Analysis of PM2.5 Concentration Released from Forest Combustion in Liangshui National Natural Reserve, China
Abstract
1. Introduction
2. Materials and Methods
2.1. Overview of the Study Area
2.2. Sample Collection and Preparation
2.3. Determination of PM2.5 Compositions
3. Results
3.1. Analysis of Total PM2.5 Release from Fuel Combustion
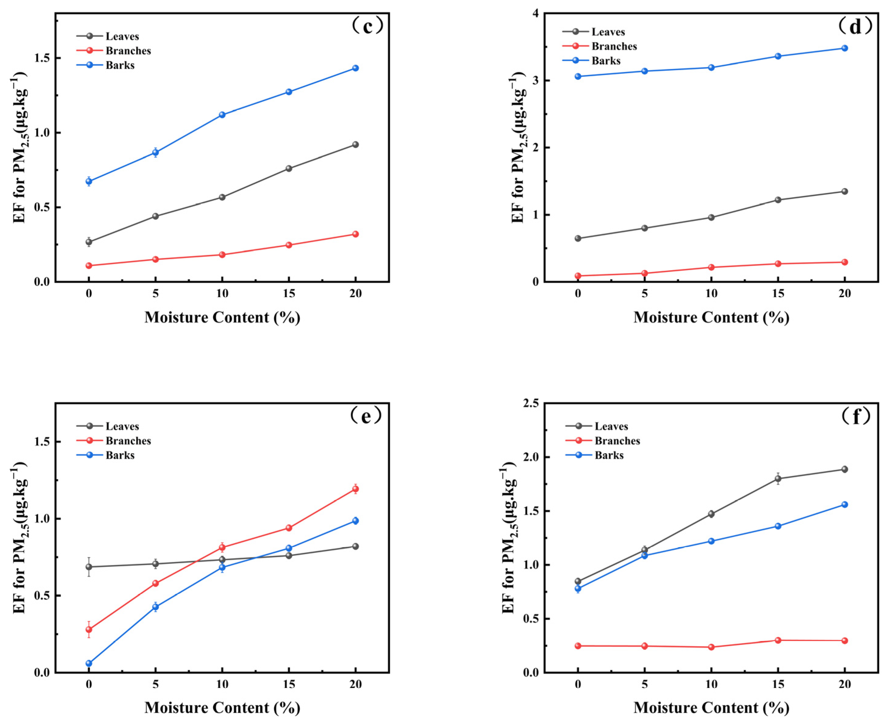
3.2. The Effect of Moisture Content on the Release of PM2.5 from Fuel Combustion
3.3. The Effect of Load on the Release of PM2.5 from Fuel Combustion
3.4. Correlation Analysis of Moisture Content and Load on PM2.5 Release from Fuel Combustion
4. Discussion
5. Conclusions
- (1)
- There are significant differences in the PM2.5 emission factors from burning different broad-leaved tree species, whereas no notable differences are observed in the PM2.5 emission factors when different coniferous tree species are burned. Furthermore, the PM2.5 emission factor from burning broad-leaved tree species is greater than that of coniferous tree species.
- (2)
- A positive correlation exists between the moisture content of fuel and PM2.5 emission factors; moreover, alterations in moisture content markedly influence PM2.5 emission factors.
- (3)
- The amount of PM2.5 released from the combustion of fuel with different loading increases exponentially.
- (4)
- The RSM model can be used to analyze the effects of moisture content and loading on the release of PM2.5 from fuel combustion. By presenting a curved trend through the model, it can be concluded that the moisture content and loading in the model have a significant composite effect on the release of PM2.5 from fuel combustion.
Author Contributions
Funding
Institutional Review Board Statement
Informed Consent Statement
Data Availability Statement
Conflicts of Interest
References
- Slezakova, K.; Morais, S.; Pereira, M.d.C. Forest fires in Northern region of Portugal: Impact on PM levels. Atmos. Res. 2013, 127, 148–153. [Google Scholar] [CrossRef]
- Huerta, S.; Marcos, E.; Fernández-García, V.; Calvo, L. Resilience of Mediterranean communities to fire depends on burn severity and type of ecosystem. Fire Ecol. 2022, 18, 28. [Google Scholar] [CrossRef]
- Sayedi, S.S.; Abbott, B.W.; Vannière, B.; Leys, B.; Colombaroli, D.; Romera, G.G.; Słowiński, M.; Aleman, J.C.; Blarquez, O.; Feurdean, A.; et al. Assessing changes in global fire regimes. Fire Ecol. 2024, 20, 18. [Google Scholar] [CrossRef]
- Silberstein, J.M.; Mael, L.E.; Frischmon, C.R.; Rieves, E.S.; Coffey, E.R.; Das, T.; Dresser, W.; Hatch, A.C.; Nath, J.; Pliszka, H.O.; et al. Residual impacts of a wildland urban interface fire on urban particulate matter and dust: A study from the Marshall Fire. Air Qual. Atmos. Health 2023, 16, 1839–1850. [Google Scholar] [CrossRef]
- Johnson, R.; Rieuwerts, J.; Comber, S.D.W. How does a country’s developmental status affect ambient air quality with respect to particulate matter? Int. J. Environ. Sci. Technol. 2021, 18, 3395–3406. [Google Scholar] [CrossRef]
- Liu, F.; Li, A.; Khan, Y. PM2.5 Neutrality goals: The role of government strengthen and digitalization in BRICS Countries. Air Qual. Atmos. Health 2024. [Google Scholar] [CrossRef]
- Su, Z.; Xu, Z.; Lin, L.; Chen, Y.; Hu, H.; Wei, S.; Luo, S. Exploration of the Contribution of Fire Carbon Emissions to PM2.5 and Their Influencing Factors in Laotian Tropical Rainforests. Remote Sens. 2022, 14, 4052. [Google Scholar] [CrossRef]
- Li, J.; Ding, T.; He, W. Socio-economic driving forces of PM2.5 emission in China: A global meta-frontier-production-theoretical decomposition analysis. Environ. Sci. Pollut. Res. 2022, 29, 77565–77579. [Google Scholar] [CrossRef]
- Luo, H.; Han, Y.; Lu, C.; Yang, J.; Wu, Y. Characteristics of Surface Solar Radiation under Different Air Pollution Conditions over Nanjing, China: Observation and Simulation. Adv. Atmos. Sci. 2019, 36, 1047–1059. [Google Scholar] [CrossRef]
- Hahn, M.B.; Kuiper, G.; O’Dell, K.; Fischer, E.V.; Magzamen, S. Wildfire Smoke Is Associated with an Increased Risk of Cardiorespiratory Emergency Department Visits in Alaska. GeoHealth 2021, 5, e2020GH000349. [Google Scholar] [CrossRef]
- Guzmán, P.; Tarín-Carrasco, P.; Morales-Suárez-Varela, M.; Jiménez-Guerrero, P. Effects of air pollution on dementia over Europe for present and future climate change scenarios. Environ. Res. 2022, 204, 112012. [Google Scholar] [CrossRef] [PubMed]
- Chen, R.; Yang, C.; Li, P.; Wang, J.; Liang, Z.; Wang, W.; Wang, Y.; Liang, C.; Meng, R.; Wang, H.; et al. Long-Term Exposure to Ambient PM2.5, Sunlight, and Obesity: A Nationwide Study in China. Front. Endocrinol. 2022, 12, 790294. [Google Scholar] [CrossRef]
- Karanasiou, A.; Alastuey, A.; Amato, F.; Renzi, M.; Stafoggia, M.; Tobias, A.; Reche, C.; Forastiere, F.; Gumy, S.; Mudu, P.; et al. Short-term health effects from outdoor exposure to biomass burning emissions: A review. Sci. Total Environ. 2021, 781, 146739. [Google Scholar] [CrossRef]
- Matz, C.J.; Egyed, M.; Xi, G.; Racine, J.; Pavlovic, R.; Rittmaster, R.; Henderson, S.B.; Stieb, D.M. Health impact analysis of PM2.5 from wildfire smoke in Canada (2013–2015, 2017–2018). Sci. Total Environ. 2020, 725, 138506. [Google Scholar] [CrossRef] [PubMed]
- Wang, Y.; Xiao, S.; Zhang, Y.; Chang, H.; Martin, R.V.; Van Donkelaar, A.; Gaskins, A.; Liu, Y.; Liu, P.; Shi, L. Long-term exposure to PM2.5 major components and mortality in the southeastern United States. Environ. Int. 2022, 158, 106969. [Google Scholar] [CrossRef] [PubMed]
- Urbanski, S. Wildland fire emissions, carbon, and climate: Emission factors. For. Ecol. Manag. 2014, 317, 51–60. [Google Scholar] [CrossRef]
- Žilka, M.; Tropeková, M.; Zahradníková, E.; Kováčik, Ľ.; Ščevková, J. Temporal variation in the spectrum and concentration of airborne microalgae and cyanobacteria in the urban environments of inland temperate climate. Environ. Sci. Pollut. Res. 2023, 30, 97616–97628. [Google Scholar] [CrossRef]
- Alves, C.A.; Vicente, E.D.; Evtyugina, M.; Vicente, A.; Pio, C.; Amado, M.F.; Mahía, P.L. Gaseous and speciated particulate emissions from the open burning of wastes from tree pruning. Atmos. Res. 2019, 226, 110–121. [Google Scholar] [CrossRef]
- Ni, H.; Han, Y.; Cao, J.; Chen, L.W.A.; Tian, J.; Wang, X.; Chow, J.C.; Watson, J.G.; Wang, Q.; Wang, P.; et al. Emission characteristics of carbonaceous particles and trace gases from open burning of crop residues in China. Atmos. Environ. 2015, 123, 399–406. [Google Scholar] [CrossRef]
- Song, B.; Yin, X.; Zhang, Y.; Dong, W. Dynamics and relationships of Ca, Mg, Fe in litter, soil fauna and soil in Pinus koraiensis-broadleaf mixed forest. Chin. Geogr. Sci. 2008, 18, 284–290. [Google Scholar] [CrossRef]
- Wang, Y.; Duan, W.; Qu, M.; Chen, L.; Lan, H.; Yang, X.; Meng, S.; Chen, J. Differences of carbon and nitrogen stoichiometry between different habitats in two natural Korean pine forests in Northeast China’s mountainous areas. J. Mt. Sci. 2022, 19, 1324–1335. [Google Scholar] [CrossRef]
- Zhan, X.; Ma, Y.; Huang, Z.; Zheng, C.; Lin, H.; Tigabu, M.; Guo, F. Temporal and spatial dynamics in emission of water-soluble ions in fine particulate matter during forest fires in Southwest China. Front. For. Glob. Change 2023, 6, 1250038. [Google Scholar] [CrossRef]
- Zhang, H.; Li, H.; Liu, X.; Ma, Y.; Zhou, Q.; Sa, R.; Zhang, Q. Emissions Released by Forest Fuel in the Daxing’an Mountains, China. Forests 2022, 13, 1220. [Google Scholar] [CrossRef]
- Koyama, L.A.; Kielland, K. Seasonal changes in nitrate assimilation of boreal woody species: Importance of the leaf-expansion period. Trees 2022, 36, 941–951. [Google Scholar] [CrossRef]
- Raina, R.; Sharma, P.; Batish, D.R.; Singh, H.P. Assessment of natural low molecular weight organic acids in facilitating cadmium phytoextraction by Lepidium didymus (Brassicaceae). Environ. Sci. Pollut. Res. 2023, 31, 38990–38998. [Google Scholar] [CrossRef]
- Yang, J.; Shan, Z.; Zhang, Y.; Chen, L. Stabilization and cyclic utilization of chrome leather shavings. Environ. Sci. Pollut. Res. 2018, 26, 4680–4689. [Google Scholar] [CrossRef] [PubMed]
- Chang, C.; Chang, Y.; Guo, M.; Hu, Y. Modelling the dead fuel moisture content in a grassland of Ergun City, China. J. Arid. Land 2023, 15, 710–723. [Google Scholar] [CrossRef]
- Jiang, N.; Lv, Z.; Zhang, R.; Zhu, R.; Qu, G. Characteristics, source analysis, and health risk of PM2.5 in the urban tunnel environment associated with E10 petrol usage. Environ. Sci. Pollut. Res. 2024, 31, 30454–30466. [Google Scholar] [CrossRef] [PubMed]
- Liu, T.; Zhao, C.; Chen, Q.; Li, L.; Si, G.; Li, L.; Guo, B. Characteristics and health risk assessment of heavy metal pollution in atmospheric particulate matter in different regions of the Yellow River Delta in China. Environ. Geochem. Health 2022, 45, 2013–2030. [Google Scholar] [CrossRef]
- Hadiyat, M.A.; Sopha, B.M.; Wibowo, B.S. Response Surface Methodology Using Observational Data: A Systematic Literature Review. Appl. Sci. 2022, 12, 663. [Google Scholar] [CrossRef]
- Attia, A.H.; Sherif, A.S.; El-Tawel, G.S. Maximal limited similarity-based rough set model. Soft Comput. 2016, 20, 3153–3161. [Google Scholar] [CrossRef]
- Thakur, A.; Dharmendra. Electrocoagulation process modelling and optimization using RSM and ANN-GA for simultaneous removal of arsenic and fluoride. Multiscale Multidiscip. Model. Exp. Des. 2024. [Google Scholar] [CrossRef]
- Imamura, N.; Ohte, N.; Tanaka, N. Factors influencing the difference in dissolved ion inputs to the forest floor between deciduous and coniferous stands: Comparison under high and low atmospheric deposition conditions. Environ. Monit. Assess. 2023, 196, 1. [Google Scholar] [CrossRef] [PubMed]
- Aurell, J.; Gullett, B.K.; Tabor, D. Emissions from southeastern U.S. Grasslands and pine savannas: Comparison of aerial and ground field measurements with laboratory burns. Atmos. Environ. 2015, 111, 170–178. [Google Scholar] [CrossRef]
- Li, C.; Zhang, Y.; Guo, Y.; Hu, H. Characteristics of carbon-bearing gas release during combustion of six main tree species in Daxing’anling. J. Cent. South Univ. For. Technol. 2020, 40, 81–88. [Google Scholar]
- Ratia, H.; Rämänen, H.; Lensu, A.; Oikari, A. Betulinol and wood sterols in sediments contaminated by pulp and paper mill effluents: Dissolution and spatial distribution. Environ. Sci. Pollut. Res. 2012, 20, 4562–4573. [Google Scholar] [CrossRef]
- Dong, T.T.T.; Stock, W.D.; Callan, A.C.; Strandberg, B.; Hinwood, A.L. Emission factors and composition of PM2.5 from laboratory combustion of five Western Australian vegetation types. Sci. Total Environ. 2020, 703, 134796. [Google Scholar] [CrossRef]
- Soares Neto, T.G.; Carvalho, J.A.; Cortez, E.V.; Azevedo, R.G.; Oliveira, R.A.; Fidalgo, W.R.R.; Santos, J.C. Laboratory evaluation of Amazon forest biomass burning emissions. Atmos. Environ. 2011, 45, 7455–7461. [Google Scholar] [CrossRef]
- Morici, K.E.; Bailey, J.D. Long-Term Effects of Fuel Reduction Treatments on Surface Fuel Loading in the Blue Mountains of Oregon. Forests 2021, 12, 1306. [Google Scholar] [CrossRef]
- Johnson, M.C.; Halofsky, J.E.; Peterson, D.L. Effects of salvage logging and pile-and-burn on fuel loading, potential fire behaviour, fuel consumption and emissions. Int. J. Wildland Fire 2013, 22, 757–769. [Google Scholar] [CrossRef]
- Lopez, E.; Pro, A.; Becerril, C.; Perez, P.; Cuca, M. Common vetch (Vicia sativa) for feeding does. Toulouse 1996, 1, 227–230. [Google Scholar]









| Varieties of Trees | Families and Genera | Coverage |
|---|---|---|
| Pinus koraiensis | Pinaceae | 63.7% |
| Picea koraiensis | Pinaceae | 11.4% |
| Larix gmelinii | Pinaceae | 6.8% |
| Betula platyphylla | Betulaceae | 7.2% |
| Populus davidiana | Salicaceae | 6.4% |
| Fraxinus mandshurica | Oleaceae | 0.4% |
| Tree Species Organs | PK Leaves | LG Leaves | PAK Leaves | BP Leaves | PD Leaves | FM Leaves |
|---|---|---|---|---|---|---|
| K | 0.03976 | 0.11541 | 0.05462 | 0.06031 | 0.01411 | 0.08852 |
| Tree Species Organs | PK Branches | LG Branches | PAK Branches | BP Branches | PD Branches | FM Branches |
|---|---|---|---|---|---|---|
| K | 0.03238 | 0.04794 | 0.01562 | 0.01919 | 0.0768 | 0.00415 |
| Tree Species Organs | PK Bark | LG Bark | PAK Bark | BP Bark | PD Bark | FM Bark |
|---|---|---|---|---|---|---|
| K | 0.05605 | 0.04127 | 0.06095 | 0.0353 | 0.06712 | 0.05828 |
| Tree Species Organs | PK Leaves | LG Leaves | PAK Leaves | BP Leaves | PD Leaves | FM Leaves |
|---|---|---|---|---|---|---|
| K | 0.09729 | 0.05281 | 0.03536 | 0.11965 | 0.09785 | 0.14188 |
| Tree Species Organs | PK Branches | LG Branches | PAK Branches | BP Branches | PD Branches | FM Branches |
|---|---|---|---|---|---|---|
| K | 0.09729 | 0.05467 | 0.06592 | 0.11965 | 0.09785 | 0.03727 |
| Tree Species Organs | PK Bark | LG Bark | PAK Bark | BP Bark | PD Bark | FM Bark |
|---|---|---|---|---|---|---|
| K | 0.11289 | 0.14657 | 0.1007 | 0.45036 | 0.04188 | 0.11666 |
| PK | LG | PAK | BP | FM | PD | |
|---|---|---|---|---|---|---|
| R2 | 0.9471 | 0.9876 | 0.9886 | 0.9957 | 0.9921 | 0.9937 |
| R2aj | 0.9267 | 0.9828 | 0.9835 | 0.9939 | 0.9888 | 0.9913 |
Disclaimer/Publisher’s Note: The statements, opinions and data contained in all publications are solely those of the individual author(s) and contributor(s) and not of MDPI and/or the editor(s). MDPI and/or the editor(s) disclaim responsibility for any injury to people or property resulting from any ideas, methods, instructions or products referred to in the content. |
© 2024 by the authors. Licensee MDPI, Basel, Switzerland. This article is an open access article distributed under the terms and conditions of the Creative Commons Attribution (CC BY) license (https://creativecommons.org/licenses/by/4.0/).
Share and Cite
Wu, Z.; Hasham, A.; Zhang, T.; Gu, Y.; Lu, B.; Sun, H.; Shu, Z. Analysis of PM2.5 Concentration Released from Forest Combustion in Liangshui National Natural Reserve, China. Fire 2024, 7, 311. https://doi.org/10.3390/fire7090311
Wu Z, Hasham A, Zhang T, Gu Y, Lu B, Sun H, Shu Z. Analysis of PM2.5 Concentration Released from Forest Combustion in Liangshui National Natural Reserve, China. Fire. 2024; 7(9):311. https://doi.org/10.3390/fire7090311
Chicago/Turabian StyleWu, Zhiyuan, Ahmad Hasham, Tianbao Zhang, Yu Gu, Bingbing Lu, Hu Sun, and Zhan Shu. 2024. "Analysis of PM2.5 Concentration Released from Forest Combustion in Liangshui National Natural Reserve, China" Fire 7, no. 9: 311. https://doi.org/10.3390/fire7090311
APA StyleWu, Z., Hasham, A., Zhang, T., Gu, Y., Lu, B., Sun, H., & Shu, Z. (2024). Analysis of PM2.5 Concentration Released from Forest Combustion in Liangshui National Natural Reserve, China. Fire, 7(9), 311. https://doi.org/10.3390/fire7090311

