Abstract
In this paper, we propose an improvement to a recent Peak-to-Average Power Ratio (PAPR) reduction technique for Orthogonal Frequency Division Multiplexing (OFDM), the GreenOFDM. This technique, which is inspired by SeLected Mapping (SLM), generates several waveform candidates using a given number of Inverse Fast Fourier Transforms (IFFT), and selects the one with the lowest PAPR for the transmission of the OFDM symbol. For U IFFTs, GreenOFDM provides better PAPR reduction capabilities than SLM-OFDM as it increases the number of waveform candidates from U (for SLM-OFDM) to . In this work, we propose an extension of the GreenOFDM that further increases the number of waveform candidates by a factor of 4 (from to ), or equivalently reduces by a factor of 2 the number of IFFTs for a same PAPR performance. Compared to SLM-OFDM, the improved GreenOFDM technique reduces the complexity by requiring only the square-root of the number of IFFTs for a same PAPR reduction performance. Furthermore, exciting methods for additional complexity reduction are also implemented and discussed.
1. Introduction
Orthogonal Frequency Division Multiplexing (OFDM) is a widely used modulation technique for wireless communication systems thanks to its high spectral efficiency and robustness against frequency-selective channel. However, a well-known limitation of OFDM (as well as other multi-carrier schemes) is its high Peak-to-Average Power Ratio (PAPR) [1]. In addition, the PAPR in OFDM is a random variable. These characteristics of the PAPR in OFDM are troublesome for many reasons:
- (i)
- the PAPR of OFDM signals needs to be correctly estimated in order to take its dynamic range into consideration for the Digital-to-Analog Converters specification [2,3].
- (ii)
- in order to correctly estimate the PAPR of OFDM signals in the digital domain, the computational complexity of the digital modulator is increased due to oversampling [4].
- (iii)
- the high PAPR of these signals generally increases the Power Amplifier’s (PA’s) power dissipation as its linear region has to be extended to be able to accommodate signals with wide amplitude excursions. Not doing so results in non-linear distortions and out-of-band radiations that degrade the system performances [5].
To counteract the above-mentioned limitations, several PAPR reduction schemes have been proposed in the literature (with well documented surveys like [6,7,8] that outline the most important schemes that have been proposed during the last couple of decades). These schemes could be classified like proposed by [7,8] into different but not exhaustive categories as follows:
- Signal distortion techniques: Clipping and Filtering [9,10], Compounding [11].
- Multiple signaling and probabilistic techniques: SeLected Mapping OFDM (SLM-OFDM) [12,13], Tone Injection [14], Tone Reservation [15,16], Active Constellation Extension [17], and Partial Transmit Sequence (PTS) [18].
- Pre-coding techniques: Single Carrier Frequency Division Multiple Access (SC-FDMA) [19] and Carrier Interferometry [20,21].
Among these schemes, the SLM-OFDM is a well known one and has very recently been improved into the so-called GreenOFDM technique [22,23]. The underlying idea of SLM-OFDM is to generate a number of different OFDM symbol waveform candidates from the same data and to select the waveform with the lowest PAPR for transmission. For SLM-OFDM, the PAPR reduction depends on the number of waveform candidates; the more the number of candidates, the lesser the PAPR of OFDM. Essentially, GreenOFDM is a SLM-OFDM variant that increases the number of candidates in a square-scale while using the same number of Inverse Fast Fourier Transforms (IFFT) as in conventional SLM-OFDM. Thus, for a given number of computed IFFTs, a better PAPR reduction for GreenOFDM is attained as compared to SLM-OFDM.
GreenOFDM receives attention in the literature [24,25,26,27]. Some works compare the original GreenOFDM scheme with PTS variants but without using the same scheme [26,27]. Other works aim to improve the PAPR reduction capabilities as in [24], but the results seem to come from a not so exhaustive simulation study. Finally, other works like [25] reducing the complexity by relaxing the PAPR reduction capability as it has been also proposed in other works [28].
In contrast to previous studies, we propose, in this paper, a simple yet efficient improvement of the GreenOFDM that allows us to obtain a higher number of candidates without increasing the number of IFFTs. As shall become apparent, this extension of the original GreenOFDM technique relies on the linearity of the IFFT that allows for simplifications in the initial GreenOFDM and permits a reduction by a factor of 2 of the number of IFFTs for a same PAPR performance, providing a relevant gain in terms of performance/complexity trade-off. The proposed idea results in PAPR reductions that are statistically similar to those obtained independently in [29]. However, in this work we provide analytical expressions to predict the PAPR in a given configuration, which aids the design of the analog front-end [2,3,5], and suggest further complexity reductions. These further complexity reductions are based on a strategy (IFFTs-on-demand and and hierarchical sampling methods) proposed in [28] to reduce the implementation complexity of the original GreenOFDM, and are shown to be achievable with great efficiency for the proposed technique.
This document is organized as follows: First, a brief OFDM and PAPR description is given. Then, SLM-OFDM and GreenOFDM algorithms are succinctly presented before introducing the proposed method. In the last part, computer simulations of the PAPR distribution are presented to clearly demonstrate the improvement of the proposed technique and finally conclusions are drawn.
2. OFDM and PAPR
OFDM is a multi-carrier modulation technique in which every time-domain symbol carries the sum of N overlapping orthogonal subcarriers mapped by symbols (e.g., Quadrature Amplitude Modulation (QAM): QAM symbols) with .
The OFDM base-band time-domain symbol is obtained by applying the Inverse Discrete Fourier Transform (IDFT) (Digitally implemented with an Inverse Fast Fourier Transform (IFFT)) to the frequency-domain inputs . The digital time-domain symbols are often oversampled to emulate the peaks that might appear in the analog domain and hence obtain a well-approximated digital version. An points IFFT over
achieves the oversampling, where L is the oversampling factor. The OFDM base-band time-domain symbol is hence given by:
with and . Generally an oversampling factor is applied since it is enough to well approximate the analog symbols. Higher values will only add a higher computational complexity without substantial gain in the approximation.
The PAPR of the oversampled OFDM symbol is given by:
where is the expectation and for i.i.d. random variables ( -QAM with ). The PAPR of OFDM symbols is high because the numerator of Equation (2) is high. This is because sometimes many modulated subcarriers add themselves in-phase generating high peaks. Furthermore, since the PAPR is a random variable it can be characterized by its Complementary Cumulative Distribution Function (CCDF), i.e., the probability that the PAPR of an OFDM symbol exceeds a predetermined value . A semi-empirical approximation is given by [30]:
3. From SLM-OFDM to GreenOFDM
In conventional SLM-OFDM, U different symbol waveforms are generated from the same data set . To do so, the input data set is repeated U times and each copy is multiplied element-wise by pseudo-random sequences where the coefficients have unitary norm , ; i.e., with . It is noteworthy to mention that in the following, U represents the total number of computed IFFTs as well as the total number of pseudo-random sequences. The time-domain symbol waveforms are computed by IFFTs with inputs . The waveform that exhibits the lowest PAPR among the candidates is selected for transmission. The SLM-OFDM algorithm is summarized in Algorithm 1 and its block diagram depicted in Figure 1.
Figure 1.
SLM-OFDM block diagram.
The function decreases when the number of candidates increases. However, higher values of lead to larger values of the computational burden because of the required number of IFFTs.
In order to mitigate this limitation of SLM-OFDM, the key idea of GreenOFDM is to generate the candidates by adding (with a normalisation factor ) two coupleable IFFT-based waveforms. This allows for the generation of more candidates corresponding to all the possible combinations, whilst maintaining the same PAPR reduction behaviour of SLM-OFDM with respect to the number of candidates (i.e., Equation (4) with instead of ).
The CCDF of PAPR of conventional SLM-OFDM is well approximated by [13]:
| Algorithm 1 The SeLected Mapping (SLM)-Orthogonal Frequency Division Multiplexing (OFDM) algorithm. |
| Require:, with |
| minPAPR |
| for do |
| ; |
| ; |
| if then |
| minPAPR ; |
| ; |
| end if |
| end for |
| SEND ; |
The GreenOFDM technique generates OFDM symbols candidates by first splitting the U set of copied and randomized data into two groups: the first one represented by the index , with and the second one represented by the index , with . The first group waveforms is obtained, like in SLM-OFDM, through IFFTs over (with , and ). Similarly, the second group waveforms are obtained through IFFTs over (with , and ). As it can be seen, the difference between the two groups of waveforms is the fact that the sequences use pure imaginary unitary values: whereas the sequences use pure real unitary values: . In this way, individual elements of the two sequences are orthogonal in order not to cancel out some subcarriers after adding the two IFFT outputs. The last part of the GreenOFDM method, which depicts the way the waveform candidates are obtained, is described in Algorithm 2. The equivalent block diagram of the GreenOFDM is depicted in Figure 2.
| Algorithm 2 The GreenOFDM algorithm. |
| Require: , |
| minPAPR ; |
| for do |
| for do |
| ; |
| if then |
| minPAPR ; |
| ; |
| end if |
| end for |
| end for |
| SEND ; |
Figure 2.
Original GreenOFDM block diagram [22,31].
4. An Improved GreenOFDM Version
The goal of the improved version is to increase the total number of candidates without increasing the number of IFFTs. As aforementioned, the key idea of the GreenOFDM technique is based on the use of two different groups (respectively generated from or orthogonal sequences) of IFFTs. In the original version of the GreenOFDM technique, only the first half of the IFFTs were used for the first group ( with ), the second half being reserved for the second group (, with ). In the proposed improved version, referred from now on as GreenOFDMv2, the full set of IFFTs will be used both for the first group, and then for the second group after a slight modification exploiting the linearity of the IFFT and ensuring orthogonality between the two groups.
The IFFTs of the initial sequence weighted by pure real binary sequences with values in compose directly the first group:
The complex waveforms of the second group correspond conceptually to the IFFTs of the initial sequence weighted by pure imaginary binary sequences with values in , but are generated in a less complex way. Indeed, due to the linearity of the IFFT, the complex waveforms of the second group are equal to the complex waveforms of the first group , only modified by a factor of i:
So, the second group can be obtained from the IFFT outputs of the first group by only shifting the complex values () into (), eliminating the need to compute the IFFTs again. For a given number of IFFT, the size of each group is then doubled compared to the original GreenOFDM method.
The improved GreenOFDM method is described in Algorithm 3. It can be observed that the first and second groups are redefined. The first group contains the U IFFTs (the equivalent to the SLM-OFDM generated candidates), and the second group is trivially generated by exploiting the linearity of the IFFT.
| Algorithm 3 The GreenOFDMv2 algorithm. |
| Require: |
| minPAPR ; |
| for do |
| for do |
| if then |
| ; |
| else |
| ; |
| end if |
| if then |
| minPAPR ; |
| ; |
| end if |
| end for |
| end for |
| SEND ; |
In the particular case , there is no need to perform the additions because it does not change the PAPR of the initial waveform . In the proposed method, these extra operations are avoided in that particular case by choosing the candidate directly from the IFFT output, i.e., we choose the candidate to be equal to .
The number of candidates that are generated in the proposed method, here after referred to as the GreenOFDMv2, is equal to the number of times the inner loop is run. It corresponds to . This means that we have 4 times more candidate waveforms as compared to the initial version of the GreenOFDM by computing the same number of IFFTs, hence a better PAPR reduction is expected. Figure 3 depicts the proposed method block diagram.
Figure 3.
The proposed GreenOFDMv2 method block diagram.
5. Simulation Results and Discussion
Computer simulations were carried out to evaluate the CCDF of PAPR of the GreenOFDMv2 method proposed in this work and to compare it with the previous methods (SLM-OFDM and the former GreenOFDM) and to the conventional OFDM. Also, the PAPR threshold, for a given CCDF, and its evolution were investigated to know and predict the required number of IFFTs to stay under a given PAPR threshold for the different techniques and different number of subcarriers.
5.1. PAPR Complementary Cumulative Distribution Function (CCDF)
Results for symbols with -modulated subcarriers, with the oversampling factor and IFFTs for the SLM-OFDM, GreenOFDM and the GreenOFDMv2, are depicted in Figure 4 where the dashed lines correspond to the approximated expressions of the CCDF in Equations (3) and (4) and the marks correspond to the simulation results.
Figure 4.
The Complementary Cumulative Distribution Function (CCDF) of Peak-to-Average-Power- Ratio (PAPR) for conventional OFDM, SLM-OFDM, GreenOFDM and GreenOFDMv2 with the same parameter and for subcarriers per symbol, obtained by simulation (marks) and approximated expressions (dashed lines).
The simulation results are well approximated by the CCDFs expressions for OFDM, SLM-OFDM (with ), GreenOFDM (by replacing by ) and GreenOFDMv2 (by replacing by ).
Moreover, it can be seen that the best performance for a fixed probability (CCDF) is obtained for the GreenOFDMv2 method as compared to SLM-OFDM and the previously proposed GreenOFDM, with a gain of 1.2 and 0.5 dB, respectively, for a CCDF (the gain versus conventional OFDM is about 5 dB). This is because of the increase in the number of candidates ( for GreenOFDMv2 rather than U for SLM-OFDM or for GreenOFDM).
5.2. PAPR Threshold: Simulations and Approximated Formula
In this section we present a different way to analyse the PAPR reduction capabilities in SLM-based schemes. For a fixed probability CCDF, it is possible to calculate the value of as a function of the number of subcarriers N and the number of candidates that depends on U. To do so, Equation (4) is reformulated as follows:
where C is a generic notation for the number of candidates as a function of the number of IFFTs U, i.e., for SLM-OFDM, for GreenOFDM and for the proposed method.
The same way, for conventional OFDM, Equation (3) is reformulated as:
These reformulations allow us to predict the PAPR value for a given configuration (N and U) and at a given probability. Simulations were carried out for different values of N and U and for a fixed probability CCDF.
Results are summarized in Figure 5 where the performance evolution with N are depicted at each subplot for a fixed value of U. For all the schemes the marks represent the simulation results and the dashed lines correspond to the approximated expressions in (6) and (5).
Figure 5.
The value of to attain CCDF for different values of U and N for OFDM, SLM-OFDM, GreenOFDM and GreenOFDMv2, obtained by simulation (marks) and approximated expressions (dashed lines).
In all the cases, the value of is always lower for the proposed method as compared to the SLM-OFDM and the GreenOFDM. However, the difference with the original version of GreenOFDM reduces as U increases.
It can also be noted that, for all the tested values of N and U, the CCDF threshold obtained by simulation is very close to the one obtained from Equation (5). It means that the PAPR performance of the proposed technique is also well deterministically linked to the number of candidates and can be accurately predicted by the use of the Equations (4) and (5).
Another way to interpret the results is in terms of the reduced number of IFFTs needed to attain the same PAPR performance. To facilitate the observation of this fact, Figure 6 regroups the different configurations with equivalent performance (PAPR threshold for CCDF of ) for a number of subcarriers going from to 1024. As expected, for all N, the proposed method requires the smallest number of IFFTs, keeping always a reduction factor of 2 with respect to the initial GreenOFDM method. For example, to ensure that the PAPR stays under 8 dB (with a probability 1–10), the required number of IFFTs is only 8 for the GreenOFDMv2 method, against for the original GreenOFDM and for the conventional SLM technique. Even for a large number of 1024 subcarriers, the GreenOFDMv2 technique maintains a quite reasonable complexity of 32 IFFTs contrary to SLM ( expected IFFTs).
Figure 6.
The value of to attain CCDF for different values of U and N for SLM-OFDM, GreenOFDM and GreenOFDMv2 obtained by simulation (marks). Approximated expressions in Equation (5) are also plotted in dashed lines for GreenOFDMv2.
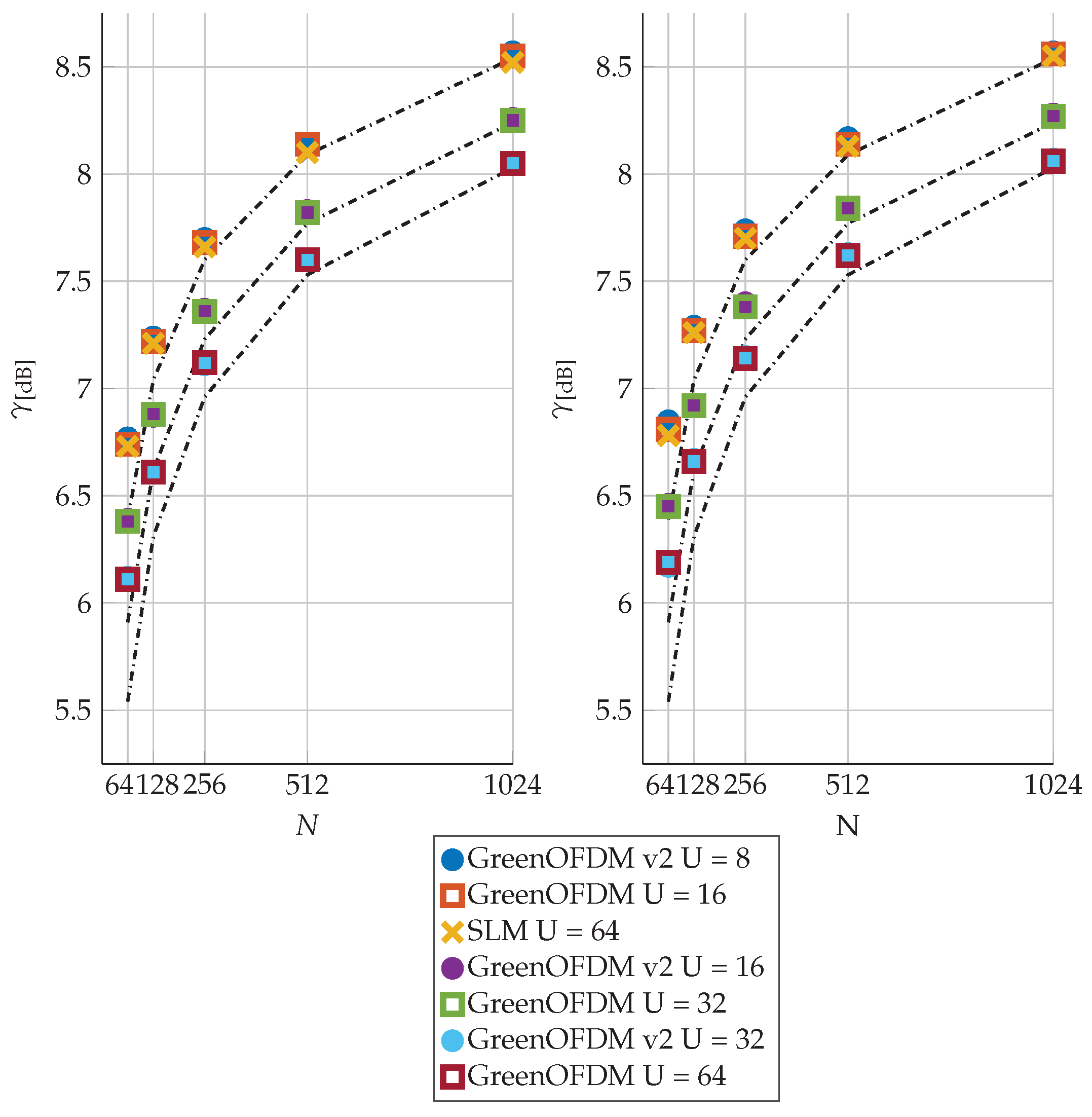
So far we have limited the simulations to -modulated subcarriers. To improve this analysis, we have obtained the results depicted in Figure 7 for (left side) and (right side) modulated subcarriers. As it can be seen, with the same number of available candidates, equivalent PAPR reductions are obtained for all the schemes but with the smallest required number of IFFTs for our proposed method. However, this time, the PAPR values for a CCDF of are slightly above the analytical expressions (represented by the dashed lines) and that for all the schemes. These discrepancies tends to vanish as N increases.
Figure 7.
The value of to attain CCDF for different values of U and N for SLM-OFDM, GreenOFDM and GreenOFDMv2 obtained by simulation (marks). Approximated expressions in Equation (5) are also plotted in dashed lines. Left side corresponds to the results for 16-QAM mapping and right side corresponds to the results for 64-QAM. QAM—Quadrature Amplitude Modulation.
The drawback that remains, as for all the SLM-based methods, is the need of a Side Information (SI) in order to correctly de-randomize the received data symbols on the receiver-side.
5.3. Discussion on Additional Possible Complexity Reduction
As seen before, the proposed method requires only the square-root of the number of IFFTs of the original SLM method for a same PAPR reduction performance (i.e., a same number of candidates), making it a feasible technique from a complexity point-of-view. In addition to the reduction in the number of required IFFTs, the strategy proposed in [28,31] to reduce the implementation complexity of GreenOFDM can also be exploited for GreenOFDMv2 to further reduce the computational complexity.
The probabilistic strategy exploits the knowledge of the CCDF of the PAPR. Indeed, to attain a certain performance in terms of PAPR (at a CCDF of PAPR p, with a value of deterministically predicted through Equation (5)), there is no need to find the lowest PAPR symbol candidate among all the candidates but the first that satisfies a PAPR below the threshold (denoted as , being typically chosen to ). In addition, the idea of finding the first candidate with acceptable PAPR is complemented with the fact that calculating the PAPR requires to compute the instant power for each sample (see Equation (2)). Indeed, if the Instantaneous-to-Average Power Ratio (IAPR) of a sample of a certain candidate exceeds the imposed threshold, there is no need to continue with that candidate and it can be discarded to continue with another one.
These facts are taken into account and implemented through the IFFTs-on-demand and hierarchical sampling methods (please refer to [31] Sections 3.1 and 3.2 for the details of each method) in order to drastically reduce the computational complexity.
Furthermore, in [31] it was shown that relaxing the PAPR reduction capability to a slightly higher threshold with
attains considerably higher computational reductions with a low impact in the PAPR reduction which provides a good performance-complexity trade-off.
The same methods are implementable in the GreenOFDMv2 as described in Algorithm 4. In this algorithm, the IFFTs are computed step-by-step as the candidates are progressively calculated in the ‘Hierarchical-sample’ method that returns a flag in addition of the candidate itself. This flag being at ‘1’ means that the corresponding candidate PAPR is below the imposed threshold and can be chosen for transmission. Otherwise the candidate has at least an IAPR exceeding and is hence discarded.
| Algorithm 4 Computational complexity reduction in the GreenOFDMv2 scheme. |
| Require: |
| ; |
| for do |
| for do |
| if then |
| ; |
| else |
| ; |
| end if |
| if then |
| ; |
| STOP(); |
| end if |
| end for |
| end for |
| SEND ; |
All these strategies have allowed for a relevant computational reduction of the former GreenOFDM in [28], especially in terms of the number of IFFTs around fifty percent (with N = 64 subcarriers, U = 64 IFFTs, and a back-off of 0.3 dB for the PAPR threshold). The reduction of the computational complexity of GreenOFDMv2 is expected to be better than those in the former version of GreenOFDM. The reason lies on the specific way in which the IFFTs are progressively computed and the possible available candidates. Indeed, in the former GreenOFDM method, the available candidates up to the v-th computed IFFT (with ) are (Section 3.1 in [31]); while for the proposed method, the available candidates up to the v-th computed IFFT are . This means that every additional computed IFFT allows us to generate many more candidates for the proposed method and hence more chances to find the symbol whose PAPR is below the imposed threshold, reducing the expected total number of operations (in [28], it was pointed-out that the IFFTs computations are the greatest contributors to complexity in terms of the total number of operations).
Computer simulations were carried out to validate the improved complexity reduction capabilities of the proposed method. To be consistent with the comparisons, we have imposed the same set of parameters as in [28], which are symbols iterations with -modulated subcarriers, oversampling factor and IFFTs for the SLM-OFDM, for the GreenOFDM and for the proposed method.
The same complexity reduction strategy applied to all the schemes as a function of the imposed threshold calculated with Equations (5) and (7) at was computed. The CCDF distribution of the total number of operations (multiplications, additions and comparisons), noted , was computed for different imposed threshold . The value of at CCDF() was obtained for comparison purposes and the Computational Complexity Reduction Factor (CCRF) was calculated.
Figure 8 depicts, on the left side, the CCRF between the original GreenOFDM and the SLM-OFDM as introduced in [28] i.e.,
Figure 8.
The Computational Complexity Reduction Factor (CCRF) between the GreenOFDM and SLM-OFDM as presented in [28] (left-side) and the CCRF between the proposed method and the conventional SLM-OFDM (right-side) with complexity reduction as a function of and N.
On the right side we can find the CCRF between the GreenOFDMv2 and again the SLM-OFDM, i.e.,
As it can be seen, for the same imposed threshold, the CCRF for the GreenOFDMv2 is always lower than the GreenOFDM. Furthermore, almost a factor two of reduction is appreciated between both CCRFs, which is in line with the previously evoked factor 2 in terms of the reduced number of IFFTs.
6. Conclusions
In this paper, we present an efficient method to reduce the PAPR in OFDM. This method is a simplification of the recent GreenOFDM technique, which is itself an extension of the well-known SLM PAPR reduction technique. In all these techniques, several waveform candidates are generated from a certain number of IFFT to retain the one with the lowest PAPR as actual OFDM symbol. The PAPR performance of these methods is shown to be a decreasing function of the number of candidates. To increase the number of candidates for a given number of IFFT, the key idea of GreenOFDM was to combine two coupleable IFFT-based waveforms rather than only one in the SLM method. Moreover, the new version proposed in this paper allows us to use plainly the full set of IFFTs for each group of waveforms while maintaining their ability to be coupled, which was not the case for the original GreenOFDM version in [22] that split the IFFTs into two smaller separate subsets.
Consequently, compared to the first version of the GreenOFDM method, the proposed method adds a simple yet efficient improvement to reduce the PAPR by increasing the number of available candidates by a factor of 4 without increasing the number of IFFTs. Alternatively, a same PAPR performance is obtained by using only half the number of IFFTs. Compared to the initial well known SLM technique, the improved GreenOFDM technique provides then definitively a drastic complexity reduction while keeping the same idea, requiring only the square-root of the number of IFFTs for a same PAPR reduction performance.
Finally, approximate formula (mainly accurate for small constellation size such as QPSK or for high values of N) are provided to predict the PAPR performance of the proposed method as a function of the number of sub-carriers and the number of candidates, or alternatively to determine the number of required IFFTs for a given PAPR performance. This prediction is very useful not only to anticipate the complexity of the technique, but also to allow for the implementation of further complexity reduction methods dedicated to GreenOFDM proposed previously [28,31] as has been discussed and shown in the paper.
Further studies are needed to propose efficient blind methods adapted to the presented technique to recover the data on the receiver side without the need of implicit side-information.
Author Contributions
J.L.G.M. and L.R. conceived the presented idea. J.L.G.M. performed the computer simulations, and wrote the main part of the paper helped by L.R. All the authors verified the methods, discussed the results, contributed and approved a first short version of the manuscript, accessible online since April 2020 [https://hal.archives-ouvertes.fr/hal-02548839/document]. The 3 authors J.L.G.M., L.R., and J.-M.B. performed the extended final version of the manuscript. All authors have read and agreed to the published version of the manuscript.
Funding
This research received no external funding.
Acknowledgments
The authors would wish to acknowledge Ali Waqar Azim for the helpful comments and remarks on this work.
Conflicts of Interest
The authors declare no conflict of interest.
Abbreviations
The following abbreviations are used in this manuscript:
| CCDF | Complementary Cumulative Distribution Function |
| CCRF | Computational Complexity Reduction Factor |
| IAPR | Instantaneous-to-Average Power Ratio |
| IFFT | Inverse Fast Fourier Transform |
| OFDM | Orthogonal Frequency Division Multiplexing |
| PA | Power Amplifier |
| PAPR | Peak-to-Average Power Ratio |
| SLM | SeLected Mapping |
References
- Van Nee, R.; de Wild, A. Reducing the peak-to-average power ratio of OFDM. In Proceedings of the IEEE Vehicular Technology Conference (VTC’98), Ottawa, ON, Canada, 21 May 1998; pp. 2072–2076. [Google Scholar]
- Singh, S.; Kumar, M.S.; Mruthyunjaya, H.S. Effect of Peak-to-Average Power Ratio Reduction on the Multicarrier Communication System Performance Parameters. Int. J. Electr. Comput. Eng. 2009, 4, 779–786. [Google Scholar]
- Gustavsson, M.; Wikner, J.J.; Tan, N.N. CMOS Data Converters for Communications; Kluwer Academic Publishers: Norwell, MA, USA, 2000. [Google Scholar]
- Tellambura, C. Computation of the continuous-time PAR of an OFDM signal with BPSK subcarriers. IEEE Commun. Lett. 2001, 5, 185–187. [Google Scholar] [CrossRef]
- Mestdagh, D.J.G.; Spruyt, P.; Biran, B. Analysis of clipping effect in DMT-based ADSL systems. In Proceedings of the ICC/SUPERCOMM’94—1994 International Conference on Communications, New Orleans, LA, USA, 1–5 May 1994; Volume 1, pp. 293–300. [Google Scholar] [CrossRef]
- Jiang, T.; Wu, Y. An Overview: Peak-to-Average Power Ratio Reduction Techniques for OFDM Signals. IEEE Trans. Broadcast. 2008, 54, 257–268. [Google Scholar] [CrossRef]
- Rahmatallah, Y.; Mohan, S. Peak-To-Average Power Ratio Reduction in OFDM Systems: A Survey and Taxonomy. IEEE Commun. Surv. Tutor. 2013, 15, 1567–1592. [Google Scholar] [CrossRef]
- Sandoval, F.; Poitau, G.; Gagnon, F. Hybrid Peak-to-Average Power Ratio Reduction Techniques: Review and Performance Comparison. IEEE Access 2017, 5, 27145–27161. [Google Scholar] [CrossRef]
- Li, X.; Cimini, L.J. Effects of clipping and filtering on the performance of OFDM. In Proceedings of the IEEE 47th Vehicular Technology Conference. Technology in Motion, Phoenix, AZ, USA, 4–7 May 1997; Volume 3, pp. 1634–1638. [Google Scholar] [CrossRef]
- Armstrong, J. Peak-to-average power reduction for OFDM by repeated clipping and frequency domain filtering. Electron. Lett. 2002, 38, 246–247. [Google Scholar] [CrossRef]
- Huang, X.; Lu, J.; Zheng, J.; Letaief, K.B.; Gu, J. Companding transform for reduction in peak-to-average power ratio of OFDM signals. IEEE Trans. Wirel. Commun. 2004, 3, 2030–2039. [Google Scholar] [CrossRef]
- Mestdagh, D.J.G.; Spruyt, P.M.P. A Method to Reduce the Probability of Clipping in DMT-Based Transceivers. IEEE Trans. Commun. 1996, 44, 1234–1238. [Google Scholar] [CrossRef]
- Bauml, R.W.; Fischer, R.F.H.; Huber, J.B. Reducing the Peak-to-Average Power Ratio of Multicarrier Modulation by Selected Mapping. Electron. Lett. 1996, 32, 2056–2057. [Google Scholar] [CrossRef]
- Han, S.H.; Cioffi, J.M.; Lee, J.H. Tone injection with hexagonal constellation for peak-to-average power ratio reduction in OFDM. IEEE Commun. Lett. 2006, 10, 646–648. [Google Scholar] [CrossRef]
- Tellado, J.; Cioffi, J.M. Efficient algorithms for reducing PAR in multicarrier systems. In Proceedings of the 1998 IEEE International Symposium on Information Theory (Cat. No.98CH36252), Cambridge, MA, USA, 16–21 August 1998. [Google Scholar] [CrossRef]
- Wang, L.; Tellambura, C. Analysis of Clipping Noise and Tone-Reservation Algorithms for Peak Reduction in OFDM Systems. IEEE Trans. Veh. Technol. 2008, 57, 1675–1694. [Google Scholar] [CrossRef]
- Krongold, B.S.; Jones, D.L. PAR reduction in OFDM via active constellation extension. IEEE Trans. Broadcast. 2003, 49, 258–268. [Google Scholar] [CrossRef]
- Muller, S.H.; Huber, J.B. OFDM with reduced peak-to-average power ratio by optimum combination of partial transmit sequences. IET Electron. Lett. 1997, 33, 368–369. [Google Scholar] [CrossRef]
- Myung, H.G.; Lim, J.; Goodman, D.J. Peak-To-Average Power Ratio of Single Carrier FDMA Signals with Pulse Shaping. In Proceedings of the 2006 IEEE 17th International Symposium on Personal, Indoor and Mobile Radio Communications, Helsiniki, Finland, 11–14 September 2006; pp. 1–5. [Google Scholar]
- Wiegandt, D.A.; Nassar, C.R.; Wu, Z. Overcoming peak-to-average power ratio issues in OFDM via carrier-interferometry codes. In Proceedings of the IEEE 54th Vehicular Technology Conference, VTC Fall 2001, Proceedings (Cat. No.01CH37211), Atlantic City, NJ, USA, 7–11 October 2001; Volume 2, pp. 660–663. [Google Scholar]
- Anwar, K.; Saito, M.; Hara, T.; Okada, M.; Yamamoto, H. Simplified Realization of Pseudo-Orthogonal Carrier Interferometry OFDM by FFT Algorithm. In Multi-Carrier Spread-Spectrum; Khaled, F., Stefan, K., Eds.; Springer: Dordrecht, The Netherlands, 2006; pp. 167–174. [Google Scholar]
- Mestdagh, D.J.G.; Monsalve, J.L.G.; Brossier, J.-M. GreenOFDM: A new selected mapping method for OFDM PAPR reduction. Electron. Lett. 2018, 54, 449–450. [Google Scholar] [CrossRef]
- Mestdagh, D.; Cambonie, J.; Lietar, L.; Gulfo, J. OFDM Transmission Systems with Reduced Peak-to-Average Power Ratio. Patent WO/2017/013467 (FR), 26 January 2017. [Google Scholar]
- Yu, D.; Wan, Y. A New Method for Reducing PAPR in OFDM System Based on GreenOFDM. In Proceedings of the 10th International Conference on Communications, Circuits and Systems (ICCCAS), Chengdu, China, 22–24 December 2018; pp. 227–231. [Google Scholar]
- Zhou, Z.; Wang, L.; Hu, C. Improved SLM Scheme for Reducing the PAPR of QAM OFDM Signals. In Proceedings of the 2019 IEEE 2nd International Conference on Electronics Technology (ICET), Chengdu, China, 10–13 May 2019; pp. 28–33. [Google Scholar]
- Taşpınar, N.; Şimşir, Ş. Dual symbol optimization-based partial transmit sequence technique for PAPR reduction in WOLA-OFDM waveform. Int. J. Commun. Syst. 2019, 32, e4081. [Google Scholar] [CrossRef]
- Şimşir, Ş.; Taşpınar, N. Cumulative symbol optimization–based partial transmit sequence technique for PAPR reduction in low complexity GFDM system. Trans. Emerg. Telecommun. Technol. 2020, 31, e3801. [Google Scholar] [CrossRef]
- Monsalve, J.L.G.; Mestdagh, D.J.G.; Brossier, J.-M. Computational complexity reduction of GreenOFDM. Ann. Telecommun. 2020. [Google Scholar] [CrossRef]
- Heo, S.; Noh, H.; No, J.; Shin, D. A Modified SLM Scheme With Low Complexity for PAPR Reduction of OFDM Systems. IEEE Trans. Broadcast. 2007, 53, 804–808. [Google Scholar] [CrossRef]
- Ochiai, H.; Imai, H. On the Distribution of the Peak-to-Average Power Ratio in OFDM Signals. IEEE Trans. Commun. 2001, 49, 282–289. [Google Scholar] [CrossRef]
- Monsalve, J.L.G. GreenOFDM a New Method for OFDM PAPR Reduction. Ph.D. Thesis, Communauté Université Grenoble Alpes, Grenoble, France, October 2019. [Google Scholar]
Publisher’s Note: MDPI stays neutral with regard to jurisdictional claims in published maps and institutional affiliations. |
© 2020 by the authors. Licensee MDPI, Basel, Switzerland. This article is an open access article distributed under the terms and conditions of the Creative Commons Attribution (CC BY) license (http://creativecommons.org/licenses/by/4.0/).







