Development and Evaluation of an Affordable Variable Rate Applicator Controller for Precision Agriculture
Abstract
1. Introduction
2. Materials and Methods
2.1. System Design and Specifications
2.1.1. Modification of a Planter Unit
2.1.2. System Block Diagram
2.1.3. Component of the SDSU-VRAC
2.1.4. Mechatronics Design Methodology
2.1.5. Power Consumption of the SDSU-VRAC
2.2. Calibration and Performance Evaluation
2.2.1. Experimental Design (Planting Prescription Maps)
2.2.2. Evaluation of Seeding Discharge Performance
2.2.3. Performance Evaluation (Time Response Test)
2.2.4. Performance Evaluation Metrics
3. Results and Discussion
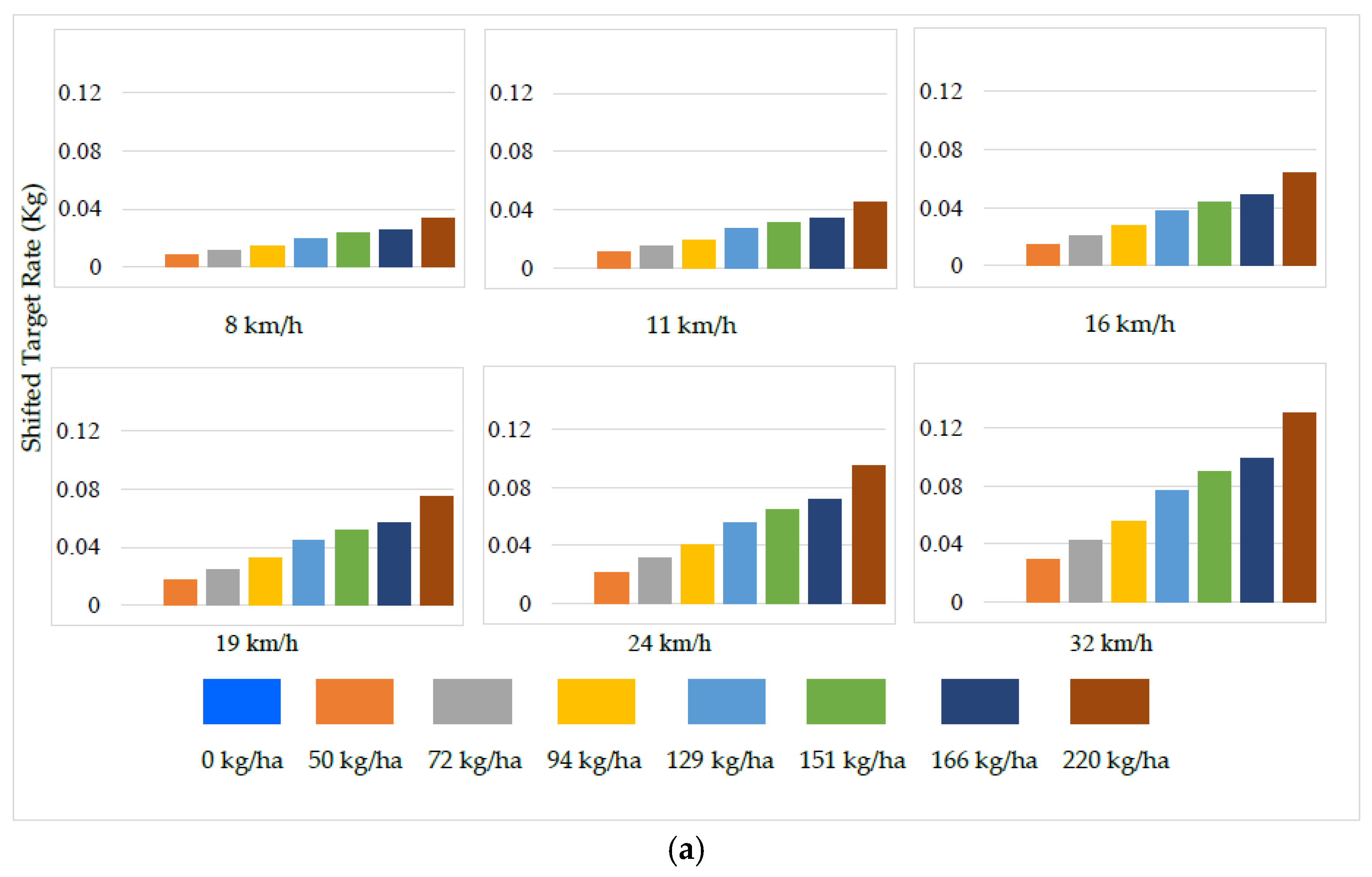
3.1. Seeding Discharge Result
3.1.1. Statistical Analysis of Seeding Discharge
3.1.2. Descriptive Statistics for Seeding Discharge Results
3.1.3. Analysis of Variance (ANOVA)
ANOVA Analysis Results Interpretation
ANOVA Conclusion
3.2. Accuracy and Precision
3.3. Time Response
Time Response Analysis
3.4. Summary
4. Conclusions
Author Contributions
Funding
Data Availability Statement
Acknowledgments
Conflicts of Interest
References
- Shannon, D.K.; Clay, D.E.; Kitchen, N.R. Precision Agriculture Basics; John Wiley & Sons: Hoboken, NJ, USA, 2020; Volume 176. [Google Scholar]
- Garzon Delvaux, P.A.; Riesgo, L.; Gomez y Paloma, S. Are small farms more performant than larger ones in developing countries? Sci. Adv. 2020, 6, eabb8235. [Google Scholar] [CrossRef] [PubMed]
- Sands, R.D.; Meade, B.; Seale, J.L., Jr.; Robinson, S.; Seeger, R. Scenarios of Global Food Consumption: Implications for Agriculture. In Economic Research Report; United States Department of Agriculture, Economic Research Service: Washington, DC, USA, 2023. [Google Scholar]
- Schimmelpfennig, D. Farm profits and adoption of precision agriculture. In Economic Research Report; United States Department of Agriculture, Economic Research Service: Washington, DC, USA, 2016. [Google Scholar]
- Mizik, T. How can precision farming work on a small scale? A systematic literature review. Precis. Agric. 2023, 24, 384–406. [Google Scholar] [CrossRef]
- United States Government Accountability Office. Report to Congressional Committees, Technology Assessment, Precision Agriculture, January 2024. Available online: https://www.gao.gov/assets/d24105962.pdf (accessed on 2 April 2024).
- Abdalla, A.K.; Nafchi, A.M. Desing of a Variable Rate Applicator Controller. In Proceedings of the 2024 ASABE Annual International Meeting, Anaheim, CA, USA, 28–31 July 2024; American Society of Agricultural and Biological Engineers: St. Joseph, MI, USA, 2024. [Google Scholar]
- Mills, B.E.; Wade Brorsen, B.; Arnall, D.B. The profitability of variable rate lime in wheat. Precis. Agric. 2020, 21, 369–386. [Google Scholar] [CrossRef]
- Vellidis, G.; Liakos, V.; Porter, W.; Tucker, M.; Liang, X. A dynamic variable rate irrigation control system. In Proceedings of the 13th International Conference on Precision Agriculture, St. Louis, MI, USA, 31 July–3 August 2016; Volume 13, pp. 1–9. [Google Scholar]
- Somashekar, K.S.; Belagalla, N.; Srinatha, T.N.; Abhishek, G.J.; Kumar, V.; Tiwari, A. Revolutionizing Agriculture: Innovative Techniques, Applications, and Future Prospects in Precision Farming. J. Sci. Res. Rep. 2024, 30, 405–419. [Google Scholar]
- Bongiovanni, R.; Lowenberg-DeBoer, J. Precision agriculture and sustainability. Precis. Agric. 2004, 5, 359–387. [Google Scholar] [CrossRef]
- Van Loon, J.; Speratti, A.B.; Gabarra, L.; Govaerts, B. Precision for smallholder farmers: A small-scale-tailored variable rate fertilizer application kit. Agriculture 2018, 8, 48. [Google Scholar] [CrossRef]
- Späti, K.; Huber, R.; Finger, R. Benefits of increasing information accuracy in variable rate technologies. Ecol. Econ. 2021, 185, 107047. [Google Scholar] [CrossRef]
- O’Shaughnessy, S.A.; Evett, S.R.; Colaizzi, P.D.; Andrade, M.A.; Marek, T.H.; Heeren, D.M.; Lamm, F.R.; LaRue, J.L. Identifying advantages and disadvantages of variable rate irrigation: An updated review. Appl. Eng. Agric. 2019, 35, 837–852. [Google Scholar] [CrossRef]
- Fabiani, S.; Vanino, S.; Napoli, R.; Zajíček, A.; Duffková, R.; Evangelou, E.; Nino, P. Assessment of the economic and environmental sustainability of Variable Rate Technology (VRT) application in different wheat intensive European agricultural areas. A Water energy food nexus approach. Environ. Sci. Policy 2020, 114, 366–376. [Google Scholar] [CrossRef]
- Dukes, M.D.; Perry, C. Uniformity testing of variable-rate center pivot irrigation control systems. Precis. Agric. 2006, 7, 205–218. [Google Scholar] [CrossRef]
- Min, J.; Zhang, H.; Shi, W. Optimizing nitrogen input to reduce nitrate leaching loss in greenhouse vegetable production. Agric. Water Manag. 2012, 111, 53–59. [Google Scholar] [CrossRef]
- McFadden, J.; Njuki, E.; Griffin, T. Precision agriculture in the digital era: Recent adoption on US farms. In Economic Information Bulletin; United States Department of Agriculture, Economic Research Service: Washington, DC, USA, 2023. [Google Scholar]
- Askarzadeh, Y.; Jones, E.; Sahraei, M.; Abdalla, A.; Nafchi, A.M. Sustainable Weed Management through Precision Cover Cropping System. In Proceedings of the 2024 ASABE Annual International Meeting, Anaheim, CA, USA, 28–31 July 2024; American Society of Agricultural and Biological Engineers: St. Joseph, MI, USA, 2024; p. 1. [Google Scholar]
- Schimmelpfennig, D. Crop production costs, profits, and ecosystem stewardship with precision agriculture. J. Agric. Appl. Econ. 2018, 50, 81–103. [Google Scholar] [CrossRef]
- Coelho, A.L.D.F.; de Queiroz, D.M.; Valente, D.S.; Pinto, F.A. Development of a variable-rate controller for a low-cost precision planter. Appl. Eng. Agric. 2020, 36, 233–243. [Google Scholar] [CrossRef]
- Maleki, M.R.; Mouazen, A.M.; De Ketelaere, B.; Ramon, H.; De Baerdemaeker, J. On-the-go variable-rate phosphorus fertilisation based on a visible and near-infrared soil sensor. Biosyst. Eng. 2008, 99, 35–46. [Google Scholar] [CrossRef]
- Kempenaar, C.; Been, T.; Booij, J.; Van Evert, F.; Michielsen, J.M.; Kocks, C. Advances in variable rate technology application in potato in the Netherlands. Potato Res. 2017, 60, 295–305. [Google Scholar] [CrossRef]
- English, B.C.; Mahajanashetti, S.B.; Roberts, R.K. Assessing spatial break-even variability in fields with two or more management zones. J. Agric. Appl. Econ. 2001, 33, 551–565. [Google Scholar] [CrossRef]
- United Nations. Transforming Our World: The 2030 Agenda for Sustainable Development; United Nations, Department of Economic and Social Affairs: New York, NY, USA, 2015; Volume 1, p. 41. [Google Scholar]
- Schimmelpfennig, D.; Lowenberg-DeBoer, J. Farm types and precision agriculture adoption: Crops, regions, soil variability, and farm size. In Global Institute for Agri-Tech Economics Working Paper; Economic Research Service: Washington, DC, USA, 2020; pp. 1–20. [Google Scholar]
- Siemens, J.; Hamburg, K.; Tyrrell, T. A farm machinery selection and management program. J. Prod. Agric. 1990, 3, 212–219. [Google Scholar] [CrossRef]
- Mulla, D.J. Twenty five years of remote sensing in precision agriculture: Key advances and remaining knowledge gaps. Biosyst. Eng. 2013, 114, 358–371. [Google Scholar] [CrossRef]
- Raun, W.R.; Solie, J.B.; Johnson, G.V.; Stone, M.L.; Mullen, R.W.; Freeman, K.W.; Thomason, W.; Lukina, E.V. Improving nitrogen use efficiency in cereal grain production with optical sensing and variable rate application. Agron. J. 2002, 94, 815–820. [Google Scholar] [CrossRef]
- Abdalla, A.K.A.; Azad, B.; Won, K.; Nafchi, A. Maintaining Optimum Closeup in Wheat FHB Detection Using 360-Degree Deep Scanning Method. In Proceedings of the 2023 ASABE Annual International Meeting, Omaha, NE, USA, 9–12 July 2023; American Society of Agricultural and Biological Engineers: St. Joseph, MI, USA, 2023; p. 1. [Google Scholar]
- Mirzakhaninafchi, H.; Singh, M.; Bector, V.; Gupta, O.P.; Singh, R. Design and development of a variable rate applicator for real-time application of fertilizer. Sustainability 2021, 13, 8694. [Google Scholar] [CrossRef]
- USDA, NASS. Survey (2003–2024). Available online: https://quickstats.nass.usda.gov (accessed on 13 October 2024).
- Jafari, M.; Hemmat, A.; Sadeghi, M. Development and performance assessment of a DC electric variable-rate controller for use on grain drills. Comput. Electron. Agric. 2010, 73, 56–65. [Google Scholar] [CrossRef]
- Niu, K.; Bai, S.; Zhou, L.; Zhao, B.; Liu, L.; Yuan, Y.; Yang, D.; Xiong, S.; Zhang, W. Design and experimental research of variable formula fertilization control system based on prescription diagram. Appl. Sci. 2021, 12, 325. [Google Scholar] [CrossRef]
- Clay, D.E.; Gregg, C.C.; Dalsted, K. iGrow Wheat. 2012. Available online: https://openprairie.sdstate.edu/plant_book/1/ (accessed on 13 October 2024).




















| QTY | Component Name | Specification | USD/Unit * |
|---|---|---|---|
| 1 | Raspberry Pi 4 | 4 GB Model B with 5 GHz 64-bit quad-core CPU (4 GB RAM) 40 GPIO | 90 |
| 1 | GNSS receiver | Reception of GLONASS, Galileo, Bidou, GNSS precision 10 mm | 275 |
| 1 | Spark fun Arduino | Qwic connector, ATMega328P, USB C | 22 |
| 2 | Incremental encoder | 600 P/R, AB, NPN output. | 19 |
| 1 | NEMA 23 motor | 3 N.m holding torque, 1.8 step angle (200 steps/rev) current 4.2 A | 40 |
| 1 | Stepper driver | 5 V/24 V logical voltage selector, alarm outputs, 1.0~4.2 A, 20~50 VDC, | 29 |
| 1 | Monitor | 7-Inch LCD Screen, 1024 × 600 IPS | 50 |
| 1 | Battery | 12 V, 75 AH Deep cycle rechargeable | 140 |
| 1 | Electrical misc. | Shielded cables, connectors, etc. | 50 |
| Total | 715 | ||
| Component | Required Voltage | Power Consumption in Amps | Total Watts |
|---|---|---|---|
| Raspberry Pi 4 | 5 V | 3 A | 5 Watt |
| GNSS receiver | 3.3/5 V | 0.085 to 0.13 A | 0.65 Watt |
| Spark fun Arduino | 7–12 V | 1.5 A | 1.0 Watt |
| Incremental encoder | 5–24 V | 0.16 A | 0.8 Watt |
| NEMA 23 motor | 12–36 V | 4.2 A | 3 Watt |
| Stepper driver | 20–50 V | 1–4.5 A | - |
| Monitor | 12 V | - | 15 Watt |
| Total power consumption | 28.45 Watt | ||
| Average | MIN | MAX | STD | C.V | |
|---|---|---|---|---|---|
| Treatment 1 | 0 kg | 0 kg | 0 kg | 0 kg | 0 |
| Treatment 2 | 48.44 kg | 43.95 kg | 53.82 kg | 4.53 kg | 8.38 |
| Treatment 3 | 75.53 kg | 68.17 kg | 80.73 kg | 6.30 kg | 7.48 |
| Treatment 4 | 95.62 kg | 91.49 kg | 104.05 kg | 6.23 kg | 5.84 |
| Treatment 5 | 129.35 kg | 124.68 kg | 134.55 kg | 4.82 kg | 3.34 |
| Treatment 6 | 142.98 kg | 133.65 kg | 152.49 kg | 7.47 kg | 4.69 |
| Treatment 7 | 158.23 kg | 145.31 kg | 165.94 kg | 8.68 kg | 4.92 |
| Treatment 8 | 226.22 kg | 220.66 kg | 233.22 kg | 5.22 kg | 2.07 |
| AVG STD | 1.76 kg | ||||
| AVG C.V | 4.59 | ||||
| RMSE | 5.13 kg | ||||
| Mean Error | 0.85 kg | ||||
| R square | 0.9948 | ||||
| SUMMARY | ||||||
| Groups | Count | Sum | Average | Variance | ||
| Target rate | 8 | 883.2298 | 110.4037 | 4927.945 | ||
| Measured samples | 8 | 876.3654 | 109.5457 | 4939.899 | ||
| ANOVA | ||||||
| Source of Variation | SS | df | MS | F | p-value | F crit |
| Between Groups | 2.945 | 1 | 2.945015 | 0.000597 | 0.980853 | 4.60011 |
| Rates | T1 | T2 | T3 | T4 | T5 | T6 | T7 | T8 | AVG |
| Target kg/ha | 0 | 50 | 73 | 94 | 129 | 151 | 166 | 220 | - |
| AVG kg/ha | 0 | 48.43 | 75.52 | 95.62 | 129.34 | 142.98 | 158.23 | 226.22 | - |
| STD | 0 | 4.53 | 6.3 | 6.23 | 4.82 | 7.47 | 8.68 | 5.22 | 1.764 |
| Accuracy % | 100 | 96.03 | 96.33 | 98.44 | 99.65 | 94.49 | 95.38 | 97.02 | 96.17 |
| Precision % | 100 | 96.4 | 95 | 95 | 96.1 | 94 | 93.1 | 95.8 | 95.15 |
| Error % | 0 | −3.97 | 3.67 | 1.56 | 0.35 | −5.51 | −4.62 | 2.97 | 2.83 |
Represent seeding rate intensity | |||||||||
Disclaimer/Publisher’s Note: The statements, opinions and data contained in all publications are solely those of the individual author(s) and contributor(s) and not of MDPI and/or the editor(s). MDPI and/or the editor(s) disclaim responsibility for any injury to people or property resulting from any ideas, methods, instructions or products referred to in the content. |
© 2024 by the authors. Licensee MDPI, Basel, Switzerland. This article is an open access article distributed under the terms and conditions of the Creative Commons Attribution (CC BY) license (https://creativecommons.org/licenses/by/4.0/).
Share and Cite
Abdalla, A.; Mirzakhani Nafchi, A. Development and Evaluation of an Affordable Variable Rate Applicator Controller for Precision Agriculture. AgriEngineering 2024, 6, 4639-4657. https://doi.org/10.3390/agriengineering6040265
Abdalla A, Mirzakhani Nafchi A. Development and Evaluation of an Affordable Variable Rate Applicator Controller for Precision Agriculture. AgriEngineering. 2024; 6(4):4639-4657. https://doi.org/10.3390/agriengineering6040265
Chicago/Turabian StyleAbdalla, Ahmed, and Ali Mirzakhani Nafchi. 2024. "Development and Evaluation of an Affordable Variable Rate Applicator Controller for Precision Agriculture" AgriEngineering 6, no. 4: 4639-4657. https://doi.org/10.3390/agriengineering6040265
APA StyleAbdalla, A., & Mirzakhani Nafchi, A. (2024). Development and Evaluation of an Affordable Variable Rate Applicator Controller for Precision Agriculture. AgriEngineering, 6(4), 4639-4657. https://doi.org/10.3390/agriengineering6040265

