Energy Storage Performance of Na0.5Bi0.5TiO3–CaHfO3 Lead-Free Ceramics Regulated by Defect Engineering
Abstract
1. Introduction
2. Experimental Procedures
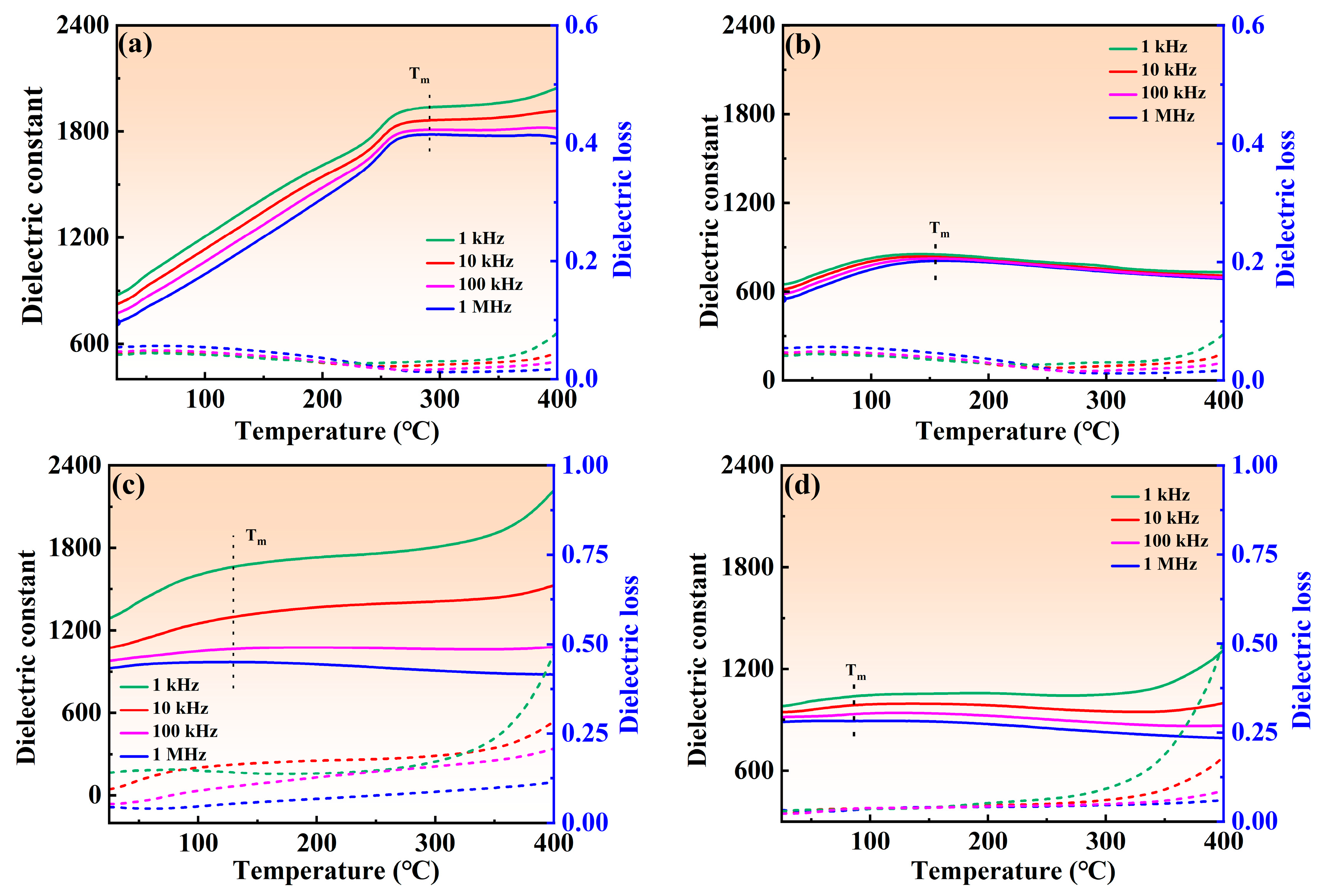
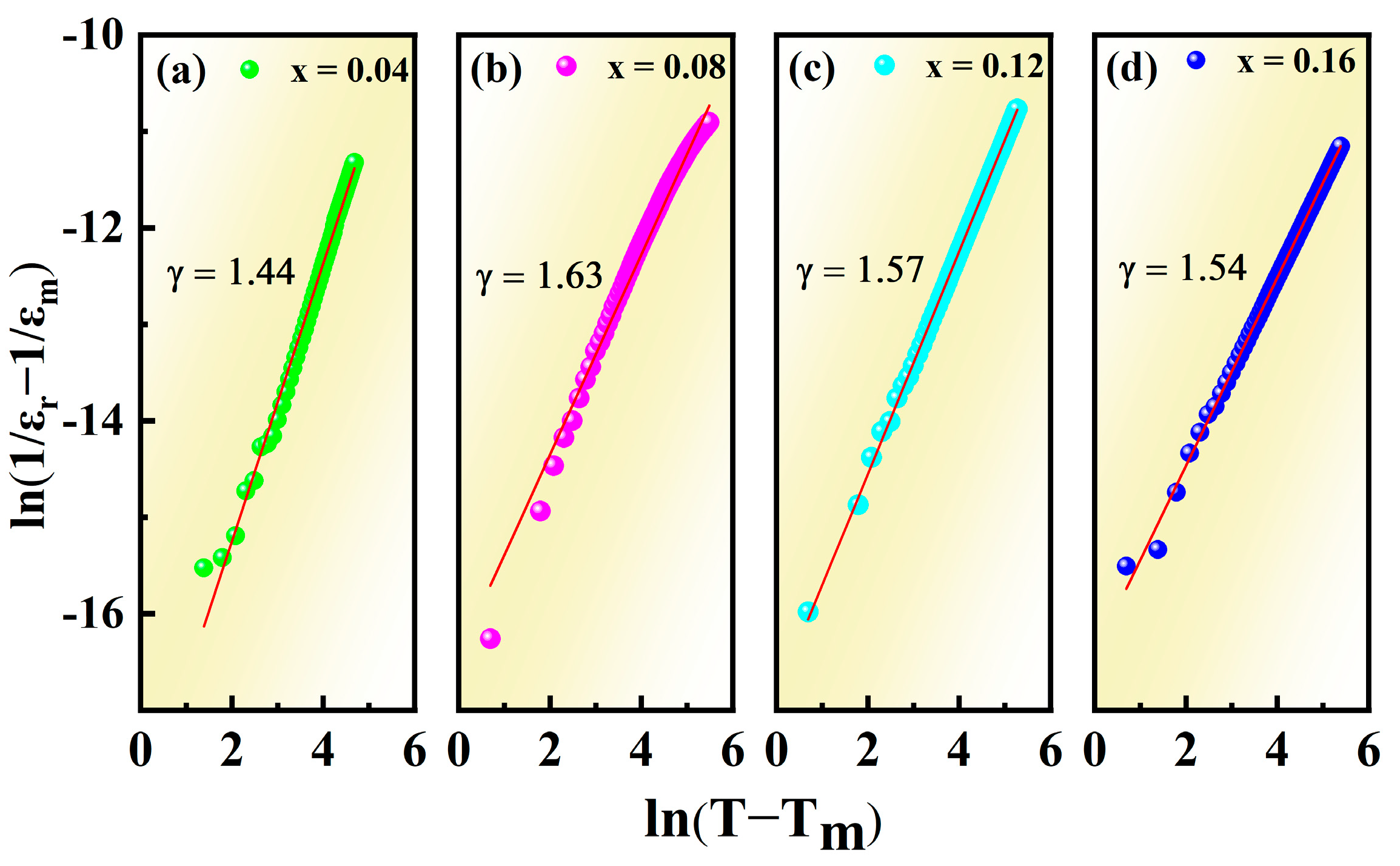
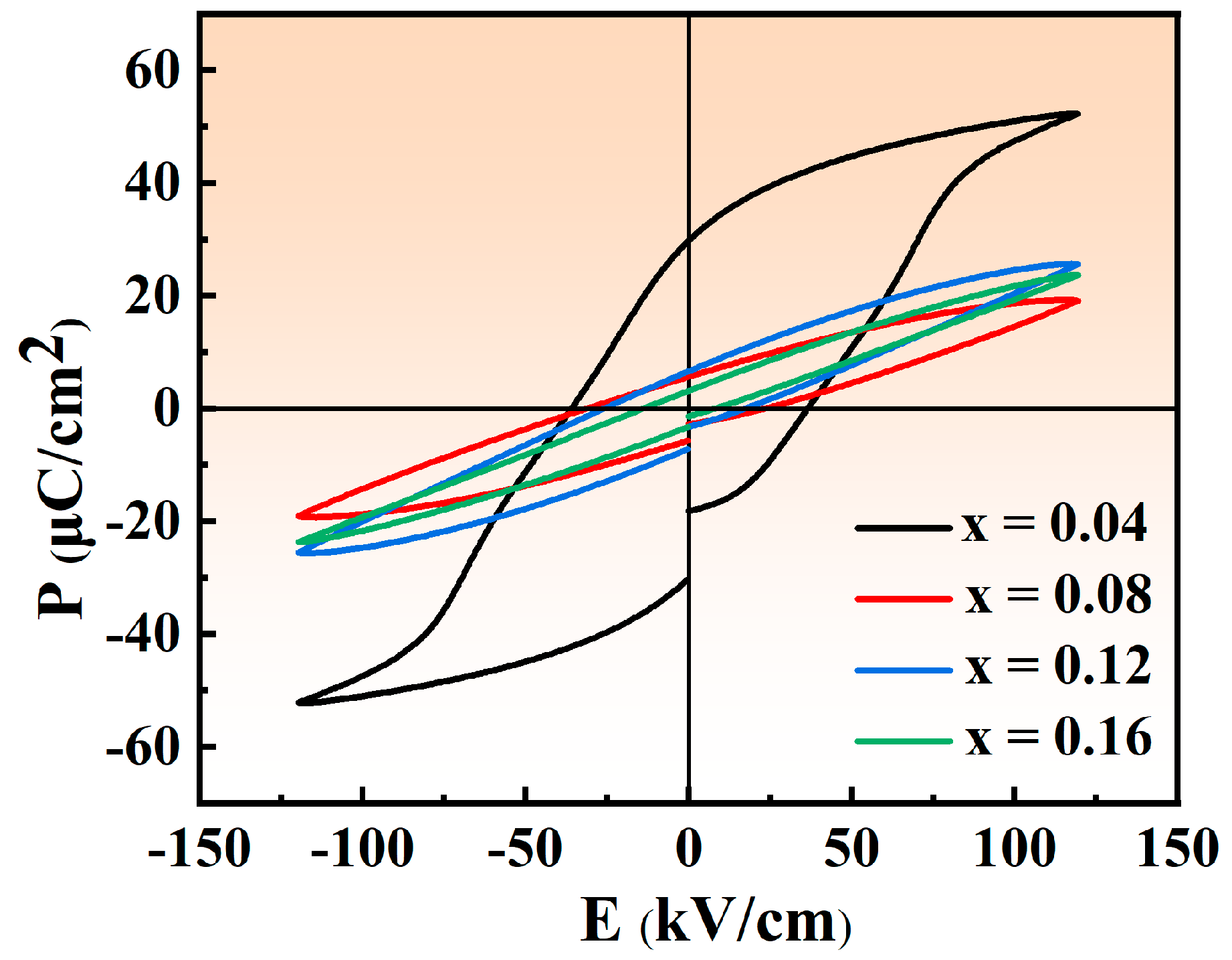
3. Results and Discussions
4. Conclusions
Author Contributions
Funding
Data Availability Statement
Conflicts of Interest
References
- Yang, Z.; Du, H.; Jin, L.; Poelman, D. High-Performance Lead-Free Bulk Ceramics for Electrical Energy Storage Applications: Design Strategies and Challenges. J. Mater. Chem. A 2021, 9, 18026–18085. [Google Scholar] [CrossRef]
- Palneedi, H.; Peddigari, M.; Hwang, G.; Jeong, D.; Ryu, J. High-Performance Dielectric Ceramic Films for Energy Storage Capacitors: Progress and Outlook. Adv. Funct. Mater. 2018, 28, 1803665. [Google Scholar] [CrossRef]
- Yuan, Q.; Chen, M.; Zhan, S.; Li, Y.; Lin, Y.; Yang, H. Ceramic-Based Dielectrics for Electrostatic Energy Storage Applications: Fundamental Aspects, Recent Progress, and Remaining Challenges. Chem. Eng. J. 2022, 446, 136315. [Google Scholar]
- Hu, Q.; Tian, Y.; Zhu, Q.; Bian, J.; Jin, L.; Du, H.; Alikin, D.O.; Shur, V.Y.; Feng, Y.; Xu, Z.; et al. Achieve Ultrahigh Energy Storage Performance in BaTiO3–Bi(Mg1/2Ti1/2)O3 Relaxor Ferroelectric Ceramics via Nano-Scale Polarization Mismatch and Reconstruction. Nano Energy 2020, 67, 104264. [Google Scholar]
- Muhammad, R.; Iqbal, Y.; Reaney, I.M. BaTiO3–Bi(Mg2/3Nb1/3)O3 Ceramics for High-Temperature Capacitor Applications. J. Am. Ceram. Soc. 2016, 99, 2089–2095. [Google Scholar] [CrossRef]
- Wang, H.; Liu, Y.; Yang, T.; Zhang, S. Ultrahigh Energy-Storage Density in Antiferroelectric Ceramics with Field-Induced Multiphase Transitions. Adv. Funct. Mater. 2019, 29, 1807321. [Google Scholar] [CrossRef]
- Wang, H.; Hu, Q.; Liu, X.; Zheng, Q.; Jiang, N.; Yang, Y.; Kwok, K.W.; Xu, C.; Lin, D. A High-Tolerance BNT-Based Ceramic with Excellent Energy Storage Properties and Fatigue/Frequency/Thermal Stability. Ceram. Int. 2019, 45, 23233–23240. [Google Scholar]
- Wang, G.; Lu, Z.; Li, Y.; Li, L.; Ji, H.; Feteira, A.; Zhou, D.; Wang, D.; Zhang, S.; Reaney, I.M. Electroceramics for High-Energy Density Capacitors: Current Status and Future Perspectives. Chem. Rev. 2021, 121, 6124–6172. [Google Scholar] [CrossRef] [PubMed]
- Höfling, M.; Steiner, S.; Hoang, A.-P.; Seo, I.-T.; Frömling, T. Optimizing the Defect Chemistry of Na1/2Bi1/2TiO3 -Based Materials: Paving the Way for Excellent High Temperature Capacitors. J. Mater. Chem. C 2018, 6, 4769–4776. [Google Scholar] [CrossRef]
- Carter, J.; Aksel, E.; Iamsasri, T.; Forrester, J.S.; Chen, J.; Jones, J.L. Structure and Ferroelectricity of Nonstoichiometric (Na0.5Bi0.5)TiO3. Appl. Phys. Lett. 2014, 104, 112904. [Google Scholar] [CrossRef]
- Yang, H.; Cai, Z.; Zhu, C.; Feng, P.; Wang, X. Ultra-High Energy Storage Performance in BNT-Based Ferroelectric Ceramics with Simultaneously Enhanced Polarization and Breakdown Strength. ACS Sustain. Chem. Eng. 2022, 10, 9176–9183. [Google Scholar] [CrossRef]
- Yan, F.; Huang, K.; Jiang, T.; Zhou, X.; Shi, Y.; Ge, G.; Shen, B.; Zhai, J. Significantly Enhanced Energy Storage Density and Efficiency of BNT-Based Perovskite Ceramics via A-Site Defect Engineering. Energy Storage Mat. 2020, 30, 392–400. [Google Scholar] [CrossRef]
- Jiang, Z.; Yang, H.; Cao, L.; Yang, Z.; Yuan, Y.; Li, E. Enhanced Breakdown Strength and Energy Storage Density of Lead-Free Bi0.5Na0.5TiO3-Based Ceramic by Reducing the Oxygen Vacancy Concentration. Chem. Eng. J. 2021, 414, 128921. [Google Scholar] [CrossRef]
- Zhang, L.; Jing, R.; Huang, Y.; Hu, Q.; Alikin, D.O.; Shur, V.Y.; Gao, J.; Wei, X.; Zhang, L.; Liu, G.; et al. Enhanced Antiferroelectric-like Relaxor Ferroelectric Characteristic Boosting Energy Storage Performance of (Bi0.5Na0.5)TiO3-Based Ceramics via Defect Engineering. J. Mat. 2022, 8, 527–536. [Google Scholar] [CrossRef]
- Liu, G.; Dong, J.; Zhang, L.; Yu, L.; Wei, F.; Li, Y.; Gao, J.; Hu, J.; Yan, Y.; Li, Q.; et al. Na0.25Sr0.5Bi0.25TiO3 Relaxor Ferroelectric Ceramic with Greatly Enhanced Electric Storage Property by a B-Site Ion Doping. Ceram. Int. 2020, 46, 11680–11688. [Google Scholar] [CrossRef]
- Yu, L.; Dong, J.; Tang, M.; Liu, Y.; Wu, F.; Yan, Y.; Liu, G.; Song, C. Enhanced Electrical Energy Storage Performance of Pb-Free A-Site La3+-Doped 0.85Na0.5Bi0.5TiO3-0.15CaTiO3 Ceramics. Ceram. Int. 2020, 46, 28173–28182. [Google Scholar] [CrossRef]
- Li, T.; Chen, P.; Si, R.; Li, F.; Guo, Y.; Wang, C. High Energy Storage Density and Efficiency with Excellent Temperature and Frequency Stabilities under Low Operating Field Achieved in Ag0.91Sm0.03NbO3-Modified Na0.5Bi0.5TiO3-BaTiO3 Ceramics. J. Mater. Sci. Mater. Electron. 2020, 31, 16928–16937. [Google Scholar] [CrossRef]
- Liu, X.; Rao, R.; Shi, J.; He, J.; Zhao, Y.; Liu, J.; Du, H. Effect of Oxygen Vacancy and A-Site-Deficiency on the Dielectric Performance of BNT-BT-BST Relaxors. J. Alloys Compd. 2021, 875, 159999. [Google Scholar] [CrossRef]
- Chen, Z.; Pu, Y.; Ning, Y.; Hui, Y.; Wu, C.; Zhang, L.; Zhang, X.; Wang, B. Prominent Energy Storage Density and Efficiency of Na0.5Bi0.5TiO3 -based Ceramics via Multiscale Amelioration Strategy. J. Am. Ceram. Soc. 2024, 107, 2360–2370. [Google Scholar] [CrossRef]
- Zhao, H.; Cao, W.; Liang, C.; Wang, C.; Wang, C. High Energy-Storage Performance in X9R-Type Na0.5Bi0.5TiO3-Based Lead-Free Ceramics. Ceram. Int. 2023, 49, 15939–15946. [Google Scholar] [CrossRef]
- Li, T.; Jiang, X.; Li, J.; Xie, A.; Fu, J.; Zuo, R. Ultrahigh Energy-Storage Performances in Lead-Free Na0.5Bi0.5TiO3 -Based Relaxor Antiferroelectric Ceramics through a Synergistic Design Strategy. ACS Appl. Mater. Interfaces 2022, 14, 22263–22269. [Google Scholar] [CrossRef] [PubMed]
- Roukos, R.; Zaiter, N.; Chaumont, D. Relaxor Behaviour and Phase Transition of Perovskite Ferroelectrics-Type Complex Oxides (1–x)Na0.5Bi0.5TiO3–xCaTiO3 System. J. Adv. Ceram. 2018, 7, 124–142. [Google Scholar] [CrossRef]
- Luo, C.; Feng, Q.; Luo, N.; Yuan, C.; Zhou, C.; Wei, Y.; Fujita, T.; Xu, J.; Chen, G. Effect of Ca2+/Hf4+ Modification at A/B Sites on Energy-Storage Density of Bi0.47Na0.47Ba0.06TiO3 Ceramics. Chem. Eng. J. 2021, 420, 129861. [Google Scholar] [CrossRef]
- Wang, K.; Li, W.; Zhao, R.; Tang, X.; Zhang, S.; Zhang, Y.; Hu, J.; Shen, Z.; Jiang, Y.; Guo, X. High Energy Storage Density Obtained by Bi(Ni0.5Hf0.5)O3-Modified NBT-Based Ceramic at a Low Electric Field. Ceram. Int. 2024, 50, 5276–5284. [Google Scholar] [CrossRef]
- Li, Z.; Zhang, J.; Wang, C.; Wang, Z.; Lei, N.; Zheng, L.; Long, D.; Wei, X.; Zhang, J.; Wang, Z.; et al. Phase Structure, Dielectric and Energy Storage Properties of Na0.5Bi0.5TiO3-BaTiO3 Ceramics with Bi(Mg2/3Nb1/3)O3 Modification. Ceram. Int. 2023, 49, 38735–38742. [Google Scholar] [CrossRef]
- Zhang, L.; Pu, Y.; Chen, M.; Wei, T.; Keipper, W.; Shi, R.; Guo, X.; Li, R.; Peng, X. High Energy-Storage Density under Low Electric Fields and Improved Optical Transparency in Novel Sodium Bismuth Titanate-Based Lead-Free Ceramics. J. Eur. Ceram. Soc. 2020, 40, 71–77. [Google Scholar] [CrossRef]
- Yang, F.; Bao, S.; Zhai, Y.; Zhang, Y.; Su, Z.; Liu, J.; Zhai, J.; Pan, Z. Enhanced Energy-Storage Performance and Thermal Stability in Bi0.5Na0.5TiO3-Based Ceramics through Defect Engineering and Composition Design. Mater. Today Chem. 2021, 22, 100583. [Google Scholar] [CrossRef]
- Qiao, X.; Wu, D.; Zhang, F.; Niu, M.; Chen, B.; Zhao, X.; Liang, P.; Wei, L.; Chao, X.; Yang, Z. Enhanced Energy Density and Thermal Stability in Relaxor Ferroelectric Bi0.5Na0.5TiO3-Sr0.7Bi0.2TiO3 Ceramics. J. Eur. Ceram. Soc. 2019, 39, 4778–4784. [Google Scholar] [CrossRef]
- Yang, L.; Kong, X.; Cheng, Z.; Zhang, S. Ultra-High Energy Storage Performance with Mitigated Polarization Saturation in Lead-Free Relaxors. J. Mater. Chem. A 2019, 7, 8573–8580. [Google Scholar] [CrossRef]
- Zhao, P.; Tang, B.; Si, F.; Yang, C.; Li, H.; Zhang, S. Novel Ca Doped Sr0.7Bi0.2TiO3 Lead-Free Relaxor Ferroelectrics with High Energy Density and Efficiency. J. Eur. Ceram. Soc. 2020, 40, 1938–1946. [Google Scholar] [CrossRef]
- Han, J.; Yin, J.; Wu, J. BNT-based Ferroelectric Ceramics: Electrical Properties Modification by Ta2O5 Oxide Addition. J. Am. Ceram. Soc. 2019, 103, 412–422. [Google Scholar] [CrossRef]
- Fan, J.; He, G.; Cao, Z.; Cao, Y.; Long, Z.; Hu, Z. Ultrahigh Energy-Storage Density of a Lead-Free 0.85Bi0.5Na0.5TiO3 –0.15Ca(Nb0.5Al0.5)O3 Ceramic under Low Electric Fields. Inorg. Chem. Front. 2023, 10, 1561–1573. [Google Scholar] [CrossRef]
- Xie, A.; Fu, J.; Zuo, R.; Zhou, C.; Qiao, Z.; Li, T.; Zhang, S. NaNbO3-CaTiO3 Lead-Free Relaxor Antiferroelectric Ceramics Featuring Giant Energy Density, High Energy Efficiency and Power Density. Chem. Eng. J. 2022, 429, 132534. [Google Scholar] [CrossRef]
- Prasertpalichat, S.; Cann, D.P. Hardening in Non-Stoichiometric (1−x)Bi0.5Na0.5TiO3–xBaTiO3 Lead-Free Piezoelectric Ceramics. J. Mater. Sci. 2016, 51, 476–486. [Google Scholar] [CrossRef]
- Kumar, N.; Ansell, T.Y.; Cann, D.P. Role of Point Defects in Bipolar Fatigue Behavior of Bi(Mg1/2Ti1/2)O3 Modified (Bi1/2K1/2)TiO3-(Bi1/2Na1/2)TiO3 Relaxor Ceramics. J. Appl. Phys. 2014, 115, 154104. [Google Scholar] [CrossRef]
- Li, M.; Pietrowski, M.J.; De Souza, R.A.; Zhang, H.; Reaney, I.M.; Cook, S.N.; Kilner, J.A.; Sinclair, D.C. A Family of Oxide Ion Conductors Based on the Ferroelectric Perovskite Na0.5Bi0.5TiO3. Nat. Mater. 2014, 13, 31–35. [Google Scholar] [CrossRef]
- Malik, R.A.; Hussain, A.; Maqbool, A.; Zaman, A.; Song, T.K.; Kim, W.-J.; Kim, M.-H. Giant Strain, Thermally-Stable High Energy Storage Properties and Structural Evolution of Bi-Based Lead-Free Piezoceramics. J. Alloys Compd. 2016, 682, 302–310. [Google Scholar] [CrossRef]
- Zhu, X.; Gao, Y.; Shi, P.; Kang, R.; Kang, F.; Qiao, W.; Zhao, J.; Wang, Z.; Yuan, Y.; Lou, X. Ultrahigh Energy Storage Density in (Bi0.5Na0.5)0.65Sr0.35TiO3-Based Lead-Free Relaxor Ceramics with Excellent Temperature Stability. Nano Energy 2022, 98, 107276. [Google Scholar] [CrossRef]
- Ding, J.; Pan, Z.; Chen, P.; Hu, D.; Yang, F.; Li, P.; Liu, J.; Zhai, J. Enhanced Energy Storage Capability of (1-x)Na0.5Bi0.5TiO3-xSr0.7Bi0.2TiO3 Free-Lead Relaxor Ferroelectric Thin Films. Ceram. Int. 2020, 46, 14816–14821. [Google Scholar] [CrossRef]
- Zhang, L.; Hao, X.; Zhang, L. Enhanced Energy-Storage Performances of Bi2O3–Li2O Added (1−x)(Na0.5Bi0.5)TiO3–xBaTiO3 Thick Films. Ceram. Int. 2014, 40, 8847–8851. [Google Scholar] [CrossRef]
- Wang, H.; Yuan, H.; Li, X.; Zeng, F.; Wu, K.; Zheng, Q.; Fan, G.; Lin, D. Enhanced Energy Density and Discharged Efficiency of Lead-Free Relaxor (1−x)[(Bi0.5Na0.5)0.94Ba0.06]0.98La0.02TiO3-xKNb0.6Ta0.4O3 Ceramic Capacitors. Chem. Eng. J. 2020, 394, 124879. [Google Scholar] [CrossRef]
- Huang, J.; Qi, H.; Gao, Y.; Xie, A.; Zhang, Y.; Li, Y.; Wang, S.; Zuo, R. Expanded Linear Polarization Response and Excellent Energy-Storage Properties in (Bi0.5Na0.5)TiO3-KNbO3 Relaxor Antiferroelectrics with Medium Permittivity. Chem. Eng. J. 2020, 398, 125639. [Google Scholar] [CrossRef]
- Li, D.; Lin, Y.; Zhang, M.; Yang, H. Achieved Ultrahigh Energy Storage Properties and Outstanding Charge–Discharge Performances in (Na0.5Bi0.5)0.7Sr0.3TiO3-Based Ceramics by Introducing a Linear Additive. Chem. Eng. J. 2020, 392, 123729. [Google Scholar] [CrossRef]
- Li, X.; Cheng, Y.; Wang, F.; Xu, Q.; Chen, Y.; Xie, L.; Tan, Z.; Xing, J.; Zhu, J. Enhancement of Energy Storage and Hardness of (Na0.5Bi0.5)0.7Sr0.3TiO3-Based Relaxor Ferroelectrics via Introducing Ba(Mg1/3Nb2/3)O3. Chem. Eng. J. 2022, 431, 133441. [Google Scholar] [CrossRef]
- Luo, C.; Wei, Y.; Feng, Q.; Wang, M.; Luo, N.; Yuan, C.; Zhou, C.; Fujita, T.; Xu, J. Significantly Enhanced Energy-Storage Properties of Bi0.47Na0.47Ba0.06TiO3-CaHfO3 Ceramics by Introducing Sr0.7Bi0.2TiO3 for Pulse Capacitor Application. Chem. Eng. J. 2022, 429, 132165. [Google Scholar] [CrossRef]
- Yan, F.; Zhou, X.; He, X.; Bai, H.; Wu, S.; Shen, B.; Zhai, J. Superior Energy Storage Properties and Excellent Stability Achieved in Environment-Friendly Ferroelectrics via Composition Design Strategy. Nano Energy 2020, 75, 105012. [Google Scholar] [CrossRef]
- Jiang, Z.; Yuan, Y.; Yang, H.; Li, E.; Zhang, S. Relaxor Regulation and Improvement of Breakdown Strength for Bi0.5Na0.5TiO3-Based Ceramics by Co-Doping with Ca and Nb. Ceram. Int. 2022, 48, 9702–9709. [Google Scholar] [CrossRef]
- Meng, K.; Li, W.; Tang, X.; Liu, Q.; Jiang, Y. The Defect Related Energy-Storage Properties of A-Site off-Stoichiometry Ferroelectric Ceramic. Appl. Phys. A 2021, 127, 337. [Google Scholar] [CrossRef]
- Huang, Y.; Zhang, L.; Jing, R.; Hu, Q.; Alikin, D.O.; Shur, V.Y.; Islam, S.S.; Du, H.; Wei, X.; Feng, G.; et al. Thermal Stability of Dielectric and Energy Storage Performances of Ca-Substituted BNTZ Ferroelectric Ceramics. Ceram. Int. 2021, 47, 6298–6309. [Google Scholar] [CrossRef]
- Krogstad, M.J.; Gehring, P.M.; Rosenkranz, S.; Osborn, R.; Ye, F.; Liu, Y.; Ruff, J.P.C.; Chen, W.; Wozniak, J.M.; Luo, H.; et al. The Relation of Local Order to Material Properties in Relaxor Ferroelectrics. Nat. Mat. 2018, 17, 718–724. [Google Scholar] [CrossRef]
- Wang, Z.; Kang, R.; Zhang, L.; Mao, P.; Sun, Q.; Kang, F.; Wang, J. Remarkably Enhanced Energy-Storage Density and Excellent Thermal Stability under Low Electric Fields of (Na0.5Bi0.5)TiO3-Based Ceramics via Composition Optimization Strategy. J. Eur. Ceram. Soc. 2021, 41, 1917–1924. [Google Scholar] [CrossRef]
- Li, X.; Dong, X.; Wang, F.; Tan, Z.; Zhang, Q.; Chen, H.; Xi, J.; Xing, J.; Zhou, H.; Zhu, J. Realizing Excellent Energy Storage Properties in Na0.5Bi0.5TiO3-Based Lead-Free Relaxor Ferroelectrics. J. Eur. Ceram. Soc. 2022, 42, 2221–2229. [Google Scholar] [CrossRef]










| x | Phase Structure | Relative Content (%) | Lattice Parameters | Reliability Factor | |||
|---|---|---|---|---|---|---|---|
| a(Å) | b(Å) | c(Å) | Rwp (%) | χ2 | |||
| 0.04 | R3c | 37.30% | 5.497 | 5.497 | 13.478 | 8.4% | 1.76 |
| P4bm | 62.70% | 5.500 | 5.500 | 3.887 | |||
| 0.08 | R3c | 7.47% | 5.497 | 5.497 | 13.494 | 8.7% | 1.83 |
| P4bm | 92.53% | 5.503 | 5.503 | 3.889 | |||
| 0.12 | R3c | 28.26% | 5.495 | 5.495 | 13.502 | 8.8% | 2.26 |
| P4bm | 71.74% | 5.500 | 5.500 | 3.892 | |||
| 0.16 | R3c | 22.85% | 5.494 | 5.494 | 13.520 | 9.4% | 2.28 |
| P4bm | 77.15% | 5.507 | 5.507 | 3.895 | |||
| x | Eb (kV/cm) | Pmax (μC/cm2) | Pr (μC/cm2) | Wrec (J/cm3) | η (%) |
|---|---|---|---|---|---|
| 0.04 | 130 | 55.39 | 33.30 | 0.95 | 24% |
| 0.08 | 140 | 32.10 | 7.88 | 1.20 | 45% |
| 0.12 | 130 | 27.93 | 7.31 | 1.03 | 48% |
| 0.16 | 120 | 23.66 | 3.09 | 1.07 | 69% |
Disclaimer/Publisher’s Note: The statements, opinions and data contained in all publications are solely those of the individual author(s) and contributor(s) and not of MDPI and/or the editor(s). MDPI and/or the editor(s) disclaim responsibility for any injury to people or property resulting from any ideas, methods, instructions or products referred to in the content. |
© 2024 by the authors. Licensee MDPI, Basel, Switzerland. This article is an open access article distributed under the terms and conditions of the Creative Commons Attribution (CC BY) license (https://creativecommons.org/licenses/by/4.0/).
Share and Cite
Li, Z.; Zhang, J.; Wang, Z.; Wei, X.; Long, D.; Zhao, X.; Niu, Y. Energy Storage Performance of Na0.5Bi0.5TiO3–CaHfO3 Lead-Free Ceramics Regulated by Defect Engineering. Ceramics 2024, 7, 1002-1013. https://doi.org/10.3390/ceramics7030065
Li Z, Zhang J, Wang Z, Wei X, Long D, Zhao X, Niu Y. Energy Storage Performance of Na0.5Bi0.5TiO3–CaHfO3 Lead-Free Ceramics Regulated by Defect Engineering. Ceramics. 2024; 7(3):1002-1013. https://doi.org/10.3390/ceramics7030065
Chicago/Turabian StyleLi, Zhuo, Jing Zhang, Zixuan Wang, Xiaotian Wei, Dingjie Long, Xin Zhao, and Yanhui Niu. 2024. "Energy Storage Performance of Na0.5Bi0.5TiO3–CaHfO3 Lead-Free Ceramics Regulated by Defect Engineering" Ceramics 7, no. 3: 1002-1013. https://doi.org/10.3390/ceramics7030065
APA StyleLi, Z., Zhang, J., Wang, Z., Wei, X., Long, D., Zhao, X., & Niu, Y. (2024). Energy Storage Performance of Na0.5Bi0.5TiO3–CaHfO3 Lead-Free Ceramics Regulated by Defect Engineering. Ceramics, 7(3), 1002-1013. https://doi.org/10.3390/ceramics7030065
