Abstract
This paper aims to provide an effective method for pricing forward starting options under the double fractional stochastic volatilities mixed-exponential jump-diffusion model. The value of a forward starting option is expressed in terms of the expectation of the forward characteristic function of log return. To obtain the forward characteristic function, we approximate the pricing model with a semimartingale by introducing two small perturbed parameters. Then, we rewrite the forward characteristic function as a conditional expectation of the proportion characteristic function which is expressed in terms of the solution to a classic PDE. With the affine structure of the approximate model, we obtain the solution to the PDE. Based on the derived forward characteristic function and the Fourier transform technique, we develop a pricing algorithm for forward starting options. For comparison, we also develop a simulation scheme for evaluating forward starting options. The numerical results demonstrate that the proposed pricing algorithm is effective. Exhaustive comparative experiments on eight models show that the effects of fractional Brownian motion, mixed-exponential jump, and the second volatility component on forward starting option prices are significant, and especially, the second fractional volatility is necessary to price accurately forward starting options under the framework of fractional Brownian motion.
1. Introduction
Forward starting options belong to European-style exotic options which start at the determination time of the strike and expirate further in the future. They are the building blocks of cliquets which are popular in the world of equity derivatives because of their retaining of the upside potential with protection against downside risk. However, the valuation of forward starting options is not easy, because these options not only depend on the terminal value of the underlying price, but also on the asset price at the determination time of the strike.
Rubinstein [1] first evaluated forward starting options based on the assumption of geometric Brownian motion. Via the changing of numeraire, Kruse and Nögel [2] considered the counterpart by deriving a semi-analytical pricing formula with two integrals which have to be evaluated under Heston stochastic volatility. With Feynman-Kac theorem, Ahlip and Rutkowski [3] and Lin and He [4] extend the method in [2] to stochastic volatility and stochastic interest rate, and regime-switching stochastic volatility models, respectively. Using a similar approach, Guo and Hung [5] and Ahlip et al. [6] considered forward starting options pricing under stochastic volatility, jumps, and stochastic interest rates, respectively. Lucié [7] and Haastrecht and Pelsser [8] reduced the formula in [2] to one in the form of a single integral under the Heston model and a stochastic volatility and stochastic interest rate model, respectively, and improved the efficiency of pricing using the fast Fourier transform technique (FFT). Given that the accuracy of FFT depends on a dampening factor, Zhang and Geng [9] and Zhang and Sun [10] expressed forward starting options prices by using a Fourier cosine series expansion under a stochastic volatility with jump model and a stochastic volatilities, stochastic interest rate, and double jumps model, respectively. Recently, Hata et al. [11] proposed a Taylor expansion approach for evaluating forward starting options under the Hull-White stochastic volatility model.
All of the above studies are conducted under the models driven by standard Brownian motion which are Markovian or memoryless. However, many studies show that asset price fluctuations exhibit “long memory” [12,13,14,15,16,17,18] or “short memory” [19,20,21,22] which can be captured by stochastic volatility models driven by fractional Brownian motion with the Hurst index or , respectively. In addition, jumps in the asset price were observed by Coqueret and Tavin [23], Jin and Hong [24], Bates [25], and Wang and Xia [26]. Recently, by introducing two fractional volatilities into a mixed-exponential jump-diffusion model [27], Zhang et al. [28] propose a double fractional Heston mixed-exponential jump-diffusion model and demonstrate that the model fits the market better than the double Heston mixed-exponential jump-diffusion model and the double Heston model driven by standard Brownian motion.
However, because the model is not Markovian, all pricing methods based on the Feynman-Kac theorem are not easily applied, which poses a huge challenge for forward starting options pricing. Zhang et al. [28] proposed a model approximation method by approximating the pricing model with a semimartingale under which the Feynman-Kac theorem can be activated. Motivated by the performance of the model and the pricing method in [28], this paper extends the model and pricing method in [28] to the case of forward starting option. Recently, Wang and Guo [29] evaluated variance and volatility swaps under a similar model. Different from Wang and Guo [29] in which only one fractional volatility was used, we consider two fractional volatilities and combine model approximation and the Fourier transform technique to evaluate forward starting options.
The main goal of this paper is to provide a fast and efficient method for evaluating forward starting options under two fractional volatilities and jumps. The main contributions of this paper are twofold. Firstly, this paper derives the forward characteristic function of log return proposed in [28]. Secondly, this paper proposes a pricing method for forward starting options under double fractional volatilities and jumps. Compared to existing option pricing methods for fractional Brownian motion setting, our method can be used for both cases of and . The rest of the paper is organized as follows. Section 2 presents the model and pricing problem. Section 3 provides an approximate model and the derivation of the forward characteristic function. Section 4 dilates the pricing method for forward starting options. Section 5 presents some numerical experiments. Section 6 concludes.
2. The Model and Pricing Problem
2.1. The Model
Assume that is a complete probability space with the right continuous filtration and the risk-neutral probability measure . In the double fractional Heston mixed-exponential jump-diffusion model, the dynamics of the asset price are given by the following system:
where and are both standard Brownian motion, and are both fractional Brownian motion with a Hurst index and , respectively, and is a Poisson process with rate . Let be a sequence of independent identically distributed nonnegative random variables, such that has a mixed-exponential distribution with the density as follows:
where , , . To make a density, a simple sufficient condition is and a necessary condition is . Assume that With the density (2), basic calculus gives the following:
For , satisfying denote the mean reversion rate, long-run mean, and volatilities of variance , respectively. According to Thao [30], fractional Brownian motion has the following form:
where is the gamma function, and are both standard Brownian motion. Suppose processes and are independent of and respectively, while and are correlated by setting , to mimic the asset-volatility leverage effect. Suppose According to Zhang et al. [28], model (1) can be written as the following stochastic partial integro-differential system:
2.2. The Pricing Problem
Under the risk-neutral measure the value of a forward starting put option can be expressed on the forward log return as follows:
with determination time , maturity , constant interest rate , and strike price . According to [28], if the characteristic function of is given, one can evaluate effectively by using the Fourier transform technology.
Let be the characteristic function of , which we call the forward characteristic function. Because are not semimartingales, is not a semimartingale. Therefore, we cannot obtain by solving a PDE like in the standard Brownian motion environment. However, according to El Euch and Gatheral [31], the forward characteristic function has a similar structure to that of the classic Heston model with jumps as follows:
where are the solutions to the following fractional Riccati equations:
where
3. The Forward Characteristic Function
3.1. Model Approximation
By introducing two small perturbed parameters , the processes in Formula (3) can be approximated by the following semimartingales:
in as , . Differentiating Formula (8), one has the following:
where are semimartingales. Putting Formula (9) into model (1), one can approximate model (1) by applying the following classic stochastic partial integro-differential system:
Because are semimartingales, the forward characteristic function is a semimartingale. Based on the tower law of conditional expectations, one can write as follows:
where is the characteristic function of conditional on the filtration . If we consider as the proportion of , we only need to calculate the expectation of the proportion characteristic function to obtain the forward characteristic function.
3.2. Calculation of the Expectation of the Proportion Characteristic Function
Lemma 1.
Under the risk-neutral measure , the characteristic function of the log asset price conditional on the filtration , is given by the following:
where
Proof.
See Zhang et al. [28]. □
Lemma 2.
Under the risk-neutral measure ,
where for ,
Proof.
Set . As a semimartingale; the Feynman-Kac PDE for is followed as follows:
Since are semimartingales, one has . In the light of the affine structure of model (10), we conjuncture that has the following form:
Putting Formula (14) into Formula (13), one has the following ODEs:
with Solving the ODEs (15), Lemma 2 follows. □
Combining Lemma 1 with Lemma 2, one can obtain the expectation of the proportion characteristic function; thus, one has the forward characteristic function .
Theorem 1.
Assuming that the dynamics of asset price are given by model (10), then the forward characteristic function of is given by the following:
where
Based on Theorem 1, differential calculation gives the following outcome.
Theorem 2.
Assuming that the dynamics of asset price are given by model (10), and denotes the n-th cumulant of , one has the following:
where
4. The Pricing Algorithm
Let ; one can express (5) as follows:
where is the density of conditional on
Since decays to zero as , can be approximated by applying a truncated Fourier cosine series expansion (COS) on the domain as follows:
where denotes taking the real part of the argument, and denotes the number of terms in series expansion. Inserting (18) into (17) and interchanging summation and integration, one can approximate forward starting option value by the following:
where denotes the cosine series coefficients. By using a basic calculus calculation, one has the analytical solutions of as follows:
.
According to Fang and Oosterrlee [32], for some constant , the integration domain is chosen as follows:
where can be obtained by the following:
We present the following Algorithm 1 for approximating a forward starting put option price.
| Algorithm 1. The COS-based algorithm for pricing a forward starting put option |
| Step 1: Initialization Step 2: Choose to approximate the pricing model (1) by applying model (10) Step 3: Compute the forward characteristic function by applying Formula (16) Step 4: Compute the cumulant by applying Theorem 2 Step 5: Compute cosine series coefficients by applying Formula (20) Step 6: Compute the truncated domain by applying Formula (21) Step 7: Approximate the value of a forward starting put option by applying Formula (19) |
5. Numerical Experiments
Under the approximate model (10), we used the COS-based algorithm to evaluate forward starting put options. According to [28], the parameters selected were as follows: , . To test the convergence of the pricing algorithm, we set four groups : (0.01, 0.01), (0.001, 0.001), (0.0001, 0.0001), (0.00001, 0.00001), specifying and specifying for each .
To test the effectiveness of the pricing algorithm, we also evaluated forward starting put options by using a Euler-Maruyama scheme for the approximate model (10) as follows:
where is a random number generated by two double exponential distributions, are independent standard normal random variables, denotes the time step. , where denotes the sequence of independent standard normal random variables and is the number of subintervals in For Monte Carlo simulation, we used the number of subintervals the number of simulations , and the number of time steps . Table 1 examines the convergence and accuracy of the pricing algorithm for evaluating forward starting puts under approximate model (10).
Table 1.
Convergence and accuracy of the COS-based algorithm for evaluating forward starting put options under the approximate model.
From Table 1, we can see that the accuracy of the COS-based algorithm depends on the values of , , and the number of terms in series expansion. As the value of decreases, option prices tend to stabilize. The effect of on option prices depends on the number of terms . When , the effect of on option prices is almost negligible. Table 1 shows that when and , the option values calculated by the two methods are the very closest.
Furthermore, we examined the effects of the fractional Brownian motion, jump, and the second volatility component on forward starting put option prices. To this end, we set , , and specified two determination time 1/4, 1, and two maturities 1/2, 5 years. We evaluated forward starting put options under model (10) (FDHestonMEM) applying the model parameters and option parameters used in Table 1. For comparison, we also evaluated forward starting put options under the FDHeston mode by setting , the DHeston model by setting , the FHestonMEM model by setting , the FHeston model by setting , the DHestonMEM model by setting , the HestonMEM model by setting , and the Heston model by setting . Table 2 compares forward starting put option prices generated from the above eight models under and , respectively.
Table 2.
Comparison of forward starting put options prices under the FDHestonMEM, FDHeston, FDHestonMEM, FDHeston, DHestonMEM, DHeston, HestonMEM, and Heston model.
From Table 2, we can see that for the above eight models, the mixed-exponential jump and the second volatility component both increase forward starting options prices for all maturities and determination time. The effects of fractional Brownian motion on forward starting option prices depend on the determination time, maturity, and the value of . To comprehensively examine the effects of fractional Brownian motion, jump, and the second volatility component on forward starting put option prices, we computed the relative error between forward starting put options prices under the above models with the same parameters as in Table 2. Figure 1, Figure 2 and Figure 3 report the main outcomes.
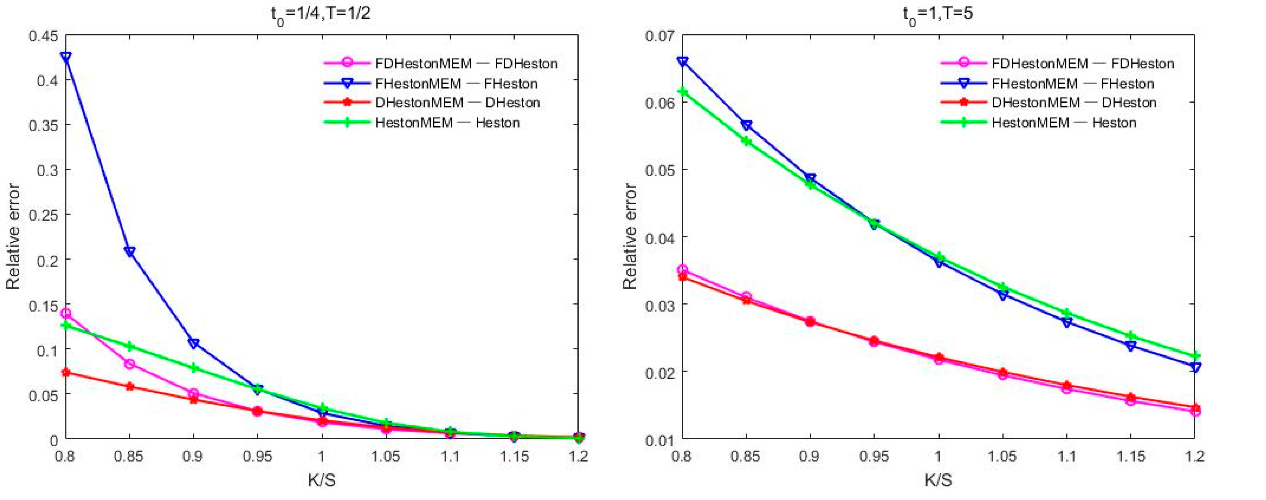
Figure 1.
The effect of the mixed-exponential jump on the values of short-term () and long-term () forward starting put options.
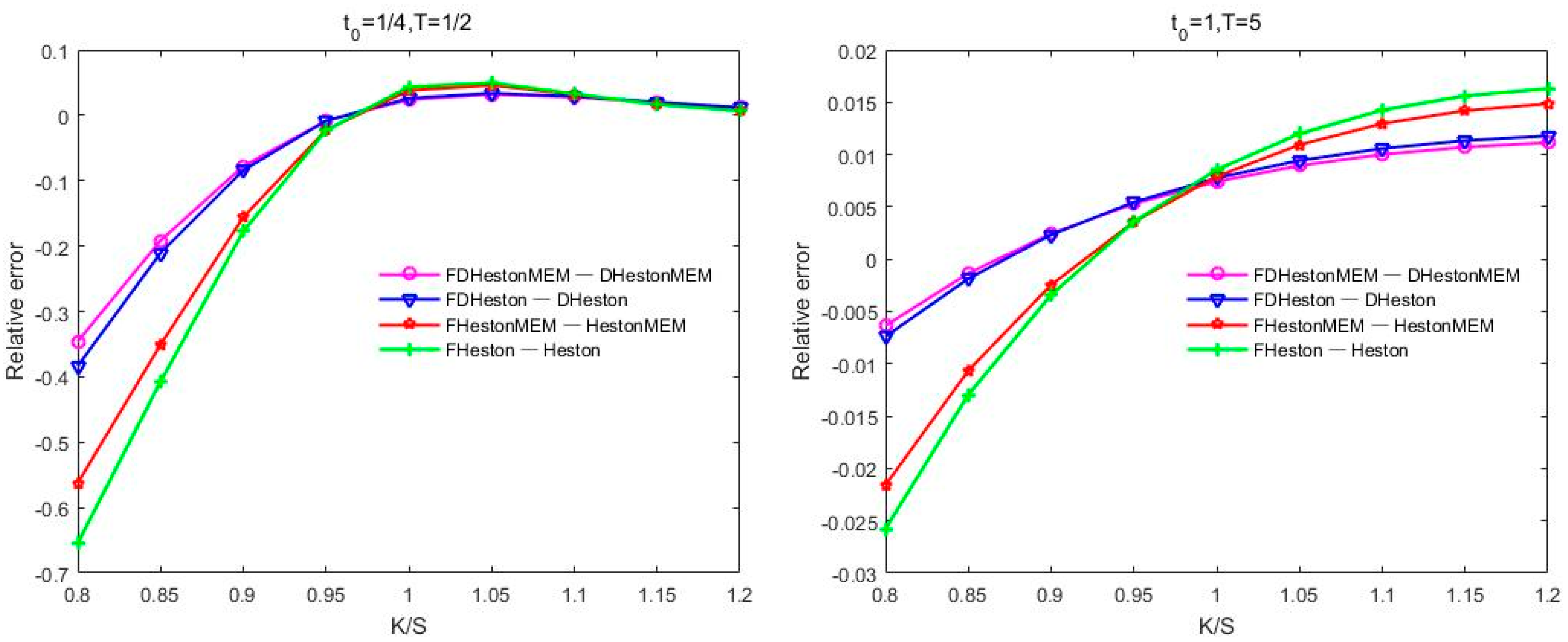
Figure 2.
The effects of fractional Brownian motion on the values of short-term () and long-term () forward starting put options.
Figure 3.
The effects of the second volatility on the values of short-term () and long-term () forward starting put options.
To examine the effect of mixed-exponential jump on forward starting put options prices, we investigated four cases including the single volatility model and two volatilities model driven by fractional Brownian motion and standard Brownian motion, respectively. Figure 1 reports the effect of the mixed-exponential jump on the values of short-term () and long-term () forward starting put options.
From Figure 1, we can see that for the short-term options, when < 1.05, the effect of jump on option prices with single volatility is more significant than that with two volatilities. Moreover, the effects of jump on option prices under the framework of fractional Brownian motion are more significant than those in the standard Brownian motion case. When , the effect of jump on option prices with single volatility and with two volatilities are almost the same. For the long-term options, the effects of the mixed-exponential jump on the options prices with single volatility are both more significant than the counterpart with two volatilities under the two frameworks of Brownian motion. However, these effects of jump on the options prices are significantly weaker than those in the short-term case.
To examine the effects of fractional Brownian motion on forward starting put options prices, we investigated four cases including the single volatility model and two volatilities model with jump and without jump, respectively. Figure 2 reports the effects of fractional Brownian motion on the values of short-term () and long-term () forward starting put options.
From Figure 2 we can see that for the short-term options, when 0.95, fractional Brownian motion both decreases option prices with single volatility and with two volatilities, and the effects of fractional Brownian motion on option prices with single volatility are more significant than those with two volatilities. When 0.95, fractional Brownian motion both increase the option prices with single volatility and with two volatilities, and the effects of fractional Brownian motion on option prices with single volatility and with two volatilities are almost the same. For the long-term options, when or , the effects of fractional Brownian motion on the options prices with single volatility are both more significant than the counterpart with two volatilities under two frameworks with jump and without jump. When , the effects of fractional Brownian motion on the options prices with two volatilities are slightly significant than the counterpart with single volatility. However, these effects of fractional Brownian motion on the options prices are significantly weaker than those in the short-term case.
To examine the effects of the second volatility on forward starting put options prices, we investigated four cases including the jump-diffusion model and diffusion model under the framework of fractional Brownian motion and standard Brownian motion, respectively. Figure 3 reports the effects of the second volatility on the values of short-term () and long-term () forward starting put options.
From Figure 3 we can see that for the short-term options, when , the effects of the second volatility on option prices without jump are more significant than those with jump. As increases, the intensity of the effect gradually weakens. When , the effects of the second volatility on option prices with jump and without jump are almost the same. For the long-term options, the effects of the second volatility on the options prices are significantly weaker than those in the short-term case. For all maturities and determination time, the effects of the second volatility on option prices in the framework of fractional Brownian motion are more significant than those in the standard Brownian motion case, which implies that the second volatility is necessary to price accurately forward starting options under the framework of fractional Brownian motion.
Furthermore, based on the model parameters and option parameters used in Table 2, we examined the effects of the main parameters of the second fractional volatility on the short-term () forward starting put options prices. Due to limited space, Figure 4 only reports the effects of Hurst index and long-run mean on the options prices.
Figure 4.
The effects of Hurst parameter and long-run mean of the second volatility on the values of short-term () forward starting put options.
From Figure 4 we can see that when , increasing the value of rapidly raises the options prices and the intensity of this effect gradually tends to stabilize. When , the effect of on the options prices is similar to that in the case of , and this effect is more significant. Figure 4 displays this compared to the standard Brownian motion () case, which shows that increasing or decreasing the value of both significantly change forward starting options prices. Increasing raises the options prices and the intensity of this effect gradually increases as the strike prices increase. Figure 4 shows that the effects of and on forward starting options prices are both significant, which implies that the effect of the second fractional volatility on forward starting options prices is significant and the FDHestonMEM model may fit the forward implied volatility better.
6. Conclusions
This paper proposes an effective pricing algorithm for forward starting options under double fractional Heston stochastic volatilities and jumps. We express the value of a forward starting option in terms of the expectation of the forward characteristic function of log return. By introducing two small perturbed parameters, we approximate the pricing model using a semimartingale. Then, we rewrite the forward characteristic function as a conditional expectation of the proportion characteristic function which is expressed in terms of the solution to a classic PDE. With the affine structure of the approximate model, we obtained the solution to the PDE. Based on the obtained forward characteristic function and Fourier transform technique, we propose a pricing algorithm for forward starting options. For comparison, we also developed a simulation scheme for evaluating forward starting options. The numerical results show that the proposed pricing algorithm is effective. Via exhaustive comparative experiments on eight models, we found that the effects of fractional Brownian motion, mixed-exponential jump, and the second volatility component on forward starting option prices are all significant, and especially, the second fractional volatility is necessary to price accurately the forward starting options under the framework of fractional Brownian motion. The pricing algorithm for forward starting options proposed in the paper can be extended to the case of stochastic interest rates.
Author Contributions
Conceptualization, S.Z.; Formal analysis, S.Z. and H.X.; Methodology, S.Z. and H.Y.; Validation, H.Y. and H.X.; Writing—original draft, S.Z.; Writing—review & editing, S.Z. and H.X. All authors have read and agreed to the published version of the manuscript.
Funding
This work was funded by the National Natural Science Foundation (No. 11601420) and the Natural Science Foundation of Shaanxi Province (No. 2024JC-YBMS-008).
Data Availability Statement
The original contributions presented in the study are included in the article, further inquiries can be directed to the corresponding author.
Acknowledgments
The authors would like to thank the editors and anonymous reviewers for their detailed and valuable suggestions and comments, which improved the quality of the original manuscript.
Conflicts of Interest
The authors declare no conflicts of interest.
References
- Rubinstein, M. Pay now, choose later. Risk 1991, 4, 44–47. [Google Scholar]
- Kruse, S.; Nögel, U. On the pricing of forward starting options in Heston’s model on stochastic volatility. Financ. Stoch. 2005, 9, 233–250. [Google Scholar] [CrossRef]
- Ahlip, R.; Rutkowski, M. Forward start options under stochastic volatility and stochastic interest rates. Int. J. Theor. Appl. Financ. 2011, 12, 209–225. [Google Scholar] [CrossRef]
- Lin, S.; He, X.J. A closed-form pricing formula for forward start options under a regime-switching stochastic volatility model. Chaos Solitons Fractals 2021, 144, 110644. [Google Scholar] [CrossRef]
- Guo, J.H.; Hung, M.W. A generalization of Rubinstein’s “Pay now, choose later”. J. Futures Mark. 2008, 28, 488–515. [Google Scholar] [CrossRef]
- Ahlip, R.; Park, L.A.F.; Prodan, A.; Weissenhofer, S. Forward start options under Heston affine jump-diffusions and stochastic interest rate. Int. J. Financ. Eng. 2021, 8, 2150005. [Google Scholar] [CrossRef]
- Lucié, V. Forward-start options in stochastic volatility models. Wilmott Mag. 2003, 5, 72–75. [Google Scholar] [CrossRef]
- Haastrecht, A.V.; Pelsser, A.A.J. Accounting for stochastic interest rates, stochastic volatility and a general dependency structure in the valuation of forward starting options. J. Futures Markets. 2011, 31, 103–125. [Google Scholar] [CrossRef]
- Zhang, S.M.; Geng, J.H. Fourier-cosine method for pricing forward starting options with stochastic volatility and jumps. Commun. Stat.–Theory Methods. 2017, 46, 9995–10004. [Google Scholar] [CrossRef]
- Zhang, S.M.; Sun, Y.D. Forward starting options pricing with double stochastic volatility, stochastic interest rates and double jumps. J. Comput. Appl. Math. 2017, 325, 34–41. [Google Scholar] [CrossRef]
- Hata, H.; Liu, N.L.; Yasuda, K. Expressions of forward starting option price in Hull–White stochastic volatility model. Decis. Econ. Financ. 2021, 45, 101–135. [Google Scholar] [CrossRef]
- Comte, F.; Renault, E. Long memory in continuous-time stochastic volatility models. Math. Financ. 1998, 8, 291–323. [Google Scholar] [CrossRef]
- Hassani, H.; Yarmohammadi, M.; Mashhad, L.M. Uncovering hidden insights with long-memory process detection: An in-depth overview. Risks 2023, 11, 113. [Google Scholar] [CrossRef]
- Han, Y.; Li, Z.; Liu, C. Option pricing under the fractional stochastic volatility model. Anziam J. 2021, 63, 123–142. [Google Scholar]
- Najafi, A.; Mehrdoust, F. Conditional expectation strategy under the long memory Heston stochastic volatility model. Commun. Stat.—Simul. Comput. 2023. [Google Scholar] [CrossRef]
- Alhagyan, M.; Yassen, M.F. Incorporating stochastic volatility and long memory into geometric Brownian motion model to forecast performance of standard and Poor’s 500 index. AIMS Math. 2023, 8, 18581–18595. [Google Scholar] [CrossRef]
- Alhagyan, M. The effects of incorporating memory and stochastic volatility into GBM to forecast exchange rates of Euro. Alex. Eng. J. 2022, 61, 9601–9608. [Google Scholar] [CrossRef]
- Hassler, U.; Pohle, M.O. Forecasting under long memory. J. Financ. Econom. 2023, 21, 742–778. [Google Scholar] [CrossRef]
- Gatheral, J.; Jaisson, T.; Rosenbaum, M. Volatility is rough. Quant. Financ. 2018, 18, 933–949. [Google Scholar] [CrossRef]
- Livieri, G.; Mouti, S.; Pallavicini, A.; Rosenbaum, M. Rough volatility: Evidence from option prices. IISE Trans. 2018, 50, 767–776. [Google Scholar] [CrossRef]
- Fukasawa, M. Volatility has to be rough. Quant. Financ. 2021, 21, 1–8. [Google Scholar] [CrossRef]
- Brandi, G.; Di Matteo, T. Multiscaling and rough volatility: An empirical investigation. Int. Rev. Financ. Anal. 2022, 84, 102324. [Google Scholar] [CrossRef]
- Coqueret, G.; Tavin, B. An investigation of model risk in a market with jumps and stochastic volatility. Eur. J. Oper. Res. 2016, 253, 648–658. [Google Scholar] [CrossRef]
- Jin, X.; Hong, Y. Jump-diffusion volatility models for variance swaps: An empirical performance analysis. Int. Rev. Financ. Anal. 2023, 87, 102606. [Google Scholar] [CrossRef]
- Bates, D.S. Empirical option pricing models. Annu. Rev. Financ. Econ. 2022, 14, 369–389. [Google Scholar] [CrossRef]
- Wang, L.; Xia, W.X. Power-type derivatives for rough volatility with jumps. J. Futures Mark. 2022, 42, 1369–1406. [Google Scholar] [CrossRef]
- Cai, N.; Kou, S.G. Option pricing under a mixed-exponential jump diffusion model. Manag. Sci. 2011, 57, 2067–2081. [Google Scholar] [CrossRef]
- Zhang, S.; Yong, H.; Xiao, H. Option pricing with fractional stochastic volatilities and jumps. Fractal Fract. 2023, 7, 680. [Google Scholar] [CrossRef]
- Wang, K.; Guo, X.X. Valuations of variance and volatility swaps under double Heston jump-difusion model with approximative fractional stochastic volatility. Comput. Econ. 2024, 63, 1543–1573. [Google Scholar] [CrossRef]
- Thao, T.H. An approximate approach to fractional analysis for finance. Nonlinear Anal.–Real World Appl. 2006, 7, 124–132. [Google Scholar] [CrossRef]
- Euch, O.E.; Rosenbaum, M. The characteristic function of rough Heston models. Math. Financ. 2019, 29, 3–38. [Google Scholar] [CrossRef]
- Fang, F.; Oosterlee, C.W. A novel pricing method for European options based on Fourier cosine series expansions. SIAM J. Sci. Comput. 2008, 31, 826–848. [Google Scholar] [CrossRef]
Disclaimer/Publisher’s Note: The statements, opinions and data contained in all publications are solely those of the individual author(s) and contributor(s) and not of MDPI and/or the editor(s). MDPI and/or the editor(s) disclaim responsibility for any injury to people or property resulting from any ideas, methods, instructions or products referred to in the content. |
© 2024 by the authors. Licensee MDPI, Basel, Switzerland. This article is an open access article distributed under the terms and conditions of the Creative Commons Attribution (CC BY) license (https://creativecommons.org/licenses/by/4.0/).



