Next Article in Journal
Alkyl Levulinates from Furfuryl Alcohol Using CT151 Purolite as Heterogenous Catalyst: Optimization, Purification, and Recycling
Previous Article in Journal
Grape Infusions: Between Nutraceutical and Green Chemistry
 
 
Font Type:
Arial Georgia Verdana
Font Size:
Aa Aa Aa
Line Spacing:
Column Width:
Background:
Review

Terpenes and Terpenoids: Building Blocks to Produce Biopolymers

by
Marta. E. G. Mosquera
1,*,
Gerardo Jiménez
1,
Vanessa Tabernero
1,*,
Joan Vinueza-Vaca
1,
Carlos García-Estrada
2,3,
Katarina Kosalková
2,
Alberto Sola-Landa
2,
Belén Monje
4,
Carolina Acosta
4,
Rafael Alonso
4 and
Miguel Ángel Valera
4
1
Departamento de Química Orgánica y Química Inorgánica, Instituto de Investigación en Química “Andrés M. Del Río”, Universidad de Alcalá, Campus Universitario, 28871 Alcalá de Henares, Spain
2
Instituto de Biotecnología de León (INBIOTEC), Parque Científico de León, Av. Real 1, 24006 León, Spain
3
Departamento de Ciencias Biomédicas, Campus de Vegazana s/n, Universidad de León, 24071 León, Spain
4
Aimplas, Plastic Technologic Center, Valencia Parc Tecnologic, C/Gustave Eiffel 4, 46001 Valencia, Spain
*
Authors to whom correspondence should be addressed.
Sustain. Chem. 2021, 2(3), 467-492; https://doi.org/10.3390/suschem2030026
Submission received: 19 June 2021 / Revised: 21 July 2021 / Accepted: 2 August 2021 / Published: 12 August 2021

Abstract

:
Polymers are essential materials in our daily life. The synthesis of value-added polymers is mainly performed from fossil fuel-derived monomers. However, the adoption of the circular economy model based on the bioeconomy will reduce the dependence on fossil fuels. In this context, biorefineries have emerged to convert biomass into bioenergy and produce high value-added products, including molecules that can be further used as building blocks for the synthesis of biopolymers and bioplastics. The achievement of catalytic systems able to polymerize the natural monomer counterparts, such as terpenes or terpenoids, is still a challenge in the development of polymers with good mechanical, thermal, and chemical properties. This review describes the most common types of bioplastics and biopolymers and focuses specifically on the polymerization of terpenes and terpenoids, which represent a source of promising monomers to create bio-based polymers and copolymers.

1. Introduction

The rapid growth of the world’s population and the current model of the linear economy has led us not only to a rapid depletion of natural resources but also to the overexploitation of the environment and to an exponential increase of greenhouse gases emissions with very important consequences on climate change. These negative effects have forced the main economic powers to change towards a circular economy, a model based on maintaining the product’s added value as long as possible so that resources remain in the production chain even when a product has reached its end-of-life. As such, in addition to the final product, circular economy takes into account, the raw materials, the energy use, the production processes, the by-products generated in the synthesis, together with the industrial and consumer residues, packaging, transport, reuse, and recycling.
On the other hand, a bioeconomy involves the use of renewable biological resources to produce food, feed, materials, energy, and services, and it includes the primary production sectors that produce these biological resources and the manufacturing industrial sectors that use them. The establishment of a circular economy based on the bioeconomy offers great possibilities to generate and maintain economic growth and jobs in rural areas, reduce dependence on fossil fuels and improve the economic, social, and environmental sustainability of primary production and processing industries [1]. In this context, the biorefineries have emerged as an industry focused on the direct conversion of biomass onto bioenergy and high value-added products.
Biomass is defined as the biological material coming from plants, animals, microorganisms, and derived materials, including organic wastes, and they must not compete with current resources for food or feed [2,3]. Among biological resources, the most abundant feedstock is the lignocellulosic biomass, corresponding to structural foliage material. It is composed mainly of cellulose, hemicellulose, and lignin, where cellulose forms rigid fibers, embedded in a matrix of lignin and hemicellulose. Cellulose is an unbranched homopolymer of hundreds to thousands of glucose residues joined by β-1,4 linkages, whereas hemicellulose is a branched heteropolymer composed of 80–200 residues of pentoses (mainly D-xylose and L-arabinose), hexoses (mainly D-galactose, D-glucose, and D-mannose), hexuronic acids (D-galacturonic acid, D-glucuronic acid, and 4-O-methyl-D-glucuronic acid) and, to a lesser degree, 6-deoxy-hexoses (L-rhamnose, and L-fucose) and different neutral O-methylated sugars. Lignin, meanwhile, is a branched non-carbohydrate polymer of coniferyl, sinapyl, and p-coumaryl alcohols, although many plants contain significant levels of other unusual components [4]. The ratio of the different polymers depends on the type of the plant: woody feedstocks are richer in lignin and cellulose, whereas herbaceous feedstocks are richer in hemicellulose and extractives [5], nonstructural components which can be extracted by water and organic solvents (such as simple sugars, starches, proteins, fats, fatty acids, sterols, essential oils, phenolics, terpenes, flavonoids, pectins, waxes, gums, resins, and other organic compounds) [6]. Therefore, lignocellulosic feedstocks are rich in carbohydrates (higher than 60%), which can be converted by microorganisms in a fermentative process into high value-added products. Complete conversion comprises three main steps: a pretreatment to break the structure of the biomass making both cellulose and hemicellulose accessible for lytic enzymes, the release of sugars by enzymatic hydrolysis, and conversion by fermentation of monomeric sugars into energy or valuable chemicals [7]. In recent years, the production of biopolymers from renewable resources like lignocellulosic feedstock has been increasing due to environmental, political, and economic concerns about conventional plastics utilization. A wide range of biopolymers with several applications possibilities can be produced from lignocellulosic biomass, allowing the replacement of many conventional plastics [8]. In addition, other kinds of precursors such as terpenes, vegetable oils, and carbohydrates that can be obtained from biomass are very good candidates to be used as monomers.

2. Biopolymers and Bioplastics

Most petroleum-based plastics have good mechanical properties such as toughness, flexibility, and resistance, however, when disposed they persist in the environment for a long time [9]. Thus, the growing interest in the use of bioplastics is related to the benefits they offer from an environmental point of view. They reduce the dependency on fossil-based raw materials and can reduce environmental problems.
Where biomass is used as the renewable raw material, to obtain polymers, these types of polymers are referred to as bioderived [10]. However, not all are biodegradable. Bioplastics are a family of plastics that can be divided into two categories, biodegradable and non-biodegradable [11]. At this point, we have considered that some petrochemical polymers are biodegradable and that not all bioderived polymers will biodegrade.

2.1. General Considerations of Biopolymers and Bioplastics

According to the recommendation for terminology and characterization of biopolymers and bioplastics, the term bioplastic is applied to different types of materials: (i) bio-based plastics, referred to the source of their raw materials, such as Bio-PE, Bio-PU, Bio-PA, (ii) biodegradable plastics, referred to their functionality, such as: cellulose, starch and polylactic acid (PLA), and (iii) bio-compatible plastics if the material is compatible with human and animal bodies [12]. Based on the source and biodegradation, polymers can be classified as it is shown in Figure 1.
The sources that can be used for bioplastic production are plant-based raw materials, natural polymers (carbohydrates, proteins, etc.), and other small molecules (sugar, disaccharides, and fatty acids) [14].
Bio-based plastics can be natural or synthetic. The natural bioplastics can be synthesized by live organisms (plants, animals, microorganisms) through direct exploitation (extraction and purification) or indirect by functionalization of a natural polymer by chemical processes (polysaccharides, proteins, and polyhydroxyalkanoates). On the other hand, synthetic bio-based polymers are obtained from monomers derived from renewable sources through chemical conversion (such as polylactic acid PLA, bio-PE obtained from bioethanol, and polyamide 11 obtained from castor oil) [15].
Biodegradable bioplastics can be degraded by microorganisms through two different pathways—aerobic and anaerobic degradation—depending on the presence or absence of oxygen, respectively, and it is highly dependent on the properties of the plastic nature [16].
Environmental considerations are the main advantages to use this type of polymers, however, other factors such as the low production capacity compared with the conventional materials, reduces the potential substitution and increases the costs of bioplastics—see Figure 2 for a summary of advantages and aspects to be improved related with bioplastics [17]. Therefore, more efforts must be made to develop sustainable and circular alternatives for preserving resources for future generations, focusing on biodegradable and bio-renewable materials [11].
Regarding their market, it is expected to grow bigger in the future due to the social concerns and economic problems which have triggered the development of environmentally friendly materials [18]. Although amongst the plastic produced annually, bio-based plastics represent only 1% in Europe, the demand for bio-based materials is expected to grow from 2.11 million tonnes in 2020 to approximately 2.87 million tonnes in 2025 according to European Bioplastics, see Figure 3 [19].
The main applications for bioplastics are packaging, food services, agriculture, consumer electronics, automotive, consumer goods, and household appliances. Packaging was the sector where the highest volume of bioplastics was used in 2020 (47%), followed by consumer goods (12%) and textiles (11%), and covering coatings (4%) (see Figure 4).

2.2. Types and Properties of Bioplastics

Generally, bio-based polymers are classified into three classes. The first class is naturally derived from biomass, such as cellulose, cellulose acetate, starches, chitin, or chemically modified ones such as modified starch, etc. The second class is bio-synthesized by using microorganisms and plants like poly(hydroxy alkanoates (PHAs). Regarding the third class are synthetic polymers such as polylactide (PLA), poly(butylene succinate) (PBS), bio-polyolefins, and bio-poly(ethylene terephthalic acid) (bio-PET). This third class is the most promising because the introduction of the bio-monomers in the existing production system for oils monomers could be possible. Monomers of this third class are naturally produced or are the result of combining chemical and biochemical processes [20].
Many biopolymers are already being produced commercially on large scale, such as cellulose, starch, collagen, casein, soy protein, and polyester [21]. Other biopolymers available in the market are polyesters like polylactic acid (PLA), polyhydroxyalkanoates (PHA), or bio-polyethylene terephthalate (bio-PET), polyvinyl alcohol (PVA) and bio-polyethylene (bio-PE), bio-polyvinyl chloride (bio-PVC), bio-polyurethane (bio-PUR), and bio-polyamides (bio-PA). Bioplastics sometimes show inferior properties compared to their fossil-based polymer counterparts. Thus, in order to improve their properties biopolymers can be blended. This approach is fast and cheap and enables the rise of competitiveness for this type of polymer. Some properties such as processability, flexibility, and glass transition temperature (Tg) are improved in PLA, PCL, PBS, PHA if miscibility and compatibility are addressed [22]. Although this approach is a good possibility, in recent years the improvements and increase in the number of commercial grades found in the market have reduced the need to deal with this blending process.

2.2.1. Cellulose and Starch

Cellulose is a structural polysaccharide obtained from vegetal sources and is composed of D-glucose which form microfibrils and subsequently, macrofibrils. It is used in paper, fabric, and natural fibers [11]. Starch can be obtained from vegetables like wheat, tapioca, potatoes, and maize and represent the highest share in the global production capacities of biodegradable plastics. Starch consists of amylose and amylopectin and is synthesized by most plants via photosynthesis [23]. From cellulose and its derivatives, four main fiber types are produced: viscose, lyocell, cupro, and acetate. Viscose is characterized by good drapability, softness, and moisture absorption. Lyocell was developed to have better drapability and feel, and higher tensile strength. Cellulose acetate fibers have good dimensional stability [11] and starch can be used as thermoplastic. To enhance their properties, different plasticizers are added giving rise to a rubbery thermoplastic. Starch is usually blended with other polymers, PLA or PVA to improve its water resistance and mechanical strength [11].

2.2.2. Polyesters

Polyesters are a wide family of polymeric materials containing ester groups in their chemical structure. They can be divided in aliphatic and aromatic. The aliphatic polyesters can be obtained from different natural sources such as polyhydroxy butyrate (PHB), polyhydroxy valerate (PHV), and polyhydroxy hexanoate (PHH), others are produced synthetically, such as polycaprolactone (PCL) and other polyesters can be obtained from natural or mineral sources such as polyglycolic acid (PGA), polylactic acid (PLA), polybutylene succinate (PBS) and polybutylene succinate adipate (PBSA). Two examples of aromatic polyesters are polytrimethylene terephthalate (PTT) and polybutadiene adipate terephthalate (PBTA).
L-lactide homopolymer (PLLA) is a semicrystalline polymer with high tensile strength, low elongation, and has a high modulus that make them suitable, for example, in orthopedic fixation [23]. PLA is one of the most demanded biopolymers nowadays and shows the highest global capacity worldwide together with starch. PBS has high crystallinity and good thermal properties, with mechanical properties similar to those of polypropylene (PP) [24]. PCL outperforms the polyesters in terms of viscoelasticity and rheological properties, so it is an interesting material for in vivo applications [25].

2.2.3. Polyvinyl Alcohol

Polyvinyl alcohol (PVA) is a synthetic vinyl polymer that is water-soluble and biodegradable under both aerobic and anaerobic conditions [16]. This polymer is obtained from polyvinyl acetate hydrolysis and can be both partially and fully hydrolyzed. The partially hydrolyzed PVA is used in the food industry, as an adhesive and coating, whereas the fully hydrolyzed PVA is used in flexible packaging. PVA has good strength, flexibility, and barrier properties (oxygen, carbon dioxide, and aromas). The bio-based polymers analogous to petroleum-derived ones present the same chemical, physical, and mechanical properties as those obtained from mineral sources [11].

2.2.4. Bio-Based Polymers Analogous to Petroleum-Derived Ones

Commercially available bio-PE is obtained by polymerization of bio-based ethylene gas produced from bioethanol. Corn stover is the biomass source most used, and to be produced some steps occur: milling, fermentation, distillation, dehydration, and polymerization [26]. In the case of bio-PVC, the ethylene is also obtained from bioethanol, and later, combined with chlorine to produce vinyl chloride. From their side, bio-polypropylene (bio-PP) could be obtained from biological resources by butylene dehydration of bio-isobutanol obtained from glucose and subsequent polymerization [27].
Polyurethane (PUR) is obtained from the reaction of a polyol and an isocyanate, this last compound has a petrochemical origin however polyols can be obtained from different oils, such as soybean, castor or palmoils, so a renewable solution is viable. Thus, the renewable sources content of polyols could range from 30 to 100%, and in Bio-PUR from 7 to 80%.
Polyamides (PA) are generally synthesized from diamines and dicarboxylic acids, amino acids, or lactams. From aliphatic polyamides, some examples for bio-PA are PA11 (100% renewable sources) and PA610 (partially from renewable sources) [28].
Polyethylene terephthalate (PET) is the largest used polyester mainly used for bottles, containers, and films. Its starting chemicals, such as ethylene glycol (EG) and terephthalic acid (PTA) and/or DMT monomers, can be obtained/replaced from biological sources too, for example, sorbitol for EG and 2,5-furandicarboxilic (FDCA) for PTA replacement [27].

3. Terpenes and Terpenoids

In the previous section, several types of biomass-derived polymers have been described, important advances have been achieved in the development of biomass-derived plastics, as discussed. However, there is still a long way to go to achieve bio-based plastics that match the properties and uses of petrol-derived polymers. Hence, the search for good bio-based monomer candidates is of paramount importance. Among all the compounds derived from biomass, terpenes have emerged as viable candidates to serve as building blocks for the synthesis of polymers.
Terpenes and terpenoids comprise one type of secondary metabolite derived from five-carbon isoprene (isopentane) units (Figure 5), which are assembled in thousands of combinations. Terpenes are merely hydrocarbons, whereas terpenoids (isoprenoids) contain oxidized functional groups. These compounds are ubiquitous in nature since they are naturally produced. Terpenes are produced mainly by plants, where they play a vital role in basic intra- and intercellular processes, such as photosynthetic light reactions, or respiratory chains [29,30], and they are also components of both primary and secondary metabolism [31]. The biosynthesis of terpenoids occurs by means of two independent pathways according to the type of organism, bacteria, archaea, protists, or eukaryotes. The cytosolic mevalonate pathway is functional in archaea, some bacteria, yeast, fungi, and animal cells. On the contrary, the plasticidal 2-C-methyl-D-erythriol 4-phosphate (MEP) pathway is present in most fermentative and aerobic bacteria, photosynthetic bacteria, cyanobacteria, and micro- and macroalgal chloroplasts, as well as all plant chloroplasts [32,33]. However, many terpenes and terpenoids are produced only in small quantities in their natural sources. Moreover, they are structurally complex, making it difficult to produce them by biochemical synthesis. Therefore, due to the increasing demand of terpenes and terpenoids, much effort is being made to produce these compounds by means of metabolic/genetic engineering technologies and using biorefineries [34]. Biotechnological production of terpenoids now offers some major benefits, since microbial production hosts can perform terpenoid biosynthesis from simple carbon sources due to endogenous metabolic pathways, which generates the universal precursors for all terpenoids, namely, isopentenyl diphosphate (IPP) and dimethylallyl diphosphate (DMAPP). In addition, current technologies for genome editing allow metabolic engineering of microbial hosts for recombinant terpenoid production [35].
The classification of terpenes and terpenoids follows the so-called isoprene rule (C5 rule), which is based on the number and organization of carbon atoms in the molecule, thus, grouping these molecules according to the number of isoprene units linked in a head-to-tail manner and constituting hemiterpenes (1 isoprene unit), monoterpenes (2 isoprene units), sesquiterpenes (3 isoprene units), diterpenes (4 isoprene units), etc. (Figure 5). Although the head-to-tail configuration is the most common, non-head-to-tail condensation of isoprene units also exists, such as the head-to-middle fusions occurring in irregular monoterpenoids [36]. In addition, isoprene units can conform to chains that can be arranged to form rings.
Hemiterpenes are formed by one isoprene unit. The main hemiterpene is isoprene (methylbuta-1,3-dien, C5H8), a volatile compound commonly found in the atmosphere that results from plant metabolism and is emitted by leaves as a natural byproduct [37,38]. Isoprene is produced in large amounts by phytoplankton in the oceans, and animals and bacteria can also emit it. Isoprene production in plants appears to be related to the protection of photosynthesis and other processes under stress conditions [39]. Plants can synthesize other hemiterpenes, such as several acids (tiglic, angelic, isovaleric, and senecioic) and isoamyl alcohol [40,41], which are responsible for flavors and aromas.
Monoterpenes comprise two isoprene units (10 carbon atoms; C10H16). These compounds are present in plant oils and are characterized by their strong aroma and odor (used as components of perfumes and cosmetics), and for their biological activity [42,43]. Monoterpenes can be simple unsaturated hydrocarbons or constitute alcohols, aldehydes, and ketones. They are classified as acyclic or aliphatic (e.g., myrcene, citral, geraniol, lavandulol, and linalool), monocyclic (e.g., α-terpineol, limonene, thymol, menthol, carvone, eucalyptol, and perillaldehyde), and bicyclic, the latter containing a six-member ring and a second ring that can have either three, four, or five members (6 + 3: thujone and Δ3-carene; 6 + 4: α- and β-pinene; 6 + 5: borneol and camphor) [41,44]. Biosynthesis of α-pinene has been achieved in a genetically engineered Yarrowia lipolytica using low-cost renewable feedstocks [45].
A large subtype of monoterpenes is formed by iridoids, which contain a six-membered ring with an oxygen atom fused to a cyclopentane ring (iridane skeleton). They are usually classified as glycosides, since they occur in plants and are often combined with sugars, e.g., aucubin, harpagoside [46]. Iridoids are present in medicinal plants and used as sedatives, antipyretics, remedies for wounds, skin disorders, and hypotensives [47].
Sesquiterpenes are the most diverse group of terpenoids [48]. They consist of three isoprene units (C15H24) and can be naturally found in many latex-producing plants. These compounds are present in linear or acyclic (e.g., farnesol, β-nerolidol), monocyclic (e.g., β-bisabolene, α-zingiberene, α-humulene), bicyclic (e.g., β-santalol, β-caryophyllene, artemisinin), and tricyclic (e.g., khushimol, thujopsene) forms. Sesquiterpenes can also give rise to γ-lactone ring structures (sesquiterpene lactones), thus constituting germacranolides (e.g., costunolide, parthenolide), eudesmanolides (e.g., santonin, alantolactone), and guaianolides (e.g., artabsin, helenalin) [41]. Several applications have been described for these compounds, including in the pharmaceutical, fragrance, and food industries [49,50]. Yeast platforms have been developed for the heterologous production of some of these compounds [51].
Diterpenes contain four isoprene units (C20H32) and form linear (phytol), monocyclic (e.g., 9-geranyl-α-terpineol) bicyclic (e.g., sclareol, marrubiin, salvinorin A), tricyclic (e.g., abietic acid, carnosic acid, and tanshinone I), tetracyclic (e.g., gibberellin A1, and steviol) pentacyclic (e.g., wallichanol), or macrocyclic (e.g., casbene, and taxol) structures [41]. Polyoxygenated forms with keto and hydroxyl groups (often esterified by small-sized aliphatic or aromatic acids) are commonly found in nature [52]. Some diterpenes comprise unique structures, such as ginkgolide B, which is diterpenoid trilactone with six five-membered rings that include a spiro [4,4]-nonane carbocyclic ring, a tetrahydrofuran ring, and a very specific tert-butyl group at one of the rings, and can be isolated from the tree Ginkgo biloba [53]. These compounds exhibit biological activities, such as anti-inflammatory, cardiovascular, antimicrobial, antitumor, antifungal, etc. [54,55].
Sesterterpenes contain 5 isoprene units with the formula C25H40. They can appear in a wide variety of forms, including linear (e.g., hippolide E), monocyclic (e.g., manoalide), bicyclic (e.g., leucosceptrine), tricyclic (e.g., heliocide H1), tetracyclic (e.g., sesterstatin 7), and macrocyclic (e.g., nitiol, and cybastacines A and B) frameworks. These compounds are synthesized by different organisms, such as marine sponges, plants, fungi, bacteria, or insects. A wide spectrum of biological activities has been found for sesterterpenes, ranging from anti-inflammatory, anticancer, cytotoxic, and antimicrobial, among others [41,56,57].
The carbon skeleton of triterpenes consists of six isoprene units (C30H48). These compounds, which derive from the biosynthesis of squalene, are mainly alcohols, aldehydes, or carboxylic acids, are characterized by the presence of methyl groups. Ursolic acid, betulinic acid, oleanolic acid, pardinols, sitosterol, and campesterol are examples of triterpenoids, which include sterols and phytosterols [41]. Oleanolic, ursolic, and betulinic acids are three triterpenic acids with potential effects for the treatment of type 2 diabetes [58].
Tetraterpenes comprise eight isoprene units (C40H64) and include the fat-soluble pigments carotenoids (lycopene and β-carotene), and their oxygenated analogues xanthophylls (lutein, zeaxanthin, and astaxanthin). These compounds are mainly present in higher plants and fungi and are characterized by the chromophoric system, a long polyene central chain of conjugated doubled bonds, which provides the characteristic color of these compounds. In fact, carotenoids are responsible for the yellow-orange-red color of plants and animals, the latter incorporating them through diet. Different roles have been assigned to carotenoids, such as antioxidants, as a part of light-harvesting systems, and as photoprotectors of the photosynthetic machinery in photosynthetic organisms. In animals, they constitute a source of vitamin A precursors (retinoids) [59,60,61]. From the industrial point of view, they are used as colorants (several carotenoids are approved and widely used as food colorants [62], feed supplements, and nutraceuticals, and they are also interesting for medical, cosmetic, and biotechnological purposes. There is a diversity of natural and synthetic carotenoids, but only a few of them are commercially produced, including carotenes (β-carotene and lycopene) and xanthophylls (astaxanthin, canthaxanthin, lutein, zeaxanthin, and capsanthin). Some biotechnological processes for carotenoids production were established some years ago, but new strains and technologies are being developed nowadays for carotenoids widely in demand [61]. Astaxanthin and β-carotene dominate the global market as feed additives and colorants. Two organisms have been developed for the industrial production of β-carotene: the mucor fungus Blakesleea trispora and a halophilic unicellular alga Dunaliella salina, which accumulates high levels of β-carotene as a stress response [63]. Several companies and academic laboratories have investigated biological sources of astaxanthin, such as the yeast Xanthophyllomyces dendrorhous (anamorph Phaffia rhodozyma) and the microalga Haematococcus pluvialis, which are able to synthesize high levels of astaxanthin [64].
Polyterpenes are polymeric compounds that are formed by more than eight isoprene units and include natural rubbers, which contain isoprene units in the cis-configuration (latex elastomer), and gutta-percha and balata, which contain isoprene units with trans double bonds (inelastic) [41].

4. Polymerization of Terpenes and Terpenoids

Due to their incredible natural structures, diversity, and different chemo-physical properties, terpenes and terpenoids are molecules of high value. They have a great interest both for traditional and modern applications in the medicine, cosmetics, flavors and fragrance industries, in agriculture, as dietary supplements or food ingredients, also as biomaterials, industrial resins, coatings, and more recently as biofuels [65,66,67]. By no means these multifunctional molecules and are strong candidates to become platform chemicals. However [68,69], one area that has been less explored is their use as monomers [70] to create bio-based polymers and copolymers. This is surprising, as some polyterpenes have been known for a long time such as the case of natural rubber (cis-1,4-polyisoprene) which is a natural terpene-based polymer. The large structural diversity in this family could be the reason for being underexplored as monomers, although, in recent years the number of papers and patents on terpenes and terpenoids polymerization has significantly increased [3,71]. The polymers obtained from terpenes are predominantly elastomers, while for terpenoids, polymers with a broader range of properties have been described. As well the properties and applications can be significantly enlarged when copolymerized.
From a chemical point of view, terpenes are quite close to classical monomers such as ethylene, propylene, and styrene as they also present unsaturated bonds. The ones studied in polymerization can be classified into two main groups: cyclic and acyclic [71,72,73]. Figure 6 shows the most frequently studied within the acyclic group, which are myrcene, ocimene, and alloocimene, while the main cyclic terpenes studied are β-pinene, α-pinene, limonene, and phellandrene. All types of mechanisms have been described for the polymerization of terpenes, as such, these monomers can be polymerized via radical, ionic, coordination-insertion, and coordinative chain-growth mechanisms [74,75,76].

4.1. Polymerization of Acyclic Terpenes

Within the acyclic terpenes, myrcene has two conjugated double bonds in its structure, this natural diene can be polymerized in a similar way to isoprene. In fact, it can be considered as isoprene with a bulky substituent. Allured by the possibility of obtaining elastomeric materials, but bio-based, several groups have tried controlled polymerization of this monomer. β-myrcene is the naturally occurring isomer and can be obtained from different essential oils (i.e., hops, bay, or thyme), however, it is cheaper to produce it from the pyrolysis of the more abundant β-pinene [69,77]. Two other isomers, ocimene, and allo-ocimene, are produced from the thermal cracking of α-pinene.
From these three isomers, most studies have been focused on myrcene, whose polymerization can happen via anionic, free-radical, coordination, and cationic mechanisms. The polymerization mechanism has a strong influence on the microstructure, which depends on the regioselectivity of the addition as there are four different possibilities for myrcene: 1,4 (cis or trans), 3,4, or 1,2, although the formation of the 1,2 unit is less favored probably due to the steric hindrance of the double bonds (Scheme 1). Since the polymer properties can be tuned by controlling the microstructure, to be able to perform a controlled polymerization is of great interest [78]. It should be noted that the poly-β-myrcene shows similar features to polyisoprenes, in particular, in terms of Tg and mechanical properties as they are mostly elastomers. Moreover, myrcene provides an additional double bond in its alkyl tail, which is very suitable for crosslinking or post-functionalization reactions [79].
The polymerization of myrcene via a radical mechanism has been studied since the 1940s [80]; also in that decade the first studies in anionic and cationic polymerization were carried out, however, they were mostly reported in patents [81]. Two decades later, Marvel reported the anionic polymerization using nBuLi, to give polymers with a similar microstructure as the ones obtained by the radical mechanisms [82].
The polymerization conditions, such as the solvent and temperature, have a strong influence on the final structure of the polymyrcenes prepared. When the polymerization is performed in a non-polar solvent such as hexane, polymers with around 85 % of 1,4-cis units, and ca. 15 % of 3,4-defects are formed [83] If a polar solvent is used, for example, THF, the presence of 3,4-units increased to 39–44%. This behavior has also been observed in the preparation of polyisoprene. Using this anionic polymerization with an alkyl lithium as the catalyst, molecular weights up to 30,000 Da have been attained, and the molecular weight poly-dispersities observed are good to moderate (ĐM = Mw/Mn in the range 1.1–1.6) [84]. The anionic copolymerization with styrene, isoprene, or farnesene has also been described to give block-like copolymers that are interesting precursors for bio-based thermoplastic elastomers or multiblock architectures [84,85,86,87].
An interesting approach for introducing functional groups into the polymer backbone is the utilization of suitable functional diene monomers derivatives, such as functionalized monomers that can be copolymerized with others or the utilization of protective groups to transform a monomer into another one, that can be polymerized following the desired mechanism [87].
It is also possible to obtained poly-β-myrcene via a cationic polymerization using simple Lewis acids such as BF3·OEt2 at low temperatures (from −78 to 0 °C) [82]. The structure generated is different from the one obtained by radical polymerization, in this case, a cyclopolymerization via the formation of a cyclohexene ring occurs. This cationic polymerization can also be performed with other metal halides such as AlCl3 or SnCl4 [81].
Another approach for myrcene polymerization has been the use of Ziegler-type catalysts, in this case, when the polymerization was performed with Al(iBu)3 combined with TiCl4 or VCl4, predominantly 1,4-structures were obtained [82].
Furthermore, a strategy that also gives good control of the stereoregularity is coordination polymerization with metal complexes. Several lanthanide complexes [88] have been reported, such as the Nd borohydride-based, [Nd(BH4)3(THF)3] shown in Scheme 2a, these catalysts, in combination with MgnBuEt, efficiently affords polymyrcene mainly with a cis-1,4 (up to 90 %) microstructure. This reaction proceeds via a coordinative chain transfer polymerization (CCTP) [89] mechanism, where both the Nd and the Mg are involved in the transfer of the polymeric chain and the latter playing, at the same time, the role of a kind of chain shuttling polymerization. The chain transfer in the process has to be both reversible and faster than the propagation and chain-end processes. This CCTP improves the efficiency of the process as several polymer chains are growing per catalyst molecule.
Copolymerization and terpolymerization with styrene and isoprene processes have also been described using this CCTP strategy [75]. In these cases, the control of the microstructure was achieved by tunning the amount of chain transfer agent used. In fact, in this type of polymerization, the CTA ratio or the nature of the alkyl groups has a clear effect on the resultant polymers [75]. For example, a lutetium catalyst has been described where it is possible to influence the stereoregularity by modifying the chain transfer agent, and by moving from AliBu3 to AlEt3 and AlMe3, a reduction of the 3,4-content was observed [91,92].
A remarkable example has been described by Capacchione [90]. In this case, a titanium catalyst bearing [OSSO]-bisphenolate ligands can polymerize myrcene when activated by MAO, to achieve high molecular weights, (>100,000 Da). In addition, the ligands in the complex have a strong influence on the final microstructure, and with the titanocene one, a prevalent 1,4-cis microstructure (92%) was generated (Scheme 2b). This system has been successfully studied with CO2 as a green building block [93].
The copolymerization of 1,3-butadiene with terpenic monomers such as myrcene and farnesene was carried out via coordination polymerization using a neodymium-based ternary catalytic system. Poly(myrcene-co-butadiene), poly(farnese-co-butadine) and poly(ocimenen-co-butadiene) copolymers with a wide range of compositions were obtained [94].
Using another typical activator for Ziegler Natta catalyst, [Ph3C][B(C6F5)4], some yttrium and lutetium compounds catalyze the living polymerization of isoprene and β-myrcene with high catalytic activity and high cis-1,4-selectivity [95].

4.2. Polymerization of Cyclic Terpenes

Moving to cyclic terpenes, the most studied ones are limonene and pinene [96]. In this case, anionic polymerization is not the right choice since there are no two conjugated double bonds. A cationic mechanism is more appropriate as these cyclic monomers have tertiary carbon atoms that can give stable carbocations. Hence the most frequently studied mechanism is the cationic and the radical ones. However, the polymers obtained displayed low molecular weights, very frequently <5000 Da, with a diverse stereochemistry in a process difficult to control [97]. Since these monomers have several stereocenters, the stereoregularity in the polymerization can greatly affect the final properties of the polymers, so the development of catalysts capable of providing good control is an objective highly sought after.
For pinene, both isomers α- and β- can be polymerized but β-pinene reacts more readily due to facile ring opening and the relief of ring strain. Pinene polymerization gives terpene resins that can be used as thermoplastics, coatings pressure-sensitive adhesives, or tackifier additives. They are more expensive than petrol-based ones but their unique properties justify their higher cost [98]. For the cationic mechanism, some limitations have been reported, for example, high catalyst loadings, incremental monomer additions, or cryogenic conditions are required to achieve reasonable molecular weights. Lewis acids such as metal chlorides are often used as initiators [99,100,101]. For them, the activity of the catalysts depends on the strength of the Lewis acidity, and the effectiveness decreases in the order: AlBr3 > AlCl3 > ZrCl4 > AlCl3·Et3O > BF3 > BF3·Et2O > SnCl4 > SbCl3 > BiCl3 > ZnCl2. The presence of adventitious water favors the process since the formation of intermediate species, such as HMXnOH, from the reaction between the Lewis acid and water is considered the first step of the reaction (Scheme 3). The transfer of the proton to the monomer to generate a cyclic carbocation, which then isomerizes, is a key step in the polymerization, as the less encumbered carbanion ion is responsible for the polymerization propagation [96,102]. The final polymer presents a structure of an alternating copolymer of isobutylene and cyclohexene.
The existence of chain transfer reactions is responsible for the low molecular weights achieved since they cause the deactivation of the propagation polymers and the formation of species able to reinitiate a cationic mechanism. To avoid these side reactions, an effective approach is to develop living polymerization processes [74,103].
In this direction, Deng published the living cationic polymerization of β-pinene using as Lewis acid a titanium compound [TiCl3(OiPr)] combined with an HCl-2-chloroethyl vinyl ether adduct [CH3CH(OCH2-CH2Cl)Cl] and tetra-n-butylammonium chloride (nBu4NCl) (Scheme 4). This catalytic system allows the formation of poly(β-pinene) with controlled molecular weights (up to 4000 Da), narrow molecular-weight dispersities (~1.3), and controlled chain-end groups [104].
Higher molecular weights (up to 100 kDa) were attained following this strategy using aluminum chloroalkyl derivatives, AlEtCl2 or AlEt1.5Cl1.5, combined with a chloro alkyl (RCl) and a base such as Et2O [105]. The consequence of having a weak Lewis base in the reaction media was to slow down the reaction and then to promote a more controlled polymerization [106].
The reason for needing additives to tune the reactivity of the Lewis acids is because strong Lewis acids are needed to achieve the polymerization of these not very active monomers. Hence to improve the control over the polymerization, the Lewis acidity of the catalysts needs to be tuned to induce an adequate dormant-active equilibrium [74,107]. A system consisting of a strong Lewis acid and weak Lewis base can perform the task effectively [108]. As such, the catalyst system reported by Kostjuk, where the combined action of AlCl3 and a weak base leads to the chain growth closer to the metallic center and the formation poly poly(β-pinene) with higher molecular weights, are attained (ca. 14,000 Da) (Scheme 5). In this process, the generation in situ of a weakly nucleophilic counter-anion from the interaction of [AlCl3OH] with the ether allows the elimination of chain transfer reactions [109,110,111,112]. Interestingly, it has been shown that bases as weak as alkylbenzenes are effective additives for achieving a controlled pinene polymerization, like the system described by Aoshima composed by GaCl3 and hexamethylbenzene [113].
Moreover, Ziegler-type catalysts have been applied for the pinene polymerization, in this case, iBu3Al or iBu2AlCl combined with TiCl4 or VOCl3 have shown to be active catalysts although polymers with low molecular weights were obtained [115]. Better molecular weights, up to 10,500 Da, were achieved when using a salen nickel catalyst in combination with MAO [98].
Another acyclic terpene whose polymerization has been studied is limonene. In fact, limonene is a popular platform chemical, and although in recent years many studies have been reported, very few are focused on its polymerization and mainly refer to radical or cationic mechanisms [114]. In comparison to other terpenes, limonene presents not very accessible and unconjugated C=C double bonds, hence the polymerization to afford polymers with high molecular weight is not easy. There were some early studies sixty years ago, and since then most of the works have been reported as patents. The initial studies of cationic polymerization used TiCl4 or BF3·OEt2 as Lewis acid catalysts [104]. In addition, AlCl3 is an active catalyst, although the polymers obtained had low molecular weights (~1000–1200 Da) [116]. In Scheme 6, the proposed cationic polymerization mechanism is shown, where chain growth takes place via the addition of the cationic propagating species to the exocyclic C=C double bond. In the mechanism, the bicycle type structures (2 and 3) are more favored than the monocyclic ones (Scheme 6).
For both terpenes, pinene, and limonene, copolymerization via a cationic mechanism has been reported. In the case of α- and β-pinene with styrene, these produce well-controlled architectures: block, random, grafted, and end-functionalized polymers [117,118,119]. For limonene, copolymerization with methyl methacrylate, maleic anhydride, styrene, or acrylonitrile has been described [115,120,121].

4.3. Polymerization of Terpenoids

Terpenoids are terpene derivatives that contain oxygenated functionalities. The cationic copolymerization of some natural occurring ones, such as the aldehydes (1R)-(-)-myrtenal, (S)-(-)-perillaldehyde, and β-cyclocitral with isobutyl vinyl ether, using EtSO3H/GaCl3 as a catalyst in the presence of a Lewis base (1,4-dioxane), have been reported [122].
Further, it is also possible to transform some terpenoids into monomers suitable to generate terpene-based polymers, such is the case of carbon and menthol [50]. In both cases, the transformation into lactones, via a Baeyer Villager process, is feasible. From these oxygenated cycles, polymers with high molecular weights and moderate to low ĐM can be obtained via ring-opening polymerization (ROP) (Scheme 7) [123,124,125]. Also, a derivative of carbon has been polymerized by a cationic mechanism by previous transformation of the cyclic α,β-unsaturated carbonyl group into a conjugated transoid cyclic diene with an exo-methylene group via the Wittig reaction [126]. The resulting monomer was efficiently polymerized, in a controlled way, using initiating systems that produce regioselective 1,4-conjugated additions of vinyl ethers in a living manner.
From pinene, it is also possible to generate oxygenated cycles such as lactams or lactones to generate polyamides or polyesters via ROP using anionic initiators such as NaH or KOtBu [127].
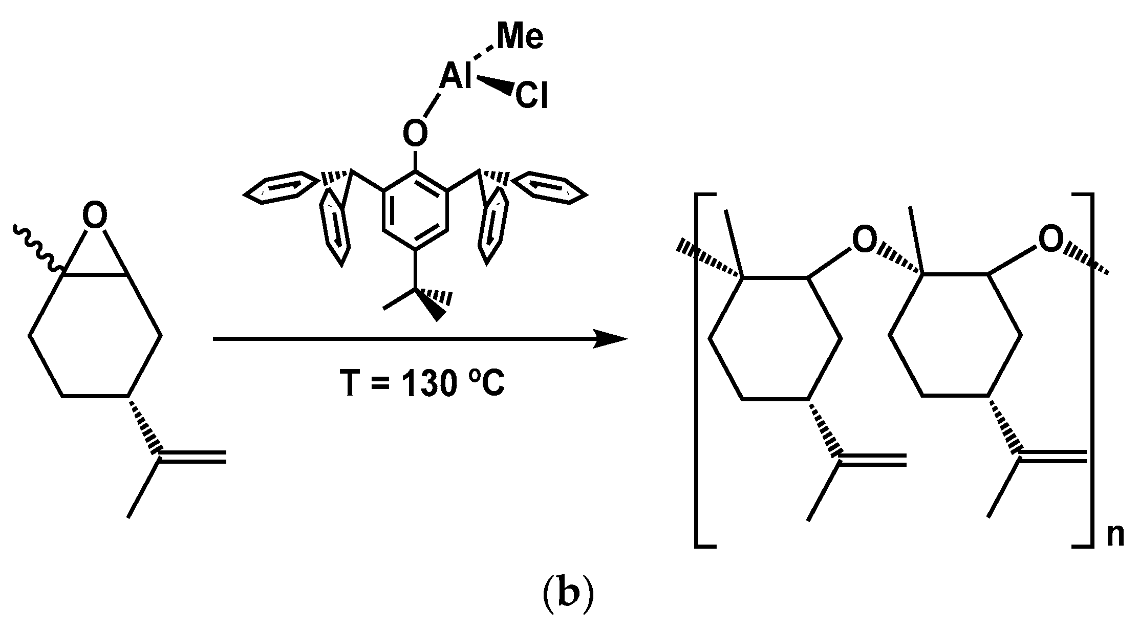
Terpene epoxides are also excellent candidates to be used as monomers. In this group, limonene-1,2-oxide stands out as feedstock to produce polymers and copolymers (Scheme 8a). This epoxide can be easily obtained via the oxidation of limonene, but also can be directly produced in a biorefinery [128]. Limonene oxide has two possible functional groups that can be polymerized. If the polymerization takes place via the oxirane group, a polyether results via the ROP process. However, since it is an internal trisubstituted epoxide the kinetic activation barrier to achieve the polymerization is higher than the one for terminal epoxides, so to accomplish the ROP an efficient catalyst is required [129]. Very few catalysts have been reported to be able to homopolymerized limonene oxide. In 2012, Park described the photoinitiated cationic ring-opening polymerizations with diaryliodonium salts or triarylsufonium salts as photoinitiators with very poor control of the polymerization—the polymers generated had very low molecular weights and high disperties [130]. The only other example has been reported by us using a very active aluminum catalyst for ROP, [AlMeCl(OR)] (OR = 2,6-(CHPh2)2-4-tBu-C6H2O) (Scheme 8) [131,132]. This catalyst is able to efficiently polymerize (+)-limonene oxide in just 30 min, with a preference for cis-isomer polymerization. The polylimonene ether (PLO) obtained displayed good thermal properties, low molecular weights (ca. 1300 Da), and moderate dispersities (1.37–1.42). Again, the problem to attain higher molecular weights comes from the occurrence of side reactions provoked by transfer agents (CTA) generated in the reaction media.

4.4. Co-Polymerization of Terpenoids

Even though there are not many examples of limonene oxide homopolymerization, during the past few years there has been significant interest in its copolymerization, especially with anhydrides and carbon dioxide (CO2) to generate polyesters and polycarbonates, respectively [133,134]. Previous work by Darensbourg has shown the utilization of CO2 as a monomer for copolymerization with epoxides to afford copolymers, either directly or via the ring-opening polymerization (ROP) of the preformed cyclic carbonate. These methods allow for the obtention of polycarbonate-polyether polymers which can be tuned through the selection of different cyclic monomers which result in polymers with different properties and therefore unique applications [135,136,137]. A wide variety of catalysts in combination with different co-catalysts have been reported for the synthesis of polymers derived from epoxides, and a detailed explanation of the role of the co-catalyst (e.g., phosphines, heterocyclic nitrogen Lewis bases, and ammonium salts) in the copolymerization of CO2 and cyclohexene oxide catalyzed by chromium salen derivatives has been studied in depth. In this work, changing the co-catalyst and varying the CO2 pressure resulted in a significant increase in the rate of copolymerization and these results have formed the basis for a number of future works [138].
In the field of bio-based monomers, copolymerization with anhydrides has a particular interest as a wide number of semi-aromatic or fully aliphatic terpene-based polyesters can be prepared. In fact, the possibilities increased significantly in comparison to the polyesters obtained from the ROP of cyclic esters. So far, the copolymerization of limonene oxide and phthalic, naphthalene, succinic, diglycolic, and maleic anhydrides have been reported [133,139,140,141,142,143,144] (Scheme 9). The catalysts used are metal-based, and remarkably, quite a few involve Earth-abundant metals such as aluminum or zinc. It is also possible to generate terpene-based polymers using terpene-derived anhydrides. This strategy has been studied by Coates and Kleij using chromium, cobalt, aluminum, or iron complexes as catalysts [145,146].
Finally, a remarkable use of limonene oxide is the copolymerization with CO2 to give fully bio-based polycarbonates. Aluminum and zinc catalysts had been used and the terpene-based polycarbonates have shown very good properties, comparable to commercial ones [114,134,147,148,149].

5. Reactive Extrusion to ROP Polymerization

Another key point to progress in the sustainability of the polymers is to develop and improve greener technologies for their production. In this context, reactive extrusion (REX) is becoming an outstanding candidate within green technologies. Moreover, this technology can be applied to different types of polymerizations, which makes it very suitable for application to terpenes and terpenoids where a wide range of mechanisms of polymerization can be applied depending on the chosen precursor.
Reactive extrusion is a very versatile technology that enables not only polymer processing but also polymerizing, grafting, branching, and functionalizing [150]. This technique is a low-cost production and processing method for biodegradable plastics.
The advantages of extrusion polymerization are: it is a solvent-free, melt, and continuous process, it is possible to have control over the residence time and distribution, and it can have the integration of other extrusion streams [151]. Extruder machines (co-rotating twin-screw extruder) used as a reactor, can be tailored to provide various flow patterns and shear effects, and can thus influence the polymer properties. This is expected to accelerate the kinetics while reducing polydispersity.
However, bulk polymerization has significant kinetic, heat-transfer, and diffusion-related issues that make it, in some cases, difficult to translate the process to reactive extrusion to obtain the high conversion of the monomer and high molecular weight of the polymer [152].
From a mechanistic perspective, nearly all kinds of polymerizations have been performed in an extruder. These include radical polymerization, ionic polymerization, metathesis polymerization, and ring-opening polymerization [152].
Aliphatic polyesters are usually synthesized by ring-opening polymerization in batch, however, reactive extrusion is a proven and continuous alternative. The synthesis of poly-L-lactide, poly-D,L-lactide, and copolymer Poly-D,L-lactide-co-glycolide by reactive extrusion produces high molecular weights in a controlled way on a time scale of some minutes [148]. The catalyst reactive enough to be used to obtain this type of polyesters by reactive extrusion is stannous (II) 2-ethylhexanoate (Sn(Oct)2). This catalyst is typically combined with a protic compound, most frequently a primary alcohol acting as an initiator [153]. Triphenylophosphine is also used as a co-catalyst to decrease the side reactions [154]. Performing reactive extrusion for these polymers is needed to optimize the transit time within the extruder and control the environment within the extruder regarding the moisture [152].

Reactive Extrusion with Terpenes and Terpenoids

Reactive extrusion with terpenes and terpenoids is very scarce in the literature, in fact, there was an example carried out by Addiego [155] where PLA was blended with myrcene and limonene, where these terpenes acted as plasticizers. The main results when comparing conventional and reactive extrusion indicated that myrcene and limonene were efficient plasticizers for PLA, in comparison to neat PLA. Using a free radical initiator during the extrusion of PLA/limonene was beneficial for the mechanical properties, however, it proved detrimental for PLA/myrcene. To our knowledge, REX has not been used to synthesize polyterpenoids, although this synthesis may work in a similar way as the ROP synthesis of PCL and PLA polyesters.

6. Conclusions and Future Perspectives

In recent years, biomass has become a successful source of monomers to produce bioplastics. However, those bioplastics still do not always meet the performance of the fossil-derived plastics that we are using in large quantities in our everyday lives. So, the search for new candidates for monomers and better synthetic pathways is a very attractive one.
Within the biomass, terpenes and terpenoids are molecules of natural origin whose multifunctional nature renders them into great candidates to be used as bio-based monomers for the productions of bioplastics. Although in recent years a lot of research has been conducted in order to develop efficient processes for their polymerization, there is still a long way to go to achieve efficient processes for the polymerization of this fascinating family of natural compounds. The development of active catalysis is required to obtain selective polymerizations, and in this way, to enable competitive materials from these bio-based products.
In summary, the development of efficient technologies for the polymerization process can make a difference in the implementation of these biopolymers within the traditional plastics market. In this aspect, reactive extrusion (REX) is a technology that shows great potential to reduce the cost of production and to avoid the presence of catalysts residues in the final product.

Author Contributions

Conceptualization, M.E.G.M., V.T., C.G.-E. and B.M.; data curation, C.A., B.M., V.T., K.K., A.S.-L. and J.V.-V.; writing—original draft preparation, M.E.G.M., V.T., C.G.-E., C.A. and B.M.; writing—review and editing, V.T., G.J., J.V.-V., A.S.-L., K.K. and C.A.; visualization, R.A., M.Á.V. and J.V.-V.; supervision, M.E.G.M., C.G.-E. and B.M.; project administration, M.E.G.M., G.J., A.S.-L. and B.M.; funding acquisition, M.E.G.M., G.J., C.G.-E. and B.M. All authors have read and agreed to the published version of the manuscript.

Funding

This research was funded by the Spanish Ministry of Science, Innovation and Universities, grant number RTI2018-094840-B-C31 and Universidad de Alcalá grant number UAH-AE-2017-2.

Institutional Review Board Statement

Not applicable.

Informed Consent Statement

Not applicable.

Acknowledgments

The authors are grateful for the funding received from the Ministry of Science, Innovation and Universities, reference project RTI2018-094840-B-C31 and Universidad de Alcalá (project UAH-AE-2017-2).

Conflicts of Interest

The authors declare no conflict of interest.

Abbreviations

ROPRing Opening Polymerization
REXReactive Extrusion
CCTPCoordinative Chain Transfer Polymerization
PLAPolyLactic Acid
bio-PETbio-PolyEthylene Terephthalate
PHAPolyHydroxiAlkanoates
PVAPolyVinyl Alcohol
bio-PURbio-PolyURethane
bio-PAbio-PolyAmides
PBSPoly(Butylene Succinate)
bio-PETbio-Poly(ethylene Terephtalic acid)
PHBPolyHydroxy Butyrate
PHVPolyHydroxy Valerate
PHHPolyHydroxy Hexanoate
PCLPolyCaprolactone
PGAPolyGlycolic Acid
PBSAPolyButylene Succinate Adipate
PTTPolyTrimethylene Terephthalate
PBTAPolyButadiene Adipate Terephthalate
PLLAPoly L-Lactide
PVAPolyVinyl Alcohol
PURPolyURethane
PAPolyAmides
PETPolyEthylene Terephthalate
EGEthylene Glycol
MAOMethylAluminOxane

References

  1. Dupont-Inglis, J.; Borg, A. Destination bioeconomy—The path towards a smarter, more sustainable future. New Biotechnol. 2018, 40, 140–143. [Google Scholar] [CrossRef]
  2. Gallezot, P. Conversion of biomass to selected chemical products. Chem. Soc. Rev. 2012, 41, 1538–1558. [Google Scholar] [CrossRef]
  3. Zhu, Y.Q.; Romain, C.; Williams, C.K. Sustainable polymers from renewable resources. Nature 2016, 540, 354–362. [Google Scholar] [CrossRef] [PubMed]
  4. Xu, F. Structure, Ultrastructure, and Chemical Composition. In Cereal Straw as a Resource for Sustainable Biomaterials and Biofuels; Sun, R.C., Ed.; Elsevier: Amsterdam, The Netherlands, 2010; pp. 9–47. [Google Scholar]
  5. Duwe, A.; Tippkötter, N.; Ulber, R. Lignocellulose-Biorefinery: Ethanol-Focused. In Biorefineries; Advances in Biochemical Engineering/Biotechnology; Springer: Cham, Switzerland, 2017; pp. 177–216. [Google Scholar]
  6. Tajmirriahi, M.; Momayez, F.; Karimi, K. The critical impact of rice straw extractives on biogas and bioethanol production. Bioresour. Technol. 2021, 319, 124167. [Google Scholar] [CrossRef] [PubMed]
  7. de Paula, R.G.; Antoniêto, A.C.; Ribeiro, L.F.; Srivastava, N.; O’Donovan, A.; Mishra, P.K.; Gupta, V.K.; Silva, R.N. Engineered microbial host selection for value-added bioproducts from lignocellulose. Biotechnol. Adv. 2019, 37, 107347. [Google Scholar] [CrossRef] [PubMed]
  8. Machado, G.; Santos, F.; Lourega, R.; Mattia, J.; Faria, D.; Eichler, P.; Auler, A. Biopolymers from Lignocellulosic Biomass (Feedstocks, Production Processes, and Applications); Lignocellulosic Biorefining Technologies; John Wiley & Sons: Hoboken, NJ, USA, 2020; pp. 125–158. [Google Scholar]
  9. Bela Torok, T.D. Green Chemistry, An Inclusive Approach; Elsevier: Cambridge, MA, USA, 2018. [Google Scholar]
  10. Shen, L.; Worrell, E.; Patel, M. Present and future development in plastics from biomass. Biofuels Bioprod. Biorefin. Innov. Sustain. Econ. 2010, 4, 25–40. [Google Scholar] [CrossRef]
  11. Narancic, T.; Cerrone, F.; Beagan, N.; O’Connor, K.E. Recent Advances in Bioplastics: Application and Biodegradation. Polymers 2020, 12, 920. [Google Scholar] [CrossRef] [Green Version]
  12. UNE-CEN/TR 15932:2010 IN: Recommendation for Terminology and Characterisation of Biopolymers and Bioplastics. Available online: https://infostore.saiglobal.com/en-gb/Standards/CEN-TR-15932-2010-335831_SAIG_CEN_CEN_770974/ (accessed on 5 March 2021).
  13. Fact Sheet, European Bioplastics: What are the Bioplastics? Available online: https://docs.european-bioplastics.org/publications/fs/EuBP_FS_What_are_bioplastics.pdf (accessed on 3 February 2021).
  14. Michael Thielen, B.M. Fachagentur Nachwachsende Rohstoffe e.V. (FNR); Agency for Renewable Resources: Gülzow, Germany, 2014. [Google Scholar]
  15. Benavides, P.T.; Lee, U.; Zare-Mehrjerdi, O. Life cycle greenhouse gas emissions and energy use of polylactic acid, bio-derived polyethylene, and fossil-derived polyethylene. J. Clean. Prod. 2020, 277, 124010. [Google Scholar] [CrossRef]
  16. Batori, V.; Akesson, D.; Zamani, A.; Taherzadeh, M.J.; Horvath, I.S. Anaerobic degradation of bioplastics: A review. Waste Manag. 2018, 80, 406–413. [Google Scholar] [CrossRef]
  17. Arikan, E.B.; Ozsoy, H.D. A Review: Investigation of Bioplastics. J. Civ. Eng. Arch. 2015, 9, 188–192. [Google Scholar] [CrossRef]
  18. Reichert, C.L.; Bugnicourt, E.; Coltelli, M.-B.; Cinelli, P.; Lazzeri, A.; Canesi, I.; Braca, F.; Martínez, B.M.; Alonso, R.; Agostinis, L.; et al. Bio-Based Packaging: Materials, Modifications, Industrial Applications and Sustainability. Polymers 2020, 12, 1558. [Google Scholar] [CrossRef] [PubMed]
  19. Bioplastics Market Data. Available online: https://www.european-bioplastics.org (accessed on 5 March 2021).
  20. Nakajima, H.; Dijkstra, P.; Loos, K. The Recent Developments in Biobased Polymers toward General and Engineering Applications: Polymers that Are Upgraded from Biodegradable Polymers, Analogous to Petroleum-Derived Polymers, and Newly Developed. Polymers 2017, 9, 523. [Google Scholar] [CrossRef] [PubMed]
  21. Biopolymers. Available online: https://www.eubia.org/cms/wiki-biomass/bio-based-products/biopolymers/ (accessed on 5 March 2021).
  22. Imre, B.; Pukanszky, B. Compatibilization in bio-based and biodegradable polymer blends. Eur. Polym. J. 2013, 49, 1215–1233. [Google Scholar] [CrossRef] [Green Version]
  23. Ahmed, H.; Hashim, A.; Abduljalil, H.M. Analysis of Structural, Electrical and Electronic Properties of (Polymer Nanocomposites/Silicon Carbide) for Antibacterial Application. Egypt. J. Chem. 2019, 62, 1167–1176. [Google Scholar] [CrossRef]
  24. Steinbüchel, S.E. Microbial Succinic Acid, Its Polymer Poly(butylene succinate), and Applications. In Prokaryotic Symbionts in Plants; Microbiology Monographs 2009, Plastics from bacteria; Springer: Berlin, Germany, 2009; pp. 347–388. [Google Scholar] [CrossRef]
  25. Woodruff, M.A.; Hutmacher, D.W. The return of a forgotten polymer-Polycaprolactone in the 21st century. Prog. Polym. Sci. 2010, 35, 1217–1256. [Google Scholar] [CrossRef] [Green Version]
  26. Kabir, E.; Kaur, R.; Lee, J.; Kim, K.H.; Kwon, E.E. Prospects of biopolymer technology as an alternative option for non-degradable plastics and sustainable management of plastic wastes. J. Clean. Prod. 2020, 258, 120536. [Google Scholar] [CrossRef]
  27. Siracusa, V.; Blanco, I. Bio-Polyethylene (Bio-PE), Bio-Polypropylene (Bio-PP) and Bio-Poly(ethylene terephthalate) (Bio-PET): Recent Developments in Bio-Based Polymers Analogous to Petroleum-Derived Ones for Packaging and Engineering Applications. Polymers 2020, 12, 1641. [Google Scholar] [CrossRef]
  28. Shen, J.H.; Patel, M.K. Product Overview and Market Protection of Emerging Bio-Based Plastics, PRO-BIP 2009; Utrecht University: Utrecht, The Netherlands, 2009. [Google Scholar]
  29. Gershenzon, J.; Dudareva, N. The function of terpene natural products in the natural world. Nat. Chem. Biol. 2007, 3, 408–414. [Google Scholar] [CrossRef]
  30. Tholl, D. Biosynthesis and Biological Functions of Terpenoids in Plants. In Biotechnology of Isoprenoids; Schrader, J., Bohlmann, J., Eds.; Advances in Biochemical Engineering/Biotechnology; Springer: Berlin, Germany, 2015; Volume 148, pp. 63–106. [Google Scholar]
  31. Kännaste, A.; Copolovici, L.; Niinemets, Ü. Plant Isoprenoids: Methods and Protocols, Methods in Molecular Biology; Springer: New York, NY, USA, 2014; pp. 1–5. [Google Scholar]
  32. Lombard, J.; Moreira, D. Origins and Early Evolution of the Mevalonate Pathway of Isoprenoid Biosynthesis in the Three Domains of Life. Mol. Biol. Evol. 2011, 28, 87–99. [Google Scholar] [CrossRef] [Green Version]
  33. Lohr, M.; Schwender, J.; Polle, J.E. Isoprenoid biosynthesis in eukaryotic phototrophs: A spotlight on algae. Plant Sci. 2012, 185, 9–22. [Google Scholar] [CrossRef]
  34. Schrader, J.; Bohlmann, J. (Eds.) Biotechnology of Isoprenoids; Springer: Berlin, Germany, 2015. [Google Scholar]
  35. Moser, S.; Pichler, H. Identifying and engineering the ideal microbial terpenoid production host. Appl. Microbiol. Biotechnol. 2019, 103, 5501–5516. [Google Scholar] [CrossRef] [Green Version]
  36. Connolly, J.D.; Hill, R.A. Dictionary of Terpenoids; Chapman & Hall: London, UK, 1991. [Google Scholar]
  37. Croteau, R.O.; Johnson, M.A. Biosynthesis and Biodegradation of Wood Components; Academic Press: Cambridge, MA, USA, 1985; pp. 379–439. [Google Scholar]
  38. Guenther, A.; Karl, T.; Harley, P.; Wiedinmyer, C.; Palmer, P.I.; Geron, C. Estimates of global terrestrial isoprene emissions using MEGAN (Model of Emissions of Gases and Aerosols from Nature). Atmos. Chem. Phys. 2006, 6, 3181–3210. [Google Scholar] [CrossRef] [Green Version]
  39. Ryan, A.C.; Hewitt, C.N.; Possell, M.; Vickers, C.E.; Purnell, A.; Mullineaux, P.M.; Davies, W.J.; Dodd, I.C. Isoprene emission protects photosynthesis but reduces plant productivity during drought in transgenic tobacco (Nicotiana tabacum) plants. New Phytol. 2014, 201, 205–216. [Google Scholar] [CrossRef] [PubMed]
  40. Cseke, L.J.; Kirakosyan, A.; Kaufman, P.B.; Warber, S.; Duke, J.A.; Brielmann, H.L. Natural Products from Plants; Taylor and Francis: London, UK, 2006. [Google Scholar] [CrossRef]
  41. Ludwiczuk, A.S.; Georgiev, M.I. Chapter 11: Terpenoids. In Pharmacognosy; Boston Academic: Boston, MA, USA, 2017; pp. 233–266. [Google Scholar]
  42. Trombetta, D.; Castelli, F.; Sarpietro, M.G.; Venuti, V.; Cristani, M.; Daniele, C.; Saija, A.; Mazzanti, G.; Bisignano, G. Mechanisms of antibacterial action of three monoterpenes. Antimicrob. Agents Chemother. 2005, 49, 2474–2478. [Google Scholar] [CrossRef] [Green Version]
  43. Sobral, M.V.; Xavier, A.L.; Lima, T.C.; de Sousa, D.P. Antitumor activity of monoterpenes found in essential oils. Sci. World J. 2014, 2014, 953451. [Google Scholar] [CrossRef] [PubMed]
  44. Singh, G. Chemistry of Terpenoids and Carotenoids; Discovery: New Delhi, India, 2007. [Google Scholar]
  45. Wei, L.J.; Zhong, Y.T.; Nie, M.Y.; Liu, S.C.; Hua, Q. Biosynthesis of alpha-Pinene by Genetically Engineered Yarrowia lipolytica from Low-Cost Renewable Feedstocks. J. Agric. Food. Chem. 2021, 69, 275–285. [Google Scholar] [CrossRef]
  46. Villasenor, I.M. Bioactivities of iridoids. Anti-Inflamm. Anti-Allergy Agents Med. Chem. 2007, 6, 307–314. [Google Scholar] [CrossRef]
  47. Dinda, B.; Debnath, S.; Harigaya, Y. Naturally occurring iridoids. A review, part 1. Chem. Pharm. Bull. 2007, 55, 159–222. [Google Scholar] [CrossRef] [Green Version]
  48. Misawa, N. Pathway engineering for functional isoprenoids. Curr. Opin. Biotechnol. 2011, 22, 627–633. [Google Scholar] [CrossRef]
  49. Chan, W.K.; Tan, L.T.; Chan, K.G.; Lee, L.H.; Goh, B.H. Nerolidol: A Sesquiterpene Alcohol with Multi-Faceted Pharmacological and Biological Activities. Molecules 2016, 21, 529. [Google Scholar] [CrossRef] [Green Version]
  50. de Veras, B.O.; de Oliveira, M.B.; da Silva Oliveira, F.G.; Dos Santos, Y.Q.; de Oliveira, J.R.; de Menezes Lima, V.L.; da Silva Almeida, J.R.; Navarro, D.M.; de Oliveira Farias, J.C.; dos Santos Aguiar, J.; et al. Chemical composition and evaluation of the antinociceptive, antioxidant and antimicrobial effects of essential oil from Hymenaea cangaceira (Pinto, Mansano & Azevedo) native to Brazil: A natural medicine. J. Ethnopharmacol. 2020, 247, 112265. [Google Scholar] [CrossRef]
  51. Kutyna, D.R.; Borneman, A.R. Heterologous Production of Flavour and Aroma Compounds in Saccharomyces cerevisiae. Genes 2018, 9, 326. [Google Scholar] [CrossRef] [Green Version]
  52. Ramawat, K.G.; Mérillon, J.M. Diterpenes for Therapeutic Use. In Natural Products: Phytochemistry, Botany and Metabolism of Alkaloids, Phenolics and Terpenes; Springer: Berlin/Heidelberg, Germany, 2013; pp. 3171–3191. [Google Scholar]
  53. Stromgaard, K.; Nakanishi, K. Chemistry and biology of terpene trilactones from Ginkgo biloba. Angew. Chem. Int. Ed. 2004, 43, 1640–1658. [Google Scholar] [CrossRef]
  54. Topcu, G.; Gören, A.C. Biological Activity of Diterpenoids Isolated from Anatolian Lamiaceae Plants. Rec. Nat. Prod. 2007, 1, 1–16. [Google Scholar]
  55. Guerra-Bubb, J.; Croteau, R.; Williams, R.M. The early stages of taxol biosynthesis: An interim report on the synthesis and identification of early pathway metabolites. Nat. Prod. Rep. 2012, 29, 683–696. [Google Scholar] [CrossRef]
  56. Liu, Y.; Wang, L.; Jung, J.H.; Zhanga, S. Sesterterpenoids. Nat. Prod. Rep. 2007, 24, 1401–1429. [Google Scholar] [CrossRef]
  57. Ebada, S.S.; Lin, W.; Proksch, P. Bioactive Sesterterpenes and Triterpenes from Marine Sponges: Occurrence and Pharmacological Significance. Mar. Drugs 2010, 8, 313–346. [Google Scholar] [CrossRef] [Green Version]
  58. Silva, F.S.; Oliveira, P.J.; Duarte, M.F. Oleanolic, Ursolic, and Betulinic Acids as Food Supplements or Pharmaceutical Agents for Type 2 Diabetes: Promise or Illusion? J. Agric. Food. Chem. 2016, 64, 2991–3008. [Google Scholar] [CrossRef] [PubMed]
  59. Blomhoff, R.; Blomhoff, H.K. Overview of retinoid metabolism and function. J. Neurobiol. 2006, 66, 606–630. [Google Scholar] [CrossRef]
  60. Domonkos, I.; Kis, M.; Gombos, Z.; Ughy, B. Carotenoids, versatile components of oxygenic photosynthesis. Prog. Lipid Res. 2013, 52, 539–561. [Google Scholar] [CrossRef]
  61. Barredo, J.L.; Garcia-Estrada, C.; Kosalkova, K.; Barreiro, C. Biosynthesis of Astaxanthin as a Main Carotenoid in the Heterobasidiomycetous Yeast Xanthophyllomyces dendrorhous. J. Fungi 2017, 3, 44. [Google Scholar] [CrossRef] [PubMed] [Green Version]
  62. Mortensen, A. Carotenoids and other pigments as natural colorants. Pure Appl. Chem. 2006, 78, 1477–1491. [Google Scholar] [CrossRef]
  63. Nonomura, A.M. Industrial biosynthesis of carotenoids. In Carotenoids: Chemistry and Biology; Plenum Press: New York, NY, USA, 1989; pp. 365–375. [Google Scholar]
  64. Rodriguez-Saiz, M.; Luis de la Fuente, J.; Luis Barredo, J. Xanthophyllomyces dendrorhous for the industrial production of astaxanthin. Appl. Microbiol. Biotechnol. 2010, 88, 645–658. [Google Scholar] [CrossRef]
  65. Bohlmann, J.; Keeling, C.I. Terpenoid biomaterials. Plant J. 2008, 54, 656–669. [Google Scholar] [CrossRef]
  66. Zerbe, P.; Bohlmann, J. Recent Advances in Phytochemistry. In Phytochemicals—Biosynthesis, Function and Application; Springer: Berlin, Germany, 2014; Volume 44, pp. 85–108. [Google Scholar]
  67. Tetali, S.D. Terpenes and isoprenoids: A wealth of compounds for global use. Planta 2019, 249, 1–8. [Google Scholar] [CrossRef] [PubMed]
  68. Kuehlborn, J.; Gross, J.; Opatz, T. Making natural products from renewable feedstocks: Back to the roots? Nat. Prod. Rep. 2020, 37, 380–424. [Google Scholar] [CrossRef] [Green Version]
  69. Behr, A.; Johnen, L. Myrcene as a Natural Base Chemical in Sustainable Chemistry: A Critical Review. Chemsuschem 2009, 2, 1072–1095. [Google Scholar] [CrossRef] [PubMed]
  70. Palenzuela, M.; Sánchez-Roa, D.; Damián, J.; Sessini, V.; Mosquera, M.E. Polymerization of terpenes and terpenoids using metal catalysts. Adv. Organomet. Chem. 2021, 75, 55–93. [Google Scholar] [CrossRef]
  71. Winnacker, M.; Rieger, B. Recent Progress in Sustainable Polymers Obtained from Cyclic Terpenes: Synthesis, Properties, and Application Potential. Chemsuschem 2015, 8, 2455–2471. [Google Scholar] [CrossRef]
  72. Swift, K.A. Catalytic transformations of the major terpene feedstocks. Top. Catal. 2004, 27, 143–155. [Google Scholar] [CrossRef]
  73. Sarkar, P.; Bhowmick, A.K. Synthesis, characterization and properties of a bio-based elastomer: Polymyrcene. RSC Adv. 2014, 4, 61343–61354. [Google Scholar] [CrossRef]
  74. Aoshima, S.; Kanaoka, S. A Renaissance in Living Cationic Polymerization. Chem. Rev. 2009, 109, 5245–5287. [Google Scholar] [CrossRef] [PubMed] [Green Version]
  75. Georges, S.; Toure, A.O.; Visseaux, M.; Zinck, P. Coordinative Chain Transfer Copolymerization and Terpolymerization of Conjugated Dienes. Macromolecules 2014, 47, 4538–4547. [Google Scholar] [CrossRef]
  76. Avila-Ortega, A.; Aguilar-Vega, M.; Bastarrachea, M.I.; Carrera-Figueiras, C.; Campos-Covarrubias, M. Anionic synthesis of amine omega-terminated beta-myrcene polymers. J. Polym. Res. 2015, 22, 226. [Google Scholar] [CrossRef]
  77. Arroo, R. Terpenes—Flavors, Fragrances, Pharmaca, Pheromones; Wiley-VCH: Weinheim, Germany, 2006. [Google Scholar]
  78. Puskas, J.E.; Gautriaud, E.; Deffieux, A.; Kennedy, J.P. Natural rubber biosynthesis—A living carbocationic polymerization? Prog. Polym. Sci. 2006, 31, 533–548. [Google Scholar] [CrossRef]
  79. Matic, A.; Schlaad, H. Thiol-ene photofunctionalization of 1,4-polymyrcene. Polym. Int. 2018, 67, 500–505. [Google Scholar] [CrossRef]
  80. Runckel, W.J.; Goldblatt, L.A. Inhibition of myrcene polymerization during storage. Ind. Eng. Chem. 1946, 38, 749–751. [Google Scholar] [CrossRef]
  81. Rummelsburg, A.L. TERPENE RESIN. U.S. Patent US-2354776-A, 14 June 1941. [Google Scholar]
  82. Marvel, C.S.; Hwa, C.C. Polymyrcene. J. Polym. Sci. 1960, 45, 25–34. [Google Scholar] [CrossRef]
  83. Newmark, R.A.; Majumdar, R.N. C-13-NMR spectra of cis-polymyrcene and cis-polyfarnesene. J. Polym. Sci. A Polym. Chem. 1988, 26, 71–77. [Google Scholar] [CrossRef]
  84. Stepto, R.F. Dispersity in polymer science. Pure Appl. Chem. 2009, 81, 351–353. [Google Scholar] [CrossRef] [Green Version]
  85. Cawse, J.L.; Stanford, J.L.; Still, R.H. Polymers from renewable sources.4. polyurethane elastomers based on myrcene polyols. J. Appl. Polym. Sci. 1986, 31, 1549–1565. [Google Scholar] [CrossRef]
  86. Cawse, J.L.; Stanford, J.L.; Still, R.H. Polymers from renewable sources. 5. Myrcene-based polyols as rubber-toughening agents in glassy polyurethanes. Polymer 1987, 28, 368–374. [Google Scholar] [CrossRef]
  87. Lamparelli, D.H.; Paradiso, V.; Della Monica, F.; Proto, A.; Guerra, S.; Giannini, L.; Capacchione, C. Toward More Sustainable Elastomers: Stereoselective Copolymerization of Linear Terpenes with Butadiene. Macromolecules 2020, 53, 1665–1673. [Google Scholar] [CrossRef]
  88. Loughmari, S.; Hafid, A.; Bouazza, A.; El Bouadili, A.; Zinck, P.; Visseaux, M. Highly stereoselective coordination polymerization of beta-myrcene from a lanthanide-based catalyst: Access to bio-sourced elastomers. J. Polym. Sci. Part A Polym. Chem. 2012, 50, 2898–2905. [Google Scholar] [CrossRef]
  89. Valente, A.; Mortreux, A.; Visseaux, M.; Zinck, P. Coordinative Chain Transfer Polymerization. Chem. Rev. 2013, 113, 3836–3857. [Google Scholar] [CrossRef]
  90. Naddeo, M.; Buonerba, A.; Luciano, E.; Grassi, A.; Proto, A.; Capacchione, C. Stereoselective polymerization of biosourced terpenes beta-myrcene and beta-ocimene and their copolymerization with styrene promoted by titanium catalysts. Polymer 2017, 131, 151–159. [Google Scholar] [CrossRef]
  91. Kuhlman, R.L.; Wenzel, T.T. Investigations of chain shuttling olefin polymerization using deuterium labeling. Macromolecules 2008, 41, 4090–4094. [Google Scholar] [CrossRef]
  92. Camara, J.M.; Petros, R.A.; Norton, J.R. Zirconium-Catalyzed Carboalumination of alpha-Olefins and Chain Growth of Aluminum Alkyls: Kinetics and Mechanism. J. Am. Chem. Soc. 2011, 133, 5263–5273. [Google Scholar] [CrossRef] [PubMed]
  93. Paradiso, V.; Capaccio, V.; Lamparelli, D.H.; Capacchione, C. OSSO-bisphenolate metal complexes: A powerful and versatile tool in polymerization catalysis. Coord. Chem. Rev. 2021, 429, 213644. [Google Scholar] [CrossRef]
  94. Gonzalez-Zapata, J.L.; Enriquez-Medrano, F.J.; Lopez Gonzalez, H.R.; Revilla-Vazquez, J.; Carrizales, R.M.; Georgouvelas, D.; Valencia, L.; Diaz de Leon Gomez, R.E. Introducing random bio-terpene segments to high cis-polybutadiene: Making elastomeric materials more sustainable. RSC Adv. 2020, 10, 44096–44102. [Google Scholar] [CrossRef]
  95. You, F.; Zhai, J.; So, Y.M.; Shi, X. Rigid Acridane-Based Pincer Supported Rare-Earth Complexes for cis-1,4-Polymerization of 1,3-Conjugated Dienes. Inorg. Chem. 2021, 60, 1797–1805. [Google Scholar] [CrossRef] [PubMed]
  96. Winnacker, M. Pinenes: Abundant and Renewable Building Blocks for a Variety of Sustainable Polymers. Angew. Chem. Int. Ed. 2018, 57, 14362–14371. [Google Scholar] [CrossRef] [PubMed]
  97. Yao, K.; Tang, C. Controlled Polymerization of Next-Generation Renewable Monomers and Beyond. Macromolecules 2013, 46, 1689–1712. [Google Scholar] [CrossRef]
  98. Yu, P.; Li, A.L.; Liang, H.; Lu, J. Polymerization of beta-pinene with Schiff-Base nickel complexes catalyst: Synthesis of relatively high molecular weight poly(beta-pinene) at high temperature with high productivity. J. Polym. Sci. A Polym. Chem. 2007, 45, 3739–3746. [Google Scholar] [CrossRef]
  99. Roberts, W.J.; Day, A.R. A study of the polymerization of alpha-pinene and beta-pinene with friedel crafts type catalysts. J. Am. Chem. Soc. 1950, 72, 1226–1230. [Google Scholar] [CrossRef]
  100. Kennedy, J.P.; Liao, T.P.; Guhaniyogi, S.; Chang, V.S. New telechelic polymers and sequential copolymers by polyfunctional initiator-transfer agents (inifers). 20. Poly(beta-pinenes) carrying one, two, and three functional end groups. II. Syntheses and characterization. J. Polym. Sci. Part A Polym. Chem. 1982, 20, 3229–3240. [Google Scholar] [CrossRef]
  101. Lu, J.; Kamigaito, M.; Sawamoto, M.; Higashimura, T.; Deng, Y.X. Cationic polymerization of beta-pinene with the AlC3/SbCl3 binary catalyst: Comparison with alpha-pinene polymerization. J. Appl. Polym. Sci. 1996, 61, 1011–1016. [Google Scholar] [CrossRef]
  102. Mathers, R.T.; Lewis, S.P. Monoterpenes as Polymerization Solvents and Monomers in Polymer Chemistry. In Green Polymerization Methods: Renewable Starting Materials, Catalysis and Waste Reduction; Mathers, R.T., Meier, M.A., Eds.; Wiley-VCH: Weinheim, Germany, 2011; pp. 91–128. [Google Scholar]
  103. Satoh, K. Controlled/living polymerization of renewable vinyl monomers into bio-based polymers. Polym. J. 2015, 47, 527–536. [Google Scholar] [CrossRef]
  104. Lu, J.; Kamigaito, M.; Sawamoto, M.; Higashimura, T.; Deng, Y.X. Living cationic isomerization polymerization of beta-pinene. Initiation with HCl-2-chloroethyl vinyl ether adduct TiCl3(OiPr) in conjunction with nBu(4)NCl. Macromolecules 1997, 30, 22–26. [Google Scholar] [CrossRef]
  105. Satoh, K.; Sugiyama, H.; Kamigaito, M. Biomass-derived heat-resistant alicyclic hydrocarbon polymers: Poly(terpenes) and their hydrogenated derivatives. Green Chem. 2006, 8, 878–882. [Google Scholar] [CrossRef]
  106. Satoh, K.; Nakahara, A.; Mukunoki, K.; Sugiyama, H.; Saito, H.; Kamigaito, M. Sustainable cycloolefin polymer from pine tree oil for optoelectronics material: Living cationic polymerization of beta-pinene and catalytic hydrogenation of high-molecular-weight hydrogenated poly(beta-pinene). Polym. Chem. 2014, 5, 3222–3230. [Google Scholar] [CrossRef]
  107. Sawamoto, M. Modern cationic vinyl polymerization. Prog. Polym. Sci. 1991, 16, 111–172. [Google Scholar] [CrossRef]
  108. Aoshima, S.; Yoshida, T.; Kanazawa, A.; Kanaoka, S. New stage in living cationic polymerization: An array of effective Lewis acid catalysts and fast living polymerization in seconds. J. Polym. Sci. Part A Polym. Chem. 2007, 45, 1801–1813. [Google Scholar] [CrossRef]
  109. McCaulay, D.A.; Lien, A.P. Relative basicity of the methylbenzenes. J. Am. Chem. Soc. 1951, 73, 2013–2017. [Google Scholar] [CrossRef]
  110. Solari, E.; Floriani, C.; Chiesivilla, A.; Guastini, C. Titanium tetrachloride binding and making arenes from acetylenes—The synthesis and X-ray crystal-structure of a titanium(iv) hexamethylbenzene complex. J. Chem. Soc. Chem. Comm. 1989, 1747–1749. [Google Scholar] [CrossRef]
  111. Ulvenlund, S.; Wheatley, A.; Bengtsson, L.A. Spectroscopic investigation of concentrated-solutions of gallium(iii) chloride in mesitylene and benzene. J. Chem. Soc. Dalton Trans. 1995, 255–263. [Google Scholar] [CrossRef]
  112. Laurence, C.; Graton, J.; Berthelot, M.; Besseau, F.; Le Questel, J.Y.; Lucon, M.; Ouvrard, C.; Planchat, A.; Renault, E. An Enthalpic Scale of Hydrogen-Bond Basicity. 4. Carbon pi Bases, Oxygen Bases, and Miscellaneous Second-Row, Third-Row, and Fourth-Row Bases and a Survey of the 4-Fluorophenol Affinity Scale. J. Org. Chem. 2010, 75, 4105–4123. [Google Scholar] [CrossRef]
  113. Karasawa, Y.; Kimura, M.; Kanazawa, A.; Kanaoka, S.; Aoshima, S. New initiating systems for cationic polymerization of plant-derived monomers: GaCl3/alkylbenzene-induced controlled cationic polymerization of beta-pinene. Polym. J. 2015, 47, 152–157. [Google Scholar] [CrossRef]
  114. Kukhta, N.A.; Vasilenko, I.V.; Kostjuk, S.V. Room temperature cationic polymerization of beta-pinene using modified AlCl3 catalyst: Toward sustainable plastics from renewable biomass resources. Green Chem. 2011, 13, 2362–2364. [Google Scholar] [CrossRef]
  115. Doiuchi, T.; Yamaguchi, H.; Minoura, Y. Cyclo-copolymerization of d-limonene with maleic-anhydride. Eur. Polym. J. 1981, 17, 961–968. [Google Scholar] [CrossRef]
  116. Andriotis, E.G.; Achilias, D.S. Role of Polylimonene as a Bio-Based Additive in Thermal Oxidation of High Impact Polystyrene. Macromol. Symp. 2013, 331, 173–180. [Google Scholar] [CrossRef]
  117. Modena, M.; Bates, R.B.; Marvel, C.S. Some low molecular weight polymers of d-limonene and related terpenes obtained by Ziegler-type catalysts. J. Polym Sci. A Polym. Chem. 1965, 3, 949–960. [Google Scholar] [CrossRef]
  118. Pietila, H.; Sivola, A.; Sheffer, H. Cationic polymerization of beta-pinene, styrene and alpha-methylstyrene. J. Polym. Sci. Part A Polym. Chem. 1970, 8, 727–737. [Google Scholar] [CrossRef]
  119. Sahu, P.; Bhowmick, A.K.; Kali, G. Terpene Based Elastomers: Synthesis, Properties, and Applications. Processes 2020, 8, 553. [Google Scholar] [CrossRef]
  120. Sharma, S.; Srivastava, A.K. Alternating copolymers of limonene with methyl methacrylate: Kinetics and mechanism. J. Macromol. Sci. A 2003, A40, 593–603. [Google Scholar] [CrossRef]
  121. Zhang, Y.; Dube, M.A. Copolymerization of 2-Ethylhexyl Acrylate and D-Limonene. Polym. Plast. Technol. Eng. 2015, 54, 499–505. [Google Scholar] [CrossRef]
  122. Ishido, Y.; Kanazawa, A.; Kanaoka, S.; Aoshima, S. New Degradable Alternating Copolymers from Naturally Occurring Aldehydes: Well-Controlled Cationic Copolymerization and Complete Degradation. Macromolecules 2012, 45, 4060–4068. [Google Scholar] [CrossRef]
  123. Zhang, D.H.; Hillmyer, M.A.; Tolman, W.B. Catalytic polymerization of a cyclic ester derived from a “cool” natural precursor. Biomacromolecules 2005, 6, 2091–2095. [Google Scholar] [CrossRef]
  124. Lowe, J.R.; Tolman, W.B.; Hillmyer, M.A. Oxidized Dihydrocarvone as a Renewable Multifunctional Monomer for the Synthesis of Shape Memory Polyesters. Biomacromolecules 2009, 10, 2003–2008. [Google Scholar] [CrossRef]
  125. Lowe, J.R.; Martello, M.T.; Tolman, W.B.; Hillmyer, M.A. Functional biorenewable polyesters from carvone-derived lactones. Polym. Chem. 2011, 2, 702–708. [Google Scholar] [CrossRef]
  126. Nishida, T.; Satoh, K.; Nagano, S.; Seki, T.; Tamura, M.; Li, Y.; Tomishige, K.; Kamigaito, M. Biobased Cycloolefin Polymers: Carvone-Derived Cyclic Conjugated Diene with Reactive exo-Methylene Group for Regioselective and Stereospecific Living Cationic Polymerization. ACS Macro Lett. 2020, 9, 1178–1183. [Google Scholar] [CrossRef]
  127. Winnacker, M.; Sag, J. Sustainable terpene-based polyamides via anionic polymerization of a pinene-derived lactam. J. Chem. Soc. Chem. Comm. 2018, 54, 841–844. [Google Scholar] [CrossRef] [PubMed]
  128. Parrino, F.; Fidalgo, A.; Palmisano, L.; Ilharco, L.M.; Pagliaro, M.; Ciriminna, R. Polymers of Limonene Oxide and Carbon Dioxide: Polycarbonates of the Solar Economy. ACS Omega 2018, 3, 4884–4890. [Google Scholar] [CrossRef] [PubMed] [Green Version]
  129. Castro-Gomez, F.; Salassa, G.; Kleij, A.W.; Bo, C. A DFT Study on the Mechanism of the Cycloaddition Reaction of CO2 to Epoxides Catalyzed by Zn(Salphen) Complexes. Chem. Eur. J. 2013, 19, 6289–6298. [Google Scholar] [CrossRef]
  130. Park, H.J.; Ryu, C.Y.; Crivello, J.V. Photoinitiated cationic polymerization of limonene 1,2-oxide and a-pinene oxide. J. Polym. Sci. Part A Polym. Chem. 2013, 51, 109–117. [Google Scholar] [CrossRef]
  131. Munoz, M.T.; Palenzuela, M.; Cuenca, T.; Mosquera, M.E. Aluminum Aryloxide Compounds as Very Active Catalysts for Glycidyl Methacrylate Selective Ring-Opening Polymerization. Chemcatchem 2018, 10, 936–939. [Google Scholar] [CrossRef]
  132. Sessini, V.; Palenzuela, M.; Damian, J.; Mosquera, M.E. Bio-based polyether from limonene oxide catalytic ROP as green polymeric plasticizer for PLA. Polymer 2020, 210, 123003. [Google Scholar] [CrossRef]
  133. Pena Carrodeguas, L.; Martin, C.; Kleij, A.W. Semiaromatic Polyesters Derived from Renewable Terpene Oxides with High Glass Transitions. Macromolecules 2017, 50, 5337–5345. [Google Scholar] [CrossRef]
  134. Neumann, S.; Leitner, L.C.; Schmalz, H.; Agarwal, S.; Greiner, A. Unlocking the Processability and Recyclability of Biobased Poly(limonene carbonate). ACS Sustain. Chem. Eng. 2020, 8, 6442–6448. [Google Scholar] [CrossRef]
  135. Zhang, Y.Y.; Wu, G.P.; Darensbourg, D.J. CO2-Based Block Copolymers: Present and Future Designs. Trends Chem. 2020, 2, 750–763. [Google Scholar] [CrossRef]
  136. Darensbourg, D.J. Chain transfer agents utilized in epoxide and CO2 copolymerization processes. Green Chem. 2019, 21, 2214–2223. [Google Scholar] [CrossRef]
  137. Bhat, G.A.; Luo, M.; Darensbourg, D.J. Catalysis of carbon dioxide and oxetanes to produce aliphatic polycarbonates. Green Chem. 2020, 22, 7707–7724. [Google Scholar] [CrossRef]
  138. Darensbourg, D.J.; Mackiewicz, R.M. Role of the cocatalyst in the copolymerization of CO2 and cyclohexene oxide utilizing chromium salen complexes. J. Am. Chem. Soc. 2005, 127, 14026–14038. [Google Scholar] [CrossRef]
  139. Jeske, R.C.; DiCiccio, A.M.; Coates, G.W. Alternating copolymerization of Epoxides and cyclic anhydrides: An improved route to aliphatic polyesters. J. Am. Chem. Soc. 2007, 129, 11330–11331. [Google Scholar] [CrossRef]
  140. Robert, C.; de Montigny, F.; Thomas, C.M. Tandem synthesis of alternating polyesters from renewable resources. Nat. Commun. 2011, 2, 586. [Google Scholar] [CrossRef] [PubMed]
  141. Nejad, E.H.; Paoniasari, A.; van Melis, C.G.; Koning, C.E.; Duchateau, R. Catalytic Ring-Opening Copolymerization of Limonene Oxide and Phthalic Anhydride: Toward Partially Renewable Polyesters. Macromolecules 2013, 46, 631–637. [Google Scholar] [CrossRef]
  142. Isnard, F.; Lamberti, M.; Pellecchia, C.; Mazzeo, M. Ring-Opening Copolymerization of Epoxides with Cyclic Anhydrides Promoted by Bimetallic and Monometallic Phenoxy-Imine Aluminum complexes. Chemcatchem 2017, 9, 2972–2979. [Google Scholar] [CrossRef]
  143. de Sarasa Buchaca, M.M.; de la Cruz-Martinez, F.; Martinez, J.; Alonso-Moreno, C.; Fernandez-Baeza, J.; Tejeda, J.; Niza, E.; Castro-Osma, J.A.; Otero, A.; Lara-Sanchez, A. Alternating Copolymerization of Epoxides and Anhydrides Catalyzed by Aluminum Complexes. ACS Omega 2018, 3, 17581–17589. [Google Scholar] [CrossRef]
  144. Santulli, F.; D’Auria, I.; Boggioni, L.; Losio, S.; Proverbio, M.; Costabile, C.; Mazzeo, M. Bimetallic Aluminum Complexes Bearing Binaphthyl-Based Iminophenolate Ligands as Catalysts for the Synthesis of Polyesters. Organometallics 2020, 39, 1213–1220. [Google Scholar] [CrossRef]
  145. Sanford, M.J.; Pena Carrodeguas, L.; Van Zee, N.J.; Kleij, A.W.; Coates, G.W. Alternating Copolymerization of Propylene Oxide and Cyclohexene Oxide with Tricyclic Anhydrides: Access to Partially Renewable Aliphatic Polyesters with High Glass Transition Temperatures. Macromolecules 2016, 49, 6394–6400. [Google Scholar] [CrossRef]
  146. Van Zee, N.J.; Sanford, M.J.; Coates, G.W. Electronic Effects of Aluminum Complexes in the Copolymerization of Propylene Oxide with Tricyclic Anhydrides: Access to Well-Defined, Functionalizable Aliphatic Polyesters. J. Am. Chem. Soc. 2016, 138, 2755–2761. [Google Scholar] [CrossRef]
  147. Inoue, S.; Koinuma, H.; Tsuruta, T. Copolymerization of carbon dioxide and epoxide. J. Pol. Sci. Part B Polym. Lett. 1969, 7, 287–292. [Google Scholar] [CrossRef]
  148. Anderson, T.S.; Kozak, C.M. Ring-opening polymerization of epoxides and ring-opening copolymerization of CO2 with epoxides by a zinc amino-bis(phenolate) catalyst. Eur. Polym. J. 2019, 120, 109237. [Google Scholar] [CrossRef]
  149. Bobbink, F.D.; van Muyden, A.P.; Dyson, P.J. En route to CO2-containing renewable materials: Catalytic synthesis of polycarbonates and non-isocyanate polyhydroxyurethanes derived from cyclic carbonates. J Chem. Soc. Chem. Comm. 2019, 55, 1360–1373. [Google Scholar] [CrossRef] [Green Version]
  150. Mani, R.; Bhattacharya, M.; Tang, J. Functionalization of polyesters with maleic anhydride by reactive extrusion. J. Polym. Sci. Part A Polym. Chem. 1999, 37, 1693–1702. [Google Scholar] [CrossRef]
  151. Raquez, J.M.; Degee, P.; Nabar, Y.; Narayan, R.; Dubois, P. Biodegradable materials by reactive extrusion: From catalyzed polymerization to functionalization and blend compatibilization. C. D. Chim. 2006, 9, 1370–1379. [Google Scholar] [CrossRef]
  152. Fink, J.K. Reactive Polymers: Fundamentals and Applications. A Concise Guide to Industrial Polymers; Plastics Design Library; Elsevier: Amsterdam, The Netherlands, 2018; pp. 449–496. [Google Scholar]
  153. Raquez, J.M.; Ramy-Ratiarison, R.; Murariu, M.; Dubois, P. Reactive Extrusion of PLA-based Materials: From Synthesis to Reactive melt-blending. Technol. Process. Prop. Addit. Appl. R. Soc. Chem. Polym. Chem. Ser. 2014, 101–122. [Google Scholar] [CrossRef]
  154. Jacobsen, S.; Fritz, H.G.; Degee, P.; Dubois, P.; Jerome, R. Single-step reactive extrusion of PLLA in a corotating twin-screw extruder promoted by 2-ethylhexanoic acid tin(II) salt and triphenylphosphine. Polymer 2000, 41, 3395–3403. [Google Scholar] [CrossRef] [Green Version]
  155. Bruester, B.; Adjoua, Y.O.; Dieden, R.; Grysan, P.; Federico, C.E.; Berthe, V.; Addiego, F. Plasticization of Polylactide with Myrcene and Limonene as Bio-Based Plasticizers: Conventional vs. Reactive Extrusion. Polymers 2019, 11, 1363. [Google Scholar] [CrossRef] [Green Version]
Figure 1. Types of bioplastics [13].
Figure 1. Types of bioplastics [13].
Suschem 02 00026 g001
Figure 2. Advantages and drawbacks of bio-based materials [17].
Figure 2. Advantages and drawbacks of bio-based materials [17].
Suschem 02 00026 g002
Figure 3. Expected demand for bio-based materials [19] (accessed on 5 March 2021).
Figure 3. Expected demand for bio-based materials [19] (accessed on 5 March 2021).
Suschem 02 00026 g003
Figure 4. Biodegradable plastics by segments (2020) [19] (accessed on 5 March 2021).
Figure 4. Biodegradable plastics by segments (2020) [19] (accessed on 5 March 2021).
Suschem 02 00026 g004
Figure 5. Chemical structure of isoprene and classification of terpenes according to the number of isoprene units.
Figure 5. Chemical structure of isoprene and classification of terpenes according to the number of isoprene units.
Suschem 02 00026 g005
Figure 6. (a) Different classes of terpenes. (b) Common terpenes and terpenoids.
Figure 6. (a) Different classes of terpenes. (b) Common terpenes and terpenoids.
Suschem 02 00026 g006
Scheme 1. Possible microstructures depending on the polymerization regioselectivity. Top: poly-β-myrcene. Bottom: polyisoprene [70]. Reproduced with permission from Mosquera et al., Adv. Organomet. Chem., published by Elsevier, 2021.
Scheme 1. Possible microstructures depending on the polymerization regioselectivity. Top: poly-β-myrcene. Bottom: polyisoprene [70]. Reproduced with permission from Mosquera et al., Adv. Organomet. Chem., published by Elsevier, 2021.
Suschem 02 00026 sch001
Scheme 2. (a) Polymerization of β-myrcene with [Nd(BH4)3(THF)3]/MgnBuEt in toluene [88], adapted with permission from Visseaux et al., J. Polym. Sci. Part A Polym. Chem., published by Wiley, 2012. (b) Titanium catalysts for myrcene polymerization [90], adapted with permission from Capacchione et al., Polymer, published by Elsevier, 2017.
Scheme 2. (a) Polymerization of β-myrcene with [Nd(BH4)3(THF)3]/MgnBuEt in toluene [88], adapted with permission from Visseaux et al., J. Polym. Sci. Part A Polym. Chem., published by Wiley, 2012. (b) Titanium catalysts for myrcene polymerization [90], adapted with permission from Capacchione et al., Polymer, published by Elsevier, 2017.
Suschem 02 00026 sch002
Scheme 3. Mechanism for the cationic polymerization of β-pinene [70]. Reproduced with permission from Mosquera et al., Adv. Organomet. Chem., published by Elsevier, 2021.
Scheme 3. Mechanism for the cationic polymerization of β-pinene [70]. Reproduced with permission from Mosquera et al., Adv. Organomet. Chem., published by Elsevier, 2021.
Suschem 02 00026 sch003
Scheme 4. Living cationic polymerization of β-pinene [104]. Adapted with permission from Deng et al., Macromolecules, published by ACS, 1997.
Scheme 4. Living cationic polymerization of β-pinene [104]. Adapted with permission from Deng et al., Macromolecules, published by ACS, 1997.
Suschem 02 00026 sch004
Scheme 5. Cationic polymerization of β-pinene using ethers as additives [114]. Adapted with permission from Kostjuk et al., Green Chem., published by RSC, 2011.
Scheme 5. Cationic polymerization of β-pinene using ethers as additives [114]. Adapted with permission from Kostjuk et al., Green Chem., published by RSC, 2011.
Suschem 02 00026 sch005
Scheme 6. Mechanism of limonene polymerization via a cationic mechanism [70]. Reproduced with permission from Mosquera et al., Adv. Organomet. Chem., published by Elsevier, 2021.
Scheme 6. Mechanism of limonene polymerization via a cationic mechanism [70]. Reproduced with permission from Mosquera et al., Adv. Organomet. Chem., published by Elsevier, 2021.
Suschem 02 00026 sch006
Scheme 7. Production of terpene-based polymers from (a) carvone, adapted with permission from Tolman et al., Biomacromolecules, published by ACS, 2005 [125]; (b) menthol, adapted with permission from Hillmyer et al., Polym. Chem., published by RSC, 2011 [123].
Scheme 7. Production of terpene-based polymers from (a) carvone, adapted with permission from Tolman et al., Biomacromolecules, published by ACS, 2005 [125]; (b) menthol, adapted with permission from Hillmyer et al., Polym. Chem., published by RSC, 2011 [123].
Suschem 02 00026 sch007aSuschem 02 00026 sch007b
Scheme 8. (a) Isomers of limonene and limonene oxide. (b) ROP polymerization of limonene-1,2-oxide with [AlMeCl(OR)] (OR = 2,6-(CHPh2)2-4-tBu-C6H2O) as catalysts [132]. Reproduced with permission from Mosquera et al., Polymer, published by Elsevier, 2020.
Scheme 8. (a) Isomers of limonene and limonene oxide. (b) ROP polymerization of limonene-1,2-oxide with [AlMeCl(OR)] (OR = 2,6-(CHPh2)2-4-tBu-C6H2O) as catalysts [132]. Reproduced with permission from Mosquera et al., Polymer, published by Elsevier, 2020.
Suschem 02 00026 sch008aSuschem 02 00026 sch008b
Scheme 9. Copolymerization of 1,2-limonene oxide with anhydrides. Inset: Anhydrides studied [70]. Reproduced with permission from Mosquera et al., Adv. Organomet. Chem., published by Elsevier, 2021.
Scheme 9. Copolymerization of 1,2-limonene oxide with anhydrides. Inset: Anhydrides studied [70]. Reproduced with permission from Mosquera et al., Adv. Organomet. Chem., published by Elsevier, 2021.
Suschem 02 00026 sch009
Publisher’s Note: MDPI stays neutral with regard to jurisdictional claims in published maps and institutional affiliations.

Share and Cite

MDPI and ACS Style

Mosquera, M.E.G.; Jiménez, G.; Tabernero, V.; Vinueza-Vaca, J.; García-Estrada, C.; Kosalková, K.; Sola-Landa, A.; Monje, B.; Acosta, C.; Alonso, R.; et al. Terpenes and Terpenoids: Building Blocks to Produce Biopolymers. Sustain. Chem. 2021, 2, 467-492. https://doi.org/10.3390/suschem2030026

AMA Style

Mosquera MEG, Jiménez G, Tabernero V, Vinueza-Vaca J, García-Estrada C, Kosalková K, Sola-Landa A, Monje B, Acosta C, Alonso R, et al. Terpenes and Terpenoids: Building Blocks to Produce Biopolymers. Sustainable Chemistry. 2021; 2(3):467-492. https://doi.org/10.3390/suschem2030026

Chicago/Turabian Style

Mosquera, Marta. E. G., Gerardo Jiménez, Vanessa Tabernero, Joan Vinueza-Vaca, Carlos García-Estrada, Katarina Kosalková, Alberto Sola-Landa, Belén Monje, Carolina Acosta, Rafael Alonso, and et al. 2021. "Terpenes and Terpenoids: Building Blocks to Produce Biopolymers" Sustainable Chemistry 2, no. 3: 467-492. https://doi.org/10.3390/suschem2030026

APA Style

Mosquera, M. E. G., Jiménez, G., Tabernero, V., Vinueza-Vaca, J., García-Estrada, C., Kosalková, K., Sola-Landa, A., Monje, B., Acosta, C., Alonso, R., & Valera, M. Á. (2021). Terpenes and Terpenoids: Building Blocks to Produce Biopolymers. Sustainable Chemistry, 2(3), 467-492. https://doi.org/10.3390/suschem2030026

Article Metrics

Back to TopTop