. Chaos Solitons Fractals 2004, 22, 443–450. [Google Scholar] [CrossRef]
- Diethelm, K.; Ford, N.J.; Freed, A.D. A Predictor-Corrector Approach for the Numerical Solution of Fractional Differential Equations. Nonlinear Dyn. 2002, 29, 3–22. [Google Scholar] [CrossRef]
- Ahmadian, A.; Suleiman, M.; Salahshour, S.; Baleanu, D. A Jacobi Operational Matrix for Solving a Fuzzy Linear Fractional Differential Equation. Adv. Differ. Equ. 2013, 2013, 104. [Google Scholar] [CrossRef]
- Yuan, L.; Yang, Q.; Zeng, C. Chaos Detection and Parameter Identification in Fractional-Order Chaotic Systems with Delay. Nonlinear Dyn. 2013, 73, 439–448. [Google Scholar] [CrossRef]
- Luo, C.; Wang, X. Chaos in the Fractional-Order Complex Lorenz System and Its Synchronization. Nonlinear Dyn. 2013, 71, 241–257. [Google Scholar] [CrossRef]
- Bhalekar, S.; Daftardar-Gejji, V. Fractional Ordered Liu System with Time-Delay. Commun. Nonlinear Sci. Numer. Simul. 2010, 15, 2178–2191. [Google Scholar] [CrossRef]
- Katugampola, U.N. New Approach to a Generalized Fractional Integral. Appl. Math. Comput. 2011, 218, 860–865. [Google Scholar] [CrossRef]
- Wang, Z.; Huang, X.; Li, N.; Song, X.-N. Image Encryption Based on a Delayed Fractional-Order Chaotic Logistic System. Chin. Phys. B 2012, 21, 050506. [Google Scholar] [CrossRef]
- Wu, G.-C.; Baleanu, D.; Lin, Z.-X. Image Encryption Technique Based on Fractional Chaotic Time Series. J. Vib. Control 2016, 22, 2092–2099. [Google Scholar] [CrossRef]
- Anderson, D.R.; Ulness, D.J. Properties of the Katugampola Fractional Derivative with Potential Application in Quantum Mechanics. J. Math. Phys. 2015, 56, 063502. [Google Scholar] [CrossRef]
- Li, C.; Chen, G. Chaos in the Fractional Order Chen System and Its Control. Chaos Solitons Fractals 2004, 22, 549–554. [Google Scholar] [CrossRef]
- Alomari, A.K. A Novel Solution for Fractional Chaotic Chen System. J. Nonlinear Sci. Appl. 2015, 8, 478–488. [Google Scholar] [CrossRef][Green Version]
- Erturk, V.S.; Kumar, P. Solution of a COVID-19 Model via New Generalized Caputo-Type Fractional Derivatives. Chaos Solitons Fractals 2020, 139, 110280. [Google Scholar] [CrossRef]
- Xu, Y.; He, Z.; Agrawal, O.P. Numerical and Analytical Solutions of New Generalized Fractional Diffusion Equation. Comput. Math. Appl. 2013, 66, 2019–2029. [Google Scholar] [CrossRef]
- Kumar, P.; Erturk, V.S.; Kumar, A. A New Technique to Solve Generalized Caputo Type Fractional Differential Equations with the Example of Computer Virus Model. J. Math. Ext. 2021, 15, 1–23. [Google Scholar]
- Ragb, O.; Mohamed, M.; Matbuly, M.S. Vibration Analysis of Magneto-Electro-Thermo NanoBeam Resting on Nonlinear Elastic Foundation Using Sinc and Discrete Singular Convolution Differential Quadrature Method. Mod. Appl. Sci. 2019, 13, 49–79. [Google Scholar] [CrossRef]
- Shu, C. Differential Quadrature and Its Application in Engineering; Springer Science & Business Media: London, UK, 2012; ISBN 1447104072. [Google Scholar]
- Civalek, Ö. Free Vibration of Carbon Nanotubes Reinforced (CNTR) and Functionally Graded Shells and Plates Based on FSDT via Discrete Singular Convolution Method. Compos. Part B Eng. 2017, 111, 45–59. [Google Scholar] [CrossRef]
- Civalek, Ö.; Kiracioglu, O. Free Vibration Analysis of Timoshenko Beams by DSC Method. Int. J. Numer. Methods Biomed. Eng. 2010, 26, 1890–1898. [Google Scholar] [CrossRef]
- Wan, D.C.; Zhou, Y.C.; Wei, G.W. Numerical Solution of Incompressible Flows by Discrete Singular Convolution. Int. J. Numer. Methods Fluids 2002, 38, 789–810. [Google Scholar] [CrossRef]
- Zhang, L.; Xiang, Y.; Wei, G.W. Local Adaptive Differential Quadrature for Free Vibration Analysis of Cylindrical Shells with Various Boundary Conditions. Int. J. Mech. Sci. 2006, 48, 1126–1138. [Google Scholar] [CrossRef]
- Daftardar-Gejji, V.; Bhalekar, S.; Gade, P. Dynamics of Fractional-Ordered Chen System with Delay. Pramana 2012, 79, 61–69. [Google Scholar] [CrossRef]
- Katugampola, U.N. Existence and Uniqueness Results for a Class of Generalized Fractional Differential Equations. arXiv 2014, arXiv:1411.5229. [Google Scholar]
- Khan, N.A.; Ara, A.; Alam Khan, N. Fractional-Order Riccati Differential Equation: Analytical Approximation and Numerical Results. Adv. Differ. Equ. 2013, 2013, 185. [Google Scholar] [CrossRef][Green Version]
- Odibat, Z.; Baleanu, D. Numerical Simulation of Initial Value Problems with Generalized Caputo-Type Fractional Derivatives. Appl. Numer. Math. 2020, 156, 94–105. [Google Scholar] [CrossRef]
- Baleanu, D.; Wu, G.; Zeng, S. Chaos Analysis and Asymptotic Stability of Generalized Caputo Fractional Differential Equations. Chaos Solitons Fractals 2017, 102, 99–105. [Google Scholar] [CrossRef]
- Alemu, S.; Alluvada, P.; Thelkar, A.R.; Samanvita, N.; Lemma, T.; Heyi, K. Fractional Order Sliding Mode Controller Modelling for Fractional Order SEPIC Converter. Authorea 2024. [Google Scholar] [CrossRef]
- Podlubny, I. Fractional Differential Equations; Academic Press: New York, NY, USA, 1999. [Google Scholar]
- Caputo, M. Linear Models of Dissipation Whose Q Is Almost Frequency Independent—II. Geophys. J. Int. 1967, 13, 529–539. [Google Scholar] [CrossRef]
- Ragb, O.; Wazwaz, A.; Mohamed, M.; Matbuly, M.S.; Salah, M. Fractional Differential Quadrature Techniques for Fractional Order Cauchy Reaction-diffusion Equations. Math. Methods Appl. Sci. 2023, 46, 10216–10233. [Google Scholar] [CrossRef]
- Wei, G.W. Discrete Singular Convolution for the Solution of the Fokker–Planck Equation. J. Chem. Phys. 1999, 110, 8930–8942. [Google Scholar] [CrossRef]
- Shao, Z.; Wei, G.W.; Zhao, S. DSC Time-Domain Solution of Maxwell’s Equations. J. Comput. Phys. 2003, 189, 427–453. [Google Scholar] [CrossRef]
- Ragb, O.; Mohamed, M.; Matbuly, M.S.; Civalek, O. An Accurate Numerical Approach for Studying Perovskite Solar Cells. Int. J. Energy Res. 2021, 45, 16456–16477. [Google Scholar] [CrossRef]
- Ragb, O.; Mohamed, M.; Matbuly, M.S. Free Vibration of a Piezoelectric Nanobeam Resting on Nonlinear Winkler-Pasternak Foundation by Quadrature Methods. Heliyon 2019, 5, e01856. [Google Scholar] [CrossRef]
- Gu, Y.; Li, G.; Xu, X.; Song, X.; Zhong, H. Solution of a New High-Performance Fractional-Order Lorenz System and Its Dynamics Analysis. Nonlinear Dyn. 2023, 111, 7469–7493. [Google Scholar] [CrossRef]
- Li, H.; Shen, Y.; Han, Y.; Dong, J.; Li, J. Determining Lyapunov Exponents of Fractional-Order Systems: A General Method Based on Memory Principle. Chaos Solitons Fractals 2023, 168, 113167. [Google Scholar] [CrossRef]









| T | PDQ Solutions | Previous Solutions | ||||||||
|---|---|---|---|---|---|---|---|---|---|---|
| N | Uniform | CPU (s) | Error | Non-Uniform | CPU (s) | Error | N | Earlier Numerical [64] | Exact [61] | |
| 1 | 4 | 1.59030488 | 0.016 | 0.0971 | 1.64023865 | 0.013 | 0.04721 | 10 | 1.68745117 | 1.68949839 |
| 6 | 1.68745374 | 0.018 | 0.0015 | 1.67122383 | 0.017 | 0.01774 | 20 | 1.68896723 | ||
| 8 | 1.68821427 | 0.018 | 0.0011 | 1.68941502 | 0.017 | 5.16 × 10−5 | 40 | 1.68936339 | ||
| 9 | 1.68921673 | 0.019 | 0.0002 | 1.68948616 | 0.018 | 2.18 × 10−5 | 80 | 1.68946438 | ||
| 11 | 1.68941775 | 0.020 | 7.2 × 10−5 | 1.68949815 | 0.018 | 8.29 × 10−6 | 160 | 1.68948986 | ||
| 12 | 1.68948043 | 0.021 | 1.6 × 10−5 | 1.68949820 | 0.020 | 1.95 × 10−6 | 320 | 1.68949625 | ||
| 13 | 1.68949755 | 0.021 | 3.1 × 10−7 | 1.68949839 | 0.020 | 1.2 × 10−8 | 640 | 1.68949786 | ||
| 2 | 8 | 2.34267643 | 0.029 | 0.001168 | 2.35647559 | 0.019 | 0.012631 | 20 | 2.35530727 | 2.35777165 |
| 12 | 2.35721628 | 0.031 | 0.00056 | 2.35777266 | 0.020 | 3.73 × 10−6 | 40 | 2.35721255 | ||
| 16 | 2.35757661 | 0.032 | 0.00014 | 2.35777175 | 0.021 | 6.14 × 10−5 | 80 | 2.35763805 | ||
| 18 | 2.35773329 | 0.033 | 3.27 × 10−5 | 2.35777169 | 0.021 | 5.68 × 10−6 | 160 | 2.35773897 | ||
| 22 | 2.35777129 | 0.034 | 8.08 × 10−6 | 2.35777165 | 0.022 | 7.72 × 10−6 | 320 | 2.35776357 | ||
| 24 | 2.35777151 | 0.035 | 2.01 × 10−6 | 2.35777165 | 0.023 | 1.87 × 10−6 | 640 | 2.35776964 | ||
| 26 | 2.35777167 | 0.036 | 5 × 10−7 | 2.35777165 | 0.024 | 2 × 10−8 | 1280 | 2.35777115 | ||
| 5 | 20 | 2.41421578 | 0.033 | 1.743 × 10−5 | 2.41420169 | 0.021 | 3.34 × 10−6 | 50 | 2.41419835 | 2.41420167 |
| 21 | 2.41420238 | 0.033 | 1.37 × 10−6 | 2.41420169 | 0.021 | 6.8 × 10−7 | 100 | 2.41420101 | ||
| 22 | 2.41420214 | 0.034 | 6.2 × 10−7 | 2.41420168 | 0.022 | 1.6 × 10−7 | 200 | 2.41420152 | ||
| 23 | 2.41420177 | 0.034 | 1.4 × 10−7 | 2.41420167 | 0.022 | 4 × 10−8 | 400 | 2.41420163 | ||
| 24 | 2.41420175 | 0.035 | 9 × 10−8 | 2.41420167 | 0.023 | 1 × 10−8 | 800 | 2.41420166 | ||
| 25 | 2.41420171 | 0.035 | 4 × 10−8 | 2.41420167 | 0.023 | 1 × 10−8 | 1600 | 2.41420167 | ||
| 26 | 2.41420169 | 0.036 | 2 × 10−8 | 2.41420167 | 0.024 | 1 × 10−8 | 3200 | 2.41420167 | ||
| N | 2K + 1 | Non-Uniform PDQM | DSCDQM–RSK | ||||
|---|---|---|---|---|---|---|---|
| CPU (s) | |||||||
| 9 | 3 | 1.68948616 | 1.69745751 | 1.689880214 | 1.68950741 | 1.64023989 | 0.008 |
| 5 | 1.68948616 | 1.69745647 | 1.689876547 | 1.68949956 | 1.64023942 | 0.01 | |
| 7 | 1.68948616 | 1.69745559 | 1.689875120 | 1.68949839 | 1.64023865 | 0.012 | |
| 9 | 1.68948616 | 1.69745559 | 1.689875120 | 1.68949839 | 1.64023865 | 0.014 | |
| 11 | 1.68948616 | 1.69745559 | 1.689875120 | 1.68949839 | 1.64023865 | 0.016 | |
| 11 | 3 | 1.68949815 | 1.69745666 | 1.689877415 | 1.68949951 | 1.64023937 | 0.009 |
| 5 | 1.68949815 | 1.69745559 | 1.689875120 | 1.68949839 | 1.64023865 | 0.01 | |
| 7 | 1.68949815 | 1.69745559 | 1.689875120 | 1.68949839 | 1.64023865 | 0.011 | |
| 9 | 1.68949815 | 1.69745559 | 1.689875120 | 1.68949839 | 1.64023865 | 0.012 | |
| 11 | 1.68949815 | 1.69745559 | 1.689875120 | 1.68949839 | 1.64023865 | 0.014 | |
| 13 | 3 | 1.68949839 | 1.69745578 | 1.689876014 | 1.6894990 | 1.64023900 | 0.01 |
| 5 | 1.68949839 | 1.69745559 | 1.689875120 | 1.68949839 | 1.64023865 | 0.012 | |
| 7 | 1.68949839 | 1.69745559 | 1.689875120 | 1.68949839 | 1.64023865 | 0.014 | |
| 9 | 1.68949839 | 1.69745559 | 1.689875120 | 1.68949839 | 1.64023865 | 0.016 | |
| 11 | 1.68949839 | 1.69745559 | 1.689875120 | 1.68949839 | 1.64023865 | 0.018 | |
| Earlier numerical solutions [64] | 1.68949786 at (N = 640) | ||||||
| Exact [61] | 1.68949839 | ||||||
| T | Non-Uniform PDQM | DSCDQM–RSK | Previous Results [61,62,63,64,65] | |||
|---|---|---|---|---|---|---|
| α = 0.5 | α = 0.75 | α = 0.5 | α = 0.75 | α = 0.5 | α = 0.75 | |
| 0.1 | 0.59149371 | 0.24512554 | 0.59149373 | 0.24512556 | 0.59149373 | 0.24512556 |
| 0.2 | 0.93141486 | 0.47450194 | 0.93141488 | 0.47450196 | 0.93141488 | 0.47450196 |
| 0.3 | 1.171926469 | 0.709154008 | 1.171926471 | 0.709154010 | 1.171926471 | 0.709154010 |
| 0.4 | 1.344407759 | 0.937441050 | 1.344407761 | 0.937441052 | 1.344407761 | 0.937441052 |
| 0.5 | 1.471501155 | 1.147807349 | 1.471501157 | 1.147807351 | 1.471501157 | 1.147807351 |
| 0.6 | 1.568070430 | 1.332985034 | 1.568070432 | 1.332985036 | 1.568070432 | 1.332985036 |
| 0.7 | 1.643596282 | 1.490535187 | 1.643596284 | 1.490535189 | 1.643596284 | 1.490535189 |
| 0.8 | 1.704182955 | 1.621592245 | 1.704182957 | 1.621592247 | 1.704182957 | 1.621592247 |
| 0.9 | 1.753855962 | 1.729220378 | 1.753855964 | 1.729220380 | 1.753855964 | 1.729220380 |
| 1 | 1.817133594 | 1.795344168 | 1.817133596 | 1.795344170 | 1.817133596 | 1.795344170 |
| T | Non-Uniform PDQM | DSCDQM–RSK | Previous Results [61,62,63,64,65] | |||
|---|---|---|---|---|---|---|
| ρ = 0.8 | ρ = 1.2 | ρ = 0.8 | ρ = 1.2 | ρ = 0.8 | ρ = 1.2 | |
| 0.1 | 0.14117992 | 0.09045268 | 0.14117994 | 0.09045271 | 0.14117994 | 0.09045271 |
| 0.2 | 0.31592641 | 0.195667845 | 0.31592645 | 0.19566787 | 0.31592645 | 0.19566787 |
| 0.3 | 0.52298485 | 0.315926409 | 0.52298488 | 0.315926411 | 0.52298488 | 0.315926411 |
| 0.4 | 0.75601439 | 0.450653813 | 0.75601442 | 0.450653816 | 0.75601442 | 0.450653816 |
| 0.5 | 1.00354951 | 0.59824597 | 1.00354953 | 0.59824599 | 1.00354953 | 0.59824599 |
| 0.6 | 1.25086733 | 0.75601439 | 1.25086736 | 0.75601442 | 1.25086736 | 0.75601442 |
| 0.7 | 1.48329584 | 0.92030072 | 1.48329586 | 0.92030075 | 1.48329586 | 0.92030075 |
| 0.8 | 1.68949839 | 1.08677371 | 1.68949842 | 1.08677374 | 1.68949842 | 1.08677374 |
| 0.9 | 1.86328744 | 1.25086733 | 1.86328746 | 1.25086736 | 1.86328746 | 1.25086736 |
| 1 | 2.00353694 | 1.40827080 | 2.00353696 | 1.40827081 | 2.00353696 | 1.40827081 |
| T | Non-Uniform | Earlier Numerical Solutions [62] | ||||||
|---|---|---|---|---|---|---|---|---|
| N | α = 1, ρ = 0.9 | α = 0.95, ρ = 0.75 | α = 0.9, ρ = 1.2 | N | α = 1, ρ = 0.9 | α = 0.95, ρ = 0.75 | α = 0.9, ρ = 1.2 | |
| 1 | 4 | 1.80602802 | 1.96263496 | 1.39368786 | 10 | 1.84281224 | 2.06729863 | 1.52944766 |
| 6 | 1.84319793 | 2.04896144 | 1.49050147 | 20 | 1.84491385 | 2.07202706 | 1.53119172 | |
| 8 | 1.84556010 | 2.06510470 | 1.51019655 | 40 | 1.84546411 | 2.07322261 | 1.53167452 | |
| 9 | 1.84561319 | 2.06904164 | 1.52085146 | 80 | 1.84560424 | 2.07352741 | 1.53180584 | |
| 11 | 1.84565025 | 2.07362649 | 1.52696219 | 160 | 1.84563955 | 2.07360571 | 1.53184129 | |
| 12 | 1.84565137 | 2.07363589 | 1.52945738 | 320 | 1.84564841 | 2.07362592 | 1.53185082 | |
| 13 | 1.84565137 | 2.07363256 | 1.53185408 | 640 | 1.84565063 | 2.07363115 | 1.53185339 | |
| 14 | 1.84565137 | 2.07363256 | 1.53185408 | 1280 | 1.84565119 | 2.07363250 | 1.53185407 | |
| 2 | 8 | 2.28430436 | 2.32839830 | 2.20693947 | 20 | 2.36576348 | 2.34646084 | 2.26631061 |
| 12 | 2.32381757 | 2.33437164 | 2.21000463 | 40 | 2.36763874 | 2.34834846 | 2.26840179 | |
| 16 | 2.34381756 | 2.34307946 | 2.22083045 | 80 | 2.36805246 | 2.34876916 | 2.26890814 | |
| 18 | 2.36382620 | 2.34836151 | 2.23103727 | 160 | 2.36815011 | 2.34887135 | 2.26903810 | |
| 22 | 2.36832617 | 2.34863032 | 2.24089052 | 320 | 2.36817385 | 2.34889710 | 2.26907235 | |
| 24 | 2.36818255 | 2.34889017 | 2.26879047 | 640 | 2.36817971 | 2.34890369 | 2.26908148 | |
| 26 | 2.36818153 | 2.34890584 | 2.26908459 | 1280 | 2.36818116 | 2.34890540 | 2.26908393 | |
| 27 | 2.36818153 | 2.34890584 | 2.26908459 | 2560 | 2.36818153 | 2.34890584 | 2.26908459 | |
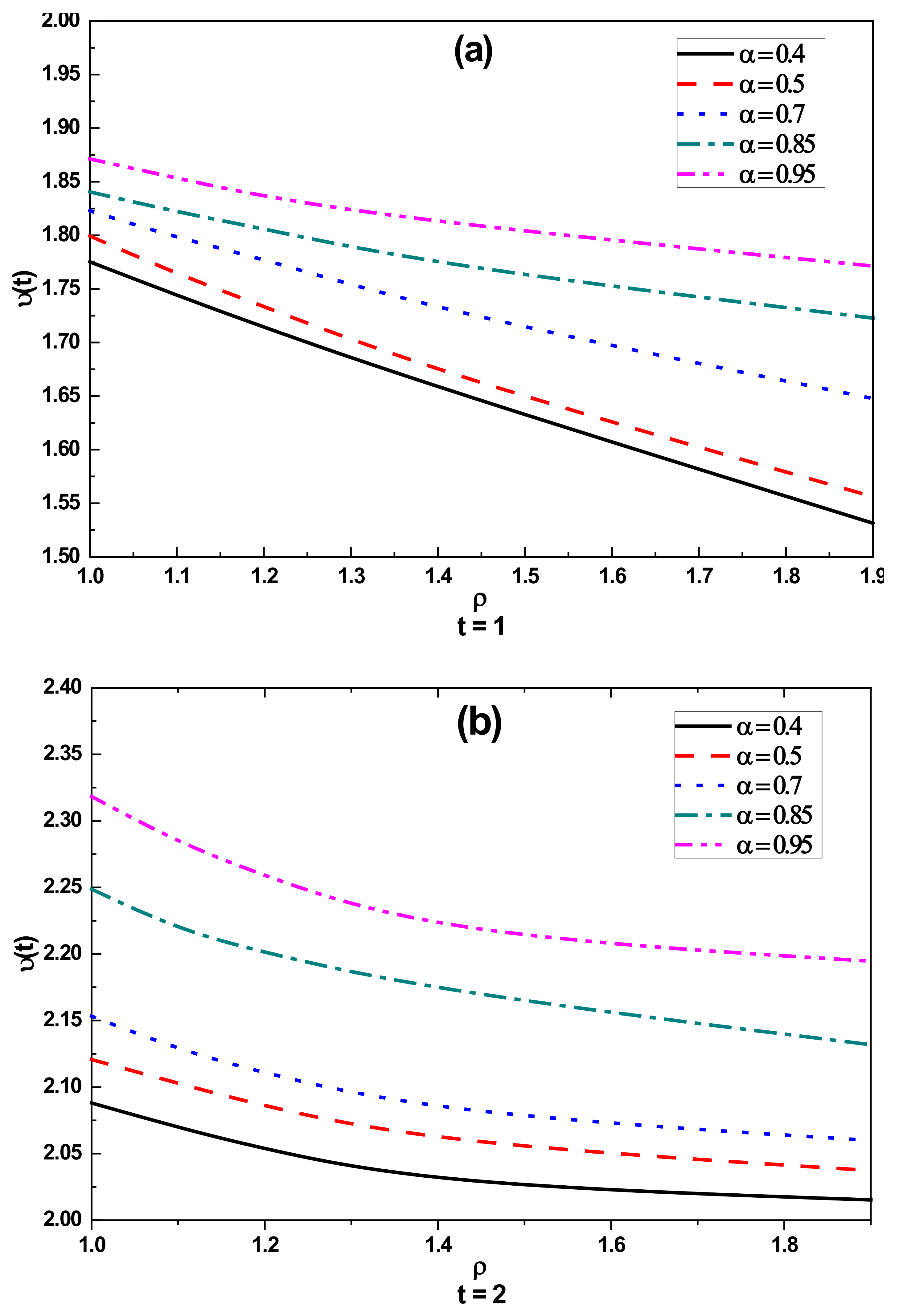
| α | ρ | T = 0.5 | T = 1 | T = 2 | T = 2.5 | T = 3 |
|---|---|---|---|---|---|---|
| 0.4 | 1 | 1.58967600 | 1.77525996 | 2.09537035 | 2.21247852 | 2.22642314 |
| 1.1 | 1.54739283 | 1.74403298 | 2.07553739 | 2.19214756 | 2.20554878 | |
| 1.2 | 1.50756398 | 1.71405017 | 2.05317313 | 2.17021456 | 2.18875143 | |
| 1.4 | 1.43438179 | 1.65736347 | 2.02666948 | 2.14654879 | 2.16214787 | |
| 1.9 | 1.28182554 | 1.53134020 | 2.01520768 | 2.12958092 | 2.13478462 | |
| 0.5 | 1 | 1.68300421 | 1.79935747 | 2.12065899 | 2.25983372 | 2.27664509 |
| 1.1 | 1.66554391 | 1.75798866 | 2.10285480 | 2.23984120 | 2.25471201 | |
| 1.2 | 1.65154233 | 1.71762640 | 2.09852919 | 2.21874621 | 2.23789123 | |
| 1.4 | 1.62320069 | 1.66991063 | 2.07719592 | 2.20997411 | 2.21987423 | |
| 1.9 | 1.58526142 | 1.56342314 | 2.05661402 | 2.20278414 | 2.17645789 | |
| 0.7 | 1 | 1.71613371 | 1.82286926 | 2.14596688 | 2.29139917 | 2.31617003 |
| 1.1 | 1.69532577 | 1.79031758 | 2.12529159 | 2.27075056 | 2.29157030 | |
| 1.2 | 1.67462609 | 1.77811144 | 2.10299487 | 2.25941935 | 2.26895529 | |
| 1.4 | 0.65934200 | 1.73806497 | 2.08048316 | 2.22364828 | 2.24318890 | |
| 1.9 | 0.60930946 | 1.65504250 | 2.05990416 | 2.20861195 | 2.20862313 | |
| 0.85 | 1 | 0.73587574 | 1.84052325 | 2.24870001 | 2.30150738 | 2.33501568 |
| 1.1 | 0.71892188 | 1.82175475 | 2.21842773 | 2.28982006 | 2.31048992 | |
| 1.2 | 0.69728893 | 1.80614145 | 2.18322274 | 2.27519396 | 2.29534657 | |
| 1.4 | 0.67897490 | 1.77168741 | 2.16870824 | 2.23587987 | 2.27096577 | |
| 1.9 | 0.62629628 | 1.72273733 | 2.13184852 | 2.20356265 | 2.22777374 | |
| 0.95 | 1 | 0.82414933 | 1.87127626 | 2.31830946 | 2.36707298 | 2.37441750 |
| 1.1 | 0.73300489 | 1.84609224 | 2.28379937 | 2.35373760 | 2.35930723 | |
| 1.2 | 0.71834905 | 1.82980945 | 2.24083446 | 2.33559233 | 2.33776914 | |
| 1.4 | 0.68447266 | 1.80982469 | 2.21190242 | 2.28289347 | 2.31913452 | |
| 1.9 | 0.63618443 | 1.77131197 | 2.19457437 | 2.23111789 | 2.29258450 |
| N | Uniform PDQM | CPU (s) | Non-uniform PDQM | CPU (s) | ||||
|---|---|---|---|---|---|---|---|---|
| X | Y | Z | X | Y | Z | |||
| 4 | 0.837919933 | 0.623902547 | 0.302407988 | 0.02 | 0.837919846 | 0.623902388 | 0.302407749 | 0.02 |
| 5 | 0.771720200 | 0.527485798 | 0.248194100 | 0.021 | 0.771720184 | 0.527485752 | 0.248193998 | 0.021 |
| 6 | 0.761378603 | 0.49832669 | 0.2415685802 | 0.022 | 0.763378566 | 0.522326584 | 0.2475685753 | 0.022 |
| 7 | 0.760223666 | 0.497601296 | 0.2409074397 | 0.023 | 0.762223591 | 0.515601283 | 0.2469074378 | 0.023 |
| 9 | 0.762203989 | 0.500122597 | 0.242400811 | 0.025 | 0.762203974 | 0.500122578 | 0.2424007951 | 0.024 |
| 10 | 0.762216222 | 0.500169299 | 0.2424081878 | 0.026 | 0.762216161 | 0.500169278 | 0.2424081821 | 0.025 |
| 11 | 0.76221575 | 0.500167396 | 0.242407838 | 0.027 | 0.76221572 | 0.500167392 | 0.242407832 | 0.025 |
| 12 | 0.76221573 | 0.500167394 | 0.2424078434 | 0.028 | 0.76221572 | 0.500167392 | 0.2424078432 | 0.026 |
| 13 | 0.76221572 | 0.500167392 | 0.2424078432 | 0.029 | 0.76221572 | 0.500167392 | 0.2424078432 | 0.027 |
| Earlier numerical solutions [62,63] | ||||||||
| X | Y | Z | ||||||
| 1280 | 0.76221649 | 0.50016919 | 0.24240833 | |||||
| RK4 [64] | ||||||||
| 0.76221572 | 0.50016739 | 0.24240783 | ||||||
| N | 2K + 1 | DSCDQM–RSK | CPU (s) | ||||||||
|---|---|---|---|---|---|---|---|---|---|---|---|
| σ = 0.4 × Δ | σ = 0.45 × Δ | σ = 0.47 × Δ | |||||||||
| X | Y | Z | X | Y | z | X | Y | Z | |||
| 9 | 3 | 0.7738 | 0.5133 | 0.2549 | 0.7625 | 0.5008 | 0.2430 | 0.76225 | 0.5004 | 0.2425 | 0.01 |
| 5 | 0.7735 | 0.5127 | 0.2540 | 0.7623 | 0.5006 | 0.2427 | 0.76223 | 0.5003 | 0.2424 | 0.012 | |
| 7 | 0.7732 | 0.5122 | 0.2536 | 0.76229 | 0.5005 | 0.2426 | 0.76221 | 0.5002 | 0.2424 | 0.014 | |
| 9 | 0.7732 | 0.5122 | 0.2536 | 0.76229 | 0.5005 | 0.2426 | 0.76221 | 0.5002 | 0.2424 | 0.016 | |
| 11 | 0.7732 | 0.5122 | 0.2536 | 0.76229 | 0.5005 | 0.2426 | 0.76221 | 0.5002 | 0.2424 | 0.018 | |
| 11 | 3 | 0.7347 | 0.5127 | 0.2540 | 0.7623 | 0.5006 | 0.2427 | 0.76222 | 0.50023 | 0.2425 | 0.012 |
| 5 | 0.734 | 0.5124 | 0.2537 | 0.76229 | 0.5005 | 0.2426 | 0.76221 | 0.5002 | 0.2424 | 0.014 | |
| 7 | 0.7732 | 0.5122 | 0.2536 | 0.76229 | 0.5005 | 0.2426 | 0.76221 | 0.5002 | 0.2424 | 0.016 | |
| 9 | 0.7732 | 0.5122 | 0.2536 | 0.76229 | 0.5005 | 0.2426 | 0.76221 | 0.5002 | 0.2424 | 0.018 | |
| 11 | 0.7732 | 0.5122 | 0.2536 | 0.76229 | 0.5005 | 0.2426 | 0.76221 | 0.5002 | 0.2424 | 0.020 | |
| 13 | 3 | 0.7733 | 0.5122 | 0.2537 | 0.76231 | 0.5006 | 0.2427 | 0.762215 | 0.50026 | 0.24247 | 0.014 |
| 5 | 0.7732 | 0.5122 | 0.2536 | 0.76229 | 0.5005 | 0.2426 | 0.76221 | 0.5002 | 0.2424 | 0.016 | |
| 7 | 0.7732 | 0.5122 | 0.2536 | 0.76229 | 0.5005 | 0.2426 | 0.76221 | 0.5002 | 0.2424 | 0.018 | |
| 9 | 0.7732 | 0.5122 | 0.2536 | 0.76229 | 0.5005 | 0.2426 | 0.76221 | 0.5002 | 0.2424 | 0.020 | |
| 11 | 0.7732 | 0.5122 | 0.2536 | 0.76229 | 0.5005 | 0.2426 | 0.76221 | 0.5002 | 0.2424 | 0.022 | |
| Earlier numerical solutions [62,63] | |||||||||||
| X | Y | Z | |||||||||
| 1280 | 0.76221649 | 0.50016919 | 0.24240833 | ||||||||
| RK4 [64] | |||||||||||
| 0.76221572 | 0.50016739 | 0.24240783 | |||||||||
Disclaimer/Publisher’s Note: The statements, opinions and data contained in all publications are solely those of the individual author(s) and contributor(s) and not of MDPI and/or the editor(s). MDPI and/or the editor(s) disclaim responsibility for any injury to people or property resulting from any ideas, methods, instructions or products referred to in the content. |
© 2024 by the authors. Licensee MDPI, Basel, Switzerland. This article is an open access article distributed under the terms and conditions of the Creative Commons Attribution (CC BY) license (https://creativecommons.org/licenses/by/4.0/).
Share and Cite
Abdelfattah, W.M.; Ragb, O.; Salah, M.; Mohamed, M. A Robust and Versatile Numerical Framework for Modeling Complex Fractional Phenomena: Applications to Riccati and Lorenz Systems. Fractal Fract. 2024, 8, 647. https://doi.org/10.3390/fractalfract8110647
Abdelfattah WM, Ragb O, Salah M, Mohamed M. A Robust and Versatile Numerical Framework for Modeling Complex Fractional Phenomena: Applications to Riccati and Lorenz Systems. Fractal and Fractional. 2024; 8(11):647. https://doi.org/10.3390/fractalfract8110647
Chicago/Turabian StyleAbdelfattah, Waleed Mohammed, Ola Ragb, Mohamed Salah, and Mokhtar Mohamed. 2024. "A Robust and Versatile Numerical Framework for Modeling Complex Fractional Phenomena: Applications to Riccati and Lorenz Systems" Fractal and Fractional 8, no. 11: 647. https://doi.org/10.3390/fractalfract8110647
APA StyleAbdelfattah, W. M., Ragb, O., Salah, M., & Mohamed, M. (2024). A Robust and Versatile Numerical Framework for Modeling Complex Fractional Phenomena: Applications to Riccati and Lorenz Systems. Fractal and Fractional, 8(11), 647. https://doi.org/10.3390/fractalfract8110647

