Next Article in Journal
Enhancing Mechanical Properties of Polyamide 66 with Carbon-Based Nano-Fillers: A Review
Next Article in Special Issue
Physical Foam Injection Molding of Cellulose Fiber Reinforced Polypropylene by Using CO2: Parameter Variation and Comparison to Chemical Foam Injection Molding
Previous Article in Journal
Evaluation of the Reinforcing Effect of Intermetallic and Ceramic Phases in a WE54-15%(Vol.%)SiCw Composite Using In Situ Synchrotron Radiation Diffraction
Previous Article in Special Issue
The Ultimate Tensile Strength of SiC/SiC Composites: Multiscale Approach
 
 
Font Type:
Arial Georgia Verdana
Font Size:
Aa Aa Aa
Line Spacing:
Column Width:
Background:
Review

Stability Improvement of Irradiated Polymer Composites by Inorganic Compounds—A Pertinent Solution with Respect to Phenolic Antioxidants

by
Traian Zaharescu
1,2,* and
Ademar B. Lugāo
2,*
1
Institute for Electrical Engineering, Advanced Research, INCDIE ICPE CA, 030138 Bucharest, Romania
2
Nuclear Energy Research Institute, IPEN/CNEN-SP, São Paulo 05508-000, SP, Brazil
*
Authors to whom correspondence should be addressed.
J. Compos. Sci. 2025, 9(1), 47; https://doi.org/10.3390/jcs9010047
Submission received: 11 December 2024 / Revised: 14 January 2025 / Accepted: 16 January 2025 / Published: 19 January 2025
(This article belongs to the Special Issue Feature Papers in Journal of Composites Science in 2024)

Abstract

The long-term usage of polymer products necessitates addressing the appropriate preservation of their low oxidation state that extends the warranty period. The addition of pertinent stabilization components into the composite formulations (synthesis and natural antioxidants, pristine and doped oxides, clays or couples of them) produces an improvement in the kinetic parameters characterizing the accelerated degradation that occurs during high-energy exposures. The competition between the material ageing and the mitigation of oxidation is controlled by the protection efficiency. In this paper, the main advantages of inorganic structures in comparison to classical organic antioxidants are emphasized. A significant improvement in stability, simultaneously associated with the enhancing of functional characteristics, the lack of migration, low cost and easy accessibility, make the reevaluation of certain fillers as stabilizers appropriate. The correlation between the functional properties and the filler nature in polymer materials may be reconsidered for the assessment of the participation capability of inorganic structures in the inhibition of oxidation by the inactivation of free radicals. The lifetimes of degradation intermediates extended by the activities of inorganic compounds are increased by means of electrical interactions involving the unpaired electrons of molecular fragments. These physical contributions are reflected in chemical stability. An essential feature for the presented inorganic options is a strong impact on the recycling technologies of polymers by radiation processing. Plastic products, including all categories of macromolecular materials, can gain an increased durability through the inorganic alternative of protection.

1. Introduction

The radiation processing of polymers may be a valid option to be preferred over other technologies involved in the deep modification of polymers due to its versatility, its accelerated fabrication rates and the alternative diversity of products. The action of incidental radiation is associated with a certain level of oxidation [1], if the substrate does not contain an appropriate compound for the mitigation of structural deterioration [2]. The fragmentation of molecules [3] followed by the competitive processes of oxidation and/or crosslinking creates the proper conditions for the conversion of irradiated material into the desired product with preset capabilities [4]. The modifications induced by incidental radiation are initiated by the energetic transfer [5], which is not selectively conducted along the molecular backbones. However, the presence of polarizing branches influences the breaking bonds [6] that trigger chain splitting. The physical characteristics related to structural peculiarities may distinguish the inorganic compounds with the protection features from the “classical” antioxidants.
Modern technologies based on radiation effects are becoming more and more frequently applied due to their conversion potential. Due to the radiolysis mechanisms, the intermediates may be transformed into new hydrocarbon structures or oxygenated stable products [7]. The material properties closely related to bond strengths, molecular branching, functionalization and crosslinking degree, formulation, morphology, glass transition temperature and viscosity influence the product behavior with respect to the radiation resistance and rate of degradation [8]. The durability of polymer materials subjected to the action of high-energy radiation is tightly conditioned by the presence of different compounds like additives or fillers, which in turn have an effect on the evolution of the oxidation state or the product consistency [9,10]. The two specific routes, namely suitable protection against oxidation and molecular reconstruction, are followed, if the defensing agents are present, due to their involvement in the propagation stage of any degradation [11]. The contribution of a protective component added to the material formulation is fundamentally based on its interaction with free radicals, whose decay depends on the scavenging activity of the anti-ageing phase. The efficiency of the improvement of material properties simultaneously reached by the preservation of the oxidation state may be evaluated by the reinforcement development, properly illustrated by the attendant changes. The modifications that occur in the acquired level of vulnerability determine the material’s ability to resist over long-term usage under stressing conditions [12]. The consequence of backbone scissions leads to the acquired structural transformations [13], which predict the improvement in the characteristics of processed polymers concerning the mitigation of oxidation. On the opposite side, the advanced degradation is accompanied by the worsening of operation parameters [14]. Accordingly, the presence of certain inorganic compounds in the radiation-processing recovery of polymer wastes may represent a pertinent option for recycling, if this suitable compound is involved in the minimization of radiation effects on engineering features [15].
During the irradiation treatment or the product service, the avoidance of polymer debasement by the addition of an oxidation inhibitor is one of the basic considerations by which the products keep their longer durability [16]. The validation keystone of controlling oxidation of polymers is the significant manner of the modeling degradation by the inactivation of molecular fragments with respect to their conversion into the stable oxygenated products [17].
This survey has a peculiar target by which the appropriate formulations of irradiated plastics can be converted into useful products without structural restrictions. It intends to demonstrate that compounds like hindered phenols or amines are not unique options for the protection of polymers against their degradation. Inorganic stabilizers present the great advantage of inertial preservation of properties over the large ranges of energetic radiation exposure that are inert in radiation fields. This way of processing or reclaiming becomes efficient when the performances of the material are not altered, and the contribution of the inorganic phase consists of the control over the evolution of the radiolysis intermediates. The functionality of polymer products modified by inorganic components may limit the material fatigue after irradiation due to the interactions between the filler and polymer bulk at the interphase boundaries [18,19,20].
In this paper, the majority of reported results were acquired by the accurate measurements of the chemiluminescence investigation method, whose recorded intensities observe the structural modifications that occurred during oxidation [21]. This option was preferred because it is an accurate tool used for the appropriation proofs of protection suitability. The accumulation of oxygenated intermediates [22] leads to proportional photon emission, whose chemiluminescence (CL) intensity dependencies on time or temperature allow for the qualification of radiation strength, antioxidant efficiencies or substituent effects on the material durability. The CL emission mechanism is presented in Figure 1.
The proportionality between the measured CL intensity and the accumulated amount of peroxyl radicals may be an indication of polymer degradability.

2. Mechanistic Approach

The radiation technologies are usually based on the fragmentation of backbones [23], preparing the engineering materials for further processing like crosslinking, grafting, surface modification, recycling. The assistance of radiation treatments applied to the modification of polymers gains a real industrial interest and support, if they are not associated with a certain degree of oxidation. This requirement is addressed to the polymers belonging to the degrading structures. The mitigation of oxidation can be achieved by the addition of functional monomers [24], synthesis compounds [25], natural fillers [26] antioxidants, certain appropriate inorganic fillers [27] and component compatibilization of polymer blends [28].
The monitoring of the high performance of plastics has led to the synthesis of hindered phenols and amines, whose protection mechanism against oxidation is explained by the substitution of their mobile proton [29,30]. This means that the efficiency of each structure depends strongly on the bonding energy of mobile protons, which retains the attaching radiolysis fragments of the polymer. The mechanism in which hindered phenols are involved is presented in Figure 2a.
The breaking degradation chain is the process through which these organic compounds act. The information on the stabilization stages concerns the consumption of antioxidants, which is the nonselective consequence during the irradiation of organic materials [31]. A detailed study on the availability of synthesis antioxidants for oxidation protection has emphasized the exudation of these additives onto the outer part of polymer sheets, minimalizing their efficiency [32]. The suggested capability of organic antioxidants related to their significant mitigation features remains the main studied subject by which the qualification assays are accomplished [33]. The great disadvantage that appears due the presence of synthesis antioxidants in the formulations of polymer materials is their high prices, along with the formation of several intermediates, which induce harmful effects for human bodies [34]. The exceptions from this feature are polyphenols, whose intermediates also present antioxidant properties [35] and are healthcare agents. In addition, the products resulting from the oxidation of organic stabilizers significantly modify the durability of host materials because they accelerate the ageing phenomena [36].
The stabilization versions using inorganic structures are based on electrical interactions, which involve the free-radical-possessing unpaired electron. The existence of certain zones in the inorganic configuration with an electron density lower than the surrounding regions (Figure 2b,c) leads to the trend of filling the electron deficit by means of outer electrons [37]. This physical structure represents the main feature that is a relevant attribute characterizing the scavenging activity of inorganic components. This type of defect may appear either by the scission of a bond as it occurs in the powder of POSS (polyhedral oligomeric silsesquioxane), an inorganic structure based on the intercalation of -Si-O- units, under the influence of certain substituents [38], by the deterioration of a ligand belonging to a complex structure [39] or by the effects of the doping metallic atoms in the modified oxide filler [40]. The exposure of these types of composites to intense energetic transfer from incidental radiation induces a supplementary number of “defects”, which additionally contribute to the formation of scavenging centers on the surface of filler particles. From this point of view, the increase in the stabilization activity is promoted by the energetic difference between the valence bands of the lattice and dopant playing the role of trap, equivalent with the lattice defect (Figure 3).
In support of this approach, the delay of oxidation that occurs in polypropylene induced by lead zirconate powder is exemplified (Figure 4). The protection efficiency is based on the multiplication of the trap concentration, which increases the stabilization activity of the additive [41].
Actually, the identification of stabilization performances achieved by chemiluminescence (CL) measurements (the isothermal and nonisothermal procedures) allows the evolution of the oxidation state in the degrading polymer composites [42,43] or the evaluation of antioxidant activities [40].
The intimate interaction between the lattice defects placed on the surface of filler particles and radiolysis intermediates is basically explained by the electrical attraction of free radicals, followed by the mitigation of oxidation over a long period of their retention. The inorganic compounds which are not subjected to any special treatment may be considered as a potential stabilizer [44], whose participation in the protection activity is conditioned by the particle size, filler loading, received dose, defect concentration.
The presence of an inorganic compound able to promote the diminution of oxidation rates makes possible the improvement of material lifetimes by radiation crosslinking [45], which represents a main gain for reaching a conservative oxidation level during accelerated ageing.
In some peculiar cases of polymers, the increase in the thermal and radiation strengths is obtained by means of the Wan der Waals bridges between the inorganic nanoparticles closed to hydrocarbon chains [46]. This stabilization manner is also applied for the improvement of durability in hydrocarbon polymers by the addition of various inorganic compounds like oxides [23,47,48,49,50].
Important information on the rate abatement during the mitigation of oxidation can be obtained for the identification of appropriate materials suitable for radiation processing purposes.

3. Polymer Systems Improved by Inorganic Protectors

Detailed analysis of the thermal resistance property shown by the polymer formulations is pertinent for the correct definition of the ageing consequences on the behavior of the material subjected to unfriendly application conditions. As a result, the extended stability achieved by the activity of the additives means enlarging the operation ranges, as well as the optimization of the working regimes.

3.1. Inorganic Complexes

The existence of free orbitals in the structure of the central atom creates favorable conditions for the catching of the free radicals that appear during the degradation of polymers due to their electron affinity [51]. This property is illustrated by a series of copper complexes including water molecules, sulfate anions and a thiosemicarbazone derivative [52]. Various configurations with different electronic densities were obtained for the stability testing. Six different structures were added into an ethylene-propylene-diene monomer (EPDM) [53]. The evolution of carbonyl radiochemical yields (Figure 5) indicates the availability of studied structures to confine the oxidation process initiated by the radiolysis of polymer support (EPDM). This yield, Gcarbonyl, is a radiolysis characteristic that describes how many indicated entities appear with an absorption of 100 eV.
The lower values of Gcarbonyl for all composites containing the investigated copper complexes suggest various degrees of involvement, shown by these structures for the inactivation of free radicals during the propagation stage of degradation. The additional information regarding the intimate interactions between oxidizing polymer substrates and the additive can be found in Figure 6. So, the Oxidation Induction Time (OIT) is the early stage of degradation, when the oxidation advances very slowly so that its rate may be under the experimental limit. The longer the OIT, the higher the material stability. It describes the protection activities of copper complexes in the early stage of radiation oxidation by their values of oxidation induction times. The figures of activation energies suggest the promoting action of these compounds on the whole decay period.
Analogous results for the degradation of polypropylene assisted by several metal (II) salt complexes with 1,4-disubstituted thiosemicarbazide were reported [54]. Their protection efficiencies are compared with the activity of Irganox 1076(Merck, Darmstadt, Germany), whose effects are taken as references. The structural characteristics (electron densities and polarized bonds) define the safeguard amplitude effects, which recommend these compounds as appropriate anti-ageing additives for polymers. Another example of inorganic complexes playing the role of oxidation inhibitor is the series of azomethine compounds, which present an efficient reduction activity for the degradation process in the ethylene-propylene terpolymer (EPDM) [55]. Their different contribution degrees to the inhibition of the oxidative process are based on their promoted radiation stabilities at various heating rates (Figure 7). As may be noted from Figure 7, the complexed divalent central metals show, unlike contributions to the inactivation of free radicals generated by radiation, decomposition because of the different electronic distributions in the engaged bonds.
The inorganic complexes show pronounced antioxidative activities based on the reactivities of functional moieties which are suitable for coordination, and their availabilities for the electronic intercalation of polymer fragments in the outer sphere of coordination [56].

3.2. Inorganic Clays

The structural consequences during the degradation of composites revealed in polymer/clay materials can be identified as the effects of binding agents, which form intermolecular hydrogen bonds, improving the material’s thermal performance [57]. This conformation leads to the understanding of the barrier, which increases the opposition of polymer materials against the accelerated progresses of oxidation. The dispersion strategy of the clay powders like montmorillonite (MMT) in various polymer matrices concerns not only the increase in the values of oxygen diffusion coefficients due to the filling of the free intermolecular volume, but also the profound modifications of morphology due to the interaction between the two phases: organic component (polymer) and inorganic constituent (clay particles) [58]. This vision has opened the way by which oxides may become suitable materials for the quality augmentation of plastics by self-healing [59]. The stabilization effects of doped oxides are characterized by isothermal chemiluminescence determinations (Figure 8) [40] that indicate the convenient delay of oxidation due to pre-doping fillers. In radiation-treated polymer (EPDM) composites, the increases of carbonyl indices occur much more slowly (Figure 9) [40], which suggests the intimate involvement of structural traps in the doping oxides. The carbonyl index, the ratio between the absorbance at 1720 cm−1, the stretching band of carbonyls, and the absorbance at 1460 cm−1 as references (Figure 9) represent a suitable manner for the assessment of the degradation level. Although the oxidation degrees would be more prominent as the irradiation dose is higher, the conversion of polymer fragments into oxygenated products become less visible due to the activities of doped lead titanate (Figure 9) [40]. The protection becomes more efficient in the presence of doped oxides, keeping the carbonyl indices much smaller than in the control samples. The diminution of the oxidation levels is clearly ascribed to the scavenging of the oxidation initiators in the early stage of degradation. The efficiency of some dopants may certainly be defined by the deeper energetic traps (Figure 2).
When the ageing temperature becomes 180 °C, the values of oxidation induction times are placed between 45 and 60 min, showing that the extended energetic condition over higher temperatures sweeps the differences between the effects of dopants. However, the OIT (onset oxidation temperature that characterizes the thermal condition when the degradation starts) value of EPDM/PbTiO3 is much smaller (27 °C), which demonstrates the lack of any stabilization hindrance in comparison with the doped filler. The sequence of efficient protection for the doped inorganic filler is proved by the maximum CL intensities measured at 220 °C in the EPDM substrate. This feature is illustrated by nonisothermal chemiluminescence after the exposure of composite samples at 100 kGy (Figure 10).
The manufacturing of silicon clay (polyhedral oligomeric silsesquioxanes, POSS)/polymer hybrids [60] is an inspirited idea for the modification of thermal behavior by the initiation of catching polymer fragments during the lifespan of corresponding hybrids, especially under the accelerated degradation caused by high energy exposure [61,62,63,64]. These functional composites used over various application ranges are focused on energy harvesting and energetic storage as well as biomedical functions. They require compulsorily the characterization of material resistance with respect to the delving durability of these kinds of compositions. The stability limitation of these hybrid morphologies [65] is naturally addressed to the specific purposes, where their vulnerability to oxidation must be decelerated over the extended stability period. The influence of inorganic phase (POSS) concentration on the polymer supporting the stabilization effects in the polyurethane matrix [66] is sustained by the oxidation hindering promoted by the penetration ofearly formed degradation fragments (Figure 11).
When the local abundance exceeds a supported limit, the scavenging action is replaced by the rejection behavior. Accordingly, the degradation is controlled by the filler amount contained in the matrix (Figure 11), which reflects the barrier effect of the inorganic lattice for the penetration of scission fragments. The reorganized structure of the host polymer is obtained when POSS content in PLA acts upon the inhibition of oxidation by the increase of the crystallinity degree and degradation enthalpy [67]. In Figure 12, the efficiency of a high concentration of PbZrO3 in polypropylene is revealed, even at a longer irradiation time, when 250 kGy is absorbed by exposed samples. It is evident that both kinetic parameters, oxidation induction time and oxidation rate, bring consistent contributions of this kind of inorganic protector, which notably breaks the degradation chain. Accordingly, the initial oxidation state is preserved for the long duration of the application. A useful implication of this stabilization availability may be employed in the polymer recycling by radiation processing of about 250 million t per annum [68].
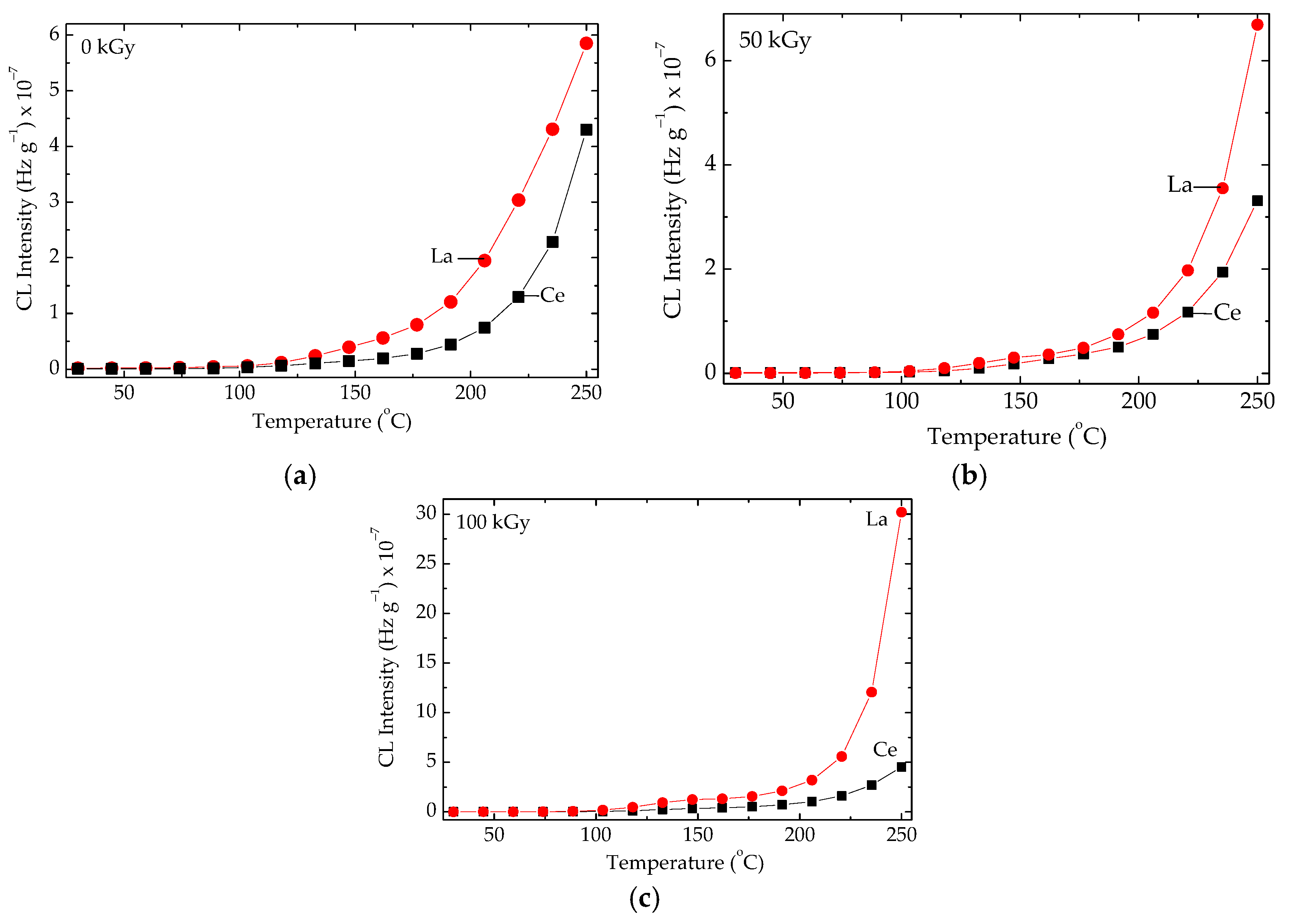
As may be noted from Figure 2, the engineering polymers are structurally preserved in the presence of doped inorganic compounds due to the multiplication of the defect number by γ-irradiation. The concentration of defects artificially formed in metal oxides adjusts the development of oxidation [68]. The inclusion of cerium atoms in the lattice of PbZrxTiyO3 slows down the advance of degradation, even at high temperatures exceeding 200 °C (Figure 13). The upper side positions of the CL curves of the thermal degradation describing the diminution of induction periods highlight the availability of the inorganic compounds for the retention of free radicals in the inactivity states. The evident protective role of doping atoms is supported by the energetic gap in the electronic lattice structure, when the doping atoms are caught strongly enough even at high inspection temperatures and in large doses [68].
The kinetic approach of the progress in the oxidation state of the EPDM modified with PbZrxTiyO3 reveals the higher values of the oxidation induction times, characterizing the CL emission intensities at 200 °C (Figure 14) at various doses. Although the diminution of OIT vs dose is a normal assessment of polymer behavior, all the figures of this degradation characteristic are longer for the oxidation of studied composites.
Moreover, the nature of the dopant influences the progress of oxidation (Figure 15). Therefore, the development of EPDM decay is differently affected by the doping atoms. The presence of an activator has beneficial consequences on the antioxidative strength of the composites consisting of polymer and inorganic components.

3.3. Polymer/Carbon Composites

The numerous applications of carbon-integrated polymers produced for special targets are structured composites that open up various research directions, where the fillers play the key roles of functional additive and stabilizer, as well [69,70]. Due to the scavenger role of carbon particles, the high energy irradiation of polymers containing various forms of carbon powders is an appropriate treatment for their crosslinking [18,71,72], surface modification by polymerization [73,74], the improved stability of polymer blends for reaching convenient electrical conduction [75] or durability [76] and the compatibilization of polymer blends [77].
The promising types of structured carbon, graphene and graphene oxide act as stabilizers of degrading polymers due to the interlayer free space, where electronic interactions keep the diffused free radicals tight [78]. The radiation-processed polymers, which contain a suitable blend of inorganic components, generate highly strengthened composites [79] by the tight interconnection of components. The material compactation initiated by graphene involves the migration of molecular fragments by the hexagon distribution of carbon layers. It is a background structural characteristic for the fabrication of the advanced bioactive scaffolds used in tissue regeneration [80]. The graphene-based polymer composites applied in energy storage, electronics, sensors, biomedical applications or corrosion and radiation protection are motivated by the dislodged electrons from the carbon atoms that become available to interact with free radicals by spin coupling [81]. The filler modified by the graduate electron density restrains the mobility of penetrated polymer fragments [82]. The commonly spread electrons are reoriented as polarized bonds. Thereby, the diffused radicals are tightly blocked inside the interlayer free volume. The distribution of various functions is controlled by the potential interactions according to the Lerf–Klinowski model [83]. Despite the less accessible prices, the graphene structures gain advanced positions through the efficient compounds included in the polymer compositions by which the natural or induced oxidation is constrained [84,85].
It is essential to understand the improved lifespan of composites in relation to the obtained performances after the addition of graphene into the structure of irradiated polymers. While the nonirradiated samples presented have clearly differentiated oxidation induction times [86], highlighting the well-conducted antioxidative activity of graphene (Figure 16), the nonisothermal investigation of γ-irradiated styrene-isoprene-styrene copolymer [86] has developed radiation stabilization efficiency by the decreasing emission intensities at 100 °C as the graphene content becomes greater (Figure 17). This preference in the significant amelioration of radiation resistance has a relevant effect on the functional properties of composites by the conveniently extended range, covering numerous application areas of radiation-processed polymers [75].

3.4. Organic/Inorganic Stabilization Couples

The structural alterations induced in polymers by ionizing radiation are responsible for the duration and warranty of products, which depend on the preservation of a low degree of oxidation. If a couple of stabilizers are added into the engineering materials [87], they will delay the degradation of products subjected to irreversible damage. The durable materials are created by the suitable association of classical antioxidants with inorganic structures [88]. The incorporation of an antioxidant in a hybrid optimizes the reliability and durability of long-term performance materials. The expected findings from this special efficiency of protective couples may be definitely focused on the delay of oxidation under accelerated degradation [89].
The structured polymer composites consisting of EPDM and POSS are successfully improved by the addition of the appropriate amounts (5 phr) of microalgal powders (Chlorella vulgaris and Spirulina platensis) [90]. The cooperation between the two protectors is suggestively illustrated by the growths of material durability (Figure 18a) and activation energies (Figure 18b).
As may be noted, the low degradation level is effectively maintained by the blocking of radical intermediates inside the tetragonal structure, simultaneously with the scavenging of free radicals by the alkoxyl structures of microalgal extracts. A similar case is offered by other polymers—for example, the styrene-isoprene-styrene triblock polymer, SIS, which demonstrates the availability of a couple POSS/extract of Spirulina platensis to strengthen polymer support against ultimate ageing (Figure 19) [91].
The attenuation effects involved in the anti-ageing contribution brought about by several polyphenols reveal their capacity to cooperate with inorganic compounds based on the differences between the involved mechanisms. The couple consisting of graphene oxide and rosemary extract reveals excellent protection effects (Figure 20 and Figure 21) [76], which recommend it as a convenient manner to convert polymer wastes into useful products.
The co-operation factor, θ, describing the sustained contribution of two compounding additives, gains an illustrative value for the stabilization activity of certain couples, which presents advanced effects. Defining the contributions of both couple components, they indicate the degrees of sustainment for the mitigation of oxidation. For the calculation of the co-operation factor, the following equation is applied:
θ = τ 1,2 τ 1 + τ 2
where θ is the value of the co-operation factor and τ1, τ2 and τ1,2 are the values of the oxidation induction time for component 1, component 2 and couple 1 + 2, respectively.
The common stabilization activity of any couple of compounds presents important advantages, which are depicted by the effective improvement of product lifespans and the extension of security over various harmful operation conditions.

4. Suggestions and Future Directions

Starting from the basic concept of radiation processing, the background knowledge of this kind of anti-ageing feature is more efficiently reached by accelerated procedures that include radiation effects [92]. The decrease in kinetic parameters as well as the values of processing activation energies demonstrate the availability of inorganic structures for the conservation of their functional characteristics over extended operation periods [93]. The relevant wearability, one of the defining material features included in durability, is deeply related to oxidation strength. It is obtained by the rigorous selection of structural filler [23,94], which valorizes its physical peculiarities related to the energetic consequence of electronic interactions. In the case of composites, the way to be followed is comprehensive investigations into the evolution of degradation states that depict the material integrity [95] and detailed introspection into the correlation between the amelioration of functional characteristics and the contribution of physical and energetic peculiarities.
This survey intends to be a guide for investigators and manufacturers by which the reader may find basic explanations regarding the contribution of inorganic filler to the evolution of composite materials subjected to accelerated degradation, initiated by advanced ageing. Although the composites are investigated for the evaluation of their functional properties, they may gain simultaneously a certain durability degree by the stabilization effects, which indicates the breaking of the degradation chain and the significant extension of product lifetime [94]. The modeling of the properties attained by them after the association of the inorganic phase with polymer materials has to open new promising classes of composites [95].
The implementation of ionizing radiation onto the preparation and characterization of polymer composites is based on the differences between the bond energies of macromolecular components [96]. Thus, the interactions of fillers, whose great boundary surfaces allow interphase bonding with improvement effects, bring about the protection outcomes arising from the material quality [97]. The association between polymer materials and an appropriate stabilizer, an inorganic compound [97,98,99], an antioxidant [17,100,101] and/or a couple [102] of them offers a pertinent solution for the extension of product durabilities and the deep correlation between the usage period, the material integrity and high-performance characteristics.
One large range of the applicability for inorganic oxidation protectors is the recycling of polymer materials [103]. The conversion of polymer wastes into composite products is a convenient technological approach by which the co-operation between the two compounding fractions may coexist in a stable structure [104]. Any transformation of a pristine polymer into a structured composite assumes an academic contribution to the economic range, due to the broadening application areas or the identification of new exploration targets.
The stability gained by the addition of the proper inorganic compounds instead of an organic structured compound becomes an interesting solution for the improvement of product viability due to their own reliability, the availability of electronic interaction with the hosting material, the lack of migration inside the matrix, the absence of radiolysis effects that would affect the stabilization activity and the identification of new solutions for certain industrial implementations of composites. These features must be taken into consideration, when the final goal of any study is the identification of certain filler that brings about the increase in material performance. The functionality trials for the assessment of improved properties must be always accompanied by stability tests, which offer valuable details on the stabilization potential of a large spectrum of additives. This would allow the efficient substitution of the majority of the synthesis antioxidants, the poisoning compounds, with the safe healthcare compounds.
The enlarging areas of polymer composites in the economical spectrum are motivated by their essential support of aggregates and machines, by which more and more activities and products are employed for special purposes. The manufacturing of flexible products with a large variety of properties, the rigorous selection of fillers that combine the improvement of their functional parameters with the role of anti-ageing protectors and the substitution of costly materials by easily produced composites presenting high-performance characteristics are the priority directions that must be a concern for the development and deepening of regular and special applications.

5. Conclusions

The integrity of polymer materials raises the question of additive efficiency, their stability under hazardous conditions, as well as the attenuation of radiation effects induced during the processing of this type of product. The high-quality composite materials become vital supports for the equipment with long-term usage, which is intrinsically obtained by inorganic compounds. All the aspects related to the durability—the delay of oxidation, the extension of high-performance characteristics, the avoidance of critical situations—which alters the strength features by structural damaging must be identified, alongside the behavior corrections that have to be adjusted. The exploration of various combinations of structures might be based on intimate mechanisms, which explain the inactivation of free radicals by electronic interactions. The inhibition of oxidation represents a key question for polymers, by which the plastics may be protected during their storage periods and the expended times of operation.
The great advantages regarding the efficient activities of fillers in polymer composites, the unchangeable formulations and structures during operation, the satisfactory behavior under energetic conditions, the extending application ranges over the most hazardous environments, the recovery of polymer wastes by radiation processing, the elimination of the poisoning consequences brought about by “classical” organic antioxidants, the sustained development of high-performance nanocomposites including technological alignment to the production of biomaterials, the academic approaches for the modeled properties relative to the fundamental knowledge level of materials and the creation of promising candidates for the advanced technology ranges justify the present survey.
This review highlights the background information which may be adapted to the conversion of raw polymers into suggested solutions for various industries, like plastics reconversion, automotive production, nuclear engineering, aeronautics including space applications, medical items (prosthesis, scaffolds, dental joints), long-term corrosion layers and in-depth understanding of the concepts of the interactions in emerging nanomaterials. A large opening is offered by polymer/inorganic compound structures. The achieved optimization of their formulations based on the stability assays is allowed by the reconsideration of inorganic compounds as useful stabilizers. While the radiation effects induced in polymer matrices are diminished or delayed, the stabilizers keep their integrity, assuring prolonged lifespans according to the foreseen purposes.
The substitution of organic antioxidants by any inorganic structures, especially doped oxides, opens a new way for polymer stabilization based on intimate electronic interactions between the host material and the additive. The preservation of stabilization activity by inorganic compounds is constantly sustained; even the material is subjected to an accelerated oxidation by ionizing radiation.
This subject has real actuality, because the replacement of organic antioxidants obtained by synthesis in specialized manufacturers is justified by the identification of healthcare compounds as multifunctional reagents. The readers will find several examples that may be considered as the start points for their investigations. In addition, the illustration of the amelioration effects provided by inorganic fillers on the durability of composites by high-energy irradiation as an accelerated degradation procedure allows us to have extended views on other degradation conditions like thermal ageing and UV exposure. Of great interest are the spatial applications of nanocomposites, whose inorganic component presents an efficient delay of oxidation.

Author Contributions

Conceptualization, T.Z. and A.B.L.; validation, T.Z. and A.B.L.; formal analysis, T.Z.; resources, A.B.L.; writing—original draft and writing—review and editing, T.Z. and A.B.L.; visualization, T.Z. and A.B.L.; project administration, A.B.L. All authors have read and agreed to the published version of the manuscript.

Funding

This research received no external funding.

Data Availability Statement

All the analyzed aspects may be discussed upon request.

Acknowledgments

The authors want to thank FAPESP for the financial support of the grant 2024/11337-0, through which the present literature survey was possible.

Conflicts of Interest

The authors declare no conflicts of interest.

References

  1. Billingham, N.C.; Cahn, R.W.; Haasen, P.; Kramer, E.J. Degradation and Stabilization of Polymers. In A Comprehensive Treatment: Corrosion and Environmental Degradation; Wiley: Berlin, Germany, 2000; pp. 469–507. [Google Scholar]
  2. Özdemir, T.; Güngör, A.; Akbay, I.; Uzun, H.; Babucçuoglu, Y. Nano Lead Oxide and EPDM Composite for Development of Polymer Based Radiation Shielding Material: Gamma Irradiation and Attenuation Tests. Radiat. Phys. Chem. 2018, 144, 248–255. [Google Scholar] [CrossRef]
  3. Bernstein, R.; Thornberg, S.M.; Assink, R.A.; Mowery, D.M.; Alam, M.K.; Irwin, A.N.; Hochrein, J.M.; Derzon, D.K.; Klamo, S.B.; Clough, R.L. Insights into Oxidation Mechanisms in Gamma-Irradiated Polypropylene, Utilizing Selective Isotopic Labeling with Analysis by GC/MS, NMR and FTIR. Nucl. Instrum. Methods Phys. Res. Sect. B Beam Interact. Mater. At. 2007, 265, 8–17. [Google Scholar] [CrossRef]
  4. Chaudhari, C.V.; Dubey, K.A.; Bhardwaj, Y.K. Radiation-Induced Degradation of Polymers: An Aspect Less Exploited. In Applications of High Energy Radiations; Chow-dhury, S.R., Ed.; Materials Horizons: From Nature to Nanomaterials; Springer: Singapore, 2023; pp. 373–407. [Google Scholar]
  5. Ferry, M.; Ngono, Y. Energy Transfer in Polymers Submitted to Ionizing Radiation: A Review. Radiat. Phys. Chem. 2020, 180, 109320. [Google Scholar] [CrossRef]
  6. Clifford, D.; Castano, C.; Rojas, J. Supported Transition Metal Nanomaterials: Nanocomposites Synthesized by Ionizing Radiation. Radiat. Phys. Chem. 2017, 132, 52–64. [Google Scholar] [CrossRef]
  7. Zaharescu, T.; Giurginca, M.; Jipa, S. Radiochemical Oxidation of Ethylene–Propylene Elastomers in the Presence of some Phenolic Antioxidants. Polym. Degrad. Stab. 1999, 63, 245–251. [Google Scholar] [CrossRef]
  8. Celina, M.C. Review of Polymer Oxidation and its Relationship with Materials Performance and Lifetime Prediction. Polym. Degrad. Stab. 2013, 98, 2419–2429. [Google Scholar] [CrossRef]
  9. Girard-Perier, N.; Dorey, S.; Marque, S.R.; Dupuy, N. Mapping the Scientific Research on the Gamma Irradiated Polymers Degradation (1975-2018). Radiat. Phys. Chem. 2020, 168, 108577. [Google Scholar] [CrossRef]
  10. Gupta, A.; Kumar, N.; Sachdeva, A. Factors Affecting the Ageing of Polymer Composite: A State of Art. Polym. Degrad. Stab. 2024, 221, 110670. [Google Scholar] [CrossRef]
  11. Zhao, W.; Dong, Z.; Zhao, L. Radiation Synthesis of Polyhedral Oligomeric Silsesquioxanes (POSS) Gel Polymers. Radiat. Phys. Chem. 2022, 198, 110251. [Google Scholar] [CrossRef]
  12. Ojeda, T. Polymers and the Environment. In Polymer Science; Yılmaz, F., Ed.; Intech: Lublijana, Croatia, 2013; pp. 1–34. [Google Scholar]
  13. Planes, E.; Chazeau, L.; Vigier, G.; Fournier, J. Evolution of EPDM Networks Aged by Gamma Irradiation – Consequences on the Mechanical Properties. Polymer 2009, 50, 4028–4038. [Google Scholar] [CrossRef]
  14. De Almeida, A.; Chazeau, L.; Vigier, G.; Marque, G.; Goutille, Y. Influence of PE/PP Ratio and ENB Content on the Degradation Kinetics of γ-Irradiated EPDM. Polym. Degrad. Stab. 2014, 110, 175–183. [Google Scholar] [CrossRef]
  15. Żenkiewicz, M.; Czupryńska, J.; Polański, J.; Karasiewicz, T.; Engelgard, W. Effects of Electron-Beam Irradiation on some Structural Properties of Granulated Polymer Blends. Radiat. Phys. Chem. 2008, 77, 146–153. [Google Scholar] [CrossRef]
  16. Sirin, M.; Zeybek, M.S.; Sirin, K.; Abali, Y. Effect of Gamma Irradiation on the Thermal and Mechanical Behaviour of Polypropylene and Polyethylene Blends. Radiat. Phys. Chem. 2022, 194, 110034. [Google Scholar] [CrossRef]
  17. Dintcheva, N.T. Overview of Polymers and Biopolymers Degradation and Stabilization Towards Sustainability and Materials Circularity. Polymer 2024, 306, 127136. [Google Scholar] [CrossRef]
  18. Basfar, A.; Lotfy, S. Radiation-Crosslinking of Shape Memory Polymers Based on Poly(Vinyl Alcohol) in the Presence of Carbon Nanotubes. Radiat. Phys. Chem. 2015, 106, 376–384. [Google Scholar] [CrossRef]
  19. Chazot, C.A.C.; Hart, A.J. Understanding and Control of Interactions Between Carbon Nanotubes and Polymers for Manufacturing of High-Performance Composite Materials. Compos. Sci. Technol. 2019, 183, 107795. [Google Scholar] [CrossRef]
  20. Darwesh, R.; Sayyed, M.; Al-Hadeethi, Y.; Alasali, H.J.; Alotaibi, J.S. Enhanced Radiation Shielding Performance of Epoxy Resin Composites with Sb2O3 and Al2O3 Additives. Radiat. Phys. Chem. 2023, 213, 111247. [Google Scholar] [CrossRef]
  21. Rychlý, J.; Matisová-Rychlá, L. The role of Oxidation in Degradation of Polymers: The Relation of Oxidation to the Light Emission from Oxidized Polymers. Compr. Anal. Chem.. 2008, 53, 451–498. [Google Scholar]
  22. (Luchian), A.-M.L.; Zaharescu, T.; Râpă, M.; Mariș, M.; Iovu, H. Availability of PLA/SIS Blends for Packaging and Medical Applications.Part II: Contribution of Stabilizer Agents. Radiat. Phys. Chem. 2022, 201, 110446. [Google Scholar] [CrossRef]
  23. Bansal, N.; Arora, S. Exploring the Impact of Gamma Rays and Electron Beam Irradiation on Physico-Mechanical Properties of Polymers & Polymer Composites: A Comprehensive Review. Nucl. Instrum. Methods Phys. Res. Sect. B Beam Interact. Mater. At. 2024, 549, 165297. [Google Scholar] [CrossRef]
  24. Mousavi, S.N.; Entezam, M.; Müller, M.T.; Tavakol, M.; Khonakdar, H.A. Molecular and Thermo-Mechanical Assessment of Long-Chain Branched Polypropylene: Effect of Irradiation Dose, Multifunctional Monomer Content and Molecular Weight. Radiat. Phys. Chem. 2023, 212, 111186. [Google Scholar] [CrossRef]
  25. Seguchi, T.; Tamura, K.; Shimada, A.; Sugimoto, M.; Kudoh, H. Mechanism of Antioxidant Interaction on Polymer Oxidation by Thermal and Radiation Ageing. Radiat. Phys. Chem. 2012, 81, 1747–1751. [Google Scholar] [CrossRef]
  26. Zaharescu, T. Algal Extracts – The Appropriate Stabilizers for Radiation Processed UHMWPE. Radiat. Phys. Chem. 2023, 212, 111087. [Google Scholar] [CrossRef]
  27. Zaharescu, T.; Borbath, T.; Borbath, I. The Contribution of BaTiO3 to the Stability Improvement of Ethylene-Propylene-Diene Rubber. Part III. – Comparative Essay: EPDM vs EPR. Radiat. Phys. Chem. 2024, 218. [Google Scholar] [CrossRef]
  28. Pongsathit, S.; Pattamaprom, C. Irradiation Grafting of Natural Rubber Latex with Maleic Anhydride and its Compatibilization of Poly(Lactic Acid)/Natural Rubber Blends. Radiat. Phys. Chem. 2018, 144, 13–20. [Google Scholar] [CrossRef]
  29. Pospíšil, J.; Nešpůrek, S. Chain-Breaking Stabilizers in Polymers: The Current Status. Polym. Degrad. Stab. 1995, 49, 99–110. [Google Scholar] [CrossRef]
  30. Pilař, J.; Michálková, D.; Šeděnková, I.; Pfleger, J.; Pospíšil, J. NOR and Nitroxide-Based HAS in Accelerated Photooxidation of Carbon-Chain Polymers; Comparison with Secondary HAS: An ESRI and ATR FTIR Study. Polym. Degrad. Stab. 2011, 96, 847–862. [Google Scholar] [CrossRef]
  31. Seguchi, T.; Tamura, K.; Ohshima, T.; Shimada, A.; Kudoh, H. Degradation Mechanisms of Cable Insulation Materials During Radiation–Thermal Ageing in Radiation Environment. Radiat. Phys. Chem. 2010, 80, 268–273. [Google Scholar] [CrossRef]
  32. Wang, Y.; Wu, J.; Liu, B.; Xia, Y.; Lin, Q. Migration of Polymer Additives and Radiolysis Products from Irradiated PET/PE Films into a Food Simulant. Food Control. 2021, 124, 107886. [Google Scholar] [CrossRef]
  33. Klemchuk, P.P. Protecting Polymers Against Damage from Gamma Radiation. Radiat. Phys. Chem. 1993, 41, 165–172. [Google Scholar] [CrossRef]
  34. Tamba, M.; Torreggiani, A. Radiation-Induced Effects in the Electron-Beam Irradiation of Dietary Flavonoids. Radiat. Phys. Chem. 2004, 71, 23–27. [Google Scholar] [CrossRef]
  35. Doudin, K.; Al-Malaika, S.; Sheena, H.H.; Tverezovskiy, V.; Fowler, P. New Genre of Antioxidants from Renewable Natural Resources: Synthesis and Characterization of Rosemary Plant-Derived Antioxidants and their Performance in Polyolefins. Polym. Degrad. Stab. 2016, 130, 126–134. [Google Scholar] [CrossRef]
  36. Pospíšil, J.; Pilař, J.; Billingham, N.C.; Marek, A.; Horák, Z.; Nešpůrek, S. Factors Affecting Accelerated Testing of Polymer Photostability. Polym. Degrad. Stab.. 2006, 91, 417–422. [Google Scholar] [CrossRef]
  37. Uma, S.; Shobana, M. Band Structure and Mechanism of Semiconductor Metal Oxide Heterojunction Gas Sensor. Inorg. Chem. Commun. 2023, 160, 111941. [Google Scholar] [CrossRef]
  38. Zaharescu, T.; Blanco, I.; Bottino, F. Antioxidant Activity Assisted by Modified Particle Surface in POSS/EPDM Hybrids. Appl. Surf. Sci. 2019, 509, 144702. [Google Scholar] [CrossRef]
  39. Zaharescu, T.; Ilies, D.-C.; Roşu, T. Thermal and Spectroscopic Analysis of Stabilization Effect of Copper Complexes in EPDM. J. Therm. Anal. Calorim. 2015, 123, 231–239. [Google Scholar] [CrossRef]
  40. Zaharescu, T. Stabilization Effects of Doped Inorganic Filler on EPDM for Space and Terrestrial Applications. Mater. Chem. Phys. 2019, 234, 102–109. [Google Scholar] [CrossRef]
  41. Burnea, L.; Zaharescu, T.; Dumitru, A.; Plesa, I.; Ciuprina, F. Radiation Stability of Polypropylene/Lead Zirconate Composites. Radiat. Phys. Chem. 2014, 94, 156–160. [Google Scholar] [CrossRef]
  42. Collin, S.; Bussière, P.-O.; Therias, S.; Lacoste, J. The Role of Hydroperoxides in the Chemiluminescence of Oxidized Polymers Reconsidered. Eur. Polym. J. 2016, 76, 122–134. [Google Scholar] [CrossRef]
  43. Jozef, R.; Lyda, R.; Igor, N.; Vladimír, V.; Jozef, P.; Ivica, J.; Ivan, C. Thermooxidative Stability of Hot Melt Adhesives based on Metallocene Polyolefins Grafted with Polar Acrylic Acid Moieties. Polym. Test. 2020, 85, 106422. [Google Scholar] [CrossRef]
  44. Zaharescu, T.; Borbath, T.; Borbath, I.; Simion, E.; Mirea, R. Thermal Stability of Styrene Block Copolymers for Nuclear Applications. Radiat. Phys. Chem. 2024, 223, 111828. [Google Scholar] [CrossRef]
  45. Nuñez-Briones, A.; Benavides, R.; Bolaina-Lorenzo, E.; Martínez-Pardo, M.; Kotzian-Pereira-Benavides, C.; Puente-Urbina, B.; García-Cerda, L. Effect of Bi2O3 Nanostructures on X-ray Shielding, Thermal, Mechanical and Biological Properties of PVC Polymer Nanocomposites. Radiat. Phys. Chem. 2023, 216, 111455. [Google Scholar] [CrossRef]
  46. Tanaka, T. Dielectric Nanocomposites with Insulating Properties. IEEE Trans. Dielectr. Electr. Insul. 2005, 12, 914–928. [Google Scholar] [CrossRef]
  47. Dintcheva, N.; Alessi, S.; Arrigo, R.; Przybytniak, G.; Spadaro, G. Influence of the E-Beam Irradiation and Photo-Oxidation Aging on the Structure and Properties of LDPE-OMMT Nanocomposite Films. Radiat. Phys. Chem. 2012, 81, 432–436. [Google Scholar] [CrossRef]
  48. Raslan, H.A.; Elnaggar, M.Y.; Fathy, E. Flame-retardancy and Physico-Thermomechanical Properties of Irradiated Ethylene Propylene Diene Monomer Inorganic Composites. J. Vinyl Addit. Technol. 2017, 25, 59–67. [Google Scholar] [CrossRef]
  49. Abou-Laila, M.T.; El-Zayat, M.M.; Madbouly, A.M.; Abdel-Hakim, A. Gamma Irradiation Effects on Styrene Butadiene Rubber/Pb3O4: Mechanical, Thermal, Electrical Investigations and Shielding Parameter Measurements. Radiat. Phys. Chem. 2022. 192, 109897. [CrossRef]
  50. Blanco, I.; Zaharescu, T. The Effect of Polyhedral Oligomeric Sislesquioxanes (POSSs) Incorporation in Ethylene-Propylene-Diene-Terpolymer (EPDM): A Thermal Study. J. Therm. Anal. Calorim. 2022, 147, 5313–5321. [Google Scholar] [CrossRef]
  51. Metzger, R.M. (Ed.) Inorganic Chemistry and Nanomaterials. In The Physical Chemist’s Toolbox; Wiley: New York, NY, USA, 2023; pp. 749–921. [Google Scholar]
  52. Ilies, D.-C.; Pahontu, E.; Shova, S.; Georgescu, R.; Stanica, N.; Olar, R.; Gulea, A.; Rosu, T. Synthesis, Characterization, Crystal Structure and Antimicrobial Activity of Copper(II) Complexes with a Thiosemicarbazone Derived from 3-formyl-6-methylchromone. Polyhedron 2014, 81, 123–131. [Google Scholar] [CrossRef]
  53. Zaharescu, T.; Râpă, M.; Lungulescu, E.-M.; Butoi, N. Filler Effect on the Degradation of γ-processed PLA/Vinyl POSS Hybrid. Radiat. Phys. Chem. 2018, 153, 188–197. [Google Scholar] [CrossRef]
  54. Setnescu, R.; Bărcuţan, C.; Jipa, S.; Setnescu, T.; Negoiu, M.; Mihalcea, I.; Dumitru, M.; Zaharescu, T. The Effect of Some Thio-semicarbazide Compounds on Thermal Oxidation of Polypropylene. Polym. Degrad. Stabil. 2004, 85, 997–1001. [Google Scholar] [CrossRef]
  55. Mezey, R.Ș.; Zaharescu, T.; Lungulescu, M.E.; Marinescu, V.; Shova, S.; Roșu, T. Structural characteristics and thermal behavior of some azomethine compounds from pyridal and 4-aminoantipyrine. J. Therm. Anal. Calorim. 2016, 126, 1763–1776. [Google Scholar] [CrossRef]
  56. Eren, T.; Kose, M.; Kurtoglu, N.; Ceyhan, G.; McKee, V.; Kurtoglu, M. An Azo-Azomethyne Ligand and its Copper(II) Complex: Synthesis, X-ray Crystal Structure, Spectral, Thermal, Electrochemical and Photoluminescence Properties. Inorg. Chim. Acta. 2015, 430, 268–279. [Google Scholar] [CrossRef]
  57. Chiu, C.-W.; Huang, T.-K.; Wang, Y.-C.; Alamani, B.G.; Lin, J.-J. Intercalation Strategies in Clay/Polymer Hybrids. Prog. Polym. Sci. 2014, 39, 443–485. [Google Scholar] [CrossRef]
  58. Huang, H.-D.; Ren, P.-G.; Zhong, G.-J.; Olah, A.; Li, Z.-M.; Baer, E.; Zhu, L. Promising Strategies and New Opportunities for High Barrier Polymer Packaging Films. Prog. Polym. Sci. 2023, 144, 101722. [Google Scholar] [CrossRef]
  59. Zhang, Z.; Huang, Y.; Xie, Q.; Liu, G.; Ma, C.; Zhang, G. Functional Polymer–Ceramic Hybrid Coatings: Status, Progress, and Trend. Prog. Polym. Sci. 2024, 154, 101840. [Google Scholar] [CrossRef]
  60. Zhou, H.; Chua, M.H.; Xu, J. Manufacturing of POSS-Polymer Nanocomposites. In Polyhedral Oligomeric Silsesquioxane (POSS) Polymer Nanocomposites. From Synthesis to Applications; Thomas, S., Somasekharan, L., Eds.; Elsevier: New York, NY, USA, 2021; pp. 27–51. [Google Scholar]
  61. Musto, P.; Abbate, M.; Pannico, M.; Scarinzi, G.; Ragosta, G. Improving the Photo-Oxidative Stability of Epoxy Resins by use of Functional POSS Additives: A Spectroscopic, Mechanical and Morphological Study. Polymer 2012, 53, 5016–5036. [Google Scholar] [CrossRef]
  62. Peng, D.; Qin, W.; Wu, X. A Study on Resistance to Ultraviolet Radiation of POSS–TiO2/Epoxy Nanocomposites. Acta Astronaut. 2015, 111, 84–88. [Google Scholar] [CrossRef]
  63. Zaharescu, T.; Marinescu, V.; Hebda, E.; Pielichowski, K. Thermal stability of gamma-irradiated polyurethane/POSS hybrid materials. J. Therm. Anal. Calorim. 2017, 133, 49–54. [Google Scholar] [CrossRef]
  64. Zaharescu, T.; Chou, Y.; Hebda, E.; Raftopoulos, K.N.; Pielichowski, K. Complementary Assessment of γ-irradiated Polyurethane-POSS Hybrids by Chemiluminescence and Differential Scanning Calorimetry. Polym. Test. 2021, 96, 107117. [Google Scholar] [CrossRef]
  65. Hasan, I.U.; Zohora, F.T.; Abedin, J.; Rahman, Z. Hybrid Functional Materials and their Applications. In Comprehensive Materials Processing, 2nd ed.; Hashmi, S., Ed.; Elsevier: New York, NY, USA, 2024; Volume 13, pp. 479–504. [Google Scholar]
  66. Zaharescu, T.; Pielichowski, K. Stabilization Effects of POSS Nanoparticles on Gamma-irradiated Polyurethane. J. Therm. Anal. Calorim. 2015, 124, 767–774. [Google Scholar] [CrossRef]
  67. Kholodkova, E.; Vcherashnyaya, A.; Bludenko, A.; Chulkov, V.; Ponomarev, A. Radiation-Thermal Approaches to the Processing of Complex Polymer Waste. Radiat. Phys. Chem. 2019, 170, 108664. [Google Scholar] [CrossRef]
  68. Zaharescu, T.; Dumitru, A.; Lungulescu, M.; Velciu, G. EPDM Composite Membranes Modified with Cerium Doped Lead Zirconate Titanate. Radiat. Phys. Chem. 2016, 118, 133–137. [Google Scholar] [CrossRef]
  69. Ateeq, M. A State of Art Review on Recycling and Remanufacturing of the Carbon Fiber from Carbon Fiber Polymer Composite. Compos. Part C Open Access 2023, 12, 100412. [Google Scholar] [CrossRef]
  70. Prashanth, G.; Gadewar, M.; Lalithamba, H.; Rao, S.; Rashmi, K.; Yatish, K.; Swamy, M.M.; Bhagya, N.; Ghosh, M.K. Synthesis, and Applications of Carbon-Integrated Polymer Composites and Foams: A Concise Review. Inorg. Chem. Commun. 2024, 166, 112614. [Google Scholar] [CrossRef]
  71. Huali, Y.; Hao, T.; Jianhui, P.; Xinfang, C. The Stabilization Effect of Radiation Crosslinking on Positive Temperature Coefficient Performances of Carbon Black-Polymer Composites. Radiat. Phys. Chem. 1993, 42, 135–137. [Google Scholar] [CrossRef]
  72. Oshima, A.; Udagawa, A.; Morita, Y. Radiation Processing for Carbon Fiber-Reinforced Polytetrafluoroethylene Composite Materials. Radiat. Phys. Chem. 2001, 60, 95–100. [Google Scholar] [CrossRef]
  73. Martin, A.; Pietras-Ozga, D.; Ponsaud, P.; Kowandy, C.; Barczak, M.; Defoort, B.; Coqueret, X. Radiation-Curing of Acrylate Composites Including Carbon Fibres: A Customized Surface Modification for Improving Mechanical Performances. Radiat. Phys. Chem. 2014, 105, 63–68. [Google Scholar] [CrossRef]
  74. Azzian, M.I.M.; Mohamad, S.F.; Salleh, W.N.W.; Ismail, N.H.; Ahmad, S.Z.N.; Sazali, M.A.; Guven, O. Surface Modification of PVDF Membrane by Radiation-Induced Admicellar Polymerization of Acrylamide in the Presence of Cationic Surfactant. Radiat. Phys. Chem. 2023, 214, 111309. [Google Scholar] [CrossRef]
  75. Dubey, K.A.; Mondal, R.K.; Bhardwaj, Y.K. Graphene Assisted Enhancement in the Cyclic Electromechanical Properties of Polyolefin-based Multiphasic Conducting Nano Carbon Black Nanocomposites. Radiat. Phys. Chem. 2024, 214, 111308. [Google Scholar] [CrossRef]
  76. Zaharescu, T.; Banciu, C. Stabilization Efficiency of Graphene in γ-irradiated Styrene-Isoprene-Styrene Copolymer. Radiat. Phys. Chem. 2023, 214, 111256. [Google Scholar] [CrossRef]
  77. Karsli, N.G.; Aytac, A.; Akbulut, M.; Deniz, V.; Güven, O. Effects of Irradiated Polypropylene Compatibilizer on the Properties of Short Carbon Fiber Reinforced Polypropylene Composites. Radiat. Phys. Chem. 2012, 84, 74–78. [Google Scholar] [CrossRef]
  78. Shahnaz, T.; Hayder, G.; Shah, M.A.; Ramli, M.Z.; Ismail, N.; Hua, C.K.; Zahari, N.M.; Mardi, N.H.; Selamat, F.E.; Kabilmiharbi, N.; et al. Graphene-based Nanoarchitecture as a Potent Cushioning/Filler in Polymer Composites and their Applications. J. Mater. Res. Technol. 2023, 28, 2671–2698. [Google Scholar] [CrossRef]
  79. Patil, U.S.; Kemppainen, J.; Wavrunek, T.; Odegard, G.M. The Effect of Gamma-Ray Irradiation on Polymer-Graphene Nanocomposite Interfaces. Compos. Part B-Eng. 2024, 284, 111715. [Google Scholar] [CrossRef]
  80. Amiryaghoubi, N.; Fathi, M.; Barar, J.; Omidian, H.; Omidi, Y. Recent Advances in Graphene-based Polymer Composite Scaffolds for Bone/Cartilage Tissue Engineering. J. Drug Deliv. Sci. Technol. 2022, 72, 103360. [Google Scholar] [CrossRef]
  81. Majumder, S.; Meher, A.; Moharana, S.; Kim, K.H. Graphene Nanoribbon Synthesis and Properties in Polymer Composites: A Review. Carbon 2023, 216, 118558. [Google Scholar] [CrossRef]
  82. Fu, X.; Lin, J.; Liang, Z.; Yao, R.; Wu, W.; Fang, Z.; Zou, W.; Wu, Z.; Ning, H.; Peng, J. Graphene Oxide as a Promising Nanofiller for Polymer Composite. Surfaces Interfaces 2023, 37, 102747. [Google Scholar] [CrossRef]
  83. Lerf, A.; He, H.; Forster, M.; Klinowski, J. Structure of Graphite Oxide Revisited. J. Phys. Chem. B 1998, 102, 4477–4482. [Google Scholar] [CrossRef]
  84. Hao, Q.; Liu, S.; Wang, X.; Zhang, P.; Mao, Z.; Zhang, X. Progression from Graphene and Graphene Oxide to High-Performance Epoxy Resin-based Composite. Polym. Degrad. Stab. 2024, 223, 110731. [Google Scholar] [CrossRef]
  85. Chu, J.Y.; Lee, K.H.; Kim, A.R.; Yoo, D.J. Improved Electrochemical Performance of Composite Anion Exchange Membranes for Fuel Cells Through Cross-Linking of the Polymer Chain with Functionalized Graphene Oxide. J. Membr. Sci. 2020, 611, 118385. [Google Scholar] [CrossRef]
  86. Zaharescu, T.; Banciu, C. Packaging Materials Based on Styrene-Isoprene-Styrene Triblock Copolymer Modified with Graphene. Polymers 2023, 15, 353. [Google Scholar] [CrossRef] [PubMed]
  87. Shah, N.A.; Lan, R.; Dai, R.; Jiang, K.; Shen, H.; Hong, R.; Xu, J.; Li, L.; Li, Z. Improved Oxidation Stability and Crosslink Density of Chemically Crosslinked Ultrahigh Molecular Weight Polyethylene Using the Antioxidant Synergy for Artificial Joints. J. Biomed. Mater. Res. Part B: Appl. Biomater. 2022, 111, 26–37. [Google Scholar] [CrossRef] [PubMed]
  88. Zhang, J.; Fan, H.; Bai, J.; Liu, X.; Ding, Y.; Yang, M. A Novel Polyhedral Oligomeric Silsesquioxane Antioxidant-based on Amide-Linked Hindered Phenols and its Antioxidative Behavior in Polyamide 6,6. Polym. Degrad. Stab. 2024, 229, 110939. [Google Scholar] [CrossRef]
  89. Zhang, J.; Ke, Q.; Bai, J.; Yang, M. Synthesis of a Novel Organic-Inorganic Hindered Phenol Antioxidant Derived from Polyhedral Oligomeric Silsesquioxane and its Antioxidative Behavior in Polypropylene. Polym. Degrad. Stab. 2023, 218, 110550. [Google Scholar] [CrossRef]
  90. Zaharescu, T.; Mateescu, C. Stability Efficiencies of POSS and Microalgae Extracts on the Durability Ofethylene-Propylene-Diene Monomer Based Hybrids. Polymers 2022, 14, 187. [Google Scholar] [CrossRef] [PubMed]
  91. Zaharescu, T.; Mateescu, C. Investigation on Some Algal Extracts as Appropriate Stabilizers for Radiation-Processed Polymers. Polymers 2022, 14, 4971. [Google Scholar] [CrossRef] [PubMed]
  92. Celina, M.; Linde, E.; Brunson, D.; Quintana, A.; Giron, N. Overview of Accelerated Aging and Polymer Degradation Kinetics for Combined Radiation-Thermal Environments. Poly. Degrad. Stab. 2019, 166, 353–378. [Google Scholar] [CrossRef]
  93. Gupta, R.; Singh, M.K.; Rangappa, S.M.; Siengchin, S.; Dhakal, H.N.; Zafar, S. Recent Progress in Additive Inorganic Flame Retardants Polymer Composites: Degradation Mechanisms, Modeling and Applications. Heliyon 2024, 10, 39662. [Google Scholar] [CrossRef]
  94. Sahare, P.H.; Dhole, L.P.; Burande, S. A Review Paper on Investigation of Mechanical and Wear Properties of Polymer Composites Subjected to Environmental Degradation. Mater. Today Proc. 2024, 5, 107. [Google Scholar] [CrossRef]
  95. Mohammadi, M.; Ziaie, F.; Majdabadi, A.; Akhavan, A.; Shafaei, M. Improvement of Mechanical and Thermal Properties of High Energy Electron Beam Irradiated HDPE/Hydroxyapatite Nanocomposite. Radiat. Phys. Vhem. 2017, 130, 229–235. [Google Scholar] [CrossRef]
  96. Spadaro, G.; Alessi, S.; Dispenza, C.; Sun, Y.; Chmielewski, A. Molecular Modifications in Irradiated Polumymers. In Applications of Ionizing Radiation in Polymer Processing; Institute of Nuclear Chemistry and Technologies: Warsaw, Poland, 2017; pp. 168–183. [Google Scholar]
  97. Çağlayan, T.; Güven, O. Preparation and Characterization of Poly(Ethylene-Vinyl Acetate) Based Nanocomposites Using Radiation-Modified Montmorillonite. Radiat. Phys. Chem. 2020, 169, 107844. [Google Scholar] [CrossRef]
  98. Nho, Y.-C.; Sohn, J.-Y.; Shin, J.; Park, J.-S.; Lim, Y.-M.; Kang, P.-H. Preparation of Nanocomposite γ-Al2O3/Polyethylene Separator Crosslinked by Electron Beam Irradiation for Lithium Secondary Battery. Radiat. Phys. Chem. 2017, 132, 65–70. [Google Scholar] [CrossRef]
  99. Mustafa, M.; Salem Al-Ahmadi, A.N.; Mwafy, E.A.; Elsharkawy, W.B.; Nafee, S.S. Nickel Oxide Nanoparticles Embedded in Polymer-Matrix Nanocomposite Prepared by Nanosecond Laser Ablation Method for Optoelectronic Applications. Radiat. Phys. Chem. 2025, 226, 112262. [Google Scholar] [CrossRef]
  100. Zaharescu, T.; Bumbac, M.; Nicolescu, C.M. Stability Effects of Added Biomass on Microalgae Styrene–Butadiene–Styrene Composites. J. Therm. Anal. Calorim. 2024. [CrossRef]
  101. Takács, K.; Németh, M.; Renkecz, T.; Tátraaljai, D.; Pukánszky, B. Stabilization of PE with the Natural Antioxidant T-Resveratrol: Interaction of the Primary and the Secondary Antioxidant. Polym. Degrad. Stab. 2024, 230, 111046. [Google Scholar] [CrossRef]
  102. Zaharescu, T. The Stabilization by Synergistic Effect of Silica Nanoparticles Assisted by Rosemary Powder in the Thermal Degradation of Styrene-Isoprene-Styrene Triblock Copolymer. Radiat. Phys. Chem. 2023, 206, 110765. [Google Scholar] [CrossRef]
  103. Luo, T.; Hu, Y.; Zhang, M.; Jia, P.; Zhou, Y. Recent Advances of Sustainable and Recyclable Polymer Materials from Renewable Resources. Resour. Chem. Mater. 2024, 10, 4. [Google Scholar] [CrossRef]
  104. Vazirov, R.; Shkuro, A.; Buryndin, V.; Zakharov, P.; Shishlov, O.; Vazirova, E. The Effect of High-Energy Electron Beam Irradiation on the Physicochemical Properties of PET Material. Radiat. Phys. Chem. 2024, 227, 112392. [Google Scholar] [CrossRef]
Figure 1. The photoemission of quantum during the chemiluminescence measurements.
Figure 1. The photoemission of quantum during the chemiluminescence measurements.
Jcs 09 00047 g001
Figure 2. The stabilization activities promoted by various types of oxidation protectors: (a) phenolic antioxidants by proton replacement, (b) inorganic crystalline compounds by penetration into the free lattice space and (c) inorganic crystalline compounds by the filling free-lattice node.
Figure 2. The stabilization activities promoted by various types of oxidation protectors: (a) phenolic antioxidants by proton replacement, (b) inorganic crystalline compounds by penetration into the free lattice space and (c) inorganic crystalline compounds by the filling free-lattice node.
Jcs 09 00047 g002
Figure 3. The electronic jumps for doped lattices.
Figure 3. The electronic jumps for doped lattices.
Jcs 09 00047 g003
Figure 4. The value of CL intensities recorded on the PP/PbZrO3 composite samples. Testing temperature: 210 °C; filler loading: (1) 0 wt.%; (2) 5 wt.% [41].
Figure 4. The value of CL intensities recorded on the PP/PbZrO3 composite samples. Testing temperature: 210 °C; filler loading: (1) 0 wt.%; (2) 5 wt.% [41].
Jcs 09 00047 g004
Figure 5. Histogram for the variation of carbonyl radiochemical yields at various irradiation doses in EPDM-based composites of some copper complexes [53].
Figure 5. Histogram for the variation of carbonyl radiochemical yields at various irradiation doses in EPDM-based composites of some copper complexes [53].
Jcs 09 00047 g005
Figure 6. Kinetic characteristics (oxidation induction times and activation energies) calculated for the degradation of EPDM-based composites of some copper complexes [53].
Figure 6. Kinetic characteristics (oxidation induction times and activation energies) calculated for the degradation of EPDM-based composites of some copper complexes [53].
Jcs 09 00047 g006
Figure 7. The values of onset oxidation temperature for self-oxidation of azomethyne complexes of divalent metals [55].
Figure 7. The values of onset oxidation temperature for self-oxidation of azomethyne complexes of divalent metals [55].
Jcs 09 00047 g007
Figure 8. The oxidation induction times obtained on the EPDM/PbTiO3 composites with differently doped fillers, where the testing temperature was 170 °C.
Figure 8. The oxidation induction times obtained on the EPDM/PbTiO3 composites with differently doped fillers, where the testing temperature was 170 °C.
Jcs 09 00047 g008
Figure 9. The carbonyl indices obtained for the irradiated EPDM in the presence of various doped PbTiO3 [40].
Figure 9. The carbonyl indices obtained for the irradiated EPDM in the presence of various doped PbTiO3 [40].
Jcs 09 00047 g009
Figure 10. Maximum CL intensity measured at 220 °C identified for studied EPDM/PbTiO3 composites [40].
Figure 10. Maximum CL intensity measured at 220 °C identified for studied EPDM/PbTiO3 composites [40].
Jcs 09 00047 g010
Figure 11. The activation energies required for the oxidation of polyurethane/POSS composites [40].
Figure 11. The activation energies required for the oxidation of polyurethane/POSS composites [40].
Jcs 09 00047 g011
Figure 12. The dependence of kinetic parameters on the content of the inorganic phase for PP/PbZrO3: (a) oxidation induction time and (b) oxidation rate [67].
Figure 12. The dependence of kinetic parameters on the content of the inorganic phase for PP/PbZrO3: (a) oxidation induction time and (b) oxidation rate [67].
Jcs 09 00047 g012
Figure 13. The maximum CL emission, and for EPDM/Pb(ZrxCeyTi1−x−yO3) irradiated at 50 kGy, investigated by nonisothermal measurements [68]. Concentration of filler: 1 wt.%. Heating rate: 3 °C min−1.
Figure 13. The maximum CL emission, and for EPDM/Pb(ZrxCeyTi1−x−yO3) irradiated at 50 kGy, investigated by nonisothermal measurements [68]. Concentration of filler: 1 wt.%. Heating rate: 3 °C min−1.
Jcs 09 00047 g013
Figure 14. The oxidation induction times measured on the irradiated EPDM/Pb(ZrxCeyTi1−x−yO3), containing various amounts of CeO2 as a doping component obtained by the isothermal CL technique [68]. Concentration of filler: 1 wt.%; measuring temperature: 170 °C.
Figure 14. The oxidation induction times measured on the irradiated EPDM/Pb(ZrxCeyTi1−x−yO3), containing various amounts of CeO2 as a doping component obtained by the isothermal CL technique [68]. Concentration of filler: 1 wt.%; measuring temperature: 170 °C.
Jcs 09 00047 g014
Figure 15. Nonisothermal CL spectra recorded on the samples consisting of EPDM modified by BaTiO3, differently doped. Filler concentration: 2.5 phr; heating rate: 10 °C min−1 [27]. (a) 0 kGy, (b) 50 kGy, (c) 100 kGy.
Figure 15. Nonisothermal CL spectra recorded on the samples consisting of EPDM modified by BaTiO3, differently doped. Filler concentration: 2.5 phr; heating rate: 10 °C min−1 [27]. (a) 0 kGy, (b) 50 kGy, (c) 100 kGy.
Jcs 09 00047 g015
Figure 16. OIT values of the unirradiated SIS/graphene samples containing various amounts of additives, where the measurement temperature was130 °C [86].
Figure 16. OIT values of the unirradiated SIS/graphene samples containing various amounts of additives, where the measurement temperature was130 °C [86].
Jcs 09 00047 g016
Figure 17. The radiation stabilization efficiency of SIS/graphene samples measured by the emission intensities al 100 °C vs the graphene content, where γ-Dose: 50 kGy [86].
Figure 17. The radiation stabilization efficiency of SIS/graphene samples measured by the emission intensities al 100 °C vs the graphene content, where γ-Dose: 50 kGy [86].
Jcs 09 00047 g017
Figure 18. The values of durabilities (a) and activation energies (b) obtained for EPDM-based samples containing algal powders (Chlorella vulgaris—CV and Spirulina platensis—SP, 2 phr) and POSS (5 phr) [90].
Figure 18. The values of durabilities (a) and activation energies (b) obtained for EPDM-based samples containing algal powders (Chlorella vulgaris—CV and Spirulina platensis—SP, 2 phr) and POSS (5 phr) [90].
Jcs 09 00047 g018
Figure 19. The maximum oxidation time characterizing the degradation of some SIS samples during the isothermal measurements at 120 °C. Dose: 100 kGy [91].
Figure 19. The maximum oxidation time characterizing the degradation of some SIS samples during the isothermal measurements at 120 °C. Dose: 100 kGy [91].
Jcs 09 00047 g019
Figure 20. The OOT values determined on the γ-irradiated modified SIS samples [76].
Figure 20. The OOT values determined on the γ-irradiated modified SIS samples [76].
Jcs 09 00047 g020
Figure 21. The modification of the co-operation factor as the recessing dose is enhanced [76], where index 1 indicates the presence of rosemary (0.5 wt.%) and index 2 indicates the presence of graphene oxide (1 wt.%).
Figure 21. The modification of the co-operation factor as the recessing dose is enhanced [76], where index 1 indicates the presence of rosemary (0.5 wt.%) and index 2 indicates the presence of graphene oxide (1 wt.%).
Jcs 09 00047 g021
Disclaimer/Publisher’s Note: The statements, opinions and data contained in all publications are solely those of the individual author(s) and contributor(s) and not of MDPI and/or the editor(s). MDPI and/or the editor(s) disclaim responsibility for any injury to people or property resulting from any ideas, methods, instructions or products referred to in the content.

Share and Cite

MDPI and ACS Style

Zaharescu, T.; Lugāo, A.B. Stability Improvement of Irradiated Polymer Composites by Inorganic Compounds—A Pertinent Solution with Respect to Phenolic Antioxidants. J. Compos. Sci. 2025, 9, 47. https://doi.org/10.3390/jcs9010047

AMA Style

Zaharescu T, Lugāo AB. Stability Improvement of Irradiated Polymer Composites by Inorganic Compounds—A Pertinent Solution with Respect to Phenolic Antioxidants. Journal of Composites Science. 2025; 9(1):47. https://doi.org/10.3390/jcs9010047

Chicago/Turabian Style

Zaharescu, Traian, and Ademar B. Lugāo. 2025. "Stability Improvement of Irradiated Polymer Composites by Inorganic Compounds—A Pertinent Solution with Respect to Phenolic Antioxidants" Journal of Composites Science 9, no. 1: 47. https://doi.org/10.3390/jcs9010047

APA Style

Zaharescu, T., & Lugāo, A. B. (2025). Stability Improvement of Irradiated Polymer Composites by Inorganic Compounds—A Pertinent Solution with Respect to Phenolic Antioxidants. Journal of Composites Science, 9(1), 47. https://doi.org/10.3390/jcs9010047

Article Metrics

Back to TopTop