Urban Air Logistics with Unmanned Aerial Vehicles (UAVs): Double-Chromosome Genetic Task Scheduling with Safe Route Planning
Abstract
Highlights
- Developed a combined task scheduling and path planning framework for enabling optimized and safe drone delivery services in an urban environment.
- Utilized a constrained optimization-based framework to allocate both parcel pick-up and delivery tasks and re-charge tasks to a fleet of UAVs in an urban context. The energy efficiency, tasks’ due dates, UAVs’ capabilities, and risks of the UAVs’ flyable paths are taken into account in the combined double-chromosome evolutionary-based task scheduling and path planning methodology.
- The proposed approach combining task allocation and path planning offers both a scalable optimization solution to the NP-hard problem addressed in this work (i.e., the drone delivery problem) and a flexible tool adaptable to other scenarios and task types.
- Addressing the allocation of re-charge tasks along with the allocation of delivery tasks in the same framework represents a comprehensive resolution approach to the drone delivery problem; also, ensuring service persistency and, thanks to the risk-aware UAV route planner integrated to the evolutionary-based task scheduling algorithm, feasibility of deployment in smart city context.
Abstract
1. Introduction
- Enhancement of efficiency, environmental sustainability, and cost of the delivery services. This is due to the capability of UAVs to avoid obstacles on the ground, fly direct paths, reduce delivery times (particularly useful for medical sample transportation), reduce the need for trucks and couriers, and reduce road traffic in congested urban areas (thus improving air quality).
- Enhancement of data collection services. This is due to the on-board sensors of UAVs, which can be used to collect real-time data such as traffic conditions information and population density distribution. Such collected data can then be gathered and sent to a smart city’s information network, consequently contributing to the development of an adaptive and safe smart city infrastructure.
- Enhancement of the level of automation of logistics services. UAVs can collaborate with other robotic systems and transportation services, predicting delivery routes, exchanging data with automated warehouses, etc.
- Enhancement of the coverage of transportation services. By exploiting “drone technology”, it is easier to reach areas with limited road access or heavily densely populated areas. Also, in case of emergency conditions, UAVs can be used to deliver goods of first necessity such as food, medicine, etc.
2. Related Work
3. Problem Statement: Drone Pick-Up and Delivery Problem (DDP) with Charging Hubs
4. Double-Chromosome Evolutionary Task Scheduling Algorithm
- Capability of incorporating different constraints (battery life, due date constraints, payload capacity) into the optimization process.
- Capability of exploring a broad set of solutions, thereby being able to find solutions to the highly constrained DDP with different objectives.
- Ease of flexibility of the objective function, thereby being easily applicable to different problem formulations (which may occur due to regulative and commercial aspects).
- Ease of adaptability to dynamic changes in the service requirements (both UAVs and tasks’ parameters) since the population of solutions evolves at every iteration.
- High potential of finding innovative solutions which, for a DDP, may be limited to the intuitiveness of traditional greedy approaches.
- Independence from a rigorous mathematical formulation of the problem, which is very challenging in drone delivery scenarios.
- Independence from gradient data (the objective function based on is nonlinear).
| Algorithm 1. Genetic-based task allocation framework () | 
| create random with individuals | 
| while termination condition is not met do | 
|  | 
| end | 
| Algorithm 2. Crossover in population | 
| for do | 
|  | 
| end | 
| Algorithm 3. Mutation in population | 
| for group of individuals in do | 
|  | 
| end | 
| Algorithm 4. Insert charge tasks in individual | 
| Decode  and  of  in the task list of each UAV for do | 
|  | 
| end | 
| Algorithm 5. Genetic-based task allocation framework () | 
| create random with individuals | 
| while termination condition is not met do | 
|  | 
| end insert charge task in final | 
5. Risk-Aware Path Planning Methodology
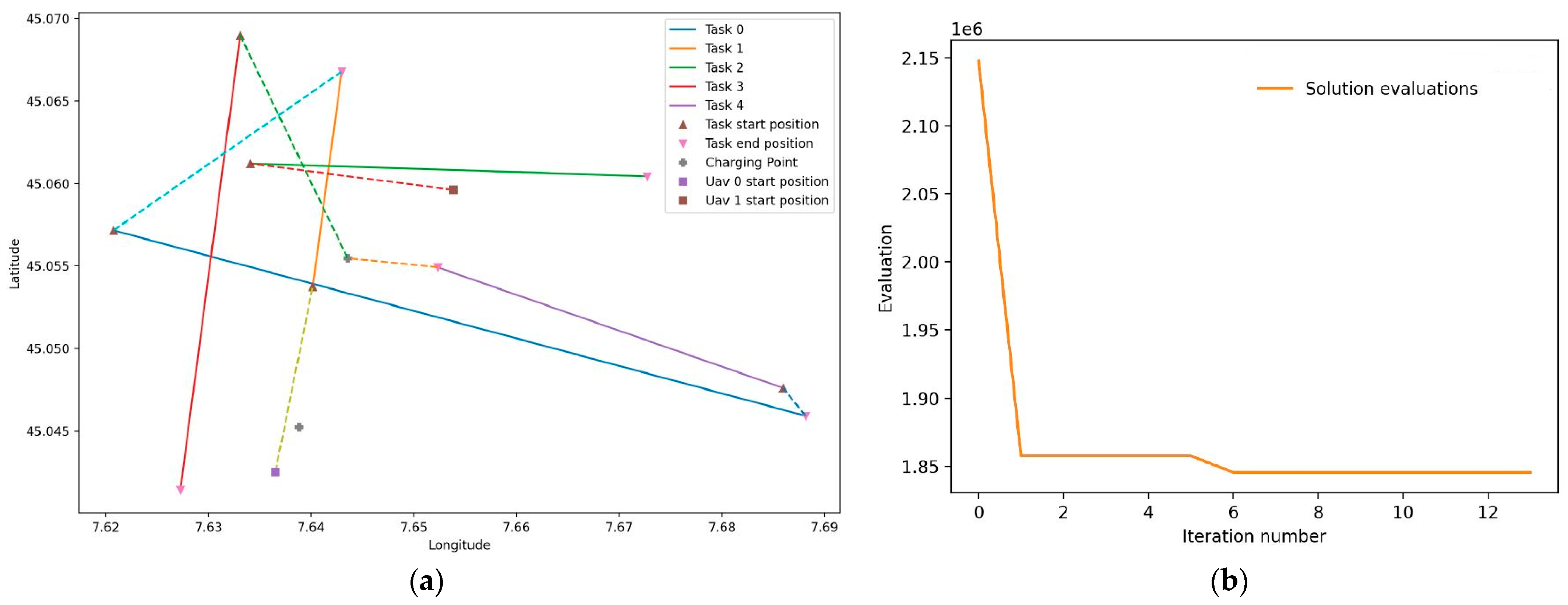
6. Simulation Results
- The proposed architecture successfully tackled the formulated DDP with real-world instances of the problem itself. The Monte Carlo simulations corroborated the validity of the approach.
- The algorithm was able to tackle scenarios with “hard” constraints, i.e., tens of delivery tasks with random deadlines. This is due to the conceptualization of the binary variable, which enabled the possibility of considering late schedules as feasible solutions.
- The integration of the risk-aware path planning approach into the GA-based solution did not increase the computational complexity of the proposed GA. This is because the UAV-task route planning approach is a pre-processing approach with respect to the scheduling algorithm (all of the paths for each possible UAV-task assignment are computed twice: with and without payload). Therefore, the approach is scalable with respect to the number of UAVs, number of tasks, and dimension of the operational area.
- The decoupled scheduling of delivery tasks and recharge tasks does not decrease significantly the level of optimality of the final schedules (about ), but decreases about of the algorithm’s execution time. This means that adding a greedy strategy when solving a complex combinatorial optimization problem, such as the DDP of this work, within the proposed genetic framework can be preferred over the mere development of a standard genetic approach.
7. Conclusions
Author Contributions
Funding
Institutional Review Board Statement
Informed Consent Statement
Data Availability Statement
Acknowledgments
Conflicts of Interest
Correction Statement
Nomenclature
| UAV mass | |
| Payload mass | |
| Efficiency factor for energy consumption estimation | |
| Air density | |
| Total rotor disk area | |
| UAV drag coefficient | |
| UAV task execution velocity | |
| UAV available energy in the battery | |
| Gravity acceleration | |
| UAV cross section with respect to the direction of motion | |
| UAV maximum speed | |
| Delivery task due date | |
| First time instant at which the UAV is available for task execution | |
| Task execution time | |
| Task | |
| UAV estimated energy consumption for task execution | |
| Path length from UAV location to parcel pick-up location | |
| Path length from parcel pick-up location to parcel delivery location | |
| Lest distant charge hub with respect to the UAV location | |
| Figure of Merit | |
| UAV maximum energy stored in the battery | |
| Number of delivery tasks | |
| Number of UAVs | |
| Number of available charging hubs | |
| Total estimated energy consumption associated with the solution | |
| Percentage of tasks in the solution delivered within the due date | |
| Total number of iterations of the genetic algorithm | |
| Total execution time of the genetic algorithm | |
| Fitting function of the genetic algorithm | |
| Binary variable representing whether the charging tasks allocation takes place at the end of the delivery task allocation () or not () | |
| Binary variable representing whether the delivery tasks’ due dates are mandatory () or not () | |
| Random variable: | |
| Tolerance for accepting the solution of the genetic algorithm as optimal | |
| Number of individuals with highest fitness for the next generation | |
| Number of charging tasks in the final solution | |
| Number of iterations for establishing convergence with respect to | |
| Maximum number of iterations of the genetic algorithm | |
| Population of solutions | |
| Offspring population of solutions | |
| Population of opposite individuals with respect to | |
| Crossover probability | |
| Mutation probability | |
| Maximum number of individuals in the population | |
| Maximum number of individuals in the opposite population | 
References
- Ortega, L.D.; Loyaga, E.S.; Cruz, P.J.; Lema, H.P.; Abad, J.; Valencia, E.A. Low-Cost Computer-Vision-Based Embedded Systems for UAVs. Robotics 2023, 12, 145. [Google Scholar] [CrossRef]
- De Swarte, T.; Boufous, O.; Escalle, P. Artificial Intelligence, Ethics and Human Values: The Cases of Military Drones and Companion Robots. Artif. Life Robot. 2019, 24, 291–296. [Google Scholar] [CrossRef]
- Hassanalian, M.; Abdelkefi, A. Classifications, Applications, and Design Challenges of Drones: A Review. Prog. Aerosp. Sci. 2017, 91, 99–131. [Google Scholar] [CrossRef]
- Zhang, Z.; Zhu, L. A Review on Unmanned Aerial Vehicle Remote Sensing: Platforms, Sensors, Data Processing Methods, and Applications. Drones 2023, 7, 398. [Google Scholar] [CrossRef]
- Rejeb, A.; Abdollahi, A.; Rejeb, K.; Treiblmaier, H. Drones in agriculture: A review and bibliometric analysis. Comput. Electron. Agric. 2022, 198, 107017. [Google Scholar] [CrossRef]
- Choi, H.-W.; Kim, H.-J.; Kim, S.-K.; Na, W.S. An Overview of Drone Applications in the Construction Industry. Drones 2023, 7, 515. [Google Scholar] [CrossRef]
- Shafiee, M.; Zhou, Z.; Mei, L.; Dinmohammadi, F.; Karama, J.; Flynn, D. Unmanned Aerial Drones for Inspection of Offshore Wind Turbines: A Mission-Critical Failure Analysis. Robotics 2021, 10, 26. [Google Scholar] [CrossRef]
- Brown, L.; Clarke, R.; Akbari, A.; Bhandari, U.; Bernardini, S.; Chhabra, P.; Marjanovic, O.; Richardson, T.; Watson, S. The Design of Prometheus: A Reconfigurable UAV for Subterranean Mine Inspection. Robotics 2020, 9, 95. [Google Scholar] [CrossRef]
- Rinaldi, M.; Primatesta, S.; Bugaj, M.; Rostáš, J.; Guglieri, G. Development of Heuristic Approaches for Last-Mile Delivery TSP with a Truck and Multiple Drones. Drones 2023, 7, 407. [Google Scholar] [CrossRef]
- Tomasicchio, G.; Cedrone, A.; Fiorini, F.; Esposito, L.; Scardapane, G.; Filipponi, F.; Rinaldi, M.; Primatesta, S. Resilient Drone Mission Management and Route Optimization in Drone Delivery Context. In Proceedings of the 28th Ka and Broadband Communications Conference (Ka), Bradford, UK, 23–26 October 2023. [Google Scholar]
- Eskandaripour, H.; Boldsaikhan, E. Last-Mile Drone Delivery: Past, Present, and Future. Drones 2023, 7, 77. [Google Scholar] [CrossRef]
- Li, X.; Tupayachi, J.; Sharmin, A.; Martinez Ferguson, M. Drone-Aided Delivery Methods, Challenge, and the Future: A Methodological Review. Drones 2023, 7, 191. [Google Scholar] [CrossRef]
- Sorbelli, F.B. UAV-Based Delivery Systems: A Systematic Review, Current Trends, and Research Challenges. ACM J. Auton. Transp. Syst. 2024, 1, 1–40. [Google Scholar] [CrossRef]
- Park, J.; Kim, S.; Suh, K. A Comparative Analysis of the Environmental Benefits of Drone-Based Delivery Services in Urban and Rural Areas. Sustainability 2018, 10, 888. [Google Scholar] [CrossRef]
- Gupta, A.; Afrin, T.; Scully, E.; Yodo, N. Advances of UAVs toward Future Transportation: The State-of-the-Art, Challenges, and Opportunities. Future Transp. 2021, 1, 326–350. [Google Scholar] [CrossRef]
- Bloise, N.; Primatesta, S.; Antonini, R.; Fici, G.P.; Gaspardone, M.; Guglieri, G.; Rizzo, A. A Survey of Unmanned Aircraft System Technologies to enable Safe Operations in Urban Areas. In Proceedings of the 2019 International Conference on Unmanned Aircraft Systems (ICUAS), Atlanta, GA, USA, 11–14 June 2019. [Google Scholar]
- Stöcker, C.; Bennett, R.; Nex, F.; Gerke, M.; Zevenbergen, J. Review of the Current State of UAV Regulations. Remote Sens. 2017, 9, 459. [Google Scholar] [CrossRef]
- Smith, A.; Dickinson, J.E.; Marsden, G.; Cherrett, T.J.; Oakey, A.; Grote, M. Public Acceptance of the Use of Drones for Logistics: The State of Play and Moving towards More Informed Debate. Technol. Soc. 2022, 68, 101883. [Google Scholar] [CrossRef]
- Panov, I.; Ul Haq, A. A Critical Review of Information Provision for U-Space Traffic Autonomous Guidance. Aerospace 2024, 11, 471. [Google Scholar] [CrossRef]
- Rinaldi, M.; Primatesta, S.; Guglieri, G.; Rizzo, A. Auction-based Task Allocation for Safe and Energy Efficient UAS Parcel Transportation. Transp. Res. Procedia 2022, 65, 60–69. [Google Scholar] [CrossRef]
- Hazama, Y.; Iima, H.; Karuno, Y.; Mishima, K. Genetic Algorithm for Scheduling of Parcel Delivery by Drones. J. Adv. Mech. Des. Syst. Manuf. 2021, 15, JAMDSM0069. [Google Scholar] [CrossRef]
- Rinaldi, M.; Primatesta, S.; Guglieri, G.; Rizzo, A. Multi-Auctioneer Market-based Task Scheduling for Persistent Drone Delivery. In Proceedings of the 2023 International Conference on Unmanned Aircraft Systems (ICUAS), Warsaw, Poland, 6–9 June 2023. [Google Scholar]
- Otto, A.; Agatz, N.; Campbell, J.F.; Golden, B.L.; Pesch, E. Optimization Approaches for Civil Applications of Unmanned Aerial Vehicles (UAVs) or Aerial Drones: A Survey. Networks 2018, 72, 411–458. [Google Scholar] [CrossRef]
- Poudel, S.; Moh, S. Task Assignment Algorithms for Unmanned Aerial Vehicle Networks: A Comprehensive Survey. Veh. Commun. 2022, 35, 100469. [Google Scholar] [CrossRef]
- Pasha, J.; Elmi, Z.; Purkayastha, S.; Fathollahi-Fard, A.M.; Ge, Y.; Lau, Y.; Dulebenets, M.A. The Drone Scheduling Problem: A Systematic State-of-the-Art Review. IEEE Trans. Intell. Transp. Syst. 2022, 23, 14224–14247. [Google Scholar] [CrossRef]
- Khoufi, I.; Laouiti, A.; Adjih, C. A Survey of Recent Extended Variants of the Traveling Salesman and Vehicle Routing Problems for Unmanned Aerial Vehicles. Drones 2019, 3, 66. [Google Scholar] [CrossRef]
- Moshref-Javadi, M.; Winkenbach, M. Applications and Research avenues for drone-based models in logistics: A classification and review. Expert Syst. Appl. 2021, 177, 114854. [Google Scholar] [CrossRef]
- Zhang, H.; Tian, T.; Feng, O.; Wu, S.; Zhong, G. Research on Public Air Route Network Planning of Urban Low-Altitude Logistics Unmanned Aerial Vehicles. Sustainability 2023, 15, 12021. [Google Scholar] [CrossRef]
- Lee, J. Optimization of a modular drone delivery system. In Proceedings of the 2017 Annual IEEE International Systems Conference (SysCon), Montreal, QC, Canada, 24–27 April 2017. [Google Scholar]
- Mulumba, T.; Najy, W.; Diabat, A. The drone-assisted pickup and delivery problem: An adaptive large neighborhood search metaheuristic. Comput. Oper. Res. 2024, 161, 106435. [Google Scholar] [CrossRef]
- Sawadsitang, S.; Niyato, D.; Tan, P.S.; Wang, P.; Nutanong, S. Multi-Objective Optimization for Drone Delivery. In Proceedings of the 2019 IEEE 90th Vehicular Technology Conference (VTC2019-Fall), Honolulu, HI, USA, 22–25 September 2019. [Google Scholar]
- Pachayappan, M.; Vijayakumar, S. A Solution to Drone Routing Problems Using Docking Stations for Pickup and Delivery Services. Transp. Res. Rec. 2021, 2675, 1056–1074. [Google Scholar] [CrossRef]
- Lim, J.-W.; Jung, H. Drone Delivery Scheduling Simulations Focusing on Charging Speed, Weight and Battery Capacity: Case of Remote Islands in South Korea. In Proceedings of the 2017 Winter Simulation Conference (WSC), Las Vegas, NV, USA, 3–6 December 2017. [Google Scholar]
- Macias, J.J.E.; Angeloudis, P.; Ochieng, W. Optimal Hub Selection for Rapid Medical Deliveries Using Unmanned Aerial Vehicles. Transp. Res. Part C Emerg. Technol. 2020, 110, 56–80. [Google Scholar] [CrossRef]
- Banjar, A.; Jemmali, M.; Melhim, L.K.B.; Boulila, W.; Ladhari, T.; Sarhan, A.Y. Intelligent Scheduling Algorithms for the Enhancement of Drone-Based Innovative Logistic Supply Chain Systems. IEEE Access 2023, 11, 102418–102429. [Google Scholar] [CrossRef]
- Shi, Y.; Lin, Y.; Li, B.; Li, R.Y.M. A Bi-Objective Optimization Model for the Medical Supplies’ Simultaneous Pickup and Delivery with Drones. Comput. Ind. Eng. 2022, 171, 108389. [Google Scholar] [CrossRef]
- Huang, H.; Hu, C.; Zhu, J.; Wu, M.; Malekian, R. Stochastic Task Scheduling in UAV-Based Intelligent On-Demand Meal Delivery System. IEEE Trans. Intell. Transp. Syst. 2022, 23, 13040–13054. [Google Scholar] [CrossRef]
- Torabbeigi, M.; Lim, G.J.; Kim, S.J. Drone Delivery Scheduling Optimization Considering Payload-Induced Battery Consumption Rates. J. Intell. Robot. Syst. 2019, 97, 471–487. [Google Scholar] [CrossRef]
- Jung, H.; Kim, J. Drone Scheduling Model for Delivering Small Parcels to Remote Islands Considering Wind Direction and Speed. Comput. Ind. Eng. 2022, 163, 107784. [Google Scholar] [CrossRef]
- Hong, F.; Wu, G.; Luo, Q.; Huan, L.; Fang, X.; Pedrycz, W. Logistics in the Sky: A Two-Phase Optimization Approach for the Drone Package Pickup and Delivery System. IEEE Trans. Intell. Transp. Syst. 2023, 24, 9175–9190. [Google Scholar] [CrossRef]
- Chen, Z.; Alonso-Mora, J.; Bai, X.; Harabor, D.D.; Stuckey, P.J. Integrated Task Assignment and Path Planning for Capacitated Multi-Agent Pickup and Delivery. IEEE Robot. Autom. Lett. 2021, 6, 5816–5823. [Google Scholar] [CrossRef]
- Jiang, X.; Zhou, Q.; Ye, Y. Method of Task Assignment for UAV Based on Particle Swarm Optimization in logistics. In Proceedings of the 2017 International Conference on Intelligent Systems, Metaheuristics & Swarm Intelligence (ISMSI 2017), Hong Kong, China, 25–27 March 2017. [Google Scholar]
- Jia, Z.; Yu, J.; Ai, X.; Xu, X.; Yang, D. Cooperative multiple task assignment problem with stochastic velocities and time windows for heterogeneous unmanned aerial vehicles using a genetic algorithm. Aerosp. Sci. Technol. 2018, 76, 112–125. [Google Scholar] [CrossRef]
- Kuru, K.; Ansell, D.; Khan, W.; Yetgin, H. Analysis and Optimization of Unmanned Aerial Vehicle Swarms in Logistics: An Intelligent Delivery Platform. IEEE Access 2019, 7, 15804–15831. [Google Scholar] [CrossRef]
- Huang, H.; Savkin, A.V.; Huang, C. Reliable Path Planning for Drone Delivery Using a Stochastic Time-Dependent Public Transportation Network. IEEE Trans. Intell. Transp. Syst. 2021, 22, 4941–4950. [Google Scholar] [CrossRef]
- Cheng, Q.; Yin, D.; Yang, J.; Shen, L. An Auction-Based Multiple Constraints Task Allocation Algorithm for Multi-UAV System. In Proceedings of the 2016 International Conference on Cybernetics, Robotics and Control (CRC), Hong Kong, China, 19–21 August 2016. [Google Scholar]
- Rinaldi, M.; Primatesta, S. Comprehensive Task Optimization Architecture for Urban UAV-Based Intelligent Transportation System. Drones 2024, 8, 473. [Google Scholar] [CrossRef]
- Liu, M.; Ma, H.; Li, J.; Koenig, S. Task and Path Planning for Multi-Agent Pickup and Delivery. In Proceeding of the 18th International Conference on Autonomous Agents and Multi-Agent Systems (AAMAS 2019), Montreal, QC, Canada, 13–17 May 2019. [Google Scholar]
- Chen, Y.; Li, X.; Zhang, H.; Wu, Y.; Chai, Y. Multi-UAV Urban Delivery Research Based on Range Constraints. In Proceedings of the 2024 39th Youth Academic Annual Conference of Chinese Association of Automation (YAC), Dalian, China, 7–9 June 2024. [Google Scholar]
- Wu, K.; Lu, S.; Chen, H.; Feng, M.; Lu, Z. An Energy-Efficient Logistic Drone Routing Method Considering Dynamic Drone Speed and Payload. Sustainability 2024, 16, 4995. [Google Scholar] [CrossRef]
- Ma, Z.; Chen, J. Multi-UAV Urban Logistics Task Allocation Method Based on MCTS. Drones 2023, 7, 679. [Google Scholar] [CrossRef]
- Oh, G.; Kim, Y.; Ahn, J.; Choi, H.L. Task Allocation of Multiple UAVs for Cooperative Parcel Delivery. In Advances in Aerospace Guidance, Navigation and Control; Springer: Berlin/Heidelberg, Germany, 2018; pp. 443–454. [Google Scholar]
- Aiello, G.; Inguanta, R.; D’Angelo, G.; Venticinque, M. Energy Consumption Model of Aerial Urban Logistic Infrastructures. Energies 2021, 14, 5998. [Google Scholar] [CrossRef]
- Wang, J.; Duan, S.; Ju, S.; Lu, S.; Jin, Y. Evolutionary Task Allocation and Cooperative Control of Unmanned Aerial Vehicles in Air Combat Applications. Robotics 2022, 11, 124. [Google Scholar] [CrossRef]
- Wu, X.; Yin, Y.; Xu, L.; Wu, X.; Meng, F.; Zhen, R. MULTI-UAV Task Allocation Based on Improved Genetic Algorithm. IEEE Access 2021, 9, 100369–100379. [Google Scholar] [CrossRef]
- Wang, Z.; Liu, L.; Li, T.; Wen, Y. Multi-UAV Reconnaissance Task Allocation for Heterogeneous Targets Using an Opposition-Based Genetic Algorithm with Double-Chromosome Encoding. Chin. J. Aeronaut. 2018, 31, 339–350. [Google Scholar] [CrossRef]
- Primatesta, S.; Spano Cuomo, L.; Guglieri, G.; Rizzo, A. An Innovative Algorithm to Estimate Risk Optimum Path for Unmanned Aerial Vehicles in Urban Environments. Transp. Res. Procedia 2018, 35, 44–53. [Google Scholar] [CrossRef]
- Primatesta, S.; Rizzo, A.; La Cour-Harbo, A. Ground Risk Map for Unmanned Aircraft in Urban Environments. J. Intell. Robot. Syst. 2020, 97, 489–509. [Google Scholar] [CrossRef]
- Karaman, S.; Frazzoli, E. Sampling-based algorithms for optimal motion planning. Int. J. Robot. Res. 2011, 30, 846–894. [Google Scholar] [CrossRef]
- Dalamagkidis, K.; Valavanis, K.P.; Piegl, L.A. On unmanned aircraft systems issues, challenges and operational restrictions preventing integration into the national airspace system. Prog. Aerosp. Sci. 2008, 44, 503–519. [Google Scholar] [CrossRef]







| UAV Type | m [kg] | ||||
|---|---|---|---|---|---|
| A | |||||
| B | |||||
| C | |||||
| D | 
| UAV Type | Risk Map | Min. Risk Path | Min. Distance Path | |||
|---|---|---|---|---|---|---|
| Max Risk [h−1] | Min Risk [h−1] | Av. Risk [h−1] | Distance [m] | Av. Risk [h−1] | Distance [m] | |
| UAV A | ||||||
| UAV C | ||||||
| UAV C with 2.0 kg of Payload | ||||||
| ETOT [MJ] | pot | nchar | ni | ttot [s] | |
|---|---|---|---|---|---|
| 0 | 0 | 0 | 0 | 0 | |
| ETOT [MJ] | pot | nchar | ni | ttot [s] | |
|---|---|---|---|---|---|
| Disclaimer/Publisher’s Note: The statements, opinions and data contained in all publications are solely those of the individual author(s) and contributor(s) and not of MDPI and/or the editor(s). MDPI and/or the editor(s) disclaim responsibility for any injury to people or property resulting from any ideas, methods, instructions or products referred to in the content. | 
© 2024 by the authors. Licensee MDPI, Basel, Switzerland. This article is an open access article distributed under the terms and conditions of the Creative Commons Attribution (CC BY) license (https://creativecommons.org/licenses/by/4.0/).
Share and Cite
Rinaldi, M.; Primatesta, S.; Bugaj, M.; Rostáš, J.; Guglieri, G. Urban Air Logistics with Unmanned Aerial Vehicles (UAVs): Double-Chromosome Genetic Task Scheduling with Safe Route Planning. Smart Cities 2024, 7, 2842-2860. https://doi.org/10.3390/smartcities7050110
Rinaldi M, Primatesta S, Bugaj M, Rostáš J, Guglieri G. Urban Air Logistics with Unmanned Aerial Vehicles (UAVs): Double-Chromosome Genetic Task Scheduling with Safe Route Planning. Smart Cities. 2024; 7(5):2842-2860. https://doi.org/10.3390/smartcities7050110
Chicago/Turabian StyleRinaldi, Marco, Stefano Primatesta, Martin Bugaj, Ján Rostáš, and Giorgio Guglieri. 2024. "Urban Air Logistics with Unmanned Aerial Vehicles (UAVs): Double-Chromosome Genetic Task Scheduling with Safe Route Planning" Smart Cities 7, no. 5: 2842-2860. https://doi.org/10.3390/smartcities7050110
APA StyleRinaldi, M., Primatesta, S., Bugaj, M., Rostáš, J., & Guglieri, G. (2024). Urban Air Logistics with Unmanned Aerial Vehicles (UAVs): Double-Chromosome Genetic Task Scheduling with Safe Route Planning. Smart Cities, 7(5), 2842-2860. https://doi.org/10.3390/smartcities7050110
 
        



 
       