Phytoplankton Structure in a Coastal Region of the Eastern Entrance of the Gulf of California during La Niña 2022
Abstract
1. Introduction
2. Materials and Methods
2.1. Study Area
2.2. Sampling
2.3. Laboratory Analysis
2.4. Data Analysis
3. Results
3.1. Hydrography
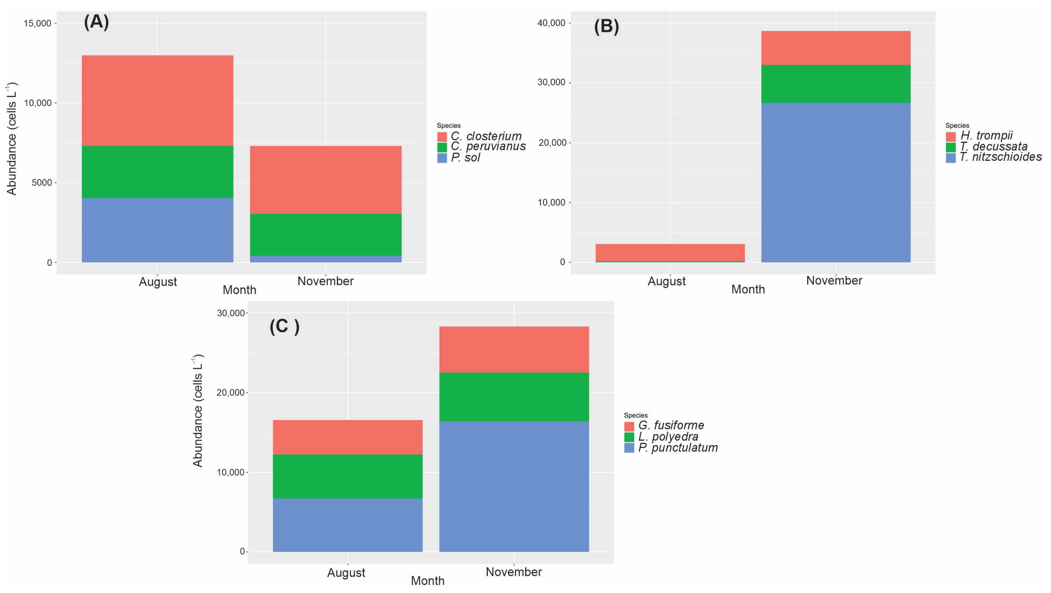
3.2. Phytoplankton Structure
4. Discussion
5. Conclusions
Supplementary Materials
Author Contributions
Funding
Institutional Review Board Statement
Informed Consent Statement
Data Availability Statement
Acknowledgments
Conflicts of Interest
References
- McPhaden, M.J.; Santoso, S.; Cai, W. Introduction to El Niño Southern Oscillation in a Changing Climate. In El Niño Southern Oscillation in a Changing Climate; McPhaden, M.J., Santoso, A., Cai, W., Eds.; Geophysical Monograph Series; American Geophysical Union: Washington, DC, USA, 2021; pp. 1–19. [Google Scholar]
- Conde, A.; Hurtado, M.; Prado, M. Phytoplankton response to a weak El Niño event. Ecol. Indic. 2018, 95, 394–404. [Google Scholar] [CrossRef]
- Álvarez-Borrego, S. Phytoplankton biomass and production in the Gulf of California: A review. Bot. Mar. 2012, 55, 119–128. [Google Scholar] [CrossRef]
- Sherman, K.; Hempel, G. Perspectives on regional seas and the large marine ecosystem approach. In The UNEP Large Marine Ecosystem Report: A Perspective on Changing Conditions in LMEs of the World’s Regional Seas; Sherman, K., Hempel, G., Eds.; United Nations Environment Programme: Nairobi, Kenia, 2009; pp. 3–22. [Google Scholar]
- Esqueda-González, M.C.; Ríos-Jara, E.; Galván-Villa, C.M.; Rodríguez-Zaragoza, F.A. Spatial analysis of bivalve mollusks diversity in Mazatlán Bay, Mexico. Mar. Biodivers. 2018, 48, 1943–1959. [Google Scholar] [CrossRef]
- Gutiérrez Rubio, Y.; Pérez-González, R.; Campos, E.; Arzola González, J.F. Estructura de tallas y relaciones biométricas del cangrejo roca Grapsus grapsus en las islas Lobos, Venados y Pájaros, Sinaloa, México. Hidrobiológica 2018, 28, 31–36. [Google Scholar] [CrossRef]
- Basu, S.; Mackey, K.R.M. Phytoplankton as Key Mediators of the Biological Carbon Pump: Their Responses to a Changing Climate. Sustainability 2018, 10, 869. [Google Scholar] [CrossRef]
- Gittings, J.A.; Raitsos, D.E.; Brewin, R.J.W.; Hoteit, I. Links between Phenology of Large Phytoplankton and Fisheries in the Northern and Central Red Sea. Remote Sens. 2021, 13, 231. [Google Scholar] [CrossRef]
- Bellacicco, M.; Pitarch, J.; Organelli, E.; Martinez-Vicente, V.; Volpe, G.; Salvatorre, M. Improving the retrieval of carbon-based phytoplankton biomass from Satellite Ocean Colour Observations. Remote Sens. 2020, 12, 3640. [Google Scholar] [CrossRef]
- Cortés-Altamirano, R.; Pasten-Miranda, N. Composición, abundancia y distribución del fitoplancton del estero Urias, Sin. Méx. IV. Período de invierno (1980). Rev. Latinoamer. Microbiol. 1985, 27, 123–133. [Google Scholar]
- Cortés-Altamirano, R.; Pasten-Miranda, N. Composición, abundancia y distribución del fitoplancton del estero Urias-Sin. Méx. I. Período primaveral 1980. Rev. Latinoamer. Microbiol. 1982, 24, 103–114. [Google Scholar]
- Cortés-Altamirano, R.; Pasten-Miranda, N. Composición, abundancia y distribución del fitoplancton del estero Urias, Sin. Méx. II. Período de Verano (1980). Rev. Latinoamer. Microbiol. 1982, 24, 207–308. [Google Scholar]
- Cortés-Altamirano, R.; Pasten-Miranda, N. Composición, abundancia y distribución del fitoplancton del estero Urias, Sin. Méx. III. Período de otoño (1980). Rev. Latinoamer. Microbiol. 1984, 26, 353–363. [Google Scholar]
- Cortés-Altamirano, R.; Páez-Osuna, F.; Guerrero-Galvan, S.R.; Esparza-Leal, H. Variación diurna del fitoplancton y los factores abióticos en un estanque camaronícola salobre en el sur de Sinaloa, México. Hidrobiológica 1995, 5, 45–55. [Google Scholar]
- Alonso-Rodríguez, R.; Páez-Osuna, F.; Cortés-Altamirano, R. Trophic conditions and stoichiometric nutrient balance in subtropical waters influenced by municipal sewage effluents in Mazatlán Bay (SE Gulf of California). Mar. Pollut. Bull. 2000, 40, 331–339. [Google Scholar] [CrossRef]
- Cortés-Altamirano, R. Observations of red tides in the Mazatlan, Sinaloa, Mexico. Cienc. Mar. 1987, 13, 1–19. [Google Scholar] [CrossRef]
- Cortés-Altamirano, R.; Núñez-Pasten, A.; Alonso-Rodríguez, R. Primer registro de una marea roja debida a Prorocentrum triestinum (Dinophyceae: Prorocentraceae) y su variación anual en la Bahía de Mazatlán, Sinaloa, México. In Estudios Sobre Plancton en México y el Caribe; Ríos-Jara, E., Juárez-Carrillo, E., Pérez-Peña, M., López-Uriarte, E., Robles-Jarero, E.G., Hernández-Becerril, D.U., Silva-Briano, M., Eds.; Sociedad Mexicana de Planctología y Universidad de Guadalajara: Guadalajara, Mexico, 2000; pp. 87–88. [Google Scholar]
- Hernández-Becerril, D.U.; Cortés-Altamirano, R.; Alonso-Rodríguez, R. The dinoflagellate genus Prorocentrum along the coasts of the Mexican Pacific. Hydrobiologia 2000, 418, 111–121. [Google Scholar] [CrossRef]
- Mee, L.D.; Cortés-Altamirano, R.; Garcia-de-la-Parra, L.M. Di-nitrogen fixation in a eutrophic tropical bay. Estuar. Coast. Shelf Sci. 1984, 19, 477–483. [Google Scholar] [CrossRef]
- Wolter, K.; Timlin, M.S. El Niño/Southern Oscillation behavior since 1871 as diagnosed in an extended multivariate ENSO index (MEI.ext). Int. J. Climatol. 2011, 31, 1074–1087. [Google Scholar] [CrossRef]
- Sanchez-Cabeza, J.A.; Herrera-Becerril, D.U.; Carballo, J.L.; Yáñez, B.; Álvarez-Sánchez, L.F.; Cardoso-Mohedano, J.G.; Ruiz-Fernández, A.C. Rapid surface water warming and impact of the recent (2013–2016) temperature anomaly in shallow coastal waters at the eastern entrance of the Gulf of California. Progr. Oceanogr. 2022, 202, 102746. [Google Scholar] [CrossRef]
- Cortés-Altamirano, R.; Alonso-Rodríguez, R.; Salas-de-León, D.A. Historical observations of algal blooms in Mazatlan Bay, Sinaloa, Mexico (1979–2014). PLoS ONE 2019, 14, e0210631. [Google Scholar] [CrossRef] [PubMed]
- Durán-Campos, E.; Salas-de-Léon, D.A.; Coria-Monter, E.; Monreal-Gómez, M.A.; Aldeco-Ramírez, J.; Quiroz-Martínez, B. ENSO effects in the southern gulf of California estimated from satellite data. Cont. Shelf Res. 2023, 266, 105084. [Google Scholar] [CrossRef]
- Pérez-Cruz, L. Hydrological changes and paleoproductivity in the Gulf of California during middle and late Holocene and their relationship with ITCZ and North American Monsoon variability. Quat. Res. 2013, 79, 138–151. [Google Scholar] [CrossRef]
- Portela, E.; Beier, E.; Barton, E.D.; Castro, R.; Godínez, V.; Palacios-Hernández, E.; Fiedler, P.C.; Sánchez-Velasco, L.; Trasviña, A. Water Masses and Circulation in the Tropical Pacific off Central Mexico and Surrounding Areas. J. Phys. Oceanogr. 2016, 46, 3069–3081. [Google Scholar] [CrossRef]
- Zamudio, L.; Leonardi, A.P.; Meyers, D.; O’Brien, J.J. ENSO and eddies on the southwest coast of Mexico. Geophys. Res. Lett. 2001, 28, 13–16. [Google Scholar] [CrossRef]
- Motaño-Ley, Y.; Soto-Jiménez, M.F.; Páez-Osuna, F. Seabed morphodynamics of a coastal lagoon of the Gulf of California. Environ. Fluid Mech. 2023, 23, 533–549. [Google Scholar] [CrossRef]
- Soto-Jiménez, M.F.; Páez-Osuna, F. Distribution and normalization of heavy metal concentrations in mangrove and lagoonal sediments from Mazatlán harbour (SE Gulf of California). Estuar. Coast. Shelf Sci. 2001, 53, 259–284. [Google Scholar] [CrossRef]
- Montaño-Ley, Y.; Peraza-Vizcarra, R.; Páez-Osuna, F. The tidal hydrodynamics and the implications for the dispersion of effluents on Mazatlán harbor: An urbanized shallow coastal lagoon. Water. Air Soil Pollut. 2008, 194, 343–357. [Google Scholar] [CrossRef]
- Edler, L.; Elbrachter, M. The Utermöhl Method for Quantitative Phytoplankton Analysis. In Microscopic and Molecular Methods for Quantitative Phytoplankton Analysis; Karlson, B., Cusack, C., Bresnan, E., Eds.; Intergovernmental Oceanographic Commission of UNESCO: Potsdam, Germany, 2010; pp. 13–20. [Google Scholar]
- Throndsen, J. The planktonic marine flagellates. In Identifying Marine Phytoplankton; Tomas, C.R., Ed.; Academic Press: San Diego, CA, USA, 1997; pp. 591–729. [Google Scholar]
- Throndsen, J.; Hasle, G.R.; Tangen, K. Norsk Kystplankton Flora; Almater Forlag As: Oslo, Norway, 2003; p. 341. [Google Scholar]
- Tomas, C.R. Identifying Marine Phytoplankton; Academic Press: San Diego, CA, USA, 1997; p. 858. [Google Scholar]
- Esqueda-Lara, L.; Hernández-Becerril, D.U. Dinoflagelados Microplanctónicos Marinos del Pacífico Central de México (Isla Isabel, Nayarit y Costas de Jalisco y Colima); Instituto de Ciencias del Mar y Limnología, Universidad Nacional Autónoma de México: Ciudad de México, Mexico, 2010; p. 206. [Google Scholar]
- Hernández-Becerril, D.U.; Barón-Campis, S.A.; Ceballos-Corona, J.G.A.; Alonso-Rodríguez, R.; Rincones-Reyes, K.M.; Becerra-Reynoso, R.T.; Arce-Rocha, G. Catálogo de Fitoplancton del Pacífico Central Mexicano, Cruceros “MareaR” (2009–2019) B/O “El Puma”; Instituto de Ciencias del Mar y Limnología, Universidad Nacional Autónoma de México: Ciudad de México, Mexico, 2021; p. 254. [Google Scholar]
- Licea, S.; Moreno, J.L.; Santoyo, H.; Figueroa, G. Dinoflageladas del Golfo de California; Universidad Autónoma de Baja California Sur, SEP-FOMES, PROMARCO: Baja California, Mexico, 1995; p. 165. [Google Scholar]
- Moreno, J.L.; Licea, S.; Santoyo, H. Diatomeas del Golfo de California; Universidad Autónoma de Baja California Sur, SEP-FOMES, PROMARCO: Baja California, Mexico, 1996; p. 273. [Google Scholar]
- Morquecho-Escamilla, L.; Reyes-Salinas, A.; Okolodkov, Y. Illustrated Taxonomic Guide of the Marine Dinoflagellate Collection (CODIMAR); Centro de Investigaciones Biológicas del Noroeste, S.C. La Paz: Baja California Sur, Mexico, 2016; p. 147. [Google Scholar]
- Ortiz-Burgos, S. Shannon-Weaver Diversity Index. In Encyclopedia of Estuaries; Kennish, M.J., Ed.; Encyclopedia of Earth sciences series; Springer: Dordrecht, The Netherlands, 2016; pp. 572–573. [Google Scholar]
- Francé, J.; Varkitzi, I.; Stanca, E.; Cozzoli, F.; Sanda, S.; Ungaro, N.; Vascotto, I.; Mozetic, P.; Glanda, N.Z.; Nincevic, Z.; et al. Large-scale testing of phytoplankton diversity indices for environmental assessment in Mediterranean sub-regions (Adriatic, Ionian and Aegean Seas). Ecol. Indic. 2021, 126, 107630. [Google Scholar] [CrossRef]
- Clarke, K.R.; Ainsworth, M.A. Method and linking multivariate community structure to environmental variables. Mar. Ecol. 1993, 92, 205–219. [Google Scholar] [CrossRef]
- Fall, L.M.; Olszewski, T.D. Environmental disruptions influence taxonomic composition of brachiopod paleocommunities in the Middle Permian Bell Canyon Formation (Delaware Basin, West Texas). PALAIOS 2010, 25, 247–259. [Google Scholar] [CrossRef]
- Legendre, P.; Legendre, L. Numerical Ecology; Elsevier: Amsterdam, The Netherlands, 2012; p. 1006. [Google Scholar]
- Mantel, N. The detection of disease clustering and a generalized regression approach. Cancer Res. 1967, 27, 209–220. [Google Scholar]
- Forcino, F.L.; Ritterbush, K.A.; Stafford, E.S. Evaluating the effectiveness of the Mantel test and Procrustes randomization test for exploratory ecological similarity among paleocommunities. Palaeogeogr. Palaeoclimatol. Palaeoecol. 2015, 426, 199–208. [Google Scholar] [CrossRef]
- Peng, P.; Bi, R.; Sachs, J.P.; Shi, J.; Yifei Luo, Y.; Chen, W.; Huh, C.A.; Yu, M.; Cao, Y.; Wang, Y.; et al. Phytoplankton community changes in a coastal upwelling system during the last century. Glob. Planet. Chang. 2023, 224, 104101. [Google Scholar] [CrossRef]
- Thompson, P.A.; Bonham, P.; Thomson, P.; Rochester, W.; Doblin, M.; Waite, A.; Richardson, A.; Rousseaux, C. Climate variability drives plankton community composition changes: The 2010–2011 El Niño to La Niña transition around Australia. J. Plankton Res. 2015, 37, 966–984. [Google Scholar] [CrossRef]
- Masotti, I.; Moulin, C.; Alvain, S.; Bopp, L.; Tagliabue, A.; Antoine, D. Large-scale shifts in phytoplankton groups in the Equatorial Pacific during ENSO cycles. Biogeosciences 2011, 8, 539–550. [Google Scholar] [CrossRef]
- Kobayashi, F.; Takahashi, K. Distribution of diatoms along the equatorial transect in the western and central Pacific during the 1999 La Niña conditions. Deep Sea Res. II 2002, 49, 2801–2821. [Google Scholar] [CrossRef]
- Cortés-Altamirano, R.; Núnez-Pasten, A. Registros de mareas rojas en la Bahía de Mazatlán, Sin, México (1985–1990). Rev. Inv. Cient. 1991, 2, 44–54. [Google Scholar]
- Gárate-Lizarraga, I.; Band-Schmidt, C.; Cervantes-Duarte, R.; Escobedo-Urías, D. Mareas rojas de Mesodinium rubrum (Lohmann) Hamburger y Buddenbrock en el Golfo de California (Invierno de 1998). Hidrobiológica 2022, 12, 15–20. [Google Scholar]
- Williams, J.A. Blooms of Mesodinium rubrum in Southampton Water—Do they shape mesozooplankton distribution? J. Plankton Res. 1996, 18, 1685–1697. [Google Scholar] [CrossRef]
- Mee, L.D.; Espinoza, M.; Díaz, G. Paralytic shellfish poisoning with Gymnodinium catenatum red tide on the Pacific coast of Mexico. Mar. Environ. Res. 1986, 19, 77–92. [Google Scholar] [CrossRef]
- Ramírez-Camarena, C.; Cortés-Altamirano, R.; Muñoz-Cabrera, L. Mareas rojas provocadas por el dinoflagelados Gymnodinium catenatum (Gymnodiniales: Gymnodiniaceae) en la bahía de Mazatlán, Sin., México, en 1997. Rev. Biol. Trop. 1999, 47, 77–80. [Google Scholar]
- Cortés-Altamirano, R. Abundancia de Oscillatoria erythraea (cianobacteria planctónica marina) en el litoral de Mazatlán, Sin., México. Rev. Latinoamer. Microbiol. 1988, 30, 169–176. [Google Scholar]
- Gilmartin, M.; Revelante, N. The phytoplankton characteristics of the barrier island lagoons of the Gulf of California. Estuar. Coast. Mar. Sci. 1978, 7, 29–47. [Google Scholar] [CrossRef]
- Gárate-Lizárraga, I.; Siqueiros-Beltrones, D.; Lechuga-Deveze, C. Structure of the Microphytoplankton Associations of the Central Region of the Gulf of California in Autumn 1986. Cienc. Mar. 1990, 16, 131–153. [Google Scholar] [CrossRef][Green Version]
- Hernández-Becerril, D.U. Phytoplankton structure in the Gulf of California. Cienc. Mar. 1985, 11, 23–38. [Google Scholar] [CrossRef]
- Goebel, N.L.; Edwards, C.A.; Zehr, J.P.; Follows, M.J.; Morgan, S.G. Modeled phytoplankton diversity and productivity in the California Current System. Ecol. Model. 2013, 264, 37–47. [Google Scholar] [CrossRef][Green Version]
- Motwani, G.; Raman, M.; Matondkar, P.; Parab, S.; Pednekar, S.; Solanki, H. Comparison between phytoplankton biodiversity and various indices for winter monsoon and inter monsoon periods in north-eastern Arabian Sea. Indian J. Mar. Sci. 2014, 43, 1513–1518. [Google Scholar]
- Latasa, M.; Scharek, R.; Vidal, M.; Vila-Reixach, G.; Gutiérrez-Rodríguez, A.; Emelianov, M.; Gasol, J.M. Preferences of phytoplankton groups for waters of different trophic status in the northwestern Mediterranean Sea. Mar. Ecol. Prog. Ser. 2010, 407, 27–42. [Google Scholar] [CrossRef]
- Durán-Campos, E.; Coria-Monter, E.; Monreal-Gómez, M.A.; Salas-de-León, D.A. Impact of “the Blob” 2014 and 2019 in the sea surface temperature and chlorophyll-a levels of the Gulf of California: A satellite-based study. Lat. Am. J. Aquat. Res. 2022, 50, 479–491. [Google Scholar] [CrossRef]
- Gómez-Figueroa, J.A.; Rendón-von Osten, J.; Poot-Delgado, C.A.; Dzul-Caamal, R.; Okolodkov, Y.B. Seasonal Response of Major Phytoplankton Groups to Environmental Variables along the Campeche Coast, Southern Gulf of Mexico. Phycology 2023, 3, 270–279. [Google Scholar] [CrossRef]





Disclaimer/Publisher’s Note: The statements, opinions and data contained in all publications are solely those of the individual author(s) and contributor(s) and not of MDPI and/or the editor(s). MDPI and/or the editor(s) disclaim responsibility for any injury to people or property resulting from any ideas, methods, instructions or products referred to in the content. |
© 2024 by the authors. Licensee MDPI, Basel, Switzerland. This article is an open access article distributed under the terms and conditions of the Creative Commons Attribution (CC BY) license (https://creativecommons.org/licenses/by/4.0/).
Share and Cite
Durán-Campos, E.; Salas-de-León, D.A.; Coria-Monter, E.; Monreal-Gómez, M.A.; Quiroz-Martínez, B. Phytoplankton Structure in a Coastal Region of the Eastern Entrance of the Gulf of California during La Niña 2022. Oceans 2024, 5, 647-661. https://doi.org/10.3390/oceans5030037
Durán-Campos E, Salas-de-León DA, Coria-Monter E, Monreal-Gómez MA, Quiroz-Martínez B. Phytoplankton Structure in a Coastal Region of the Eastern Entrance of the Gulf of California during La Niña 2022. Oceans. 2024; 5(3):647-661. https://doi.org/10.3390/oceans5030037
Chicago/Turabian StyleDurán-Campos, Elizabeth, David Alberto Salas-de-León, Erik Coria-Monter, María Adela Monreal-Gómez, and Benjamín Quiroz-Martínez. 2024. "Phytoplankton Structure in a Coastal Region of the Eastern Entrance of the Gulf of California during La Niña 2022" Oceans 5, no. 3: 647-661. https://doi.org/10.3390/oceans5030037
APA StyleDurán-Campos, E., Salas-de-León, D. A., Coria-Monter, E., Monreal-Gómez, M. A., & Quiroz-Martínez, B. (2024). Phytoplankton Structure in a Coastal Region of the Eastern Entrance of the Gulf of California during La Niña 2022. Oceans, 5(3), 647-661. https://doi.org/10.3390/oceans5030037

