Multi-Level Switching Control Scheme for Folding Wing VTOL UAV Based on Dynamic Allocation
Abstract
1. Introduction
- A dynamic model containing the full modal state of the UAV is developed, which takes into account the influence of incoming flow on the rotor dynamics to bring the model closer to the real physical model.
- On the basis of the established rotor model and dynamic model, the rotor dynamics and aileron aerodynamic characteristics during the deformation process are analyzed. Based on the conclusions drawn from the analysis, a dynamic allocation algorithm of rotor control variables is designed to improve the lateral stability of the folding wing UAV during deformation.
- In analyzing the dynamic model, a deformation control strategy with multi-level switching containing the dynamic allocation algorithm is designed, and a hybrid transition strategy for two sets of maneuvering mechanisms is designed according to the changes in the maneuvering characteristics of rotors and rudders.
2. Problem Statement
2.1. Coordinate System
2.2. Positional Kinematic Model
2.3. Attitude Kinematic Model
3. Problem Analysis
- With regard to the effect of rotor dynamics, it should be noted that the direction of rotor pull does not change in a single plane during the deformation process. Furthermore, the positional distribution of the four rotors will be significantly altered, while the position of the center of mass of the airframe will be regulated. These changes will all impact the effect of rotor maneuvering on the airframe, and consequently the performance of the quadrotor controller.
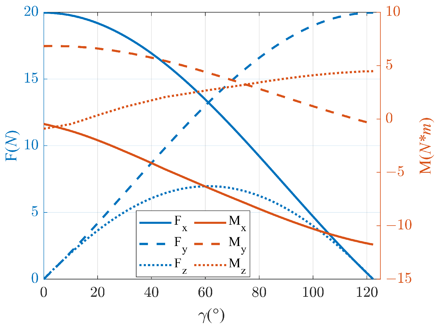
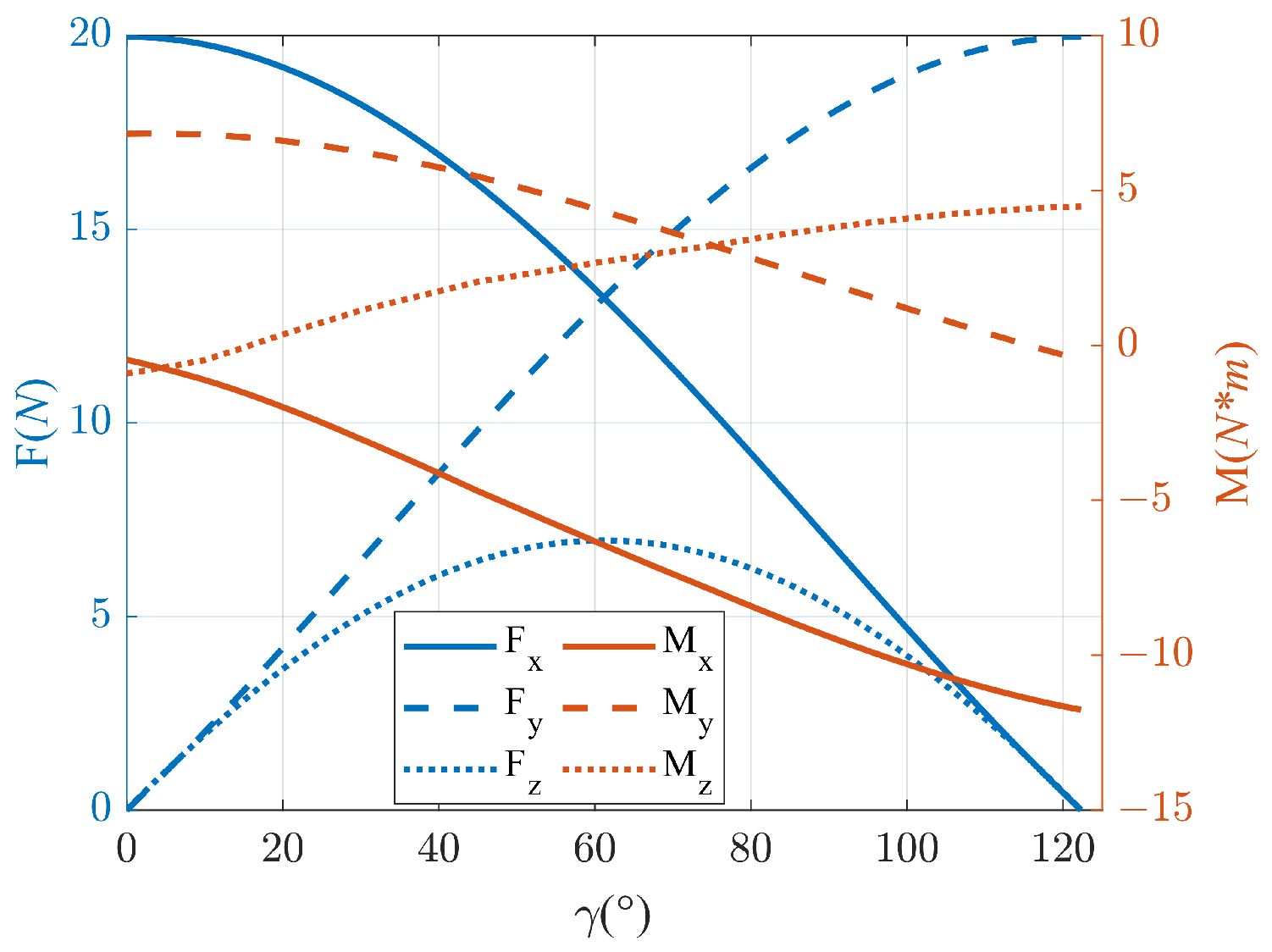
- On the aerodynamic side, wing folding will change the aerodynamic configuration of the whole aircraft, and will especially cause changes in the aerodynamic characteristics of the ailerons, which will seriously affect the aerodynamic maneuvering characteristics of the UAV.
3.1. Rotor Dynamic Characterization
3.2. Aerodynamic Characterization
4. Control Scheme Design
4.1. Non-Deforming Mode Controller Framework
4.2. Dynamic Allocation Algorithm for Rotor Control
4.3. Multi-Level Switching Transition Control Scheme
4.3.1. Forward Deformation
4.3.2. Backward Deformation
5. Simulation Experiments
5.1. Flight Simulation Comparison Experiment
5.2. Simulation with Parameter Perturbations
6. Conclusions
- Based on the structural characteristics of the folding wing UAV, a dynamic and kinematic model including the influence of the incoming flow on the rotor dynamics was established.
- Through an analysis of rotor dynamic and aerodynamic maneuvering characteristics, the rotor coupling characteristics and the efficiency change characteristics of the aileron during the deformation process are obtained.
- According to the change rule of the rotor position relative to the airframe, the dynamic allocation algorithm of rotor control was designed to adapt to the folding angle of the folding wing UAV, which improves the resistance of the UAV to lateral interference in the deformation process.
- A multi-level switching control strategy was designed for the forward and reverse deformation processes of the folding wing VTOL UAV, and the two sets of maneuvering mechanisms are fused and transitioned; the experiment proves that the control algorithm has strong robustness.
Author Contributions
Funding
Data Availability Statement
Conflicts of Interest
References
- Ducard, G.J.; Allenspach, M. Review of designs and flight control techniques of hybrid and convertible VTOL UAVs. Aerosp. Sci. Technol. 2021, 118, 107035. [Google Scholar] [CrossRef]
- Mohsan, S.A.H.; Khan, M.A.; Noor, F.; Ullah, I.; Alsharif, M.H. Towards the unmanned aerial vehicles (UAVs): A comprehensive review. Drones 2022, 6, 147. [Google Scholar] [CrossRef]
- Mahmood, A.; Vu, T.X.; Khan, W.U.; Chatzinotas, S.; Ottersten, B. Optimizing computational and communication resources for MEC network empowered UAV-RIS communication. In Proceedings of the 2022 IEEE Globecom Workshops (GC Wkshps), Rio de Janeiro, Brazil, 4–8 December 2022; pp. 974–979. [Google Scholar]
- Mahmood, A.; Vu, T.X.; Chatzinotas, S.; Ottersten, B. Joint optimization of 3D placement and radio resource allocation for per-UAV sum rate maximization. IEEE Trans. Veh. Technol. 2023, 72, 13094–13105. [Google Scholar] [CrossRef]
- Mahmood, A.; Vu, T.X.; Khan, W.U.; Chatzinotas, S.; Ottersten, B. Joint computation and communication resource optimization for beyond diagonal UAV-IRS empowered MEC networks. arXiv 2023, arXiv:2311.07199. [Google Scholar]
- Mahmood, A.; Vu, T.X.; Sharma, S.K.; Chatzinotas, S.; Ottersten, B. Multi-objective optimization for 3D placement and resource allocation in OFDMA-based multi-UAV networks. In Proceedings of the 2023 IEEE 97th Vehicular Technology Conference (VTC2023-Spring), Florence, Italy, 20–23 June 2023; pp. 1–6. [Google Scholar]
- Hu, J.; Wei, J.; Liu, K.; Yu, X.; Cao, M.; Qin, Z. Hybrid Mode: Routinization of the Transition Mode as the Third Common Mode for Compound VTOL Drones. Drones 2024, 8, 93. [Google Scholar] [CrossRef]
- Bauersfeld, L.; Spannagl, L.; Ducard, G.J.; Onder, C.H. MPC flight control for a tilt-rotor VTOL aircraft. IEEE Trans. Aerosp. Electron. Syst. 2021, 57, 2395–2409. [Google Scholar] [CrossRef]
- Kikumoto, C.; Urakubo, T.; Sabe, K.; Hazama, Y. Back-transition control with large deceleration for a dual propulsion VTOL UAV based on its maneuverability. IEEE Robot. Autom. Lett. 2022, 7, 11697–11704. [Google Scholar] [CrossRef]
- Yang, Y.; Zhu, J.; Yuan, X.; Wang, X.; Kuang, M.; Shi, H. Dynamic characteristics analysis and robust transition control of tail-sitter VTOL UAVs. Aerosp. Sci. Technol. 2024, 145, 108868. [Google Scholar] [CrossRef]
- Tavoosi, J. Hybrid intelligent adaptive controller for tiltrotor UAV. Int. J. Intell. Unmanned Syst. 2021, 9, 256–273. [Google Scholar] [CrossRef]
- Willis, J.; Johnson, J.; Beard, R.W. State-dependent LQR control for a tilt-rotor UAV. In Proceedings of the 2020 American Control Conference (ACC), Denver, CO, USA, 1–3 July 2020; pp. 4175–4181. [Google Scholar]
- Zhu, J.; Yang, Y.; Wang, X.; Yuan, X.; Yang, X. Attitude control of a novel tilt-wing UAV in hovering flight. Sci. China Inf. Sci. 2023, 66, 154201. [Google Scholar] [CrossRef]
- Takayama, T.; Uchiyama, K.; Masuda, K. Controller Design Using SDRE Method for Tilt-Wing UAV. In Proceedings of the 2020 11th International Conference on Mechanical and Aerospace Engineering (ICMAE), Athens, Greece, 14–17 July 2020; pp. 102–106. [Google Scholar]
- Rehan, M.; Akram, F.; Shahzad, A.; Shams, T.; Ali, Q. Vertical take-off and landing hybrid unmanned aerial vehicles: An overview. Aeronaut. J. 2022, 126, 2017–2057. [Google Scholar] [CrossRef]
- Saeed, A.S.; Younes, A.B.; Islam, S.; Dias, J.; Seneviratne, L.; Cai, G. A review on the platform design, dynamic modeling and control of hybrid UAVs. In Proceedings of the 2015 International Conference on Unmanned Aircraft Systems (ICUAS), Denver, CO, USA, 9–12 June 2015; pp. 806–815. [Google Scholar]
- Lyu, X.; Zhou, J.; Gu, H.; Li, Z.; Shen, S.; Zhang, F. Disturbance Observer Based Hovering Control of Quadrotor Tail-Sitter VTOL UAVs Using H∞ Synthesis. IEEE Robot. Autom. Lett. 2018, 3, 2910–2917. [Google Scholar] [CrossRef]
- Huang, H.; Yu, L.; He, G.; Wang, X. Tilting Curve Design of a Novel Tilt-rotor UAV Based on Rotor/Wing Interference Model. In Proceedings of the 2020 Chinese Automation Congress (CAC), Shanghai, China, 6–8 November 2020; pp. 2356–2361. [Google Scholar]
- Wang, Z.; Wang, Q.; Yu, H.; Duan, D.; Ding, Z.; Li, J. Trimming analysis method of quad tilt rotor based on aerodynamic interference model. J. Aircr. 2021, 58, 253–265. [Google Scholar] [CrossRef]
- Droandi, G.; Zanotti, A.; Gibertini, G. Aerodynamic interaction between rotor and tilting wing in hovering flight condition. J. Am. Helicopter Soc. 2015, 60, 042011. [Google Scholar] [CrossRef]
- Hartmann, P.; Meyer, C.; Moormann, D. Unified velocity control and flight state transition of unmanned tilt-wing aircraft. J. Guid. Control. Dyn. 2017, 40, 1348–1359. [Google Scholar] [CrossRef]
- Garg, P. Characterisation of Fixed-Wing Versus Multirotors UAVs/Drones. J. Geomat. 2022, 16, 152–159. [Google Scholar] [CrossRef]
- Kretov, A.; Tiniakov, D. Evaluation of the mass and aerodynamic efficiency of a high aspect ratio wing for prospective passenger aircraft. Aerospace 2022, 9, 497. [Google Scholar] [CrossRef]
- Patel, T.; Kumar, M.; Abdallah, S. Control of Hybrid Transitioning Morphing-wing VTOL UAV. IFAC-PapersOnLine 2022, 55, 554–559. [Google Scholar] [CrossRef]
- D’Sa, R.; Papanikolopoulos, N. Design and experiments for multi-section-transformable (MIST)-UAV. In Proceedings of the 2019 International Conference on Robotics and Automation (ICRA), Montreal, QC, Canada, 20–24 May 2019; pp. 1878–1883. [Google Scholar]
- Chen, Q.; Shi, Z.; Zhan, W.; Yao, L.; Tong, S. Aerodynamic layout and control strategy design and flight verification of a wing-foldable variant VTOL aircraft. Acta Aeronaut. Astronaut. Sin. 2024, 45, 155–172. [Google Scholar]
- Vourtsis, C.; Rochel, V.C.; Müller, N.S.; Stewart, W.; Floreano, D. Wind defiant morphing drones. Adv. Intell. Syst. 2023, 5, 2200297. [Google Scholar] [CrossRef]
- Hegde, N.T.; George, V.; Nayak, C.G.; Kumar, K. Transition flight modeling and robust control of a VTOL unmanned quad tilt-rotor aerial vehicle. Indones. J. Electr. Eng. Comput. Sci. 2020, 18, 1252–1261. [Google Scholar]
- Yildiz, Y.; Unel, M.; Demirel, A.E. Nonlinear hierarchical control of a quad tilt-wing UAV: An adaptive control approach. Int. J. Adapt. Control Signal Process. 2017, 31, 1245–1264. [Google Scholar] [CrossRef]
- Milz, D.; Looye, G. Tilt-wing control design for a unified control concept. In Proceedings of the AIAA Scitech 2022 Forum, San Diego, CA, USA, 7 January 2022; p. 1084. [Google Scholar]
- Lin, Z.; Liu, Q.; Liu, S.; Yan, B. Transition Controller Design of Tilt-Rotor UAV Based on Incremental Nonlinear Dynamic Inversion. In Proceedings of the IECON 2023-49th Annual Conference of the IEEE Industrial Electronics Society, Singapore, 16–19 October 2023; pp. 1–6. [Google Scholar]
- Allenspach, M.; Ducard, G.J.J. Nonlinear model predictive control and guidance for a propeller-tilting hybrid unmanned air vehicle. Automatica 2021, 132, 109790. [Google Scholar] [CrossRef]
- Suiçmez, E.; Kutay, A.T. Full envelope nonlinear flight controller design for a novel electric VTOL (eVTOL) air taxi. Aeronaut. J. 2024, 128, 966–993. [Google Scholar] [CrossRef]
- Kong, L.; Reis, J.; He, W.; Silvestre, C. Comprehensive nonlinear control strategy for VTOL-UAVs with windowed output constraints. IEEE Trans. Control Syst. Technol. 2023, 31, 2673–2684. [Google Scholar] [CrossRef]
- Durán-Delfín, J.; García-Beltrán, C.; Guerrero-Sánchez, M.; Valencia-Palomo, G.; Hernández-González, O. Modeling and Passivity-Based Control for a convertible fixed-wing VTOL. Appl. Math. Comput. 2024, 461, 128298. [Google Scholar] [CrossRef]
- Dai, X.; Ke, C.; Quan, Q.; Cai, K.Y. RFlySim: Automatic test platform for UAV autopilot systems with FPGA-based hardware-in-the-loop simulations. Aerosp. Sci. Technol. 2021, 114, 106727. [Google Scholar] [CrossRef]


















| Parameters | Value |
|---|---|
| Mass | 14.75 kg |
| Wingspan | 2.3 m |
| Length | 1.5 m |
| Average aerodynamic chord length | 0.156 m |
| Reference area | 0.366 m2 |
| Designed cruise speed | 30 m/s |
| Propeller diameter | 15 inch |
| Motor type | X4120 |
| Simulation Parameters | Data |
|---|---|
| Initial position | [0, 100, 0] m |
| Initial speed | [0, 0, 0] m/s |
| Initial attitude | [0, 0, 0]° |
| 10 | |
| 5 | |
| g | 9.81 m/s2 |
| Number | Parameter Type | Perturbation Type | Parameters | Perturbation Range |
|---|---|---|---|---|
| 1 | Pneumatic parameters | Combined perturbation | ||
| 2 | ||||
| 3 | ||||
| 4 | ||||
| 5 | ||||
| 6 | ||||
| 7 | Inertial parameters | Random perturbation | ±0.02 cm | |
| 8 | ±0.02 cm | |||
| 9 | ±0.02 cm | |||
| 10 | ||||
| 11 | ||||
| 12 | ||||
| 13 | External disturbance | Random perturbation | ±5 m/s |
Disclaimer/Publisher’s Note: The statements, opinions and data contained in all publications are solely those of the individual author(s) and contributor(s) and not of MDPI and/or the editor(s). MDPI and/or the editor(s) disclaim responsibility for any injury to people or property resulting from any ideas, methods, instructions or products referred to in the content. |
© 2024 by the authors. Licensee MDPI, Basel, Switzerland. This article is an open access article distributed under the terms and conditions of the Creative Commons Attribution (CC BY) license (https://creativecommons.org/licenses/by/4.0/).
Share and Cite
Lin, Z.; Yan, B.; Zhang, T.; Li, S.; Meng, Z.; Liu, S. Multi-Level Switching Control Scheme for Folding Wing VTOL UAV Based on Dynamic Allocation. Drones 2024, 8, 303. https://doi.org/10.3390/drones8070303
Lin Z, Yan B, Zhang T, Li S, Meng Z, Liu S. Multi-Level Switching Control Scheme for Folding Wing VTOL UAV Based on Dynamic Allocation. Drones. 2024; 8(7):303. https://doi.org/10.3390/drones8070303
Chicago/Turabian StyleLin, Zehuai, Binbin Yan, Tong Zhang, Shaoyi Li, Zhongjie Meng, and Shuangxi Liu. 2024. "Multi-Level Switching Control Scheme for Folding Wing VTOL UAV Based on Dynamic Allocation" Drones 8, no. 7: 303. https://doi.org/10.3390/drones8070303
APA StyleLin, Z., Yan, B., Zhang, T., Li, S., Meng, Z., & Liu, S. (2024). Multi-Level Switching Control Scheme for Folding Wing VTOL UAV Based on Dynamic Allocation. Drones, 8(7), 303. https://doi.org/10.3390/drones8070303

