Abstract
Difficulty in thrust-matching between the cruise and vertical take-off and landing (VTOL) phases is one of the prominent issues faced by conventional VTOL fixed-wing drones. To address this issue, a propeller-induced lift-enhancing (PILE) biplane wing VTOL configuration is proposed with the goal of lift enhancement on the wing during the no-forward-speed VTOL phase. Numerical simulation methods are used to study and analyze the aerodynamic characteristics of this configuration in the cruise and VTOL phases. The results show that the favorable inducing effect of the propeller makes the PILE configuration have a good effect of increasing lift and reducing drag compared with a single wing of the same area during the cruise phase, improving the lift-to-drag ratio by 7.27%. During the VTOL phase, the optimal tilt angle of the propeller for the PALE configuration is 70°, matched with an installation angle of 5° for the aided wing. This parameter combination balances the total drag while also achieving a lift-to-thrust ratio of 1.12. As a result, the required thrust of the propeller is reduced under the same take-off weight, which helps to alleviate the thrust-matching problem and enables VTOL with a smaller power cost.
1. Introduction
Vertical take-off and landing (VTOL) fixed-wing aircrafts are widely used in military and civilian fields because of their flexible VTOL capabilities as well as the advantage of high flight speed [1]. After nearly seven decades of technological development, a variety of VTOL types have appeared, such as lift–thrust combination type [2], tilt-rotor type [3], tail-sitter type [4], etc. For VTOL unmanned aerial vehicles (UAVs), the lift–thrust combination and the tilt-rotor types are the most common.
For most VTOL aircrafts, their complete flight process can generally be divided into five typical phases: vertical take-off, vertical landing, hovering, transition, and cruise. Although VTOL aircrafts have been utilized widely, the thrust-matching problem [5] between the VTOL and cruise phase has always been one of the prominent issues affecting the VTOL aircraft design. Specifically speaking, VTOL aircrafts do not have forward speed during the VTOL phase, which results in the wings not being able to generate lift. In order to balance the take-off weight, it has to completely rely on the engine to produce upward thrust in the vertical direction. This requires that the thrust-to-weight ratio of the VTOL aircraft theoretically should be equal to 1. However, in actual flight, VTOL aircrafts usually encounter a suckdown effect [5] during VTOL and hovering phases, where the engine exhaust induces a downward flow field around the aircraft, pushing down on the aircraft with a vertical drag force. For this reason, the required thrust-to-weight ratio during the VTOL phase is usually recommended to be no less than 1.05 [6], which means high demands on the thrust and power of the engine. Once the VTOL aircraft is in the steady horizontal flight phase, its wings can generate enough lift to balance its weight. Under the same aircraft’s weight, the higher the lift-to-drag ratio, the smaller the required thrust-to-weight ratio. For a cruise-dominated VTOL aircraft, its lift-to-drag ratio is typically greater than 10, meaning that the required thrust-to-weight ratio at the horizontal flight phase is smaller than 0.1, which is less than 1/10 of that of VTOL phase. It is evident that there is a significant difference in thrust requirements between the VTOL and the cruise phase, leading to difficulties in thrust-matching. In order to satisfy the thrust requirement for all flight phases, conventional VTOL aircrafts are usually installed with high-power engines, which often result in excess power during the cruise phase. This not only adds extra structural weight [7,8] but also causes the engine to operate away from its optimal state for extended periods, leading to a degradation in the aircraft’s performance in terms of range and endurance. The main reason for the problems described above is the failure of the wing to provide lift during the VTOL phase.
In recent years, distributed electric propulsion (DEP) technology [9,10,11] has attracted the interest of researchers. One of the key advantages of this technology is the scale-free characteristic of electric motors, which makes the propulsion system able to be arranged freely and provides designers with new freedom in conceptual aircraft design. The application of the DEP technology to VTOL aircraft is conductive to solving the long-standing problem of thrust-matching. Currently, most of the DEP VTOL vehicles are still in the conceptual design or experimental stage, with notable examples including the NASA GL-10 [12,13], the XV-24 (named the LightningStrike) [14,15], and the Lilium [16] VTOL aircraft.
The XV-24 uses the tilt-rotor method for vertical take-off and landing. In terms of the aerodynamic configuration, it adopts a coupled design of distributed ducted fans and wings [17,18], i.e., the entire wing constitutes the walls of the ducted fans. To achieve VTOL and hovering, the entire wing and the distributed ducted fans tilt downward together by about 90°. At this angle, the lift of the entire aircraft is provided not only by the fans, but also the duct (i.e., the wing) itself is able to generate lift, which is induced by the fans [19]. Therefore, in the total lift composition of this drone, there is both the direct lift provided by the fans and the induced lift provided by the wings.
The design concept of the Lilium VTOL aircraft is similar to that of the XV-24. The Lilium still adopts an integrated design of distributed ducted fans and wings. The difference lies in the fact that the Lilium aircraft integrates the ducted fans with the control surfaces at the trailing edge of the wing, forming an over-the-wing (OTW) propeller arrangement [20,21]. During the VTOL phases, only the control surfaces need to be tilted downward by about 90°, rather than tilting the entire wing. The total lift is still provided by the thrust of the fan blades and the duct inlet. When the aircraft is in the cruise phase, the suction effect at the duct inlet can induce an acceleration of the airflow over the upper surface of the wing, producing lift enhancements on the wing.
The advantage of the integrated aerodynamic design for the XV-24 and Lilium VTOL aircraft lies in its ability to bring about an engine-induced lift-enhancing effect on the entire aircraft. However, this advantage is primarily aimed at improving aerodynamic efficiency during the cruise phase; the lift-enhancement benefits during the VTOL phase are relatively limited. Based on the advantage of the integrated design, if the high-speed airflow generated by the engine can be reasonably utilized during the VTOL phase to force a VTOL aircraft’s wings to produce lift, it will be favorable to reduce the thrust requirement of the engines under the same take-off weight, making it possible to alleviate the thrust-matching problem.
This paper aims to utilize the beneficial engine-induced lift-enhancing effect to alleviate the thrust-matching issue described above and achieve vertical take-off and landing with a smaller thrust requirement. A propeller-induced lift-enhancing (PILE) biplane wing VTOL configuration is proposed. In this configuration, an inducing effect of the propeller rotational motion is employed to force the air surrounding the propeller to acquire an induced velocity, thereby generating lift on the wings during the no-forward-speed VTOL phase. Based on computational fluid dynamics (CFD) methods, the aerodynamic performance and flow field characteristics of this configuration are investigated to verify the PILE capabilities of the proposed configuration during the cruise and VTOL phases.
2. Calculation Method and Validation
A commercial software, ANSYS Fluent, is used in this paper to solve the aerodynamic forces and flow fields of the propellers and wings. ANSYS Fluent is a widely popular commercial CFD software internationally. It features a rich set of physical models, advanced numerical methods, and powerful pre- and post-processing capabilities, making it extensively used for simulating fluid flow, heat transfer, and chemical reactions in complex geometries. The Shear Stress Transport (SST) model [22,23] is chosen for the turbulence model. A quasi-steady multiple reference frame (MRF) method solving the Reynolds-Averaged Navier–Stokes (RANS) equations [24,25] is used to simulate the rotation of the propeller. The spatial discretization scheme employs the Roe format based on the second-order upwind MUSCL (Monotone Upstream-centered Scheme for Conservation Laws) method [26]. The temporal discretization uses the implicit LU-SGS (Lower-Upper Symmetric Gauss–Seidel) method [27]. Since the accuracy of the propeller performance and flow field solutions are crucial to the effectiveness of the PILE design, a ducted propeller wind tunnel test model is used to firstly validate the CFD calculation method. All the CFD numerical simulations presented in this paper were conducted on a single computer manufactured by Lenovo (Beijing, China), equipped with an Intel Xeon E5-1620 processor, eight CPU cores, 32 GB of memory, and a base clock speed of 3.50 GHz.
The shape of the ducted propeller is shown in Figure 1a. Its aerodynamic loads have been measured by NASA Langley Research Center (Hampton, VA, USA) in a 17-foot test-section wind tunnel [28]. This test model has a diameter of 0.381 m, and a duct length of 0.262 m, and operates at a rotational speed of 8000 r/min. At a test wind speed of 30.48 m/s, the Reynolds number based on the duct length is 5×105. The other geometric parameters are given in Reference [28].
Figure 1.
The ducted propeller. (a) Schematic of the 3D model; (b) schematic of the computational domain.
Regarding the mesh generation, the entire domain is divided into two parts in this paper: a rotating motion region and a stationary domain, as shown in Figure 1b.
The rotating motion region is an enclosed cylindrical area surrounding the propeller, and the enclosed space formed by the boundaries of the motion region and the far field constitutes the stationary domain. A pair of interfaces is established at the junction of these two domains to exchange flow field information. The computational mesh is generated using a hybrid mesh strategy, i.e., an unstructured mesh with 2.5 million grid cells is generated in the rotating domain considering the complex geometry of the blades, while a structured mesh type with 5.0 million grid cells is generated within the stationary domain. The computational domain used for CFD numerical simulation is a rectangular prism with dimensions of 1200 m (length) × 600 m (width) × 500 m (height). A pressure far field boundary condition is applied on the boundary of the stationary domain. For the rotating domain, the MRF method is used to set the motion parameters in the ANSYS Fluent software, including the center of rotation, the rotational axis vector, and the rotational speed. The propeller blades should be designated as moving walls, whereas the duct walls should be set as stationary walls. No-slip boundary conditions are applied to both the stationary walls and the moving walls. The relevant computational parameters are listed in Table 1.
Table 1.
Calculation parameters for the ducted propeller.
Table 2 provides a comparison between the CFD simulation results for the ducted propeller and the wind tunnel test results reported in Reference [28]. It can be seen that the computational results show good agreement with the experimental measurements, and the error between them is within an acceptable range, which demonstrates that the CFD method presented in this paper has good computational accuracy in solving the aerodynamic interference between the propeller blades and the duct wall.
Table 2.
Comparison of the propeller thrust coefficient between CFD and experimental results.
Regarding the errors show in Table 2, they primarily stem from two sources: geometric model inaccuracies and computational mesh limitations.
The geometric model used for CFD calculations has deviations from the experimental model due to the limited number of data points for the ducted airfoil provided in Reference [28]. Additionally, during the mesh generation process, the gap between the propeller blade tips and the inner wall of the duct is only 1 mm. To improve computational accuracy in this critical region, a large number of fine meshes are required, but this significantly reduces computational efficiency. To balance this trade-off, we ultimately generated 2.5 million cells within the moving domain.
3. Propeller-Induced Lift-Enhancing Biplane Wing VTOL Configuration
3.1. Characteristics of Induced Velocity of an Isolated Propeller
The aircraft has no forward flight speed during the VTOL phase. If the wings can be forced to generate lift utilizing the inducing effect of the engine and share the total lift with the engine, it is possible to reduce the thrust and power demands for the engine and alleviate the thrust-matching problem between different flight phases.
Currently, most VTOL drones are driven by propellers. When the propeller rotates at a high speed, the air in front of the propeller disk will be accelerated by the propeller suction effect. Meanwhile, a high-speed slipstream behind the propeller disk is also generated. Both the suction acceleration and the slipstream acceleration can cause velocity increments of the air around the propeller, which make it possible to produce induce lift on the wings during the VTOL phase. To effectively utilize these two acceleration effects of the propeller to obtain propeller-induced lift enhancement, the induced velocity distribution characteristics of a single propeller are studied firstly in this section. Figure 2 shows the axial induced velocity increment distribution induced by a single propeller. The corresponding computational parameters are as follows: altitude, H = 0 km; free-stream velocity V = 0 m/s; the rotational speed of the propeller, Ω = 4400 r/min. Figure 2a illustrates the axial and radial positions in front of and behind the propeller disk. In this figure, R represents the propeller radius, where R = 0.413 m. All the axial and radial positions are nondimensionalized using R, denoted as X/R and Y/R, respectively.
Figure 2.
Induced velocity distribution of a single propeller. (a) Schematic diagram of axial and radial positions of the propeller; (b) axial-induced velocity increment distribution in front of the propeller disk; (c) axial-induced velocity increment distribution behind the propeller disk.
Regarding the magnitude of the axial-induced velocity increments, it can be seen that the axial-induced velocity increments caused by the slipstream acceleration are generally larger than those due to the propeller suction acceleration. The maximum induced velocity increment in front of the propeller disk is 4.98 m/s, occurring at the position (X/R = −1.0, Y/R = 0). However, the maximum ΔVx behind the propeller disk appears at about the position of (X/R = 1.0, Y/R = 0.7), with a value of 43.49 m/s, which is 8.7 times that of the former.
Judging from the distribution range of the axial-induced velocity increments, it can be determined that the affected area in front of the propeller disk is larger than that behind the propeller disk. Taking two axial positions, X/R = −1.0 and 1.0, as examples, for the constant value of X/R = −1.0, an induced velocity increment of 0.73 m/s can be obtained even at the radial position of Y/R = 2.0. In contrast, when X/R = 1.0, the radial influence range of the propeller slipstream only extends to Y/R = 1.0.
Obviously, the axial acceleration effect of the propeller is divided into two parts by the propeller disk. Although the suction effect in front of the propeller disk is not as strong as the induced strength of the high-speed slipstream behind the propeller disk, its radial influencing range is larger than that of the latter.
3.2. Conceptual Design of a Distributed Electric Propulsion VTOL Aircraft
Based on the distribution characteristics of propeller-induced velocity shown in Figure 2, a distributed electric propulsion (DEP) biplane VTOL unmanned aerial vehicle (UAV) is proposed in this paper. Figure 3 shows its aerodynamic configurations during the cruise phase and the VTOL phase. This aircraft adopts a design concept of the propeller-induced lift enhancement (PILE), aiming to increase lift during the VTOL phase, reduce the required power, and thereby enhance the range and endurance of the aircraft. The primary conceptual design parameters are shown in Table 3.
Figure 3.
A distributed electric propulsion biplane VTOL UAV: (a) schematic view of the aerodynamic configuration during the cruise phase; (b) schematic view of the aerodynamic configuration during the VTOL phase.
Table 3.
Conceptual design parameters of the DEP biplane VTOL UAV.
The biplane wing of this aircraft consists of a main wing and an aided wing, with 12 electrically driven propellers installed at the leading edge of the aided wing and two propellers mounted on the horizontal tail. During the cruise phase (as shown in Figure 3a), the 14 propellers provide thrust to overcome flight drag. The suction effect of the distributed propellers will increase the airflow velocity over the upper surface of the main wing, thereby enhancing the main wing’s lift. Meanwhile, the high-speed slipstream from the propellers will have a significant lift-enhancing effect on the aided wing behind the propellers. Therefore, it is expected to improve the aerodynamic performance of this aircraft during the cruise phase by utilizing the induction effect of the distributed propellers.
A tilt-propeller approach for this aircraft is adopted to achieve vertical take-off and landing. Specifically, the distributed propellers, the aided wing, and the flaps of the main wing will be tilted downward by the same angle around the rotational axis of the main wing’s flaps. Under the suction acceleration and slipstream acceleration effects of the distributed propellers, the airflow around the wings will gain a certain velocity increment, thereby generating lift on both wings. Ultimately, the required total lift of the entire aircraft during the VTOL phase can be shared by the thrust from the propellers and the lift from the wings. Under the same take-off weight, the aircraft proposed in this paper can reduce the thrust and power requirements for the propellers.
In order to counteract the pitch moment generated by the wings during the VTOL phase, the horizontal tail needs to be tilted downward by 90° (as shown in Figure 3b). By adjusting the rotational speed of the propellers mounted on the horizontal tail, their thrust should be matched with the thrust from the forward distributed propellers, thereby achieving the pitching moment balance for the entire aircraft.
4. Aerodynamic Characteristics Investigations of PILE Configuration
The goal of the PILE concept design for the DEP UAV shown in Figure 3 is to utilize the propeller-induced acceleration effects to force the wings generate lift as much as possible during the VTOL phase. This approach helps to alleviate the problem of thrust-matching between the cruise and VTOL phases.
The lift-enhancing characteristics of the biplane wings under the influence of propeller induction determine whether the design objectives of the UAV described above can be achieved. To explore the rationality and feasibility of the PILE design concept, this paper selects a segment of the wing (as shown in Figure 4) from the aforementioned VTOL UAV, instead of the entire UAV, to conduct studies of the propeller-induced aerodynamic characteristics during both cruise and VTOL phases.
Figure 4.
Schematic of the propeller-induced lift-enhancing biplane wing configuration. (a) PILE configuration for the cruise phase; (b) PILE configuration for the VTOL phase.
Figure 4a shows the schematic of the PILE biplane wing configuration in the cruise phase. The chord of the main wing and the aided wing are Cmain = 1.95 m and Cind = 0.65 m, respectively, and both wings have a span of 5.2 m. The vertical distance between the leading edges of these two wings is 0.3 Cmain, and the vertical distance between the propeller tip and the main wing’s leading edge is 0.15 Cmain. The propeller and the leading edge of the aided wing are located at the positions of 73% Cmain and 83% Cmain of the main wing, respectively. In order to achieve vertical take-off and landing, the aided wing, the propeller, and the flap (with a length of 0.25 Cmain) of the main wing need to be tilted downward simultaneously around the rotational axis of the main wing’s flap (see Figure 4b) with a tilt angle range of 0° to 90°.
The CFD method used for the numerical simulations is the same as that described in Section 2. The k-ω SST model is selected as the turbulence model. A pressure far-field boundary condition is applied on the outer boundary of the stationary domain, and the propeller surface is set with a no-slip boundary condition. The computational domain remains a rectangular prism, with its dimensions consistent with those in Section 2, i.e., 1200 m (length) × 600 m (width) × 500 m (height).The coordinate system of the domain is shown in Figure 4, and its geometric center is located at the leading-edge point of the main wing on the symmetry plane of the PILE configuration. The relevant computational parameters are shown in Table 4. For the PILE configuration, its aspect ratio [29] is defined as follows:
Table 4.
CFD computational parameters for the cruise phase.
The spans of both the main wing and the aided wing are 2.6 m, and the total wing area is 13.52 m2. According to Equation (1), the aspect ratio of the PILE configuration is AR = 4.
4.1. Grid Independence Study
In order to analyze the sensitivity of the CFD results to changes in grid sizes, three mesh densities (see Table 5) are used in this section to firstly conduct the grid independence verification. The corresponding computational results are shown in Table 6. It can be seen that the results are not sensitive to the number of grid cells, and the results solved by the medium grid are relatively close to those using the fine grid. Considering the requirements of computational efficiency and accuracy, the medium grid size is used in the following sections for the aerodynamic characteristic analysis of the PILE configuration.
Table 5.
Three grid densities for the grid independence study.
Table 6.
Effect of different grid densities on the aerodynamic forces of PILE configuration.
4.2. Aerodynamic Characteristics in Cruise Phase
The variation of aerodynamic forces of the PILE configuration with propeller rotational speed is given in Figure 5, the results of the single wing and the biplane wings without the propeller influence are also given in this figure for comparison. It should be pointed out that these three configurations have the same wing span; the sum of the chord of the biplane wings equals that of the single wing. Therefore, all the configurations in Figure 5 have the same wing reference area.
Figure 5.
Impact of propeller speed changes on the PILE configuration. (a) Lift coefficient vs. propeller rotational speed; (b) drag coefficient vs. propeller rotational speed; (c) pitching moment about the leading edge of the main wing vs. lift coefficient; (d) lift-to-drag ratio vs. propeller rotational speed.
In Figure 5a, it can be seen that the aerodynamic interference between the main wing and the aided wing causes the lift coefficient of the clean biplane wings configuration to be less than that of the single wing. For the PILE configuration, however, the favorable propeller influence generates a lift-enhancing effect, which compensates for the lift loss caused by the aerodynamic interference, and the lift coefficient approximately maintains a linear growth relationship with the propeller rotational speed. At the rotational speed of 7000 r/min, the lift coefficient of the PILE configuration is 19.99% higher than that of the clean biplane wings and 11.67% higher than that of the single wing.
The results of drag coefficient shown in Figure 5b indicate that the clean biplane wing configuration has an advantage of drag reduction compared with the single wing. The PILE configuration experiences an increase in its drag coefficient due to propeller interference, but it still has an advantage of drag reduction over the single wing when the propeller rotational speed is below 6370 r/min.
For the PILE configuration, changes in the propeller’s rotational speed alter the intensity of the inducing action, which in turn changes the aerodynamic force distribution on the surfaces of the biplane wings. However, the linear relationship shown in Figure 5c between the pitching moment and the lift coefficient indicates that the aerodynamic center of the PILE configuration is insensitive to changes in the propeller’s rotational speed and that it is located at 57.8% of the main wing chord.
Figure 5d compares the lift-to-drag-ratios of the three aerodynamic configurations. For the clean biplane wings, the aerodynamic interference between the wings reduces both the lift and drag coefficients, but the lift-to-drag ratio is increased by 2.00% compared to the single wing. The PILE configuration further enhances this advantage under the beneficial inducing effect of the propeller. Combining the results from Figure 5a,b,d, it can be found that the PILE configuration has the capability to enhance lift, reduce drag, and improve the lift-to-drag ratio compared to the single wing when the propeller rotational speed is within the range of 4000 r/min~6500 r/min. Taking the results at the rotational speed of 4400 r/min as an example (see Table 7), the PILE configuration increases its lift coefficient by 2.33%, reduces the drag by 4.64%, and improves the lift-to-drag ratio by 7.27%.
Table 7.
Comparison of aerodynamic forces for different configurations during the cruise phase.
The aerodynamic advantages for the PILE configuration shown in Table 7 can be further illustrated by Figure 6. Figure 6a,b show the pressure contour plots for a clean biplane wing configuration. It can be observed that the pressure on the upper surface of the main wing near the leading edge is significantly lower than that on the corresponding position of the aided wing. The reduction in upper surface pressure indicates a more significant pressure differential between the upper and lower surfaces of the main wing, which results in increased lift generation.
Figure 6.
Comparison of pressure contour: (a) pressure contour on the symmetry plane of the clean biplane wing configuration; (b) pressure contour on the surfaces of the clean biplane wings; (c) pressure contour on the symmetry plane of the PILE configuration; (d) pressure contour on the surfaces of the biplane wings for the PILE configuration.
In the PILE configuration, the suction acceleration effect ahead of the propeller disk further reduces the pressure on the upper surface of the main wing (Figure 6c), with this effect extending almost across the entire span of the main wing (Figure 6d). Additionally, the low-pressure region directly in front of the propeller is expanded along the chordwise direction (Figure 6d). These combined effects significantly enhance the lift of the main wing. Behind the propeller, the high-speed slipstream causes two effects: on one hand, it significantly increases the stagnation pressure [30] at the leading edge of the aided wing, which leads to an increase in drag; on the other hand, it accelerates the air velocity over the upper surface of the aided wing and creates a pronounced low-pressure region that extends across approximately 50% of the chord length of the aided wing, which results in lift augmentation on the aided wing. However, Figure 6d shows that the propeller’s lift-enhancing effect on the aided wing is primarily concentrated on the segments immersed within the slipstream region, with weaker influence on segments outside this area.
Although the PILE configuration increases both lift and drag compared to the clean biplane wings, the lift enhancement is greater than the drag increment, ultimately improving the lift-to-drag ratio by 5.17%.
Figure 7 compares the spanwise lift distribution of the clean biplane wings and the PILE configuration during the cruise phase, where b represents the semi-span of the wing, y/b = −1, and y/b = 1 represent the left and right wingtip positions, respectively.
Figure 7.
Comparison of spanwise lift distribution with and without propeller interference: (a) spanwise lift distribution of the main wing; (b) spanwise lift distribution of the aided wing.
In Figure 7a, it can be seen that the entire span of the main wing has obtained an increase in lift. The segment of the main wing within the range of the propeller diameter has the largest lift increase, followed by the region influenced by the upgoing blade, and finally the region influenced by the down going blade.
The spanwise lift distribution of the induced wing (Figure 7b) is significantly different from that of the main wing. The wing segment immersed in the propeller slipstream generates significant lift enhancement, and the spanwise range affected by the propeller slipstream is approximately 1.58 times the propeller diameter. For the regions outside the slipstream area, the lift-enhancing effect rapidly diminishes, and the difference in spanwise lift distribution between the clean biplane wings and the PILE configuration is relatively small.
Figure 8 illustrates a comparison of the chordwise pressure distribution of the biplane wings for the PILE configuration. In this figure, y/b = 0.5 and y/b = −0.5 represent the spanwise position at one-quarter of the wing span, while y/b = 0.8 and y/b = −0.8 corresponds to the sectional position at one-quarter of the propeller diameter.
Figure 8.
Chordwise pressure distribution of the main wing and the aided wing: (a) schematic illustration of spanwise sections; (b) chordwise pressure distribution of the aided wing; (c) chordwise pressure distribution of the main wing.
In Figure 8b, the aided wing and the propeller form a tractor propeller arrangement. Affected by the upwash effect (at y/b = −0.08) and the downwash effect (at y/b = 0.08), the chordwise pressure distributions of the aided wing at y/b = −0.08 and 0.08 show a marked difference, and the lift at y/b = −0.08 is significantly greater than that at other spanwise positions. Comparing the curves of y/b = −0.5 and 0.5, however, it can be seen that they are almost identical, which can be explained by the fact that these two positions are far from the influence of the propeller. Therefore, the propeller slipstream has a significant influence on the wing segment immersed within the slipstream, while its influence diminishes rapidly once outside this region.
The chordwise pressure distributions of the main wing are given in Figure 8c. Unlike the results for the aided wing, the pressure distribution curves of y/b = −0.08, y/b = 0, and y/b = 0.08 are almost coincident. Moreover, the lift enhancement effects occurring at these three positions are obviously better than that at the positions of y/b = −0.5 and 0.5. This shows that the propeller-inducing effect on the main wing is manifested as an axial acceleration caused by the propeller blade, while the upwash and downwash effects produced by the slipstream are relatively weak and can be neglected.
4.3. Aerodynamic Characteristics in VTOL Phase
The aerodynamic characteristics of the PILE configuration during the cruise phase indicate that this configuration has the capability of propeller-induced lift enhancement, which produces a good effect of increasing lift and reducing drag, thereby improving the lift-to-drag ratio by utilizing the propeller influence. This section will further investigate the propeller-induced lift-enhancing effects of this configuration for the VTOL phase. It should be noted that the aerodynamic forces in the VTOL phase are difficult to be nondimensionalized due to the absence of forward flight speed. Therefore, all calculation results presented below are dimensional, unless otherwise specified.
4.3.1. Description of Relevant Parameters
During the VTOL phase, the aerodynamic forces of the PILE configuration are generated by the propeller-inducing effect. To distinguish from the aerodynamic forces of the wing during the cruise, it is necessary to explain some relevant parameters that are applicable to reflecting the performance of the VTOL phase. Figure 9 shows the schematic diagram of configuration parameters and aerodynamic forces for the PILE configuration during the VTOL phase.
Figure 9.
Schematic diagram of configuration parameters and aerodynamic forces for the PILE configuration during the VTOL phase: (a) schematic diagram of configuration parameters; (b) schematic diagram of aerodynamic forces.
(1) Propeller-Induced Lift and Drag
The propeller-induced lift (denoted as Lmain for the main wing and Laid for the aided wing) and drag (denoted as Dmain for the main wing and Daid for the aided wing) refer to the lift and drag produced by the biplane wings under the propeller-inducing effect. Based on the coordinate system shown in Figure 9, the propeller-induced drag is parallel to the X-axis, and it is specified to be positive when its direction is the same as the positive X-axis. The propeller-induced lift is parallel to the Z-axis and defined as positive when its direction is the same as the positive Z-axis.
(2) Total Lift and Drag
The total lift during the VTOL phase, denoted as Ltotal, is defined as the sum of the vertical component of the propeller thrust Tv and the propeller-induced lift Lind. The expression is as follows:
Based on the coordinate system shown in Figure 9, the total lift is specified to be positive when it points vertically upward.
The total drag during the VTOL phase, denoted as Dtotal, is defined as the sum of the horizontal component of the propeller thrust Th and the propeller-induced drag Dind of the biplane wings. The expression is given by the following:
Based on the coordinate system shown in Figure 9, there is a positive total drag when it points horizontally to the right.
(3) Lift-to-Thrust Ratio
The lift-to-thrust ratio is defined as the ratio of the total lift Ltotal to the propeller thrust T, denoted as Ltotal/T. It should be noted that the lift-to-thrust ratio defined in this paper has an inverse relationship with the thrust-to-weight ratio [5] commonly used for fixed-wing aircraft.
The lift-to-thrust ratio represents the total lift produced by the PILE configuration under the influence of the propeller with unit thrust. It is used to reflect the strength of the propeller-induced lift-enhancing effect. Under the same take-off weight, a larger lift-to-thrust ratio means a smaller thrust requirement for the propeller.
(4) Lift-to-Power Ratio
The lift-to-power ratio is defined as the ratio of the total lift Ltotal to the propeller power P, denoted as Ltotal/P.
The lift-to-power ration represents the total lift generated by the PILE configuration under the influence of the propeller with unit power consumption. A larger value of this parameter means a smaller power required for VTOL at the same take-off weight.
4.3.2. Influence of Power Tilt Angle
In this paper, a tilt-propeller method is adopted for performing vertical take-off and landing. Therefore, the magnitude of the propeller-tilt angle is crucial for whether induced aerodynamic forces can be obtained. This section investigates firstly the influence of this factor using CFD methods. It should be noted that the grid size, turbulence model, and boundary condition settings are the same as those described in Section 2. The calculation parameters are listed in Table 8, and the results are illustrated in Figure 10. A propeller speed of 4400 r/min is an important design parameter for the VTOL phase because the sum of the propeller thrust and wing lift is sufficient to overcome the take-off weight when the propeller operates at this speed.
Table 8.
CFD computational parameters for the VTOL phase.
Figure 10.
Influence of propeller-tilt angle on the aerodynamic forces of the PILE configuration: (a) propeller-induced lift; (b) lift-to-thrust ratio; (c) lift-to-power ratio; (d) pitching moment.
Figure 10a shows that the PILE configuration can generate significant induced lift during the VTOL phase thanks to the inducing effects of the propeller suction and slipstream acceleration. At a propeller-tilt angle of δ = 30°, the induced lift of biplane wings reaches its maximum value, i.e., 52.34% of the propeller thrust.
Table 9 compares the contribution ratios to the propeller-induced lift of the biplane wings to further illustrate their roles during the VTOL phases. The results show that the induced lift of the aided wing and the main wing generally maintains a ratio of 4:6; additionally, the main wing is the primary contributor in the PILE configuration, and its proportion increases slightly with the increase in the propeller-tilt angle.
Table 9.
Contribution ratios of the propeller-induced lift between the biplane wings.
For the lift-to-thrust ratio (see Figure 10b), it is greater than 1 when the propeller-tilt angle is in the range of 30~80° and reaches a maximum value of 1.17 at δ = 50°. This result means that the total lift can reach 1.17 times the propeller thrust when the PILE configuration performs VTOL at tilt angle of 50°, and this total lift is shared by the propeller-induced lift and the propeller thrust. As a result, the required thrust for the propeller during the VTOL phase can be reduced under the same take-off weight. When the tilt angle is increased to δ = 90°, however, the induced lift becomes negative and the lift-to-thrust ratio rapidly decreases to below 1, which means that more propeller thrust is required for VTOL.
The trend of the lift-to-thrust ratio curve is influenced by both the induced aerodynamic forces on the biplane wings and the vertical component of the propeller thrust. In the composition of total lift, the vertical propeller thrust contributes the major portion, with the induced lift of the biplane wings serving as a supplementary component. At small propeller-tilt angles (e.g., δ = 30°), the vertical component of the propeller thrust contributes less to the total lift, but the acceleration effects induced by the propeller on the main wing and the aided wing are relatively strong, which enables the biplane wings to generate more induced lift. As the propeller-tilt angle increases gradually, the inducing effect on the wings weakens, but the contribution of the propeller vertical thrust to the total lift increases rapidly, thereby compensating for the insufficiency in propeller-induced lift. When the propeller-tilt angle approaches δ = 90°, the main wing generates negative lift, while the aided wing contributes almost no lift, causing the total lift to decrease rapidly and the lift-to-thrust ratio to fall below 1.
Figure 10c shows that the lift-to-power ratio has a maximum of 3.16 kg/kw when δ = 50°, which means that the PILE configuration can generate a total lift of 3.16 kg for each kilowatt of power consumed by the propeller. Additionally, the comparison between Figure 10b,c reveals that the trends of the lift-to-thrust ratio and the lift-to-power ratio are very similar. The main reason for this is that the propeller thrust and power change slightly with variations in the propeller-tilt angle during the VTOL phases.
Figure 10d demonstrates the relationship between the pitching moment of the biplane wings and the propeller-tilt angle. It can be seen that the pitching moment about the leading edge of the main wing is closely related to the variation trend of the induced lift shown in Figure 10a. Since the induced lift of the biplane wings reaches its maximum at δ = 30°, the corresponding nose-down pitching moment is the strongest at this angle. As the propeller-tilt angle increases, the induced lift of the main wing and the aided wing decreases simultaneously, resulting in a reduction in the nose-down pitching moment.
4.3.3. Total Drag Balance
For the PILE configuration during the VTOL phase, unless the propeller is tilted downward by 90°, the horizontal component of the propeller thrust will cause the PILE configuration to have a forward-motion tendency. In order to avoid this tendency, it is necessary to rely on the reverse-direction propeller-induced drag generated by the wings to achieve balance, ensuring that the net force in the horizontal directions is zero.
The relationship between the total drag of the PILE configuration with the propeller-tilt angle is given in Figure 11. It can be seen that the propeller-induced drag of the biplane wings is able to counteract the horizontal propeller thrust when the propeller-tilt angle is δ = 70°, resulting in a total drag close to zero. Further analysis of the composition of the propeller-induced drag (see Table 10) reveals that the aided wing is the primary contributor to balancing the horizontal thrust of the propeller, and it can contribute 81.6% to the total propeller-induced drag when δ = 70°.
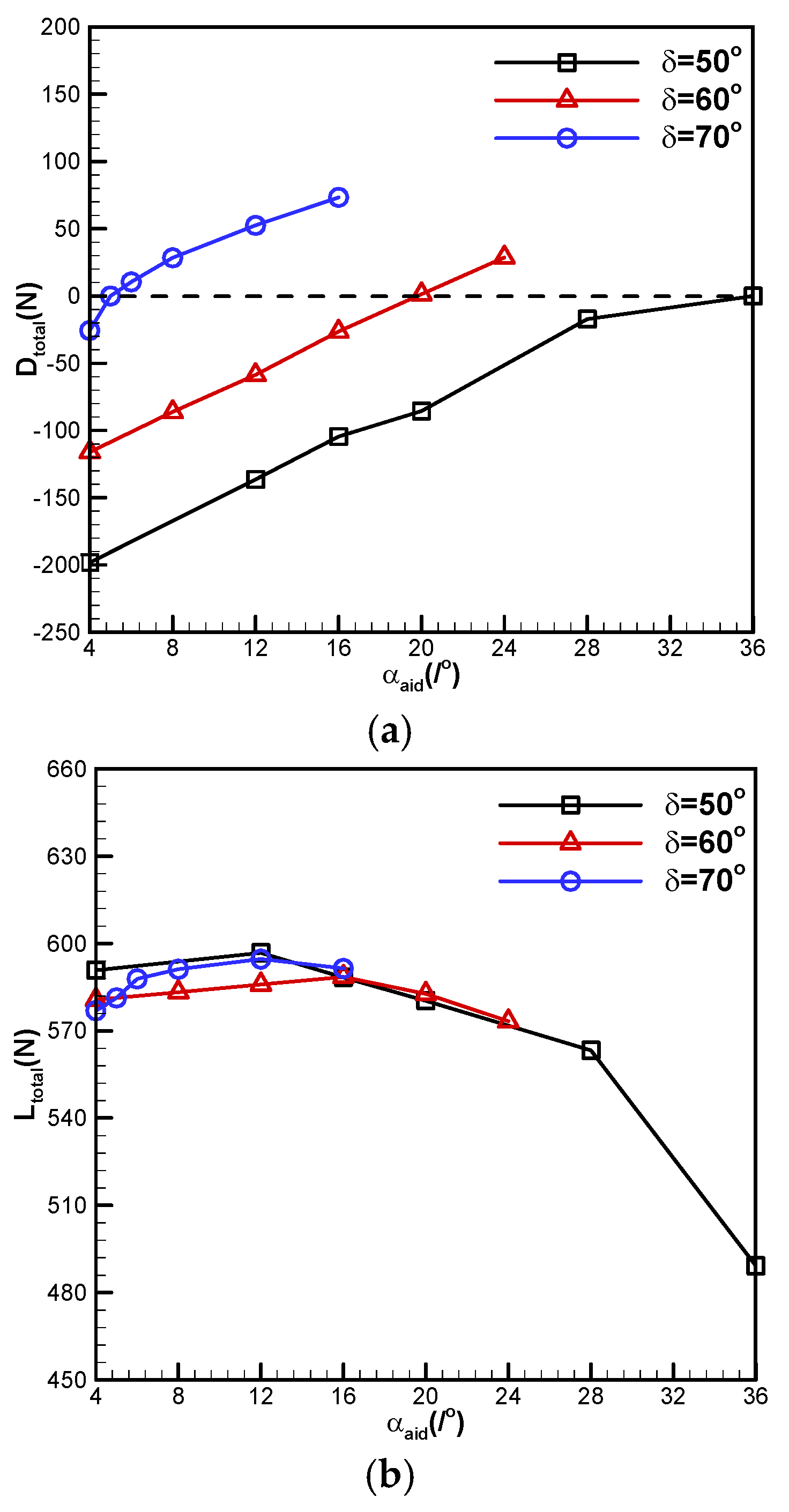
Figure 11.
Aerodynamic effects of propeller-tilt angle on total drag of the PILE configuration.
Table 10.
The propeller-induced drag and total drag during the VTOL phase at δ = 70°.
Based on the important contribution of the aided wing to the propeller-induced drag during the VTOL phase, it is clear that adjusting the design parameters of the aided wing is able to cause noticeable changes in the total drag. In this paper, a method of adjusting the installation angle of the aided wing is adopted to change the propeller-induced drag to achieve total drag balance. The installation angle of the aided wing, denoted as αaid, refers to the angle between the chord line of the aided wing and the propeller axis (see Figure 9a). It is defined as positive when the trailing edge of the aided wing is deflected downward.
Figure 12 shows the effects of changes in the installation angle of the aided wing on the total drag and total lift during VTOL phase. In order to overcome the horizontal thrust of the propeller, the installation angle of the aided wing needs to be increased to 36°, 20°, and 5° when the propeller-tilt angles are 50°, 60°, and 70° (Figure 12a). It can be seen that a smaller propeller-tilt angle needs to be matched with a larger installation angle of the aided wing. A large installation angle, such as αaid = 20° and 36°, is more likely to cause wing stall, potentially leading to a loss of lift and control effectiveness. In contrast, a smaller value of αaid can provide more flexibility for the PILE configuration to achieve total drag balance.
Figure 12.
The curves of total lift and total drag with different installation angles of the aided wing: (a) total drag of the PILE configuration; (b) total lift of the PILE configuration.
In addition to the total drag, the total lift also changes with adjustments of the aided wing installation angle. Figure 12b indicates that an increase in αaid (αaid should be less than 12°) is favorable for the total lift enhancement of the PILE configuration when δ = 70°. For the propeller-tilt angle of δ = 50°, however, increasing αaid beyond 12° actually results in a decrease in total lift.
Based on the results shown in Figure 10 and Figure 12, the most suitable propeller-tilt angle for the PILE configuration during the VTOL phase is δ = 70°. At this angle, the PILE configuration has a higher total lift, and the lift-to-thrust ratio reaches 1.12, which is very close to the maximum value; moreover, a matching installation angle of only αaid = 5° for the aided wing is sufficient, providing a more abundant capability of balancing the total drag.
4.3.4. Flow Field Characteristics
During the VTOL phase, the presence of ground interference alters the distribution of the propeller slipstream and the propeller-induced flow fields of the biplane wings. Figure 13 shows streamline distributions at the symmetry plane (y/b = 0) of the PILE configuration for different propeller-tilt angles.
Figure 13.
Streamline distributions at y/b = 0 of the PILE configuration under different propeller-tilt angles. (a) δ = 30°; (b) δ = 50°; (c) δ = 70°; (d) δ = 90°.
It can be found that the propeller slipstream is obstructed by the ground and flows radially outward when the propeller-tilt angle is increased to a certain range. Part of the propeller slipstream moves in the opposite direction to the airflow induced by the propeller; the shear interaction between them results in a vortex. When δ = 30° (see Figure 13a), multiple vortices are located near the trailing edge of the main wing. As the propeller-tilt angle increases, the multiple vortices move forward significantly and change the angle of attack of the main wing. Comparing Figure 13b,c, it is evident that the actual angle of attack of the main wing at δ = 70° is significantly smaller than that at δ = 50°. When the propeller-tilt angle is increased to δ = 90°, the induced velocity of the airflow caused by the propeller is vertically downward, which causes the local angle of attack of the main wing to be negative and leads to negative lift and lift loss phenomenon [2]. Therefore, it is demonstrated again that the optimal VTOL approach for the PILE configuration is not to tilt the propeller by 90° to provide direct lift but to match an appropriate propeller-tilt angle to optimize the sum of the induced lift of the biplane wings and the vertical thrust of the propeller.
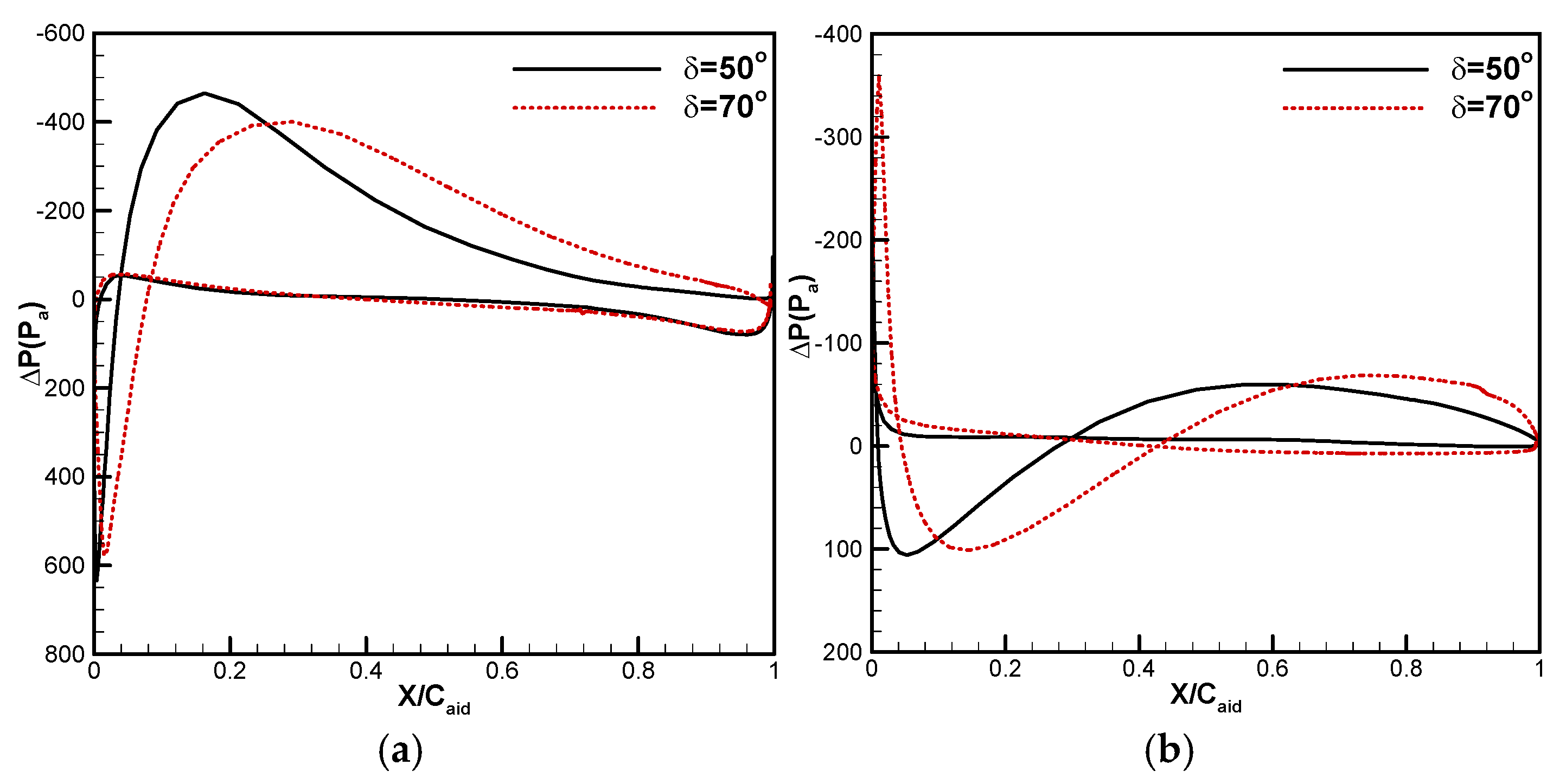
Figure 14 compares the chordwise pressure distribution of the aided wing at spanwise positions of y/b = −0.08 and y/b = 0.08 during the VTOL phase. For the tractor propeller configuration, which is formed by the propeller and the aided wing, the rotational propeller slipstream causes both upwash effect (Figure 14a) and downwash effect (Figure 14b) on the aided wing. These effects significantly alter the actual angle of attack of the aided wing, thereby increasing or decreasing the aerodynamic forces on the corresponding spanwise sections. In Figure 14a, it can be seen that the upwash effect significantly enhances the induced lift at the leading edge of the induced wing. The downwash effect of the propeller, however, causes negative lift over 30.0% Caid of the aided wing when δ = 50° (Figure 14b). When the propeller-tilt angle is increased to δ = 70°, the region of negative lift on the aided wing expands to 42.6%Caid.
Figure 14.
Chordwise pressure distribution of the aided wing during the VTOL phase. (a) Chordwise pressure distribution at the spanwise position of y/b = −0.08; (b) chordwise pressure distribution at the spanwise position of y/b = 0.08.
The chordwise pressure distribution of the main wing is shown in Figure 15. For the over-the-wing (OTW) propeller configuration [21], which is formed by the main wing and the propeller, the acceleration effect caused by the propeller suction is the primary factor influencing the induced lift on the main wing. It reduces the adverse pressure gradient on the upper surface of the main wing in front of the propeller disk, making it significantly smaller than that of the aided wing. Additionally, it can be found that the ground interference causes the main wing to experience negative lift within 11% of the main wing chord when δ = 70°, whereas this phenomenon does not occur at δ = 50°.
Figure 15.
Chordwise pressure distribution of the main wing during the VTOL phase. (a) Chordwise pressure distribution of the main wing at y/b = −0.08; (b) chordwise pressure distribution of the main wing at y/b = 0.08.
Figure 16 further provides the spanwise lift distribution for the aided wing and the main wing under the propeller-inducing effect. The results shown in Figure 16a indicate that the wing segment within the propeller diameter range contributes the majority of the induced lift of the aided wing. Its contribution ratio reaches 71.2% when δ = 50° and increases to 71.9% when δ = 70°. The opposite is true for the main wing. Figure 16b shows that the acceleration effect induced by the propeller suction extends over the entire span of the main wing. For the segment within the propeller diameter, its lift accounts for only 21.32% of the induced lift of the main wing when δ = 50°; this proportion increases to 32.94% when the propeller-tilt angle is increased to δ = 70°.
Figure 16.
Spanwise lift distribution of the biplane wings during the VTOL phase: (a) spanwise lift distribution of the aided wing; (b) spanwise lift distribution of the main wing.
The spatial distribution of the propeller-induced velocity increment is shown in Figure 17. It can be seen that, although the velocity increment in front of the propeller disk is not as significant as that caused by the propeller slipstream behind the disk (see Figure 2), the influence range of the propeller suction is noticeably larger and a more induced lift is produced on the main wing. For the aided wing, the highly concentrated propeller slipstream results in a limited influence range. This causes the lift enhancement to occur only on the wing segments within the slipstream region, while the lift-enhancing effect diminishes rapidly outside this region.
Figure 17.
Spatial distribution of propeller-induced velocity (ΔV ≥ 1 m/s): (a) δ = 50°; (b) δ = 70°.
5. Conclusions
To address the issue of difficulty in thrust-matching between different flight phases for VTOL aircrafts, a propeller-induced lift-enhancing (PILE) biplane wing VTOL configuration is proposed and discussed in this paper. Its aerodynamic characteristics during the cruise and VTOL phases are investigated using CFD methods. The main conclusions are summarized as follows:
(1) During the cruise phase, the accelerations caused by the propeller suction and the propeller slipstream on the biplane wings give the PILE configuration an advantage in terms of increased lift and reduced drag compared with a single wing of the same area. Under a propeller speed of 4400 r/min, the lift coefficient of this configuration is increased by 2.33%, the drag is reduced by 4.64%, and the lift-to-drag ratio is improved by 7.27%.
(2) During the VTOL phase with no forward speed, the total lift of the PILE configuration is provided by both the vertical propeller thrust and the induced lift generated by the biplane wings. The magnitude of the propeller-tilt angle determines the strength of the propeller-inducing effect. At a tilt angle of δ = 30°, the propeller-induced lift of the PILE configuration is the largest, which reaches 52.34% of the propeller thrust. When the tilt angle is between 30° and 80°, the lift-to-thrust ratio is greater than 1 and reaches its maximum value of 1.17 when δ = 50°. At this tilt angle, the propeller-inducing effect enables the PILE configuration to obtain a total lift that is 1.17 times the propeller thrust.
(3) In order to achieve vertical take-off and landing, the optimal propeller-tilt angle for the PILE configuration is 70°, matched with an installation angle of 5° of the aided wing. Under this parameter combination, the lift-to-thrust ratio reaches 1.12, which minimizes the demand for the propeller thrust under the same take-off weight. Meanwhile, the total drag is balanced to zero, and the aided wing provides a more abundant capability of balancing the total drag.
(4) The main wing in the PILE configuration contributes the majority of the induced lift during the VTOL phase, while the aided wing contributes most of the propeller-induced drag. The aided wing can balance the horizontal propeller thrust at different propeller-tilt angles by adjusting its installation angle to ensure that there is no horizontal movement.
In summary, the PILE configuration proposed in this paper exhibits excellent capabilities of propeller-induced lift enhancement during the VTOL phase. It reduces the thrust requirement for the propeller and can effectively alleviate the thrust-matching issues. During the cruise phase, this configuration achieves the advantages of lift enhancement and drag reduction, thereby improving the lift-to-drag ratio. The calculation results provide preliminary evidence that the PILE design concept is effective and feasible.
Limited by the current energy density of batteries, electric propulsion VTOL drones, especially all-electric-powered UAV, have shorter ranges and endurance compared to fuel-powered VTOL drones. The PILE configuration presented in this paper has the potential to offer a reference solution to mitigate this deficiency.
In future work, the entire DEP VTOL drone will be taken as the primary subject of study. Based on the design constraints of moment balance, it is necessary to further investigate the inducing effects from the distributed propellers on the entire DEP VTOL drone’s aerodynamic performance. We aim to obtain the aerodynamic interference characteristics between distributed propellers and wings. Concurrently, we will explore appropriate theoretical methods to rapidly and accurately evaluate the aerodynamic characteristics of the distributed propellers and biplane wings, thereby reducing or even replacing the time-consuming CFD computations. Based on these efforts, we will conduct design optimizations to enhance the flight performance of this type of aircraft.
Author Contributions
Conceptualization, H.W. and G.L.; methodology, H.W. and J.L.; software, H.W. and G.L.; validation, H.W. and G.L.; formal analysis, G.L.; investigation, H.W.; resources, G.L.; data curation, H.W.; writing—original draft preparation, H.W.; writing—review and editing, H.W., G.L., and J.Z.; visualization, H.W.; supervision, G.L.; project administration, G.L.; funding acquisition, H.W. and J.Z. All authors have read and agreed to the published version of the manuscript.
Funding
This research was funded by the National Nature Science Foundation of China, grant number No.12102448 and No.U2141249.
Data Availability Statement
Due to the fact that a substantial amount of the data will be used to support future research, the authors have decided not to make the data publicly available.
Conflicts of Interest
The authors declare no conflicts of interest.
References
- Han, Y.Q.; Zhu, D.M.; Fu, Y. The main progress of eVTOLs in 2022. Rev. Outlook 2023, 1, 19–22. [Google Scholar]
- Nugroho, G.; Hutagaol, Y.D.; Zuliardiansyah, G. Aerodynamic performance analysis of VTOL arm configurations of a VTOL plane UAV using a computational fluid dynamics simulation. Drones 2022, 6, 392. [Google Scholar] [CrossRef]
- Misra, A.; Jayachandran, S.; Kenche, S. A Review on Vertical Take-Off and Landing (VTOL) Tilt-Rotor and Tilt Wing Unmanned Aerial Vehicles (UAVs). J. Eng. 2022, 1, 27. [Google Scholar] [CrossRef]
- Qiao, Z.; Wang, D.; Xu, J.; Pei, X.; Su, W.; Wang, D.; Bai, Y. A comprehensive design and experiment of a biplane quadrotor tail-sitter UAV. Drones 2023, 7, 292. [Google Scholar] [CrossRef]
- Raymer, D.R. Aircraft Design: A Conceptual Approach, 6th ed.; American Institute of Aeronautics and Astronautics, Inc.: Reston, VA, USA, 2018; pp. 763–804. [Google Scholar]
- Shen, Y.; Lu, Q. Design Principles of Vertical Takeoff and Landing Aircraft; National Defense Industry Press: Beijing, China, 1973; pp. 57–63. [Google Scholar]
- Zheng, Z.C. Research on Conceptual Design Methodology for Lift-Fan VTOL Aircraft. Ph.D. Thesis, Northwestern Polytechnical University, Xi’an, China, 2013. [Google Scholar]
- Li, M.; Song, B.F.; Hua, X. Dead weight analysis of lift fan VTOL UAV. Flight Dyn. 2016, 34, 51–58. [Google Scholar]
- Serrano, J.R.; García-Cuevas, L.M.; Bares, P.; Varela, P. Propeller position effects over the pressure and friction coefficients over the wing of an UAV with distributed electric propulsion: A proper orthogonal decomposition analysis. Drones 2022, 6, 38. [Google Scholar] [CrossRef]
- Huang, J. Survey on design technology of distributed electric propulsion aircraft. Acta Aeronaut. Astronaut. Sin. 2021, 42, 624037. [Google Scholar]
- Kong, X.H.; Zhang, Z.R.; Lu, J.W. Review of electric power system of distributed electric propulsion aircraft. Acta Aeronaut. Astronaut. Sin. 2018, 39, 46–62. [Google Scholar]
- Rothhaar, P.M.; Patrick, C.M.; Barton, J.B. NASA Langley distributed propulsion VTOL tilt-wing aircraft testing, modeling, simulation, control and flight test development. In Proceedings of the 14th AIAA Aviation Technology, Integration, and Operations Conference, Atlanta, GA, USA, 16–20 June 2014. [Google Scholar]
- Patrick, C.M.; Drew, L. Experiment design for complex VTOL aircraft with distributed propulsion and tilt wing. In Proceedings of the AIAA Atmospheric Flight Mechanics Conference, Kissimmee, FL, USA, 5–9 January 2015. [Google Scholar]
- Wang, K.L.; Zhou, Z.; Ma, Y.W. Development and trend analysis of vertical takeoff and landing fixed wing UAV. Adv. Aeronaut. Sci. Eng. 2022, 13, 1–13. [Google Scholar]
- Stephen, T. Subscale lightning strike X-plane makes first flight. Flight Int. 2016, 189, 16. [Google Scholar]
- Du, W.; Sun, N. Research on development status of eVTOL. Aeronaut. Sci. Technol. 2021, 32, 1–7. [Google Scholar]
- Perry, A.T.; Ansell, P.J.; Kerho, M.F. Aero-propulsive and propulsor cross-coupling effects on a distributed propulsion system. In Proceedings of the 2018 AIAA Aerospace Sciences Meeting, Kissimmee, FL, USA, 8–12 January 2018. [Google Scholar]
- Zhang, X.Y.; Gao, Z.H.; Lei, T. Ground test on aerodynamic-propulsion coupling characteristics of distributed electric propulsion aircraft. Acta Aeronaut. Astronaut. Sin. 2022, 43, 125389. [Google Scholar]
- Liu, P.Q. Theory and Application of Air Propellers; Beihang University Press: Beijing, China, 2006; pp. 55–89. [Google Scholar]
- Fan, Z.Y.; Zhou, Z.; Zhu, X.P. Coupled aerodynamic analysis and wing airfoil optimization for channel wing. Acta Aeronaut. Astronaut. Sin. 2019, 40, 122777. [Google Scholar]
- Veldhuis, L.L.M. Propeller Wing Aerodynamic Interference. Ph.D. Thesis, Delft University of Technology, Delft, The Netherlands, 2005. [Google Scholar]
- Gan, W.B. Research on Aerodynamic Numerical Simulation and Design of Near Space. Ph.D. Thesis, Northwestern Polytechnical University, Xi’an, China, 2014. [Google Scholar]
- Menter, F.R. Two-equation eddy-viscosity turbulence models for engineering applications. AIAA J. 1994, 32, 1598–1605. [Google Scholar] [CrossRef]
- Sun, W.; Gao, Z.H.; Huang, J.T. Aerodynamic characteristics of hovering rotor/wing. Acta Aerodyn. Sin. 2015, 33, 232–238. [Google Scholar]
- Zachariadis, A.; Hall, C.A. Application of a Navier-Stokes solver to the study of open rotor aerodynamics. J. Tubomachiery 2011, 133, 031025. [Google Scholar] [CrossRef]
- Harten, A. High resolution upwind schemes for hyperbolic conservation laws. J. Comput. Phys. 1983, 49, 357–393. [Google Scholar] [CrossRef]
- Seokkwan, Y.; Antony, J. Lower upper symmetric gauss-seidel method for the Euler and Navier-Stokes equations. AIAA J. 1988, 26, 1025–1026. [Google Scholar]
- Grunwald, K.J.; Kenneth, W.G. Aerodynamic Loads on an Isolated Shrouded-Propeller Configuration for Angles of Attack from −10° to 110°; NASA Technical Note (NASA TN D-995); Langley Air Force Base: Hampton, VA, USA, January 1962. [Google Scholar]
- Gudmundsson, S. General Aviation Aircraft Design: Applied Methods and Procedures; Butterworth-Heinemann: Oxford, UK, 2014; p. 423. [Google Scholar]
- Anderson, J. Fundamental of Aerodynamics, 6th ed.; McGraw-Hill Education: New York, NY, USA, 2017; p. 227. [Google Scholar]
Disclaimer/Publisher’s Note: The statements, opinions and data contained in all publications are solely those of the individual author(s) and contributor(s) and not of MDPI and/or the editor(s). MDPI and/or the editor(s) disclaim responsibility for any injury to people or property resulting from any ideas, methods, instructions or products referred to in the content. |
© 2024 by the authors. Licensee MDPI, Basel, Switzerland. This article is an open access article distributed under the terms and conditions of the Creative Commons Attribution (CC BY) license (https://creativecommons.org/licenses/by/4.0/).
















