Examination of a Theoretical Model for Drainage of Foams Prepared from Licorice Root Extract Solution
Abstract
1. Introduction
2. Theoretical Model
2.1. Drainage Equation
2.2. Free Drainage
2.3. Solution of the Free Drainage Equation
3. Experiment
3.1. Materials and Solution Preparatios
3.2. Measurement of Physical Quantities
3.3. Bubble Size Analysis
3.4. Drainage Measurments
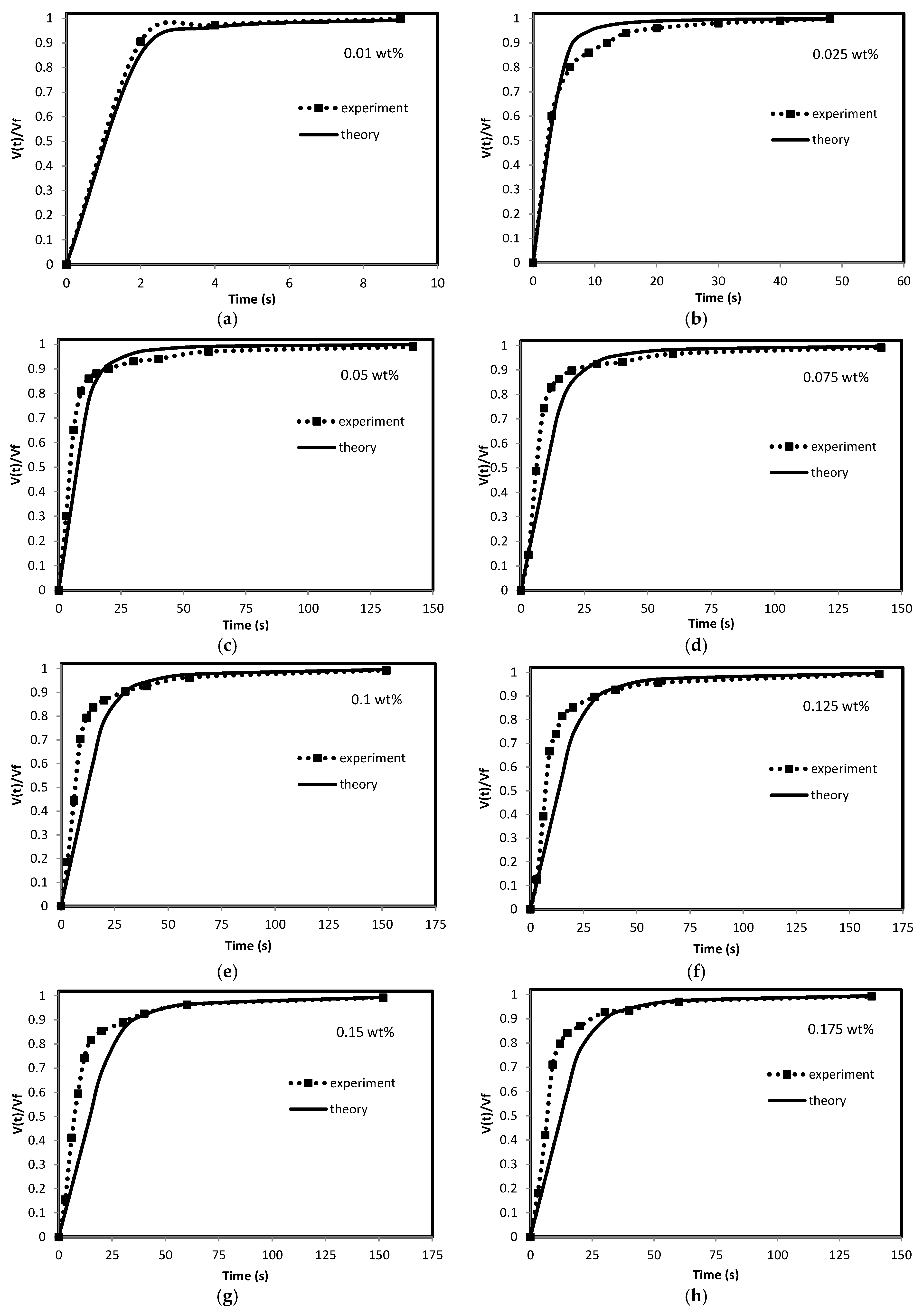
4. Results and Discussions
4.1. Measurements of Effective Parameters
4.2. Drainage Estimated from Modeling and Experimental Data
5. Conclusions
Author Contributions
Funding
Data Availability Statement
Conflicts of Interest
References
- Cantat, I.; Cohen-Addad, S.; Elias, F.; Graner, F.; Höhler, R.; Pitois, O.; Rouyer, F.; Saint-Jalmes, A. Foams: Structure and Dynamics; OUP Oxford: Oxford, UK, 2013; pp. 17–74. [Google Scholar]
- Saint-Jalmes, A.; Langevin, D. Time evolution of aqueous foams: Drainage and coarsening. J. Condens. Matter Phys. 2002, 14, 9397. [Google Scholar] [CrossRef]
- Pitois, O. Foam ripening. Foam Engineering: Fundamentals and Applications; John Wiley & Sons: Hoboken, NJ, USA, 2012; pp. 59–73. [Google Scholar]
- Wang, J.; Nguyen, A.V.; Farrokhpay, S. A critical review of the growth, drainage and collapse of foams. Adv. Colloid Interface Sci. 2016, 228, 55–70. [Google Scholar] [CrossRef] [PubMed]
- Koehler, S.A.; Hilgenfeldt, S.; Stone, H.A. A generalized view of foam drainage: Experiment and theory. Langmuir 2000, 16, 6327–6341. [Google Scholar] [CrossRef]
- Weaire, D.; Hutzler, S.; Verbist, G.; Peters, E. A review of foam drainage. Adv. Chem. Phys. 1997, 102, 315–374. [Google Scholar]
- Magrabi, S.; Dlugogorski, B.; Jameson, G. Free drainage in aqueous foams: Model and experimental study. AICHE J. 2001, 47, 314–327. [Google Scholar] [CrossRef]
- Saint-Jalmes, A.; Vera, M.; Durian, D. Uniform foam production by turbulent mixing: New results on free drainage vs. liquid content. Eur. Phys. J. B 1999, 12, 67–73. [Google Scholar] [CrossRef]
- Papara, M.; Zabulis, X.; Karapantsios, T.D. Container effects on the free drainage of wet foams. Chem. Eng. Sci. 2009, 64, 1404–1415. [Google Scholar] [CrossRef]
- Weaire, D.; Pittet, N.; Hutzler, S.; Pardal, D. Steady-state drainage of an aqueous foam. Phys. Rev. Lett. 1993, 71, 2670. [Google Scholar] [CrossRef]
- Hutzler, S.; Weaire, D. Foam coarsening under forced drainage. Philos. Mag. Lett. 2000, 80, 419–425. [Google Scholar] [CrossRef]
- Stevenson, P. On the forced drainage of foam. Colloids Surf. A Physicochem. Eng. Asp. 2007, 305, 1–9. [Google Scholar] [CrossRef]
- Koehler, S.; Stone, H.; Brenner, M.; Eggers, J. Dynamics of foam drainage. Phys. Rev. E 1998, 58, 2097. [Google Scholar] [CrossRef]
- Sun, Q.; Tan, L.; Wang, G. Liquid foam drainage: An overview. Int. J. Mod. Phys. B 2008, 22, 2333–2354. [Google Scholar] [CrossRef]
- Koehler, S.; Hilgenfeldt, S.; Stone, H. Foam Drainage in 2D: Comparison of Experiment and Theory. In Proceedings of the APS Division of Fluid Dynamics Meeting Abstracts, New Orleans, LA, USA, 21–23 November 1999. [Google Scholar]
- Koehler, S.; Hilgenfeldt, S.; Stone, H. Flow along two dimensions of liquid pulses in foams: Experiment and theory. Europhys. Lett. 2001, 54, 335. [Google Scholar] [CrossRef]
- Kitagawa, I. Licorice root. A natural sweetener and an important ingredient in Chinese medicine. Pure Appl. Chem. 2002, 74, 1189–1198. [Google Scholar] [CrossRef]
- Karaoğul, E.; Parlar, P.; Parlar, H.; Alma, M.H. Enrichment of the glycyrrhizic acid from licorice roots (Glycyrrhiza glabra L.) by isoelectric focused adsorptive bubble chromatography. J. Anal. Chem. 2016, 2016, 7201740. [Google Scholar]
- Asl, M.N.; Hosseinzadeh, H. Review of pharmacological effects of Glycyrrhiza sp. and its bioactive compounds. Phytother. Res. Int. J. Devoted Pharmacol. Toxicol. Eval. Nat. Prod. Deriv. 2008, 22, 709–724. [Google Scholar]
- Kamei, J.; Saitoh, A.; Asano, T.; Nakamura, R.; Ichiki, H.; Iiduka, A.; Kubo, M. Pharmacokinetic and pharmacodynamic profiles of the antitussive principles of Glycyrrhizae radix (licorice), a main component of the Kampo preparation Bakumondo-to (Mai-men-dong-tang). Eur. J. Pharmacol. 2005, 507, 163–168. [Google Scholar] [CrossRef]
- Fiore, C.; Eisenhut, M.; Ragazzi, E.; Zanchin, G.; Armanini, D. A history of the therapeutic use of liquorice in Europe. J. Ethnopharmacol. 2005, 99, 317–324. [Google Scholar] [CrossRef]
- El-Lahot, A.; El-Razek, A.; Amal, M.; Massoud, M.I.; Gomaa, E. Utilization of glycyrrhizin and licorice extract as natural sweetener in some food products and biological impacts. J. Food Dairy Sci. 2017, 8, 127–136. [Google Scholar] [CrossRef]
- Mardani, M.; Yeganehzad, S.; Niazmand, R. Structure–function relationship of licorice (Glycyrrhiza glabra) root extract–xanthan/guar gum mixture in a high sugar content system. J. Sci. Food Agric. 2022, 102, 1056–1065. [Google Scholar] [CrossRef]
- Chen, J.; Lin, Y.; Wu, M.; Li, C.; Cen, K.; Liu, F.; Liao, Y.; Zhou, X.; Xu, J.; Cheng, Y. Glycyrrhetinic acid proliposomes mediated by mannosylated ligand: Preparation, physicochemical characterization, environmental stability and bioactivity evaluation. Colloids Surf. B Biointerfaces 2022, 218, 112781. [Google Scholar] [CrossRef]
- Isbrucker, R.; Burdock, G. Risk and safety assessment on the consumption of Licorice root (Glycyrrhiza sp.), its extract and powder as a food ingredient, with emphasis on the pharmacology and toxicology of glycyrrhizin. Regul. Toxicol. Pharmacol. 2006, 46, 167–192. [Google Scholar] [CrossRef] [PubMed]
- İbanoğlu, E.; İbanoğlu, Ş. Foaming behaviour of liquorice (Glycyrrhiza glabra) extract. Food Chem. 2000, 70, 333–336. [Google Scholar] [CrossRef]
- Böttcher, S.; Drusch, S. Interfacial properties of saponin extracts and their impact on foam characteristics. Food Biophys. 2016, 11, 91–100. [Google Scholar] [CrossRef]
- Patriche, S.; Grigoraș, C.; Barbu, V.; Dinică, R.M.; Cârâc, G.C. Antioxidative activity and stability of the extracts of liquorice root (Glycyrrhiza glabra). Ann. Univ. Dunarea Jos Galati Fascicle VI Food Technol. 2015, 39, 77–87. [Google Scholar]
- Larson, R.; Higdon, J. A periodic grain consolidation model of porous media. Phys. Fluids A Fluid Dyn. 1989, 1, 38–46. [Google Scholar] [CrossRef]
- Gol’Dfarb, I.; Kann, K.; Shreiber, I. Liquid flow in foams. Fluid Dyn. 1988, 23, 244–249. [Google Scholar] [CrossRef]
- Kraynik, A.M. Foam Drainage; Sandia National Labs: Albuquerque, NM, USA, 1983.
- Anazadehsayed, A.; Naser, J. A combined CFD simulation of Plateau borders including films and transitional areas of liquid foams. Chem. Eng. Sci. 2017, 166, 11–18. [Google Scholar] [CrossRef]
- Alquran, M. Analytical solutions of fractional foam drainage equation by residual power series method. Math. Sci. 2014, 8, 153–160. [Google Scholar] [CrossRef]
- Holmberg, K.; Shah, D.O.; Schwuger, M.J. Handbook of Applied Surface and Colloid Chemistry; John Wiley & Sons: Hoboken, NJ, USA, 2002; Volume 2, pp. 23–45. [Google Scholar]
- Vatanparast, H.; Samiee, A.; Bahramian, A.; Javadi, A. Surface behavior of hydrophilic silica nanoparticle-SDS surfactant solutions: I. Effect of nanoparticle concentration on foamability and foam stability. Colloids Surf. A Physicochem. Eng. Asp. 2017, 513, 430–441. [Google Scholar] [CrossRef]
- Dorman, H.; Peltoketo, A.; Hiltunen, R.; Tikkanen, M. Characterisation of the antioxidant properties of de-odourised aqueous extracts from selected Lamiaceae herbs. Food Chem. 2003, 83, 255–262. [Google Scholar] [CrossRef]
- Tighchi, H.A.; Kayhani, M.H.; Faezian, A.; Yeganehzad, S.; Miller, R. Dynamic interfacial properties and foam behavior of licorice root extract solutions. Colloids Surf. B Biointerfaces 2023, 224, 113181. [Google Scholar] [CrossRef] [PubMed]
- Schneider, C.A.; Rasband, W.S.; Eliceiri, K.W. NIH Image to ImageJ: 25 years of image analysis. Nat. Methods 2012, 9, 671–675. [Google Scholar] [CrossRef] [PubMed]
- Ptaszek, P.; Kabziński, M.; Kruk, J.; Kaczmarczyk, K.; Żmudziński, D.; Liszka-Skoczylas, M.; Mickowska, B.; Łukasiewicz, M.; Banaś, J. The effect of pectins and xanthan gum on physicochemical properties of egg white protein foams. J. Food Eng. 2015, 144, 129–137. [Google Scholar] [CrossRef]
- Faezian, A.; Yeganehzad, S.; Tighchi, H.A. A simplified model to describe drainage of egg white powder foam containing additives. Chem. Eng. Sci. 2019, 195, 631–641. [Google Scholar] [CrossRef]
- Lomakina, K.; Mikova, K. A study of the factors affecting the foaming properties of egg white-a review. Czech J. Food Sci. 2006, 24, 110–118. [Google Scholar] [CrossRef]







| LRE Concentration (wt%) | Density (kg/m3) | Viscosity (mPa.s) | Surface Tension (mN/m) |
|---|---|---|---|
| 0.01 | 997.26 | 1.02 | 65.17 |
| 0.025 | 997.37 | 1.03 | 59.92 |
| 0.05 | 997.43 | 1.03 | 56.57 |
| 0.075 | 997.51 | 1.04 | 51.47 |
| 0.1 | 997.74 | 1.04 | 50.02 |
| 0.125 | 997.81 | 1.05 | 49.22 |
| 0.15 | 997.92 | 1.06 | 48.87 |
| 0.175 | 998.05 | 1.08 | 48.77 |
| LRE Concentration (wt%) | |||||
|---|---|---|---|---|---|
| 0.01 | 24.05 | 2.42 | 1.3 | 0.030 | 10.3 |
| 0.025 | 18.43 | 1.39 | 3.5 | 0.032 | 15.5 |
| 0.05 | 16.64 | 1.06 | 9.3 | 0.032 | 31.1 |
| 0.075 | 15.31 | 0.89 | 13.2 | 0.030 | 38.6 |
| 0.1 | 14.62 | 0.82 | 16.3 | 0.030 | 44.9 |
| 0.125 | 13.48 | 0.76 | 17.7 | 0.031 | 44.0 |
| 0.15 | 12.39 | 0.69 | 19.5 | 0.031 | 43.0 |
| 0.175 | 13.75 | 0.78 | 17.2 | 0.029 | 46.2 |
| Item | Values | |||||||
|---|---|---|---|---|---|---|---|---|
| LRE Concentration (wt%) | 0.01 | 0.025 | 0.05 | 0.075 | 0.1 | 0.124 | 0.15 | 0.175 |
| Slope (modeling) (1/s) | 0.504 | 0.186 | 0.071 | 0.050 | 0.041 | 0.037 | 0.035 | 0.040 |
| Slope (experiment) (1/s) | 0.453 | 0.201 | 0.087 | 0.048 | 0.049 | 0.041 | 0.043 | 0.051 |
Disclaimer/Publisher’s Note: The statements, opinions and data contained in all publications are solely those of the individual author(s) and contributor(s) and not of MDPI and/or the editor(s). MDPI and/or the editor(s) disclaim responsibility for any injury to people or property resulting from any ideas, methods, instructions or products referred to in the content. |
© 2023 by the authors. Licensee MDPI, Basel, Switzerland. This article is an open access article distributed under the terms and conditions of the Creative Commons Attribution (CC BY) license (https://creativecommons.org/licenses/by/4.0/).
Share and Cite
Ahmadi Tighchi, H.; Kayhani, M.H.; Faezian, A.; Yeganehzad, S.; Miller, R. Examination of a Theoretical Model for Drainage of Foams Prepared from Licorice Root Extract Solution. Colloids Interfaces 2023, 7, 47. https://doi.org/10.3390/colloids7020047
Ahmadi Tighchi H, Kayhani MH, Faezian A, Yeganehzad S, Miller R. Examination of a Theoretical Model for Drainage of Foams Prepared from Licorice Root Extract Solution. Colloids and Interfaces. 2023; 7(2):47. https://doi.org/10.3390/colloids7020047
Chicago/Turabian StyleAhmadi Tighchi, Hashem, Mohammad Hasan Kayhani, Ali Faezian, Samira Yeganehzad, and Reinhard Miller. 2023. "Examination of a Theoretical Model for Drainage of Foams Prepared from Licorice Root Extract Solution" Colloids and Interfaces 7, no. 2: 47. https://doi.org/10.3390/colloids7020047
APA StyleAhmadi Tighchi, H., Kayhani, M. H., Faezian, A., Yeganehzad, S., & Miller, R. (2023). Examination of a Theoretical Model for Drainage of Foams Prepared from Licorice Root Extract Solution. Colloids and Interfaces, 7(2), 47. https://doi.org/10.3390/colloids7020047

