Abstract
The impact of operating parameters on H2S capture from a syngas mixture by a Mo-promoted Mn-based high-temperature sorbent was investigated. The parameters investigated included temperature, space velocity, H2S concentration in the feed gas, and steam content. The H2S and SO2 concentrations in the gas after passing over a bed of the sorbent were analyzed and compared with thermodynamic calculations. The results confirmed that low temperature, low space velocity, low H2S concentration, and a dry feed were favorable for achieving a low residual concentration of sulfur compounds in the effluent gas. The sorbent was able to reduce the residual H2S concentration to below 1 ppm under all tested conditions. However, the unavoidable steam content in the gas phase had a significant adverse effect on sulfur removal from the gas. An empirical model, containing the three variables, i.e., temperature, space velocity, and H2S concentration in the feed, was developed and can be used to predict the effluent H2S residual concentration after treatment by the 15Mn8Mo sorbent.
1. Introduction
Biomass gasification with subsequent fuel synthesis is an interesting route for second generation (2G) biofuel production. However, undesired species and contaminants in the raw product of gasification can have severe detrimental effects on downstream processes [1]. Sulfur compounds, mainly in the form of H2S or carbonyl sulfide (COS), are regarded as one of the biggest hurdles for further processing due to their corrosivity and toxicity [2,3]. Their removal is necessary to avoid their adverse effects on equipment and catalysts applied in downstream processes. The requirements for their removal depend on the subsequent use of the syngas and which catalyst is used for further conversion of the syngas. For example, it has been reported that the concentration of sulfur should be less than 1 ppm for the cobalt-catalyzed Fischer–Tropsch (FT) process [4], and preferably less than 0.1 ppm to protect Cu-catalysts involved in the methanol synthesis process [5]. Conventionally, the sulfur compounds are removed by low-temperature gas-cleanup technologies, which normally involve liquid scrubbing [6]. However, this raises efficiency and cost issues due to the need for cooling the gas ahead of the scrubber and possibly reheating again before further processing. Another issue is the handling of the solvents used [2,6]. An alternative is proposed to be high-temperature desulphurization with solid sorbents, which has drawn some attention and been studied due to its potential for higher energy efficiency, and smaller and cheaper equipment, especially when applying regenerative sorbents in a cyclic operation [3,7].
High-temperature desulphurization was firstly reported by Westmoreland and Harrison [8]. Based on the thermodynamic analysis, they proposed 11 metal oxide candidates, i.e., zinc, iron, manganese, molybdenum, vanadium, calcium, strontium, barium, cobalt, copper, and tungsten. They proposed the following reactions involved in the desulphurization and sorbent regeneration process:
H2S in the gaseous phase can react with metal oxides through reaction (1), and the produced metal sulfide can be recovered back to oxide through reactions (2) to (4), depending on the oxidation agent applied. This provides the ability of the process to be adapted into a chemical looping process, thus reducing the sorbent volume and the size of the apparatus [3,7].
Bakker et al. [9] proposed several criteria for qualified sorbents with aspects to their capacity, stability, regenerability, and costs. There have been some efforts to improve the desulphurization performance of the solid sorbent in terms of the capacity and stability to promote their feasibility for industrial application [3,10]. However, as already mentioned, the residual H2S concentration in the gaseous phase passing through a sorbent bed is crucial for syngas utilization and only a few studies have focused on the residual H2S concentrations. Xiangmei Meng et al. [11] conducted a thermodynamic analysis on the most studied metal-based sorbents, including the oxides of Fe, Cu, Zn, Ca, and Mn, by calculating the equilibrium residual concentration in the gas phase for different inlet compositions. The results showed that copper, zinc, and manganese oxides are thermodynamically favorable sorbents for H2S removal at temperatures lower than 650 °C, and these materials can reduce H2S concentration down to sub-ppm level. Husmann et al. [12] conducted similar simulations and showed the strong adverse effect of steam content on the H2S capture. For example, the residual H2S cannot be reduced below 400 ppm at 820 °C if the steam content is above 40% (typical in-situ conditions) using single metal oxides including ZnO, CuO, CaO, and MnO. However, reported experimentally measured H2S residuals in the gas-phase vary largely, from 1 ppm [13,14,15] up to several hundred ppm [16]. The regularly applied H2S concentration detection methods include gas chromatography [17,18], gas detection tubes [19,20], UV-vis spectroscopy [21] and iodometric titration systems [22]. The gas-phase residual can sometimes not be precisely measured due to instrumental limitations, for example, the detection limit cited in some studies [18,21,23] is much higher than the pursued value in respect to catalyst poisoning, which typically is 1 ppm or lower.
In this work, a specific sulfur analyzer, Thermo Fischer 450i, was utilized to measure the residual gas-phase concentrations of sulfur compounds, including both the H2S residual and SO2 formed in the process. With the aid of the analyzer, we studied the mechanism of SO2 formation during high-temperature H2S capture with the sorbent 15Mn8Mo, which we found to be an outstanding sorbent with good capacity and stability in our previous work (see [24] for details). We also investigated the routes to SO2 formation and demonstrated that O2-H2 regeneration (oxidation followed by pre-reduction of the sorbent) can prevent SO2 formation [25]. The residual level of sulfur compounds after desulphurization treatment by the sorbent 15Mn8Mo under different reaction conditions was studied in this work. The effects of different operating parameters, including temperature, space velocity, H2S partial pressure, and steam content in the gas phase on the residual sulfur levels were investigated. Moreover, the experimental results were also compared with theoretical values from thermodynamic calculations.
2. Materials and Methods
2.1. Chemicals and Materials
Gamma-alumina purchased from Strem Chemicals was used as a support material in the study. The precursors of manganese (Mn(NO3)2·4H2O) and molybdenum ((NH4)6Mo7O24·4H2O) were obtained from Sigma Aldrich (St. Louis, MO, USA).
2.2. Sample Preparation
The desulphurization sorbents used here consist of metal oxides as the active phase which is supported on γ-alumina as the carrier. The support was pre-calcined with air for 10 h under 500 °C and then impregnated with the precursor to synthesize the metal-based sorbent. The loading of manganese is 15 wt% and molybdenum is 8 wt%. After being aged overnight and dried for 24 h under 90 °C, the sample was calcined in air for 3 h in a muffle oven at 700 °C, and then crushed and sieved to the desired size range, i.e., 150–250 μm. More details can be seen in our former work [24].
2.3. Sulfur Residue Tests
The sulfur residue tests were conducted with a dedicated set-up consisting of a gas supplying and regulation system, a fixed bed reactor with temperature control by a furnace, and a gas analysis system with the particular sulfur analyzer, Thermo Fisher 450i. The Thermo Fischer 450i uses fluorescence to measure the H2S and SO2 concentrations in the gaseous phase online with a typical time resolution of 1 min. The upper concentration limitation is 10 ppm for H2S and 100 ppm for SO2. A specific amount of the sorbent, 15Mn8Mo, was loaded in the reactor and heated up to the 600 °C, with 10 K/min ramping rate under a N2/H2 (50 vol.%) gas mixture, and was reduced in the same gas environment for 1 h as pretreatment. Then, the sorbent was either cooled or heated to the desired temperature under 50 mL/min N2 gas flow to study the impact of the reaction temperature or kept at the same temperature for studying the other factors. A gas mixture with the desired composition (H2 with the desired concentration of H2S, and inert gas (N2 and argon) as balance) was then fed to the reactor, and the off-gas was analyzed by the sulfur specific analyzer. The applied temperatures were 400 °C, 500 °C, 600 °C, and 700 °C. The tested feeding H2S concentrations were 400 ppm, 1000 ppm, 2000 ppm, 4000 ppm, and 6000 ppm. Various space velocities were obtained by adjusting the loaded amount of sorbent and the gas flow rate; the values used were 10,000 mLgas/gsorbent h, 30,000 mLgas/gsorbent h, 60,000 mLgas/gsorbent h, and 120,000 mLgas/gsorbent h. For the steam test, 6.5 vol.% steam was added to a mixture with 40 vol.% H2 and 2000 ppm H2S (inert gas as balance) at 600 °C, keeping the concentrations of H2 and H2S constant by adjusting the inert gas flow.
Care was taken to avoid exposing the instrument to sulfur concentrations above the upper limit; this was ensured by terminating the measurement once a sudden increase of the sulfur concentration was observed in the outlet gas, or when the experiment had lasted 40 min. With this setup, the sulfur content can be precisely measured down to approximately 100 ppb. The gas was diluted with synthetic air by a factor of five before entering the analyzer, which is used as an oxidizing agent of H2S to be detected for the analyzer and dilution, and the concentration of SO2 or H2S is calculated by the equation:
where RCs is the concentration of H2S or SO2 in the off-gas and RCD is the observed value from the analyzer. The lowest attainable levels of both sulfur compounds were obtained by establishing the stable lowest attainable level for a period and calculating the average value.
2.4. Thermodynamic Calculations
The thermodynamic calculations were carried out using the software package FactSage version 7.0, and the theoretical H2S and SO2 residual concentrations in the gaseous phase with MnO and MoO2 at various temperatures under dry or steam environments were calculated. The calculation can be regarded as a batch reactor containing all solid and gas reactants, and the mole fraction of all products or remained reactants at equilibrium are calculated. As mentioned in our previous study [24], the metal compounds on the sorbent are reduced to MnO and MoO2 after the H2 pre-treatment, hence, the sulfur residuals with the two metals are calculated. The input gas composition for the calculation is 0.2, 39.8, 40.0, and 20 vol.% for H2S, Ar, H2, and N2, respectively, for the dry condition, and 0.4, 39.6, 40.0, 6.5, and 13.5 vol.% for H2S, Ar, H2, steam, and N2, respectively, for the steam condition. The mole ratio between the gaseous phase and solid phase is 1 and the studied temperatures range from 400 °C to 1000 °C.
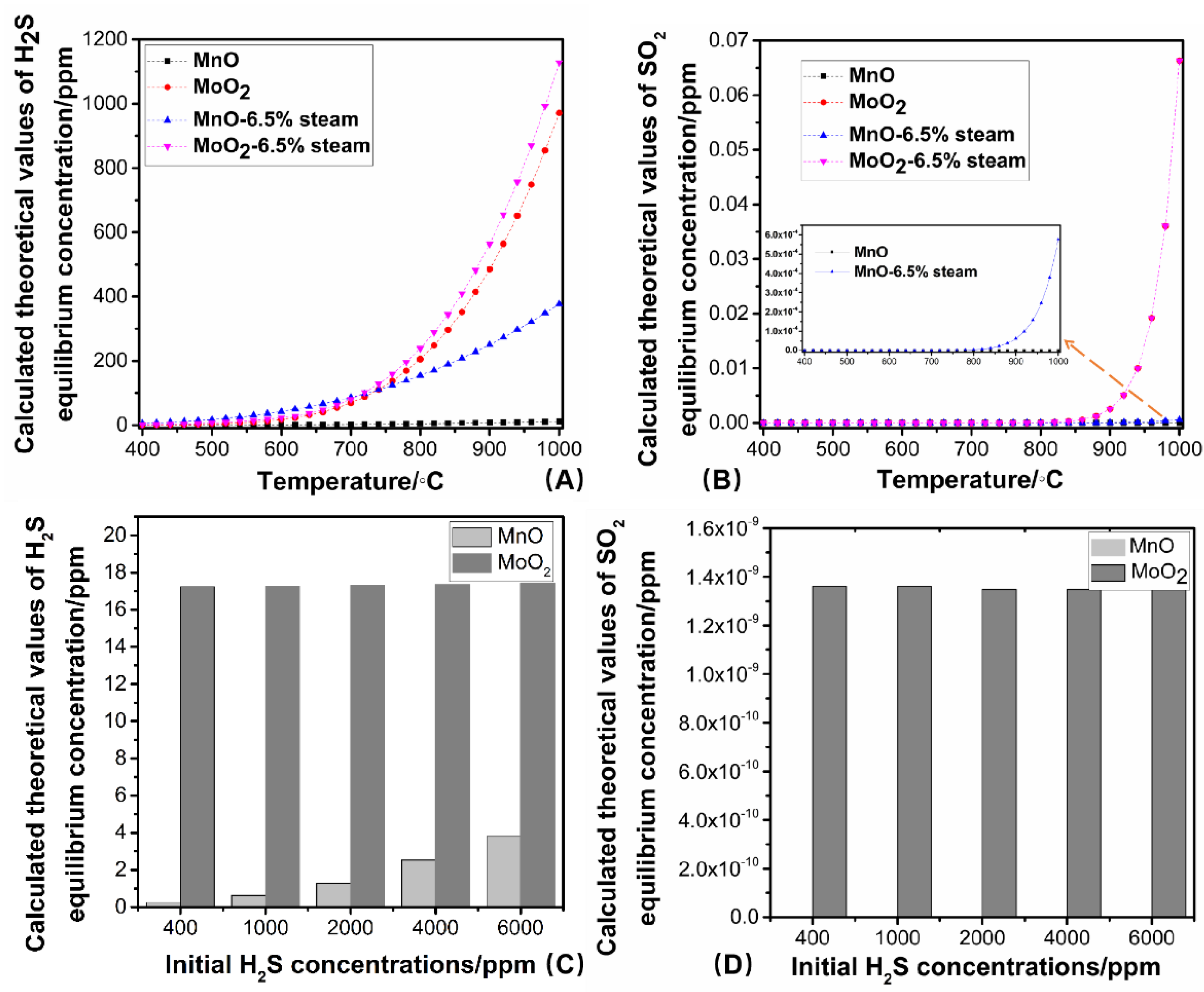
The calculated residual H2S and SO2 values at equilibrium depend on which metal oxide is present in the sorbent under dry or wet conditions, as shown in Figure 1A,B, respectively. Sulfidation reactions between H2S and metal oxides are highly exothermic (reaction 1). The gas-phase H2S and SO2 concentrations are low at the lowest temperatures investigated but increase rapidly from around 550 °C for H2S and 850 °C for SO2 for the Mo-based system, while the Mn-based system gives consistently lower values. The equilibrium SO2 concentration for both metal oxides is lower than 10 ppb over most of the temperature range. Overall, higher residual sulfur concentrations, both for H2S and SO2, are predicted under the wet condition with 6.5 vol.% steam than in the dry condition. The inhibition effects of steam on H2S capture are much more obvious for MnO. It is notable that the equilibrium H2S concentration under the steam condition with MoO2 is lower than with MnO at low temperatures, and then increases rapidly and overtakes the value for MnO at temperatures higher than 740 °C, reaching 1130 ppm at 1000 °C. Comparatively, there is less influence on the equilibrium SO2 residual compared to the effect on the H2S residual by the steam addition with both oxides.
Figure 1.
Theoretically calculated equilibrium concentrations with different inputs. (A,B): Equilibrium sulfur concentrations of MnO and MoO2 under dry or steam environments at different temperatures, (A): H2S, (B): SO2; (C,D): Equilibrium sulfur concentration of with different initial H2S concentrations at 600 °C, (C): H2S, (D): SO2.
The equilibrium H2S and SO2 levels at 600 °C under the same dry condition as listed above, however, with different initial H2S concentrations, i.e., 400, 1000, 2000, 4000, and 6000 ppm (N2 as balance), were calculated and the results are listed in Figure 1C,D, respectively. It can be seen that more H2S remained in the gas phase over MoO2 than over MnO with all applied initial H2S concentrations, and the values over MoO2 are not sensitive to the initial H2S partial pressures. The H2S residual at equilibrium over MnO is merely 0.254 ppm for the lowest inlet concentration (400 ppm) and then increases with the inlet concentration up to 3.81 ppm when the input H2S concentration is 6000 ppm (Figure 1C). The residual SO2 in the gas phase is negligible for both MnO and MoO2 (Figure 1D).
3. Results
3.1. Effect of Temperature on Residual Sulfur Concentrations
The measured H2S and SO2 concentrations for the sorbent 15Mn8Mo, measured at various temperatures, are shown in Figure 2. The feed gas H2S concentration was 2000 ppm and the space velocity applied was 60,000 mLgas/gsorbent h (0.1 g sorbent and 100 mL/min gas flow) in the experiments. The measured residual H2S concentrations are generally lower than the calculated ones, as shown in Figure 1A, but increase with increasing temperature, which is in accordance with the theoretical calculation trend. There is only around 0.1 ppm H2S left in the off-gas at 400 °C and a marginally higher value at 500 °C, and it increases to 0.36 ppm at 600 °C, and further to 0.88 ppm at 700 °C. This demonstrates that the effect of the temperature is less important when it is sufficiently low.
Figure 2.
Residual sulfur concentrations measured at various temperatures with sorbent 15Mn8Mo with the gas compositions 0.2, 19.8, 40.0, and 40 vol.% for H2S, Ar, H2, and N2 (2000 ppm H2S) and 60,000 mLgas/gsorbent h space velocity.
The measured SO2 concentrations are at a very low level, all below 10 ppb. However, in contrast to the H2S residual trend, the measured values for SO2 concentrations are higher than the calculated values and no obvious link between residual SO2 values and the sorption temperature is apparent. As discussed in our former study [25], the H2-reduction can effectively prevent SO2 formation by preventing H2S conversion by reducible metal oxides with high oxidation states, such as Mn2O3 or MoO3 on the fresh sorbent. It can be deduced that the H2 pretreatment was insufficient and a small amount of metal oxides with higher valence remained on the reduced sorbent; this will be able to convert a small fraction of the H2S to SO2.
3.2. Effect of Space Velocity on Residual Sulfur Concentrations
Jian Sun and co-workers [26] studied the relationship between the space velocity and the outlet H2S concentration for Zn-based sorbents, and they speculated that H2S can be reduced to an extremely low level with a sufficiently low space velocity. Therefore, the impact of space velocity on the residual sulfur level over 15Mn8Mo was studied at 600 °C with 2000 ppm H2S in the model gas mixture, and the results are shown in Figure 3. It is observed that the residual H2S level decreases with the decreasing space velocity from 0.61 ppm at 120,000 mLgas/gsorbent h to 0.11 ppm at 10,000 mLgas/gsorbent h. This is the same trend as the study from Sun et al. [26] with a different sorbent.
Figure 3.
Residual sulfur concentrations measured under various space velocities with sorbent 15Mn8Mo at 600 °C with the gas composition 0.2, 19.8, 40.0, and 40 vol.% for H2S, Ar, H2, and N2 (2000 ppm H2S). The two tests with 60,000 mLgas/gsorbent h are conducted with two loading amounts of sorbents, i.e., 0.1 g (test 1) and 0.2 g (test 2).
Two tests with the same space velocity, 60,000 mLgas/gsorbent h, but different sorbent loading and gas flow, i.e., 0.1 g sorbent and 100 mL/min gas versus 0.2 g sorbent and 200 mL/min gas, were conducted. The difference between the experiments is reasonably low, indicating that the linear gas velocity does not significantly impact the results. When the space velocity was reduced further down from 30,000 mLgas/gsorbent h to mLgas/gsorbent h, the change in the residual gas phase sulfur concentration was very small. This may indicate a sorption limitation is approached when reducing the space velocity. There is some SO2 detected, but at very low concentrations, typically below 0.02 ppm. However, it is noticeable that the detected SO2 concentrations in the off-gas are higher than the theoretically calculated results shown in Figure 1, which are all lower than 0.5 ppb. The phenomenon is also observed in the experiments investigating temperature effects and also here may this be assigned to incomplete reduction.
3.3. Effect of Feeding H2S Concentration on Residual Sulfur Concentrations
Figure 4 illustrates the residual H2S and SO2 results detected with different concentrations of H2S in the feed gas at 600 °C with 60,000 mLgas/gsorbent h space velocity (0.1 g sorbent and 100 mL/min gas flow). The residual H2S concentrations in the outlet gas were measured to 0.19 ppm with 400 ppm feeding H2S concentration, and as the H2S concentration in the feed gas was increased, the residual H2S level also gradually increased to 0.68 ppm with 6000 ppm feed gas H2S concentration. The measured results are in agreement with the trend observed for the theoretically calculated residual values shown in Figure 1. As shown in Figure 1C, the calculated equilibrium H2S concentrations over MnO are much lower than over MoO2, which means MnO should be the active phase that determines the final outlet residence of H2S from the sorbent, 15Mn8Mo. However, the measured values shown in Figure 4 are lower than the calculated values over MnO at the corresponding conditions, and the increment with increasing feed concentration is significantly smaller. Considering that the tests were carried out at the same temperature, the variation of the residual H2S among tests with different feeding concentrations indicates that the process is kinetically controlled. Higher feeding H2S concentration leads to faster conversion of the sorbent, which means the faster buildup of the product layer (metal sulfide layer in the metal oxide particles). The product layer diffusion is a key factor in the gas-solid reaction [27]; a deeper layer will slow the reaction down and give the observed variations in the final sulfur residual gas phase concentration.
Figure 4.
Residual sulfur concentrations in the gas phase measured with various H2S concentrations with the sorbent 15Mn8Mo at 600 °C with the fixed space velocity of 60,000 mLgas/gsorbent h.
3.4. Effect of Steam Content on Residual Sulfur Concentrations
Since the gas from gasification typically contains steam, it is of interest to investigate the impact of the steam on the residual sulfur concentration. Due to limitations in our set-up, only one steam concentration, 6.5 vol.% steam in the model gas, was applied. As shown in Figure 1A, the equilibrium concentrations of H2S over MnO and MoO2 under the wet condition with 6.5 vol.% steam were calculated to be 43.9 ppm and 23.5 ppm, respectively, at 600 °C. By adding a 6.5 vol.% steam to the gas mixture in the experiment, as shown in Figure 5, the residual H2S level increased to 3.53 ppm comparing to 0.36 ppm at the dry condition, which illustrates the severe adverse impact of steam on the sulfur capture. If we keep the same space velocity and double the sorbent loading and gas flow rate, i.e., 0.2 g sorbent and 200 mL/min gas flow, the measured value is reduced marginally to 3.16 ppm. This is the same trend as observed at dry conditions, as shown in Figure 3. At half the space velocity, i.e., doubling the sorbent loading to 0.2 g but still applying 100 mL/min gas flow, the H2S residue was significantly lower at 0.86 ppm. The calculations and measurements confirm that steam in the gas phase can suppress the H2S sorption. The observed value is significantly higher than the one obtained in the dry test; however, it is still much lower than the equilibrium calculation suggests. It is also noticeable that almost no SO2 is produced under steam containing conditions. Although the amount of SO2 produced is already very low with the pre-reduced sample in dry conditions, the steam can further inhibit SO2 formation. A similar SO2 suppression effect of steam addition was reported by Kyotani et al. [28] in a Cu sorbent study.
Figure 5.
Residual sulfur concentrations measured with various H2S concentrations in a reducing gas with sorbent 15Mn8Mo at 600 °C under dry or wet conditions, (A): 0.1 g sorbent and 100 mL/min gas flow with 2000 ppm H2S and no steam; (B): 0.2 g sorbent and 100 mL/min gas flow with 2000 ppm H2S and 6.5 vol.% steam; (C): 0.1 g sorbent and 100 mL/min gas flow with 2000 ppm H2S and 6.5 vol.% steam; (D): 0.2 g sorbent and 200 mL/min gas flow with 2000 ppm H2S and 6.5 vol.% steam.
The thermodynamic calculations done here using Factsage can be regarded as a calculated equilibrium in a batch reactor filled with a specific amount of gas and sorbent at isothermal conditions. This system does not model directly the continuous flow, fixed bed system studied here, explaining why the experimental values are lower than the calculated values. However, the trends and directions with temperature and composition are the same. Additionally, as mentioned earlier, the temperature influence becomes less prominent at lower temperatures, which suggests a limitation of the impact of the temperature at a fixed space velocity. This also applies to the space velocity at a fixed temperature. Hence, temperature and space velocity both contribute to the residual sulfur level in the gas phase. Jian Sun et al. [26] proposed a model based on a study with ZnO sorbent in a fixed bed reactor. They assumed that sulfidation reaches equilibrium half-way through the sorbent bed; furthermore, the fresh sorbent downstream can remove remaining gaseous H2S to a lower level, resulting in the lower outlet H2S concentration than the theoretically calculated value for a batch system. Our calculations assume a batch reactor with fixed ratios between sorbent and sulfur species, hence it cannot explain all features of a continuous flow system with changing residence times. Such a model is also valid for our reacting system, and this can also explain how the H2S residue changes with space velocity.
4. Conclusions
The impact of various operating conditions on the effluent concentrations of sulfur compounds, i.e., H2S and SO2 in a syngas mixture after being processed by the sorbent 15Mn8Mo, was evaluated. The residual H2S levels increased with increasing sorption temperature, which is in accordance with the equilibrium H2S gas-phase residue obtained from thermodynamic calculations. Lower space velocity during sorption led to a lower concentration of retained H2S in the off-gas; however, this trend is flattened when the space velocity was reduced below 30,000 mLgas/gsorbent h. Higher H2S partial pressure in the feed gas also resulted in higher H2S residual concentrations. Steam has a strong negative effect on the sulfur capture, both predicted from thermodynamics and observed experimentally. Further investigation on the sulfur residue ability of the sorbent under various experimental conditions might extend our awareness on how to lower the effluent sulfur by properly adjusting the operating parameters.
Author Contributions
Conceptualization, J.M. and E.A.B.; methodology, J.M. and E.A.B.; software, J.M.; validation, K.R.R. and M.M.; investigation, J.M. and M.M.; data curation, J.M.; writing—original draft preparation, J.M.; writing—review and editing, E.A.B., M.M. and K.R.R.; visualization, J.M.; supervision, E.A.B. and K.R.R.; project administration, E.A.B.; funding acquisition, K.R.R. and E.A.B. All authors have read and agreed to the published version of the manuscript.
Funding
This research was funded by The Research Council of Norway, grant numbers 267986 and 257622.
Conflicts of Interest
The authors declare no conflict of interest.
References
- Huber, G.W.; Iborra, S.; Corma, A. Synthesis of Transportation Fuels from Biomass: Chemistry, Catalysts, and Engineering. Chem. Rev. 2006, 106, 4044–4098. [Google Scholar] [CrossRef] [PubMed] [Green Version]
- Abdoulmoumine, N.; Adhikari, S.; Kulkarni, A.; Chattanathan, S. A review on biomass gasification syngas cleanup. Appl. Energy 2015, 155, 294–307. [Google Scholar] [CrossRef]
- Cheah, S.; Carpenter, D.L.; Magrini-Bair, K.A. Review of mid- to high-temperature sulfur sorbents for desulfurization of biomass- and coal-derived syngas. Energy Fuels 2009, 23, 5291–5307. [Google Scholar] [CrossRef]
- Boerrigter, H.; Den Uil, H.; Calis, H.-P. Green Diesel from Biomass via Fischer-Tropsch synthesis: New Insights in Gas Cleaning and Process Design. In Proceedings of the Pyrolysis and Gasification of Biomass and Waste, Expert Meeting, Strasbourg, France, 30 September–1 October 2002. [Google Scholar]
- Kung, H.H. Deactivation of methanol synthesis catalysts—A review. Catal. Today 1992, 11, 443–453. [Google Scholar] [CrossRef]
- Woolcock, P.J.; Brown, R.C. A review of cleaning technologies for biomass-derived syngas. Biomass Bioenergy 2013, 52, 54–84. [Google Scholar] [CrossRef]
- Meng, X. Biomass Gasification: The Understanding of Sulfur, Tar, and Char Reaction in Fluidized Bed Gasifiers. Ph.D. Thesis, TU Delft, Delft, The Netherlands, 2012. [Google Scholar]
- Westmoreland, P.R.; Harrison, D.P. Evaluation of Candidate Solids for High-Temperature Desulfurization of Low-Btu Gases. Environ. Sci. Technol. 1976, 10, 659–661. [Google Scholar] [CrossRef]
- Bakker, W.J.; Kapteijn, F.; Moulijn, J.A. A high capacity manganese-based sorbent for regenerative high-temperature desulfurization with direct sulfur production: Conceptual process application to coal gas cleaning. Chem. Eng. J. 2003, 96, 223–235. [Google Scholar] [CrossRef]
- Meng, X.; De Jong, W.; Pal, R.; Verkooijen, A.H.M. In bed and downstream hot gas desulphurization during solid fuel gasification: A review. Fuel Process. Technol. 2010, 91, 964–981. [Google Scholar] [CrossRef]
- Meng, X.M.; De Jong, W.; Verkooijen, A.H.M. Thermodynamic analysis and kinetics model of H2S sorption using different sorbents. Environ. Prog. Sustain. Energy 2009, 28, 360–371. [Google Scholar] [CrossRef]
- Husmann, M.; Hochenauer, C.; Meng, X.; De Jong, W.; Kienberger, T. Evaluation of Sorbents for High Temperature In Situ Desulfurization of Biomass-Derived Syngas. Energy Fuels 2014, 28, 2523–2534. [Google Scholar] [CrossRef]
- Gupta, R.; Gangwal, S.K.; Jain, S.C. Development of Zinc Ferrite Sorbents for Desulfurization of Hot Coal Gas in a Fluid-Bed Reactor. Energy Fuels 1992, 6, 21–27. [Google Scholar] [CrossRef]
- Ikenaga, N.O.; Ohgaito, Y.; Matsushima, H.; Suzuki, T. Preparation of zinc ferrite in the presence of carbon material and its application to hot-gas cleaning. Fuel 2004, 83, 661–669. [Google Scholar] [CrossRef]
- Kobayashi, M.; Shirai, H.; Nunokawa, M. Moderate temperature gas purification system: Application to high calorific coal-derived fuel. Powder Technol. 2008, 180, 178–183. [Google Scholar] [CrossRef]
- Sick, G.; Schwerdtfeger, K. Hot Desulfurization of Coal Gas with Copper. Metall. Trans. B 1987, 18, 603–609. [Google Scholar] [CrossRef]
- Lew, S.; Jothimurugesan, K.; Flytzani-stephanopoulos, M. High-Temperature H2S Removal from Fuel Gases by Regenerable Zinc Oxide—Titanium Dioxide Sorbents. Ind. Eng. Chem. Res. 1989, 28, 535–541. [Google Scholar] [CrossRef]
- Abad, A.; Adánez, J.; García-Labiano, F.; de Diego, L.F.; Gayán, P. Hot coal-gas desulfurization with calcium-based sorbents in a pressurized moving-bed reactor. Energy Fuels 2004, 18, 1543–1554. [Google Scholar] [CrossRef]
- Ben-Slimane, R.; Hepworth, M.T. Desulfurization of Hot Coal-Derived Fuel Gases with Manganese-Based Regenerable Sorbents. 2. Regeneration and Multicycle Tests. Energy Fuels 1994, 8, 1184–1191. [Google Scholar] [CrossRef]
- Gasper-Galvin, L.D.; Atimtay, A.T.; Gupta, R.P. Zeolite-supported metal oxide sorbents for hot-gas desulfurization. Ind. Eng. Chem. Res. 1998, 37, 4157–4166. [Google Scholar] [CrossRef]
- Alonso, L.; Palacios, J.M. Performance and recovering of a Zn-doped manganese oxide as a regenerable sorbent for hot coal gas desulfurization. Energy Fuels 2002, 16, 1550–1556. [Google Scholar] [CrossRef]
- Xia, H.; Liu, B.; Li, Q.; Huang, Z.; Cheung, A.S.-C. High capacity Mn-Fe-Mo/FSM-16 sorbents in hot coal gas desulfurization and mechanism of elemental sulfur formation. Appl. Catal. B Environ. 2017, 200, 552–565. [Google Scholar] [CrossRef]
- Westmoreland, P.R.; Gibson, J.B.; Harrison, D.P. Comparative kinetics of high-temperature reaction between hydrogen sulfide and selected metal oxides. Environ. Sci. Technol. 1977, 11, 488–491. [Google Scholar] [CrossRef]
- Ma, J.; Rout, K.R.; Sauer, M.; Mahmoodinia, M.; Blekkan, E.A. Investigations of molybdenum-promoted manganese-based solid sorbents for H2S capture. Biomass Bioenergy 2020, 143, 105843. [Google Scholar] [CrossRef]
- Ma, J.; Mahmoodinia, M.; Rout, K.R.; Blekkan, E.A. High-Temperature Desulphurization by Mn-Mo Sorbent: An Investigation on Optimal Regeneration Condition and Prevention of SO2 Formation. Chem. Ing. Tech. 2021, 93, 949–958. [Google Scholar] [CrossRef]
- Sun, J.; Modi, S.; Liu, K.; Lesieur, R. Kinetics of Zinc Oxide Sulfidation for Packed-Bed Desulfurizer Modeling. Energy Fuels 2007, 21, 1863–1871. [Google Scholar] [CrossRef]
- Rout, K.R.; Jakobsen, H.A. A numerical study of pellets having both catalytic- and capture properties for SE-SMR process: Kinetic- and product layer diffusion controlled regimes. Fuel Process. Technol. 2013, 106, 231–246. [Google Scholar] [CrossRef]
- Kyotani, T.; Kawashima, H.; Tomita, A.; Palmer, A.; Furimsky, E. Removal of H2S from hot gas in the presence of Cu-containing sorbents. Fuel 1989, 68, 74–79. [Google Scholar] [CrossRef]
Publisher’s Note: MDPI stays neutral with regard to jurisdictional claims in published maps and institutional affiliations. |
© 2021 by the authors. Licensee MDPI, Basel, Switzerland. This article is an open access article distributed under the terms and conditions of the Creative Commons Attribution (CC BY) license (https://creativecommons.org/licenses/by/4.0/).




