Dynamic Control of Airy Beams Using Real-Time Phase-Amplitude Encoding on a Spatial Light Modulator
Abstract
1. Introduction
2. Modelling Aspects
2.1. Analytical Framework for Airy Beams
2.2. Phase-Amplitude Pattern Design
2.3. Simulation Results
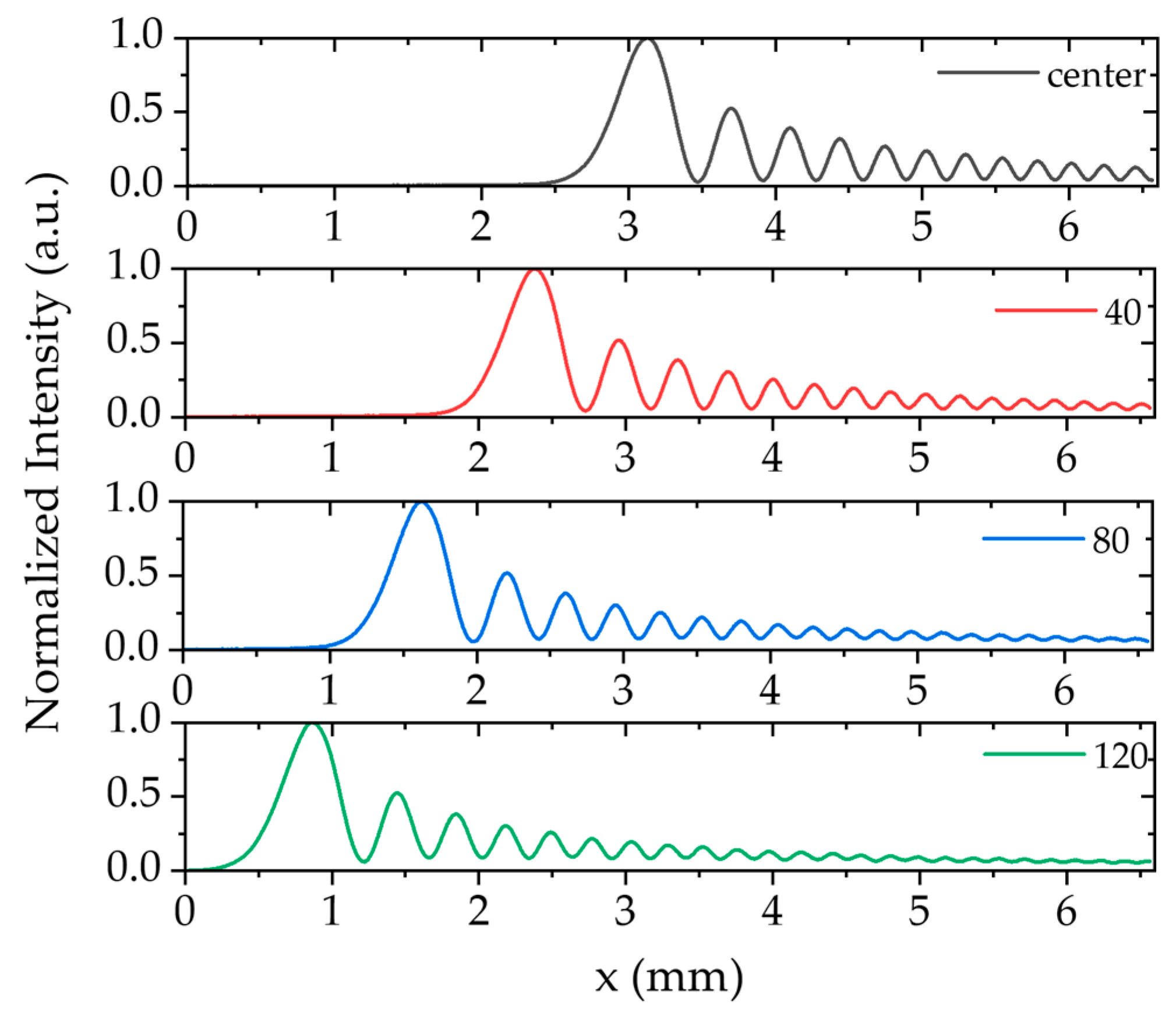
3. Experimental Methods and Results
3.1. Calibration of the SLM for Phase Modulation
3.2. Diffraction Efficiency Optimization
3.3. Airy Beam Generation and Control
4. Conclusions
Author Contributions
Funding
Data Availability Statement
Acknowledgments
Conflicts of Interest
References
- Durnin, J. Exact solutions for nondiffracting beams. I. The scalar theory. J. Opt. Soc. Am. A 1987, 4, 651–654. [Google Scholar] [CrossRef]
- Durnin, J.; Miceli, J.J.; Eberly, J.H. Diffraction-free beams. Phys. Rev. Lett. 1987, 58, 1499–1501. [Google Scholar] [CrossRef]
- Berry, M.V.; Balazs, N.L. Nonspreading wave packets. Am. J. Phys. 1979, 47, 264–267. [Google Scholar] [CrossRef]
- Siviloglou, G.A.; Christodoulides, D.N. Accelerating finite energy Airy beams. Opt. Lett. 2007, 32, 979–981. [Google Scholar] [CrossRef]
- Siviloglou, G.A.; Broky, J.; Dogariu, A.; Christodoulides, D.N. Observation of Accelerating Airy Beams. Phys. Rev. Lett. 2007, 99, 213901. [Google Scholar] [CrossRef] [PubMed]
- Siviloglou, G.A.; Broky, J.; Dogariu, A.; Christodoulides, D.N. Ballistic dynamics of Airy beams. Opt. Lett. 2008, 33, 207–209. [Google Scholar] [CrossRef]
- Bandres, M.A.; Rodríguez-Lara, B.M. Nondiffracting accelerating waves: Weber waves and parabolic momentum. N. J. Phys. 2013, 15, 013054. [Google Scholar] [CrossRef]
- Broky, J.; Siviloglou, G.A.; Dogariu, A.; Christodoulides, D.N. Self-healing properties of optical Airy beams. Opt. Express 2008, 16, 12880–12891. [Google Scholar] [CrossRef]
- Abdollahpour, D.; Suntsov, S.; Papazoglou, D.G.; Tzortzakis, S. Spatiotemporal Airy Light Bullets in the Linear and Nonlinear Regimes. Phys. Rev. Lett. 2010, 105, 253901. [Google Scholar] [CrossRef]
- Chong, A.; Renninger, W.H.; Christodoulides, D.N.; Wise, F.W. Airy–Bessel wave packets as versatile linear light bullets. Nat. Photonics 2010, 4, 103–106. [Google Scholar] [CrossRef]
- Panagiotopoulos, P.; Papazoglou, D.G.; Couairon, A.; Tzortzakis, S. Sharply autofocused ring-Airy beams transforming into non-linear intense light bullets. Nat. Commun. 2013, 4, 2622. [Google Scholar] [CrossRef] [PubMed]
- Zhang, J.; Yang, X. Periodic abruptly autofocusing and autodefocusing behavior of circular Airy beams in parabolic optical potentials. Opt. Commun. 2018, 420, 163–167. [Google Scholar] [CrossRef]
- Rose, P.; Diebel, F.; Boguslawski, M.; Denz, C. Airy beam induced optical routing. Appl. Phys. Lett. 2013, 102, 101101. [Google Scholar] [CrossRef]
- Voloch-Bloch, N.; Lereah, Y.; Lilach, Y.; Gover, A.; Arie, A. Generation of electron Airy beams. Nature 2013, 494, 331–335. [Google Scholar] [CrossRef]
- Vettenburg, T.; Dalgarno, H.I.C.; Nylk, J.; Coll-Lladó, C.; Ferrier, D.E.K.; Čižmár, T.; Gunn-Moore, F.J.; Dholakia, K. Light-sheet microscopy using an Airy beam. Nat. Methods 2014, 11, 541–544. [Google Scholar] [CrossRef] [PubMed]
- Hsu, H.-C.; Vyas, S.; Wu, J.-C.; Huang, K.-Y.; Liao, H.-S.; Yeh, J.A.; Luo, Y. Volume holographic illuminator for Airy light-sheet microscopy. Opt. Express 2024, 32, 167–178. [Google Scholar] [CrossRef]
- Li, H.; Wu, Z.; Yang, Z.; Zhanghao, K.; Xi, P.; Jin, D. Axially overlapped multi-focus light sheet with enlarged field of view. Appl. Phys. Lett. 2021, 118, 223701. [Google Scholar] [CrossRef]
- Wang, J.; Hua, X.; Guo, C.; Liu, W.; Jia, S. Airy-beam tomographic microscopy. Optica 2020, 7, 790–793. [Google Scholar] [CrossRef]
- Polynkin, P.; Kolesik, M.; Moloney, J.V.; Siviloglou, G.A.; Christodoulides, D.N. Curved Plasma Channel Generation Using Ultraintense Airy Beams. Science 2009, 324, 229–232. [Google Scholar] [CrossRef]
- Lin, Z.; Guo, X.; Tu, J.; Ma, Q.; Wu, J.; Zhang, D. Acoustic non-diffracting Airy beam. J. Appl. Phys. 2015, 117, 104503. [Google Scholar] [CrossRef]
- Baumgartl, J.; Mazilu, M.; Dholakia, K. Optically mediated particle clearing using Airy wavepackets. Nat. Photonics 2008, 2, 675–678. [Google Scholar] [CrossRef]
- Zheng, Z.; Zhang, B.-F.; Chen, H.; Ding, J.; Wang, H.-T. Optical trapping with focused Airy beams. Appl. Opt. 2011, 50, 43–49. [Google Scholar] [CrossRef] [PubMed]
- Efremidis, N.K.; Paltoglou, V.; von Klitzing, W. Accelerating and abruptly autofocusing matter waves. Phys. Rev. A 2013, 87, 043637. [Google Scholar] [CrossRef]
- Schneider, T.; Serga, A.A.; Chumak, A.V.; Sandweg, C.W.; Trudel, S.; Wolff, S.; Kostylev, M.P.; Tiberkevich, V.S.; Slavin, A.N.; Hillebrands, B. Nondiffractive Subwavelength Wave Beams in a Medium with Externally Controlled Anisotropy. Phys. Rev. Lett. 2010, 104, 197203. [Google Scholar] [CrossRef] [PubMed]
- Polynkin, P.; Kolesik, M.; Moloney, J. Filamentation of Femtosecond Laser Airy Beams in Water. Phys. Rev. Lett. 2009, 103, 123902. [Google Scholar] [CrossRef]
- Wiersma, N.; Marsal, N.; Sciamanna, M.; Wolfersberger, D. Spatiotemporal dynamics of counterpropagating Airy beams. Sci. Rep. 2015, 5, 13463. [Google Scholar] [CrossRef]
- Mitri, F.G. Airy acoustical–sheet spinner tweezers. J. Appl. Phys. 2016, 120, 104901. [Google Scholar] [CrossRef]
- Mitri, F.G. Acoustics of finite asymmetric exotic beams: Examples of Airy and fractional Bessel beams. J. Appl. Phys. 2017, 122, 224903. [Google Scholar] [CrossRef]
- Piksarv, P.; Marti, D.; Le, T.; Unterhuber, A.; Forbes, L.H.; Andrews, M.R.; Stingl, A.; Drexler, W.; Andersen, P.E.; Dholakia, K. Integrated single- and two-photon light sheet microscopy using accelerating beams. Sci. Rep. 2017, 7, 1435. [Google Scholar] [CrossRef]
- Nylk, J.; McCluskey, K.; Preciado, M.A.; Mazilu, M.; Yang, Z.; Gunn-Moore, F.J.; Aggarwal, S.; Tello, J.A.; Ferrier, D.E.K.; Dholakia, K. Light-sheet microscopy with attenuation-compensated propagation-invariant beams. Sci. Adv. 2018, 4, eaar4817. [Google Scholar] [CrossRef]
- Veettikazhy, M.; Nylk, J.; Gasparoli, F.; Escobet-Montalbán, A.; Hansen, A.K.; Marti, D.; Andersen, P.E.; Dholakia, K. Multi-photon attenuation-compensated light-sheet fluorescence microscopy. Sci. Rep. 2020, 10, 8090. [Google Scholar] [CrossRef] [PubMed]
- Efremidis, N.K.; Christodoulides, D.N. Abruptly autofocusing waves. Opt. Lett. 2010, 35, 4045–4047. [Google Scholar] [CrossRef] [PubMed]
- Papazoglou, D.G.; Efremidis, N.K.; Christodoulides, D.N.; Tzortzakis, S. Observation of abruptly autofocusing waves. Opt. Lett. 2011, 36, 1842–1844. [Google Scholar] [CrossRef] [PubMed]
- Yalizay, B.; Soylu, B.; Akturk, S. Optical element for generation of accelerating Airy beams. J. Opt. Soc. Am. A 2010, 27, 2344–2346. [Google Scholar] [CrossRef]
- Papazoglou, D.G.; Suntsov, S.; Abdollahpour, D.; Tzortzakis, S. Tunable intense Airy beams and tailored femtosecond laser filaments. Phys. Rev. A 2010, 81, 061807. [Google Scholar] [CrossRef]
- Dai, H.T.; Sun, X.W.; Luo, D.; Liu, Y.J. Airy beams generated by a binary phase element made of polymer-dispersed liquid crystals. Opt. Express 2009, 17, 19365–19370. [Google Scholar] [CrossRef]
- Liu, Y.; Chen, W.; Tang, J.; Xu, X.; Chen, P.; Ma, C.-Q.; Zhang, W.; Wei, B.-Y.; Ming, Y.; Cui, G.-X.; et al. Switchable Second-Harmonic Generation of Airy Beam and Airy Vortex Beam. Adv. Opt. Mater. 2021, 9, 2001776. [Google Scholar] [CrossRef]
- Wu, D.; Zhang, Z.; Wang, C.; Zhang, L.; Xu, L.; Wei, D.; Xiong, W.; Li, J.; Hu, Y.; Chu, J.; et al. Generation of nonlinear Airy beams with switchable acceleration direction. J. Opt. 2023, 25, 07LT01. [Google Scholar] [CrossRef]
- Fan, Q.; Zhu, W.; Liang, Y.; Huo, P.; Zhang, C.; Agrawal, A.; Huang, K.; Luo, X.; Lu, Y.; Qiu, C.; et al. Broadband Generation of Photonic Spin-Controlled Arbitrary Accelerating Light Beams in the Visible. Nano Lett. 2019, 19, 1158–1165. [Google Scholar] [CrossRef]
- Ellenbogen, T.; Voloch-Bloch, N.; Ganany-Padowicz, A.; Arie, A. Nonlinear generation and manipulation of Airy beams. Nat. Photonics 2009, 3, 395–398. [Google Scholar] [CrossRef]
- Trajtenberg-Mills, S.; Juwiler, I.; Arie, A. Generation of second-harmonic beams with switchable curved trajectories. Optica 2017, 4, 153–156. [Google Scholar] [CrossRef]
- Dolev, I.; Ellenbogen, T.; Arie, A. Switching the acceleration direction of Airy beams by a nonlinear optical process. Opt. Lett. 2010, 35, 1581–1583. [Google Scholar] [CrossRef] [PubMed]
- Zhang, Y.; Belić, M.R.; Zhang, L.; Zhong, W.; Zhu, D.; Wang, R.; Zhang, Y. Periodic inversion and phase transition of finite energy Airy beams in a medium with parabolic potential. Opt. Express 2015, 23, 10467–10480. [Google Scholar] [CrossRef] [PubMed]
- Davis, J.A.; Cottrell, D.M.; Campos, J.; Yzuel, M.J.; Moreno, I. Encoding amplitude information onto phase-only filters. Appl. Opt. 1999, 38, 5004–5013. [Google Scholar] [CrossRef]
- Bentley, J.B.; Davis, J.A.; Bandres, M.A.; Gutiérrez-Vega, J.C. Generation of helical Ince-Gaussian beams with a liquid-crystal display. Opt. Lett. 2006, 31, 649–651. [Google Scholar] [CrossRef]
- Strohaber, J. Intense-Field Ionization of Atoms and Molecules: Spatially Resolved Ion Detection and Ultrashort Optical Vortices; ETD collection for University of Nebraska-Lincoln; University of Nebraska-Lincoln: Lincoln, NE, USA, 2008. [Google Scholar]
- Strohaber, J.; Kaya, G.; Kaya, N.; Hart, N.; Kolomenskii, A.A.; Paulus, G.G.; Schuessler, H.A. In situ tomography of femtosecond optical beams with a holographic knife-edge. Opt. Express 2011, 19, 14321–14334. [Google Scholar] [CrossRef]











| Disclaimer/Publisher’s Note: The statements, opinions and data contained in all publications are solely those of the individual author(s) and contributor(s) and not of MDPI and/or the editor(s). MDPI and/or the editor(s) disclaim responsibility for any injury to people or property resulting from any ideas, methods, instructions or products referred to in the content. | 
© 2024 by the authors. Licensee MDPI, Basel, Switzerland. This article is an open access article distributed under the terms and conditions of the Creative Commons Attribution (CC BY) license (https://creativecommons.org/licenses/by/4.0/).
Share and Cite
Keskin, A.; Kaya, G.; Kaya, N.; Strohaber, J.; Kolomenskii, A.A.; Schuessler, H.A. Dynamic Control of Airy Beams Using Real-Time Phase-Amplitude Encoding on a Spatial Light Modulator. Optics 2024, 5, 581-594. https://doi.org/10.3390/opt5040043
Keskin A, Kaya G, Kaya N, Strohaber J, Kolomenskii AA, Schuessler HA. Dynamic Control of Airy Beams Using Real-Time Phase-Amplitude Encoding on a Spatial Light Modulator. Optics. 2024; 5(4):581-594. https://doi.org/10.3390/opt5040043
Chicago/Turabian StyleKeskin, Alpgiray, Gamze Kaya, Necati Kaya, James Strohaber, Alexandre A. Kolomenskii, and Hans A. Schuessler. 2024. "Dynamic Control of Airy Beams Using Real-Time Phase-Amplitude Encoding on a Spatial Light Modulator" Optics 5, no. 4: 581-594. https://doi.org/10.3390/opt5040043
APA StyleKeskin, A., Kaya, G., Kaya, N., Strohaber, J., Kolomenskii, A. A., & Schuessler, H. A. (2024). Dynamic Control of Airy Beams Using Real-Time Phase-Amplitude Encoding on a Spatial Light Modulator. Optics, 5(4), 581-594. https://doi.org/10.3390/opt5040043
 
        


