Abstract
To address the demands of efficient forest fire detection and suppression, an adaptive multiple UAV swarm collaborative firefighting strategy considering dynamic forest fire spread and resource constraints was proposed in this paper. The multiple UAV swarm adaptive information-driven collaborative search (MUSAIDCS) algorithm and the resource-limited firefighting model were established. A temperature change-driven adaptive step-length search strategy is proposed to improve the accuracy of the search and detection of fire spots. The critical water flow rate required for fire suppression is calculated to evaluate the firefight performance, and an emergency bidding algorithm is applied to enable multiple UAV swarms collaborative firefighting under limited resources, including different payloads per UAV and swarm number. The comparative simulations for four search strategies indicate that the MUSAIDCS search strategy can significantly reduce task completion time and improve firefighting efficiency compared with the other traditional search strategies. Increasing payload quantity per UAV and swarm number can further enhance task completion efficiency and firefighting effectiveness. This study demonstrates that a resource-constrained collaborative firefighting strategy enables the dynamic allocation of UAV swarm resources under limited conditions and then optimizes firefighting performance within constraints.
1. Introduction
Forest fire is one of the most important threats to human society [1]. The occurrence of forest fires has become larger than 200,000 annually in the whole world, which accounts for approximately 1% of the global forest area. In China, there are over 10,000 forest fires each year, accounting for approximately 5–8% of the forested area [2]. Forest fires not only cause significant damage to ecosystems but also pose serious threats to human safety, economic development, and biodiversity. Therefore, the effective monitoring and prevention of forest fires are still the key problems to be solved.
Forest fires have the characteristics of a hidden starting point, fast-spreading speed, large fire areas, strong fires, and significant influence from meteorological conditions, etc. Traditional firefighting methods primarily rely on ground-based firefighters [3] and aerial firefighting planes [4]. However, it is difficult for ground crews to reach the core area of the fire from the ground to quickly and effectively control the fire situation on a wide scale. Aerial firefighting planes are limited in their ability to target hidden fires and are expensive to operate. Consequently, more flexible, efficient, and safer firefighting methods are urgently needed. With the development of the low-altitude economy, Unmanned Aerial Vehicles (UAVs) have been widely used in agriculture [5], logistics [6], mapping [7], ecological monitoring [8], security inspection [9], Communication [10], etc. However, UAVs are particularly advantageous for extinguishing early small-scale fires, spotting embers, and reaching difficult-to-access areas due to their strong flexibility, quick response, and relatively low costs. Ollero et al. [11] earlier proposed UAVs as tools for forest fire fighting for forest fire detection, confirmation, localization, and monitoring but lacked fire suppression. Therefore, it is of great significance to carry out research on the application of UAVs in forest fire fighting.
Several issues need to be considered in the study of forest fire fighting by UAVs, including the forest fire spread model, UAV path planning model, UAV firefighting task assignment problem, cooperative control problem of multi-UAVs, and fire extinguishing model, etc. In the actual forest fire scenarios, due to environmental wind, terrain, fire dynamics, and other factors, the fire line will spread around at a certain speed. The prediction of fire spread rate plays a major part in forest fire control and suppression, which can enable decision-makers to develop effective firefighting strategies and optimize UAV task allocations. Much research in recent years has focused on the fire spread models. Sullivan [12,13,14] divided fire spread models into three categories, namely, physical or quasi-physical models [12,15,16], empirical or quasi-empirical models [13,17,18], and simulation or mathematical analog models [14,19,20,21,22]. These models are respectively based on fundamental chemistry and physics, the statistical analysis of experimental data, and the mathematical concept that could simulate the spread of fire. Rothermel [15] proposed a mathematical model based on the law of energy conservation for predicting the fire spread in wildland fuels. Guo et al. [16] optimized the Rothermel model for predicting the surface-fire spread rate in P. koraiensis plantations. Fernandes [17] examined the possibility of describing fire spread in shrubland by means of a simple empirical model. Hansen [18] used Byram’s equation to obtain the heat release of the fire front and developed the fire spread model. Finney et al. [19,20] thought the FARSITE model as a mechanistic surrogate model could accurately simulate fire spread at large spatial and temporal scales. FDS (Fire Dynamic Simulation) [21] is also a comprehensive physics-based model; its newer Level-Set solver uses the Huygens principle, just like FARSITE, to speed up simulations with a high accuracy level. Sadrabadi et al. [22] conducted a series of simulations of wildfire propagation on grassland using FDS-LS to study the impact on the fire propagation dynamics. From the above analysis, the prediction of the fire spread model will be influenced by the coupling of various complex factors such as environment, geography, and fuel, and there are still challenges to accurate prediction. A simplified empirical model is adopted in this study, which will be further introduced in Section 2.2.
For the use of UAVs in forest fires fighting, many previous studies focused on the applications of forest fire monitoring, detection, and fire suppression using single UAVs, Multiple UAVs, or UAV swarms [11,23]. Forest fire monitoring and detection mainly provide decision-making information on fire evolution and propagation for firefighting mission planning. Merino et al. [24] presented an Unmanned Aircraft System (UAS) consisting of several aerial vehicles and a central station for forest fire monitoring. Tzoumas et al. [25] explored wildfire detection in large-scale environments using force-based control for swarms of UAVs with the dynamic space partition algorithm (DSP). Their results showed that DSP can detect 82% of the fires using only 20 UAVs. For unknown fire locations, Harikumar et al. [26] used Levy flight and Brownian search methods to detect fire points in complex environments, proposing a distributed control law to asymptotically track expected time-varying angular displacements. Alsammak et al. [27] established a fire detection model based on an improved random walk algorithm, considering factors such as collision avoidance and UAV flight range. In actual firefighting applications, UAVs should first take off from the appropriate station and then go to the fire area. In order to meet the requirements of reaching the fire area as soon as possible, the path needs to be optimized to obtain the best route and then avoid collisions and complex environmental threats. Shi et al. [28] proposed a multiple swarm fruit fly optimization algorithm to solve the coordinated path planning problem for multi-UAVs. The results showed that the proposed MSFOA is superior to the original FOA in terms of convergence and accuracy. Madridano et al. [29] established a multi-layer control system incorporating global path planning related to sampling, obstacle detection, and autonomous decision-making. This system allowed UAV swarms to autonomously navigate during firefighting missions in urban or forest environments. Çoğay et al. [30] proposed a path-planning model that minimizes UAV energy consumption while maximizing fire coverage. And some constraints, including UAV flight safety altitude, flight times, and energy usage, were also considered. Lin et al. [31] demonstrated a topologically-based vertical decomposition method to simulate the dynamic forest fire environments, aiming to reduce spatial complexity, where the terrain slopes and UAV speed were considered with an improved particle update mechanism to prevent local optima in path planning. Xu et al. [32] applied a Gaussian Mixture Clustering algorithm to cluster forest fire high-risk areas and assigned UAV paths applying a circular self-organizing mapping method. Fan et al. [33] proposed a path-planning method based on improved long short-term memory (LSTM) network prediction parameters, which could weaken or avoid the impact of dynamic threats such as wind and extreme weather on the real-time path of a UAV swarm.
In order to achieve better fire suppression, it is necessary to optimize the allocation according to the payload of extinguishing agents and UAV resources. Chen et al. [34] incorporated some factors related to fire edge suppression, burn unit continuity, and wind direction into a rescue algorithm for allocating firefighting aircraft during forest fire rescue operations. Zhang et al. [35] introduced a forest fire spread cellular automaton model to simulate dynamic fire spread and rescue operations and proposed an aircraft task allocation model based on the dynamic characteristics of forest fire rescue. Wu et al. [36] estimated wildfire spread and economic losses and used the model to determine the minimum number of UAVs needed for wildfire preparation in specific areas. Chen et al. [37] proposed a dynamic task allocation scheme based on global information to minimize task completion time, ensuring that each reassignment reduces completion time. To solve the real-time complex mission-planning problem for Multiple heterogeneous UAVs in dynamic environments, Zhang et al. [38] proposed a dynamic task generation mechanism by effectively adapting the Consensus-Based Bundle Algorithms (CBBA) under the constraints of task timing, limited UAV resources, diverse types of tasks, dynamic addition of tasks, and real-time requirements. And the partial task redistribution mechanism has been adopted for achieving the dynamic task allocation.
For the application of multiple UAVs or UAVs Swarms, they will work together, communicating with each other and assisting other members of the group in tasks to accomplish goals [22,23,25,26,27,28,33,38,39,40,41]. The UAV Swarms are also a particular type of multiple UAV system and are closely related to the Swarm Intelligence (SI) approach, which discusses how to self-coordinate large groups of homogeneous and relatively simple UAVs and to make them collaborate in conducting firefighting tasks [23]. Rosalie et al. [39] proposed novel mobility models for multi-level swarms of collaborating UAVs used for the coverage of a given area. These mobility models generate unpredictable trajectories using a chaotic solution of a dynamical system. Empirical evidence of the improvement of the coverage efficiency obtained by the new mobility models was provided via simulation. Innocente and Grasso [40,41] were the earlier ones to focus on the application of UAV swarms to forest fire fighting, and they proposed an efficient physics-based model of fire propagation and a self-organization algorithm for swarms of firefighting drones are developed and coupled with the collaborative behavior based on a particle swarm algorithm adapted to individuals operating within physical dynamic environments of high severity and frequency of change. Numerical experiments demonstrate that the proposed self-organizing system is effective, scalable, and fault-tolerant, comprising a promising approach to dealing with the suppression of wildfires. To ensure the completion of firefighting tasks, fire extinguishing performance is also one of the key factors. Chen et al. [42] introduced a spatiotemporal trust-aware evaluation model and a priority graph-guided scalable scheduling model to coordinate multiple UAVs for forest fire suppression in a dynamic environment. Water, as an effective fire suppressant, plays an important role in controlling forest fire spread. Hansen [18], applying the law of energy conservation, calculated the critical water flow rates required under different conditions resulting from the heat release rate per unit length of the fire front. Penney et al. [43] calculated the critical water flow rates for extinguishing large wildfires. And the factors of forest fuel loads, environmental conditions, and fire front depth were considered in the system. Ausonio et al. [44] applied UAVs to spray continuous streams of firefighting agents on the fire line as rainfall effects, thereby determining the critical flow rates for suppressing wildfires over specific areas. Wang et al. [45] analyzed the process of crown fire spread and proposed a forest fire rescue strategy based on variable fire suppression rates. John et al. [46] conducted an information-driven search and divide-and-conquer control method based on multi-branch collaboration, utilizing UAV swarm dynamic characteristics to reduce detection and suppression times.
In summary, the forest fire should be extinguished as quickly as possible in its early stages concerning the strategic goal of emergency response. Although various UAV-based forest fire monitoring and suppression methods have been proposed, most studies assume that the known fire location area is fixed and rarely consider the dynamic nature of fire spread. Since early fire points in forest fires are mostly hidden, it is crucial to incorporate search methods for unknown fire points. While existing research on unknown target search primarily focuses on the search process, there is still a lack of comprehensive consideration of UAV-based fire detection and suppression. In addition, the resource limitation will directly determine whether the firefighting task plan can be formulated and whether the firefighting task can be completed. Therefore, this paper explores the multiple UAV swarms adaptive information-driven collaborative search (MUSAIDCS) strategy and the problem of allocating limited firefighting resources based on dynamic fire spread.
- First, the complex three-dimensional (3D) spatial information is simplified into two-dimensional (2D) planar data through dimensionality reduction;
- In the search for unknown fires, the UAV swarms will move to the location where the highest temperature gradient is detected by the cluster members and exchange environmental information through direct communication with other drones. The combination of Levy step length and Brown step length is adopted to change the step size. A step-length correction factor based on temperature variations is introduced, adapting the search step length according to environmental temperature gradients to accelerate the search process. And then, an adaptive information-driven collaborative search model for UAV groups based on information sharing is established. Here, collaborative means that the UAVs actively share information, allocate tasks dynamically, and make decisions based on both individual capabilities;
- Based on the principle of energy conservation and the critical water flow calculation method, a critical flow correction factor was introduced to establish the firefighting model. This factor allows the adjustment of the critical water flow rate to a saturation value according to actual conditions, ensuring complete extinguishment or effective containment of fires;
- A multiple UAV swarms collaborative firefighting model considering resource constraints is developed using an emergency bidding-joint awarding algorithm. This model accounts for the limited extinguishing resources carried by a single UAV. UAVs assess their remaining extinguishing agent capacity and summon nearby UAVs with sufficient resources to participate in firefighting when their own resources are insufficient. This mechanism ensures effective collaboration and efficient resource utilization during firefighting efforts, addressing scenarios where a single UAV cannot extinguish a fire independently. Simulations were conducted to verify the feasibility and effectiveness of the model, and comparisons with traditional search strategies were performed. The result shows that the proposed method can reduce the search time and task completion time compared with traditional search strategies;
- The impacts of UAV load and bee population on fire suppression effectiveness were discussed and analyzed. The results demonstrate that the increase in the effective payloads and swarm size of UAVs can improve task efficiency and fire suppression performance.
The remainder of the paper is organized as follows: Section 2 describes the problem definition and establishes different models. Section 3 proposes the UAV swarm collaborative firefighting strategy, the UAV swarm information-driven collaborative search model, and the collaborative firefighting model considering resource constraints. Section 4 presents the case analysis. Section 5 concludes the paper and discusses future research directions.
2. Problem Definition and Formulation
In the context of dynamically spreading forest fires, the key to rapidly extinguishing fires with limited UAV resources lies in the quick detection of unknown fire spots. Once a fire spot is detected, decisions could be made based on the fire’s development trend, considering available resources comprehensively. As shown in Figure 1, when multiple fires occur in a forest, multiple UAV swarms are deployed to perform search and fire suppression tasks within the area. First, the UAV swarms will locate unknown fire spots. After detecting the location and obtaining the fire’s profile, the required number of firefighting agents is calculated. If a single UAV swarm does not carry sufficient firefighting agents, an alliance with other swarms is formed under certain conditions to release enough agents to completely extinguish the fire.
Figure 1.
Schematic diagram of UAV swarms performing search and firefighting tasks.
Assuming there is an area in two-dimensional (), the number of UAV swarms is denoted as , the set of UAV swarms is , where . Let the UAV swarm has number of UAVs. The set of UAVs in swarm is , where . Each UAV carries (kg) of firefighting agent. It is assumed that the fire spots encountered by the UAVs are low-intensity surface fires, with the number of fire spots known but the exact location and size unknown. Let number of unknown fire spots in the area and the fire spot profile be simplified to an elliptical shape. Let the center of the -th fire spot be denoted as , where . The boundary position of the -th fire spot is denoted as , and the major and minor axes of the elliptical fire spot are represented by and , respectively. The fire spot profile gradually expands outward as the fire spreads. The spread rate of the fire is related to factors such as the type of combustible materials, the amount of fuel in the affected area, terrain, and wind speed. To prevent low-intensity surface fires from escalating into more hazardous high-intensity crown fires, it is crucial to detect fire spots early in the initial development phase and allocate resources appropriately to extinguish them. The relevant models are detailed in subsequent sections.
2.1. UAV Swarms Model
In the current study, all UAVs are assumed to be homogeneous and belong to the multirotor category with conventional cooperative control methods of inner loop velocity control and outer loop position control [26,46]. All the UAVs are assumed to be flying at a constant altitude and keep a constant speed in the search process. The variation of velocity and angular velocity of UAVs were not considered. The outer loop controls the flight position and attitude of the UAVs. The UAVs’ position-to-velocity reference feedback is used for collision avoidance, waypoint navigation during search, and formation control. For the kinematic model of the UAVs, let the position of the -th UAV in the swarm at time be , where UAV just moves along the x-axis and y-axis. The mathematical model governing the motion of UAVs is given by a first-order system as
where and are the velocities of the -th UAV in and directions at time , respectively; and are the reference velocities in the and directions at time ; and represents the pole of the first-order approximation. The heading angle of the UAV is indirectly controlled by the x and y components of the velocity of the UAV.
Let denote the reference trajectory’s position and be the velocity of the reference trajectory. The reference trajectory velocity inputs to UAV are given by the following:
where is the flight speed (), is a constant (), and is the tracking error vector. It should be noted that during the search phase of the mission, the UAV moves from one waypoint to another sequentially in the search space. and during the search phase, the waypoints are generated sequentially. The detailed model can be seen in the References [26,46].
Firefighting UAVs operate collaboratively in swarms, with each UAV in a swarm flying freely within the swarm’s boundary. During the search process, when a UAV is about to cross the boundary, the kinematic model will adjust the UAV’s position in the opposite direction to amend its trajectory and update its reference trajectory. The boundary of each swarm is a circle with a fixed size. Each UAV is attracted by the center of the swarm to ensure that UAVs do not stray from the group. It is assumed that the center position coordinate of each swarm () represents the average position coordinate of all UAVs within the swarm. The swarm center position coordinate is expressed as follows:
where represents the position of the -th UAV in swarm . Each UAV within the swarm must not exceed the boundary of the swarm, and to prevent collisions, a certain safety distance between each UAV within the swarm must be maintained, which can be expressed as follows:
where is the radius of the swarm boundary and is the safety distance between each UAV in the swarms.
2.2. Fire Spread and Detection Model
The spread of surface fires in forests depends on the fire spread rate. Considering the fire scene prediction accuracy and computational workload, this study uses the fire line intensity and spread to construct an empirical fire spread model. According to the Byram relationship [18], the Fireline intensity can be expressed as a function of the flame length . In the case of low-intensity surface fires, the relationship between Fireline intensity and flame length is given by the following:
where and are coefficients that depend on the available fuel content. Assuming the fire spreads in a circular or elliptical shape, the spread rate of the surface fire (m/s) can be expressed as:
where represents the effective combustion heat (kJ/kg) and is the mass of available fuel per unit area (kg/m2). According to Reference [18], = 259.833, = 2.174, = 18,600 kJ/kg, = 4 kg/m2.
The space temperature around the fire spot will gradually decrease from the fire center outward. UAVs equipped with temperature and thermal imaging sensors are employed for fire detection. The temperature sensor is used to perceive the variation of environment temperature , guiding the UAVs toward the direction of the highest temperature gradient to locate the fire spot. The thermal imaging sensor delineates the specific profile and position of the fire. The probability that the -th UAV in swarm detects the -th fire spot is expressed by a Gaussian probability distribution function:
where is the distance between the -th UAV in swarm and the Fireline boundary of the -th fire spot, and is the standard deviation of the sensor range. When the detection probability of the UAV exceeds a certain threshold , it represents that the UAV has detected the fire. After the fire detection, the swarm members start extinguishing the fire, according to the sensed fire profile and fire extinguishing model.
2.3. Fire Extinguishing Model
Water is one of the most common extinguishing agents, widely utilized owing to its low cost, high availability, and effective suppression properties. In the present study, the fire extinguishing model based on the critical water flow rate is established and embedded in the UAV firefighting strategy. The critical water flow rate required for extinguishing each fire spot is estimated, which depends on the intensity of the fire line. Based on fire spot theory [18,44], the energy balance criterion can be established as follows:
where denotes the combustion rate per unit area at the critical point, represents the fraction of convective heat loss in flame extinguishing process, (kJ/kg) is the heat of vaporization of the fuel, (kW/m2) is the convective heat transfer coefficient, (kJ/kgK) is the specific heat capacity of air at constant pressure, is the mass fraction of oxygen, and (kJ/kg) is the combustion heat per unit mass of oxygen consumed. The external heat flux (kW/m2) is expressed as follows:
where is the radiation component per unit length of the fire line, (m) is the depth of the active burning zone of the fire, and is the atmospheric transmittance.
is the surface heat loss (kW/m2) of fire, expressed as follows:
where and represent radiative and convective heat losses, respectively. denotes the emissivity of the fuel, (W/m2 K4) is the Stefan–Boltzmann constant, is the surface temperature of the fuel, and is the ambient temperature.
The heat loss due to water evaporation can be expressed as follows:
where represents the water utilization rate, (kg/m2) is the critical water flow rate, and denotes the enthalpy change of water (kJ/kg). Thus, the critical water flow rate can be expressed by
Since the critical water flow rate is a theoretical calculating value, a correction factor is introduced to improve the safety margin and ensure the completion of firefighting tasks, which is a value larger than 1. The corrected critical water flow rate is defined as follows:
where the value is used in the present study.
Assuming each UAV can carry (kg) of fire extinguishing agent, and the water flow rate discharged from a UAV is (kg/s), the fire extinguishing rate (m2/s) for each UAV can be expressed as:
The time required for each UAV to discharge the extinguishing agent is as follows:
The fire area that can be extinguished by a single UAV is given by the following:
Based on the extinguishing capacity of a single UAV, the extinguishing rate for the -th swarm can be expressed as follows:
The area that can be extinguished by the -th swarm with the discharge of the total extinguishing agent is expressed as follows:
The total fire area that can be extinguished by the UAV swarms at time for the -th fire spot can be expressed as follows:
where is the number of UAV swarms participating in extinguish the -th fire spot, and is the fire area that can be extinguished by the -th swarm at time , which is expressed by
where is the arrival time that the swarm arrives at the -th fire spot, and is the discharging time that the swarm discharges all extinguishing agent at the -th fire spot. The formula for calculating the initial area of the -th fire point at time is expressed as follows:
where is the spread rate of the surface fire. When UAV swarms begin executing fire extinguishing tasks, the fire area will decrease over time due to the application of extinguishing agents. If the UAV swarm’s extinguishing task is completed or interrupted, and the fire is not fully suppressed, the fire will resume spreading. In this case, the fire area increment is determined by the fire propagation speed over the time interval since the interruption.
2.4. Firefighting Performance Model
When forest fires occur, based on the principle of “strike early, strike small, and strike hard”, it is imperative to detect fire spots and extinguish them as quickly as possible. To achieve this goal, the fire search phase should maximize the number of detected fire spots or minimize the search time. In the fire suppression phase, the aim should be to minimize the extinguishing time for detected fire spots. As search time increases, the fire area continues to expand due to the fire spread, which will make firefighting more difficult. Hence, the reduction of search time can provide enough response time for UAVs and then control the fire area. Multiple UAV swarms in cooperative firefighting can improve fire suppression efficiency. However, it should be known that the strategy of multiple UAV swarms concentrated on a single fire spot would lead to resource wastage and then extend the fire detection time due to the decline in the number of UAVs available to detect other fire spots.
Meanwhile, if the fire area is not well controlled, the surface fires can escalate into crown fires and then increase the difficulty of firefighting. Therefore, reasonable allocation of UAV resources is very important to search and extinguish fires and then optimize the UAV scheduling and allocation strategy to maximize the detection efficiency and minimize the expansion of the fire area. A firefighting effect model was proposed to evaluate the total fire suppression efficiency and ability.
Here, is the total area of fire detected at time , presents the total area of fire undetected at time , and is the total time taken to extinguish all detected fire spots [46]. The above parameters at time are expressed as follows:
where is the index set of detected fire positions at time , is the area of the -th fire spot, and is the time taken to extinguish detected -th fire spot.
The firefighting performance can be determined by a multi-objective function with a weighted sum model [46]:
subject to,
where are weighting coefficients for the objective function, with . represents the maximum effective extinguishing time. Choosing appropriate weighting coefficients can effectively balance the task allocation of UAVs, rationally utilize resources, and maximize extinguishing efficiency. It should be noted that the objective function is dynamic in nature due to the variation of fire area with time. Therefore, a stochastic search-based solution is adopted to solve this problem embedded in the collaborative firefighting search algorithm, as seen in Section 3.1 for details.
3. Collaborative Firefighting Strategies for UAV Swarms
The collaborative firefighting strategies consist of two stages: the search and fire extinguishing of fire spots, whose decision-making logic framework is shown in Figure 2. The multiswarm collaborative information-driven search and divide and conquer mitigation control (MSCIDC) proposed by John et al. [46] is referenced, and a new multiple UAV swarms adaptive information-driven collaborative search (MUSAIDCS) is proposed in the present study for faster search of targets, which combines collaborative information-driven initial identification and accurate detection. The swarms will search across the entire area in the direction with the most information to detect potential fire spots and exchange environmental information with other UAVs through indirect communication. When a UAV swarm detects a fire spot, it decides whether to release emergency bidding information to summon nearby UAVs resulting from its remaining extinguishing agent load. Considering the remaining capacity and task completion time, nearby UAV swarms determine whether to go to the fire spot for a joint firefighting mission. The participating UAV swarms adjust their headings to move toward the fire spot. Once they reach the fire spot, the UAV swarms collaborate to extinguish the fire. This inter-group collaborative not only helps to quickly extinguish the fire at the detected spot but also accelerates the overall detection of all fire spots, demonstrating the swarm’s dynamic adaptability.
Figure 2.
Flow chart of collaborative firefighting strategies for multiple UAV swarms.
3.1. Adaptive Information-Driven Collaborative Search Strategy of Multiple UAV Swarms
Multiple UAV swarms adaptive information-driven collaborative search (MUSAIDCS) phase is a two-stage search process depending on the temperature value sensed by the temperature detector, as the ambient temperature varies with the distance between the searching UAV and the fire spot. The target search missions require initial identification and subsequent detection of that. In this paper, it is assumed that each UAV within a swarm operates under a fully connected communication topology, enabling seamless information sharing and efficient task allocation, which represents a form of self-organizing behavior within the UAV swarm. This design ensures that all UAVs have real-time access to global swarm information, enabling coordinated behaviors such as task allocation and collision avoidance. For the communication of swarms, a representative UAV serves the relay node in a swarm and is defined as the first UAV within the communication range to detect the UAVs in the other swarm.
In the first initial identification stage, a coarse search strategy is adopted to accelerate the search process when the temperature value sensed by the temperature is less than the temperature threshold. Conversely, when the perceived temperature exceeds the threshold, it indicates the possible presence of a fire spot, and a more refined search strategy will be used until the confirmation of a fire location. Meanwhile, an adaptive search step length method is introduced, considering the variation in ambient temperature. Figure 3 illustrates the process of the information-driven collaborative search.
Figure 3.
Collaborative search process based on the direction of maximum temperature gradient variation perceived by swarm members. (* represents the UAV member in swarm sk with maximum temperature gradient).
The swarms are desired to move in the direction of the maximum temperature gradient sensed by UAVs in a swarm. The motion of swarms in the maximum temperature gradient direction is attributed to the collaborative behavior of swarm members. Communication between swarm members is essential to maintaining the swarm structure and sharing information about the fires to ensure the collaborative mission. The data shared by the -th UAV in swarm are denoted as , which includes UAV location , remaining extinguishing agent load , ambient temperature , temperature gradient , fire spot detection probability . When , the -th fire spot is detected, the data will be updated as , where the center of the -th fire spot , and the major and minor axes of the elliptical fire spot and are all added, is the heading direction toward the -th fire from the -th UAV. Each swarm member broadcasts the sensed information to all the members in the swarm. Consequently, the overall perceived data by the swarm can be expressed as . The information structure is used by the swarm to push the swarm center toward the desired direction. In the event of a brief communication disruption, this information-sharing method aids the UAV swarm in restoring its structure and continuing its mission.
The member in swarm with the maximum temperature gradient, is defined as follows:
The maximum temperature gradient direction, is defined as the direction of the swarm member having the highest temperature gradient and is used to drive the swarm in the maximum temperature gradient direction. The range of waypoints generated for swarm members in the search area is shown as a shaded region. The heading angle range of swarm members depends on the range of waypoints. Therefore, the search space of the swarm members is constrained to the heading angle range. In Figure 3, UAV 1 has a velocity direction toward the fire along the highest-temperature gradient, hence . The search angle for the -th UAV in the -th swarm to generate a waypoint in the maximum highest-temperature gradient direction is
where is obtained from a uniform distribution ranging from to . The angle is determined as
where is he maximum temperature perceived by the swarm. The is the maximum value of , and is the gain of the temperature sensor, which are constants, and [46].
The -th UAV’s waypoint is expressed as follows:
where is the position of the swarm member with maximum temperature gradient direction, and the second term on the right side corresponds to the movement contribution by the random search. is the fixed search step length and is the individual length sampled from the probability distribution function. Here, an adaptive correction factor is introduced as the correction of depending on the variation of temperature, which is expressed by
where = 1.2. Therefore, the waypoints are generated using different probability distribution functions. The swarm members are navigated toward the generated point, and a new waypoint is generated only after reaching the current waypoint.
When the maximum temperature perceived by the UAV swarm is less than the threshold of temperature, the coarse search strategy with a larger search step length will be used, where the Levy distribution is adopted to generate random search contributions, expanding the search range and allowing for the detection of more fire spots in less time. When the maximum temperature perceived by the UAV swarm exceeds the threshold of temperature, a more refined search strategy with a shorter step length is used, where the Brownian distribution is adopted to enable more precise searches in that area to improve search efficiency. in Equation (34) is randomly sampled from the normal distribution .
3.2. Collaborative Fire Extinguishing Strategy Considering Resource Constraints
In multiple UAV swarms firefighting missions, efficient allocation under limited firefighting resources is crucial in actual forest firefighting, which can not only enhance firefighting efficiency and maximize resource utilization but also reduce economic losses, protect personnel safety, and preserve the ecological environment. To achieve effective allocation and optimal utilization of resources, UAV swarms must be capable of self-organization to achieve coordination and interaction with each other, with the aim to perform firefighting tasks effectively upon detecting fire spots. After fire detection, UAV swarms will first calculate the required loads of firefighting agents to extinguish the fire based on the firefighting model in Section 2.3 and Section 2.4. If the loads are sufficient, the UAV swarms continue to execute the firefighting task. If a single UAV swarm cannot meet the required loads, an emergency bidding algorithm is employed to enlist the other qualified UAV swarms for joint firefighting. To ensure the UAV swarm’s firefighting load can adequately cover potential fire spread during the travel time to the fire spot, this study incorporates a redundancy factor in the required firefighting agent load, corresponding to the value of in Equation (15). Specifically, a redundancy multiplier of 1.2 is assumed. In addition, it should be noted that the model of swarm behaviors in the fire suppression phase is simplified to avoid the complexities associated with individual UAV dynamics and control strategies, where the fire can be suppressed by meeting the calculated critical flow rate of the UAV swarm.
The specific steps of a collaborative fire-extinguishing strategy steps are as follows:
Step 1: The UAV swarm performs an information-driven collaborative search.
Step 2: The remaining total firefighting agent capacity and corresponding fire source information are collected by the swarm to determine if mission conditions are met. The renewal formula for the remaining load of the -th UAV swarm at the time for extinguishing the -th fire spot is .
Step 3: If the UAV swarm’s total firefighting agent capacity exceeds the required loads, it is capable of independently executing the mission. Otherwise, an emergency bid is issued. The amount of extinguishing agent required at the -th fire spot is expressed as: , where is the fire area that is unextinguished at the time .
Step 4: After entering the emergency bidding process, information on bidding UAV swarms within communication range is ranked, resulting from their estimated mission completion time.
Step 5: UAV swarms meeting the mission requirements are selected, and the call-to-action is sent, updating their status and adding them to the mission execution.
Step 6: If all tasks are assigned, the mission is executed; if tasks remain unassigned, the process returns to Step 2.
Step 7: When a UAV swarm’s firefighting agent is exhausted, emergency bidding is triggered to evaluate available resources and reallocate tasks.
The pseudo-code for the collaborative firefighting model algorithm considering resource constraints is shown in Algorithm 1.
| Algorithm 1: Collaborative fire extinguishing strategy considering resource constraints | |
| 1 | for do |
| 2 | Calculate the firefighting agent capacity required at the fire spot |
| 3 | if total remaining firefighting agent capacity of UAV swarm (), > the amount of extinguishing agent required by fire spot, then |
| 4 | UAV swarm to put out fire spot |
| 5 | Removes fire spot that can be extinguished from the collaborative firefighting sequence |
| 6 | else then |
| 7 | Issue emergency bidding information |
| 8 | Enter emergency bidding |
| 9 | In the communication range , the bidding UAV swarm information is sorted according to the completion time of the task. |
| 10 | if UAV swarms that meet the mission conditions can cover the fire area, i.e., > then |
| 11 | Issue a call command. |
| 12 | Select the UAVs that meet the task conditions to join the task execution. |
| 13 | Removes fires that can be extinguished from the collaborative Firefighting sequence |
| 14 | else |
| 15 | Emergency tenders continue to be issued. |
| 16 | end if |
| 17 | end if |
| 18 | end for |
4. Case Analysis
In forest fire response, effective resource allocation and utilization are essential. As an emerging technological approach, multiple UAV swarms collaborative firefighting offers flexibility and efficiency, but its performance is limited by factors such as load capacity and swarm size, which directly impact Firefighting efficiency and task effectiveness. Therefore, understanding how these constraints affect UAVs’ collaborative capabilities is valuable for optimizing firefighting strategies, improving response speed, and effectively controlling fires.
To validate the proposed multiple UAV swarms collaborative firefighting strategy considering dynamic forest fire spread and resource constraints, a series of simulations are conducted, and the results are analyzed and discussed. The simulation scenario is shown in Figure 4, where a 1500 m × 1500 m forest area with four active surface fire spots was used, and the fire spots include two elliptical and two circular in shape with different sizes, where the initial fire size is ranked by Fire1 > Fire3 > Fire4 > Fire2. The coordinates and sizes of the fire sources are presented in Table 1. UAVs are configured to fly at a speed of 12 m/s. It is assumed that the fire will not rapidly spread for 5 s after the firefighting agent release due to the suppressive effect. The initial location of the UAV swarm is distributed evenly within 200 m of the edge of the area.
Figure 4.
Simulation scenario diagram of firefighting by UAV swarms.
Table 1.
Fire spots information.
The parameter settings for the multiple UAV swarms collaborative firefighting strategy in high-altitude forest environments are shown in Table 2.
Table 2.
The parameter settings for the multiple UAV swarms collaborative firefighting strategy in high-altitude forest environments.
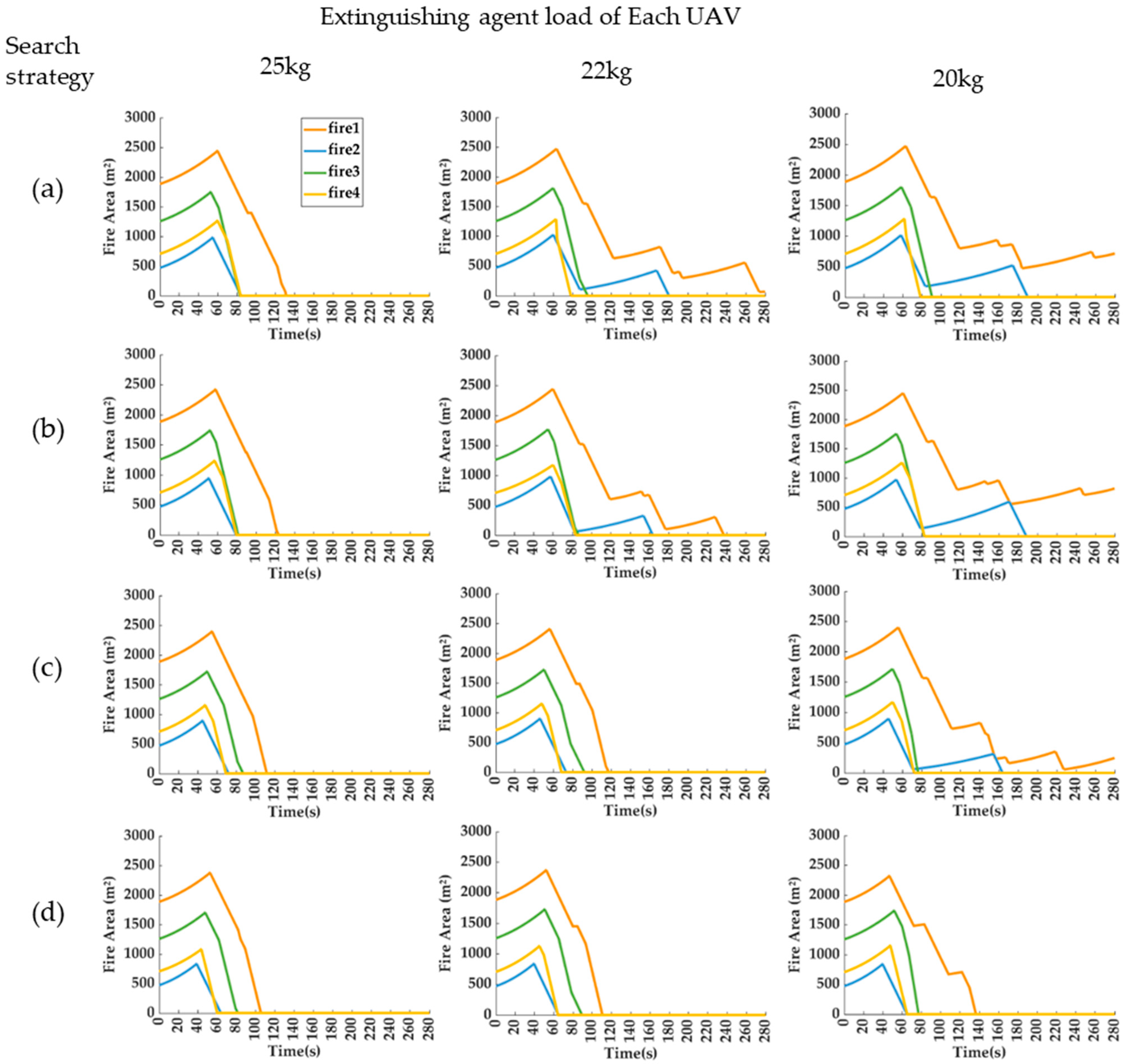
4.1. Analysis of Effectiveness by MUSAIDCS Under Different Loads of Each UAV
To verify the effectiveness of the proposed strategy (MUSAIDCS), this study evaluates key metrics, including fire area variation, search time, the total consumption of load, firefighting completion time, and fire expansion rate (FER), where FER is the ratio of post-mission burnt area to the initial fire area. A comparative analysis with the Levy, Brownian, and MSCIDC random search methods in previous studies is conducted to further validate the advantages of the proposed approach in practical applications. It is assumed that there are eight UAV swarms, and each swarm has five UAVs. The coordinates of the UAV swarm centers are shown in Table 3.
Table 3.
UAV swarm position information.
During the simulation cases, a single simulation and 100 Monte Carlo simulations are conducted with four search strategies. Preliminary studies indicated that the load was insufficient to cover the fire spots entirely for the four search strategies when each UAV carried less than 20 kg of extinguishing agent. The extinguishing agent loads of each UAV with 20 kg, 22 kg, and 25 kg are considered to verify the effects of loads on the fire suppression efficacy. For a single simulation, the variation in fire area over time was recorded, as shown in Figure 5. Here, it should be noted that the fire is not considered successful until all the fires are extinguished, which means all the areas of the four fire spots are reduced to zero.
Figure 5.
The variation of fire area over time under different firefighting strategies: (a) Brownian search; (b) Levy search; (c) MSCIDC; (d) MUSAIDCS.
From Figure 5, it can be observed that the fire area first increases to a maximum value in the search and detection stage of four fire spots and then decreases once the fire extinguishing starts until the task is accomplished in the fire extinguishing stage. Due to the difference of different search strategies, the maximum total fire areas are different, which is about 6441.71 m2 (Brownian), 6347.67 m2 (Levy), 6178.34 m2 (MSCIDC), and 5994.93 m2 (MUSAIDCS). This indicates that the proposed strategy in the present study has the lowest fire area, corresponding to the shortest search time. With the decrease in load quantity for each UAV, the fire extinguishing time will extend, and some cases of fire suppression failure occur. For example, the Brownian search was performed under each UAV load of 22 kg, and the Brownian search, Levy search, and MSCIDC were performed under each UAV load of 20 kg. At this time, the flame area will continue to increase, and the fire situation will be out of control.
The data of task completion time, FER, remaining load quantities, and the total consumption of load were also collected, as shown in Table 4. For each UAV load of 25 kg, the Task completion time, FER, and the total consumption of load all decrease for the search method from Brownian to MUSAIDCS, which indicates that the resource of UAV payload is sufficient for firefighting and the proposed strategy is better than the other methods. When the payload per UAV reduces to 22 kg, it can be seen that the fire extinguishing failed for the Brownian search, and the task completion time increases to 237.01 s for the Levy search, which is about twice in the case for a payload of 25 kg, but the total consumption of the loads increases slightly. For the MSCIDC and MUSAIDCS search strategy, the task completion time only increases by about 5–7 s, and the total consumption of the load increases slightly for MUSAIDCS but decreases slightly for MSCIDC. In the case of 20 kg for UAV load, it can be seen that only the MUSAIDCS search strategy has successfully extinguished the fire spots. The task completion time increases by about 26 s and the total consumption of the load keeps the same compared with the case for a payload of 22 kg. The Brownian, Levy, and MSCIDC strategies exhausted all extinguishing agents at 258.76 s, 248.13 s, and 227.38 s, respectively. These findings verify the adaptability and superiority of the MUSAIDCS strategy in resource-limited environments, enabling UAV swarms to maintain high firefighting efficiency under lower load conditions and effectively control fire spread. Overall, the MUSAIDCS strategy exhibited excellent fire control performance across different load scenarios, particularly in resource-limited conditions, and it can provide valuable insights for optimizing resource allocation in practical applications.
Table 4.
Performances comparison of different search strategies under different load quantities.
For the MUSAIDCS search strategy, the results of different load conditions per UAV indicate that the task completion time for the case of 25 kg is reduced respectively by 22.65% and 4.59% compared with the cases of 20 kg and 22 kg. This result indicates that the extinguishing agent load has one critical impact on firefighting efficiency, and appropriately increasing the load can improve firefighting efficiency. Additionally, the difference in the total consumption of the load is relatively smaller, but the differences in remaining extinguishing agent loads are notable under various conditions. The remaining extinguishing agent for cases of 25 kg is about 303.75 kg and exceeds four times the value for the case of 20 kg, which is about 68.34 kg. This indicates that a higher load not only improves firefighting efficiency but also preserves more extinguishing resources post-mission. This finding highlights how a larger extinguishing agent load can significantly enhance UAVs’ emergency response capabilities and adaptability. It would allow for more effective responses to potential new fires while optimizing the UAV system’s resource utilization and sustained operational capacity.
The above results give the total firefighting performance under different payloads per UAV, but fire suppression is accomplished by multiple UAV swarms, and the performance of each swarm can more accurately reveal the impact of load on collaborative fire suppression. Further analysis of the impact of load quantity on multiple UAV swarms collaborative firefighting was conducted for the MUSAIDCS strategy. In terms of load distribution, the allocations of extinguishing agents under different load conditions are shown in Table 5, Table 6 and Table 7 in detail. For a 20 kg load, the UAV’s firefighting capacity is limited, resulting in the occurrence of insufficient load at task completion to accommodate sudden fire adjustments. As load increases, the UAV’s firefighting capacity improves, leaving sufficient remaining load after mission completion to handle unexpected fire spots.
Table 5.
Each UAV carries a 20 kg fire extinguishing agent load distribution sheet.
Table 6.
Each UAV carries a 22 kg fire extinguishing agent load distribution sheet.
Table 7.
Each UAV carries a 25 kg fire extinguishing agent load distribution sheet.
Figure 6 visually illustrates the progress of collaborative UAV firefighting tasks. It is clear that task completion time gradually decreases with the increase in load. This should be attributed to the extended suppression duration provided by higher loads, leading to more opportunities for multiple UAV swarms to collaborate effectively. When several UAV swarms work together on the same fire spot, their combined effect significantly reduces suppression time, boosting overall firefighting efficiency.
Figure 6.
Time progress bar of collaborative UAV firefighting tasks under different loads by each swarm: (a) 20 kg; (b) 22 kg; (c) 25 kg.
In summary, the amount of extinguishing agents carried not only impacts UAV firefighting efficiency and mission completion time but also directly affects the UAVs’ capacity to handle sudden situations. Therefore, UAV extinguishing loads should be allocated based on fire scale and characteristics to optimize firefighting strategy and improve emergency response effectiveness in practical applications.
A single simulation represents the result of a specific case, while multiple simulations are better at capturing statistical performance characteristics. To further evaluate the performance of the proposed search strategy, 100 Monte Carlo simulations are conducted for the case of 25 kg load per UAV to calculate the average search time, task completion time, and FER for different search strategies, as summarized in Table 8. A box plot in Figure 7 visually compares the performance of each strategy across multiple simulations. It can be observed that the Levy search outperforms the Brownian search among single-step-length searches. This is mainly caused by the non-uniform distribution of fire spot coordinates in the simulation, where Levy search demonstrates better flexibility and adaptability to irregularly distributed fire spots. Compared to single-step-length searches, MSCIDC and MUSAIDCS show significant advantages in average search time, task completion time, and FER. MUSAIDCS can respectively reduce average search time by 17.94%, 20.82%, and 5.04%, average task completion time by 15.47%, 20.25%, and 7.65%, and FER by 6.59%, 7.65%, and 4.99%, compared to the Levy, Brownian, and MSCIDC strategies. These results highlight the clear advantages of MUSAIDCS in quickly identifying fire spots and controlling fire spread.
Table 8.
Performance comparison of different search strategies.
Figure 7.
The box plot results under different search strategies: (a) search time; (b) task completion time; (c) FER.
The strength of MUSAIDCS lies in its innovative combination of multiple search strategies and dynamic step-length adjustment based on temperature variation. This adaptive mechanism allows UAVs to respond more flexibly to changes in fire conditions across different environments and improve search efficiency and emergency response speed can also be improved accordingly.
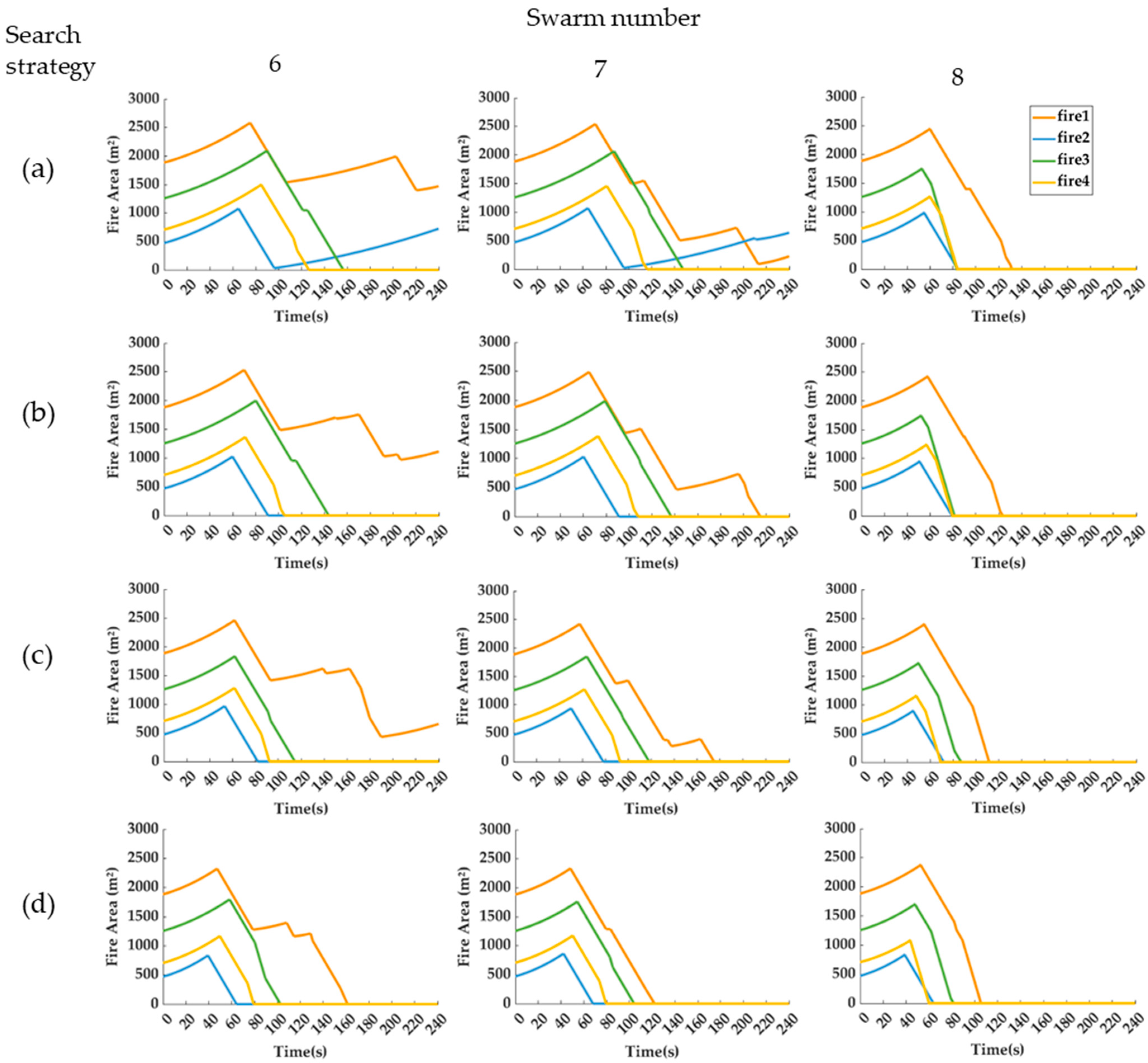
4.2. Analysis of Effectiveness by MUSAIDCS Under Different UAV Swarm Number
To explore the impact of varying swarm numbers on task performance, each UAV was set to carry a 25 kg load of extinguishing agent. Experiments were conducted with configurations of 6, 7, and 8 UAV swarms (each swarm consisting of 5 UAVs), involving both a single simulation and 100 Monte Carlo simulations. To minimize the impact of fixed initial positions on the results, swarm center positions were randomly generated within a 200-meter range along the area boundary. The change in fire area over time is illustrated in Figure 8, and the comparative performance of each configuration is detailed in Table 9.
Figure 8.
Change of fire area over time under different swarm numbers: (a) Brownian search; (b) Levy search; (c) MSCIDC; (d) MUSAIDCS.
Table 9.
Performances comparison of different number swarms.
As shown in Figure 8 and Table 9, all swarm configurations with eight groups successfully completed the firefighting task across all search strategies. However, the information-driven collaborative search strategy proposed here achieves significantly shorter task completion times and effectively contains fire spread within a smaller area. In the 7-swarm configuration, the Brownian search strategy was unable to fully suppress fire spread, whereas the 6.13-fold and 1.79-fold increases in the remaining payload are respectively observed in the proposed strategy compared to the Levy search and MSCIDC. Task completion time is also accordingly reduced by 43.51% and 30.34%, with fire expansion rate (FER) reductions of 10.16% and 8.18%. In the 6-swarm configuration, only the proposed strategy completes the task and remains with 4.36 kg of firefighting agent, while the other three strategies failed to achieve full fire suppression. For the MUSAIDCS search strategy, the results of different swarm numbers indicate that the task completion time under 8-swarms is reduced by 35.34% and 12.98% compared with 6-swarms and 7-swarms. The applicability of the strategy method in this paper is further verified in the case of resource constraints.
Additionally, the results demonstrate a rapid fire spread in the early stages, especially under the 6-swarm configuration, where the fire area increased significantly. This suggests that the efficiency of UAVs in searching large areas and suppressing fires is reduced with fewer swarms, leading to ineffective containment in the initial phase. As the swarm size increased, the slope of the fire area reduction curve steepened, indicating faster fire containment. Particularly with 8-swarms, the steepest curve shows a significant reduction in task completion time. In contrast, fire suppression progress is slower with 6-swarms, resulting in longer task completion times and lower containment efficiency. This is likely caused by unlocated or untreated fire spots expanding the total fire area.
The proposed search strategy stands out in performance. Table 7, Table 10 and Table 11 record firefighting agent allocation across different swarm configurations. With only six swarms, limited group numbers extended search times for certain fire spots, thus forming larger fire zones. Additionally, when a single swarm could not independently complete the task, it became challenging to summon sufficient support, causing the fire area to expand further and increasing the demand for firefighting agent payload. Figure 6c and Figure 9 visually illustrate the progress of collaborative UAV firefighting tasks. It is clear that task completion time gradually decreases as the swarm number increases. This is due to the fact that the larger the number of swarms, the higher the total load of UAV swarms, and then the firefighting efficiency will be enhanced.
Table 10.
Six swarms—each UAV carries a 20 kg fire extinguishing agent load distribution sheet.
Table 11.
Seven swarms—each UAV carries a 22 kg fire extinguishing agent load distribution sheet.
Figure 9.
Time progress bar of collaborative UAV firefighting task under different swarm numbers: (a) 6-swarms; (b) 7-swarms.
To further assess swarm size effects, the proposed strategy with a 25 kg payload per UAV is applied; 100 Monte Carlo simulations were conducted across the three swarm configurations to calculate the average search time, task completion time, and FER for each strategy. The results are summarized in Table 12. For clearer comparison across configurations, a box plot in Figure 10 shows the performance distribution for each strategy across multiple simulations.
Table 12.
Performance comparison under different UAV swarm number configurations.
Figure 10.
The box plot results under different UAV swarm numbers: (a) Search time; (b) Task completion time; (c) FER.
Table 12 shows that the 8-swarm configuration reduces the average search time by 16.41% and 7.16% and the average task completion time by 29.85% and 8.67% compared with the 6- and 7-swarm configurations, respectively. These results demonstrate that the increase in the swarms number significantly improves firefighting efficiency. With fewer swarms, the ability to suppress individual fire points becomes weakened, resulting in longer detection times for individual points and insufficient area coverage and response capability. In turn, this leads to undetected fire points expanding with a higher fire expansion rate (FER). More swarms enhance the efficiency of fire point detection and suppression; it not only enables faster containment of fire spread but also allows effective control over the fire area before other swarms arrive; thus, the overall task completion time would be shortened. It should be noted that certain fire points remained uncovered in the case of only six swarms. This may result from both the limited number of swarms and the random generation of UAV positions, leading to longer search times for certain fire points and continuous expansion of undetected fire areas; thus, larger fires would eventually develop. In practical scenarios, an optimal distribution of initial search positions for each swarm should be carefully considered to enhance search efficiency.
5. Conclusions
To address the efficient search and suppression needs for forest fires, this study proposes multiple UAV swarms adaptive information-driven collaborative search (MUSAIDCS) algorithm and the resource-limited firefighting model. First, a combined Levy and Brownian search method based on sensor data is introduced. And a temperature-driven variable step-length search strategy was proposed to improve the accuracy of the fire source location. Second, a critical water flow calculation method is considered to accurately estimate the extinguishing agent payload required for firefighting based on the ignition point theory and energy balance criteria. Third, an emergency bidding algorithm is employed to summon qualified UAV swarms to perform collaborative firefighting tasks, and a dynamic allocation model relating to resource constraints is established to ensure optimal resource distribution.
To evaluate the effectiveness and adaptability of this strategy, this study systematically analyzes the influence of payload and swarm number on task completion efficiency under resource-constrained conditions through a series of simulation experiments. The results show that the temperature change-driven variable step-length search significantly reduces task completion time. For the case of a 25 kg load quantity per UAV, the MUSAIDCS search strategy can reduce average search time by 17.94%, 20.82%, and 5.04%, average task completion time by 15.47%, 20.25%, and 7.65%, and FER by 6.59%, 7.65%, and 4.99%, compared to the Levy, Brownian, and MSCIDC strategy.
The Increasing in UAV payloads and swarm number effectively improves task efficiency and fire suppression performance, confirming the critical role of swarm number and resource-carrying capacity in UAV collaborative operations. For the MUSAIDCS search strategy, the task completion time under 25 kg was reduced by 22.65% and 4.59% compared to 20 kg and 22 kg loads. The 8-swarm configuration can reduce the average search time by 16.41% and 7.16% and the average task completion time by 29.85% and 8.67% compared with the 6- and 7-swarm configurations, respectively.
The simulation results demonstrate the high collaboration ability of UAVs during the fire detection and suppression process, providing important references for future resource allocation and task distribution in UAV firefighting missions in complex environments. This research offers new insights into the application of multiple UAV swarm collaboration in disaster management and ecological protection. By optimizing resource allocation and collaboration mechanisms, UAV systems can achieve high collaboration efficiency under limited resources and demonstrate their potential for application in dynamic and complex environments.
However, the current study adopts relatively simple and idealized control and communication mechanisms for UAV coordination, which may not fully represent the challenges of real-world applications. Future work could explore more advanced control systems and robust communication protocols to address these challenges effectively. The impacts of environmental factors related to wind speed, direction, fire smoke, and terrain changes on multiple UAV swarms' collaborative firefighting strategies could be further explored to enhance the system’s adaptability and stability in real-world scenarios. Moreover, the constraints of individual UAVs’ firefighting capabilities should be considered to explore multi-agent collaborative strategies using various firefighting methods, with the aim to further improve the fire response efficiency of multiple UAV swarm systems.
Author Contributions
Conceptualization, P.Z., R.S. and Q.S.; methodology, P.Z. and R.S.; software, R.S. and Z.X.; validation, R.S. and P.Z.; formal analysis, R.S., Y.G. and J.Z.; investigation, R.S., P.Z. and J.Z.; resources, P.Z. and Q.S.; data curation, R.S. and Z.S.; writing—original draft preparation, R.S. and Z.X.; writing—review and editing, R.S., P.Z. and J.Z.; visualization, R.S., Y.G. and J.Z.; supervision, P.Z.; project administration, P.Z.; funding acquisition, P.Z. All authors have read and agreed to the published version of the manuscript.
Funding
This research was funded by the National Natural Science Foundation of China, grant numbers 52202416 and U2233208, Opening Fund of Key Laboratory of Civil Aviation Emergency Science & Technology (CAAC), Nanjing University of Aeronautics and Astronautics, grant number NJ2022022, Jiangsu Funding Program for Excellent Postdoctoral Talent.
Data Availability Statement
The original contributions presented in this study are included in the article. Further inquiries can be directed to the corresponding author.
Conflicts of Interest
The authors declare no conflicts of interest.
References
- Zacharakis, I.; Tsihrintzis, V.A. Environmental Forest Fire Danger Rating Systems and Indices around the Globe: A Review. Land 2023, 12, 194. [Google Scholar] [CrossRef]
- Haoyang, L.; Du, Z. Study on the development of aerial fire extinguishing munition for forest fires and fire extinguishing tests. Case Stud. Therm. Eng. 2024, 55, 104138. [Google Scholar] [CrossRef]
- Tung, N.; Van, L.; Quang, N. A survey on the effects of bumpy road on the vibration of multi-purpose forest fire fighting vehicle. Eng. Solid Mech. 2021, 9, 291–298. [Google Scholar] [CrossRef]
- Liu, H.; Liu, S.; Tian, Y. Flight Simulation of Fire-Fighting Aircraft Based on Multi-Factor Coupling Modeling of Forest Fire. Aerospace 2024, 11, 267. [Google Scholar] [CrossRef]
- Toscano, F.; Fiorentino, C.; Capece, N.; Erra, U.; Travascia, D.; Scopa, A.; Drosos, M.; D’Antonio, P. Unmanned Aerial Vehicle for Precision Agriculture: A Review. IEEE Access 2024, 12, 69188–69205. [Google Scholar] [CrossRef]
- Hossain, N.U.I.; Sakib, N.; Govindan, K. Assessing the performance of unmanned aerial vehicle for logistics and transportation leveraging the Bayesian network approach. Expert Syst. Appl. 2022, 209, 118301. [Google Scholar] [CrossRef]
- Nex, F.; Remondino, F. UAV for 3D mapping applications: A review. Appl. Geomat. 2014, 6, 1–15. [Google Scholar] [CrossRef]
- Sun, J.; Yuan, G.; Song, L.; Zhang, H. Unmanned Aerial Vehicles (UAVs) in Landslide Investigation and Monitoring: A Review. Drones 2024, 8, 30. [Google Scholar] [CrossRef]
- Liu, C.G.; Liu, Y.; Wu, H.; Dong, R.F. A Safe Flight Approach of the UAV in the Electrical Line Inspection. Int. J. Emerg. Electr. Power 2015, 16, 503–515. [Google Scholar] [CrossRef]
- Gupta, L.; Jain, R.; Vaszkun, G. Survey of Important Issues in UAV Communication Networks. IEEE Commun. Surv. Tutor. 2016, 18, 1123–1152. [Google Scholar] [CrossRef]
- Ollero, A.; Martınez-de-Dios, J.R.; Merino, L. Unmanned aerial vehicles as tools for forest-fire fighting. For. Ecol. Manag. 2006, 234S, S263. [Google Scholar] [CrossRef]
- Sullivan, A.L. Wildland surface fire spread modelling, 1990–2007. 1: Physical and quasi-physical models. Int. J. Wildland Fire 2009, 18, 349–368. [Google Scholar] [CrossRef]
- Sullivan, A.L. Wildland surface fire spread modelling, 1990–2007. 2: Empirical and quasi-empirical models. Int. J. Wildland Fire 2009, 18, 369–386. [Google Scholar] [CrossRef]
- Sullivan, A.L. Wildland surface fire spread modelling, 1990–2007. 3: Simulation and mathematical analogue models. Int. J. Wildland Fire 2009, 18, 387–403. [Google Scholar] [CrossRef]
- Rothermel, R.C. A mathematical Model for Predicting Fire Spread in Wildland Fuels; Technical Report INT-115; USDA Forest Service, Intermountain Forest and Range Experiment Station: Ogden, UT, USA, 1972.
- Guo, Y.; Hu, H.; Hu, T.; Ren, M.; Chen, B.; Fan, J.; Sun, L. Applying and Evaluating the Modified Method of the Rothermel Model under No-Wind Conditions for Pinus koraiensis Plantations. Forests 2024, 15, 1178. [Google Scholar] [CrossRef]
- Fernandes, P.A.M. Fire spread prediction in shrub fuels in Portugal. For. Ecol. Manag. 2001, 144, 67–74. [Google Scholar] [CrossRef]
- Hansen, R. Estimating the amount of water required to extinguish wildfires under different conditions and in various fuel types. Int. J. Wildland Fire 2012, 21, 525–536. [Google Scholar] [CrossRef]
- Finney, M.A. FARSITE, Fire Area Simulator-Model Development and Evaluation; Technical Report RMRS-RP-4; US Department of Agriculture, Forest Service, Rocky Mountain Research Station: Provo, UT, USA, 1998. [CrossRef]
- Finney, M.A.; Ryan, K.C. Use of the FARSITE fire growth model for fire prediction in US National Parks. In Proceedings of the International Emergency Management and Engineering Conference, Nice, France, 9–12 May 1995; pp. 183–189. [Google Scholar]
- McGrattan, K.; Hostikka, S.; Floyd, J.; McDermott, R.; Vanella, M. Fire Dynamics Simulator Technical Reference Guide Volume 1: Mathematical Model; National Institute of Standards and Technology: Gaithersburg, MD, USA, 2020.
- Sadrabadi, M.T.; Innocente, M.S. Enhancing wildfire propagation model predictions using aerial swarm-based real-time wind measurements: A conceptual framework. Appl. Math. Model. 2024, 130, 615–634. [Google Scholar] [CrossRef]
- Alsammak, I.L.H.; Mahmoud, M.A.; Aris, H.; AlKilabi, M.; Mahdi, M.N. The Use of Swarms of Unmanned Aerial Vehicles in Mitigating Area Coverage Challenges of Forest-Fire-Extinguishing Activities: A Systematic Literature Review. Forests 2022, 13, 811. [Google Scholar] [CrossRef]
- Merino, L.; Caballero, F.; Martínez-de-Dios, J.R.; Maza, I.; Ollero, A. An Unmanned Aircraft System for Automatic Forest Fire Monitoring and Measurement. J. Intell. Robot. Syst. 2012, 65, 533–548. [Google Scholar] [CrossRef]
- Tzoumas, G.; Pitonakova, L.; Salinas, L.; Scales, C.; Richardson, T.; Hauert, S. Wildfire detection in large-scale environments using force-based control for swarms of UAVs. Swarm Intell. 2023, 17, 89–115. [Google Scholar] [CrossRef]
- Harikumar, K.; Senthilnath, J.; Sundaram, S. Multi-UAV Oxyrrhis Marina-Inspired Search and Dynamic Formation Control for Forest Firefighting. IEEE Trans. Autom. Sci. Eng. 2019, 16, 863–873. [Google Scholar] [CrossRef]
- Alsammak, I.L.H.; Mahmoud, M.A.; Gunasekaran, S.S.; Ahmed, A.N.; AlKilabi, M. Nature-Inspired Drone Swarming for Wildfires Suppression Considering Distributed Fire Spots and Energy Consumption. IEEE Access 2023, 11, 50962–50983. [Google Scholar] [CrossRef]
- Shi, K.; Zhang, X.; Xia, S. Multiple Swarm Fruit Fly Optimization Algorithm Based Path Planning Method for Multi-UAVs. Appl. Sci. 2020, 10, 2822. [Google Scholar] [CrossRef]
- Madridano, Á.; Al-Kaff, A.; Flores, P.; Martín, D.; de la Escalera, A. Software Architecture for Autonomous and Coordinated Navigation of UAV Swarms in Forest and Urban Firefighting. Appl. Sci. 2021, 11, 1258. [Google Scholar] [CrossRef]
- Çoğay, S.; Seçinti, G. Phoenix: Aerial Monitoring for Fighting Wildfires. Drones 2022, 7, 19. [Google Scholar] [CrossRef]
- Lin, K.; Zhang, L.; Huang, L.; Feng, Z.; Chen, T. Improved Particle Swarm Path Planning Algorithm with Multi-Factor Coupling in Forest Fire Spread Scenarios. Fire 2023, 6, 202. [Google Scholar] [CrossRef]
- Xu, Y.; Li, J.; Zhang, F. A UAV-Based Forest Fire Patrol Path Planning Strategy. Forests 2022, 13, 1952. [Google Scholar] [CrossRef]
- Fan, X.; Li, H.; Chen, Y.; Dong, D. A Path-Planning Method for UAV Swarm under Multiple Environmental Threats. Drones 2024, 8, 171. [Google Scholar] [CrossRef]
- Chen, J.; Luo, Q.; Zhou, Y.; Huang, H. Firefighting multi strategy marine predators algorithm for the early-stage Forest fire rescue problem. Appl. Intell. 2022, 53, 15496–15515. [Google Scholar] [CrossRef]
- Zhang, H.; Liang, Z.; Liu, H.; Wang, R.; Liu, Y. Ensemble framework by using nature inspired algorithms for the early-stage forest fire rescue—A case study of dynamic optimization problems. Eng. Appl. Artif. Intell. 2020, 90, 103517. [Google Scholar] [CrossRef]
- Wu, R.-Y.; Xie, X.-C.; Zheng, Y.-J. Firefighting Drone Configuration and Scheduling for Wildfire Based on Loss Estimation and Minimization. Drones 2024, 8, 17. [Google Scholar] [CrossRef]
- Chen, J.; Guo, Y.; Qiu, Z.; Xin, B.; Jia, Q.-S.; Gui, W. Multiagent Dynamic Task Assignment Based on Forest Fire Point Model. IEEE Trans. Autom. Sci. Eng. 2022, 19, 833–849. [Google Scholar] [CrossRef]
- Zhang, Y.; Feng, W.; Shi, G.; Jiang, F.; Chowdhury, M.; Ling, S.H. UAV Swarm Mission Planning in Dynamic Environment Using Consensus-Based Bundle Algorithm. Sensors 2020, 20, 2307. [Google Scholar] [CrossRef]
- Rosalie, M.; Danoy, G.; Chaumette, S.; Bouvry, P. Chaos-enhanced mobility models for multilevel swarms of UAVs. Swarm Evol. Comput. 2018, 41, 36–48. [Google Scholar] [CrossRef]
- Innocente, M.S.; Grasso, P. Swarms of autonomous drones self-organised to fight the spread of wildfires. In Proceedings of the RSFF 2018 Robust Solutions for Fire Fighting: GEOSAFE Workshop on Robust Solutions for Fire Fighting, L’Aquila, Italy, 19–20 July 2018; pp. 30–39. [Google Scholar]
- Innocente, M.S.; Grasso, P. Self-organising swarms of firefighting drones: Harnessing the power of collective intelligence in decentralised multi-robot systems. J. Comput. Sci. 2019, 34, 80–101. [Google Scholar] [CrossRef]
- Chen, X.; Xiao, Z.; Cheng, Y.; Hsia, C.-C.; Wang, H.; Xu, J.; Xu, S.; Dang, F.; Zhang, X.-P.; Liu, Y.; et al. SOScheduler: Toward Proactive and Adaptive Wildfire Suppression via Multi-UAV Collaborative Scheduling. IEEE Internet Things J. 2024, 11, 24858–24871. [Google Scholar] [CrossRef]
- Penney, G.; Habibi, D.; Cattani, M.; Carter, M. Calculation of Critical Water Flow Rates for Wildfire Suppression. Fire 2019, 2, 3. [Google Scholar] [CrossRef]
- Ausonio, E.; Bagnerini, P.; Ghio, M. Drone Swarms in Fire Suppression Activities: A Conceptual Framework. Drones 2021, 5, 17. [Google Scholar] [CrossRef]
- Wang, S.; Hu, Y. A forest fire rescue strategy based on variable extinguishing rate. Alex. Eng. J. 2021, 60, 1271–1289. [Google Scholar] [CrossRef]
- John, J.; Harikumar, K.; Senthilnath, J.; Sundaram, S. An Efficient Approach with Dynamic Multiswarm of UAVs for Forest Firefighting. IEEE Trans. Syst. Man Cybern. Syst. 2024, 54, 2860–2871. [Google Scholar] [CrossRef]
Disclaimer/Publisher’s Note: The statements, opinions and data contained in all publications are solely those of the individual author(s) and contributor(s) and not of MDPI and/or the editor(s). MDPI and/or the editor(s) disclaim responsibility for any injury to people or property resulting from any ideas, methods, instructions or products referred to in the content. |
© 2024 by the authors. Licensee MDPI, Basel, Switzerland. This article is an open access article distributed under the terms and conditions of the Creative Commons Attribution (CC BY) license (https://creativecommons.org/licenses/by/4.0/).









