Abstract
This scoping review paper provides an overview of the evolution, the current stage, and the future prospects of fracture studies on composite laminates. A fundamental understanding of composite materials is presented by highlighting the roles of the fiber and matrix, outlining the applications of various synthetic fibers used in current structural sectors. Challenges posed by interlaminar delamination, one of the critical failure modes, are highlighted. This paper systematically discusses the fracture behavior of these laminates under mixed-mode and complex loading conditions. Standardized fracture toughness testing methods, including Mode I Double Cantilever Beam (DCB), Mode II End-Notched Flexure (ENF) and Mixed-Mode Bending (MMB), are initially discussed, which is followed by a decade-wide chronological analysis of fracture mechanics approaches. Key advancements, including toughening mechanisms, Cohesive Zone Modeling (CZM), Virtual Crack Closure Technique (VCCT), Extended Finite Element Method (XFEM) and Digital Image Correlation (DIC), are analyzed. The review also addresses recent trends in fracture studies, such as bio-inspired architecture, self-healing systems, and artificial intelligence in fracture predictions. By mapping the trajectory of past innovations and identifying unresolved challenges, such as scale integration, dataset standardization for AI, and manufacturability of advanced architectures, this review proposes a strategic research roadmap. The major goal is to enable unified multi-scale modeling frameworks that merge physical insights with data learning, paving the way for next-generation composite laminates optimized for resilience, adaptability, and environmental responsibility.
1. Introduction
Composite laminates have emerged as structural materials in multiple sectors, such as aerospace, automotive, marine, and construction, mainly due to their superior strength-to-weight ratio, tailorability, and durability. It can be noted that their performance is often compromised by fracture-related mechanisms, specifically, interlaminar delamination. This remains a critical and challenging failure mode. This is in contrast to metals, which typically undergo plastic yielding before fracture, making them resistant to fracture, a decisive factor in their use.
Among composite systems, fiber-reinforced composites (FRCs) such as glass (GFRP), carbon (CFRP), aramid (ARFP), and basalt (BFRP), which are embedded in a polymer matrix, are extensively applied. The contribution of fibers includes provision of stiffness and strength along with the ability to carry load. The matrix contributes by binding the fibers together, helping transfer stress and protecting against environmental and mechanical damage. Studies on FRCs are limited to synthetic materials that have high mechanical properties for their structural applications. Such synthetic FRCs utilize man-made fibers that provide higher strength, stiffness, and durability. One such FRC used widely in the past decade is Glass Fiber-Reinforced Polymer (GFRP). GFRP employs E-glass or S-glass in an epoxy or polyester matrix and is applicable in wind turbine blades, boat hulls, or other marine structural components. Their usage is attributed in particular to their cost-effectiveness and corrosion resistance [1]. Carbon Fiber-Reinforced Polymer (CFRP) composites are fabricated using polyacrylonitrile (PAN)-based carbon fibers in matrices such as epoxy or vinyl ester. They are known for their exceptional stiffness-to-weight ratio and are utilized extensively in aerospace structures and sports equipment [2]. The outcomes and applicability of such composites have changed the course of material science, providing futuristic ideologies to produce products exhibiting superior mechanical properties, with minimal resource usage, ensuring higher durability. Aramid Fiber-Reinforced Polymer (AFRP) composites exhibit extensive impact and ballistic resistance, making them suitable for protective structures such as armors and helmets. These properties are attributed to the incorporation of high-toughness fibers such as Kevlar or Twaron in epoxy or other thermoplastic matrices [3]. Basalt Fiber-Reinforced Polymer (BFRP) composites incorporate basalt fibers and are combined with epoxy and polyester matrices. They exhibit good thermal resistance and are applicable in construction retrofitting applications. Such synthetic fiber composites offer requisite mechanical properties; however, they come with environmental and recyclability limitations [4].
In multiple engineering applications, including aerospace structures, automotive body panels, wind turbine blades, ship hulls, or civil infrastructure, the components are exposed to complex, multidirectional loading conditions. Unlike metals, which are isotropic, FRCs are inherently anisotropic. This infers that the strength and stiffness of FRCs are highest along the direction of the fibers. If these fibers are aligned only in one direction, the performance of the composite will be good along that axis and prone to failure in the transverse directions [5]. In order to meet specific strength and stiffness requirements in multiple directions, such FRCs are fabricated in the form of laminated composites. In these fiber laminated composites (FLCs), the fiber layers, also called plies, are layered one above the other in controlled orientations such as 0°, 45°, 90°, and so on. These plies are consolidated to form panels [6].
However, despite the design flexibility, laminated composites are prone to delamination. Delamination is a mode of failure where the layers separate due to weak interlaminar bonding, mainly occurring due to impact, fatigue, or high interlaminar shear stresses. Furthermore, laminated composites do not yield visibly before failure. This makes the delamination a critical and, most of the time, undetectable flaw [7]. Moreover, the natural fiber laminates exhibit variable fiber properties and moisture sensitivity, thus leading to uneven bonding and unpredictable crack propagation [8].
The interlaminar behavior of laminates is highly influenced by factors such as fiber–matrix adhesion, layer orientation, fiber surface treatment, and manufacturing quality [9]. The anisotropy and heterogeneity of laminates add further complexity. Their behavior is classified as mixed-mode loading, where Mode I (opening), Mode II (sliding), and Mixed Mode I/II are of particular importance, as they may occur simultaneously. These modes represent real-world service conditions, such as bending, impact, and torsion. To assess such delamination resistance, various standardized fracture toughness tests have been introduced in the past century. This includes Double Cantilever Beam (DCB) tests for Mode I, End-Notched Flexure (ENF) tests for Mode II, and Mixed-Mode Bending (MMB) tests for combined Mode I/II, amongst other testing methods. It is observed that the fracture response of fiber laminates is often non-linear and anisotropic, and possesses high variability due to the inherent heterogeneity of fibers and laminate structures [8]. To evaluate such behavior, standardized fracture toughness tests such as DCB, ENF, and others have been accompanied by numerical approaches such as the Virtual Crack Closure Technique (VCCT), Cohesive Zone Modeling (CZM), Extended Finite Element Method (XFEM), and Phase-Field Models. However, the challenges remain, as the experimental tests are sensitive to setup and interpretation, while the numerical models often require heavy calibration and cannot predict the complex fracture paths.
Several reviews on composite fracture mechanics exist. They often provide descriptive summaries of test methods and numerical techniques. Recent advances such as Digital Image Correlation (DIC), self-healing resins, bio-inspired architectures, and AI-driven predictive modeling are being discussed.
Accordingly, there are three main objectives of the review. One is to critically trace the evolution of fracture behavior studies in laminated composites, from classical Linear Elastic Fracture Mechanics (LEFM) to modern computational and experimental techniques. Another is to compare and evaluate the standardized fracture testing methods and predictive models, highlighting their applicability, strengths, and limitations under realistic loading conditions. The final one is to identify the emerging trends and future pathways, including sustainability-driven materials and data-driven fracture predictions while assessing their feasibility and implementation challenges [10,11].
2. Review Methodology
This scoping review was conducted in accordance with the PRISMA 2020 framework guidelines. This enabled a transparent and systematic process for identifying, screening, and selecting the literature that was relevant to the main objective of this study. This scoping review was conducted following a pre-registered protocol, which was made publicly available via the Open Science Framework (OSF) Registries.
The PRISMA flowchart is presented in Figure 1. The literature was screened on the basis of inclusion–exclusion criteria. The inclusion criteria were based on multiple fracture-related studies such as laminated composite materials, fracture testing methods, fracture toughness evaluation, whether original experimental work and numerical results were reported, and whether test standards were followed. Studies that did not address fracture behavior, focused solely on mechanical strength, or lacked methodological details were excluded.
Figure 1.
PRISMA flowchart.
Initially, 396 records were retrieved, amongst which 66 were removed before screening due to duplication and lack of fracture relevance. In the screening section, 132 records were excluded based on irrelevance, methodological limitations, lack of data, and review-only studies. Then, 198 full-text articles were assessed for their eligibility based on the objective of this study, contributing to fracture toughness studies, standards, and major motivational studies leading to standardization. Amongst these, 17 articles were excluded mainly due to repetitive methodology. A total of 181 records were included in the final synthesis, out of which 172 were original research articles and 9 were standardized test methods.
3. Evolution of Fracture Testing in Laminated Composites
3.1. Foundation—From Griffith to Anisotropic Theories
The foundation for fracture mechanics was laid in the 1920s by A.A. Griffith [12]. He introduced the concept of energy based-crack propagation. This concept was originally intended for brittle materials such as glass. The work presented Equation (1) to evaluate the strain energy release rate G for a center-cracked plate, where is the applied stress, a is the crack length, and E is the modulus of elasticity.
This was also known as the energy balance approach, in which Griffith proposed that a crack grows when , where is a material property known as the critical fracture energy. This equation was applicable only to brittle materials and did not account for any anisotropy or plasticity.
While Griffith’s approach provided the first quantifiable link between applied stress, crack length, and fracture resistance and the introduction of G, it was strictly valid only for ideally brittle, isotropic solids. It further assumed a perfectly sharp crack, thus neglecting any form of energy dissipation mechanisms such as fiber bridging or matrix yielding. This motivated later extensions that incorporated plastic deformations and anisotropy to handle real engineering materials.
Westergaard (1939) performed a mathematical study to develop complex stress functions in order to solve the crack problems in linear elastic materials [13]. The study considered a centrally cracked infinite plate under uniform tensile stress, providing a 2D context (plane stress and plane strain) to the problem. The complex stress function , where , was introduced by Westergaard. He proposed that under Mode I loading conditions, that is, tensile stress normal to the crack ( and ), in a 2D infinite plate with a crack, the stress can be provided by Equation (2):
While this study by Westergaard introduced a mathematically rigorous framework to describe the near-tip stress fields, thus enabling analytical Mode I solutions, the limitation was the unavailability of experimental validation along with the utilization of idealized geometry. This study set the stage for Irwin to initiate the concept of the stress intensity factor and the future development of Linear Elastic Fracture Mechanics (LEFM). This allowed future researchers to define the stress intensity factor (SIF).
During the 1960–1970s, Irwin extended Griffith’s theory to include plastic work and stress intensity factors. Irwin also recognized that stress singularities at the crack tip could further be described using a parameter called the stress intensity factor , represented as Equation (3) [14]. Here, K describes how stress behaves near the tip of a crack in an elastic body.
Irwin further went on to link K and G for isotropic materials using Equation (4).
Here, represents the modulus of elasticity for plane stress and is represented by Equation (5), where is Poisson’s ratio.
This unified the energy-based theory of Griffith and the stress-based theory of Irwin. However, there was a need to incorporate the concept of anisotropy, as the composites exhibited an anisotropic nature. The laminates exhibited different stiffness values in the fiber and transverse directions, leading to complex failure mechanisms, including delamination, fiber bridging, and matrix cracking. Hence, the isotropic formulation presented in Equation (3) could not be considered for laminates. This necessitated the development of orthotropic elasticity theories such as those from Lekhnitskii and Sih in the next decade. This also facilitated laminate-specific fracture tests to address interlaminar behavior.
Early fracture mechanics formulations provided a rigorous mathematical basis for analyzing crack initiation and propagation and also remain fundamental to modern composite fracture modeling.
During 1960–1970, material science-based studies and industries utilized laminated composites. These laminated composites were direction-dependent, either anisotropic or orthotropic in nature. Since the existing studies on fracture mechanics were based on isotropic conditions, assuming the same modulus E in all directions, they did not account for directional stiffness and interface-driven failure [15]. Irwin’s stress intensity factor (SIF) framework was extended to orthotropic and anisotropic materials.
This shift recognized the need to adapt fracture mechanics to real-world composite behavior. However, early adaptations still assumed ideal, defect-free laminates and ignored manufacturing-induced imperfections. This set the stage for anisotropic elasticity theories and interlaminar-specific fracture models.
Lekhnitskii (1963) introduced a mathematical framework to solve 2D elastic problems in anisotropic materials [16]. He derived the stress and displacement fields around cracks in anisotropic media and proposed a formula to evaluate SIFs and energy release in orthotropic plates. The Lekhnitskii formalism, as it is widely known, is presented in Equation (6), where z and are complex coordinates and f and g are complex stress functions dependent on the material’s stiffness matrix. The equation formulates the stress around the crack tip.
Here, and are complex functions used to solve the 2D anisotropic elasticity condition. However, since the stress component is a real-valued function, we considered the real part (Re) of the complex expression, thus enabling the computation of SIFs in anisotropic materials.
This enabled analytical determinations of SIFs in orthotropic laminates, providing a theoretical path to incorporate fiber orientation and stiffness mismatch. This hence became the mathematical backbone for mixed-mode delamination models and computational VCCT/CZM formulations.
During the late 1960s [17], G.C. Sih extended the scalar stress intensity factor concept by Irwin to a tensor form ( and ), including multiple fracture modes (). Here, Mode I was considered as opening or tensile mode, Mode II as sliding or in-plane shear, and Mode III as tearing or out-of-plane shear. Considering the anisotropic or orthotropic materials, these modes are often coupled. This formulation led to the possibility of analyzing the modes as interacting components of the fracture mechanism. He further derived an expression for energy release rate, considering the multi-mode formulation as presented in Equation (7) [18].
Here, is the compliance matrix which was derived from anisotropic elasticity theory. This equation facilitated the understanding of the directional dependence of material behavior and the interaction between Mode I and Mode II fracture modes. It could be noted that in isotropic materials, the matrix simplifies to diagonal terms, while in anisotropic composites, the off-diagonal values represent the Mode I interaction due to material directionality. The study facilitated a tensorial approach that could handle mode coupling, which was critical for real service conditions. However, there is high dependency on accurate materials’ compliance data, which is difficult to obtain in hybrid composites, with no direct validation with fracture tests at that time. This opened the door to predictive models for mixed-mode delamination, later formalized in ASTM Mixed-Mode Bending (MMB) standards.
Erdogan et al. [19] studied cracks in bi-material layered systems including cracks along interfaces and cracks perpendicular or oblique to the interfaces. He extended Irwin’s work to interface cracks of dissimilar materials, leading to a concept called oscillatory SIFs. The elastic mismatch leads to oscillatory singularity at the crack tip and the stress directions do not remain constant. He proposed that when a crack lies along the interface between two dissimilar elastic materials, the traditional real-valued stress intensity factor K is insufficient, as indicated in Equation (8).
Here, represents the opening-mode (Mode I) behavior and , the sliding- or shear-mode (Mode II) behavior. This SIF provided the oscillatory stress fields near the crack tip, a property that cannot be observed in homogeneous materials. The results indicated that the near-tip fields oscillated as a function of distance, thus leading to the understanding that displacements are no longer single-valued at the crack tip. When Mode I and Mode II fracture patterns blend, the crack propagation does not remain constant because it is constantly exposed to changing local stress-field orientations irrespective of external loading conditions. This can lead to an unstable crack path, causing the crack to move out of the interface. This movement occurs when the energy release rate in the interface direction becomes less favorable when compared to adjacent material. This facilitates the development of an oscillatory stress field near the tip, generating local tensile stresses that allow the crack to grow into one of the materials, preferably the weaker one. This failure pattern is termed "delamination cracks" when laminates are considered and "matrix fiber debonding" when fiber-reinforced polymers are considered [20].
3.2. Early Fracture Testing and Criteria for Laminates
While isotropic fracture mechanics provided the mathematical tools to quantify crack growth, it did not aptly capture anisotropic stiffness effects, mode coupling, or interface delamination. Early experimental studies indicated that matrix cracking, fiber bridging, ply splitting, and delamination could occur simultaneously under service loading. This observation created an urgent need for a dedicated fracture test capable of isolating specific fracture modes for controlled measurement of fracture toughness, incorporating realistic laminate configurations to reflect service conditions, and providing repeatable and standardized procedures that allow comparison across the material stacking sequences and manufacturing routes.
Furthermore, initial adaptations of metallic fracture tests were inadequate because they assumed bulk material homogeneity and failed to reproduce the through-thickness stresses relevant to delamination. This led to the development of laminate-specific mode-isolated tests, notably DCB for Mode I opening, ENF for Mode II shear, and the MMB test to combine both. This allowed for direct quantification of interlaminar fracture toughness, enabling correlation with material architecture and processing parameters. However, even pure mode tests often experience mode contamination, with results varying significantly with operator technique, data reduction method, and specimen preparation. This not only established the framework for certification testing but also highlighted the need for more advanced experimental numerical hybrids to capture real-world complexity.
3.2.1. Failure Prediction Criteria in Laminates
Composite laminates exhibit anisotropic strength characteristics which make the prediction of their failure a complex problem. Among the widely used failure theories are Tsai–Hill and Tsai–Wu criteria, which have become prominent in assessing failure initiation under multi-axial stress states in fiber-reinforced composites.
The Tsai–Hill criterion is a quadratic, energy-based theory that is derived from Hill’s von Mises yield criterion for anisotropic materials. It assumes symmetry in strength characteristics, meaning that the material behaves similarly in tension and compression. This theory is specifically useful for unidirectional fiber composites subjected to in-plane stress conditions and presented mathematically using Equation (9), where longitudinal stress in the fiber direction () and transverse stress in the matrix direction () is correlated with in-plane shear stress () subjected to longitudinal tensile or compressive strength X), transverse tensile or compressive strength (Y), and in-plane shear strength (S). It can be noted that a value greater than or equal to 1 indicates failure. This criterion essentially predicts the onset of failure based on the total strain energy in the composite particularly due to combined stresses.
The Tsai–Hill criterion is straightforward to implement, useful for unidirectional composites under in-plane loading, and also provides a quick, conservative estimate of first ply failure. However, a key limitation to this criterion is its inability to distinguish between tension and compression strength in any given direction. This can be problematic for composites with highly asymmetric behavior [21]. Thus, it remains a simple design tool in preliminary sizing but has been supplanted by fracture mechanics approaches for damage tolerance assessment.
The Tsai–Wu criterion further extended the quadratic failure theory by introducing interaction terms and asymmetry in the material’s strength parameters, thus allowing for a better representation of real-world composite behavior. This criterion accounts for different strengths in tension and compression in each principal material direction and includes stress interaction effects through experimentally determined coefficients. With being the linear strength coefficient, related to asymmetry in tension/compression, being the second-order tensor coefficient that defines the interactions between stress components, and and being the components of the stress tensor, the general form of the Tsai–Wu criterion is given by Equation (10).
While this captures strength asymmetry in each principal material direction, which is more adaptable to real-world laminate behavior, the limitations of Tsai–Wu theory include the requirement of extensive experimental data to determine the interaction coefficient and the inability to predict failure modes [22]. This criterion is more realistic than Tsai–Hill for multi-axial loading, but its reliance on large datasets and lack of fracture mode resolution limit its use in certification.
In 1974, G. C. Sih [23] proposed the concept of strain energy density (SED) as an alternative to classical K- or G-based approaches for studies on fracture criteria. It was popularly known as Sih’s SED criterion and was used to determine when a crack will propagate and the direction in which it will grow. He defined that SED, also represented as S, is the energy available per unit volume around the crack tip under mixed-mode crack propagation. He mentioned that a crack will initiate and grow in the direction where and . Here, is the critical angle for crack propagation, thus providing magnitude as well as direction of the crack growth, which the traditional K or G approaches could not fully address under mixed-mode loading. This work thus facilitated mixed-mode delamination studies in composite laminates, specifically where fibers and matrices created direction-dependent behavior [24].
In homogeneous materials, cracks propagate in a straight-line pattern under Mode I or Mode II loading. However, in composite or laminated materials, specifically when a crack lies on the interface of two dissimilar materials, the straight-line pattern cannot be considered [15]. This methods predicts crack detection, which is absent in pure K or G formulations, but requires accurate determination of near-tip stress fields. This is challenging in heterogenous composites, which are sensitive to measurement error. This provided a pathway for the mixed-mode delamination analysis and further inspired computational crack path prediction tools, mainly VCCT and XFEM frameworks.
3.2.2. Applications of LEFM to Laminated Composites
While Irwin’s SIF-based approach formed the basis for the introduction of Linear Elastic Fracture Mechanics (LEFM) for both isotropic and orthotropic composites, it also facilitated the groundwork for ASTM standards like DCB (Mode I), ENF (Mode II) and Mixed-Mode Bending. This provided a direct, experimentally verifiable link between analytical fracture mechanics and laminate-specific toughness testing.
LEFM is the theoretical framework that is used to describe crack initiation and propagation in materials behaving elastically to the point of fracture. The approach assumes that the material follows Hooke’s law and the plastic zone at the crack tip is small compared to the crack size as well as the specimen dimension. It further discusses the stress concentration at the crack tip of an elastic material caused by a crack. In an infinite plate, with a sharp crack under Mode I loading, considering as the stress components, r as the radial distance from the crack tip, as the angular position around the tip, and, as the angular stress functions, the stress intensity factor (SIF) at the crack tip can be evaluated using Equation (11). Figure 2 presents the stress behavior versus distance from the crack tip considering LEFM in the Mode I failure condition [25].
Figure 2.
Stress versus distance from crack tip for Mode I failure.
The concept of stress singularity proposed that as r, the radial distance from the crack tip, tends to 0, at the crack tip, stresses become infinitely large [26]. This concept of stress singularity at the crack tip is amongst the central ideas in LEFM. The term indicates that, at the very tip of a sharp crack (r = 0), the calculated stress becomes infinite and is termed as square-root singularity because stress is inversely proportional to in Equation (12). Figure 3 represents the coordinate system in a plane normal to the crack front. The near-tip stress field is expressed in polar coordinates, as this formulation naturally accommodates the stress singularity behavior.
Figure 3.
The coordinate system in a plane normal to the crack front.
A certain factor to be considered while visualizing stress with respect to the crack tip is that as r decreases, that is, as we move closer to the crack tip, the stress increases and becomes theoretically infinite. However, considering real-world applications, plasticity or microcracking leads to blunting of the tip, thus making the stress finite [27]. Irrespective of its limitation in real-world scenarios, the singularity concept is considered in the LEFM approach as it provides a conservative estimate and allows for the definition of SIF, which in turn correlates with experimental results [28].
The basic modes of crack-tip deformation are Mode I (opening), Mode II (sliding), and Mode III (tearing), in which most of the LEFM analyses are performed in Mode I [29]. The K is a critical parameter that characterizes the intensity of the stress field near the crack tip using Equation (13).
Here, Y is the geometry factor, which depends on the crack and the specimen geometry, is the applied nominal stress, and a is the crack length. The approach mentions that when K reaches a critical value (), crack propagation occurs, and this is termed as fracture toughness. Fracture toughness is a material property and is defined as the resistance of a material to crack propagation. Mode partitioning enabled targeted testing and material development for specific service loading conditions. However, pure mode separation is difficult to achieve experimentally in laminates, while mixed-mode contamination can bias toughness values. This encouraged the use of hybrid experimental–numerical methods to improve accuracy.
3.2.3. Effect of Structural Discontinuities on Fracture Behavior
Composite laminates often have structural discontinuities such as holes, notches, or cutouts, which act as stress concentrators. The stress concentration around these features is strongly influenced by material anisotropy. In isotropic materials, the stress distribution around the notch follows well-established analytical solutions, similar to those developed by Inglis and Kirsch [30]. For orthotropic and anisotropic materials, the stress field is more complex and direction-dependent. The solutions in this case often involve generalized complex potential functions.
Furthermore, notch sensitivity in laminated composites is governed by fiber orientation, stacking sequence, and interfacial toughness. Variations in these parameters can lead to significant differences in crack initiation thresholds and delamination growth rates. The analytical solutions provide an initial point in understanding stress concentration effects and can guide ply-drop design and hole reinforcement strategies. However, many analytical models assume ideal ply alignment and perfect bonding and fail to capture localized defects, manufacturing variability, or the complex 3D stress state around the discontinuities. This limitation has led to the adaptation of full-field experimental methods and high-fidelity finite element models to evaluate stress concentration and its role in delamination initiation, especially under mixed-mode loading.
3.2.4. Influence of Matrix Type on Interlaminar Fracture Toughness
The choice of matrix significantly influences the delamination resistance and the mechanisms of failure. Epoxy resins offer high stiffness but are brittle in nature, while thermoplastics such as polyether ether ketone (PEEK) provide ductility and damage tolerance. Epoxy resins are commonly used due to their high stiffness and excellent adhesion to fibers, with values between 150 and 300 J/m2 and values in the range of 500–900 J/m2 for various systems [31]. Thermoplastic matrices offer enhanced toughness attributable to their ductility and energy absorption, with values exceeding 1000 J/m2 and values over 1500 J/m2. They also exhibit improved moisture resistance alongside chemical resistance [32]. Vinyl ester resins are most suitable to balance mechanical strength and environmental resistance. The ranges between 250 and 400 J/m2, again with improved chemical and moisture resistance [33]. Multiple studies in the recent past have explored bio-based and self-healing resins for sustainable composites. A comparative analysis of such resins indicates that the fracture energy and mode-mixity response vary substantially with the matrix type. Self-healing resins incorporate microcapsules that have indicated up to 30–60% recovery in fracture toughness post-healing cycles [34]. Thermoplastics present a superior fracture toughness in Mode I as compared to thermosets, mainly due to higher ductility and energy absorption. Self-healing resins have demonstrated promising partial toughness recovery without manual repair. However, thermoplastics can be harder to process at scale for aerospace tolerances, thus making these systems weaker in terms of mechanical properties after repeated cycles. This study indicated that matrix selection must balance stiffness, toughness, processability, and environmental resistance for target applications.
3.2.5. Influence of Manufacturing Process on Delamination Resistance
Furthermore, the manufacturing process of composite laminates plays a critical role in determining the quality of fiber–matrix bonding, the presence of defects including voids and resin-rich zones, and residual stress development. These significantly influence the fracture behavior, specifically interlaminar delamination. Autoclave curing is a high-performance fabrication method that is primarily used in aerospace-grade carbon fiber composites. As the laminates are fabricated under a controlled pressure of 6–8 bar and 180–200 °C in an autoclave, they result in superior consolidation, thus enhancing interlaminar fracture toughness [35]. Hand layup is a manual, low-cost method of fabrication that is often used for prototypes. While this method offers design flexibility, it is subject to resin-rich zones, variable volume fractions, and increased void content. This negatively affects the fracture toughness [36]. Resin Transfer Molding (RTM) is a closed-mold process that involves injecting resin into a dry fiber preform placed in a mold under a moderate pressure. RTM contributes to the betterment of dimensional control with a reduction in surface porosity and void contents between 1 and 3%. The quality of fiber–matrix bonding in RTM composites depends on the uniformity of resin flow, influencing crack initiation thresholds [37]. Pultrusion is a continuous process suitable for long, constant cross-section profiles like beams. The fibers are pulled through a resin bath and heated. The process produces laminates with high fiber alignment and fiber volume fractions up to 70%. The laminates generated exhibit excellent longitudinal properties; however, they suffer from weak interlaminar strength [38]. The most recent methods include Vacuum-Assisted Resin Transfer Modeling (VARTM), a variation of RTM. This achieves low-cost manufacturing with moderate mechanical performance but reduced consolidation pressure [39]. Each of the manufacturing processes introduces a distinct feature affecting the laminate’s resistance to delamination and crack growth. Therefore, understanding and controlling the manufacturing route are crucial for both structural integrity and interpretation of fracture test results.
It was observed that the high-consolidation process generally yields higher interlaminar strength by reducing voids and improving fiber alignment. Closed-mold processes like RTM/VARTM offer better dimensional control and scalability for large parts. While hand layup introduces high void content and variability, VARTM has lower consolidation pressure, thus reducing toughness compared to an autoclave. Manufacturing variability can account for 20–40% differences in reported fracture toughness across studies, underscoring the need to document process parameters alongside test results.
3.3. Evolution of Standardized Fracture Testing in Laminated Composites
3.3.1. Historical Context and Early Criteria for Delamination
Considering delamination-prone conditions, standardized testing methods were developed to quantify the laminate’s resistance to crack initiation and propagation under specific loading conditions. The application of Linear Elastic Fracture Mechanics (LEFM), which was originally developed for metals, established a groundwork for the analysis of fracture behavior in FRCs. The parameters G and K were extended to laminated composites. The limitations of anisotropy and heterogeneity in composites led to inaccurate predictions [40].
Studies by Whitney et al. [41] revolutionized the field by recognizing interlaminar cracking (delamination) as a distinct and critical failure mode in the laminated composites. It was observed that, unlike a crack’s propagation in a single mode in metals, laminated FRCs exhibited failures at the interfaces between plies attributable to weak interlaminar strength. This prompted researchers to develop fracture tests that could capture “through-thickness separation”. The study highlighted that crack propagation in laminated composites often occurs between the plies and not through them, due to weak interlaminar strength caused by low matrix toughness, a resin-rich interface zone, and fiber–matrix debonding [42].
Thus, the point stress criterion and average stress criterion were proposed to predict the beginning of delamination near geometric discontinuities such as notches.
The point stress criterion (PSC) assumed that interlaminar failure occurred not exactly at the notch tip, but at a short distance ahead (). This short distance represented the characteristic process zone length where damage accumulation could be observed [43]. The mathematical form is presented in Equation (14), in which represents the stress at distance x from the notch end and is the material’s interlaminar tensile strength, in which failure occurs in the out-of-plane direction.
The average stress criterion (ASC) considers the mean stress over a small zone ahead of the crack tip instead of a single point . It established that failure occurs when the average stress within the zone exceeds the material strength [44]. Equation (15) presents the mathematical form of the average stress criterion.
While this facilitates a smoother and more physical approach and is particularly useful when the stress distribution does not peak sharply or when material non-linearity is involved, there are multiple limitations, both conceptual and practical. The always has to be experimentally fitted and not derived from first principles. The criterion predicts only failure initiation and does not describe the propagation of the crack. Furthermore, these models are formulated on the basis of Mode I and Mode II, whereas real structures involve mixed-mode delamination. The framework does not involve any energy-based mechanics as it is purely stress-based.
Prior to 1977, there was extensive usage of fiber-reinforced composites, with high strength-to-weight ratios. These materials’ behavior differed from metals in various aspects such as anisotropic and heterogeneity at the time when traditional analytical fracture mechanics methods worked well for simple, homogeneous materials with idealized cracks. Accurate prediction of the energy required for the growth of a crack, also known as the strain energy release rate , was difficult for realistic geometries using the existing analytical methods [45]. This facilitated the transition from strength-based models to energy-based fracture mechanics for delamination.
Rybicki et al. (1977) introduced the Modified Crack Closure Integral (MCCI) method, which was a numerical technique to evaluate energy release rate from the results of finite elements [46]. It offered an alternative by focusing on energy concepts rather than stress-field singularities. The work done during virtual crack extension was evaluated using nodal forces and relative displacements in front of and behind the crack tip. Equation (16) presents the proposed formulation, where is the nodal force acting on the crack face at node I, is the relative displacement between corresponding nodes across the cracks, and is the increment of crack length.
The MCCI method addressed the complications of irregular crack fronts, crack propagation along resin-rich interfaces, and variations in stiffness and properties through the laminate thickness by allowing element-based calculations of local energy release rates. This laid the theoretical and computational foundation for the development of the Virtual Crack Closure Technique (VCCT), which includes the direct implementation of MCCI in element-based FEA, Cohesive Zone Models (CZMs), and mixed-mode fracture characterization [47].
With both Whitney’s and Rybicki’s works, it was understandable that delamination can initiate without visible matrix or fiber fracture along irregular crack fronts; Mode I and Mode II failure types occur at interfaces. Also, delamination led to reduced load-carrying capacity before the failure of fiber due to variation in stiffness properties.
3.3.2. Mode I—Double Cantilever Beam (DCB)
The Double Cantilever Beam (DCB) test is among the fundamental methods for evaluating Mode I interlaminar fracture toughness (). This concept was initially adopted by Nicholls et al. in 1983 [48]. The study investigated delamination behavior on the basis of the cantilever approach. This established the experimental foundation for applying the principles of fracture mechanics to layered composite structures.
Furthermore, ASTM D5528 was standardized to outline the DCB test method in the year 1994. The standard mentions the procedure to determine the Mode I interlaminar fracture toughness of unidirectional fiber-reinforced polymer matrix. The initial beam theory equation for calculating the interlaminar Mode I fracture toughness in DCB specimens was derived assuming a perfectly rigid crack tip with no root rotation and pure bending behavior and that the material and geometric properties were constant. Under these assumptions, the Mode I fracture toughness is calculated using Equation (17) as per ASTM D5528 [49]. Here, P is the applied load, is the displacement, b is the specimen width, and a is the crack length. Figure 4 presents the DCB specimen with piano hinges and loading blocks utilized for Mode I fracture toughness evaluation as per ASTM D5528-13 [49].
Figure 4.
DCB specimen as per ASTM D5528-13.
Over time, researchers identified the deviations from these idealized assumptions in laminates, mainly root rotation, large displacement, and fiber bridging, all of which can lead to overestimation of if uncorrected. Modified Beam Theory (MBT), the Compliance Calibration Method (CCM), and Modified Compliance Calibration (MCC) were subsequently introduced to enhance the accuracy. The strength of DCB lies in its simple geometry, direct crack length measurement, and extensive standardization, which make it the most widely used Mode I test. However, it is sensitive to fiber bridging, mode contamination, and data reduction methods; initiation and propagation toughness values can differ significantly. It still remains a benchmark for Mode I testing, and has set a baseline for modern methods such as MBT or CCM to improve accuracy and comparability.
3.3.3. Mode II—End-Notched Flexure (ENF) and Calibrated End-Loaded Split (C-ELS)
In 1982, Robert et al. discussed the factors influencing the interlaminar fracture energy of graphite/epoxy laminates, specifically Mode II fracture [50]. The study focused on understanding the different parameters that affect the resistance of the composite materials due to splitting along the interface between the layers. The study investigated the energy required for the initiation and propagation of cracks between the plies. The concept of LEFM was adopted, and the energy required to slide the plies apart (Mode II failure) later went on to be studied as the beam-based approach. This formed the basis for standard ENF test procedures, standardized in ASTM D7905 [51] and ISO 15114 [52].
While Mode I delamination is important, the real-world loading condition was observed to rarely indicate this. It was also observed that in practical structures, like composite beams, aerospace panels, and wind turbine blades, failure occurred due to interlaminar shear, mainly due to bending loads, in-plane compression, torsion, impact loading, and fatigue cycling [53]. Sliding between the layers was observed in this case and was termed as shear delamination, which Mode I testing like DCB could not capture. Hence, there was a need to numerically assess the resistance of a laminate to sliding-type failure [54]. The foundational theoretical work on interlaminar stresses and delamination mechanics in laminates was conducted by Wang et al. in 1978, although they did not introduce End-Notched Flexure (ENF) tests formally [55]. The study laid a groundwork to understand Mode II shear-driven delamination behavior by analyzing the stress fields at ply interfaces, specifically under flexural loading conditions. Emphasis was made on the importance of using energy release rate G to characterize the fracture resistance under shear. This work highlighted the inadequacy of Mode I and encouraged the researchers to develop Mode II-specific tests.
By 1990, there was an increased need for a reliable Mode II testing method mainly due to aggravated delamination failures under in-plane shear loads. Although the ENF specimen was conceptually accepted, there was a need for standardized methodology to conduct and interpret the results of the test. Research by Hashemi et al. established a repeatable and validated experimental protocol to measure Mode II toughness using an ENF specimen, which had a pre-cracked laminate beam, subjected to three-point bending in order to induce shear loading at the crack tip [56]. Clear specimen dimensions and layup, boundary conditions, and initiation along with monitoring of crack growth were precisely provided. The study also derived closed-form solutions based on beam theory to compute the Mode II energy release rate (). Here, the energy release rate was considered as a function of applied load, specimen compliance, and crack length and span. The experiments were conducted on unidirectional carbon fiber/epoxy laminates by addressing the issues related to crack initiation from a pre-inserted delamination, accurate crack length measurement, and minimizing the frictional and non-linear effects during sliding. This method produced highly repeatable values across multiple samples, where initiation of sharp cracks led to a reduction in uncontrolled fiber bridging. Furthermore, was observed to be sensitive to stacking sequence; that is, higher delamination resistance was observed in thicker ductile matrices [57,58,59,60]. The geometry of the specimen considered was 125 mm × 20 mm × 2.5 mm with an initial delamination length of 30 mm. The works contributed to the development of a standardized outline of ISO 15114 and ASTM D7905.
ISO 15114, the standard for fiber-reinforced plastic composites—used for determination of the Mode II fracture toughness for unidirectionally reinforced materials using a Calibrated End-Loaded Split (C-ELS) test—was introduced by the ISO technical committee in 1998. In this standard, the beam is loaded at specimen ends to encourage shear-driven delamination considering the act of quasi-static loading. The C-ELS setup (Figure 5) helps stable crack propagation, making the standard useful for generating R curves and facilitating the study of crack growth resistance over a wide range of delamination lengths. Here, the energy release rate () is evaluated using Equation (18).
Figure 5.
ELS test specimen showing the clamping fixture and loading as per ISO 15114.
While this standard does not incorporate the flexural corrections, it addresses the fixture compliance and minor frictional effects, which comprise 1–3% of the total energy. The concept of effective crack length is utilized by the standard, making it dependent on high-resolution video or Digital Image Correlation (DIC) systems for crack propagation tracking [61,62].
ASTM D7905 presents a standard test method for determining the Mode II interlaminar fracture toughness of unidirectional fiber-reinforced polymer matrix composites using the End-Notched Flexure (ENF) test. The standard, introduced in 2014, uses a pre-cracked beam subjected to three-point bending flexural tests and focuses on determining initiation toughness. The standard further incorporates the Compliance Calibration Method (CCM) which specifically accounts for geometric non-linearity and flexural stiffness corrections to provide accurate results and ensure repeatability. The strain energy release rate is computed as presented in Equation (19), in which P indicates the applied load (N), b indicates the specimen width (mm), C is the compliance, which is depicted as the displacement per unit load (mm/N), and is the slope of the compliance versus the crack length curve. Figure 6 represents the ENF test fixture as per ASTM D7905.
Figure 6.
ENF test fixture as per ASTM D7905.
The standard also recommends the tolerance values for crack length, span-to-thickness ratio, loading rate, and specimen preparation to ensure consistency.
While both ASTM D7905 and ISO 15114 characterize Mode II interlaminar fracture toughness in unidirectional FRCs, it is worth noting that pure Mode II delamination in experimental practice is not easily achievable. In the case of ENF configuration, initial consideration of shear-dominated fractures can be compromised by geometric imperfections, fixture misalignment, and frictional forces at both supports and loading points. This can introduce Mode I components unintentionally near the crack tip, thus affecting the accuracy of the measured [63]. In the case of the C-ELS method, shear-driven propagation is initiated under quasi-static end loading. However, any misalignment or non-symmetric load application can lead to mixed-mode effects, thus affecting the end results [64]. Further, friction at contact interfaces can further hinder the accuracy of the results. While the ISO standard provides frictional corrections and the ASTM standard provides flexural stiffness corrections, it must be highlighted that achieving true Mode II conditions depends on precise specimen fabrication, fixture alignment, and boundary control. Thus, while interpreting the data, there is a need to recognize small deviations from ideal conditions that lead to measurable mixed-mode failures.
ENF and C-ELS provide mode-isolated shear toughness values and are crucial for assessing shear-dominated delamination in real structures. However, they are sensitive to alignment and frictional effects. Also, Mode II purity is difficult to maintain, and results can vary significantly between labs without strict quality control. This led to the integration of compliance calibration, fixture correction factors, and optical crack tracking in modern Mode II testing protocols.
3.3.4. Mixed-Mode Bending (MMB)
Delamination is amongst the most critical failure mechanisms in FRCs, especially during complex service loads. Traditional fracture tests, including DCB and ENF, provide mode-isolated fracture toughness values. As is known, real-world composite structures, like wind turbines and aircraft wings, rarely experience loading that induces stresses in Mode I or Mode II only. Hence, mixed-mode delamination, which includes both opening and sliding mechanisms, becomes the representative of in-service conditions.
Considering the requirements, the Mixed-Mode Bending (MMB) test, which simultaneously applies Mode I and Mode II loading through a lever arm mechanism, was developed by Reeder et al. at NASA Langley Research Center in the early 1990s [65].
The initial objective of the study was to create a standardized and flexible method to evaluate interlaminar fracture under a combination of different modes. This led to the combination of a DCB specimen geometry with a lever arm loading system. Figure 7 represents the MMB test setup as per ASTM D6671. This configuration enabled the superposition of Mode I and Mode II forces on a single specimen through a vertical force at the beam end (Mode I) and a lever arm system to introduce a shear component (Mode II) [66,67]. Adjustment of the length of the lever arm in the fixture helped the researchers to vary the relative contributions of Mode I and Mode II forces that were applied on the specimen. The ratio quantifying the relative contributions of Mode I and Mode II fracture is characterized using the mixed-mode angle and is presented using Equation (20).
Figure 7.
Mixed-mode bending test (MMB) setup as per ASTM D6671.
Alternatively, the Mode II energy fraction is expressed in Equation (21), where is the total energy release rate . This directly influences the fracture behavior and resistance of a material.
This facilitated the controlled generation of fracture toughness data along a spectrum of variation in mode combinations. This versatility enabled the MMB test, a valuable contribution for developing the mixed-mode delamination criteria that validated cohesive zone models (CZMs) [68,69,70].
In recognition of the value of this approach, NASA researchers further collaborated with the ASTM committee to develop a standardized procedure for determining the mixed Mode I and Mode II interlaminar fracture toughness of unidirectional fiber-reinforced polymer matrix composites, named ASTM D6671, in the year 2001 [71]. The standard offered a testing protocol including mention of dimension range, insert placement, and edge preparation, along with tolerance recommendation. The standard specified that the length should range from 125 mm to 150 mm with a minimum of 75 mm of uncracked length ahead of the insert, with the width being 20 mm to 25 mm and thickness being 3 mm to 4 per arm. The initial crack length should be created using a non-adhesive insert like 13 μm thick PTFE film during the layup process. A dimensional tolerance of ±0.1 mm is mentioned for width and thickness. Despite being widely adaptable, certain concerns have arisen about ASTM D6671, as extreme shear-dominated scenarios may not be easily represented, especially when debonding or frictional sliding occurs. Furthermore, the standard is intended for only unidirectional fiber-reinforced composites and may not be applicable to woven, braided, or randomly oriented laminates [72,73,74,75]. While its advantages include versatility, enabling continuous mode ratio control, and supporting cohesive zone model (CZM) validation, it disadvantages lie in its complex setup and calibration. This decreases the accuracy in extreme mode mixes and leads to limited applicability to non-unidirectional laminates. Hence, the MMB test has become the benchmark for mixed-mode studies, providing critical data for advanced delamination models in finite element simulations.
3.3.5. Mode III Edge Crack Torsion (ECT) and Alternative Configurations
While Mode I and Mode II have been extensively worked on and standardized in composite fracture mechanics, Mode III fracture remains relatively less explored, mainly due to the experimental challenges of isolating pure Mode III loading. Mode III fracture involves out-of-plane shear or tearing. Its importance is increasingly being recognized in aerospace, wind turbine, and marine composite structures, specifically in conditions where through-thickness shear loads and torsional failures can be dominant under service conditions. Mode III interlaminar fracture toughness is denoted by GIIIC and quantifies the laminate’s resistance to tearing delamination, and it is important to design delamination-resistant layered composites.
Amongst the various techniques proposed, the edge crack torsion (ECT) test is standardized under ASTM D7078 [76] and has emerged as a reliable method for determining GIIIC. The specimen consists of a rectangular laminate with a central edge crack. The specimen is subjected to pure torsional loading with specialized jigs that are used to induce a uniform out-of-plane shear field near the crack tip. The twisting moment causes the crack to propagate along the delamination plane, thus enabling stable Mode III fracture. The key advantages of ECT include pure Mode III loading with a symmetrical stress state around the crack front, suitable for unidirectional, quasi-isotropic, and multidirectional laminates [77]. Early studies presented inter-laboratory research work on the ECT test method, where they developed correction factors for stress singularities and also analyzed multiple materials such as carbon/epoxy and glass/epoxy systems. Their results highlighted the repeatability and advantages of the ECT method [78]. Nezamabadi et al. expanded the study to introduce analytical models for laminated ECT specimens by incorporating the effects of torsional rigidity, interfacial compliance, and non-linear energy release. This approach provided a closed-form solution to energy release rate calculation, thus enhancing the method’s accuracy for both linear elastic and quasi-brittle systems [79].
While ECT is widely adopted, researchers have also explored alternative configurations such as Split Cantilever Beam (SCB) and Asymmetric Double Cantilever Beam (ADCB) tests to investigate out-of-plane shear-driven delamination in laminated composites. The SCB configuration consists of two identical beams joined at the midplane adhesive or cohesive interface with one beam clamped and the other loaded in vertical bending. This geometry facilitates anti-plane shear deformations at the interface. The advantages of this test include simple specimen geometry, which is suitable for both symmetric and asymmetric layups. However, it is difficult to maintain pure Mode III loading, as Mode II often contributes to the process. Alongside, localized contact stresses may arise at the loading point where the crack path can deviate or branch [80]. Studies by Morais et al. (2009) investigated the SCB for laminates and indicated a notable Mode II interface under nominal Mode III loading [81]. The ADCB test involves a modified DCB setup with one beam being thicker than the other. Differential stiffness induces out-of-plane shear in addition to opening displacement (Mode I) when loaded. The advantages of this test include modifiability to tune the mix ratio and its usefulness for Mode I and Mode III interaction. However, the limitations include the requirement of numerical decomposition to isolate GIIIC, the introduction of non-uniform crack-tip fields, and asymmetric design. Furthermore, there is a risk of unstable crack growth and asymmetric crack propagation paths [82]. Hence, ECT provides the most reliable standardized approaches for Mode III toughness measurement. However, fixture complexity and specimen sensitivity limit its adaptability in routine industrial testing. Hence, it has become essential for comprehensive delamination resistance characterization in 3D load environments, with growing use in design certification for aerospace and wind energy components. Table 1 summarizes the advantages, limitations, and motivations of various test methods.
Table 1.
Summary of DCB, ENF, MMB, and ECT test methods.
As observed from Table 1, ASTM and ISO standards have enabled global comparability of interlaminar fracture data, test accuracy, and repeatability. These are strongly influenced by specimen fabrication quality, fixture alignment, and operator skill. Further, pure mode isolation is rarely achieved in real-world service conditions. This highlights the need for hybrid experimental–numerical methods to improve the fidelity of measured fracture toughness values.
Despite the standardization of fracture tests, their application to laminated composites is inherently constrained by experimental challenges such as imperfect modes of isolation, specimen variability, and sensitivity to fixture alignment. Many service scenarios involve multi-mode delamination under dynamic and environmental loading, which these tests, developed largely for quasi-static conditions, cannot fully replicate. These limitations have driven the adoption of computational fracture mechanics methods, such as the Virtual Crack Closure Technique (VCCT), Cohesive Zone Modeling (CZM), Extended Finite Element Method (XFEM), and phase-field approaches. These are integrated with full-field experimental techniques such as Digital Image Correlation (DIC). Such hybrid methods not only enhance accuracy in determining fracture parameters but also enable parametric studies, design optimization, and service life prediction. These are beyond the capabilities of physical testing alone. The following section traces the chronological development of these modeling techniques and critically evaluates their applicability to interlaminar fracture in laminated composites.
3.4. Evolution and Application of Alternative Fracture Testing and Modeling Approaches
While ASTM and ISO interlaminar fracture standards such as D5528, D7905, D6671, and ISO 15114 remain widely used, their foundations lie in LEFM, which assumes small-scale yielding, sharp cracks, and linear elasticity. These assumptions are generally violated in laminated composites, specifically those with toughened matrices, ductile polymer phases, or engineered interfaces where a finite fracture process zone (FPZ) is created. In such cases, LEFM-based analysis can lead to underestimation of initiation toughness in ductile or non-linear materials, inaccurate mode separation in mixed-mode delamination, sensitivity to visual crack length measurements, and operator bias with limited ability to represent progressive damage paths. These limitations have driven the development of alternative experimental–numerical approaches capable of capturing non-linear fracture mechanics for elastic–plastic and visco-elastic materials alongside full-field displacement and strain fields for accurate crack growth tracking. Also, it facilitates capturing mixed-mode and multi-axial delamination behavior under realistic loading with imperfection sensitive fracture predictions that account for manufacturing defects and interfacial heterogeneity [83].
The subsequent subsections critically review the major alternative approaches emphasizing their historical origin, core principles, relevance to laminated composite fracture, strengths, limitations, and practices in both research and industry.
3.4.1. J-Integral and Energy-Based Methods for Non-Linear and Toughened Systems
The J-integral is a contour integral, introduced by Rice in 1968, used to characterize the strain energy release rate near the crack tip in materials that undergo non-linear deformation [84]. The initial LEFM approach primarily relied on concepts like SIF and G, which were strictly applicable to linear elastic materials. The study by Rice extended this energy approach to non-linear elastic and elastic–plastic materials, thus making it useful for ductile materials and other such polymers where large deformations occurred. The J-integral was mathematically defined as shown in Equation (22).
Here, is the arbitrary contour surrounding the crack tip in two dimensions, and W is the strain energy density represented by Equation (23).
is the stress tensor, is the displacement component, is the coordinate in the crack propagation direction, is known as the Kronecker delta, is the outward normal to the contour, and is the differential length along the contour. The expression represents the difference between mechanical work and stored energy flow through a material, evaluating the amount of energy available for crack propagation.
In laminated composites, non-linear effects arise due to fiber bridging, matrix plasticity, debonding of laminates, and crack deflections, creating an FPZ that violates the LEFM assumption of a sharp crack tip. In such cases, J-integral-based evaluation provides a more representative measure of delamination resistance than constant G values.
The J-integral quantifies the energy release rate per unit of crack extension under quasi-static loading conditions. It states that, regardless of the choice of integration path , and as long as it encloses the crack tip by lying in a region where the material behavior is conservative and no energy dissipation occurs, the value of J remains the same [85]. A strength of J-integral approaches includes path independence, allowing for flexibility in computation through various contours, including near and far from the crack. It is suitable for non-linear elastic, elasto-plastic, and visco-elastic materials [86]. Further, it connects well with fundamental thermodynamic principles and supports computational implementation in FEM. Considering linear elastic cases, it generalizes LEFM into Elastic–Plastic Fracture Mechanics (EPFM) [87].
A resistance curve (R curve) is a function of crack extension that represents the crack growth resistance of a material. In LEFM, this value is constant. In EPFM, the resistance increases with crack growth due to the toughening mechanisms such as crack-tip blunting, fiber bridging, microcracking, and crack deflection. The concept of the R curve is particularly essential when the material does not fail immediately at the initiation of a crack and there is a stable crack growth before any kind of failure [88].
Considering the EPFM, the J-integral is considered the most appropriate condition to quantify the value of G when plasticity occurs. In this case, an R curve is plotted as versus , where J is the J-integral value at a given amount of crack extension and is the incremental crack growth from the original crack length. As the crack grows, the J value necessary to continue the crack growth increases. This increasing curve is the curve [89].
An initial critical value () is required to initiate crack growth. With the propagation of a crack, more energy is required to keep the propagation going as the size of the plastic zone increases; toughening mechanisms such as fiber pull-out or crack bridging absorb energy and the crack front tends to deflect and bifurcate, thus increasing the fracture surface area [63]. Here, the initiation point indicates the first deviation from linearity, followed by stable crack growth, with the structure still carrying load, and finally the unstable growth point, where applied J is the same as resistance J, causing failure. Table 2 discusses the standards considered with respect to curves and their scope of work. For example, in carbon/epoxy DCB specimens, with toughened matrices, curves have been observed to rise steeply with values up to 20% higher than LEFM-based , mainly due to extensive fiber bridging. Similar trends are reported for glass/epoxy MMB tests under mixed-mode conditions, where J-integral calculations integrated with mode partitioning algorithms improved agreement with CZM predictions.
Table 2.
Summarizes the standards for curve measurement.
Although no composite-specific ASTM or ISO standard exists for J-integral evaluation, metal-based standards have been adapted for research. While Table 2 summarizes the standards for curve measurement, Table 3 discusses the curve behavior by material type.
In composite research, these standards are often combined with DCB, ENF, or MMB fixtures, sometimes with DIC to extract crack-tip opening displacements and build R curves without physical crack length tracking.
It must be highlighted that the J-integral assumes that Mode I or symmetric loading conditions exist. Considering mixed-mode or unsymmetric loading conditions, the physical meaning of G becomes unclear. Further, the J-integral does not separate the contributions of different fracture modes; hence, for mixed-mode problems, special consideration must be taken [93]. If the contour encloses regions of plastic dissipation, crack face front, heat generation, or damage evolution, the independence of the path is lost [88]. Considering the numerical simulations, the J-integral is computed using the domain integral method and contour integration. In the domain integral method, the line integral is converted to domain form, thus enabling its use over an area around the crack tip [94]. In contour integration, multiple contours are considered, where path independence is validated through convergence [95].
Table 3.
curve behavior by material type.
Table 3.
curve behavior by material type.
| Material Type | Curve Behavior | Codal Provisions | Remarks |
|---|---|---|---|
| Brittle Materials | Flat line (constant J) | Typically not characterized by curves; LEFM standards like ASTM E399, and E561 used instead [96] | Fracture toughness is defined by a single value like -integral not meaningful due to lack of plasticity. |
| Ductile Metals/Composites | Rising curve | ASTM E1820, ISO 12135 | J-integral increases with crack growth. Plastic zone develops. (initiation toughness) and R curve (resistance curve) are plotted. |
| Toughened Composites/Laminates | Steep rising curve | ASTM E1820 (extended to some composites), or modified protocols using DCB/MMB/ENF with CZM or FEM analysis | Strong crack resistance from bridging, pull-out, and deflection. For composites, ASTM D5528, D7905, and ISO 15114 for interlaminar fracture are sometimes adapted. |
Since the materials exhibit non-homogeneity, they can be partially modeled using spatially varying elastic/plastic properties. However, it must be noted that the J-integral assumes path independence, which can break down near the defects. Hence, the path independence assumption fails in the presence of plasticity, damage, and large voids near the crack tips. Furthermore, this leads to geometric irregularities like fiber kinking, which can invalidate the stress-field assumptions. To overcome these modeling irregularities, the domain-based J-integral can be used along with incorporating local property degradation zones, which can mimic the voided regions [97].
While the J-integral offers a robust framework for evaluating fracture resistance in toughened and non-linear systems, it lacks intrinsic mode separation and composite-specific procedural standards. In practice, it is most effective when integrated with mode partitioning algorithms for mixed-mode fracture, DIC for full-field displacement mapping, and CZM or phase-field simulations for validating R curve behavior. These hybrid approaches help overcome the limitations of LEFM in predicting realistic delamination resistance in laminated composites.
3.4.2. Cohesive Zone Modeling (CZM) for Delamination Simulation
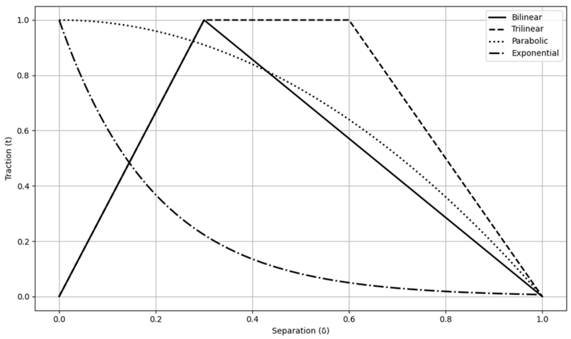
The initial works on CZM trace back to the studies by Barenblatt in 1959 and Dugdale in 1960. While Barenblatt introduced cohesive surfaces to explain brittle fracture in solids [98], Dugdale applied a similar concept to metals only, assuming the presence of a plastic zone ahead of the crack tip [99]. CZM is an approach that is used to simulate crack initiation and propagation in composite materials, especially delamination between layers. While classical LEFM assumes an instantaneous crack tip with singular stress fields, CZM models a finite fracture process zone (FPZ) ahead of the crack tip, within which the traction separation law (TSL) governs the relationship between interfacial stresses and delamination between the adjacent plies [100]. Figure 8 illustrates the TSL used in CZM, where the dashed line indicates the critical separation, where maximum traction occurs, thus initiating a crack.
Figure 8.
Depiction of different types of TSL used in CZM.
The bilinear, trilinear, parabolic, and exponential TSLs reveal varying behaviors as material separation increases. The bilinear TSL exhibits an initial elastic loading phase, where traction increases linearly with separation. This is followed by a linear softening region, where traction reduces to zero, thus indicating fracture [101]. Trilinear TSL exhibits three distinct regions: an elastic loading phase, a softening region indicating damage initiation where the speed of traction decreases, and another softening region depicting damage propagation where damage linearly decreases to zero [102]. However, in parabolic TSL, elastic loading and softening combine into a single region where traction reaches its peak and falls back to zero within the critical separation, which is then followed by a softening and damage propagation region. Here, traction decreases towards zero as the separation increases, but does not reach theoretical zero, hence becoming negligible [103]. The softening region in an exponential model is smoother and gradual, where traction decreases continuously and approaches zero and does not reach theoretical zero. In practical applications, this criterion becomes negligible at larger separations [104].
In this case, the interface is represented as a continuum with contact surfaces, where each surface is assigned a traction–separation relationship. This relationship is characterized by maximum stress or traction (, ), along with the critical displacement for failure initiation () and fracture energy (G) in Mode I, Mode II, and mixed modes. Once calibrated, Cohesive Zone Models (CZMs) can contribute to the simulation of delamination in complex geometries and loading conditions where experimental testing is not feasible. Hence, they are widely used in finite element analysis (FEA) to predict crack path evolution, damage tolerance in composite joints, residual strength after impact, and other structural integrity-related failures [105]. CZM is advantageous in capturing non-linear fracture behavior without a predefined crack path, making it suitable for mixed-mode delamination. It can be easily integrated into FEA software, thus enabling virtual testing. The governing equations of Mode I and Mode II as considered in CZM are presented in Table 4.
Table 4.
The governing equations of Mode I and Mode II as considered in CZM.
and are normal and shear displacements, and and are critical normal and shear displacements. Traction refers to the stress transmitted across a fracture surface. It represents the resisting force per unit area that opposes opening () or sliding ().
Considering real-world applications, the Benzegghagh–Kenane (BK) criterion [106] is utilized to measure the effective normalized fracture toughness (), a weighted combination of Mode I and Mode II contributions. The BK criterion formula is given by Equation (24).
Here, is an experimentally determined BK material parameter and controls the non-linearity of the mixed-mode interaction. If , then it is a linear interaction (higher influence of Mode I) and if , then it is a non-linear interaction (higher influence of Mode II). The typical values of lie between 1.2 and 3 for composites. It is considered that higher values a represent better ability of the material to resist fracture under mixed-mode loading, specifically where Mode II shear plays a dominant role [107].
CZM is applied in the studies of composite delamination in DCB, ENF, and MMB testing. This pertains to the studies on adhesive joint failure, fiber–matrix interface modeling, and impact- and fatigue-driven delamination [108]. While rate-dependent CZMs incorporate viscosity effects, thermo-mechanical CZMs are used to study temperature effects; coupled cohesive plasticity models are for ductile metals; multi-scale CZMs are used to link microstructural fracture to macro-response; and Digital Image Correlation (DIC)-assisted CZMs are used for field verification [97,109,110].
CZM has become a useful tool for simulating fracture in those materials in which LEFM fails, by incorporating TSLs and cohesive surfaces into numerical models. This allows for accurate prediction of both initiation and propagation of cracks under complex loading conditions. The limitations of this approach include the requirement of fine meshing near the crack tip, requirement of initial experimental data for TSL, non-linear convergence and computational costs in large models, and the possibility of exhibiting localized damage if not regularized [111].
To overcome the limitations, multiple alternatives have to be considered. Adaptive Mesh Refinement (AMR) can be used near the cohesive zones along with mesh convergence studies to optimize and capture the traction–separation accurately [112]. Using the experimental fracture data, inverse parameter identification can be performed to evaluate accurate TSL parameters [113]. Convergence can be improved by using viscous regularization, quasi-static loading, or line search solvers. Further, damage regularization techniques can be used to avoid localization of meshing [114].
In this case, the TSL can be modified to reflect the interfacial defects by lowering the cohesive strength or critical separation, by adjusting the softening slopes. Here, the void clusters are modified using spatially degraded fracture energy GC. Furthermore, the geometrical flaws are included through initial cohesive zones or notches and the non-uniform interfaces can be modeled by assigning TSL parameters locally, using image-informed or stochastic mapping [39].
CZM bridges the gap between experimental fracture toughness data and computational prediction, making it invaluable for parametric studies and virtual testing of new composite designs. Its predictive capability is strongest when calibrated with high-quality experimental data from multiple modes, coupled with DIC or microstructural imaging to capture realistic damage initiation points. This is validated against standardized tests before application to complex structures. However, care must be taken in mixed-mode scenarios to ensure that the chosen interaction criterion reflects the actual failure mechanisms, especially when fiber bridging or large-scale matrix plasticity is present.
3.4.3. Virtual Crack Closure Technique (VCCT) in Delamination Analysis
The Virtual Crack Closure Technique (VCCT) is a numerical technique developed by Rybicki and Kanninen in 1997 [46]. The basic principle of this method is that the energy required to close a crack by a small amount is equivalent to the energy required to open it. VCCT is used in finite element analysis (FEA) to evaluate the strain energy release rate (SERR) at the tip of the crack. This method calculates the same using nodal forces and displacements near the crack tip. The crack is modeled as a discontinuity between two sets of nodes that will separate during loading. As the crack moves with an increment , the energy release rate for different fracture modes is evaluated from the values of work done by the nodal forces over the corresponding displacements. The major assumption in this process is that the crack propagates along one predefined path and the material’s behavior is linear elastic.
Mathematically, the VCCT evaluates the strain energy release rate for each fracture mode using nodal forces and relative displacements ahead of and behind the crack tip. Considering a two-dimensional problem, the strain energy release rates in Mode I and Mode II are computed using Equations (25) and (26), respectively:
Here, and are the nodal reaction forces at the crack tip, and are the relative displacements between the nodes prior to the virtual extension, B is the out-of-plane thickness, and is the virtual crack extension length. The total strain energy release rate G is evaluated by summing and .
This technique is effective in analyzing the delamination of fiber-reinforced composites with well-defined laminate interfaces, with other major advantages such as its simplicity and compatibility with standard finite element outputs [115]. It must be highlighted that it does not require complex material modeling and is very efficient for linear problems. This technique presents a major limitation with respect to the crack path, as it becomes unsuitable when an arbitrary crack is initiated or the propagation occurs in unknown directions [112]. Furthermore, the accuracy specifically depends on mesh density around the tip of the crack. Being restricted to linear elastic materials, this technique’s accuracy diminishes in the presence of plastic or visco-elastic behavior, making it unsuitable for large deformation problems [89].
VCCT is purely based on linear elasticity and assumes predefined crack paths. Imperfections, such as material inhomogeneity, can be handled using spatial variation of elastic properties or fracture energy. Furthermore, delaminated zones are introduced to simulate manufacturing-induced cracks. The limitations include unsuitability for arbitrary crack path deviations and assumptions of known direction and location of crack propagation [116].
Despite multiple limitations, VCCT remains a powerful tool for post-processing crack-tip data, especially in delamination studies where mode mixity () plays a major role. VCCT is one of the most widely adopted computational tools for fracture in laminated composites because it is fast, mode-partitioned, and non-intrusive. It is especially valuable for post-processing mixed-mode delamination tests like MMB or ENF, where experimental mode partitioning is difficult. However, in real-world delamination, the assumptions of perfectly known crack front location are rarely valid. For ductile matrices or toughened interfaces, VCCT may underestimate fracture energy since it ignores plastic dissipation. Furthermore, its strength lies in validating experiments and comparing designs rather than replacing more physically rich models.
3.4.4. Extended Finite Element Method (XFEM) for Arbitrary Crack Growth
The XFEM enhanced the traditional FEM formulations by introducing enrichment functions in the displacement approximations. Discontinuities such as cracks, voids, and material interfaces, which did not require mesh conformity, were represented in this case. This method, hence, does not require remeshing whenever crack initiation or arbitrary crack propagation is to be introduced. The study by Belytschko and Black (1999) highlighted this core idea to enrich the standard FE approximation with discontinuity functions [117]. The standard displacement function in FEM is provided in Equation (27).
However, in XFEM, the above equation is extended to Equation (28):
Here, is the shape function, is the standard nodal degree of freedom (DOF), is the additional DOF for discontinuous enrichment, is the DOF for near-tip enrichment, is the Heaviside function representing the jump across the crack, and is the crack-tip asymptotic function. For nodes whose elements are completely cut a by the crack, the enrichment type considered is Heaviside enrichment, and for nodes around the crack tip, which use singularity functions, it is known as tip enrichment [116].
With reference to crack initiation, the approach can simulate new crack formation inside the elements and consider arbitrary paths to facilitate the growth of cracks in any direction through the mesh easily. Since the mesh remains fixed and meshing overhead is not required, there is no requirement of over-meshing. Multi-crack modeling handles multiple discontinuities simultaneously with enhanced efficiency [118]. The applications of XFEM include its usage in the study of brittle fracture mechanics, delamination, crack propagation in functionally graded materials, fractures in microstructures, fatigue crack growth, and geo-mechanics [119]. Despite having multiple features and applications, the XFEM model has multiple limitations, such as the requirement of enriched shape functions and blending corrections, convergence issues in non-linear fractures, the requirement of special methods such as SIF or G calculations for post-processing, and management issues for enriched zones, crack-tip cracking, and branching logic.
With reference to the previous modeling methods, XFEM supports arbitrary crack initiation and propagation without remeshing. The materials and geometric imperfections can be modeled using random or spatially varying damage initiation criteria, with multiple enrichment functions to simulate interacting flaws. The limitations of the method include the requirement of additional enrichment functions for complex imperfections. Furthermore, the crack branching may cause convergence issues in non-linear simulations [120]. Imperfections such as voids, fiber waviness, or resin-rich zones can be introduced by locally degrading stiffness or fracture energy in enriched zones, using spatially randomized TSL parameters when coupled with CZM by incorporating stochastic variations in enrichment functions to mimic manufacturing defects.
3.4.5. Phase-Field Modeling of Complex Crack Evolution
Using the diffuse interface approach, this method models cracks without explicitly tracking their surfaces. A crack is treated as a discrete discontinuity in the case of XFEM or CZM. However, the phase-field method introduces a scalar field variable, denoted as , to represent the crack’s state at each point in the domain. Here, in the case of intact materials and in the case of cracked specimens. This transition from an intact to cracked state allows for the cracks to propagate naturally, making this method a powerful simulation tool for complex fracture phenomena. The concept was introduced by Bourdin et al. (2000), based on the formulation of Griffith’s fracture theory, and was later extended to ductile fracture, fatigue, and thermo-mechanical effects [121].
The energy functional in the phase-field method is a combination of elastic strain energy and fracture density. With u being the displacement field, the phase-field variable the elastic strain energy density, the critical strain energy release rate, and the degradation function , the total energy function is given in Equation (29).
The governing equations for total energy considering mechanical equilibrium and phase-field evolution are provided in Equations (30) and (31), respectively. The equations are solved simultaneously in a finite element framework.
These equations are solved simultaneously in a FEM framework, enabling natural crack initiation and growth from any location without a predefined path. The main features of this method include the usage of a continuous field , hence not requiring explicit crack tracking. It handles complex phenomena and supports crack propagation from anywhere in the domain, thus making it a mesh-independent topology. The length scale l plays a crucial role in this method to control the width of the diffused crack [97].
The applications of this method range from studying brittle fracture in ceramics to fatigue fracture in metals. It helps in studying thermo-mechanical cracking, covering the aspects of thermal shock and delamination as well. The limitations of this method include higher computational costs due to the need for very fine mesh, the requirement for solutions of coupled, non-linear PDEs, and regularization sensitivity where the fracture energy and crack path depend on the choice of l and careful tuning of and material degradation functions.
This method is ideal for modeling diffuse, complex fracture evolution due to imperfections. The defects can be included as local spatial variations in GC or elastic modulus. This facilitates handling issues such as crack branching and curving due to stiffness mismatch and crack nucleation in clusters. However, this leads to high computational costs due to the fine mesh requirement near the flaws and requires careful calibration of the length scale parameter [116].
When combined with CZM at ply interfaces, PFM can represent matrix cracks, transverse cracks, and delamination interaction, making it highly suitable for multi-scale composite damage modeling.
3.4.6. Digital Image Correlation (DIC) for Experimental Validation of Delamination
DIC is a non-contact full-field optical technique that is widely used to characterize fracture and deformation in composite laminates. Peters et al.(1983) introduced one of the first 2D DIC methods using planar speckle patterns in order to measure in-plane displacements and deformations [122]. The study aimed to replace the manual strain gauge or extensometer measurement with no-contact, full-field displacement maps. They developed the Zero-Normalized Cross-Correlation (ZNCC) approach to match the speckle subsets between undeformed and deformed frames. They went on to demonstrate sub-pixel accuracy in lab-scale validation, which became the base for advanced fracture studies. Peters et al. (1987) extended this DIC study to measure the SIFs around delamination in CFRP, with the aim of overcoming the limitations of single-point sensors [123]. Considering the objective, the local crack-tip strain fields during Mode I fracture were required to be evaluated. They tracked displacements in the crack-tip region using 2D DIC and matched this to series fields. The outcomes produced accurate SIF estimates, which were validated using fractographic readings and FE results. Further, Sutton et al.(2007) developed high-speed stereo DIC to capture real-time propagation of the delamination fronts in CFRP under dynamic loading [124]. The motivation behind this study included the need to overcome the absence of adequate temporal resolution under rapid events. The study utilized dual synchronized cameras capturing at kHz frame rates to track 3D crack-tip displacement and velocity. The study facilitated the mapping of strain fields ahead of delamination fronts, thus advancing the understanding of dynamic fracture.
The working principle includes speckle preparation, in which a random high-contrast pattern is applied to the specimen surface. Further, high-resolution cameras record undeformed and deformed states during loading. The region of interest is divided into small subsets and correlation algorithms match the pattern between reference and deformed shapes. Finally, using the shape function interpolation, displacements are obtained with sub-pixel accuracy and differentiated to obtain strain maps.
Zero-Normalized Sum of Squared Differences (ZNSSD) is amongst the most widely used correlation criteria in DIC, mainly due to its robustness to illumination changes. It normalizes intensity and variance between image subsets. This makes it effective under varying lighting conditions. Considering as a function of intensity (gray value) at pixel location in the initial reference image, and as the intensity at any random location in a deformed image, with f and g being the mean intensity of the subset in the reference image and the deformed image, respectively, and and being the standard deviation of intensity values in the subset of the reference image and deformed image, respectively, the ZNSSD correlation criteria are presented in Equation (32) [125].
The normalized cross-correlation (NCC) method measures the similarity between the reference and deformed image subsets in the presence of high-contrast speckle patterns. It is most suitable for utilization under noisy imaging conditions. The method has been rooted in image processing since the 1970s; however, it was applied in DIC in the early 2000s. Unlike basic correlation methods, NCC normalizes the data by mean and standard deviations. Considering the terminologies similar to ZNSSD, the NCC correlation can be presented as shown in Equation (33) [126].
The Inverse Compositional Gauss–Newton (IC-GN) algorithm is a refinement method used for sub-pixel displacement and deformation measurement in DIC. It was originally developed in the field of computer vision; it improves the standard Gauss–Newton optimization by reusing the inverse of the Jacobian matrix across iterations for faster correlation tasks. This method minimizes ZNSSD between reference and deformed image subsets by applying inverse composition of the warp function to reduce computational load [127]. The Lucas–Kanade Method is a foundational technique for image motion tracking that assumes that image intensity remains constant during the motion and that the displacement between the images is small and smoothly varies within a local window. This solves the optical flow equations using the least squares minimization technique in a small zone. The advantages of the process include the introduction of a fast and lightweight algorithm which is suitable for real-time tracking alongside effective small deformations and rigid body tracking. However, the limitations include inaccuracy under large deformations or illumination changes with no inherent normalizations as it is more sensitive to noise and speckle distortions as compared to ZNSSD or IC-GN [128].
Since the standard DCB test often relied on visual crack length measurement, there was a need to extract an R curve directly from full-field measurements. Catalanotti et al. (2010) introduced DIC-tracked opening displacement for each loading step to construct accurate R curves to capture toughening from bridging [129]. Further, since mixed-mode and Mode II delamination were harder to assess experimentally, Wang et al. (2019) introduced DIC strain and displacement maps to calibrate Mode II cohesive laws [130]. The study used DIC measurements in ENF-like shear tests to map mid-span deflection and local strain jumps. They further calibrated a bilinear CZM for interfacial behavior and validated it. Complex sub-surface delamination, especially under cyclic loadings, could not be seen optically. Hence, a full 3D crack growth monitoring system was introduced through projection-based digital volume correlation (P-DVC) coupled with X-ray CT. This facilitated the tracking of damage growth in glass mat composites during cyclic loading, capturing initiation and progression non-invasively [110].
DIC is an experimental tool rather than a modeling technique that helps to quantify the effect of imperfections on strain fields and crack growth. These imperfections can be studied through full-field strain maps identifying the strain concentrations around the voids, thus enabling visualization of asymmetric strain distributions due to flaws. These, when coupled with numerical models, can be easily used to validate the capturing of imperfection effects [131].
DIC results can be directly integrated with CZM to calibrate TSL from measured displacement jumps. They can further be integrated with J-integral evaluation by substituting DIC-measured displacement and strain fields into the integral. They can also be integrated with mixed-mode fracture analysis by computing and partitioning from DIC-measured crack-tip displacement vectors.
4. Recent Advances in Composite Laminate Fracture Testing and Modeling
Building on the advanced methods discussed in the previous section, this section reviews the recent studies that have implemented these techniques for fracture analysis of composite laminates. Each study is evaluated in terms of the testing or modeling approach used in specimen and material types, loading conditions, and accuracy or novelty of findings. Table 5 and Table 6 compile these studies. While Table 5 focuses on technology-driven approaches, Table 6 focuses on work performed within the standardized fracture test frameworks.
Table 5.
Recent studies applying advanced experimental and numerical techniques in composite laminate fracture analysis.
Table 6.
Recent studies using standardized fracture toughness tests for composite laminates.
As observed from Table 5, most recent CZM studies integrated DIC for parameter calibration, reducing error to less than 5%. Moreover, VCCT-based approaches excel in fatigue simulations where computational cost is critical, while XFEM remains the preferred tool for high-cycle life prediction without remeshing. Phase-Field Models are currently gaining traction for environmental degradation studies, especially when coupled with moisture diffusion models. Also, high-speed stereo DIC is emerging as a bridge between experimental measurement and dynamic CZM calibration.
From Table 6, it can be observed that among the standard test methods, ENF remains dominant for Mode II studies, with several works reporting more than 60% improvement in through Z-pinning, fiber toughening, or hybrid reinforcement. DCB is still widely used for Mode I, particularly in nano-filler enhancement studies, with toughness increases of 30–80% reported. MMB applications show clear mode-mixity dependence, often aligning well with BK predictions.
While significant advances have been made in fracture toughness enhancement and prediction, most studies focus on unidirectional laminates under quasi-static loading. There is still limited data on multi-axial layups, woven or braided laminates, and thick-section composites under realistic service loading, particularly in mixed-mode and dynamic conditions. Furthermore, there is scope for standardizing the integration of full-field techniques into routine toughness measurements.
5. Mechanisms for Enhancing Fracture Toughness in Laminated Composites
Toughening mechanisms refer to a processes due to which a material’s resistance to crack initiation and propagation increases. These mechanisms can contribute to enhanced fracture energy absorption (, ) and crack-tip shielding. In laminated composites, these mechanisms can act intrinsically, modifying the material response ahead of the crack tip or extrinsically shielding the crack tip from driving forces through mechanisms such as fiber bridging, pull-out, and many more. While plastic deformation, microcracking, and matrix toughening occur ahead of the crack tip in the intrinsic type, crack bridging, fiber pull-out, crack deflection, and ARMs occur behind or around the crack tip and act as shielding mechanisms in the extrinsic type. Table 7 lists the recent toughening mechanisms incorporated to enhance the fracture toughness of laminates.
Table 7.
Summary of toughening mechanisms investigated in recent studies for enhancing fracture toughness of laminated composites.
In order to prevent catastrophic failure, it is necessary to enhance fracture toughness by increasing the energy necessary for crack growth, promote progressive failure rather than unstable crack propagations, and improve interlaminar strength.
Artificial reinforcement mechanisms (ARMs) refer to engineered features that are incorporated intentionally into the composite structures to enhance their resistance to fracture. Some of the ARMs as mentioned in the table include Z-pins, stitched fibers, nano-coatings, microvascular networks, and 3D textile preforms. Micro-rods are inserted perpendicular to laminae in the case of Z-pins. The micro-rods bridge and hold the cracked layers [173]. Kevlar or glass yarns are used as interlaminar reinforcements in stitched fibers, and they are preformed in nature [174]. Carbon nanotube-coated fibers or nanoparticles are provided at interfaces to enhance the interfacial strength in nano-coating ARMs [168]. The microvascular networks enable self-healing by utilizing healing agents at crack sites. The laminate thickness is interlocked mechanically in the case of 3D textile preforms [175]. These mechanism, when combined with the fracture characterization approaches, allow for tailored laminate designs with predictable and enhanced delamination resistance.
6. Future Prospectus
The evolutions of composite materials have moved towards multifunctional, nano-engineered, and sustainable systems. There is a need for the tools used to analyze the fracture behavior to progress beyond the traditional, analytical, and experimental frameworks. Conventional fracture mechanics, though well established, often fails to capture the complex interfacial phenomenon, non-linear damage processes, and heterogenous microstructures that are inherent to modern laminates. In order to address these limitations, researchers have adopted computational approaches that can easily operate across multiple length and time scales.
Two such particular transformations include Molecular Dynamics (MD) and Machine Learning (ML). While MD enables atomistic-level simulations of fracture initiation, interfacial bonding, and nano-scale damage progression, ML allows for data-driven predictions, pattern recognition, and identification of governing fracture parameters using multiple large-scale experimental and simulation datasets.
6.1. Molecular Dynamics (MD) Simulations for Fracture Analysis
MD simulates the motion of atoms and molecules over time by solving Newton’s second law of motion, particularly by using predefined interatomic potentials or force fields. Unlike finite element methods, which purely rely on continuum assumptions, MD explicitly tracks atomic positions and interactions, providing deep insights into nano-scale failure physics that govern macroscopic fracture behavior. These potentials govern how atoms interact, bond, and respond under mechanical loads, thermal environments, or chemical reactions. Several thousand atoms are studied to suitably capture behaviors in nano-scale volumes such as fiber–matrix interfaces in nanocomposites, polymer chains near crack tips, and interfaces reinforced with graphene, carbon nanotubes, or nano-clays. MD enables the evaluation of interfacial fracture toughness, analysis of traction separation behavior at molecular interfaces, visualization of crack nucleation and propagation, and quantification of cohesive energy, pull-out forces, and atomic-scale plasticity. Various recent works have utilized MD simulations to investigate the Mode I fracture behavior of graphene reinforced epoxy interfaces. Studies revealed that the graphene volume fraction improved by up to 70%. Furthermore, graphene orientation and dispersion quality strongly affected cohesive response. Atomic-scale stress concentration zones predicted crack initiation sites that were consistent with experimental trends [176]. Another study on mixed-mode (Mode I and Mode II) delamination in glass fiber/epoxy interfaces using MD-applied combined normal and shear displacement loading to simulate atomic-scale Mode I/II interaction. It was observed that mixed-mode loading activated localized plastic deformation, especially near fiber–matrix contact zones. The crack path exhibited zig-zag deflection, which was found to be consistent with the crack arrest and reinitiation behavior seen in SEM images. Also, interfacial shear strength and fracture resistance were evaluated to show alignment with macro-scale ENF/MMB tests [177].
Applications of MD include simulating pull-out, debonding, and interfacial shear to help derive interface properties used in CZM in areas such as graphene/CNT-reinforced composites. It facilitates modeling molecular interactions of rubber particles with the matrix to identify the toughening mechanisms in epoxy systems. It tracks stress concentrations and energy accumulation in nano-indentation or crack-tip environments during crack-tip stress analysis. It also facilitates the generation of informed cohesive laws for input into FEM-CZM simulations in traction separation law derivation. It calculates cohesive energy, adhesion work, and crack resistance of hybrid laminates in interface and surface energy studies.
MD is an important consideration for futuristic fracture research as it can bridge scales to provide bottom-up parameters for cohesive models used in FEM, VCCT, or XFEM. It further informs material design to enable tuning of nano-scale features to improve macro-scale toughness. It complements experiments that explain failure mechanisms that are not observable in DCB or ENF tests. It finally guides sustainable materials, which will help screen new bio-based polymers or functionalized nano-fillers for better fracture resistance.
The challenges or gaps include simulation of nanoseconds and nanometers, while engineering failures occur over seconds and meters. This requires coupling with meso-scale and macro-scale models. Cohesive laws or interfacial strengths derived from MD often lack directional equivalence in continuum models due to scale-specific deformation mechanisms. Simulating realistic fiber matrix volumes with adequate defect populations remains prohibitive. Furthermore, there is a shortage of systematic experimental validation for MD-predicted fracture parameters, particularly under mixed-mode and fatigue conditions.
The future pathways include hybrid MD_FEM frameworks where MD-derived interfacial parameters are integrated with experimental calibration, and the coupling of MD with reactive force fields to simulate self-healing chemistries or polymer chain scission. Also, inverse design approaches can be utilized where MD output directly allows for nano-filler surface functionalization strategies.
6.2. Machine Learning (ML) in Fracture Studies of Composite Laminates
In the past decade, ML has emerged as a transformative approach in the field of fracture mechanics, mainly for composite laminates that exhibit highly non-linear, anisotropic, and multi-scale failure behaviors. ML enables data-driven modeling, which in turn is capable of identifying the hidden patterns and correlations in high-dimensional datasets that are obtained from experiments, finite element simulations, and DIC. Apart from predicting fracture properties such as interlaminar fracture toughness, crack growth rates, and failure modes, ML is being applied to optimize material layups, interface designs, and hybrid reinforcement configurations. Thus, ML complements physics-based models by enabling real-time predictions, uncertainty quantifications, and optimization. Recent studies have indicated that supervised ML models such as support vector regression (SVR) and Artificial Neural Networks (ANNs) can aptly predict Mode I/II fracture toughness values from multiple input features like layup sequence, matrix type, fiber volume fraction, interface properties, and test configuration. Wang et al. (2002) developed a deep learning framework using a multi-layer perceptron (MLP) to predict fracture energy from input variables such as fiber orientation and matrix stiffness [178]. The model achieved a prediction accuracy of over 95%, thus outperforming conventional regression models. ML has also been applied to analyze DIC datasets. This often contains thousands of displacement and strain maps, where convolutional neural networks (CNNs) or unsupervised learning techniques are employed. The outcomes of this study include detection of crack initiation zones from strain fields, classification of damage mechanisms, and prediction of critical load thresholds based on speckle pattern evolutions. Wang et al. (2022) trained a CNN on DIC images to classify fracture stages in CFRP laminates [179]. The model achieved 92% accuracy in identifying crack onset and growth phases. Furthermore, ML is now being increasingly used to bridge micro-scale simulation results with macro-scale predictions. Techniques like transfer learning and Gaussian process regression (GPR) allow researchers to develop reduced-order models from expensive simulations, enabling rapid evaluation of new composite systems. Zhu et al. proposed a multi-scale ML framework that integrates MD-derived interfacial properties into a macro-scale CZM simulation using surrogate modeling techniques [180].
The advantages of ML in fracture studies include the ability to handle high-dimensional, non-linear data from multi-scale sources to reduce reliance on expensive experiments and accelerate material screening for structural design. Moreover, it offers real-time prediction capabilities for structural health monitoring, enables inverse design for a given desired toughness, and predicts optimal material composition.
Thus, while the emerging trends such as physics-informed neural networks are being developed to integrate the governing equations of fracture, generative models like variational autoencoders and GANs are being explored for material synthesis and predicting novel composite designs with tailored fracture properties. AutoML frameworks are also under development in order to automate feature selection, hyperparameter tuning and model architecture optimization for fracture prediction tasks.
The integration of simulations, ML, and experimental validation is a promising change in how fracturing in composites is studied as well as predicted. Future research will likely move towards an autonomous modeling framework, real-time damage diagnostics, and AI-guided material design, thus accelerating the path from material development to structural applications. This advancement will be an instrumental step towards the next generation of lightweight, damage-tolerant, and sustainable composite materials.
6.3. Emerging Trends Beyond MD and ML
Durao et al. studied self-healing mechanisms in polymer composites [10]. Extensive efforts have been made to demonstrate the partial recovery of fracture toughness through extrinsic capsules, although challenges in scalability and healing efficiency remain. The report recovery efficiency ranged from 30 to 80% in Mode I and 20 to 50% in Mode II using multiple extrinsic mechanisms. Upon the crack initiations, these capsules rupture and later re-bond the fracture surfaces.
Bio-inspired designs that mimic natural systems enhance fracture toughness by promoting crack deflection, bridging, and controlled energy dissipation. Recent studies in CFRP/epoxy laminates have demonstrated a 2–4 times improvement in Mode I fracture toughness along with R curve toughening.
Transitioning to bio-based fibers, resins, and nano-fillers demands fracture studies that account for sensitivity to moisture, variability in natural fibers, and biodegradation effects as part of sustainability-driven fracture engineering. Furthermore, designing composites with end-of-life recyclability while maintaining fracture resistance is an unresolved research frontier. While these conditions offer promising fracture resistance gains, current challenges include scaling for industrial production and balancing the toughness improvements with both stiffness and weight constraints [181].
6.4. Strategic Research Roadmap
In order to translate these emerging technologies into industrial and structural practice, fracture mechanics research can pivot towards scale-integrated modeling, which will seamlessly link atomistic, meso-scale, and continuum models to enable virtual fracture testing of design variants. Furthermore, data mechanics synergy includes embedding ML predictions into cohesive models which can be validated by multi-mode fracture experiments. The whole field can pivot towards developing ISO/ASTM-level standards for integrating computationally derived fracture parameters into design codes. AI-driven experimental setups can adapt loading and measurement in real time to capture critical fracture events. Sustainability metrics include embedding life cycle assessment (LCA) into fracture design to balance the mechanical performance with environmental impact.
The next decade of fracture mechanics in composite laminates will be defined not just by singular technological breakthroughs but by convergence, where MD, ML, and other ideas can co-evolve into validated, scalable, and sustainable solutions. The challenge lies in closing the gap between laboratory-scale proof-of-concept and field-ready composite systems without sacrificing reliability, manufacturability, or sustainability.
7. Conclusions
Over the last five decades, fracture research in composite laminates has evolved from basic linear elastic analyses to high-level multi-scale, multi-mode investigations. The decade of 1970–1980 marked the adoption of fracture mechanics concepts such as stress intensity factors (K), energy release rate (G), and the J-integral for anisotropic materials. However, LEFM’s assumption of ideal linear behavior was proven to be ineffective for capturing complex delamination and non-linear damage, a typical scenario in composites.
The 1990s introduced the standardized test methods—ASTM D5528 for Mode I, ISO 15114 and ASTM D7905 for Mode II, and ASTM D6671 for Mixed-Mode Bending. This provided consistent evaluation of interlaminar fracture toughness, thus enabling reproducibility across multiple research works. This groundwork directly facilitated the computational and mechanism-based innovations of the 2000–2010 period.
In the early 21st century, physical toughening strategies and advanced numerical methods such as CZM, VCCT, and XFEM improved both the toughness and predictive accuracy of the composite fracture models. In parallel, DIC emerged as a powerful, non-contact validation tool for full-field strain and displacement mapping. While these advances significantly enhanced our understanding, challenges persisted in scaling lab-level improvements to industrial composite systems without weight or cost penalties.
The 2020s have presented a paradigm shift towards intelligent, adaptive, and bio-inspired composites. MD simulations link nano-scale interface physics to macro-scale performance. ML enables rapid prediction and optimization of fracture properties. Bio-inspired architectures and self-healing systems aim to transform fracture mechanics from passive resistance to active damage-adaptive behavior. However, widespread adoption hinges on overcoming the key hurdles to facilitating the standardization of datasets for AI, reliable healing efficiency, and scalable manufacturing.
Each decade has built on the limitations of the last one, leading to today’s vision of adaptive, resilient, and sustainable composites. The next decade will hinge on the development of unified multi-scale models that shall integrate physics-based understanding with data-driven learning, enabling real-time fracture diagnostics and predictive material design for both synthetic and bio-based laminates. Achieving this will be critical to advance sectors including aerospace, infrastructure, and mobility. It shall also ensure that composite technologies align with global sustainability imperatives.
Author Contributions
Conceptualization, K.S.S. and B.K.R.P.; methodology, C.B.; formal analysis, K.S.S.; investigation, C.B.; resources, B.K.R.P., K.S.S. and C.B.; data curation, B.K.R.P.; writing—original draft preparation, C.B. and K.S.S.; writing—review and editing, C.B., K.S.S. and B.K.R.P.; supervision, B.K.R.P. All authors have read and agreed to the published version of the manuscript.
Funding
This research received no external funding.
Data Availability Statement
No new data were created or analyzed in this study. Data sharing is not applicable to this article.
Conflicts of Interest
The authors declare no conflicts of interest.
References
- Thomason, J.; Xypolias, G. Hydrothermal ageing of glass fibre reinforced vinyl ester composites: A review. Polymers 2023, 15, 835. [Google Scholar] [CrossRef]
- Vijayan, D.S.; Sivasuriyan, A.; Devarajan, P.; Stefańska, A.; Wodzyński, Ł.; Koda, E. Carbon fibre-reinforced polymer (CFRP) composites in civil engineering application—A comprehensive review. Buildings 2023, 13, 1509. [Google Scholar] [CrossRef]
- Jensin Joshua, J.; Singh, D.; Venkatanarayanan, P.; Snehit, C.S.; Bipin Sai Eswar, A.; Desta, M. Experimental Estimation of Energy Absorbed and Impact Strength of Kevlar/Basalt-Epoxy Interwoven Composite Laminate Added with Al2O3 Nanoparticles after High-Velocity Bullet Impact. J. Eng. 2023, 2023, 2830575. [Google Scholar] [CrossRef]
- Velumayil, R.; Palanivel, A. Hybridization effect on mechanical properties of basalt/Kevlar/epoxy composite laminates. Polymers 2022, 14, 1382. [Google Scholar] [CrossRef]
- Slamani, M.; Chatelain, J.F. A review on the machining of polymer composites reinforced with carbon (CFRP), glass (GFRP), and natural fibers (NFRP). Discov. Mech. Eng. 2023, 2, 4. [Google Scholar] [CrossRef]
- Dharek, M.S.; Vengala, J.; Sunagar, P.; Sreekeshava, K.; Kilabanur, P.; Thejaswi, P. Biocomposites and their applications in civil engineering—An overview. In Smart Technologies for Energy, Environment and Sustainable Development, Vol 1: Select Proceedings of ICSTEESD 2020; Springer: Singapore, 2022; pp. 151–165. [Google Scholar]
- de Castro Saiki, L.E.; Gomes, G.F. Understanding and mitigating delamination in composite materials: A comprehensive review. Mech. Adv. Mater. Struct. 2024, 31, 13147–13167. [Google Scholar] [CrossRef]
- Geremew, A.; Outtier, A.; De Winne, P.; Demissie, T.A.; De Backer, H. An Experimental Investigation on the Effect of Incorporating Natural Fibers on the Mechanical and Durability Properties of Concrete by Using Treated Hybrid Fiber-Reinforced Concrete Application. Fibers 2025, 13, 26. [Google Scholar] [CrossRef]
- Olonisakin, K.; He, S.; Yang, Y.; Wang, H.; Li, R.; Yang, W. Influence of stacking sequence on mechanical properties and moisture absorption of epoxy-based woven flax and basalt fabric hybrid composites. Sustain. Struct. 2022, 2, 16. [Google Scholar] [CrossRef]
- Durão, M.L.; Nobre, L.; Mota, C.; Bessa, J.; Cunha, F.; Fangueiro, R. Self-Healing Composites: A Path to Redefining Material Resilience—A Comprehensive Recent Review. Materials 2024, 17, 4681. [Google Scholar] [CrossRef]
- Kibrete, F.; Trzepieciński, T.; Gebremedhen, H.S.; Woldemichael, D.E. Artificial intelligence in predicting mechanical properties of composite materials. J. Compos. Sci. 2023, 7, 364. [Google Scholar] [CrossRef]
- Griffith, A. The phenomena of rupture and flow in solids. Philos. Trans. R. Soc. London. Ser. A Contain. Pap. Math. Phys. Character 1997, 221, 163–198. [Google Scholar]
- Westergaard, H.M. Bearing pressures and cracks: Bearing pressures through a slightly waved surface or through a nearly flat part of a cylinder, and related problems of cracks. J. Appl. Mech. 1939, 6, A49–A53. [Google Scholar] [CrossRef]
- Irwin, G.R. Analysis of stresses and strains near the end of a crack traversing a plate. J. Appl. Mech. 1997, 24, 361–364. [Google Scholar] [CrossRef]
- Abdellah, M.Y.; Zuwawi, A.R.; Azam, S.A.; Hassan, M.K. A comparative study to evaluate the essential work of fracture to measure the fracture toughness of quasi-brittle material. Materials 2022, 15, 4514. [Google Scholar] [CrossRef]
- Lekhnitskii, S.G. Theory of Elasticity of an Anisotropic Elastic Body; Holden-Day: San Francisco, CA, USA, 1963. [Google Scholar]
- Sih, G. Plane extension of rigidly embedded line inclusions. Dev. Mech. 1965, 3, 61–79. [Google Scholar]
- Liebowitz, H.; Sih, G. Mathematical theories of brittle fracture. Fracture 1968, 2, 67–190. [Google Scholar]
- Erdogan, F.; Aksogan, O. Bonded half planes containing an arbitrarily oriented crack. Int. J. Solids Struct. 1974, 10, 569–585. [Google Scholar] [CrossRef]
- Wang, Q.; Zhang, F.; Lu, Z.; Cao, D.; Jia, X. Numerical Tensile Damage Procedure Analysis of Angle-Ply Laminate Using Multi-Scale RVEs with Smear Crack Models. Materials 2022, 15, 2002. [Google Scholar] [CrossRef] [PubMed]
- Werthen, E.; Hardt, D.; Balzani, C.; Hühne, C. Comparison of different cross-sectional approaches for the structural design and optimization of composite wind turbine blades based on beam models. Wind. Energy Sci. Discuss. 2023, 2023, 1–26. [Google Scholar] [CrossRef]
- Premanand, A.; Balle, F. Influence of pulse duration on the fatigue behavior of a carbon-fiber-reinforced composite under cyclic three-point bending at 20 kHz. Fatigue Fract. Eng. Mater. Struct. 2024, 47, 1731–1747. [Google Scholar] [CrossRef]
- Sih, G.C. Strain-energy-density factor applied to mixed mode crack problems. Int. J. Fract. 1974, 10, 305–321. [Google Scholar] [CrossRef]
- Sih, G.; Sih, G. A three-dimensional strain energy density factor theory of crack propagation. In Mechanics of Fracture Initiation and Propagation: Surface and Volume Energy Density Applied as Failure Criterion; Springer: Dordrecht, Switzerland, 1991; pp. 23–56. [Google Scholar]
- Bouvet, C.; Vieille, B.; Pujols-Gonzalez, J. Experimental characterization and numerical modelling of the translaminar fracture of woven-ply hybrid fibers reinforced thermoplastic laminates. Eng. Fract. Mech. 2022, 276, 108867. [Google Scholar] [CrossRef]
- Toribio, J.; Matos, J.C.; González, B. Stress Intensity Factor (SIF) Solutions and Fatigue Crack Paths in Eccentric Circumferentially Cracked Round Bar (CCRB) in Tension. Materials 2023, 16, 1728. [Google Scholar] [CrossRef]
- Gdoutos, E.E.; Gdoutos, E.E. Linear elastic stress field in cracked bodies. In Fracture Mechanics; Springer: Cham, Switzerland, 2020; pp. 15–63. [Google Scholar]
- Ping, X.; Zhang, Y.; Guo, Y.; Xiao, Z.; Jalde, J.; Chen, M. Intensity of stress singularity for the circumferential V-shape corner front of a three-dimensional diamond-like defect. Fatigue Fract. Eng. Mater. Struct. 2020, 43, 802–817. [Google Scholar] [CrossRef]
- Popejoy, D.B.; Dharani, L.R.; Tang, H. Crack growth at interfaces in bimaterial systems and composites. Int. J. Solids Struct. 1992, 29, 3113–3123. [Google Scholar] [CrossRef]
- Bambach, M.R. Tension Strength of Multi-Fastener, Single-Lap Joints in Flax and Jute Composite Plates Using Bolts or Rivets. Materials 2025, 18, 2180. [Google Scholar] [CrossRef]
- Bonhomme, J.; Viña, J.; Argüelles, A.; Viña, I.; Mollón, V. Influence of the matrix toughness in carbon-epoxy composites subjected to delamination under modes I, II, and mixed I/II. Mech. Adv. Mater. Struct. 2013, 20, 679–686. [Google Scholar] [CrossRef]
- Perez, P.G.; Bouvet, C.; Chettah, A.; Dau, F.; Ballère, L.; Peres, P. Effect of unstable crack growth on mode II interlaminar fracture toughness of a thermoplastic PEEK composite. Eng. Fract. Mech. 2019, 205, 486–497. [Google Scholar] [CrossRef]
- Song, X.; Deng, Z.P.; Li, C.B.; Song, F.; Wang, X.L.; Chen, L.; Guo, D.M.; Wang, Y.Z. A bio-based epoxy resin derived from p-hydroxycinnamic acid with high mechanical properties and flame retardancy. Chin. Chem. Lett. 2022, 33, 4912–4917. [Google Scholar] [CrossRef]
- White, S.R.; Sottos, N.R.; Geubelle, P.H.; Moore, J.S.; Kessler, M.R.; Sriram, S.; Brown, E.N.; Viswanathan, S. Autonomic healing of polymer composites. Nature 2001, 409, 794–797. [Google Scholar] [CrossRef]
- Krzak, A.; Nowak, A.J.; Heljak, M.; Antonowicz, J.; Garg, T.; Sumption, M. Mechanical and thermal analysis of duroplastic matrix composites over a range of temperatures. Polymers 2024, 16, 606. [Google Scholar] [CrossRef]
- Shen, R.; Liu, T.; Liu, H.; Zou, X.; Gong, Y.; Guo, H. An enhanced vacuum-assisted resin transfer molding process and its pressure effect on resin infusion behavior and composite material performance. Polymers 2024, 16, 1386. [Google Scholar] [CrossRef]
- Somrani, S.; Jacques, E.; Weiss, B.; Duchamp, B. Modelling the Permeabilities of Dry Filament Wound Cylindrical Reinforcements for RTM Simulation. Processes 2025, 13, 1071. [Google Scholar] [CrossRef]
- Ding, S.; Zou, B.; Liu, Q.; Wang, X.; Liu, J.; Li, L. Non-planar additive manufacturing of pre-impregnated continuous fiber reinforced composites using a three-axis printer. J. Mater. Res. Technol. 2024, 32, 4410–4419. [Google Scholar] [CrossRef]
- Friedrich, L.F.; Kosteski, L.E.; Cezar, É.S.; Colpo, A.B.; Bremm, C.; Lacidogna, G.; Iturrioz, I. A Fractal Analysis of the Size Effect in Quasi-Brittle Materials: Experimental Tests and Peridynamic Simulations. Mathematics 2024, 13, 94. [Google Scholar] [CrossRef]
- Argon, A. Fracture of composites. Treatise Mater. Sci. Technol. 2013, 1, 79–114. [Google Scholar]
- Whitney, J.M.; Nuismer, R.J. Stress fracture criteria for laminated composites containing stress concentrations. J. Compos. Mater. 1974, 8, 253–265. [Google Scholar] [CrossRef]
- Whitney, J.; Browning, C.; Hoogsteden, W. A double cantilever beam test for characterizing Mode I delamination of composite materials. J. Reinf. Plast. Compos. 1982, 1, 297–313. [Google Scholar] [CrossRef]
- Nuismer, R.; Whitney, J.M. Uniaxial failure of composite laminates containing stress concentrations. In Fracture Mechanics of Composites; ASTM International: West Conshohocken, PA, USA, 1975. [Google Scholar]
- Sih, G.; Macdonald, B. Fracture mechanics applied to engineering problems-strain energy density fracture criterion. Eng. Fract. Mech. 1974, 6, 361–386. [Google Scholar] [CrossRef]
- Braiden, P. The development of rational design criteria for brittle materials. Mater. Des. 1980, 2, 73–82. [Google Scholar] [CrossRef]
- Rybicki, E.F.; Kanninen, M.F. A finite element calculation of stress intensity factors by a modified crack closure integral. Eng. Fract. Mech. 1977, 9, 931–938. [Google Scholar] [CrossRef]
- Wang, A.; Crossman, F. Initiation and growth of transverse cracks and edge delamination in composite laminates Part 1. An energy method. J. Compos. Mater. 1980, 14, 71–87. [Google Scholar] [CrossRef]
- Nicholls, D.; Gallagher, J. Determination of GIC in angle ply composites using a cantilever beam test method. J. Reinf. Plast. Compos. 1983, 2, 2–17. [Google Scholar] [CrossRef]
- ASTM D5528-13; Test Method for Mode I Interlaminar Fracture Toughness of Unidirectional Fiber-Reinforced Polymer Matrix Composites. ASTM International: West Conshohocken, PA, USA, 2013.
- Jurf, R.A.; Pipes, R.B. Interlaminar fracture of composite materials. J. Compos. Mater. 1982, 16, 386–394. [Google Scholar] [CrossRef]
- Liu, X.; Sun, T.; Wu, Z.; He, H. Mode II interlaminar fracture toughness of unidirectional fiber-reinforced polymer matrix composites with synthetic boehmite nanosheets at room temperature and low temperature. J. Compos. Mater. 2018, 52, 945–952. [Google Scholar] [CrossRef]
- ISO 15114:2014; Fibre-Reinforced Plastic Composites—Determination of the mode II Fracture Resistance for Unidirectionally Reinforced Materials Using the Calibrated End-Loaded Split (C-ELS) Test and An Effective Crack Length Approach. International Organization for Standardization: Geneva, Switzerland, 2014.
- Sarasini, F.; Tirillò, J.; Valente, M.; Valente, T.; Cioffi, S.; Iannace, S.; Sorrentino, L. Effect of basalt fiber hybridization on the impact behavior under low impact velocity of glass/basalt woven fabric/epoxy resin composites. Compos. Part A Appl. Sci. Manuf. 2013, 47, 109–123. [Google Scholar] [CrossRef]
- ASTM D7905/D7905M-19e1; Standard Test Method for Determination of the mode II Interlaminar Fracture Toughness of Unidirectional Fiber-Reinforced Polymer Matrix Composites. ASTM International: West Conshohocken, PA, USA, 2014.
- Wang, S. Fracture mechanics for delamination problems in composite materials. J. Compos. Mater. 1983, 17, 210–223. [Google Scholar] [CrossRef]
- Hashemi, S.; Kinloch, A.; Williams, J. Mechanics and mechanisms of delamination in a poly (ether sulphone)—Fibre composite. Compos. Sci. Technol. 1990, 37, 429–462. [Google Scholar] [CrossRef]
- Zhou, H. Interlayer delamination and adhesion of coextruded films. J. Appl. Polym. Sci. 2004, 92, 3901–3909. [Google Scholar] [CrossRef]
- Cao, D.; Hu, H.; Duan, Q.; Song, P.; Li, S. Experimental and three-dimensional numerical investigation of matrix cracking and delamination interaction with edge effect of curved composite laminates. Compos. Struct. 2019, 225, 111154. [Google Scholar] [CrossRef]
- Kumar, M.; Kumar, P.; Bhadauria, S.S. Numerical simulation of delamination growth in fiber reinforced polymer laminates using cohesive zone modeling. Mech. Adv. Mater. Struct. 2022, 29, 213–229. [Google Scholar] [CrossRef]
- Smolnicki, M.; Duda, S. Determination of Interface Fracture Parameters in Thermoplastic Fiber Metal Laminates Under Mixed-Mode I+ II. Polymers 2025, 17, 1462. [Google Scholar] [CrossRef]
- Carroll, J.; Efstathiou, C.; Lambros, J.; Sehitoglu, H.; Hauber, B.; Spottswood, S.; Chona, R. Investigation of fatigue crack closure using multiscale image correlation experiments. Eng. Fract. Mech. 2009, 76, 2384–2398. [Google Scholar] [CrossRef]
- Durif, E.; Réthoré, J.; Combescure, A.; Fregonese, M.; Chaudet, P. Controlling stress intensity factors during a fatigue crack propagation using digital image correlation and a load shedding procedure. Exp. Mech. 2012, 52, 1021–1031. [Google Scholar] [CrossRef]
- Amsalu, C.; Negasa, D.; Merga, A. Numerical analysis of fiber reinforced composite material for structural component application. Heliyon 2024, 10, e37698. [Google Scholar] [CrossRef]
- Gong, L.; Feng, Y.; Zhang, W.; Xu, M.; Zeng, X. Vibration Performances of a Full-Scale Assembled Integral Two-Way Multi-Ribbed Composite Floor. Buildings 2025, 15, 1551. [Google Scholar] [CrossRef]
- Reeder, J.R.; Crews, J.H., Jr. Mixed-mode bending method for delamination testing. AIAA J. 1990, 28, 1270–1276. [Google Scholar] [CrossRef]
- Song, S.J.; Waas, A.M. Mode I failure of laminated polymeric composites. Eng. Fract. Mech. 1994, 49, 17–27. [Google Scholar] [CrossRef]
- De Morais, A.B. Double cantilever beam testing of multidirectional laminates. Compos. Part A Appl. Sci. Manuf. 2003, 34, 1135–1142. [Google Scholar] [CrossRef]
- Hu, X.M.; Han, K.C.; Xu, F.; Xie, W.; Kou, J.F. Mixed-Mode Bending Test for Fracture Toughness of Composite Bonding Adhesive Layer. Adv. Mater. Res. 2012, 415, 2240–2243. [Google Scholar] [CrossRef]
- Bahmani, A.; Farahmand, F.; Janbaz, M.; Darbandi, A.; Ghesmati-Kucheki, H.; Aliha, M. On the comparison of two mixed-mode I+ III fracture test specimens. Eng. Fract. Mech. 2021, 241, 107434. [Google Scholar] [CrossRef]
- Oliveira, J.; Xavier, J.; Pereira, F.; Morais, J.; de Moura, M. Direct evaluation of mixed mode I+II cohesive laws of wood by coupling MMB test with DIC. Materials 2021, 14, 374. [Google Scholar] [CrossRef]
- ASTM D6671-01; Standard Test Method for Mixed Mode I/II Interlaminar Fracture Toughness of Unidirectional Fibre Reinforced Polymer Matrix Composites. ASTM International: West Conshohocken, PA, USA, 2001.
- Gong, Y.; Zhao, L.; Zhang, J.; Hu, N.; Zhang, C. Development of a standardized test procedure and an improved data reduction method for the mixed-mode I/II delamination in composite laminates. Compos. Sci. Technol. 2021, 201, 108488. [Google Scholar] [CrossRef]
- Edelen, D.L., III; Bruck, H.A. Predicting failure modes of 3D-printed multi-material polymer sandwich structures from process parameters. J. Sandw. Struct. Mater. 2022, 24, 1049–1075. [Google Scholar] [CrossRef]
- Guseinov, K.; Kudryavtsev, O.; Bezmelnitsyn, A.; Sapozhnikov, S. Determination of interlaminar shear properties of fibre-reinforced composites under biaxial loading: A new experimental approach. Polymers 2022, 14, 2575. [Google Scholar] [CrossRef] [PubMed]
- Kanno, T.; Kurita, H.; Suzuki, M.; Tamura, H.; Narita, F. Numerical and Experimental Investigation of the Through-Thickness Strength Properties of Woven Glass Fiber Reinforced Polymer Composite Laminates under Combined Tensile and Shear Loading. J. Compos. Sci. 2020, 4, 112. [Google Scholar] [CrossRef]
- ASTM D7078; Standard Test Method for Shear Properties of Composite Materials by V-Notched Rail Shear Method. ASTM International: West Conshohocken, PA, USA, 2005.
- Saadati, Y.; Chatelain, J.F.; Lebrun, G.; Beauchamp, Y.; Bocher, P.; Vanderesse, N. A study of the interlaminar fracture toughness of unidirectional flax/epoxy composites. J. Compos. Sci. 2020, 4, 66. [Google Scholar] [CrossRef]
- Li, J.; Lee, S.M.; Lee, E.W.; O’Brien, T.K. Evaluation of the edge crack torsion (ECT) test for mode III interlaminar fracture toughness of laminated composites. Compos. Technol. Res. 1997, 19, 174–183. [Google Scholar]
- Nezamabadi, S.; Potier-Ferry, M.; Zahrouni, H.; Yvonnet, J. Compressive failure of composites: A computational homogenization approach. Compos. Struct. 2015, 127, 60–68. [Google Scholar] [CrossRef]
- Abdullah, S.S.; Bokti, S.; Wong, K.; Johar, M.; Chong, W.; Dong, Y. mode II and mode III delamination of carbon fiber/epoxy composite laminates subjected to a four-point bending mechanism. Compos. Part B Eng. 2024, 270, 111110. [Google Scholar] [CrossRef]
- De Morais, A.; Pereira, A. mode III interlaminar fracture of carbon/epoxy laminates using a four-point bending plate test. Compos. Part A Appl. Sci. Manuf. 2009, 40, 1741–1746. [Google Scholar] [CrossRef]
- Pundir, M.; Adda-Bedia, M.; Kammer, D.S. Transonic and supershear crack propagation driven by geometric nonlinearities. Phys. Rev. Lett. 2024, 132, 226102. [Google Scholar] [CrossRef]
- Zolfagharian, A.; Khosravani, M.R.; Kaynak, A. Fracture resistance analysis of 3D-printed polymers. Polymers 2020, 12, 302. [Google Scholar] [CrossRef]
- Rice, J.R. A path independent integral and the approximate analysis of strain concentration by notches and cracks. ASME. J. Appl. Mech. 1968, 35, 379–386. [Google Scholar] [CrossRef]
- Lei, Y. J-integral evaluation for cases involving non-proportional stressing. Eng. Fract. Mech. 2005, 72, 577–596. [Google Scholar] [CrossRef]
- Sun, C.Q.; Zhang, C.; He, B. Effect of Strength Matching Performance on J-Integral of Inhomogeneous Welded Joints. Adv. Mater. Res. 2012, 472, 1267–1270. [Google Scholar] [CrossRef]
- Acharyya, S.; Dhar, S.; Chattopadhyay, J. Evaluation of critical fracture energy parameter Gfr and assessment of its transferrability. Eng. Fract. Mech. 2008, 75, 253–274. [Google Scholar] [CrossRef]
- Huang, T.; Bobyr, M. A review of delamination damage of composite materials. J. Compos. Sci. 2023, 7, 468. [Google Scholar] [CrossRef]
- Wu, D.; Liu, Z.; Li, D.; Zhang, Z.; Chen, J. Study on the stress intensity factor of a compact specimen under the pre-compressed load condition. J. Theor. Appl. Mech. 2023, 61, 37–47. [Google Scholar] [CrossRef]
- E1820-17a; Standard Test Method for Measurement of Fracture Toughness. ASTM International: West Conshohocken, PA, USA, 2017.
- ISO 12135:2002(E); Metallic Materials—Unified Method of Test for the Determination of Quasistatic Fracture Toughness. International Organization for Standardization: Geneva, Switzerland, 2002.
- E561-20; Standard Practice for R-Curve Determination. ASTM International: West Conshohocken, PA, USA, 2020. [CrossRef]
- Romanowicz, M. Predictions of fracture resistance of spruce wood under mixed mode loading using non-local fracture theory and numerical modelling. J. Theor. Appl. Mech. 2023, 61, 147–162. [Google Scholar] [CrossRef]
- Cˇervenka, J.; Saouma, V.E. Numerical evaluation of 3-D SIF for arbitrary finite element meshes. Eng. Fract. Mech. 1997, 57, 541–563. [Google Scholar] [CrossRef]
- Gosz, M.; Moran, B. An interaction energy integral method for computation of mixed-mode stress intensity factors along non-planar crack fronts in three dimensions. Eng. Fract. Mech. 2002, 69, 299–319. [Google Scholar] [CrossRef]
- E399-20; Standard Test Method for Linear-Elastic Plane-Strain Fracture Toughness of Metallic Materials. ASTM International: West Conshohocken, PA, USA, 2020. [CrossRef]
- Vala, J.; Tomáš, J. Damage behavior of Quasi-Brittle Composites: Mathematical and Computational Aspects. Appl. Sci. 2025, 15, 4214. [Google Scholar] [CrossRef]
- Barenblatt, G.I. The formation of equilibrium cracks during brittle fracture. General ideas and hypotheses. Axially-symmetric cracks. J. Appl. Math. Mech. 1959, 23, 622–636. [Google Scholar] [CrossRef]
- Dugdale, D.S. Yielding of steel sheets containing slits. J. Mech. Phys. Solids 1960, 8, 100–104. [Google Scholar] [CrossRef]
- Fan, C.; Jar, P.Y.B.; Cheng, J.R. Cohesive zone with continuum damage properties for simulation of delamination development in fibre composites and failure of adhesive joints. Eng. Fract. Mech. 2008, 75, 3866–3880. [Google Scholar] [CrossRef]
- Tvergaard, V.; Hutchinson, J.W. Effect of T-stress on mode I crack growth resistance in a ductile solid. Int. J. Solids Struct. 1994, 31, 823–833. [Google Scholar] [CrossRef]
- Vandellos, T.; Huchette, C.; Carrere, N. Proposition of a framework for the development of a cohesive zone model adapted to carbon-fiber reinforced plastic laminated composites. Compos. Struct. 2013, 105, 199–206. [Google Scholar] [CrossRef]
- Mageed, A.A.; Pandey, R. Mixed mode crack growth under static and cyclic loading in A1-alloy sheets. Eng. Fract. Mech. 1991, 40, 371–385. [Google Scholar] [CrossRef]
- Zhu, Y.; Liechti, K.M.; Ravi-Chandar, K. Direct extraction of rate-dependent traction–separation laws for polyurea/steel interfaces. Int. J. Solids Struct. 2009, 46, 31–51. [Google Scholar] [CrossRef]
- Halverson, H.G.; Curtin, W.A.; Reifsnider, K.L. Fatigue life of individual composite specimens based on intrinsic fatigue behavior. Int. J. Fatigue 1997, 19, 369–377. [Google Scholar] [CrossRef]
- Benzeggagh, M.; Kenane, M. Measurement of mixed-mode delamination fracture toughness of unidirectional glass/epoxy composites with mixed-mode bending apparatus. Compos. Sci. Technol. 1996, 56, 439–449. [Google Scholar] [CrossRef]
- Filipescu, H.; Caplescu, C.; Pasca, N. Assessment of UMTS and averaged SED fracture criteria for U-notched specimens. Key Eng. Mater. 2014, 577, 113–116. [Google Scholar] [CrossRef]
- Karadimas, G.; Salonitis, K. Ceramic matrix composites for aero engine applications—A review. Appl. Sci. 2023, 13, 3017. [Google Scholar] [CrossRef]
- Pan, Y.; Liu, X.; Yao, J. Prediction of Mechanical Properties of Void Defect-Containing Cf/SiBCN Ceramic Matrix Composite Based on a Multiscale Analysis Approach. Materials 2025, 18, 2116. [Google Scholar] [CrossRef]
- Das, A.K.; Leung, C.K.Y. A Novel Technique for High-Efficiency Characterization of Complex Cracks with Visual Artifacts. Appl. Sci. 2024, 14, 7194. [Google Scholar] [CrossRef]
- Karihaloo, B.L.; Xiao, Q. Modelling of stationary and growing cracks in FE framework without remeshing: A state-of-the-art review. Comput. Struct. 2003, 81, 119–129. [Google Scholar] [CrossRef]
- Kim, H.G.; Howe, R.; Wiebe, R.; Spottswood, S.M.; O’Hara, P.J.; Salviato, M. Experimental characterization of traction-separation laws for interlaminar fracture in geometrically-scaled composites using progressive digital image correlation and through-thickness deformation analysis. arXiv 2023, arXiv:2312.05087. [Google Scholar]
- Blaschke, D.N.; Nguyen, T.; Nitol, M.; O’Malley, D.; Fensin, S. Machine learning based approach to predict ductile damage model parameters for polycrystalline metals. Comput. Mater. Sci. 2023, 229, 112382. [Google Scholar] [CrossRef]
- Gopalsamy, R.; Chevaugeon, N.; Chupin, O.; Hammoum, F. Variational approach to viscoelastic fracture: Comparison of a phase-field and a lip-field approach. Int. J. Fract. 2023, 244, 163–185. [Google Scholar] [CrossRef]
- Newman, B.; Randall, J.D.; Varley, R.J.; Stojcevski, F.; Henderson, L.C. Bioinspired Hard–Soft Interface Management for Superior Performance in Carbon Fibre Composites. Fibers Polym. 2023, 24, 3279–3288. [Google Scholar] [CrossRef]
- Wang, Y.; Javadi, A.A.; Fidelibus, C.; Liang, H. Improvements for the solution of crack evolution using extended finite element method. Sci. Rep. 2024, 14, 26924. [Google Scholar] [CrossRef] [PubMed]
- Belytschko, T.; Black, T. Elastic crack growth in finite elements with minimal remeshing. Int. J. Numer. Methods Eng. 1999, 45, 601–620. [Google Scholar] [CrossRef]
- Alshoaibi, A.M.; Fageehi, Y.A. A Robust Adaptive Mesh Generation Algorithm: A Solution for Simulating 2D Crack Growth Problems. Materials 2023, 16, 6481. [Google Scholar] [CrossRef]
- Guo, F.; Li, Y.; Chen, Y.; Liu, P.; Wang, X. Investigation of the Stress Intensity Factor in Heterogeneous Materials Based on the Postprocessing Routine of Commercial Finite Element Software. Appl. Sci. 2025, 15, 5827. [Google Scholar] [CrossRef]
- Feklistova, E.; Mugatarov, A.; Wildemann, V.; Agishev, A. Fracture processes numerical modeling of elastic-brittle bodies with statistically distributed subregions strength values. Fract. Struct. Integr. 2024, 18, 425–439. [Google Scholar] [CrossRef]
- Bourdin, B. Numerical implementation of the variational formulation for quasi-static brittle fracture. Interfaces Free Bound. 2007, 9, 411–430. [Google Scholar] [CrossRef]
- Peters, W.; Ranson, W.; Sutton, M.; Chu, T.; Anderson, J. Application of digital correlation methods to rigid body mechanics. Opt. Eng. 1983, 22, 738–742. [Google Scholar] [CrossRef]
- McNeill, S.; Peters, W.; Sutton, M. Estimation of stress intensity factor by digital image correlation. Eng. Fract. Mech. 1987, 28, 101–112. [Google Scholar] [CrossRef]
- Tiwari, V.; Sutton, M.; McNeill, S. Assessment of high speed imaging systems for 2D and 3D deformation measurements: Methodology development and validation. Exp. Mech. 2007, 47, 561–579. [Google Scholar] [CrossRef]
- Pan, B.; Qian, K.; Xie, H.; Asundi, A. Two-dimensional digital image correlation for in-plane displacement and strain measurement: A review. Meas. Sci. Technol. 2009, 20, 062001. [Google Scholar] [CrossRef]
- Schreier, H.; Orteu, J.J.; Sutton, M.A. Image correlation for shape, motion and deformation measurements: Basic concepts, theory and applications. In Image Correlation for Shape, Motion and Deformation Measurements; Springer Science & Business Media: Berlin/Heidelberg, Germany, 2009. [Google Scholar]
- Romanowicz, P.J.; Szybiński, B.; Wygoda, M. Assessment of digital image correlation effectiveness and quality in determination of surface strains of hybrid steel/composite structures. Materials 2024, 17, 3561. [Google Scholar] [CrossRef]
- Lucas, B.D.; Kanade, T. An iterative image registration technique with an application to stereo vision. In Proceedings of the IJCAI’81: 7th International Joint Conference on Artificial Intelligence, Vancouver, BC, Canada, 24–28 August 1981; Volume 2, pp. 674–679. [Google Scholar]
- Catalanotti, G.; Camanho, P.; Xavier, J.; Dávila, C.; Marques, A. Measurement of resistance curves in the longitudinal failure of composites using digital image correlation. Compos. Sci. Technol. 2010, 70, 1986–1993. [Google Scholar] [CrossRef]
- Wang, Y.; Zhou, C. Unsupervised CNN-based DIC method for 2D displacement measurement. Opt. Lasers Eng. 2024, 174, 107981. [Google Scholar] [CrossRef]
- Rashid, S.; Rossi, E.; Diplas, S.; Carvalho, P.A.; Pucicki, D.; Kuna, R.; Sebastiani, M. A Critical Comparison Among High-Resolution Methods for Spatially Resolved Nano-Scale Residual Stress Analysis in Nanostructured Coatings. Int. J. Mol. Sci. 2025, 26, 3296. [Google Scholar] [CrossRef]
- Latifi, M.; Kouchakzadeh, M. Modeling the R-curve effects in laminate composites using the interface thick level set method. Theor. Appl. Fract. Mech. 2020, 108, 102645. [Google Scholar] [CrossRef]
- Han, N.; Fan, L.; Zhang, Y. Estimation of cohesive zone model parameters for glass/Elium composites with different processing temperature. J. Reinf. Plast. Compos. 2024, 43, 601–611. [Google Scholar] [CrossRef]
- Martulli, L.; Bernasconi, A. An efficient and versatile use of the VCCT for composites delamination growth under fatigue loadings in 3D numerical analysis: The Sequential Static Fatigue algorithm. Int. J. Fatigue 2023, 170, 107493. [Google Scholar] [CrossRef]
- Mohamed, A.F.; Abdellah, M.Y.; Hassan, M.K.; Backar, A.H. Advanced Prediction and Analysis of Delamination Failure in Graphite-Reinforced Epoxy Composites Using VCCT-Based Finite Element Modelling Techniques. Polymers 2025, 17, 771. [Google Scholar] [CrossRef] [PubMed]
- Khan, S.; Alderliesten, R.; Benedictus, R. Delamination in fiber metal laminates (GLARE) during fatigue crack growth under variable amplitude loading. Int. J. Fatigue 2011, 33, 1292–1303. [Google Scholar] [CrossRef]
- Hofman, P.; van der Meer, F.; Sluys, L.J. Modeling of progressive high-cycle fatigue in composite laminates accounting for local stress ratios. Compos. Part A Appl. Sci. Manuf. 2024, 183, 108219. [Google Scholar] [CrossRef]
- Kalfon-Cohen, E.; Kopp, R.; Furtado, C.; Ni, X.; Arteiro, A.; Borstnar, G.; Mavrogordato, M.N.; Sinclair, I.; Spearing, S.M.; Camanho, P.P.; et al. Synergetic effects of thin plies and aligned carbon nanotube interlaminar reinforcement in composite laminates. Compos. Sci. Technol. 2018, 166, 160–168. [Google Scholar] [CrossRef]
- Yujing, C. Modeling of the mechanical degradation induced by moisture absorption in short natural fiber reinforced composites. Compos. Sci. Technol. 2014, 103, 22–27. [Google Scholar] [CrossRef]
- Wei, J.; Fang, Z.; Wu, X.; Li, D.-S.; Guo, Q.; Zhang, D.; Li, C.; Liu, Y.; Yan, Y.; Guo, J.; et al. Vibration Fatigue Behavior and Failure Mechanism of 3D Layer-to-Layer Interlock Woven Composites; SSRN: Rocheste, NY, USA, 2025. [Google Scholar]
- Bozkurt, M.O.; Ozen, E.B.; Yavuz, B.O.; Parnas, L.; Coker, D. High-speed observation of dynamic delamination failure in tapered composite laminates under tensile loading. Polym. Compos. 2024, 45, 9181–9195. [Google Scholar] [CrossRef]
- Molimard, J.; Le Riche, R.; Vautrin, A.; Lee, J.R. Identification of the four orthotropic plate stiffnesses using a single open-hole tensile test. Exp. Mech. 2005, 45, 404–411. [Google Scholar] [CrossRef]
- Kumar, V.; Singh, A. Investigation of traction-separation behavior in adhesively bonded joints under mode I and mode II loading using DIC technique and FEA. Eng. Fail. Anal. 2024, 159, 108048. [Google Scholar] [CrossRef]
- Yenigun, B.; Chaudhry, M.S.; Gkouti, E.; Czekanski, A. Characterization of Mode I and mode II Interlaminar Fracture Toughness in CNT-Enhanced CFRP under Various Temperature and Loading Rates. Nanomaterials 2023, 13, 1729. [Google Scholar] [CrossRef]
- Elango, I.; Arumugam, V.; Dhakal, H.N. Fabrication and comparison of interlaminar fracture toughness behavior of glass epoxy composites with recycled milled Kevlar-carbon hybrid fillers. Heliyon 2024, 10, e38842. [Google Scholar] [CrossRef]
- Chen, T.; Harvey, C.M.; Zhang, K.; Wang, S.; Silberschmidt, V.V.; Wei, B. Dynamic mode-I delamination in composite DCB under impact loads with attunable dynamic effect. Compos. Sci. Technol. 2023, 241, 110120. [Google Scholar] [CrossRef]
- Gong, Y.; Xia, K.; Wang, Y.; Zhao, L.; Zhang, J.; Hu, N. A semi-analytical model for the mode II fracture toughness of multidirectional composite laminates. Thin-Walled Struct. 2023, 182, 110235. [Google Scholar] [CrossRef]
- Gong, Y.; Jiang, L.; Li, L.; Zhao, J. An experimental and numerical study of the influence of temperature on mode II fracture of a T800/epoxy unidirectional laminate. Materials 2022, 15, 8108. [Google Scholar] [CrossRef]
- Yan, B.; Zhu, L.; Zhu, S.; Zhang, Y.; Shen, L.; Zhang, T.; Zhu, K.; Li, Z.; Jiang, W. Half-thickness z-pin effect on the interlaminar and the intralaminar properties of polyimide z-pin reinforced polymer composites. J. Compos. Mater. 2025, 59. [Google Scholar] [CrossRef]
- Chen, Y.; Meng, B.; Zhong, L.; Guo, D.; Sha, L.; Zhao, H.; Xu, Y.; Li, J.; Chang, Z.; Zhang, X.; et al. Novel carbon fiber/aramid fiber composite carbon paper for improved performance in proton exchange membrane fuel cells. Ind. Crops Prod. 2025, 223, 120187. [Google Scholar] [CrossRef]
- Arca, M.; Coker, D. Experimental investigation of CNT effect on curved beam strength and interlaminar fracture toughness of CFRP laminates. J. Phys. Conf. Ser. 2014, 524, 012038. [Google Scholar] [CrossRef]
- Zhang, Y.; Xue, Y.; Liu, Y.; Li, W.; Liu, K.; Han, W.; Zhang, Z. A novel rapid fabrication method and in-situ densification mechanism for ceramic matrix composite. Compos. Part B Eng. 2025, 288, 111881. [Google Scholar] [CrossRef]
- Bensadoun, F.; Verpoest, I.; Van Vuure, A.W. Interlaminar fracture toughness of flax-epoxy composites. J. Reinf. Plast. Compos. 2017, 36, 121–136. [Google Scholar] [CrossRef]
- Yang, X.; Chen, Y.; Zhang, C.; Duan, G.; Jiang, S. Electrospun carbon nanofibers and their reinforced composites: Preparation, modification, applications, and perspectives. Compos. Part B Eng. 2023, 249, 110386. [Google Scholar] [CrossRef]
- Beckermann, G.W. Nanofiber interleaving veils for improving the performance of composite laminates. Reinf. Plast. 2017, 61, 289–293. [Google Scholar] [CrossRef]
- Zhang, H.; Kuwata, M.; Bilotti, E.; Peijs, T. Integrated damage sensing in fibre-reinforced composites with extremely low carbon nanotube loadings. J. Nanomater. 2015, 2015, 785834. [Google Scholar] [CrossRef]
- Zuo, P.; Srinivasan, D.V.; Vassilopoulos, A.P. Review of hybrid composites fatigue. Compos. Struct. 2021, 274, 114358. [Google Scholar] [CrossRef]
- Abd Rased, M.; Yoon, S. Experimental study on effects of asymmetrical stacking sequence on carbon fiber/epoxy filament wound specimens in DCB, ENF, and MMB tests. Compos. Struct. 2021, 264, 113749. [Google Scholar] [CrossRef]
- Wang, L.; Su, H.; Zhou, K. A phase-field model for mixed-mode cohesive fracture in fiber-reinforced composites. Comput. Methods Appl. Mech. Eng. 2024, 421, 116753. [Google Scholar] [CrossRef]
- Benazzo, F.; Rigamonti, D.; Bettini, P.; Sala, G.; Grande, A. Interlaminar fracture of structural fibre/epoxy composites integrating damage sensing and healing. Compos. Part B Eng. 2022, 244, 110137. [Google Scholar] [CrossRef]
- Umarfarooq, M.; Gouda, P.S.; Banapurmath, N.; Kittur, M.; Khan, T.; Parveez, B.; Sebaey, T.A.; Badruddin, I.A. Post-curing and fiber hybridization effects on mode-II interlaminar fracture toughness of glass/carbon/epoxy composites. Polym. Compos. 2023, 44, 4734–4745. [Google Scholar] [CrossRef]
- Lamichhane, P.; Dhakal, D.; Jayalath, I.N.; Baxter, L.; Chaudhari, S.; Vaidyanathan, R. Polyaniline and graphene nanocomposites for enhancing the interlaminar fracture toughness and thermo-mechanical properties of carbon fiber/epoxy composites. arXiv 2022, arXiv:2207.09500. [Google Scholar]
- Süsler, S.; Kazancı, Z. Investigation of Delamination Characteristics in 3D-Printed Hybrid Curved Composite Beams. Polymers 2024, 16, 2250. [Google Scholar] [CrossRef] [PubMed]
- Kawai, M.; Koizumi, M. Nonlinear constant fatigue life diagrams for carbon/epoxy laminates at room temperature. Compos. Part A Appl. Sci. Manuf. 2007, 38, 2342–2353. [Google Scholar] [CrossRef]
- Au-Yeung, K.; Quintanas-Corominas, A.; Martínez-Pañeda, E.; Tan, W. Hygroscopic phase field fracture modelling of composite materials. Eng. Comput. 2023, 39, 3847–3864. [Google Scholar] [CrossRef]
- Marulli, M.; Valverde-González, A.; Quintanas-Corominas, A.; Paggi, M.; Reinoso, J. A combined phase-field and cohesive zone model approach for crack propagation in layered structures made of nonlinear rubber-like materials. Comput. Methods Appl. Mech. Eng. 2022, 395, 115007. [Google Scholar] [CrossRef]
- Dawood, L.L.; AlAmeen, E.S. Influence of infill patterns and densities on the fatigue performance and fracture behavior of 3D-printed carbon fiber-reinforced PLA composites. AIMS Mater. Sci. 2024, 11, 833–857. [Google Scholar] [CrossRef]
- Santos, P.; Silva, A.P.; Reis, P.N. The effect of carbon nanofibers on the mechanical performance of epoxy-based composites: A review. Polymers 2024, 16, 2152. [Google Scholar] [CrossRef]
- Zhu, X.; Liu, J.; Hua, Y.; Tertuliano, O.A.; Raney, J.R. Improving structural damage tolerance and fracture energy via bamboo-inspired void patterns. Bioinspir. Biomim. 2024, 19, 056005. [Google Scholar] [CrossRef]
- Kostopoulos, V.; Sarantinos, N.; Tsantzalis, S. Review of through-the-thickness reinforced z-pinned composites. J. Compos. Sci. 2020, 4, 31. [Google Scholar] [CrossRef]
- Jiang, H.; Liu, X.; Jiang, S.; Ren, Y. Hybrid effects and interactive failure mechanisms of hybrid fiber composites under flexural loading: Carbon/Kevlar, carbon/glass, carbon/glass/Kevlar. Aerosp. Sci. Technol. 2023, 133, 108105. [Google Scholar] [CrossRef]
- Zhang, X.; Zhao, G.; Lai, J.; Yu, T.; Zhang, X. Interlaminar toughening and self-healing mechanism for hard-and-soft layered composite laminates. Compos. Part A Appl. Sci. Manuf. 2025, 189, 108623. [Google Scholar] [CrossRef]
- Karaman, A.; Yeşil, H. Determination of tensile strength perpendicular to the fibers of wooden materials reinforced with basalt, glass fiber-reinforced polymer, and plaster mesh. BioResources 2025, 20, 42. [Google Scholar] [CrossRef]
- Furtado, C.; Kopp, R.; Ni, X.; Sarrado, C.; Kalfon-Cohen, E.; Wardle, B.L.; Camanho, P.P. J-integral experimental reduction reveals fracture toughness improvements in thin-ply carbon fiber laminates with aligned carbon nanotube interlaminar reinforcement. ACS Appl. Mater. Interfaces 2024, 16, 20980–20989. [Google Scholar] [CrossRef]
- Kartsonakis, I.A.; Kontiza, A.; Kanellopoulou, I.A. Advanced Micro/Nanocapsules for Self-Healing Coatings. Appl. Sci. 2024, 14, 8396. [Google Scholar] [CrossRef]
- Rahman, R.; Haque, A. Molecular modeling of crosslinked graphene–epoxy nanocomposites for characterization of elastic constants and interfacial properties. Compos. Part B Eng. 2013, 54, 353–364. [Google Scholar] [CrossRef]
- Nguyen, H.K.; Shundo, A.; Ito, M.; Pittenger, B.; Yamamoto, S.; Tanaka, K.; Nakajima, K. Insights into mechanical dynamics of nanoscale interfaces in epoxy composites using nanorheology atomic force microscopy. ACS Appl. Mater. Interfaces 2023, 15, 38029–38038. [Google Scholar] [CrossRef]
- Wang, W.; Takao, Y.; Matsubara, T.; Kim, H. Improvement of the interlaminar fracture toughness of composite laminates by whisker reinforced interlamination. Compos. Sci. Technol. 2002, 62, 767–774. [Google Scholar] [CrossRef]
- Wang, Y.; Luo, Q.; Xie, H.; Li, Q.; Sun, G. Digital image correlation (DIC) based damage detection for CFRP laminates by using machine learning based image semantic segmentation. Int. J. Mech. Sci. 2022, 230, 107529. [Google Scholar] [CrossRef]
- Zhu, G.; Zhang, Y.; Niu, X.; Duan, C.; Wang, Z.; Zhao, X. Novel multiscale modeling strategy for hybrid fiber-reinforced composites. Int. J. Mech. Sci. 2025, 287, 109997. [Google Scholar] [CrossRef]
- Amorim, L.; Santos, A.; Nunes, J.; Viana, J. Bioinspired approaches for toughening of fibre reinforced polymer composites. Mater. Des. 2021, 199, 109336. [Google Scholar] [CrossRef]
Disclaimer/Publisher’s Note: The statements, opinions and data contained in all publications are solely those of the individual author(s) and contributor(s) and not of MDPI and/or the editor(s). MDPI and/or the editor(s) disclaim responsibility for any injury to people or property resulting from any ideas, methods, instructions or products referred to in the content. |
© 2025 by the authors. Licensee MDPI, Basel, Switzerland. This article is an open access article distributed under the terms and conditions of the Creative Commons Attribution (CC BY) license (https://creativecommons.org/licenses/by/4.0/).







