Design of a Wind Sensor Based on Cylinder Diametrical Pressure Differences for Boundary Layer Meteorological Observation †
Abstract
:1. Introduction
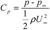
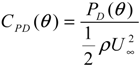
2. Modeling
3. Wind Tunnel Experiments
4. Prototype of Wind Sensor and Results
5. Conclusions
Acknowledgments
Conflicts of Interest
References
- Bruschi, P.; Piotto, M.; Dell’Agnello, F.; Ware, J.; Roy, N. Wind speed and direction detection by means of solid-state anemometers embedded on small quadcopters. Procedia Eng. 2016, 168, 802–805. [Google Scholar] [CrossRef]
- Piotto, M.; Pennelli, G.; Bruschi, P. Fabrication and characterization of a directional anemometer based on a single chip MEMS flow sensor. Microelectron. Eng. 2011, 88, 2214–2217. [Google Scholar] [CrossRef]
- Kuo, J.T.K.; Yu, L.; Meng, E. Micromachine d Thermal Flow Sensors—A Review. Micromachines 2012, 3, 550–573. [Google Scholar] [CrossRef]
- Du, L.; Zhao, Z.; Pang, C.; Fang, Z. Drag force micro solid state silicon plate wind velocity sensor. Sens. Actuators A Phys. 2009, 151, 35–41. [Google Scholar] [CrossRef]
- Zhu, Y.; Chen, B.; Qin, M.; Huang, J.Q.; Huang, Q.A. Development of a self-packaged 2D MEMS thermal wind sensor for low power applications. J. Micromech. Microeng. 2015, 25, 1–14. [Google Scholar] [CrossRef]
- Dong, Z.; Chen, J.; Qin, Y.; Qin, M.; Huang, Q.A. Fabrication of a Micromachine d Two-Dimensional Wind Sensor by Au-Au Wafer Bonding Technology. J. Microelectromech. Syst. 2012, 21, 467–475. [Google Scholar] [CrossRef]
- Bruschi, P.; Dei, M.; Piotto, M. A low-power 2-D wind sensor based on integrated flow meters. IEEE Sens. J. 2009, 9, 1688–1696. [Google Scholar] [CrossRef]
- Liu, C.; Du, L.; Zhao, Z. A directional cylindrical anemometer with four sets of differential pressure sensors. Rev. Sci. Instrum. 2016, 87, 035105. [Google Scholar] [CrossRef] [PubMed]






Publisher’s Note: MDPI stays neutral with regard to jurisdictional claims in published maps and institutional affiliations. |
© 2018 by the authors. Licensee MDPI, Basel, Switzerland. This article is an open access article distributed under the terms and conditions of the Creative Commons Attribution (CC BY) license (https://creativecommons.org/licenses/by/4.0/).
Share and Cite
Zhao, Z.; Pan, Y.; Zhao, R.; Du, L.; Fang, Z.; Wu, H.; Niu, X. Design of a Wind Sensor Based on Cylinder Diametrical Pressure Differences for Boundary Layer Meteorological Observation. Proceedings 2018, 2, 1511. https://doi.org/10.3390/proceedings2131511
Zhao Z, Pan Y, Zhao R, Du L, Fang Z, Wu H, Niu X. Design of a Wind Sensor Based on Cylinder Diametrical Pressure Differences for Boundary Layer Meteorological Observation. Proceedings. 2018; 2(13):1511. https://doi.org/10.3390/proceedings2131511
Chicago/Turabian StyleZhao, Zhan, Yichen Pan, Rongjian Zhao, Lidong Du, Zhen Fang, Hong Wu, and Xianghua Niu. 2018. "Design of a Wind Sensor Based on Cylinder Diametrical Pressure Differences for Boundary Layer Meteorological Observation" Proceedings 2, no. 13: 1511. https://doi.org/10.3390/proceedings2131511
APA StyleZhao, Z., Pan, Y., Zhao, R., Du, L., Fang, Z., Wu, H., & Niu, X. (2018). Design of a Wind Sensor Based on Cylinder Diametrical Pressure Differences for Boundary Layer Meteorological Observation. Proceedings, 2(13), 1511. https://doi.org/10.3390/proceedings2131511

