Abstract
This study presents an innovative Dual-Band Frequency Selective Surface (FSS) designed for LTE applications, offering an effective solution for minimizing Passive Inter-Modulation (PIM) in contemporary wireless communication systems at the base station. The proposed passband FSS filter is designed to deliver optimal dual-band filtering characteristics with consistent stability over incidence angles up to 80°. Corresponding to antenna systems requirements, the proposed method gives resonant frequencies at 1.9 and 2.1 GHz which operate in the LTE band with bandwidths of 40 and 60 MHz, respectively. Moreover, the proposed design is analyzed to establish the optimal range for each resonant frequency by examining the parametric effects. The suggested FSS-based filter consists of a single-layer structure with the dimension of the unit cell of 0.33
× 0.33 where is the wavelength of low frequency, which delivers desired reflection and transmission coefficients using RT/Duroid 5880 with a thickness of 0.508 mm. The designed filter is validated through measurements of a fabricated prototype, demonstrating its practicality and performance. Simulations carried out with Equivalent Circuit Modeling (ECM) are demonstrated by measurements from a constructed 4 × 4 array prototype, showing a robust alignment with experimental findings. This work emphasizes an asymmetric FSS design that improves frequency selectivity and angular stability for the desired LTE dual band and also depicts the future possibilities for tuneable models and broader applications to meet the demands of modern wireless communication.
1. Introduction
Passive Inter-Modulation (PIM) has emerged as a significant challenge in wireless communication systems, particularly in cellular applications such as Code-Division Multiple Access (CDMA) and Long-Term Evolution (LTE) [1]. PIM arises from the nonlinear behavior of passive components within the system, including duplexers, connectors, cables, and antennas [2]. These elements may produce intermodulation products that leak into the Frequency Division Duplex (FDD) system’s receive paths, causing distortion and noise [3]. Although duplexers are employed in FDD systems to separate the transmitting and receiving signals, the level of isolation between the two paths is usually low. Supposedly, there are two transmit carriers operating at frequencies of 1940 and 1980 MHz, their intermodulation products can generate a signal at 1900 MHz. This signal falls within the receive band and can negatively impact the performance of the system [4]. To save bandwidth and remove interference, Orthogonal Frequency Division Multiplexing (OFDM) is adopted as a modulation scheme which increases the peak power of the communication system, but it also adds a PIM issue. The presence of PIM reduces the reliability, capacity, and data rates of wireless systems by diminishing the receiver’s sensitivity [5]. This degradation can lead to undesirable outcomes such as dropped calls, reduced system capacity, and lower data throughput.
Cancelling PIM is critical for enhancing the performance and efficiency of modern wireless communication systems. An effective approach to tackle this issue involves the implementation of a Frequency Selective Surface (FSS) at the base station. FSS is classified under meta-surfaces [6], which respond to the incident electric field by selectively filtering and controlling electromagnetic (EM) waves, thereby reducing PIM effects and enhancing system performance. It is characterized as a periodic surface, signifying that a unit cell repeats multiple times to form an array [7]. Periodic surfaces have gained substantial research interest due to their exceptional control mechanism of EM waves and ease of fabrication. Throughout the last decade, there has been a marked increase in the application of FSS in diverse fields including spatial filters, electromagnetic shielding applications, radomes, absorbers, and reflectors [8,9,10,11,12]. This EM performance depends upon the geometry of the structure (square, circle, dipole, etc.), the element type of the structure (aperture type, loop type), the dielectric constant of the material used in the substrate, and periodicity [13]. Effective EM wave absorbers have high absorption capacity and transmission impedance matching. Impedance matching improves with periodic or multi-layer gradient absorbers. Permittivity and permeability’s imaginary function affect absorber EM loss. This can be addressed by introducing EM loss routes to structural design [14].
The existing research has mostly focused on developing various FSS structures to provide a better gain for antenna [15] and EMI shielding [16]. The literature has extensively examined several FSS architectures and their respective uses. In [17], transparent FSS is used as a filter at the 2.6 GHz LTE band, using a glass substrate. The construction uses ring resonators to maximize the transmission band by considering strip length, width, gap width, and periodicity. However, this study does not focus on magnetic excitation and works only for TM mode. This constraint of single mode is resolved in [18]; it gives polarization for TE and TM modes. The design is accomplished by duplicating the fractal patterns to make it appropriate for filtering the LTE, Wi-Fi, X band which exhibits enhancement of bandwidth. The angular stability is demonstrated up to 60° for TE mode and up to 45° for TM mode. More work is required to control the mechanism of resonance while maintaining the miniaturization. The technique of miniaturization is presented in [19], where a miniaturized wide-band supercell FSS is created. The proposed design features two SRRs with gaps on opposite sides which show resonance at 3.7 GHz and another design with two identical SRRs, which resonate at 3.54 GHz. Active FSS in [20] employs PIN diodes for EM switching and polarization selection. This improves the intended active FSS. It has four modes and a two-PIN-diode switch. Similar PIN diodes are EM switches, while opposite ones are polarization selectors. The design was angular stable in the 2.1 GHz LTE band across incident angles and wave polarizations. Its multifunctionality prevented our study from testing its use in electrically changing devices. The authors propose in [21] a developed modular antenna that combines a Fabry–Perot cavity, a Partially Selective Surface (PSS), and an Artificial Magnetic Conductor (AMC), which produces a significant increase in realized gain of 4–8 dB within the 1.7–2.5 GHz frequency range. The antenna’s bandwidth is 30.9% at 2.16 GHz, and its highest gain is 8.2 dBi. It is ideal for Multiple LTE Radio communication due to its inherent characteristics. The proposed design in [22] introduces an FSS that employs an interdigital slot structure to optimize its compatibility with LTE systems. Using a slot structure reduces the FSS size to λ/8 and yields an 8.43 dB gain at 1.8 GHz. In [23], the authors present a miniaturized design utilizing a knitted construction to create a passband that ranges from 5.5 GHz to 10.3 GHz and has a bandwidth of 3 dB. The authors propose in [24] a metamaterial structure shaped like a Swastika, featuring interconnected resonators that demonstrate single negative permeability and permittivity within the microwave frequency range of 1–10 GHz. The research further explores the mechanisms of energy decay through the examination of evanescent EM waves within the structure. Moreover, the Swastika-shaped FSS demonstrates absorption over an extensive frequency range, showcasing impressive performance at key frequencies that display negative characteristics. The significance of material composition and structural design in realizing customized EM responses elucidates the understanding and application of metamaterials. The proposed Swastika-shaped FSS is made as an absorber; hence, it is not appropriate as a band-pass filter. The authors introduce in [25] a compact FSS featuring a unit cell size of 0.095λ × 0.095λ, employing a complex Swastika-shaped design to minimize physical dimensions while maintaining performance. The proposed FSS exhibits stop band features at 5.12 GHz, rendering it suitable for indoor WLAN signal protection. It effectively filters signals with a fractional bandwidth of 9.0% at the center frequency. The balanced design of the unit cell guarantees consistent performance, regardless of the angle of incidence or polarization state, ensuring reliability across various conditions. The suggested FSS has strong angular stability; however, the study notes that performance may vary at extreme angles of incidence, which may limit its use in some applications. The authors present in [26] a single-layer band stop FSS tailored for WLAN applications, featuring an extensive bandwidth of around 3.80 GHz (ranging from 2.25 to 6.05 GHz) and a resonance frequency set at 5.25 GHz. The FSS showcases the ability to function effectively regardless of polarization for both X- and Y-polarized fields at normal incidence while also providing consistent performance with angular stability up to 40°, making it dependable across various conditions. The design features a straightforward alteration of a classic square patch, incorporating triangular slots that improve functionality for band stop filtering; hence, the need for a passband persists. The authors in [27] introduce a remarkably thin dual-band FSS tailored for X-band applications, functioning as a band-reject filter at 8.47 GHz and 10.45 GHz, featuring a modest band ratio of 1.23. The FSS boasts a slim design with a thickness of merely 0.021λl, making it ideal for use in compact electronic devices. In [28], the authors present an innovative single-layer wideband FSS designed for millimeter-wave applications, operating within the 40–70 GHz range and providing an extensive 30 GHz bandwidth. The FSS showcases a compact unit cell size of 0.34λ × 0.34λ, exhibiting a symmetric structure that ensures polarization independence and effectively minimizes mutual coupling in antenna arrays. In [29], the authors discuss a single-layer FSS that achieves more than 20 dB attenuation across an ultrawide stopband ranging from 6.5 to 14 GHz, demonstrating its effectiveness for EMI shielding. In [30], the authors present a hybrid FSS with an annular ring slot and a slot with a cross-shaped cavity. This structure shows the effect of slots on the frequency shift, where the bandwidth of the second resonance has reduced with the varying slot length. The design in [31], a circular loop geometry, is selected to achieve polarization insensitivity, but the circumference varies the resonance as shown in the parametric study. The authors in [32] propose a dual-layer structure with a circular ring to achieve dual resonance, but for practical applications, a single-layer structure is preferred. Experimental validation showcases its exceptional shielding capabilities, featuring a broad stopband that is unparalleled in EMI shielding technology. A comprehensive parametric analysis reveals adjustable design parameters, including cross dipole and ring dimensions, that influence performance. The study contrasts experimental findings for both normal and oblique incidences alongside numerical simulations, deepening practical insight.
The aforementioned design has some limitations, and some key points are as follows:
- Attaining accurate dual-band filtering at 1.9 GHz and 2.1 GHz, ensuring sufficient bandwidths for LTE applications.
- Keeping its angular stability up to 80 degrees, which is far better than the usual stability of designs that are 30–60 degrees.
- Simplifying the design while maintaining efficiency, compactness with the unit-cell dimension of 0.33λl × 0.33λl, and a single-layer approach for enhanced scalability and practicality.
- Tackling the complexities of PIM in contemporary wireless networks by adopting an FSS framework that minimizes interference and improves communication dependability.
This paper aims to analyze and solve the above research problem from the literature on the functions and advantages of FSS in various applications. The application of the FSS should be considered when choosing the size of the structure and bandwidth of the passband. The 2.1 GHz frequency bands give a bandwidth of 60 MHz, which is critically important for a variety of applications ranging from mobile communications to radar systems like surveillance and navigation. Furthermore, 1.9 GHz gives the bandwidth of 40 MHz which is widely adopted for GSM and WiMAX networks. The deployment of the proposed FSS in these bands can significantly reduce unwanted frequencies and interference, thereby sustaining reliable and secure communication. In this paper, the proposed structure resonates at a dual frequency with a single layer and exhibits the in-depth behavior of inductors and capacitors.
The organization of this paper is as follows. Section 2 is a brief explanation of the methodology used in the proposed FSS and provides an explanation of its operation. Section 3 presents an analysis of the designed FSS using an equivalent circuit method and shows a parametric effect. Section 4 presents the simulation results under the TE and TM mode polarization and also proves its angular stability. Section 5 shows the fabricated FSS and its measurements conducted using a Vector Network Analyzer (VNA). Section 6 shows the proposed design is compared with the related existing work. Finally, in Section 7, the conclusion of the proposed design is discussed.
2. Proposed Design of FSS Configuration
2.1. Design Methodology with Its Evolution Stages
Figure 1 provides general design guidelines for the proposed single-band dual-frequency structure. The dimensions of the resonant patch element are thoroughly calculated using standard formulas [33,34] for resonant frequency prediction, considering the substrate’s dielectric properties. The Cruciform FSS parameters are precisely adjusted for linear polarization and dual resonance at 1.9 GHz and 2.1 GHz. The primary cross-dipole arms (L1) establish the essential framework, whilst the effective lengths of the slanted slots (L2–L5) modify the current trajectories and alter resonance frequencies due to their diminished projections. The square stubs (L6) introduce capacitive loading, which reduces resonance and improves impedance matching. Modifications in slot and stub size (W1–W4) optimize the structure’s polarization and bandwidth. This meticulous design guarantees strong performance over dual frequency bands while preserving compactness and scalability.
Figure 1.
Design methodology flowchart of the proposed dual-band single-layer structure.
Substrate dimension calculations are as follows:
Dielectric constant of RT/Duroid 5880 is = 2.2
Thickness of RT/Duroid 5880 = 0.5 mm
Resonant frequencies are = 1.9 GHz and = 2.1 GHz
Wavelength at f1 in the substrate will be calculated by (1).
where c is the speed of light in vacuum (m/s).
Approximate length of a square substrate at resonant frequency will be calculated by
The size of the substrate intrinsically depends on its resonant frequency and relative dielectric permittivity. Since the model is resonating at 1.9 GHz, its length will be dependent on it. Hence, we will consider the lower resonant frequency to calculate the resonant patch element’s dimensions which gives the optimized size as 53 × 53 mm.
To achieve a dual band, some design procedures are used which are classified into different steps to understand the operation of the proposed FSS model, which is shown in Figure 2.
Figure 2.
Evolution design stages of the FSS Copper (green) Dielectric Material (grey): (a) Cross structure; (b) Cross structure with rectangular slot; (c) Subsequent modification of inclined rectangle; (d) Sqaure stubs attached with rectangular slot; (e) Assymetric cruciform design.
Step 1: The initial design, shown in Figure 2a, features a cross structure whose geometry can be easily modified to suit different frequencies, making it highly scalable and effective to achieve precise filtering. The configuration has a length (L1) of 45 mm and a width (W1) of 1.9 mm, providing the resonance at 2.79 GHz, as shown in Figure 3a. However, this is far from the required frequency. To achieve the desired resonance, further modifications are performed for the design to achieve the desired frequency.
Figure 3.
(a) Reflection-transmission coefficient of different design steps. (b) Reflection-transmission coefficient of step 5.
Step 2: The branches of the cross structure are modified, as shown in Figure 2b, to create a greater electrical length within a compact space. The configuration of a rectangular slot with dimensions of 15 mm in length (L2) and 1 mm in width (W2), which is centrally positioned rather than at the periphery of the cross structure, is performed. This position is chosen as the cross structure induces a strong surface current at the center. Consequently, this facilitates the easy flow of surface current through the structure and effectively shows the behavioral characteristic of close circuits. A constant distance is maintained between each branch to preserve the unit cell’s symmetric character. Its reflection/transmission coefficient is analyzed, and the geometry provides the transmission at 2.49 GHz, as shown in Figure 3a. It does not fulfill the criteria of the proposed FSS. Hence, the model needs further modifications.
Step 3: In Figure 2c, the subsequent modification introduces additional branches, each inclined at an angle of 45° relative to each arm of the cross dipole. The inclination of the rectangular slot will effectively modify its physical length and the way it will interact with the electromagnetic field of the cross dipole. The impedance of the rectangular slot is affected by its inclination due to the change in the current distribution, potentially introducing reactive components depending on the angle and the proximity to the cross structure. The inclined rectangular slot’s length projection on the vertical axis will be shorter than the actual length, which changes the resonant frequency. This can be calculated by considering the equation . The analysis shows that the frequency shifts downward compared to step 2, specifically from 2.49 GHz to 2.1625 GHz, as shown in Figure 3a.
Step 4: To alter the resonant frequency from step 3, square stubs are placed on a rectangular slot as illustrated in Figure 2d. The placement and dimensions of these stubs alter their surface current and the impedance of the slot. They are placed on the rectangular slot in such a way that the capacitive loading is increased, resulting in the reduced physical length required for the desired resonant frequency. The effective length of the small stubs can be described as . This additional effective length provides the resonance at 1.92 GHz, which is depicted in Figure 3a.
Step 5: Step 4 demonstrates the resonant frequency at 1.92 GHz, which corresponds to one of the desired frequencies within the LTE band spectrum. However, to achieve dual resonance, further modification is necessary, which is shown in Figure 2e. By removing one of the square stubs from the configuration in step 4, the structure exhibits dual resonance at 1.9 and 2.1 GHz as demonstrated in Figure 3b. It is observed that the introduction of asymmetry within the structure leads to dual resonance behavior. The removal of the square stub disrupts the initial symmetry, resulting in a double varied surface current path across the structure. This variation of current distribution successfully creates two resonances. This asymmetry-induced dual resonance is the finalized design of the proposed FSS derived from the fundamental cross structure, hence termed “Cruciform FSS”.
The resonant patch element of a C-FSS is placed whose dimensions are given in Table 1.
Table 1.
Unit cell dimensions of Cruciform FSS.
The proposed FSS design exhibits a systematic progression through iterative alterations, attaining the necessary resonance and operational attributes. A scalable cross structure resonating at 2.79 GHz was initially developed, followed by the incorporation of center rectangular slots to increase electrical length, resulting in a resonance at 2.49 GHz. Additional optimization via 45°-angle slots successfully modified the current distribution and adjusted resonance to 2.1625 GHz. The incorporation of square stubs augmented capacitive loading, hence decreasing the necessary physical length and attaining resonance at 1.92 GHz. The removal of a square stub introduced asymmetry, resulting in dual resonances at 1.9 GHz and 2.1 GHz, which correspond to LTE band specifications. This development confirms the ultimate “Cruciform FSS” design as a small, efficient, and scalable solution for dual-band applications.
This design purposely incorporates asymmetry to attain dual-resonance behavior, essential for fulfilling the demands of applications such as LTE band operation. Symmetric structures typically yield a singular resonance owing to the homogeneous current distribution, constraining the design to a more restricted frequency range. Eliminating one square stub disturbs symmetry, altering the uniform current distribution and resulting in diverse surface current pathways, which induces dual-resonance behavior. This deliberate deviation from symmetry is a tactical design decision to enhance functionality, enabling the structure to resonate at two separate frequencies, as necessitated for dual-band applications. Consequently, asymmetry augments the design’s versatility and efficacy, which would not have been attainable with a symmetric configuration.
The increase in the discrete elements with each development step results in a shifting of resonant frequency toward the lower side, as tabulated in Table 2.
Table 2.
Geometric values at each evolution step.
2.2. Dual-Band Single-Layer Structure
Figure 4a,b shows the proposed Cruciform FSS (C-FSS) geometry, which consists of a square unit cell measuring 0.33 × 0.33, which has been specifically obtained to achieve the desired frequencies. The unit cell consists of resonant components that resonate accurately at frequencies of 1.9 and 2.1 GHz. For high-speed data and voice services, commonly used LTE bands are 1.9 GHz (Band 25), which offers 1.85–1.91 GHz for the uplink and 1.93–1.99 GHz for the downlink, and 2.1 GHz (Band 1), which offers 1.92–1.98 GHz for the uplink and 2.11–2.17 GHz for the downlink.
Figure 4.
Cruciform FSS geometry: (a) 4 × 4 array; (b) unit-cell prototype.
The C-FSS structure is constructed and analyzed using the RT/Duroid 5880 substrate, with the chosen thickness of 0.508 mm. The proposed FSS operates on dual bands through the asymmetric nature of the structure. Most of the design gives PMC/PEC properties at a single frequency from the single-element structure, but the proposed structure resonates at a dual frequency from the single element. Since the resonance is operating on an asymmetric impedance surface which creates independent control of surface impedances, it is designed to exhibit a specific resonance when it interacts with incident EM waves. Hence, it controls the absorption and transmission characteristics. Table 3 gives a comparison of the symmetric and asymmetric surfaces.
Table 3.
Comparison of surface design with operational parameters.
A 4 × 4 array of C-FSS is depicted in Figure 4a. Arrays cover and integrate surfaces better than single-unit cells. An FSS must interact with EM waves across a vast area to give desired results, as it operates on the principle of periodic structures. The periodic structure of an array leads to the constructive and destructive interference of EM waves which allow fine tuning of the band-pass or band stop characteristics. Hence, a single unit cell cannot form the operative surface. A periodic FSS structure can be created using the principles of the Floquet theorem. A periodic structure is defined to have an infinite extent. A planar array that crosses in the x-axis and z-axis indefinitely with uniform spacing between each element is referred to as a fully periodic arrangement (infinite × infinite) [13]. N number of unit cells gives the overall response of the array by determining the Array Factor [35], as given in Equations (3) and (4).
The provided array is a spatial filter that is used to influence the undetermined front of an incident wave. Electric polarizability, which presents a resonant response, is the only thing that is needed for the simplest FSS to work. If admittance (Y) is a collection of patches that represent first-order filters, it indicates the behavior of a series resonant LC circuit. If Y is an aperture-type first-order FSS, it denotes a parallel resonant LC circuit. It is possible to make more complicated dispersion characteristics, such as multiband filters or high-order filters with narrow or widened bands, by combining unit cells that have varying capacitances and inductances. Since FSSs are made of a single metal sheet, they still respond with an electric field.
Let us assume that an incoming EM wave is impinging on the array and is transmitting in a particular direction [13], as indicated in Equation (5).
Throughout the element, the currents will be of the same amplitude, and the incident EM field’s phase will coincide with the currents’ phase. The currents in the mth column and nth row can be expressed as per Floquet’s theorem; the expression is written in (6).
Applying Ohm’s law to reference element 0, 0 gets (7):
Array impedance can be examined by (8):
An overall effective impedance can be expressed by (9):
Because of the intercellular coupling, the inductance and capacitance of an array of unit cells in an FSS differ from those of a single unit cell. The coupling modifies the combined resonant frequency and impedance of the array, hence impacting its capacity to selectively filter certain frequencies of electromagnetic waves. The resonant frequency will be calculated from the formula in (10).
3. Optimization and Analysis of Proposed FSS
3.1. Parametric Study
To achieve the desired transmission characteristics, careful selection of unit cell parameters is crucial for controlling the distribution of induced currents. These parameters also influence the operating bandwidth, polarization insensitivity, and angular stability. Therefore, it is essential to examine the impact of variations of parameters like length and width on the frequency response characteristics of the proposed C-FSS.
It focuses on analyzing the impact of the length of the cross structure, represented as L1, on the reflection and transmission coefficients of the C-FSS. Figure 5a demonstrates the dependency of the frequency and L1. It has been noted that when L1 increases, there is a significant shift in the transmission band toward lower frequencies. The shift can mainly be attributed to the increased inductance caused by the extended length of the cross structure. After initial optimization, it shows that the optimal length for the cross structure is 45 mm.
Figure 5.
Effect of cross-structure (a) length L1 and (b) width W1 on reflection and transmission coefficients of C-FSS and effect of rectangular monopole (c) length L2 and (d) width W2 on reflection and transmission coefficients of C-FSS.
Figure 5b presents a detailed analysis of how the width, represented as W1 of the cross structure, impacts the reflection and transmission coefficients of C-FSS. It shows that the increase in W1 leads to the shift of the transmission band toward a higher frequency. From the given analysis, the optimized W1 of the cross structure is 1.9 mm.
Consequently, parametric analysis of rectangular monopoles is also conducted. The variation of resonant frequencies with varying widths and lengths is shown in Figure 5c,d, respectively. The optimized length (L2) of the rectangular monopole is 15 mm, and the width (W2) is 1 mm.
3.2. Equivalent Circuit Model
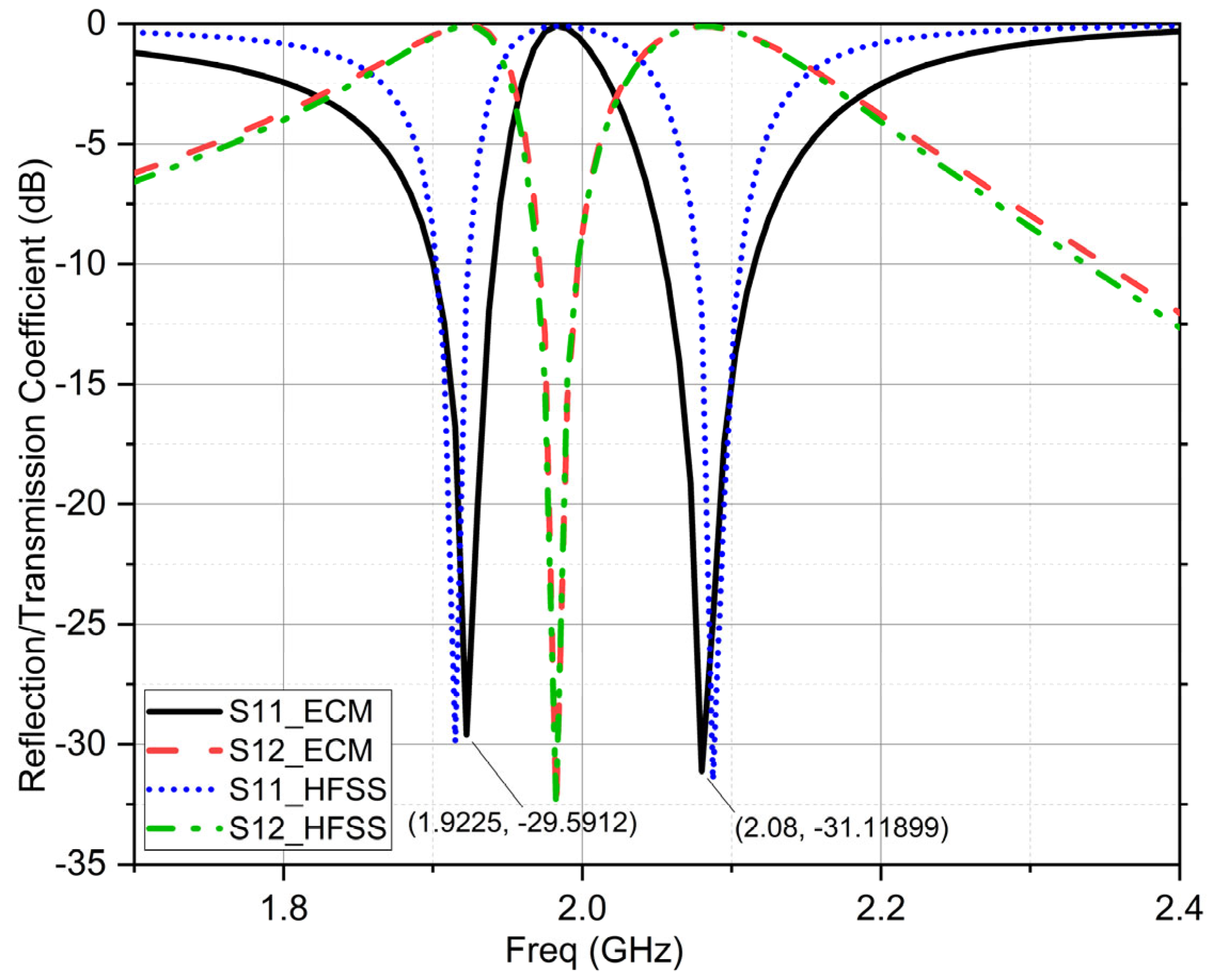
For a deeper understanding of the design’s operating principle, an equivalent circuit model (ECM) is employed as shown in Figure 6. Furthermore, the comparison of the simulated results of and obtained from HFSS and ECM shows an appropriate response with the simulated results as shown in Figure 7.
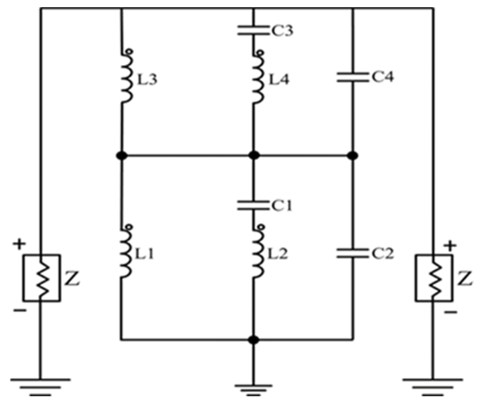
Figure 6.
ECM model of proposed Cruciform FSS.
Figure 7.
Comparative analysis of C-FSS with ECM model.
It is evident from the available literature that the modified cross structure can be represented by L-C series/parallel networks [36]. The copper part makes an inductor while the gaping forms capacitance. The ECM lumped components are optimized by matching the ECM response with the response obtained from the Advanced Design System and using the built-in Finite-Element Method (FEM) in the HFSS simulator. The optimized values of each lumped component are as follows: L1 = 938.16 nH, L2 = 541.80 pH with R1 = 0.01 ohm, L3 = 91.19 pH, L4 = 1.48 nH with R2 = 0.3 ohm, C1 = 2.13 × 10−11, C2 = 31.33 pF, C3 = 2.51 × 10−11, and C4 = 68.54 pF. These values can be calculated using the formulas given in [37,38].
Analyzing the E-field and surface current distributions under TE polarization allows one to gain a thorough knowledge of the proposed C-FSS through the development of the ECM [39]. However, the suggested shape affects the dual-resonance transmission/reflection phenomenon. An analysis of the surface current [40] and electric field distribution [41] is conducted at the dual frequency of 1.9 and 2.1 GHz, as illustrated in Figure 6. It can be observed from Figure 8a, which shows the electric field distribution at 1.9 GHz, and Figure 8c, which shows the electric field distribution at 2.1 GHz, that the maximum electric field distribution occurs along the arms of the cross structure, with the highest concentration at the center of the cross structure for 2.1 GHz resonance. Consequently, the width and distance between the center of the cross structure and the rectangular monopole will affect the resonance of the structure.
Figure 8.
(a) Electric field distribution at 1.9 GHz. (b) Surface current distribution at 1.9 GHz. (c) Electric field distribution at 2.2 GHz. (d) Surface current distribution at 2.1 GHz.
Additionally, the strong surface current distribution is located at the corner of the rectangular monopole, as shown in Figure 8b for 1.9 GHz and Figure 8d for 2.1 GHz. The three-square stubs exhibit more limited current density than the rectangular monopole where the square stub is absent. As a result, it affects the resonance and results in dual-band resonance.
4. Simulation Results and Discussion of C-FSS
Ansys HFSS R1 2021 software is used for simulations of the proposed model. These simulated results are used to examine the structure, showing that it could be used in LTE-band communication devices for filtering and isolating frequencies.
4.1. Transmission/Reflection Coefficient of Double Band with TE Mode Polarization
The graph shown in Figure 9 illustrates the reflection and transmission coefficients (in dB) versus frequency (in GHz) for C-FSS, highlighting its band-pass filter characteristics under the condition of . The desired frequency points include a reflection coefficient in dB of approximately −29.59 and −31.11 dB at 1.92 and 2.08 GHz, respectively. The graph identifies two distinct passband regions obtained as 40 MHz (1.9–1.94 GHz) bandwidth and 60 MHz (2.06–2.12 GHz) bandwidth, where the transmission coefficient is significantly higher, allowing effective signal passage. In contrast, the stop-band regions exhibit higher reflection and lower transmission, indicating the device’s selective frequency filtering capability.
Figure 9.
Reflection-transmission coefficients of C-FSS.
4.2. Angular Stability with TE and TM Mode Polarization
Due to the uncertainty in the direction of the EM wave, an FSS can be sensitive to the oblique incident angles. Its filtering performance may vary depending on the incident angle which may exhibit significant deviations in the resonant frequency. If the deviation is too large, then the FSS may fail to perform the intended spatial filtering. Therefore, to ensure stable operation within the desired frequency band, it is essential to verify angular stability under various polarized oblique incidences.
To verify the angular stability of the designed C-FSS, it has been simulated for oblique incidence for both TE and TM polarization. The reflection coefficient is simulated for oblique incident angles up to 80°; it is provided in Figure 10a–d. In this context, the angle mean deviation [31] is considered to analyze the angle stability of the proposed C-FSS and calculated as follows:
where is the mean angle deviation; is the resonant frequency at normal incidence, and n is the total number of oblique incidence angles. To get high angular stability, the value of the mean angle deviation should be low. Table 4 presents the mean angle deviation of both resonant frequencies for TE and TM modes at various incident angles. The data represent the good angular stability of C-FSS, as the mean angle deviation does not exceed 1% for both modes.
Figure 10.
Angular stability of C-FSS in TE mode. (a) Reflection coefficient. (b) Transmission coefficient and angular stability of C-FSS in TM mode. (c) Reflection coefficient. (d) Transmission coefficient.
Table 4.
Resonance frequency at different oblique incident angles for TE and TM modes.
4.3. Z Parameter of C-FSS
Figure 11 indicates the z-parameter of the proposed C-FSS. The z-parameter shows the impedance characteristics of the structure which is crucial to understand the electromagnetic behavior across the specified frequency range. Around 1.8 GHz, the impedance curve shows a sharp change, likely indicating a transition from capacitive to inductive behavior, or vice versa. Around 2 GHz, a rapid transition shows strong reactive behavior. The range of frequencies where z-parameters show behavioral changes indicates the operational bandwidth of the C-FSS.
Figure 11.
Z-parameter of C-FSS.
5. Fabrication and Measurement Results
Figure 12a shows the fabricated C-FSS array, while Figure 12b,c displays the measurement setup of the fabricated structure with horn antennas and an anechoic chamber, respectively. To conduct measurements, Vector Network Analyzer (VNA) of Agilent Technologies model N5230A (Santa Clara, CA, USA), which operates in the range of 300 kHz–20 GHz, is used. Multiple techniques can be employed to determine the reflection and transmission properties of an FSS structure. Usually, horn antennas are arranged on opposite sides of the FSS structure to examine the transmission characteristic, whereas they are positioned on the same side to measure the reflection coefficient. The horn antennas can be adjusted to have either vertical or horizontal polarization, allowing for the measurement of both TE and TM transmission properties. The horn antenna is examined without FSS which results in a reference curve. This reference curve is employed to standardize the FSS frequency response, thus offsetting any losses that occur in free space.
Figure 12.
(a) Fabricated 4 × 4 array structure of C-FSS. (b) C-FSS test setup for S11 parameters. (c) C-FSS under test in anechoic chamber.
Although this setup enables the measurement, it may produce imprecise data because of edge diffractions. The occurrence of these diffractions is because, in most cases, the FSS dimensions are substantially lower than the beamwidth of the horns. So, choosing the array size of FSS is crucial. The size of the C-FSS array is 21.5 × 21.5 mm2, which is sufficient for testing scenarios.
In Figure 13a, the compared results of fabricated and simulated data are shown, and Figure 13b shows VNA results. The C-FSS exhibits distinct resonant behavior at around 2.1 GHz. The results differ slightly from one another. These differences can be related to variations in fabrication tolerances, errors in measurements, or external influences that impact the measurements.
Figure 13.
(a) Compared measured and simulated reflection and transmission coefficients under TE polarized wave. (b) VNA result of proposed C-FSS.
To obtain measurements at various oblique angles of incidence, the transmitting and receiving antennas are re-positioned along a circular trajectory, either in a clockwise or counterclockwise direction, to achieve the desired oblique angles in relation to the path of normal incidence. At a perpendicular angle, both antennas are aligned along the 0° line. For oblique incidence, the transmitting and receiving antennas are displaced in opposite directions, with one moving clockwise and the other counterclockwise, along a circular trajectory. This displacement allows the antennas to form the required angle with the normal path.
This experimental result is shown in Figure 14a,b. The measured reflection and transmission coefficients are examined under oblique incidence for TE and TM polarization. The angular stability is examined up to 80°.
Figure 14.
(a) Angular stability of reflection coefficient under TE polarized wave. (b) Angular stability of transmission coefficient under TE polarized wave.
6. Performance Comparison of C-FSS
With the purpose of understanding the unique properties of C-FSS, a comparison is made with the recently designed FSS structures for the LTE band in Table 5 discussed with some parameters such as the substrate, type of FSS, number of layers, number of elements, operating bandwidth, operating frequency, coefficient, analysis method, and incident angle. It is found that the proposed C-FSS is resonating at dual frequencies with a single layer and single element. The asymmetric property makes it distinctive from other dual-band FSSs.
The proposed C-FSS presents significant benefits compared to the recently developed FSS. The proposed FSS achieves dual frequency bands at 1.9 and 2.1 GHz, featuring bandwidths of 40 and 60 MHz, respectively, with reflection coefficients around −29.59 and −31.11 dB. This performance surpasses other designs, such as [42], which show a reflection coefficient of −25 dB at 2.11 GHz and a stability restricted to 30°. In comparison to [20], the active FSS operates in a single band at 2.1 GHz with a bandwidth of 0.86 GHz, exhibiting a reflection coefficient of −20 dB and angular stability limited to 60°, the proposed C-FSS offers enhanced efficiency and improved stability, reaching up to 80°. Moreover, in contrast to the tri-band designs in [43,44], which function across various bands yet fall short in the precision and focus necessary for dual-band LTE applications, the C-FSS offers a customized solution with its asymmetric structure. For instance, Ref. [43] offers a wider operational range but sacrifices some angular stability, whereas [44] utilizes textile substrates that emphasize flexibility rather than performance metrics such as reflection coefficients. The proposed design distinguishes itself from [45,46], which emphasizes multi-functional or band-stop applications at the expense of the simplicity and compactness found in single-layer structures. Furthermore, the C-FSS outperforms the multi-layered FSS in [41] regarding material efficiency and ease of manufacturing, all while maintaining exceptional performance. In [47], the authors proposed a dual-band WIFI filter using a 6 × 6 array unit cell with a Pyrex glass substrate. Utilizing an RT/Duroid 5880 substrate along with an asymmetric configuration, the proposed design guarantees excellent angular stability and precise frequency filtering, positioning it as an exceptional option for LTE applications that require high-performance standards.
Table 5.
Performance comparison with existing work.
Table 5.
Performance comparison with existing work.
| Ref. | Application | Design Type | Substrate | Dimension (mm) | N1 | N2 | Band | Operating Bandwidth (GHz) | fr (GHz) | Coefficient (dB) | Analysis Method | θ |
|---|---|---|---|---|---|---|---|---|---|---|---|---|
| [43] | 5G and UMTS, energy-saving glass | Aperture type | FR4 | 40 × 40 | 1 | 3 | Tri-Band Band-Pass | (0.64—0.95), (1.71—1.96), (3.43—3.78) (at −3 dB) | 0.7, 1.9, 3.6 | - | - | - |
| [44] | stealth technology—integrated into clothing or camouflage nets to reduce radar cross-section | Aperture type | Textile and foil | 30 × 30 | 1 | 3 | Tri-Band Band-Pass | L, S, Ku Band (at −10 dB) | 1.7,1.9, 5.5 | S21: −35, −26 | - | - |
| [45] | for cross-band near-field mutual coupling suppression | Aperture type | RF-30 | 200 × 200 | 1 | 1 | Dual-Band Band Stop and Band-Pass | (1.7–2.4) (3.3–3.8) (at −10 dB) | 2.1,3.5 | S21: −45 S11: −35 | ECM | Up to 20° |
| [46] | multi-functional telecommunication systems | Patch type, Active FSS | FR4 | 6.6 × 6.6 | 1 | 2 | Multi-functional | 4 operating states | 1.9 | S21: −38, −32, −32, −38 | ECM | Up to 60° |
| [20] | stealth technology, EM shielding technology, and electrically configurable devices | Patch type, Active FSS | F4BME material with 1/2 Oz copper cladding | 320 × 320 | 2 | 6 | Single-Band | (1.764–2.624) (at −3 dB) | 2.1 | S21: −20 | ECM | Up to 60° |
| [42] | EMI shielding | Patch type, Passive FSS | FR4 | 20 × 20 | 2 | 4 | Dual-Band | (1.72–2.32) (2.83–3.56) (at −10 dB) | 2.11, 3.11 | S21: −25 | - | Up to 30° |
| [41] | transmitting LTE 2.1 GHz signals in PIN OFF state while functioning as a band-stop filter to shield those signals | Patch type, Active FSS | F4B-2 | 20 × 20 | 1 | 2 | Single-Band | 0.383 (at −10 dB) | 2.1 | S21: −48 | - | Up to 60° |
| [47] | Wi-Fi shielding | Patch type | Pyrex glass | 21.1 × 21.1 | 1 | 2 | Dual-Band | - | 2.5, 5 | S21: −60, −58 | ECM | Up to 30° |
| This work | Reducing PIM and enhancing dual passband | Aperture type, Passive FSS | RT/Duroid 5880 | 53 × 53 | 1 | 1 | Dual-Band | (1.9–1.94) (2.06–2.12) (at −10 dB) | 2.1, 1.9 | S11: −29.59, −31.11 | ECM | Up to 80° |
N1—numbers of layers, N2—No. of Elements, and θ—Angular Stability.
7. Conclusions
This paper presents the C-FSS as a strong solution for dual-resonance applications within the LTE frequency bands, utilizing asymmetry and passband filtering techniques. This design greatly improves wireless communication efficiency by minimizing PIM. The unique design enables dual-resonance behavior within a single-layer, single-element structure, setting it apart from traditional second-order filtering techniques typically used for comparable applications. The proposed C-FSS showcases remarkable performance, featuring reflection coefficients of around −29.59 dB and −31.11 dB at 1.92 GHz and 2.08 GHz, respectively, which makes it an excellent choice for LTE band communication. Moreover, the C-FSS demonstrates its angular stability by delivering reliable results across a range of incidence angles, reaching up to 80°. The analysis is supported by ECM, and the precision of the simulated results is confirmed through measurements of a constructed 4 × 4 array structure utilizing a VNA. This research underscores the distinct benefits of the C-FSS, yet it also reveals various challenges and avenues for improvement that still exist. Future work can focus on prioritizing the development of a tuneable model, which would enhance its selectivity by refining the filter’s precision and improve its overall performance by optimizing its functions across different operational conditions.
Author Contributions
Conceptualization: V.D., R.M. and A.K.; methodology: V.D., R.M. and A.K.; validation: V.D., R.M. and A.K.; formal analysis: R.M. and A.K.; investigation: V.D., R.M. and A.K.; writing—original draft preparation, V.D.; writing—review and editing: R.M. and A.K.; supervision: R.M. and A.K. All authors have read and agreed to the published version of the manuscript.
Funding
This research received no external funding.
Data Availability Statement
The original contributions presented in this study are included in the article. Further inquiries can be directed to the corresponding author.
Acknowledgments
The authors are sincerely thankful to the reviewers for their valuable comments for improving the quality of the manuscript.
Conflicts of Interest
The authors declare no conflicts of interest.
References
- Ahmmed, T.; Kiayani, A.; Shubair, R.M.; Yanikomeroglu, H. Overview of Passive Intermodulation in Modern Wireless Networks: Concepts and Cancellation Techniques. IEEE Access 2023, 11, 128337–128353. [Google Scholar] [CrossRef]
- Jin, Q.; Feng, Q.; Wang, Z. Analysis of passive intermodulation in cascaded connectors with transmit-receive systems. IET Microw. Antennas Propag. 2023, 17, 518–525. [Google Scholar] [CrossRef]
- Waheed, M.Z.; Campo, P.P.; Korpi, D.; Kiayani, A.; Anttila, L.; Valkama, M. Digital Cancellation of Passive Intermodulation in FDD Transceivers. In Proceedings of the 2018 52nd Asilomar Conference on Signals, Systems, and Computers, Pacific Grove, CA, USA, 28–31 October 2018; pp. 1375–1381. [Google Scholar] [CrossRef]
- Waheed, M.Z.; Korpi, D.; Anttila, L.; Kiayani, A.; Kosunen, M.; Stadius, K.; Campo, P.P.; Turunen, M.; Allen, M.; Ryynanen, J.; et al. Passive Intermodulation in Simultaneous Transmit-Receive Systems: Modeling and Digital Cancellation Methods. IEEE Trans. Microw. Theory Technol. 2020, 68, 3633–3652. [Google Scholar] [CrossRef]
- Cai, Z.; Liu, L.; de Paulis, F.; Qi, Y. Passive Intermodulation Measurement: Challenges and Solutions. Engineering 2022, 14, 181–191. [Google Scholar] [CrossRef]
- Glybovski, S.B.; Tretyakov, S.A.; Belov, P.A.; Kivshar, Y.S.; Simovski, C.R. Metasurfaces: From microwaves to visible. Phys. Rep. 2016, 634, 1–72. [Google Scholar] [CrossRef]
- Munk, B.A. Theory and Design; John Wiley & Sons: New York, NY, USA, 2000. [Google Scholar]
- Kapoor, A.; Kumar, P.; Mishra, R. Modelling of Wideband Concentric Ring Frequency Selective Surface for 5G Devices. Comput. Mater. Contin. 2022, 74, 341–361. [Google Scholar] [CrossRef]
- Ghiasvand, F.; Heidar, H.; Kazerooni, M.; Hamidi, E. A frequency-independent inhomogeneous planar radome with high angular stability based on permittivity manipulating. AEU—Int. J. Electron. Commun. 2022, 151, 154214. [Google Scholar] [CrossRef]
- Kapoor, A.; Mishra, R.; Kumar, P. Frequency selective surfaces as spatial filters: Fundamentals, analysis and applications. Alex. Eng. J. 2022, 61, 4263–4293. [Google Scholar] [CrossRef]
- Zhang, J.; Yan, L.; Gao, R.X.K.; Wang, C.; Zhao, X. A Novel 3D Ultra-wide Stopband Frequency Selective Surface for 5G Electromagnetic Shielding. In Proceedings of the 2020 International Symposium on Electromagnetic Compatibility—EMC EUROPE, Rome, Italy, 23–25 September 2020; pp. 3–6. [Google Scholar] [CrossRef]
- Kong, P.; He, Y.; Yu, X.-W.; Miao, L.; Jiang, J.-J. Wideband switchable frequency selective surfaces absorber/reflector. In Proceedings of the 2018 International Workshop on Antenna Technology (iWAT), Nanjing, China, 5–7 March 2018; pp. 1–4. [Google Scholar]
- Anwar, R.S.; Mao, L.; Ning, H. Frequency selective surfaces: A review. Appl. Sci. 2018, 8, 1689. [Google Scholar] [CrossRef]
- Xie, S.; Ji, Z.; Zhu, L.; Zhang, J.; Cao, Y.; Chen, J.; Liu, R.; Wang, J. Recent progress in electromagnetic wave absorption building materials. J. Build. Eng. 2020, 27, 100963. [Google Scholar] [CrossRef]
- Mohanty, A.; Sahu, S. Compact wideband hybrid fractal antenna loaded on AMC reflector with enhanced gain for hybrid wireless cellular networks. AEU—Int. J. Electron. Commun. 2021, 138, 153837. [Google Scholar] [CrossRef]
- Chaudhary, V.; Panwar, R. Machine Learning Derived TiO2 Embedded Frequency Selective Surface for EMI Shielding Applications. IEEE Trans. Dielectr. Electr. Insul. 2023, 30, 2205–2212. [Google Scholar] [CrossRef]
- Bagci, F.; Can, S.; Karakaya, E.; Mulazimoglu, C.; Yilmaz, A.E.; Akaoglu, B. Optically transparent frequency selective surface for filtering 2.6 GHz LTE band. In Proceedings of the 2017 IV International Electromagnetic Compatibility Conference (EMC Turkiye), Ankara, Turkey, 24–27 September 2017; pp. 8–11. [Google Scholar] [CrossRef]
- Buta, A.P.; Silaghi, A.M.; De Sabata, A.; Matekovits, L. LTE Band Filtering Applications of a Fractal Based Frequency Selective Surface. In Proceedings of the 2020 International Symposium on Electronics and Telecommunications (ISETC), Timisoara, Romania, 5–6 November 2020. [Google Scholar] [CrossRef]
- Can, S.; Yilmaz, A.E.; Mülazimoǧlu, C.; Karakaya, E.; Akaoǧlu, B. Miniaturized wide-band supercell frequency selective surface for LTE band applications. In Proceedings of the2017 IV International Electromagnetic Compatibility Conference (EMC Turkiye), Ankara, Turkey, 24–27 September 2017; pp. 2–6. [Google Scholar] [CrossRef]
- Li, H.; Cao, Q.; Wang, Y. A novel 2-B multifunctional active frequency selective surface for LTE-2.1 GHz. IEEE Trans. Antennas Propag. 2017, 65, 3084–3092. [Google Scholar] [CrossRef]
- Nguyen, T.K.; Phan, M.T.; Borowiec, R.; Narbudowicz, A. High Gain and Wide Bandwidth Fabry-Perot Frequency-Reconfigurable Antenna for Multiple LTE Radio Wireless Communication. In Proceedings of the 2022 IEEE Ninth International Conference on Communications and Electronics (ICCE), Nha Trang, Vietnam, 27–29 July 2022; pp. 260–264. [Google Scholar] [CrossRef]
- Chomtong, P.; Meesomklin, S.; Akkaraekthalin, P. Design of frequency selective surface reflector using interdigital slot and application for LTE. In Proceedings of the 2017 International Symposium on Antennas and Propagation (ISAP), Phuket, Thailand, 30 October–2 November 2017; pp. 1–2. [Google Scholar] [CrossRef]
- Zhu, J.; Wang, Q.; Jin, M. High-Order Wideband Band-Pass Miniaturized Frequency-Selective Surface with Enhanced Equivalent Inductance. Electronics 2024, 13, 925. [Google Scholar] [CrossRef]
- Ateriya, R.; Tiwari, G. Design and Analyzed of Swastika-Shaped Frequency Selective Surface with Split Ring Resonator Metamaterial Absorber. Int. J. Eng. Res. 2020, V9, 985–988. [Google Scholar] [CrossRef]
- Bilvam, S.; Sivasamy, R.; Kanagasabai, M.; Alsath, M.G.N.; Baisakhiya, S. Miniaturized Band Stop FSS Using Convoluted Swastika Structure. Frequenz 2017, 71, 51–56. [Google Scholar] [CrossRef]
- Moreira, R.B. A Compact and Stable Frequency Selective Surface for WLAN Applications. Int. J. Comput. Appl. 2017, 166, 22–25. [Google Scholar] [CrossRef]
- Unaldi, S.; Cimen, S.; Cakir, G.; Ayten, U.E. A Novel Dual-Band Ultrathin FSS with Closely Settled Frequency Response. IEEE Antennas Wirel. Propag. Lett. 2017, 16, 1381–1384. [Google Scholar] [CrossRef]
- Kesavan, A.; Member, S.; Karimian, R.; Denidni, T.A.; Member, S. A Novel Wideband Frequency Selective Surface for Millimeter-Wave Applications. IEEE Antennas Wirel. Propag. Lett. 2016, 15, 1711–1714. [Google Scholar] [CrossRef]
- Syed, I.S.; Ranga, Y.; Matekovits, L.; Esselle, K.P.; Hay, S.G. A single-layer frequency-selective surface for ultrawideband electromagnetic shielding. IEEE Trans. Electromagn. Compat. 2014, 56, 1404–1411. [Google Scholar] [CrossRef]
- Krushna Kanth, V.; Raghavan, S. Dual-band frequency selective surface based on shunted SIW cavity technology. IEEE Microw. Wirel. Compon. Lett. 2020, 30, 245–248. [Google Scholar] [CrossRef]
- Doken, B.; Kartal, M. Easily Optimizable Dual-Band Frequency-Selective Surface Design. IEEE Antennas Wirel. Propag. Lett. 2017, 16, 2979–2982. [Google Scholar] [CrossRef]
- Balta, Ş.; Kartal, M. A Novel Double-layer Low-profile Multiband Frequency Selective Surface for 4G Mobile Communication System. Appl. Comput. Electromagn. Soc. J. 2022, 37, 420–427. [Google Scholar] [CrossRef]
- Garg, J.; Sharma, M.M.; Yadav, S. Quad-band planar frequency selective rasorber with T-A-A-T operating mode and high oblique incidence stability. Opt. Quantum Electron. 2023, 55, 434. [Google Scholar] [CrossRef]
- Balanis, C.A. Antenna Theory Analysis and Design, 2nd ed.; John Wiley & Sons: New York, NY, USA, 1997. [Google Scholar]
- Das, N.K. Antennas and Radiation: II Antenna Elements and Arrays. In The Electrical Engineering Handbook; Elsevier: Amsterdam, The Netherlands, 2005; pp. 569–583. [Google Scholar] [CrossRef]
- Costa, F.; Monorchio, A.; Manara, G. An overview of equivalent circuit modeling techniques of frequency selective surfaces and metasurfaces. Appl. Comput. Electromagn. Soc. J. 2014, 29, 960–976. [Google Scholar]
- Sarabandi, K.; Behdad, N. A frequency selective surface with miniaturized elements. IEEE Trans. Antennas Propag. 2007, 55, 1239–1245. [Google Scholar] [CrossRef]
- Garg, R.; Bhartia, P.; Bahl, I.; Ittipiboon, A. Microstrip Antenna Design Handbook, 1st ed.; Artech House: Norwood, MA, USA, 2001. [Google Scholar]
- Zargar, M.M.; Rajput, A.; Saurav, K.; Koul, S.K. Single-Layered Flexible Dual Transmissive Rasorbers with Dual/Triple Absorption Bands for Conformal Applications. IEEE Access 2021, 9, 150426–150442. [Google Scholar] [CrossRef]
- Dey, S.; Dey, S.; Koul, S.K. Second-Order, Single-Band and Dual-Band Bandstop Frequency Selective Surfaces at Millimeter Wave Regime. IEEE Trans. Antennas Propag. 2022, 70, 7282–7287. [Google Scholar] [CrossRef]
- Parameswaran, A.; Ovhal, A.A.; Kundu, D.; Sonalikar, H.S.; Singh, J.; Singh, D. A Low-Profile Ultra-Wideband Absorber Using Lumped Resistor-Loaded Cross Dipoles with Resonant Nodes. IEEE Trans. Electromagn. Compat. 2022, 64, 1758–1766. [Google Scholar] [CrossRef]
- da Silva, B.S.; Campos, A.L.P.S.; Gomes Neto, A. Narrowband shielding against electromagnetic interference in LTE 4G systems using complementary frequency selective surfaces. Microw. Opt. Technol. Lett. 2018, 60, 2293–2298. [Google Scholar] [CrossRef]
- Wan, Z.; Ghorbani, F.; Huang, Y.; Zhou, J. Enhancing Signal Transmission in Energy-Saving Glass through Tri-Bandpass Frequency Selective Surface Design. In Proceedings of the 2024 18th European Conference on Antennas and Propagation (EuCAP), Glasgow, UK, 17–22 March 2024; pp. 1–5. [Google Scholar] [CrossRef]
- Rac-Rumijowska, O.; Pokryszka, P.; Rybicki, T.; Suchorska-Woźniak, P.; Woźniak, M.; Kaczkowska, K.; Karbownik, I. Influence of Flexible and Textile Substrates on Frequency-Selective Surfaces (FSS). Sensors 2024, 24, 1704. [Google Scholar] [CrossRef] [PubMed]
- Zhu, Y.; Chen, Y.; Yang, S. Cross-Band Mutual Coupling Reduction in Dual-Band Base-Station Antennas with a Novel Grid Frequency Selective Surface. IEEE Trans. Antennas Propag. 2021, 69, 8991–8996. [Google Scholar] [CrossRef]
- Li, H.; Costa, F.; Fang, J.; Liu, L.; Wang, Y.; Cao, Q.; Monorchio, A. 2.5-D miniaturized multifunctional active frequency-selective surface. IEEE Trans. Antennas Propag. 2019, 67, 4659–4667. [Google Scholar] [CrossRef]
- Pakdin, M.; Ghayekhloo, A.; Rezaei, P.; Afsahi, M. Transparent dual band Wi-Fi filter for double glazed energy saving window as a smart network. Microw. Opt. Technol. Lett. 2019, 61, 2545–2550. [Google Scholar] [CrossRef]
Disclaimer/Publisher’s Note: The statements, opinions and data contained in all publications are solely those of the individual author(s) and contributor(s) and not of MDPI and/or the editor(s). MDPI and/or the editor(s) disclaim responsibility for any injury to people or property resulting from any ideas, methods, instructions or products referred to in the content. |
© 2025 by the authors. Licensee MDPI, Basel, Switzerland. This article is an open access article distributed under the terms and conditions of the Creative Commons Attribution (CC BY) license (https://creativecommons.org/licenses/by/4.0/).













