A Comprehensive Review on Wireless Power Transfer Systems for Charging Portable Electronics
Abstract
1. Introduction
2. Wireless Power Transfer System Modeling and Efficiency Optimization Techniques
2.1. Model of a WPT System Using Series-Series Compensation
- —peak value of the sinusoidal voltage source.
- —switching frequency in rad/s.
- —mutual inductance between the transmitter and receiver coils.
- —coupling coefficient between the transmitter and receiver coils.
- —series resistance of the transmitter coil (includes on-state resistance of switches and resistances (ESRs) of the transmitter coil and compensation capacitors).
- —series resistance of the receiver coil (includes series resistance of diodes and resistances (ESsR) of the receiver coil and compensation capacitors).
- —equivalent series compensation capacitance of the transmitter.
- —equivalent series compensation capacitance of the receiver.
- —coil inductance of the transmitter.
- —coil inductance of the receiver.
- —load resistance.
- —peak value of the sinusoidal current flowing in the transmitter coil.
- —peak value of the sinusoidal current flowing in the receiver coil.
- —series reactance of the receiver side.
- —rms value of the sinusoidal current flowing in the transmitter coil.
- —rms value of the sinusoidal current flowing in the receiver coil.
- —relative resonant frequency of the receiver.
- —resonant frequency of the receiver.
- —loaded quality factor of the receiver.
- —unloaded quality factor of the transmitter.
- —unloaded quality factor of the receiver.
2.2. Compensation Networks
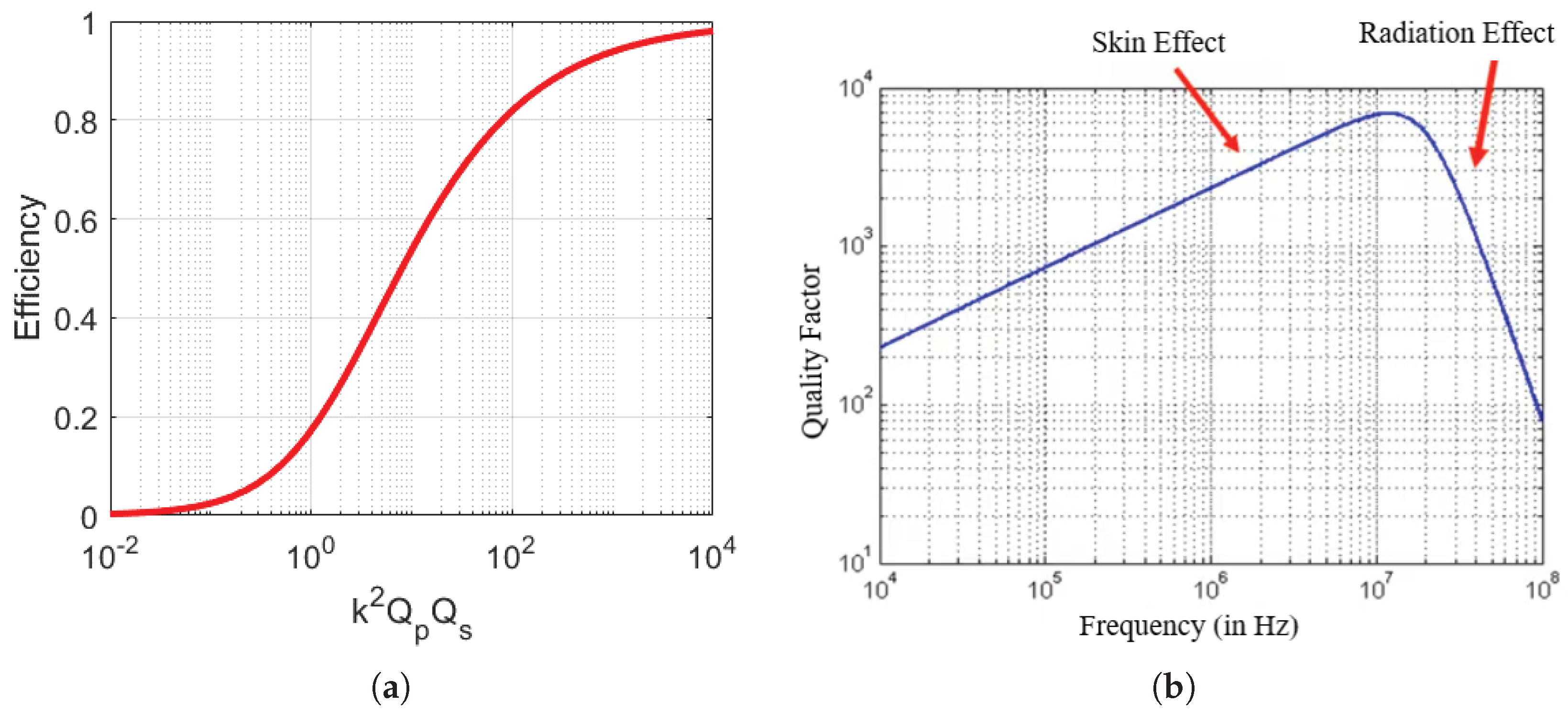
2.3. Maximizing Power Transfer between the Transmitter and Receiver
2.4. Efficiency Optimization Techniques
2.4.1. Using Impedance Matching with Reconfigurable Resonant Circuits
2.4.2. Using Variable Operating Frequency
2.4.3. Using Impedance Compression Networks
2.4.4. Using DC-DC Converters for modulating Load Impedance
2.5. WPT Systems with Multiple Coils
2.5.1. Intermediate Multiple Coils Acting as Repeaters or Domino Resonators
- 1.
- Multiple intermediate coils introduce more degrees of freedom which can be utilized for improving efficiency or making the wireless link less sensitive to coupling variations.
- 2.
- The intermediate coils can also act as effective impedance matching elements [90] on both the source and load sides.
2.5.2. Multiple Transmitter Coil Systems
2.5.3. Multiple Receiver Coil Systems
Efficiency Optimization of Multiple Receiver WPT Systems without Cross-Coupling among the Receivers
- 1.
- Input Voltage Regulation—The efficiency of the system is highly dependent on the input voltage at various conditions of load and coupling. Using modulation techniques such as phase shift or pulse width modulation, the RMS input voltage to the WPT system can be varied. Another way is to use a DC-DC converter in front of the inverter or power amplifier on the transmitter side to provide the required input voltage. However, this increases the number of components as well as the losses in the system.
- 2.
- Optimizing the Load Resistance seen by the Receivers—The efficiency of a system with multiple receivers can be maximized by optimizing the load resistances seen by each of the receivers. The optimum value of the load resistances () can be given by the equation below [76]:where is the series resistance of the receiver and is the mutual inductance between the transmitter and the receiver. However, constant optimization of all the load resistances with variations in load and couplings requires a considerable control effort and sensing circuitry and hence is not very practical.
Efficiency Optimization of Multiple Receiver WPT Systems with Cross-Coupling among the Receivers
- —mutual inductance between the transmitter and the receiver coil.
- —mutual inductance between the and receiver coil.
- —series resistance of the transmitter coil (includes on-state resistance of switches and resistances (ESRs) of the transmitter coil and compensation capacitors).
- —series resistance of the receiver coil (includes series resistance of diodes and resistances (ESsR) of the receiver coil and compensation capacitors).
- —equivalent series compensation capacitance of the transmitter.
- —equivalent series compensation capacitance of the receiver.
- —coil inductance of the transmitter.
- —coil inductance of the receiver.
- —load resistance of the receiver.
- —peak value of the sinusoidal current flowing in the transmitter coil.
- —peak value of the sinusoidal current flowing in the receiver coil.
- —series reactance of the first receiver.
- —series reactance of the receiver.
3. Inverter, Rectifier, and Compensation Topologies for Wireless Power Transfer
3.1. Inverter Topologies
3.1.1. Class D Topology
3.1.2. Class E Topology
3.1.3. Class EF Topology
3.2. Rectifier Topologies
3.2.1. Class D Topology
3.2.2. Class E Topology
3.3. Transmitter Topologies with Constant Current Output
4. Coil Design
4.1. Improving Coupling Coefficient between Coils
4.2. Improving the Quality Factor of Coils
4.3. Self-Resonant Coils
4.4. Omnidirectional Wireless Power Transfer
- Multiple power sources used for multiple transmitter coils. Based on the location of the receiver, the amplitude and phase of the coil currents are controlled dynamically. This requires complicated external control circuits for measurements and feedback and can become expensive in practice.
- A single power source is connected to the transmitter. This technique is simpler to implement. However, the system can have blind spots where the coupling is much less.
4.4.1. Two-Dimensional Omnidirectional Wireless Power Transfer
4.4.2. Three-Dimensional Omnidirectional Wireless Power Transfer
4.5. Use of Ferrite Cores
4.6. Solenoidal Receiver Coils for Multiple Receiver Systems
5. Foreign Object Detection
- 1.
- Power difference method—The transmitted and received power are monitored. If the difference between them is higher than a set threshold, it indicates the presence of foreign objects. In this case, the transmitter stops delivering power to the receiver circuit.
- 2.
- Sensor method—Temperature and/or metal sensors are used to detect any anomaly in the transmission path. Anomalies detected by the sensors are communicated to the transmitter using load modulation. If the temperature sensed is higher than the threshold or there are metals present in the transmission path, the control circuit will shut down the power transmission.
- 3.
- Transient energy decay method—The transmitter is powered for a short time and then disabled to check the rate of transient energy decay. If this rate exceeds the set threshold, the presence of a foreign object is confirmed and the system is shut down.
6. EMC/EMI Issues and EMF Safety in Near-Field Wireless Power Transfer
6.1. De-Sense Caused by In-Band Noise and Shielding in Smartphones
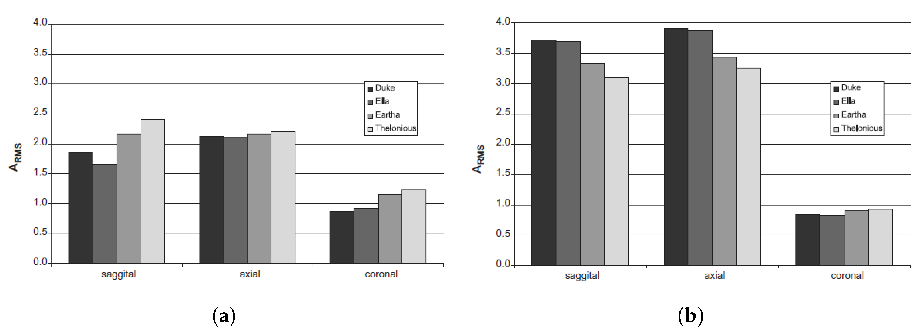
6.2. EMF Safety Standards
- 1.
- Frequency, intensity, and polarization of the EMF.
- 2.
- Type of EMF source (near-field or far-field).
- 3.
- Size, the internal and external geometry of the exposed body part, and the dielectric properties of various tissues.
- 4.
- Reflection effects of the field from objects in the vicinity of the exposed body.
- 1.
- Between 100 kHz and 20 MHz: with decreasing frequency, absorption reduces rapidly in the trunk, and significant absorption may happen in the neck and legs.
- 2.
- Between 20 kHz and 300 MHz: absorption over the whole body is high, and if partial resonances are considered, then it is even higher.
- 3.
- Between 300 MHz and 10 GHz: significant non-uniform, local absorption occurs.
- 4.
- Above 10 GHz: absorption occurs primarily at the surface of the body.
6.3. Studies on EMF Safety
7. Conclusions
Author Contributions
Funding
Data Availability Statement
Conflicts of Interest
References
- Nikola Tesla 1857–1943. Proc. IRE 1943, 31, 194–1943. [CrossRef]
- Tesla, N. High frequency oscillators for electro-therapeutic and other purposes. Proc. IEEE 1999, 87, 1282. [Google Scholar] [CrossRef]
- Garnica, J.; Chinga, R.A.; Lin, J. Wireless Power Transmission: From Far Field to Near Field. Proc. IEEE 2013, 101, 1321–1331. [Google Scholar] [CrossRef]
- Litz Wire. Available online: https://mwswire.com/specialty-wire/litz-wire/ (accessed on 12 January 2023).
- Ghahary, A.; Cho, B.H. Design of a transcutaneous energy transmission system using a series resonant converter. In Proceedings of the 21st Annual IEEE Conference on Power Electronics Specialists, San Antonio, TX, USA, 11–14 June 1990; pp. 1–8. [Google Scholar] [CrossRef]
- Joun, G.B.; Cho, B.H. An energy transmission system for an artificial heart using leakage inductance compensation of transcutaneous transformer. IEEE Trans. Power Electron. 1998, 13, 1013–1022. [Google Scholar] [CrossRef]
- Elliott, G.A.J.; Boys, J.T.; Green, A.W. Magnetically coupled systems for power transfer to electric vehicles. In Proceedings of the 1995 International Conference on Power Electronics and Drive Systems. PEDS 95, Singapore, 21–24 February 1995; Volume 2, pp. 797–801. [Google Scholar] [CrossRef]
- Green, A.W.; Boys, J.T. 10 kHz inductively coupled power transfer-concept and control. In Proceedings of the Fifth International Conference on Power Electronics and Variable-Speed Drives, London, UK, 26–28 October 1994; pp. 694–699. [Google Scholar] [CrossRef]
- Hui, S.Y.R. Planar Inductive Battery Charger. UK Patent GB2389720B, 7 September 2005. [Google Scholar]
- Kim, C.G.; Seo, D.H.; You, J.S.; Park, J.H.; Cho, B.H. Design of a contactless battery charger for cellular phone. In Proceedings of the Fifteenth Annual IEEE Applied Power Electronics Conference and Exposition (Cat. No.00CH37058), New Orleans, LA, USA, 6–10 February 2000; Volume 2, pp. 769–773. [Google Scholar] [CrossRef]
- Jang, Y.; Jovanovic, M.M. A contactless electrical energy transmission system for portable-telephone battery chargers. IEEE Trans. Ind. Electron. 2003, 50, 520–527. [Google Scholar] [CrossRef]
- Wong, C.S.; Duzgoren-Aydin, N.S.; Aydin, A.; Wong, M.H. Evidence of excessive releases of metals from primitive e-waste processing in Guiyu, China. Environ Pollut. 2007, 148, 62–72. [Google Scholar] [CrossRef]
- Hutin, M.; LeBlanc, M. Transformer Systems for Electric Railways. U.S. Patent US527857A, 23 October 1894. [Google Scholar]
- Schuder, J.C.; Stephenson, H.E.; Townsend, J.F. High level electromagnetic energy transfer through a closed chestwall. IRE Int. Conv. Rec. 1961, 9, 119–126. [Google Scholar]
- Brown, W.C. The history of wireless power transmission. Solar Energy 1996, 56, 3–21. [Google Scholar] [CrossRef]
- Niu, S.; Xu, H.; Sun, Z.; Shao, Z.Y.; Jian, L. The state-of-the-arts of wireless electric vehicle charging via magnetic resonance: Principles, standards and core technologies. Renew. Sustain. Energy Rev. 2019, 114, 109302. [Google Scholar] [CrossRef]
- Brown, W.C.; Triner, J.F. Experimental Thin-Film, Etched-Circuit Rectenna. In Proceedings of the IEEE MTT-S International Microwave Symposium Digest, Dallas, TX, USA, 15–17 June 1982; pp. 185–187. [Google Scholar] [CrossRef]
- Wang, C.S.; Stielau, O.H.; Covic, G.A. Design considerations for a contactless electric vehicle battery charger. IEEE Trans. Ind. Electron. 2005, 52, 1308–1314. [Google Scholar] [CrossRef]
- Kurs, A.; Moffatt, R.; Soljacic, M. Simultaneous mid-range power transfer to multiple devices. Appl. Phys. Lett. 2010, 96, 044102-1–044102-3. [Google Scholar] [CrossRef]
- Lee, S.; Huh, J.; Park, C.; Choi, N.S.; ChoG, H.; Rim, C.T. On-Line Electric Vehicle using inductive power transfer system. In Proceedings of the IEEE Energy Conversion Congress and Exposition, Atlanta, GA, USA, 12–16 September 2010; pp. 1598–1601. [Google Scholar] [CrossRef]
- Sample, A.P.; Yeager, D.J.; Powledge, P.S.; Mamishev, A.V.; Smith, J.R. Design of an RFID-Based Battery-Free Programmable Sensing Platform. IEEE Trans. Instrum. Meas. 2008, 57, 2608–2615. [Google Scholar] [CrossRef]
- Ullah, M.A.; Keshavarz, R.; Abolhasan, M.; Lipman, J.; Esselle, K.P.; Shariati, N. A Review on Antenna Technologies for Ambient RF Energy Harvesting and Wireless Power Transfer: Designs, Challenges and Applications. IEEE Access 2022, 10, 17231–17267. [Google Scholar] [CrossRef]
- Ishino, S.; Takano, I.; Yano, K.; Shinohara, N. Frequency-division techniques for microwave power transfer and wireless communication system with closed waveguide. In Proceedings of the 2016 IEEE Wireless Power Transfer Conference (WPTC), Aveiro, Portugal, 5–6 May 2016; pp. 1–4. [Google Scholar] [CrossRef]
- Putra, A.W.S.; Kato, H.; Maruyama, T. Hybrid Optical Wireless Power and Data Transmission System. In Proceedings of the IEEE PELS Workshop on Emerging Technologies: Wireless Power Transfer (WoW), Seoul, Republic of Korea, 15–19 November 2020; pp. 374–376. [Google Scholar] [CrossRef]
- So, E.; Yeon, P.; Chichilnisky, E.J.; Arbabian, A. An RF-Ultrasound Relay for Adaptive Wireless Powering Across Tissue Interfaces. IEEE J. Solid-State Circuits 2022, 57, 3429–3441. [Google Scholar] [CrossRef]
- Chang, C.K.; Da Silva, G.G.; Kumar, A.; Pervaiz, S.; Afridi, K.K. 30 W capacitive wireless power transfer system with 5.8 pF coupling capacitance. In Proceedings of the IEEE Wireless Power Transfer Conference (WPTC), Boulder, CO, USA, 13–15 May 2015; pp. 1–4. [Google Scholar] [CrossRef]
- Kim, M.; Choi, J. Design of High-frequency Resonant Inverter for Capacitive Wireless Power Transfer. In Proceedings of the IEEE 21st Workshop on Control and Modeling for Power Electronics (COMPEL), Aalborg, Denmark, 9–12 November 2020; pp. 1–7. [Google Scholar] [CrossRef]
- Kumar, A.; Pervaiz, S.; Chang, C.K.; Korhummel, S.; Popovic, Z.; Afridi, K.K. Investigation of power transfer density enhancement in large air-gap capacitive wireless power transfer systems. In Proceedings of the IEEE Wireless Power Transfer Conference (WPTC), 13–15 May 2015; pp. 1–4. [Google Scholar] [CrossRef]
- Rose, J.A.; Cates, J.A. Capacitive Charge Coupling with Dual Connector Assemblies and Charging System. U.S. Patent 5 714 864, 3 February 1998. [Google Scholar]
- Liu, C.; Hu, A.P. Steady state analysis of a capacitively coupled contactless power transfer system. In Proceedings of the IEEE Energy Conversion Congress and Exposition, San Jose, CA, USA, 20–24 September 2009; pp. 3233–3238. [Google Scholar] [CrossRef]
- Wahab, A.; Chong, T.E.; Min, L.K. Wireless pointing device using capacitive coupling. In Proceedings of the 1997 IEEE International Symposium on Consumer Electronics (Cat. No.97TH8348), Singapore, 2–4 December 1997; pp. 149–152. [Google Scholar] [CrossRef]
- Kline, M.; Izyumin, I.; Boser, B.; Sanders, S. Capacitive power transfer for contactless charging. In Proceedings of the Twenty-Sixth Annual IEEE Applied Power Electronics Conference and Exposition (APEC), Fort Worth, TX, USA, 6–11 March 2011; pp. 1398–1404. [Google Scholar] [CrossRef]
- Choi, J.; Tsukiyama, D.; Rivas, J. Comparison of SiC and eGaN devices in a 6.78 MHz 2.2 kW resonant inverter for wireless power transfer. In Proceedings of the IEEE Energy Conversion Congress and Exposition (ECCE), Milwaukee, WI, USA, 18–22 September 2016; pp. 1–6. [Google Scholar] [CrossRef]
- Stevanovic, L.D.; Matocha, K.S.; Losee, P.A.; Glaser, J.S.; Nasadoski, J.J.; Arthur, S.D. Recent advances in silicon carbide MOSFET power devices. In Proceedings of the Twenty-Fifth Annual IEEE Applied Power Electronics Conference and Exposition (APEC), Palm Springs, CA, USA, 21–25 February 2010; pp. 401–407. [Google Scholar] [CrossRef]
- Pandey, P.; Nelson, T.M.; Collings, W.M.; Hontz, M.R.; Georgiev, D.G.; Koehler, A.D.; Anderson, T.J.; Gallagher, J.C.; Foster, G.M.; Jacobs, A.; et al. A Simple Edge Termination Design for Vertical GaN P-N Diodes. IEEE Trans. Electron Devices 2022, 69, 5096–5103. [Google Scholar] [CrossRef]
- Choi, B.; Nho, J.; Cha, H.; Ahn, T.; Choi, S. Design and implementation of low-profile contactless battery charger using planar printed circuit board windings as energy transfer device. IEEE Trans. Ind. Electron. 2004, 51, 140–147. [Google Scholar] [CrossRef]
- Lillholm, M.B.; Dou, Y.; Chen, X.; Zhang, Z. Analysis and Design of 10-MHz Capacitive Power Transfer with Multiple Independent Outputs for Low-Power Portable Devices. IEEE J. Emerg. Sel. Top. Power Electron. 2022, 10, 149–159. [Google Scholar] [CrossRef]
- Yang, L.; Li, X.; Liu, S.; Xu, Z.; Cai, C. Analysis and Design of an LCCC/S-Compensated WPT System with Constant Output Characteristics for Battery Charging Applications. IEEE J. Emerg. Sel. Top. Power Electron. 2021, 9, 1169–1180. [Google Scholar] [CrossRef]
- Hui, S.Y.R.; Ho, W.C. A new generation of universal contactless battery charging platform for portable consumer electronic equipment. In Proceedings of the IEEE 35th Annual Power Electronics Specialists Conference (IEEE Cat. No.04CH37551), Aachen, Germany, 20–25 June 2004; Volume 1, pp. 638–644. [Google Scholar] [CrossRef]
- Zhong, W.X.; Liu, X.; Hui, S.Y.R. A Novel Single-Layer Winding Array and Receiver Coil Structure for Contactless Battery Charging Systems with Free-Positioning and Localized Charging Features. IEEE Trans. Ind. Electron. 2011, 58, 4136–4144. [Google Scholar] [CrossRef]
- Patil, D.; McDonough, M.K.; Miller, J.M.; Fahimi, B.; Balsara, P.T. Wireless Power Transfer for Vehicular Applications: Overview and Challenges. IEEE Trans. Transp. Electrif. 2018, 4, 3–37. [Google Scholar] [CrossRef]
- Regensburger, B.; Sinha, S.; Kumar, A.; Maji, S.; Afridi, K.K. High-Performance Multi-MHz Capacitive Wireless Power Transfer System for EV Charging Utilizing Interleaved-Foil Coupled Inductors. IEEE J. Emerg. Sel. Top. Power Electron. 2022, 10, 35–51. [Google Scholar] [CrossRef]
- Chinthavali, M.; Onar, O.C.; Campbell, S.L.; Tolbert, L.M. Integrated charger with wireless charging and boost functions for PHEV and EV applications. In Proceedings of the IEEE Transportation Electrification Conference and Expo (ITEC), Dearborn, MI, USA, 14–17 June 2015; pp. 1–8. [Google Scholar] [CrossRef]
- Wu, H.H.; Gilchrist, A.; Sealy, K.D.; Bronson, D. A High Efficiency 5 kW Inductive Charger for EVs Using Dual Side Control. IEEE Trans. Ind. Inform. 2012, 8, 585–595. [Google Scholar] [CrossRef]
- Nguyen, H.T.; Alsawalhi, J.Y.; Al Hosani, K.; Al-Sumaiti, A.S.; Al Jaafari, K.A.; Byon, Y.J.; El Moursi, M.S. Review Map of Comparative Designs for Wireless High-Power Transfer Systems in EV Applications: Maximum Efficiency, ZPA, and CC/CV Modes at Fixed Resonance Frequency Independent From Coupling Coefficient. IEEE Trans. Power Electron. 2022, 37, 4857–4876. [Google Scholar] [CrossRef]
- Kissin, M.L.G.; Ha, H.; Covic, G.A. A practical multiphase IPT system for AGV and roadway applications. In Proceedings of the IEEE Energy Conversion Congress and Exposition, Atlanta, GA, USA, 12–16 September 2010; pp. 1844–1850. [Google Scholar] [CrossRef]
- Kanazawa, H.; Uwai, H.; Kiuchi, S.; Matsumoto, H. Receiver-Position-Based Unbalanced-Current Control for a Three- to Single-Phase Wireless Power Transfer System for AGVs. IEEE Trans. Ind. Electron. 2023, 70, 3245–3256. [Google Scholar] [CrossRef]
- Zeng, Y.; Rong, C.; Lu, C.; Tao, X.; Liu, X.; Liu, R.; Liu, M. Misalignment Insensitive Wireless Power Transfer System Using a Hybrid Transmitter for Autonomous Underwater Vehicles. IEEE Trans. Ind. Appl. 2022, 58, 1298–1306. [Google Scholar] [CrossRef]
- Choi, J.; Tsukiyama, D.; Tsuruda, Y.; Davila, J.M.R. High-Frequency, High-Power Resonant Inverter with eGaN FET for Wireless Power Transfer. IEEE Trans. Power Electron. 2018, 33, 1890–1896. [Google Scholar] [CrossRef]
- Arteaga, J.M.; Aldhaher, S.; Kkelis, G.; Kwan, C.; Yates, D.C.; Mitcheson, P.D. Dynamic Capabilities of Multi-MHz Inductive Power Transfer Systems Demonstrated with Batteryless Drones. IEEE Trans. on Power Electron. 2019, 34, 5093–5104. [Google Scholar] [CrossRef]
- Baker, M.W.; Sarpeshkar, R. Feedback Analysis and Design of RF Power Links for Low-Power Bionic Systems. IEEE Trans. Biomed. Circuits Syst. 2007, 1, 28–38. [Google Scholar] [CrossRef]
- Mandal, S.; Sarpeshkar, R. Power-Efficient Impedance-Modulation Wireless Data Links for Biomedical Implants. IEEE Trans. Biomed. Circuits Syst. 2008, 2, 301–315. [Google Scholar] [CrossRef]
- Li, P.; Principe, J.C.; Bashirullah, R. A Wireless Power Interface for Rechargeable Battery Operated Neural Recording Implants. In Proceedings of the International Conference of the IEEE Engineering in Medicine and Biology Society, New York, NY, USA, 30 August–3 September 2006; pp. 6253–6256. [Google Scholar] [CrossRef]
- Rong, C.; Zhang, B.; Wei, Z.; Wu, L.; Shu, X. A Wireless Power Transfer System for Spinal Cord Stimulation Based on Generalized Parity–Time Symmetry Condition. IEEE Trans. Ind. Appl. 2022, 58, 1330–1339. [Google Scholar] [CrossRef]
- Roy, S.; Azad, A.N.M.W.; Baidya, S.; Alam, M.K.; Khan, F. Powering Solutions for Biomedical Sensors and Implants Inside the Human Body: A Comprehensive Review on Energy Harvesting Units, Energy Storage, and Wireless Power Transfer Techniques. IEEE Trans. Power Electron. 2022, 37, 12237–12263. [Google Scholar] [CrossRef]
- Choi, J.; Ooue, Y.; Furukawa, N.; Rivas, J. Designing a 40.68 MHz power-combining resonant inverter with eGaN FETs for plasma generation. In Proceedings of the IEEE Energy Conversion Congress and Exposition (ECCE), Portland, OR, USA, 23–27 September 2018; pp. 1322–1327. [Google Scholar] [CrossRef]
- Elliott, G.A.J.; Covic, G.A.; Kacprzak, D.; Boys, J.T. A New Concept: Asymmetrical Pick-Ups for Inductively Coupled Power Transfer Monorail Systems. IEEE Trans. Magn. 2006, 42, 3389–3391. [Google Scholar] [CrossRef]
- Wu, H.H.; Boys, J.; Covic, G.; Ren, S.; Hu, P. An AC processing pickup for IPT systems. In Proceedings of the IEEE Energy Conversion Congress and Exposition, San Jose, CA, USA, 20–24 September 2009; pp. 840–846. [Google Scholar] [CrossRef]
- Keeling, N.A.; Covic, G.A.; Boys, J.T. A Unity-Power-Factor IPT Pickup for High-Power Applications. IEEE Trans. Ind. Electron. 2010, 57, 744–751. [Google Scholar] [CrossRef]
- Hu, A.P.; Liu, C.; Li, H.L. A Novel Contactless Battery Charging System for Soccer Playing Robot. In Proceedings of the 15th International Conference on Mechatronics and Machine Vision in Practice, Auckland, New Zealand, 2–4 December 2008; pp. 646–650. [Google Scholar] [CrossRef]
- Infineon Application Brochure Wireless Charging Update. Available online: https://www.infineon.com/dgdl/Infineon-WirelessCharging-ApplicationBrochure-v06_00-EN.pdf?fileId=5546d4625b0fb03b015b0fd1aab50000 (accessed on 12 January 2023).
- Liu, J.; Xu, F.; Sun, C.; Loo, K.H. A Compact Single-Phase AC–DC Wireless Power Transfer Converter with Active Power Factor Correction. IEEE Trans. Ind. Electron. 2023, 70, 3685–3696. [Google Scholar] [CrossRef]
- Liu, J.; Xu, F.; Sun, C.; Loo, K.H. A Soft-Switched Power-Factor-Corrected Single-Phase Bidirectional AC–DC Wireless Power Transfer Converter with an Integrated Power Stage. IEEE Trans. Power Electron. 2022, 37, 10029–10044. [Google Scholar] [CrossRef]
- Jiang, L.; Costinett, D. A High-Efficiency GaN-Based Single-Stage 6.78 MHz Transmitter for Wireless Power Transfer Applications. IEEE Trans. Power Electron. 2019, 34, 7677–7692. [Google Scholar] [CrossRef]
- Cochran, S.; Costinett, D. Wide-Range Stability of Concurrent Load Regulation and Frequency Synchronization for a 7-Level Switched Capacitor WPT Rectifier. In Proceedings of the IEEE PELS Workshop on Emerging Technologies: Wireless Power Transfer (WoW), San Diego, CA, USA, 1–4 June 2021; pp. 1–6. [Google Scholar] [CrossRef]
- Detka, K.; Górecki, K. Wireless Power Transfer—A Review. Energies 2022, 15, 7236. [Google Scholar] [CrossRef]
- Sun, L.; Ma, D.; Tang, H. A review of recent trends in wireless power transfer technology and its applications in electric vehicle wireless charging. Renew. Sustain. Energy Rev. 2018, 91, 490–503. [Google Scholar] [CrossRef]
- Alphones, A.; Jayathurathnage, P. Review on wireless power transfer technology (invited paper). In Proceedings of the IEEE Asia Pacific Microwave Conference (APMC), Kuala Lumpur, Malaysia, 13–16 November 2017; pp. 326–329. [Google Scholar] [CrossRef]
- Fang, Y.; Pong, B.M.H.; Hui, R.S.Y. An Enhanced Multiple Harmonics Analysis Method for Wireless Power Transfer Systems. IEEE Trans. Power Electron. 2020, 35, 1205–1216. [Google Scholar] [CrossRef]
- Laha, A.; Kalathy, A.; Jain, P. Frequency Domain Analysis of a Wireless Power Transfer System Operating in a Wide Load and Coupling Range Using Frequency Modulation of Inverter for Voltage Regulation. In Proceedings of the IEEE Applied Power Electronics Conference and Exposition (APEC), Houston, TX, USA, 20–24 March 2022; pp. 1891–1897. [Google Scholar] [CrossRef]
- Fang, Y.; Pong, B.M.H. Multiple Harmonics Analysis for Variable Frequency Asymmetrical Pulsewidth-Modulated Wireless Power Transfer Systems. IEEE Trans. Industrial Electron. 2019, 66, 4023–4030. [Google Scholar] [CrossRef]
- Laha, A.; Jain, P. Maximizing Efficiency while maintaining Voltage Regulation of Wireless Power Transfer Systems using a Buck-Boost Converter. In Proceedings of the IEEE Applied Power Electronics Conference and Exposition (APEC), Phoenix, AZ, USA, 14–17 June 2021; pp. 700–705. [Google Scholar] [CrossRef]
- Safaee, A.; Woronowicz, K. Time-Domain Analysis of Voltage-Driven Series–Series Compensated Inductive Power Transfer Topology. IEEE Trans. Power Electron. 2017, 32, 4981–5003. [Google Scholar] [CrossRef]
- Laha, A.; Jain, P. Time Domain Modelling of a Wireless Power Transfer System using a Buck-Boost Converter for Voltage Regulation. In Proceedings of the IEEE Wireless Power Transfer Conference (WPTC), San Diego, CA, USA, 1–4 June 2021; pp. 1–4. [Google Scholar] [CrossRef]
- Laha, A. Modelling and Efficiency Optimization of Wireless Power Transfer Systems having One or Two Receivers. Master’s Thesis, Department of Electrical and Computer Engineering, Queen’s University, Kingston, ON, Canada, September 2020. [Google Scholar]
- Fu, M.; Zhang, T.; Ma, C.; Zhu, X. Efficiency and Optimal Loads Analysis for Multiple-Receiver Wireless Power Transfer Systems. IEEE Trans. Microw. Theory Tech. 2015, 63, 801–812. [Google Scholar] [CrossRef]
- Yao, Y.; Wang, Y.; Liu, X.; Lin, F.; Xu, D. A Novel Parameter Tuning Method for a Double-Sided LCL Compensated WPT System with Better Comprehensive Performance. IEEE Trans. Power Electron. 2018, 33, 8525–8536. [Google Scholar] [CrossRef]
- Deng, J.; Mao, Q.; Wang, W.; Li, L.; Wang, Z.; Wang, S.; Guidi, G. Frequency and Parameter Combined Tuning Method of LCC–LCC Compensated Resonant Converter with Wide Coupling Variation for EV Wireless Charger. IEEE J. Emerg. Sel. Top. Power Electron. 2022, 10, 956–968. [Google Scholar] [CrossRef]
- Deng, J.; Li, W.; Nguyen, T.D.; Li, S.; Mi, C.C. Compact and Efficient Bipolar Coupler for Wireless Power Chargers: Design and Analysis. IEEE Trans. Power Electron. 2015, 30, 6130–6140. [Google Scholar] [CrossRef]
- Wang, Y.; Yao, Y.; Liu, X.; Xu, D.; Cai, L. An LC/S Compensation Topology and Coil Design Technique for Wireless Power Transfer. IEEE Trans. Power Electron. 2018, 33, 2007–2025. [Google Scholar] [CrossRef]
- Sugiyama, R.; Duong, Q.; Okada, M. kQ-product analysis of multiple-receiver inductive power transfer with cross-coupling. In Proceedings of the International Workshop on Antenna Technology: Small Antennas, Innovative Structures, and Applications (iWAT), Athens, Greece, 1–3 March 2017; pp. 327–330. [Google Scholar] [CrossRef]
- Wang, Y.; Wang, H.; Liang, T.; Zhang, X.; Xu, D.; Cai, L. Analysis and design of an LCC/S compensated resonant converter for inductively coupled power transfer. In Proceedings of the IEEE Transportation Electrification Conference and Expo, Asia-Pacific (ITEC Asia-Pacific), Harbin, China, 7–10 August 2017; pp. 1–5. [Google Scholar] [CrossRef]
- Li, S.; Li, W.; Deng, J.; Nguyen, T.D.; Mi, C.C. A Double-Sided LCC Compensation Network and Its Tuning Method for Wireless Power Transfer. IEEE Trans. Veh. Technol. 2015, 64, 2261–2273. [Google Scholar] [CrossRef]
- Campi, T.; Cruciani, S.; Maradei, F.; Feliziani, M. Near-Field Reduction in a Wireless Power Transfer System Using LCC Compensation. IEEE Trans. Electromagn. Compat. 2017, 59, 686–694. [Google Scholar] [CrossRef]
- Hui, S.Y. Planar Wireless Charging Technology for Portable Electronic Products and Qi. Proc. IEEE 2013, 101, 1290–1301. [Google Scholar] [CrossRef]
- Zhong, W.; Hui, S.Y. Reconfigurable Wireless Power Transfer Systems with High Energy Efficiency Over Wide Load Range. IEEE Trans. Power Electron. 2018, 33, 6379–6390. [Google Scholar] [CrossRef]
- Patil, D.; Sirico, M.; Gu, L.; Fahimi, B. Maximum efficiency tracking in wireless power transfer for battery charger: Phase shift and frequency control. In Proceedings of the IEEE Energy Conversion Congress and Exposition (ECCE), Milwaukee, WI, USA, 18–22 September 2016 pp. 1–8. [Google Scholar] [CrossRef]
- Choi, J.; Xu, J.; Makhoul, R.; Davila, J.M.R. Implementing an Impedance Compression Network to Compensate for Misalignments in a Wireless Power Transfer System. IEEE Trans. Power Electron. 2019, 34, 4173–4184. [Google Scholar] [CrossRef]
- Zhong, W.X.; Hui, S.Y.R. Maximum Energy Efficiency Tracking for Wireless Power Transfer Systems. IEEE Trans. Power Electron. 2015, 30, 4025–4034. [Google Scholar] [CrossRef]
- Zhong, W.; Lee, C.K.; Hui, S.Y.R. General Analysis on the Use of Tesla’s Resonators in Domino Forms for Wireless Power Transfer. IEEE Trans. Ind. Electron. 2013, 60, 261–270. [Google Scholar] [CrossRef]
- Li, H.; Li, J.; Wang, K.; Chen, W.; Yang, X. A Maximum Efficiency Point Tracking Control Scheme for Wireless Power Transfer Systems Using Magnetic Resonant Coupling. IEEE Trans. Power Electron. 2015, 30, 3998–4008. [Google Scholar] [CrossRef]
- Fu, M.; Yin, H.; Liu, M.; Wang, Y.; Ma, C. A 6.78 MHz Multiple-Receiver Wireless Power Transfer System with Constant Output Voltage and Optimum Efficiency. IEEE Trans. Power Electron. 2018, 33, 5330–5340. [Google Scholar] [CrossRef]
- Ahn, D.; Hong, S. Effect of Coupling between Multiple Transmitters or Multiple Receivers on Wireless Power Transfer. IEEE Trans. Ind. Electron. 2013, 60, 2602–2613. [Google Scholar] [CrossRef]
- Fu, M.; Zhang, T.; Zhu, X.; Luk, P.C.; Ma, C. Compensation of Cross Coupling in Multiple-Receiver Wireless Power Transfer Systems. IEEE Trans. Ind. Inform. 2016, 12, 474–482. [Google Scholar] [CrossRef]
- Pantic, Z.; Lee, K.; Lukic, S.M. Receivers for Multifrequency Wireless Power Transfer: Design for Minimum Interference. IEEE J. Emerg. Sel. Top. Power Electron. 2015, 3, 234–241. [Google Scholar] [CrossRef]
- Zhong, W.; Hui, S.Y.R. Auxiliary Circuits for Power Flow Control in Multifrequency Wireless Power Transfer Systems with Multiple Receivers. IEEE Trans. Power Electron. 2015, 30, 5902–5910. [Google Scholar] [CrossRef]
- Zhang, Y.; Lu, T.; Zhao, Z.; He, F.; Chen, K.; Yuan, L. Selective Wireless Power Transfer to Multiple Loads Using Receivers of Different Resonant Frequencies. IEEE Trans. Power Electron. 2015, 30, 6001–6005. [Google Scholar] [CrossRef]
- Moreland, C. Coil Basics. 2006. Available online: http://www.geotech1.com/pages/metdet/info/coils.pdf (accessed on 6 February 2023).
- Pratik, U.; Varghese, B.J.; Azad, A.; Pantic, Z. Optimum Design of Decoupled Concentric Coils for Operation in Double-Receiver Wireless Power Transfer Systems. IEEE J. Emerg. Sel. Top. Power Electron. 2019, 7, 1982–1998. [Google Scholar] [CrossRef]
- Zhuo, K.; Luo, B.; Zhang, Y.; Zuo, Y. Multiple receivers wireless power transfer systems using decoupling coils to eliminate cross-coupling and achieve selective target power distribution. IEICE Electron. Express 2019, 16, 20190491. [Google Scholar] [CrossRef]
- Kim, Y.; Ha, D.; Chappell, W.J.; Irazoqui, P.P. Selective Wireless Power Transfer for Smart Power Distribution in a Miniature-Sized Multiple-Receiver System. IEEE Trans. Ind. Electron. 2016, 63, 1853–1862. [Google Scholar] [CrossRef]
- Fu, M.; Yin, H.; Ma, C. Megahertz Multiple-Receiver Wireless Power Transfer Systems with Power Flow Management and Maximum Efficiency Point Tracking. IEEE Trans. Microw. Theory Tech. 2017, 65, 4285–4293. [Google Scholar] [CrossRef]
- Song, J.; Liu, M.; Ma, C. Analysis and Design of a High-Efficiency 6.78-MHz Wireless Power Transfer System with Scalable Number of Receivers. IEEE Trans. Ind. Electron. 2020, 67, 8281–8291. [Google Scholar] [CrossRef]
- Cui, D.; Imura, T.; Hori, Y. Cross coupling cancellation for all frequencies in multiple-receiver wireless power transfer systems. In Proceedings of the International Symposium on Antennas and Propagation (ISAP), Okinawa, Japan, 24–28 October 2016; pp. 48–49. [Google Scholar]
- Dai, X.; Li, X.; Li, Y. Cross-coupling coefficient estimation between multi-receivers in WPT system. In Proceedings of the IEEE PELS Workshop on Emerging Technologies: Wireless Power Transfer (WoW), Chongqing, China, 20–22 May 2017; pp. 1–4. [Google Scholar] [CrossRef]
- Xie, X.; Xie, C.; Li, Y.; Wang, J.; Du, Y.; Li, L. Adaptive Decoupling between Receivers of Multireceiver Wireless Power Transfer System Using Variable Switched Capacitor. IEEE Trans. Transp. Electrif. 2021, 7, 2143–2155. [Google Scholar] [CrossRef]
- Ishihara, M.; Fujiki, K.; Umetani, K.; Hiraki, E. Autonomous System Concept of Multiple-Receiver Inductive Coupling Wireless Power Transfer for Output Power Stabilization Against Cross-Interference Among Receivers and Resonance Frequency Tolerance. IEEE Trans. Ind. Appl. 2021, 57, 3898–3910. [Google Scholar] [CrossRef]
- Laha, A.; Kalathy, A.; Jain, P. Efficiency Optimization of Wireless Power Transfer Systems having Multiple Receivers with Cross-Coupling by Resonant Frequency Adjustment of Receivers. In Proceedings of the IEEE Energy Conversion Congress and Exposition (ECCE), Vancouver, BC, Canada, 10–14 October 2021; pp. 5735–5742. [Google Scholar] [CrossRef]
- Laha, A.; Kalathy, A.; Pahlevani, M.; Jain, P. A Real-Time Maximum Efficiency Tracker for Wireless Power Transfer Systems with Cross-Coupling. Electronics 2022, 11, 3928. [Google Scholar] [CrossRef]
- de Rooij, M.A. The ZVS voltage-mode class-D amplifier, an eGaN® FET-enabled topology for highly resonant wireless energy transfer. In Proceedings of the IEEE Applied Power Electronics Conference and Exposition (APEC), Charlotte, NC, USA, 15–19 March 2015; pp. 1608–1613. [Google Scholar] [CrossRef]
- Peng, K.; Santi, E. Class E resonant inverter optimized design for high frequency (MHz) operation using eGaN HEMTs. In Proceedings of the IEEE Applied Power Electronics Conference and Exposition (APEC), Charlotte, NC, USA, 15–19 March 2015; pp. 2469–2473. [Google Scholar] [CrossRef]
- Pinuela, M.; Yates, D.C.; Lucyszyn, S.; Mitcheson, P.D. Maximizing DC-to-Load Efficiency for Inductive Power Transfer. IEEE Trans. Power Electron. 2013, 28, 2437–2447. [Google Scholar] [CrossRef]
- Aldhaher, S.; Yates, D.C.; Mitcheson, P.D. Load-Independent Class E/EF Inverters and Rectifiers for MHz-Switching Applications. IEEE Trans. Power Electron. 2018, 33, 8270–8287. [Google Scholar] [CrossRef]
- Choi, J.; Liang, W.; Raymond, L.; Rivas, J. A High-Frequency Resonant Converter Based on the Class Phi2 Inverter for Wireless Power Transfer. In Proceedings of the IEEE 79th Vehicular Technology Conference (VTC Spring), Seoul, Republic of Korea, 18–21 May 2014; pp. 1–5. [Google Scholar] [CrossRef]
- Hamill, D.C. Class DE inverters and rectifiers for DC-DC conversion. In Proceedings of the PESC Record. 27th Annual IEEE Power Electronics Specialists Conference, Baveno, Italy, 23–27 June 1996; pp. 854–860. [Google Scholar] [CrossRef]
- Kkelis, G.; Yates, D.C.; Mitcheson, P.D. Comparison of current driven Class-D and Class-E half-wave rectifiers for 6.78 MHz high power IPT applications. In Proceedings of the IEEE Wireless Power Transfer Conference (WPTC), Boulder, CO, USA, 13–15 May 2015; pp. 1–4. [Google Scholar] [CrossRef]
- Jiang, L.; Costinett, D. A GaN-Based 6.78 MHz Single-Stage Transmitter with Constant Output Current for Wireless Power Transfer. In Proceedings of the IEEE PELS Workshop on Emerging Technologies: Wireless Power Transfer (Wow), Montreal, QC, Canada, 3–7 June 2018; pp. 1–6. [Google Scholar] [CrossRef]
- Jiang, L.; Tamjid, F.; Zhao, C.; Costinett, D.; Fath, A.; Yang, S. A GaN-based 100 W two-stage wireless power transmitter with inherent current source output. In Proceedings of the IEEE PELS Workshop on Emerging Technologies: Wireless Power Transfer (WoW), Knoxville, TN, USA, 4–6 October 2016; pp. 65–72. [Google Scholar] [CrossRef]
- Zierhofer, C.M.; Hochmair, E.S. Geometric approach for coupling enhancement of magnetically coupled coils. IEEE Trans. Biomed. Eng. 1996, 43, 708–714. [Google Scholar] [CrossRef] [PubMed]
- Akyel, C.; Babic, S.; Mahmoudi, M. Mutual Inductance Calculation for Non-Coaxial Circular Air Coils with Parallel Axes. Prog. Electromagn. Res. 2009, 91, 287–301. [Google Scholar] [CrossRef]
- Mohan, S.S.; Hershenson, M.D.M.; Boyd, S.P.; Lee, T.H. Simple accurate expressions for planar spiral inductances. IEEE J. Solid-State Circuits 1999, 34, 1419–1424. [Google Scholar] [CrossRef]
- Liu, X.; Hui, S.Y. Optimal Design of a Hybrid Winding Structure for Planar Contactless Battery Charging Platform. IEEE Trans. Power Electron. 2008, 23, 455–463. [Google Scholar] [CrossRef]
- Li, J.; Sun, J.; Qin, R.; Costinett, D. Transmitter Coil Design for Multi-load Wireless Power Transfer Systems. In Proceedings of the IEEE Energy Conversion Congress and Exposition (ECCE), Detroit, MI, USA, 11–15 October 2020; pp. 1032–1038. [Google Scholar] [CrossRef]
- Sharma, A.; Singh, G.; Bhatnagar, D.; Zuazola, I.J.G.; Perallos, A. Magnetic field forming Using Planar Multicoil Antenna to Generate Orthogonal H-Field Components. IEEE Trans. Antennas Propag. 2017, 65, 2906–2915. [Google Scholar] [CrossRef]
- Mizuno, T.; Yachi, S.; Kamiya, A.; Yamamoto, D. Improvement in Efficiency of Wireless Power Transfer of Magnetic Resonant Coupling Using Magnetoplated Wire. IEEE Trans. Magn. 2011, 47, 4445–4448. [Google Scholar] [CrossRef]
- Li, J.; Costinett, D. Analysis and design of a series self-resonant coil for wireless power transfer. In Proceedings of the IEEE Applied Power Electronics Conference and Exposition (APEC), San Antonio, TX, USA, 4–8 March 2018; pp. 1052–1059. [Google Scholar] [CrossRef]
- Qin, R.; Costinett, D. Multi-layer Non-uniform Series Self-resonant Coil for Wireless Power Transfer. In Proceedings of the IEEE Energy Conversion Congress and Exposition (ECCE), Baltimore, MD, USA, 29 September–3 October 2019; pp. 3333–3339. [Google Scholar] [CrossRef]
- Allama, O.; Habaebi, M.H.; Khan, S.; Elsheikh, E.A.A.; Suliman, F.E.M. 2D Omni-Directional Wireless Power Transfer Modeling for Unmanned Aerial Vehicles with Noncollaborative Charging System Control. Electronics 2021, 10, 2858. [Google Scholar] [CrossRef]
- Houran, M.A.; Yang, X.; Chen, W.; Li, X. Design and analysis of coaxial cylindrical WPT coils for two-degree-of-freedom applications. J. Phys. Appl. Phys. 2020, 53, 495004. [Google Scholar] [CrossRef]
- Ha-Van, N.; Liu, Y.; Jayathurathnage, P.; Simovski, C.R.; Tretyakov, S.A. Cylindrical Transmitting Coil for Two-Dimensional Omnidirectional Wireless Power Transfer. IEEE Trans. Ind. Electron. 2022, 69, 10045–10054. [Google Scholar] [CrossRef]
- Lin, D.; Zhang, C.; Hui, S.Y.R. Mathematical Analysis of Omnidirectional Wireless Power Transfer—Part-I: Two-Dimensional Systems. IEEE Trans. Power Electron. 2017, 32, 625–633. [Google Scholar] [CrossRef]
- Lin, D.; Zhang, C.; Hui, S.Y.R. Mathematic Analysis of Omnidirectional Wireless Power Transfer—Part-II Three-Dimensional Systems. IEEE Trans. Power Electron. 2017, 32, 613–624. [Google Scholar] [CrossRef]
- Ng, W.M.; Zhang, C.; Lin, D.; Hui, S.Y.R. Two- and Three-Dimensional Omnidirectional Wireless Power Transfer. IEEE Trans. Power Electron. 2014, 29, 4470–4474. [Google Scholar] [CrossRef]
- Feng, J.; Li, Q.; Lee, F.C.; Fu, M. Transmitter Coils Design for Free-Positioning Omnidirectional Wireless Power Transfer System. IEEE Trans. Ind. Inform. 2019, 15, 4656–4664. [Google Scholar] [CrossRef]
- Kim, J.; Kim, D.H.; Choi, J.; Kim, K.H.; Park, Y.J. Free-Positioning Wireless Charging System for Small Electronic Devices Using a Bowl-Shaped Transmitting Coil. IEEE Trans. Microw. Theory Tech. 2015, 63, 791–800. [Google Scholar] [CrossRef]
- Zhang, Z.; Zhang, B. Angular-Misalignment Insensitive Omnidirectional Wireless Power Transfer. IEEE Trans. Ind. Electron. 2020, 67, 2755–2764. [Google Scholar] [CrossRef]
- Kim, J.; Kim, J.; Kong, S.; Kim, H.; Suh, I.S.; Suh, N.P.; Ahn, S. Coil Design and Shielding Methods for a Magnetic Resonant Wireless Power Transfer System. Proc. IEEE 2013, 101, 1332–1342. [Google Scholar] [CrossRef]
- Shao, Y.; Liu, M.; Ma, C. A Multi-Receiver MHz WPT System with Hybrid Coupler. In Proceedings of the IEEE PELS Workshop on Emerging Technologies: Wireless Power Transfer (WoW), San Diego, CA, USA, 1–4 June 2021; pp. 1–6. [Google Scholar] [CrossRef]
- Jeong, N.S.; Carobolante, F. Wireless Charging of a Metal-Body Device. IEEE Trans. Microw. Theory Tech. 2017, 65, 1077–1086. [Google Scholar] [CrossRef]
- International Commission on Non-Ionizing Radiation Protection (ICNIRP). Guidelines for limiting exposure to electromagnetic fields (100 kHz to 300 GHz). Health Phys. 2020, 118, 483–524. [Google Scholar] [CrossRef]
- IEEE Std C95.1-2005; IEEE Standard for Safety Levels with Respect to Human Exposure to Radio Frequency Electromagnetic Fields, 3 kHz to 300 GHz; Revision of IEEE Std C95.1-1991. IEEE: Piscataway, NJ, USA, 2006; pp. 1–238. [CrossRef]
- Bilbao, S.D.M.; Roldán, J.; García, J.; Ramos, V.; Fernández, J.; Suárez, Ó.J. Assessment of exposure from Wi-Fi devices. In Proceedings of the 2014 IEEE International Symposium on Medical Measurements and Applications (MeMeA), Lisboa, Portugal, 11–12 June 2014; pp. 1–4. [Google Scholar] [CrossRef]
- Durney, C.H.; Massoudi, H.; Iskander, M.F. Radiofrequency Radiation Dosimetry Handbook, 4th ed.; Report No. TR-85-73; USAF School of Aerospace Medicine: San Antonio, TX, USA, 1986. [Google Scholar]
- Christ, A.; Douglas, M.G.; Roman, J.M.; Cooper, E.B.; Sample, A.P.; Waters, B.H.; Smith, J.R.; Kuster, N. Evaluation of Wireless Resonant Power Transfer Systems with Human Electromagnetic Exposure Limits. IEEE Trans. Electromagn. Compat. 2013, 55, 265–274. [Google Scholar] [CrossRef]
























| Era | Important Works |
|---|---|
| 1900s and before | Tesla laid down the theoretical foundation and demonstrated wireless power transfer between resonating coils. Hutin and LeBlanc wrote a patent for a WPT system for electric railways in 1894 [13]. |
| 1960s | Shuder [14] worked on high-frequency resonant WPT systems for use in medical devices. William C. Brown [15] demonstrated radiative power transfer by using solar cells mounted on satellites which transmitted power to Earth by microwave beaming. |
| 1970s | In 1976, the Lawrence Berkley National Laboratory tested the feasibility of dynamic wireless charging for the first time [16]. |
| 1980s | In 1981, Brown [17] developed a thin-film rectenna that was suitable for airborne applications. |
| 1990s | Boys, Green, and Covic [8] developed dynamic IPT systems for material handling applications. |
| Early 2000s | Boys and Covic [18] developed IPT systems for automated guided vehicles and buses. Hui worked on the development of planar inductive battery chargers for mobile devices [9]. |
| Mid 2000s | Soljacic demonstrated Tesla’s magnetic resonant coupling theory by wirelessly transferring 60 W of power over a distance of 2 m [19]. Public interest in this experiment led to the development of a company named WiTricity. |
| Late 2000s | Dynamic wireless charging of electric vehicles was researched at Korea Advanced Institute of Science and Technology (KAIST) in 2009 [20]. |
| Early 2010s | Qi standard is released which is the most widely adopted charging standard for inductive chargers. |
| Mid 2010s | Airfuel alliance was formed after Alliance For Wireless Power was merged with the Power Matters Alliance. |
| Late 2010s to today | SAE charging standards for wireless charging of electric vehicles were developed. |
| Inductive Coupling | Capacitive Coupling |
|---|---|
| Uses time-varying magnetic fields. | Uses time-varying electric fields. |
| Magnetic fields flow through the coils and loop back to the source. | Electric fields start and terminate at the conductive plates. |
| The magnetic field path needs to be monitored and guided and hence ferrites are needed. | Electric fields are constrained and hence do not require ferrites. |
| More sensitive to misalignment. | More tolerant of misalignment. |
| Induced voltages depend on the permeability of free space. | Displacement currents depend on the permittivity of free space. |
| Less sensitive to parameter variations. | More sensitive to parameter variations. |
| For the same power level and distance, the size of couplers is less for IPT. | For the same power level and distance, the size of couplers is more for CPT. |
| Standard | Qi (Single Transmitter) | Qi (Multiple Transmitter) | AirFuel |
|---|---|---|---|
| Frequency | 100–205 kHz | 100–205 kHz | 6.78 MHz |
| Positioning of receiver | Exact | Flexible in horizontal directions | Free positioning (up to 3 cm vertical freedom) |
| Number of receivers | One | One | Multiple (up to eight) |
| Rx-Tx communication | In-band | In-band | Bluetooth or In-band |
| Technique | Simultaneous Power Delivery to Multiple Devices | Need for Estimation of Load and Coupling | Ability to Incorporate Additional Receivers | Design Complexity | Range of Operation (Load and Coupling) | Communication Network Requirement |
|---|---|---|---|---|---|---|
| Multi-resonant [95,96,97] | Yes | No | Yes (no. of receivers is based on the availability of frequencies) | Medium (requires extra circuits to avoid interfering with other frequencies) | Narrow | Yes |
| Coil decoupling [98,99,100] | Yes | No | No (has to be designed specifically for a given number of receivers) | Medium (complicated for more than two receivers) | Narrow | No |
| Time-division multiplexing [101,102] | No | No | Yes | Low | Wide | Yes |
| Passive compensation [103] | Yes | No | No (coils and compensation networks need to be redesigned for more receivers) | Low | Narrow | No |
| Active compensation technique [94,104] | Yes | Yes | Yes (more receivers increase the number of parameters to be estimated) | High (estimation algorithms could be computationally intensive) | Wide | Yes |
| Current quadrature technique [106,107] | Yes | No | Yes (however, receivers require the phase angle of the transmitter current to be communicated to them) | Medium (needs switched capacitor networks or tuning-assisted circuits for orthogonalization of currents) | Narrow | Yes |
| Topology | Class D | Class E | Class EF |
|---|---|---|---|
| No. of switches | Two | One | One |
| High side gate drive | Required. | Not required. | Not required. |
| Switching frequency range | Typically in the range of kHz to a few MHz. | Tens of MHz (typically 6.78 MHz or 13.56 MHz). | Tens of MHz (typically 6.78 MHz or 13.56 MHz). |
| Peak voltage stress on switches | Input voltage. | 3.56 times the input voltage. | 2.31 times the input voltage when the added resonant tank is tuned to twice the switching frequency. |
| Number of passive components | Two (one inductor and one capacitor). | Four (two inductors and two capacitors). | Six (three inductors and three capacitors). |
| Soft switching dependence on load | ZVS can be obtained independent of load in lagging power factor operation. | ZVS or ZVDS is load-dependent. | Load-independent soft switching can be achieved when the added resonant tank is tuned to 1.5 times the switching frequency. |
| Guideline | Average Mass | Body Region | General Public (W/kg) | Occupational (W/kg) |
|---|---|---|---|---|
| ICNIRP | 10 g contiguous volume | Head and trunk | 2 | 4 |
| Limbs | 4 | 20 | ||
| Whole body | 0.08 | 0.4 | ||
| IEEE | 10 g cubical volume | All but extremities and pinna | 2 | 10 |
| Extremities and pinna | 4 | 20 | ||
| Whole body | 0.08 | 0.4 | ||
Disclaimer/Publisher’s Note: The statements, opinions and data contained in all publications are solely those of the individual author(s) and contributor(s) and not of MDPI and/or the editor(s). MDPI and/or the editor(s) disclaim responsibility for any injury to people or property resulting from any ideas, methods, instructions or products referred to in the content. |
© 2023 by the authors. Licensee MDPI, Basel, Switzerland. This article is an open access article distributed under the terms and conditions of the Creative Commons Attribution (CC BY) license (https://creativecommons.org/licenses/by/4.0/).
Share and Cite
Laha, A.; Kalathy, A.; Pahlevani, M.; Jain, P. A Comprehensive Review on Wireless Power Transfer Systems for Charging Portable Electronics. Eng 2023, 4, 1023-1057. https://doi.org/10.3390/eng4020061
Laha A, Kalathy A, Pahlevani M, Jain P. A Comprehensive Review on Wireless Power Transfer Systems for Charging Portable Electronics. Eng. 2023; 4(2):1023-1057. https://doi.org/10.3390/eng4020061
Chicago/Turabian StyleLaha, Arpan, Abirami Kalathy, Majid Pahlevani, and Praveen Jain. 2023. "A Comprehensive Review on Wireless Power Transfer Systems for Charging Portable Electronics" Eng 4, no. 2: 1023-1057. https://doi.org/10.3390/eng4020061
APA StyleLaha, A., Kalathy, A., Pahlevani, M., & Jain, P. (2023). A Comprehensive Review on Wireless Power Transfer Systems for Charging Portable Electronics. Eng, 4(2), 1023-1057. https://doi.org/10.3390/eng4020061

