Abstract
A novel bio-based nanocomposite film was developed using the combination of gelatine and cellulose nanofiber (CNF) as a polymer matrix and zinc oxide nanoparticles (ZnONP) as nanofillers. The nanocomposite film solution was developed using simple solution mixing and film prepared by the following casting methods. The fabricated nanocomposite film containing 2 wt% of ZnONP shows excellent UV-light barrier properties (>95%) and high transparency (>75%). The presence of ZnONP also improves the mechanical strength of the film by ~30% compared to pristine gelatin/CNF-based film, while the flexibility and rigidity of the nanocomposite film were also slightly improved. The addition of ZnONP slightly increased (~10%) the hydrophobicity while the water vapor barrier properties remain unaltered. The hydrodynamic properties of the bio-based film were also changed in the presence of ZnONP, moisture content and the swelling ratio slightly enhanced, whereas water solubility was decreased. Moreover, the integration of ZnONP introduced antibacterial activity toward foodborne pathogens. The fabricated bio-based nanocomposite film could be useful in active packaging applications.
1. Introduction
Food spoilage and consequent food loss are global problems. One of the main causes of food spoilage is microbial contamination, which causes unwanted changes in food such as oxidation, discoloration, and microbial growth. To solve this problem, synthetic food preservatives are usually added during food processing to prevent the growth of unwanted microorganisms [1,2]. Nevertheless, the toxicity and harmfulness of synthetic chemical preservatives are emerging as a major problem, and accordingly, the demand for safe food without preservatives is increasing daily [3,4]. In this scenario, active food packaging can be useful because the packaging system contains active functional ingredients such as antibacterial agents or antioxidants [5,6,7].
Recently, various nanomaterials have been used as active packaging functional ingredients. Among the nanomaterials used in active packaging so far, zinc oxide nanomaterials (ZnONPs) are promising due to their multifunctional activity, such as UV protection properties and antibacterial activity [8,9,10]. In addition, ZnONPs are GRAS-grade nanomaterials considered safe and non-toxic for active food packaging [11,12]. Incorporating ZnONP into the packaging film improved the antimicrobial activity and UV protection properties of the packaging matrix and improved physical properties such as mechanical strength, hydrophobicity and water resistance [13,14,15].
Research on active packaging films based on functional biopolymers has recently received much attention. In the development of active packaging films, bio-based, eco-degradable polymers are more advantageous than non-renewable polymers derived from petrochemicals. Many bio-derived polymers are used to manufacture packaging films, of which gelatin is a good source due to its abundant and excellent film-making properties [16].
Gelatin is an animal protein-based biopolymer, usually produced by the denaturation and hydrolysis of collagen [17,18]. Although gelatin makes excellent films, it still has some disadvantages, such as high-water solubility and low mechanical properties [19]. One of the strategies used to improve the limitations of gelatin-based films is to mix them with other biocompatible polymers. Today, the production of binary or ternary biopolymer blended films is becoming popular [19,20,21]. For this, cellulose nanofibers (CNFs) can be a good choice as they are known to improve film’s water resistance and mechanical properties [19,22]. CNF is emerging as a good choice for making packaging films [23,24]. A recent report claimed that the addition of CNF to the gelatin matrix improves the limitations of gelatin through crosslinking [25,26]. The cellulosic structure has many hydroxyl groups so that it can be easily mixed with gelatin [20]. Through crosslinking and other covalent chemical interactions, gelatin and cellulose nanofibers can make highly compatible blends [25]. In addition, CNF nanofibrils have high rigidity and fibrous properties, which can play an important role in improving the mechanical properties of gelatin films [26]. ZnONP used as reinforcing nanofillers can be easily mixed in the gelatin/CNF matrix and make compatible films. Therefore, in this study, a gelatin/CNF-based binary composite film was developed and further functionalized with ZnONP. Although there are already many reports of the use of ZnONPs in the preparation of active packaging films [8,10,22,27,28,29], no studies on the preparation of ZnONPs, including gelatin/CNF-based films, have been reported. The fabricated nanocomposite film is expected to enhance the mechanical, hydrodynamic, UV protection, and antimicrobial activity of the gelatin/CNF-based binary nanocomposite film.
This work is intended to produce a gelatin/CNF-based dual function film integrated with ZnONP for active food packaging applications. The fabricated films were characterized, and various film properties such as optical, barrier properties, mechanical and antibacterial properties were evaluated.
2. Materials and Methods
2.1. Materials
Food grade gelatin (Type A, 200 Bloom) was procured from Gel-Tec Co., Ltd. (Seoul, Korea). CNF (CNFTEMPO, W: 10–20 nm, L: 3–350 µm, density: 1.0 g/cm3) was generously donated from Moorim P&P Co., Ltd. (Ulsan, Korea). Glycerol, zinc nitrate, and potassium hydroxide were obtained from Daejung Chemicals & Metals Co., Ltd. (Siheung, Gyeonggi-do, Korea). Escherichia coli O157: H7 ATCC 43895 and Listeria monocytogenes ATCC 15313 were obtained from the Korean Collection for Type Culture (KCTC, Seoul, Korea). ZnONP used in this study was fabricated using the same methods reported previously [12].
2.2. Fabrication of Films
The gelatin/CNF-based composite films were prepared using the solution casting method [30]. For making film-forming solutions, 1.0 and 2.0 wt% of ZnONP based on polymers were first dispersed in 100 mL of water and sonicated for 30 min in a bath-type ultrasonicator. Then, 4 g of gelatin and 100 mL of the aqueous CNF suspension (1 wt%) were mixed; after that, 30 wt% (w/w) glycerol was mixed and then heated at 60 °C for 20 min with continuous stirring. The film-forming solution was then cast on a flat Teflon film-coated glass plate (0.24 m × 0.3 m) and dried at room temperature (23 ± 2 °C) for 48 h. The dried film was peeled off the plate and conditioned (25 °C and 50% RH). The film samples were designated as Gel/CNF, Gel/CNF/ZnONP1.0, and Gel/CNF/ZnONP2.0. Further information on how to characterize the film is provided in the Supporting Information.
3. Results and Discussion
3.1. Properties of the Film
3.1.1. Microstructure
The apparent image of the fabricated films is shown in Figure 1. The pure gelatin/CNF film is transparent and compatible due to the crosslinking interaction between the gelatin and cellulose [26]. The integration of ZnONP did not much change the appearance in the film. The film’s microstructure is also shown in Figure 1. All the fabricated films are intact without any pores. The surface image of pure film shows good compatibility between gelatin and CNF. Similar morphology results have also been observed in previously reported gelatin/CNF-based films [19]. The blending of ZnONP in the polymer matrix shows good dispersion of nanofillers. The cross-section microstructure of the film also showed good distribution of ZnONP; notably, there was no obvious accumulation of nanoparticles in the blend polymer mixture. Thus, the nanofillers reinforced fabricated film was well in shape and structure, which is expected to improve the physical properties of the film.
Figure 1.
Apparent image and SEM images of the films. (a): apparent image, (b): surface image, (c,d): cross-sectional image.
3.1.2. Color and Optical Properties
The surface color of the films was tested using a Chromameter, and the results are shown in Table 1. The lightness (L-value) of the film was >90% and was not influenced by the mixing of nanofillers. The a-value slightly reduced while the b-value increased slightly in the presence of ZnONP. As a whole, the total color difference was increased 2-fold. The findings are similar to the earlier reported data on ZnONP added pullulan/chitosan-based films [12]. The film’s whiteness index (WI) was also estimated, showing a very high WI > 89% even after adding 2 wt% of nanofillers, which is due to the white color of ZnONP.
Table 1.
Surface color and transmittance of the gelatin/CNF-based films.
The optical properties of the films are also evaluated using UV-vis absorption spectra, and the results are presented in Figure 2. The presence of ZnONP can be seen from the absorption profile of the films. The clear peak around 350 nm originated from the presence of ZnONP in the film matrix. ZnONP is known to show such an absorption spectrum; similar results have been reported previously [12]. Thus, the presence of ZnONP can be confirmed from the obtained UV-vis spectra data.
Figure 2.
UV-vis absorption profile of the gelatin/CNF-based films.
The UV-light barrier properties are an important feature in the food packaging regime. The UV-light barrier properties and transparency of the developed nanocomposite film were also tested using UV-vis transmittance at 280 and 660 nm, respectively, and the results are presented in Table 1. The control film showed some UV-light barrier properties owing to the aromatic amino acid present in gelatin [31]. The UV-light barrier properties of the nanocomposite film were improved strongly compared to pristine film, and in the case of 2 wt% of ZnONP, the UV-barrier properties were enhanced by more than 95% and this kind of packaging film can be very useful in the case of UV-light sensitive foods. The transparency of the control film was high (~90%) and, interestingly, decreased significantly due to the combination of nanofillers, although high enough (~75%) for transparent food packaging applications. Comparable UV-barrier properties and transparency results have been reported in the case of ZnO nanorod reinforced CNF-based films [22].
3.1.3. FTIR and XRD Analysis
FTIR spectra of the fabricated film are shown in Figure 3. The FTIR data showed the chemical interaction between the two matrices and fillers. The major chemical group observed in the FTIR spectra are 3280 (-OH), 2930 & 2877 (-C-H), 1630 (-CO-NH), 1540 (-N-H), 1452 (-C-N), 1235 (-N-H) and 1027 (-C-O-C) cm−1 [32,33,34]. In the FTIR spectra peak for both gelatin (amide (1540, 1235 cm−1), peptide (1630 cm−1)) and cellulose molecules (pyranose (1027 cm−1)) [19]. The induction of ZnONP did not show the formation of a new peak or noteworthy chemical shift in peak position, but there were minor changes in peak position or intensity (3280, 1630, 1235, 1027). The minor changes in the FTIR pattern could be due to the H-bonding and other physical interactions [19]. In the case of ZnONP integrated CNF-based films, a similar result was reported previously [22]. XRD analysis of the nanocomposite film is presented in the Supporting Information.
Figure 3.
FTIR spectra of the gelatin/CNF-based films.
3.1.4. Thermal Stability
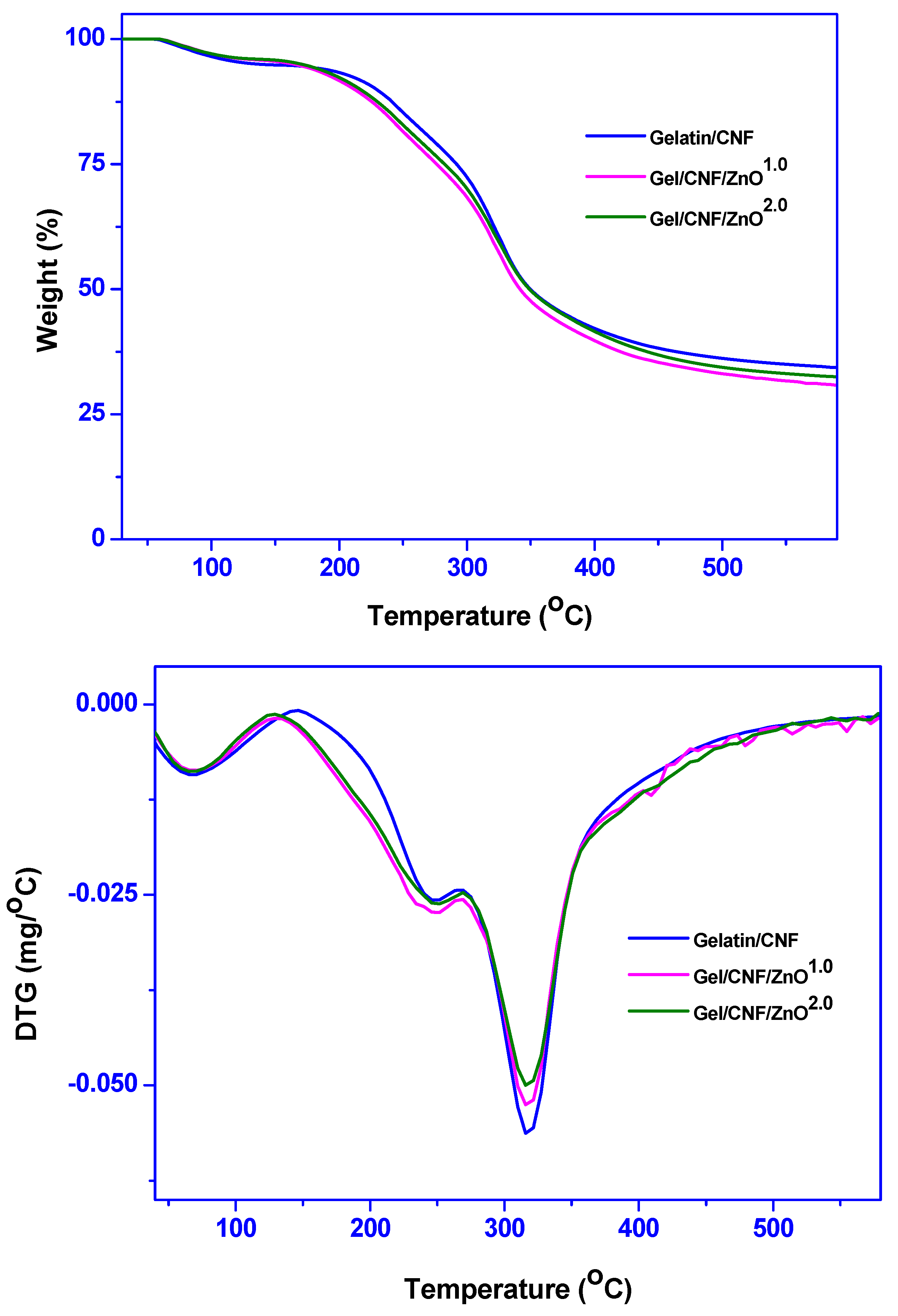
The TGA and DTG thermograms of the films are presented in Figure 4. A three-step weight loss was observed in the DTG data, in which the first maximum weight loss appeared around ~70 °C due to the evaporation of moisture [35]. The second maximum weight loss occurred at ~225 °C, presumed to be the degradation of glycerol and low molecular weight protein [16,35]. The last and major maximum weight loss was detected at ~310 °C owing to the degradation of cellulose and high molecular weight proteins of gelatin [36]. The 50% thermal degradation of all the films was at 345–350 °C, and the presence of ZnONP did not significantly impact the half degradation. From the thermal degradation pattern, it was seen that the addition of nanofiller did not much change the thermal stability of the film. The final non-ignitable residue was found to be 30–34%, and interestingly the char amount was slightly lower in the case of nanocomposite films. Analogous thermal degradation behavior was reported in the case of sulfur nanoparticles reinforced gelatin/CNF-based nanocomposite film [19]. In an earlier report, it has also been shown that the blending of ZnONP did not much influence the thermal stability of bio-based films [12,22].
Figure 4.
TGA and DTG thermograms of the gelatin/CNF-based films.
3.1.5. Mechanical Properties
The mechanical properties of the gelatin/CNF-based films are shown in Table 2. Although the film thickness did not change significantly due to incorporating ZnONPs, the mechanical properties were significantly affected. The mechanical tensile strength (TS) of the control film was ~70 MPa, but the integration of ZnONP showed a great reinforcing effect, and the TS was improved to 88.8 and 94.5 MPa by adding 1 wt% and 2 wt% of ZnONP, respectively. Elongation at break (EB) was also increased by 1.5 times due to reinforcement, resulting in slightly improved flexibility. The modulus of elasticity (EM) of the nanocomposite film also showed an improvement similar to that of TS, indicating that the film’s stiffness was increased. The film’s mechanical properties of the ZnONP reinforced film were pointedly enhanced, most likely owing to the strong interfacial interaction among the polymer matrix and nanofillers [37,38]. The excellent dispersion of the nanofillers and no agglomeration, as seen in the SEM image, also support the enhancement in the mechanical properties of the nanocomposite films. As seen in the current observation, a similar reinforcement effect of ZnONP was reported in the case of pullulan/chitosan and CNF-based films, respectively [12,22].
Table 2.
Mechanical properties of the gelatin/CNF-based films.
3.1.6. Hydrodynamic Properties
The hydrodynamic properties, namely water vapor permeability (WVP) and water contact angle (WCA), moisture content (MC), water solubility (WS), and swelling ratio (SR) of the gelatin/CNF-based films are presented in Table 3.
Table 3.
Water vapor permeability, contact angle moisture content, water solubility, and swelling ratio of the gelatin/CNF-based films.
The WVP of the film was <1 × 10−9 g·m/m2·Pa·s in all films, which is similar to the previously reported data [19]. Interestingly the reinforcement of ZnONP did not improve the water barrier properties of the gelatin/CNF-based films. Conversely, incorporating ZnONP improved the carrageenan film’s water vapor barrier properties [27]. The WCA of the control film was ~59°, and that increased by about 10% due to the addition of hydrophobic ZnONP. A similar increase in the hydrophobicity of carrageenan film due to the reinforcement of ZnONP was reported in an earlier report [27]. Even though the film’s WCA is increased, the film is still hydrophilic. The moisture content of all the films was below 7.5% and, most importantly, the addition of ZnONP slightly increased the MC but the alteration was not significant. The low MC value means less hydrophilicity which is good for packaging purposes. Previously reduction in MC was reported in the case of ZnONP incorporated CNF-based films [22]. The WS of the films was decreased from ~48 to 37% due to the reinforcement of ZnONP. This 20% improvement in water resistance properties of the film could be due to the increase in hydrophobicity and crosslink density between the polymer matrix and nanofillers [39]. As reported here, the addition of ZnONP in the chitosan also showed improvement in the WS of the film [40]. The SR of the control film was ~538%, indicating good water holding ability and this property slightly increased (~7.5%) in the case of nanocomposite films; this might be because of the increase in the crosslinking density and porosity as well as the water retention capability of the gelatin/CNF polymer matrix [41]. A similar result was reported in ZnONP added CNF film published previously [22].
3.2. Antimicrobial Activity
The antimicrobial activity of the ZnONP reinforced film was checked using the colony count method against E. coli and L. monocytogenes, and the results are shown in Figure 5. The gelatin/CNF film antibacterial activity was strongly improved in the presence of ZnONP and the activity was slightly more in case of E. coli than the counterpart, which is presumably owing to the difference in Gram positive and Gram negative cell wall structure [42,43]. Comparable antibacterial activity of ZnONP added CNF film was reported previously [22]. The antibacterial activity of the ZnONP added film was time-dependent. Even though the presence of ZnONP in the film showed good antibacterial activity against both tested foodborne pathogens, the growth of the microbes could not be completely arrested. The relatively low antibacterial activity of the fabricated film was most likely due to the slow release of Zn2+ ions from the gelatin/CNF polymer matrix. Moreover, the ZnONP’s antibacterial activity varies depending on the morphology and fabrication recipe.
Figure 5.
Antimicrobial activity of the gelatin/CNF-based films.
The exact mechanism of ZnONP’s antibacterial activity is completely understood, but it is presumed that the released zinc ions in the solution raise the bacterial membrane’s permeability by disturbing the cell membrane [44]. Moreover, some reactive oxygen species are believed to be produced during the interaction between ZnONP and bacteria, generating oxidative stress in bacterial cells [45]. Previous reports have also discussed the strong antibacterial activity of the ZnONP added to various biopolymer-based packaging films [13,15,45,46,47].
4. Conclusions
Gelatine and cellulose nanofiber (CNF) based nanocomposite films were developed by adding zinc oxide nanoparticles (ZnONP) as nanofillers. The developed nanocomposite film was transparent and exhibited strong UV protection properties (>95%). The nanocomposite film was strong (TS > 90 MPa), and the mechanical strength of the gelatin/CNF-based film improved significantly after incorporation with ZnONP. The hydrophobicity and water resistance of the developed nanocomposite film were also significantly increased. In addition, the ZnONP-added gelatin/CNF-based film showed excellent antibacterial activity against foodborne pathogens. Therefore, ZnONP-reinforced gelatin/CNF-based films are expected to have further applications in active food packaging applications.
Supplementary Materials
The following Supporting Information can be downloaded at: https://www.mdpi.com/article/10.3390/jcs6080223/s1, Film characterization methods. Figure S1. XRD analysis of the nanocomposite films.
Author Contributions
Conceptualization, S.R.; methodology, S.R.; software, S.R. and D.B.; validation, S.R., D.B. and J.-W.R.; formal analysis, S.R. and D.B.; investigation, S.R.; resources, J.-W.R.; data curation, S.R.; writing—original draft preparation, S.R. and D.B.; writing—review and editing, S.R., D.B. and J.-W.R.; visualization, S.R., D.B. and J.-W.R.; supervision, J.-W.R.; project administration, J.-W.R.; funding acquisition, J.-W.R. All authors have read and agreed to the published version of the manuscript.
Funding
This work was supported by the National Research Foundation of Korea (NRF) grant funded by the Korean government (MSIT) (No. 2022R1A2B02001422).
Conflicts of Interest
The authors declare no conflict of interest.
References
- Zhao, L.; Zhang, M.; Mujumdar, A.S.; Wang, H. Application of carbon dots in food preservation: A critical review for packaging enhancers and food preservatives. Crit. Rev. Food Sci. Nutr. 2022. [Google Scholar] [CrossRef] [PubMed]
- Smaoui, S.; Ben Hlima, H.; Tavares, L.; Ennouri, K.; Ben Braiek, O.; Mellouli, L.; Abdelkafi, S.; Khaneghah, A.M. Application of essential oils in meat packaging: A systemic review of recent literature. Food Control 2021, 132, 108566. [Google Scholar] [CrossRef]
- Priyadarshi, R.; Roy, S.; Ghosh, T.; Biswas, D.; Rhim, J.-W. Antimicrobial nanofillers reinforced biopolymer composite films for active food packaging applications—A review. Sustain. Mater. Technol. 2021, 321, e00353. [Google Scholar] [CrossRef]
- Çiçek, S.; Özoğul, F. Nanotechnology-based preservation approaches for aquatic food products: A review with the current knowledge. Crit. Rev. Food Sci. Nutr. 2022. [Google Scholar] [CrossRef] [PubMed]
- Roy, S.; Kim, H.-J.; Rhim, J.-W. Synthesis of Carboxymethyl Cellulose and Agar-Based Multifunctional Films Reinforced with Cellulose Nanocrystals and Shikonin. ACS Appl. Polym. Mater. 2021, 3, 1060–1069. [Google Scholar] [CrossRef]
- Kim, W.; Han, T.; Gwon, Y.; Park, S.; Kim, H.; Kim, J. Biodegradable and Flexible Nanoporous Films for Design and Fabrication of Active Food Packaging Systems. Nano Lett. 2022, 22, 3480–3487. [Google Scholar] [CrossRef] [PubMed]
- Huang, S.; Xiong, Y.; Zou, Y.; Dong, Q.; Ding, F.; Liu, X.; Li, H. A Novel Colorimetric Indicator Based on Agar Incorporated with Arnebia euchroma Root Extracts for Monitoring Fish Freshness. Food Hydrocoll. 2019, 90, 198–205. [Google Scholar] [CrossRef]
- Łopusiewicz, Ł.; Macieja, S.; Śliwiński, M.; Bartkowiak, A.; Roy, S.; Sobolewski, P. Alginate Biofunctional Films Modified with Melanin from Watermelon Seeds and Zinc Oxide/Silver Nanoparticles. Materials 2022, 15, 2381. [Google Scholar] [CrossRef]
- Hari, K.; Garcia, C.; Shin, G.-H.; Kim, J.-T. Improvement of the UV Barrier and Antibacterial Properties of Crosslinked Pectin/Zinc Oxide Bionanocomposite Films. Polymers 2021, 13, 2403. [Google Scholar] [CrossRef] [PubMed]
- Saedi, S.; Shokri, M.; Kim, J.T.; Shin, G.H. Semi-transparent regenerated cellulose/ZnONP nanocomposite film as a potential antimicrobial food packaging material. J. Food Eng. 2021, 307, 110665. [Google Scholar] [CrossRef]
- Kim, H.-J.; Roy, S.; Rhim, J.-W. Gelatin/agar-based color-indicator film integrated with Clitoria ternatea flower anthocyanin and zinc oxide nanoparticles for monitoring freshness of shrimp. Food Hydrocoll. 2022, 124, 107294. [Google Scholar] [CrossRef]
- Roy, S.; Priyadarshi, R.; Rhim, J.-W. Development of Multifunctional Pullulan/Chitosan-Based Composite Films Reinforced with ZnO Nanoparticles and Propolis for Meat Packaging Applications. Foods 2021, 10, 2789. [Google Scholar] [CrossRef] [PubMed]
- Ngo, T.M.P.; Dang, T.M.Q.; Tran, T.X.; Rachtanapun, P. Effects of Zinc Oxide Nanoparticles on the Properties of Pectin/Alginate Edible Films. Int. J. Polym. Sci. 2018, 2018, 5645797. [Google Scholar] [CrossRef] [Green Version]
- Lee, S.W.; Said, N.S.; Sarbon, N.M. The effects of zinc oxide nanoparticles on the physical, mechanical and antimicrobial properties of chicken skin gelatin/tapioca starch composite films in food packaging. J. Food Sci. Technol. 2020, 58, 4294–4302. [Google Scholar] [CrossRef] [PubMed]
- Roy, S.; Rhim, J.-W. Carboxymethyl cellulose-based antioxidant and antimicrobial active packaging film incorporated with curcumin and zinc oxide. Int. J. Biol. Macromol. 2020, 148, 666–676. [Google Scholar] [CrossRef]
- Liu, J.; Zhang, L.; Liu, C.; Zheng, X.; Tang, K. Tuning structure and properties of gelatin edible films through pullulan dialdehyde crosslinking. LWT Food Sci. Technol. 2020, 138, 110607. [Google Scholar] [CrossRef]
- Roy, S.; Rhim, J.-W. Gelatin-Based Film Integrated with Copper Sulfide Nanoparticles for Active Packaging Applications. Appl. Sci. 2021, 11, 6307. [Google Scholar] [CrossRef]
- Mihalca, V.; Kerezsi, A.; Weber, A.; Gruber-Traub, C.; Schmucker, J.; Vodnar, D.; Dulf, F.; Socaci, S.; Fărcaș, A.; Mureșan, C.; et al. Protein-Based Films and Coatings for Food Industry Applications. Polymers 2021, 13, 769. [Google Scholar] [CrossRef] [PubMed]
- Roy, S.; Rhim, J.-W. Gelatin/cellulose nanofiber-based functional films added with mushroom-mediated sulfur nanoparticles for active packaging applications. J. Nanostruct. Chem. 2022. [Google Scholar] [CrossRef]
- Rukmanikrishnan, B.; Ramalingam, S.; Rajasekharan, S.K.; Lee, J.; Lee, J. Binary and ternary sustainable composites of gellan gum, hydroxyethyl cellulose and lignin for food packaging applications: Biocompatibility, antioxidant activity, UV and water barrier properties. Int. J. Biol. Macromol. 2020, 153, 55–62. [Google Scholar] [CrossRef]
- Haghighi, H.; Biard, S.; Bigi, F.; De Leo, R.; Bedin, E.; Pfeifer, F.; Siesler, H.W.; Licciardello, F.; Pulvirenti, A. Comprehensive characterization of active chitosan-gelatin blend films enriched with different essential oils. Food Hydrocoll. 2019, 95, 33–42. [Google Scholar] [CrossRef]
- Roy, S.; Kim, H.; Panicker, P.; Rhim, J.-W.; Kim, J. Cellulose Nanofiber-Based Nanocomposite Films Reinforced with Zinc Oxide Nanorods and Grapefruit Seed Extract. Nanomaterials 2021, 11, 877. [Google Scholar] [CrossRef] [PubMed]
- Roy, S.; Kim, H.C.; Kim, J.W.; Zhai, L.; Zhu, Q.Y.; Kim, J. Incorporation of melanin nanoparticles improves UV-shielding, mechanical and antioxidant properties of cellulose nanofiber based nanocomposite films. Mater. Today Commun. 2020, 24, 100984. [Google Scholar] [CrossRef]
- Kim, H.-J.; Roy, S.; Rhim, J.-W. Effects of various types of cellulose nanofibers on the physical properties of the CNF-based films. J. Environ. Chem. Eng. 2021, 9, 106043. [Google Scholar] [CrossRef]
- Kwak, H.W.; You, J.; Lee, M.E.; Jin, H.-J. Prevention of cellulose nanofibril agglomeration during dehydration and enhancement of redispersibility by hydrophilic gelatin. Cellulose 2019, 26, 4357–4369. [Google Scholar] [CrossRef]
- Campodoni, E.; Montanari, M.; Dozio, S.M.; Heggset, E.B.; Panseri, S.; Montesi, M.; Tampieri, A.; Syverud, K.; Sandri, M. Blending Gelatin and Cellulose Nanofibrils: Biocomposites with Tunable Degradability and Mechanical Behavior. Nanomaterials 2020, 10, 1219. [Google Scholar] [CrossRef] [PubMed]
- Roy, S.; Rhim, J.-W. Carrageenan-based antimicrobial bionanocomposite films incorporated with ZnO nanoparticles stabilized by melanin. Food Hydrocoll. 2019, 90, 500–507. [Google Scholar] [CrossRef]
- Xiao, Y.; Liu, Y.; Kang, S.; Wang, K.; Xu, H. Development and evaluation of soy protein isolate-based antibacterial nanocomposite films containing cellulose nanocrystals and zinc oxide nanoparticles. Food Hydrocoll. 2020, 106, 105898. [Google Scholar] [CrossRef]
- Kim, I.; Viswanathan, K.; Kasi, G.; Thanakkasaranee, S.; Sadeghi, K.; Seo, J. ZnO Nanostructures in Active Antibacterial Food Packaging: Preparation Methods, Antimicrobial Mechanisms, Safety Issues, Future Prospects, and Challenges. Food Rev. Int. 2020, 38, 537–565. [Google Scholar] [CrossRef] [Green Version]
- Roy, S.; Rhim, J.-W. Starch/agar-based functional films integrated with enoki mushroom-mediated silver nanoparticles for active packaging applications. Food Biosci. 2022, 49, 101867. [Google Scholar] [CrossRef]
- Cao, N.; Fu, Y.; He, J. Mechanical properties of gelatin films cross-linked, respectively, by ferulic acid and tannin acid. Food Hydrocoll. 2007, 21, 575–584. [Google Scholar] [CrossRef]
- He, Q.; Zhang, Y.; Cai, X.; Wang, S. Fabrication of gelatin–TiO2 nanocomposite film and its structural, antibacterial and physical properties. Int. J. Biol. Macromol. 2016, 84, 153–160. [Google Scholar] [CrossRef] [PubMed]
- Jeon, J.G.; Kim, H.C.; Palem, R.R.; Kim, J.; Kang, T.J. Cross-linking of cellulose nanofiber films with glutaraldehyde for improved mechanical properties. Mater. Lett. 2019, 250, 99–102. [Google Scholar] [CrossRef]
- Ejaz, M.; Arfat, Y.A.; Mulla, M.; Ahmed, J. Zinc oxide nanorods/clove essential oil incorporated Type B gelatin composite films and its applicability for shrimp packaging. Food Packag. Shelf Life 2018, 15, 113–121. [Google Scholar] [CrossRef]
- Roy, S.; Rhim, J.-W. Genipin-Crosslinked Gelatin/Chitosan-Based Functional Films Incorporated with Rosemary Essential Oil and Quercetin. Materials 2022, 15, 3769. [Google Scholar] [CrossRef]
- Ahmed, J.; Mulla, M.; Joseph, A.; Ejaz, M.; Maniruzzaman, M. Zinc oxide/clove essential oil incorporated type B gelatin nanocomposite formulations: A proof-of-concept study for 3D printing applications. Food Hydrocoll. 2020, 98, 105256. [Google Scholar] [CrossRef]
- Roy, S.; Rhim, J.-W.; Jaiswal, L. Bioactive Agar-Based Functional Composite Film Incorporated with Copper Sulfide Nanoparticles. Food Hydrocoll. 2019, 93, 156–166. [Google Scholar] [CrossRef]
- Yataka, Y.; Suzuki, A.; Iijima, K.; Hashizume, M. Enhancement of the mechanical properties of polysaccharide composite films utilizing cellulose nanofibers. Polym. J. 2020, 52, 645–653. [Google Scholar] [CrossRef]
- Roy, S.; Priyadarshi, R.; Rhim, J.-W. Gelatin/agar-based multifunctional film integrated with copper-doped zinc oxide nanoparticles and clove essential oil Pickering emulsion for enhancing the shelf life of pork meat. Food Res Int. 2022, 160, 111690. [Google Scholar] [CrossRef]
- Yadav, S.; Mehrotra, G.; Dutta, P. Chitosan based ZnO nanoparticles loaded gallic-acid films for active food packaging. Food Chem. 2020, 334, 127605. [Google Scholar] [CrossRef]
- Jayaramudu, T.; Varaprasad, K.; Kim, H.C.; Kafy, A.; Kim, J.W.; Kim, J. Calcinated tea and cellulose composite films and its dielectric and lead adsorption properties. Carbohydr. Polym. 2017, 171, 183–192. [Google Scholar] [CrossRef] [PubMed]
- Kousheh, S.A.; Moradi, M.; Tajik, H.; Molaei, R. Preparation of antimicrobial/ultraviolet protective bacterial nanocellulose film with carbon dots synthesized from lactic acid bacteria. Int. J. Biol. Macromol. 2020, 155, 216–225. [Google Scholar] [CrossRef] [PubMed]
- Satriaji, K.P.; Garcia, C.V.; Kim, G.H.; Shin, G.H.; Kim, J.T. Antibacterial bionanocomposite films based on CaSO4-crosslinked alginate and zinc oxide nanoparticles. Food Packag. Shelf Life 2020, 24, 100510. [Google Scholar] [CrossRef]
- Xie, Y.; He, Y.; Irwin, P.L.; Jin, T.; Shi, X. Antibacterial Activity and Mechanism of Action of Zinc Oxide Nanoparticles against Campylobacter jejuni. Appl. Environ. Microbiol. 2011, 77, 2325–2331. [Google Scholar] [CrossRef] [PubMed] [Green Version]
- Alavi, M.; Nokhodchi, A. An overview on antimicrobial and wound healing properties of ZnO nanobiofilms, hydrogels, and bionanocomposites based on cellulose, chitosan, and alginate polymers. Carbohydr. Polym. 2020, 227, 115349. [Google Scholar] [CrossRef] [PubMed]
- Kumar, S.; Boro, J.C.; Ray, D.; Mukherjee, A.; Dutta, J. Bionanocomposite films of agar incorporated with ZnO nanoparticles as an active packaging material for shelf life extension of green grape. Heliyon 2019, 5, e01867. [Google Scholar] [CrossRef] [PubMed] [Green Version]
- Boura-Theodoridou, O.; Giannakas, A.; Katapodis, P.; Stamatis, H.; Ladavos, A.; Barkoula, N.-M. Performance of ZnO/chitosan nanocomposite films for antimicrobial packaging applications as a function of NaOH treatment and glycerol/PVOH blending. Food Packag. Shelf Life 2020, 23, 100456. [Google Scholar] [CrossRef]
Publisher’s Note: MDPI stays neutral with regard to jurisdictional claims in published maps and institutional affiliations. |
© 2022 by the authors. Licensee MDPI, Basel, Switzerland. This article is an open access article distributed under the terms and conditions of the Creative Commons Attribution (CC BY) license (https://creativecommons.org/licenses/by/4.0/).




