Effectiveness of Climbing Lanes for Slow-Moving Vehicles When Riding Uphill: A Microsimulation Study
Abstract
1. Introduction
- -
- Percent time-spent-following (PTSF): average percentage of travel time that vehicles spend queuing behind heavy and slow vehicles, unable to overtake;
- -
- Average travel speed (ATS): ratio between road section length and both direction vehicles travel time, during a set time interval.
- -
- Upgrade traffic flow rate is in excess of 200 veh/h;
- -
- Upgrade truck flow rate is in excess of 20 veh/h;
- -
- A 15-km/h or greater speed reduction is expected for a typical heavy truck, or level of service E or F exists on the grade, characterized by unstable or breakdown flows, or a reduction of two or more levels of service is experienced when moving from the approach segment to the grade.
- -
- The slowdown suffered by heavy vehicles on uphill stretches, to be considered intolerable if the speed of such vehicles is reduced to less than 50% of that of passenger cars on the same stretch;
- -
- The decay in traffic quality and safety conditions in relation to the percentage of heavy vehicles and the expected traffic volume.
2. Materials and Methods
2.1. Case Study
2.1.1. Road Geometrical and Functional Features
- (1)
- The first one in the section between 42+800 km e and 44+400 km;
- (2)
- The second one in the section between 44+900 km and 46+300 km;
- (3)
- The last one in the section between 47+900 km and 49+000 km.
2.1.2. Traffic Data Analysis—LoS Calculation
2.2. Microsimulation
2.2.1. Calibration Phase
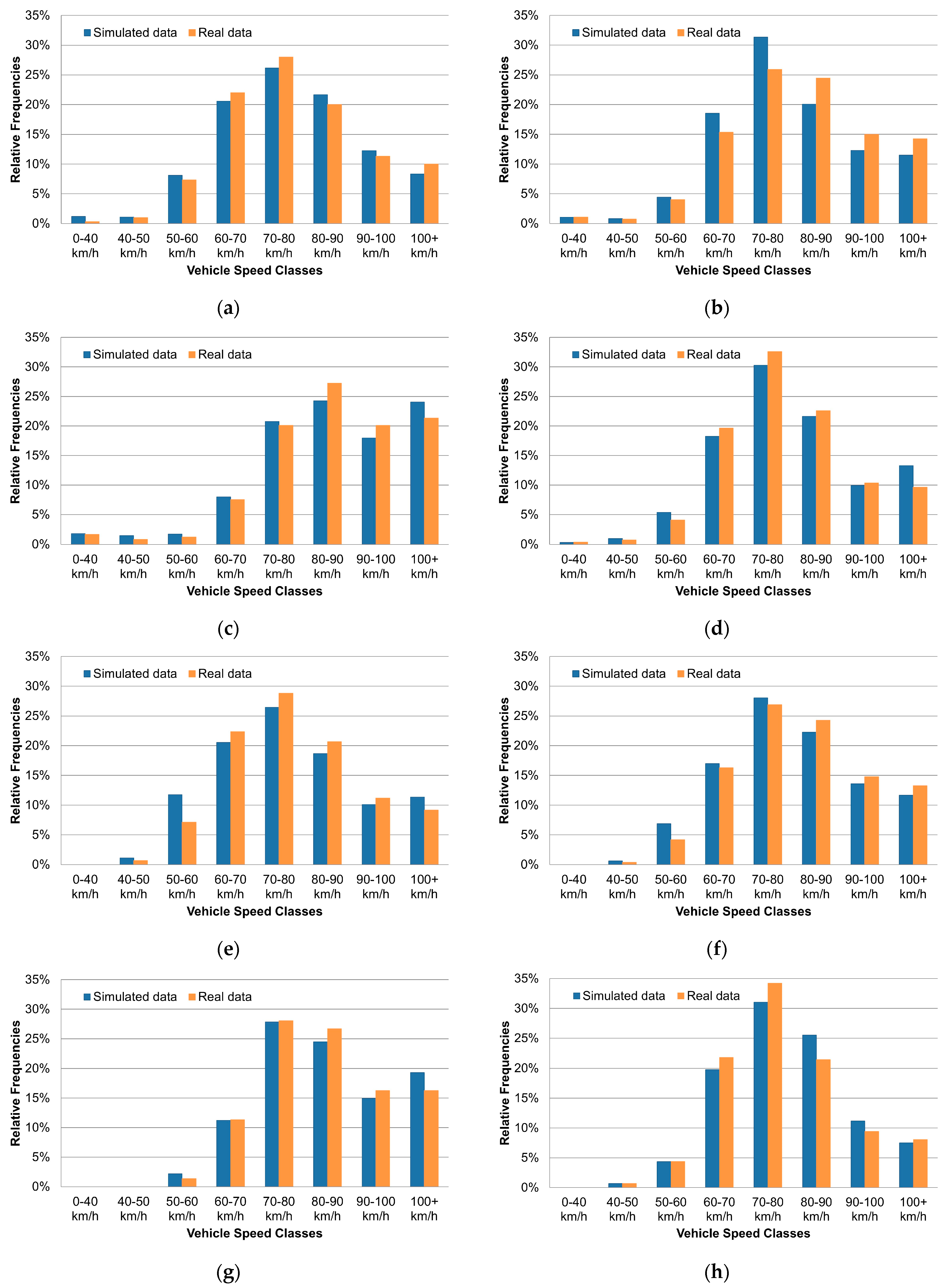
2.2.2. Validation Phase
2.2.3. Actual Microsimulation Analyses
- -
- Speed;
- -
- Travel times and delay times;
- -
- Queue waiting times to determine the travel speeds of the vehicles, data collection points—the so-called control points—have been added to relevant sections, such as the starting and ending points of the analyzed road trunk, and the starting and ending points of the three climbing lanes. Through the control points the evaluation of travel times and delays and, consequently, queue waiting times have been also performed.
3. Results and Discussion
- -
- Vehicle speeds;
- -
- Travel times and delay times;
- -
- Queuing waiting times.
3.1. Vehicle Speeds
3.2. Travel Times and Delay Times
3.3. Queuing Waiting Times
4. Conclusions
Author Contributions
Funding
Data Availability Statement
Conflicts of Interest
References
- Al-Kaisy, A. Two-Lane Highways: Indispensable Rural Mobility. Encyclopedia 2022, 2, 625–631. [Google Scholar] [CrossRef]
- Cantisani, G.; Borrelli, C.C.; Del Serrone, G.; Peluso, P. Optimizing Road Safety Inspections on Rural Roads. Infrastructures 2023, 8, 30. [Google Scholar] [CrossRef]
- Harwood, D.; Mason, J.; Glauz, W.D.; Kulakowski, B.T.; Fitzpatrick, K. Truck Characteristics for Use in Highway Design and Operation; Appendixes, Final Report; National Academies: Washington, DC, USA, 1990; Volume 2, ISBN 1111111111. [Google Scholar]
- Del Serrone, G.; Cantisani, G.; Peluso, P.; Coppa, I.; Mancinetti, M.; Bianchini, B. Road Infrastructure Safety Management: Proactive Safety Tools to Evaluate Potential Conditions of Risk. Transp. Res. Procedia 2023, 69, 711–718. [Google Scholar] [CrossRef]
- Officials, T. A Policy on Geometric Design of Highways and Streets, 2011; AASHTO: Washington, DC, USA, 2011. [Google Scholar]
- Glennon, J.C. An Evaluation of Design Criteria for Operating Trucks Safely on Grades. Highw. Res. Rec. 1970, 312, 93–112. [Google Scholar]
- Carlsson, G. Model for Calculating the Effect of Longitudinal Profiles on the Speed of Heavy Vehicles; Statens Väginstitut: Stockholm, Sweden, 1970. [Google Scholar]
- Moridpour, S.; Mazloumi, E.; Mesbah, M. Impact of heavy vehicles on surrounding traffic characteristics. J. Adv. Transp. 2014, 49, 535–552. [Google Scholar] [CrossRef]
- Manual, H.C. Highway Capacity Manual; Transportation Research Board: Washington, DC, USA, 2000; Volume 2. [Google Scholar]
- Modelli di Simulazione del Traffico. Available online: http://tis.unical.it/tritone_tesi/2010-2011_4.htm (accessed on 4 May 2023).
- Cantisani, G.; Del Serrone, G.; Biagio, G. Di Calibration and Validation of and Results from a Micro-Simulation Model to Explore Drivers’ Actual Use of Acceleration Lanes. Simul. Model. Pract. Theory 2018, 89, 82–99. [Google Scholar] [CrossRef]
- Choi, S.; Suh, J.; Yeo, H. Microscopic Analysis of Climbing Lane Performance at Freeway Uphill Section. Transp. Res. Procedia 2017, 21, 98–109. [Google Scholar] [CrossRef]
- Ko, H.; Han, E.; Kim, K.; Park, S.; Engineering, I.Y.-K.J. Dynamic Control of Climbing Lane on Expressways. KSCE J. Civ. Eng. 2019, 23, 400–410. [Google Scholar] [CrossRef]
- Qin, Y.; Xiong, J.; Li, J. Driving Simulation Evaluation to Traffic Flow Characteristics and Driving Safety of Climbing Lane on a Rural Highway. J. Highw. Transp. Res. Dev. 2012, 6, 79–83. [Google Scholar] [CrossRef]
- Yaqin, Q.; Jian, X.; Hongqi, L.; Fengxiang, G.; Huasen, W. Driving Simulation Study of Traffic Flow Characteristics of the Climbing Lane on a Two-Lane Rural Road. In ICCTP 2009: Critical Issues in Transportation Systems Planning, Development, and Management; ASCE Library: Reston, VA, USA, 2009; Volume 358, pp. 804–811. [Google Scholar] [CrossRef]
- Valencia-Alaix, V. Operational Evaluation of Climbing Lanes on Steep Grades and Heavy Trucks. Transp. Res. Procedia 2020, 48, 840–884. [Google Scholar] [CrossRef]
- Hou, Q.; Meng, X.; Huo, X.; Cheng, Y.; Mechanics, J.L.-P.A.S. Effects of Freeway Climbing Lane on Crash Frequency: Application of Propensity Scores and Potential Outcomes; Elsevier: Amsterdam, The Netherlands, 2019. [Google Scholar]
- Rrecaj, A.A.; Bombol, K.M. Calibration and Validation of the VISSIM Parameters—State of the Art. Tem J. Technol. Educ. Manag. Inform. 2015, 4, 255–269. [Google Scholar]
- Manjunatha, P.; Vortisch, P.; Mathew, T. Methodology for the Calibration of VISSIM in Mixed Traffic. In Transportation Research Board 92nd Annual Meeting; Transportation Research Board: Washington, DC, USA, 2013. [Google Scholar]
- IT Ministry for Infrastructures and Transport. Ministerial Decree Nov, 5-2001, No. 6792. Norme Funzionali e Geometriche per la Costruzione delle Strade; Official Gazette of IT Republic: Rome, Italy, 2002. [Google Scholar]
- Cantisani, G.; Del Serrone, G. Procedure for the Identification of Existing Roads Alignment from Georeferenced Points Database. Infrastructures 2020, 6, 2. [Google Scholar] [CrossRef]
- Osservatorio del Traffico|Anas, S.p.A. Available online: https://www.stradeanas.it/it/le-strade/osservatorio-del-traffico (accessed on 9 May 2023).
- Cantisani, G.; Del Serrone, G.; Peluso, P. Reliability of Historical Car Data for Operating Speed Analysis along Road Networks. Science 2022, 4, 18. [Google Scholar] [CrossRef]
- Azlan, N. Overview of Application of Traffic Simulation Model. In MATEC Web of Conferences; EDP Sciences: Les Ulis, France, 2018. [Google Scholar] [CrossRef]
- Friedrich, M. A multi-modal transport model for integrated planning. In Proceedings of the 8th World Conference on Transport ResearchWorld Conference on Transport Research Society, Mumbai, India, 26–31 May 1999; Volume 2. [Google Scholar]
- Dorokhin, S.; Artemov, A.; Likhachev, D.; Novikov, A.; Starkov, E. Traffic Simulation: An Analytical Review. IOP Conf. Ser. Mater. Sci. Eng. 2020, 918, 012058. [Google Scholar] [CrossRef]
- Software per la Simulazione Dettagliata del Traffico|PTV Group. Available online: https://www.ptvgroup.com/it/soluzioni/prodotti/ptv-vissim/ (accessed on 12 May 2023).
- Yang, Z.; Ge, L. Research on Microscopic Traffic Simulation Model in VISSIM. DEStech Trans. Comput. Sci. Eng. 2018. [Google Scholar] [CrossRef] [PubMed]
- PTV, A.G. PTV VISSSIM 10 User Manual; PTV AG: Karlsruhe, Germany, 2018. [Google Scholar]
- Pontius, R.G.; Pacheco, P. Calibration and Validation of a Model of Forest Disturbance in the Western Ghats, India 1920–1990. GeoJournal 2004, 61, 325–334. [Google Scholar] [CrossRef]
- Guidelines for Applying Traffic Microsimulation Modeling. Available online: https://scholar.google.com/scholar?hl=it&as_sdt=0%2C5&q=Guidelines+for+Applying+Traffic+Microsimulation+Modeling+Software&btnG= (accessed on 2 May 2023).
- Gallelli, V.; Iuele, T.; Vaiana, R.; Vitale, A. Investigating the Transferability of Calibrated Microsimulation Parameters for Operational Performance Analysis in Roundabouts. J. Adv. Transp. 2017, 2017, 3078063. [Google Scholar] [CrossRef]
- Gallelli, V.; Guido, G.; Vitale, A.; Vaiana, R. Effects of Calibration Process on the Simulation of Rear-End Conflicts at Roundabouts. J. Traffic Transp. Eng. 2019, 6, 175–184. [Google Scholar] [CrossRef]
- Santos, L.P. Sensitivity Analysis of Vissim Driver Behavior Parameters on Safety of Simulated Vehicles and their Interaction with Operations of Simulated Traffic. In 92nd Annual Meeting of the Transportation Research Board; Transportation Research Board: Washington, DC, USA, 2013. [Google Scholar]
- Zlatkovic, M.; Ksaibati, K.; Haq, M.T. Final Report Wy-2002f Safety and Operational Analysis with Mitigation; University of Wyoming: Laramie, WY, USA, 2020. [Google Scholar]
- Ekneligoda, D.M. Study of the Performance of Passing and Climbing Lanes along Colombo—Rathnapura—Wellawaya—Batticolo Road Study of the Performance of Passing and Climbing Lanes along Colombo—Rathnapura—Wellawaya—Batticolo Road. Ph.D. Thesis, University of Moratuwa, Moratuwa, Sri Lanka, 2020. [Google Scholar]












| Peak Hour Traffic Flow (veh/h) | Weekday | Weekends |
|---|---|---|
| Ascendant morning | 480 | 410 |
| Ascendant afternoon | 380 | 320 |
| Descendant morning | 420 | 390 |
| Descendant afternoon | 400 | 420 |
| Vissim Typological Classification | Famas 9+1 Typological Classification | % dir. A | % dir. D |
|---|---|---|---|
| Car | motorcycles, cars, vans | 95 | 96 |
| Heavy Goods Vehicle—HGV | car trailers, trucks, articulated trucks, road trains | 4 | 3 |
| Bus | buses | 1 | 1 |
| Default Settings | Adopted Settings | |
|---|---|---|
| Simulation resolution; Time steps (seconds)/seconds of simulation | 10 | 10 |
| Simulation speed | 10 | 10 |
| Vehicular composition (Vehicular types; speed distributions desired; percentage of each vehicular class of total flow) | 100 (Car; 50 km/h; 0.980) 200 (HGV, 50 km/h; 0.020) | 100 (Car; 90 km/h; 0.950) 200 (HGV; 75 km/h; 0.040) 300 (Bus; 75 km/h; 0.010) |
| Vehicular Fleet | - | Anas control unit data |
| Vehicular classes | Car, HGV, Bus, Tram, Pedestrian, Bicycle | Car, HGV, Bus |
| Parameters | Description | Unit | Default Value |
|---|---|---|---|
| CC0 | Standstill distance | m | 1.50 |
| CC1 | Gap time distribution | s | 0.90 |
| CC2 | ‘Following’ distance oscillation | m | 4.00 |
| CC3 | Threshold for entering ‘Following’ | s | −8.00 |
| CC4 | Negative speed difference | m/s | −0.35 |
| CC5 | Positive speed difference | m/s | 0.35 |
| CC6 | Distance dependency of oscillation | 1/(ms) | 11.44 |
| CC7 | Oscillation acceleration | m/s2 | 0.25 |
| CC8 | Acceleration from standstill | m/s2 | 3.50 |
| CC9 | Acceleration at 80 km/h | m/s2 | 1.50 |
| Parameters | Unit | Default Values | |
|---|---|---|---|
| Own | Trailing Vehicle | ||
| Maximum deceleration | m/s2 | 3.50 | 2.50 |
| −1 m/s2 per distance | m | 80.00 | 80.00 |
| Accepted deceleration | m/s2 | 1.00 | 1.00 |
| Waiting time before diffusion | s | 60.00 | |
| Minimum clearance (front/rear) | M | 0.50 | |
| Safety distance reduction factor | - | 1.00 | |
| Maximum deceleration for cooperative braking | m/s2 | 2.50 | |
| Chi-Square ( ) Goodness of Fit | Weekday | Weekends |
|---|---|---|
| Ascendant morning | 11.1 | 12.9 |
| Ascendant afternoon | 13.0 | 7.8 |
| Descendant morning | 6.8 | 5.5 |
| Descendant afternoon | 8.9 | 6.8 |
| Distances (km) | Queuing Waiting Times (s) | |||
|---|---|---|---|---|
| Starting Point | Ending Point | AS | CS1 | CS2 |
| 42+400 | 42+800 | 0.08 | 0.05 | 0.05 |
| 42+800 | 44+400 | 4.93 | - | - |
| 44+400 | 44+900 | 4.38 | 1.25 | - |
| 44+900 | 46+300 | 15.61 | - | - |
| 46+300 | 47+900 | 20.29 | 3.99 | 3.99 |
| 47+900 | 49+000 | 8.82 | - | - |
Disclaimer/Publisher’s Note: The statements, opinions and data contained in all publications are solely those of the individual author(s) and contributor(s) and not of MDPI and/or the editor(s). MDPI and/or the editor(s) disclaim responsibility for any injury to people or property resulting from any ideas, methods, instructions or products referred to in the content. |
© 2023 by the authors. Licensee MDPI, Basel, Switzerland. This article is an open access article distributed under the terms and conditions of the Creative Commons Attribution (CC BY) license (https://creativecommons.org/licenses/by/4.0/).
Share and Cite
Del Serrone, G.; Cantisani, G.; Grilli, R.; Peluso, P. Effectiveness of Climbing Lanes for Slow-Moving Vehicles When Riding Uphill: A Microsimulation Study. Vehicles 2023, 5, 744-760. https://doi.org/10.3390/vehicles5030041
Del Serrone G, Cantisani G, Grilli R, Peluso P. Effectiveness of Climbing Lanes for Slow-Moving Vehicles When Riding Uphill: A Microsimulation Study. Vehicles. 2023; 5(3):744-760. https://doi.org/10.3390/vehicles5030041
Chicago/Turabian StyleDel Serrone, Giulia, Giuseppe Cantisani, Riccardo Grilli, and Paolo Peluso. 2023. "Effectiveness of Climbing Lanes for Slow-Moving Vehicles When Riding Uphill: A Microsimulation Study" Vehicles 5, no. 3: 744-760. https://doi.org/10.3390/vehicles5030041
APA StyleDel Serrone, G., Cantisani, G., Grilli, R., & Peluso, P. (2023). Effectiveness of Climbing Lanes for Slow-Moving Vehicles When Riding Uphill: A Microsimulation Study. Vehicles, 5(3), 744-760. https://doi.org/10.3390/vehicles5030041

