Species-Specific Effects of a Sound Prototype to Reduce Bird Use of Powerline Poles
Abstract
1. Introduction
2. Materials and Methods
2.1. Study Area
2.2. Prototype Description
2.3. Field Testing of the Device
2.4. Data Analysis
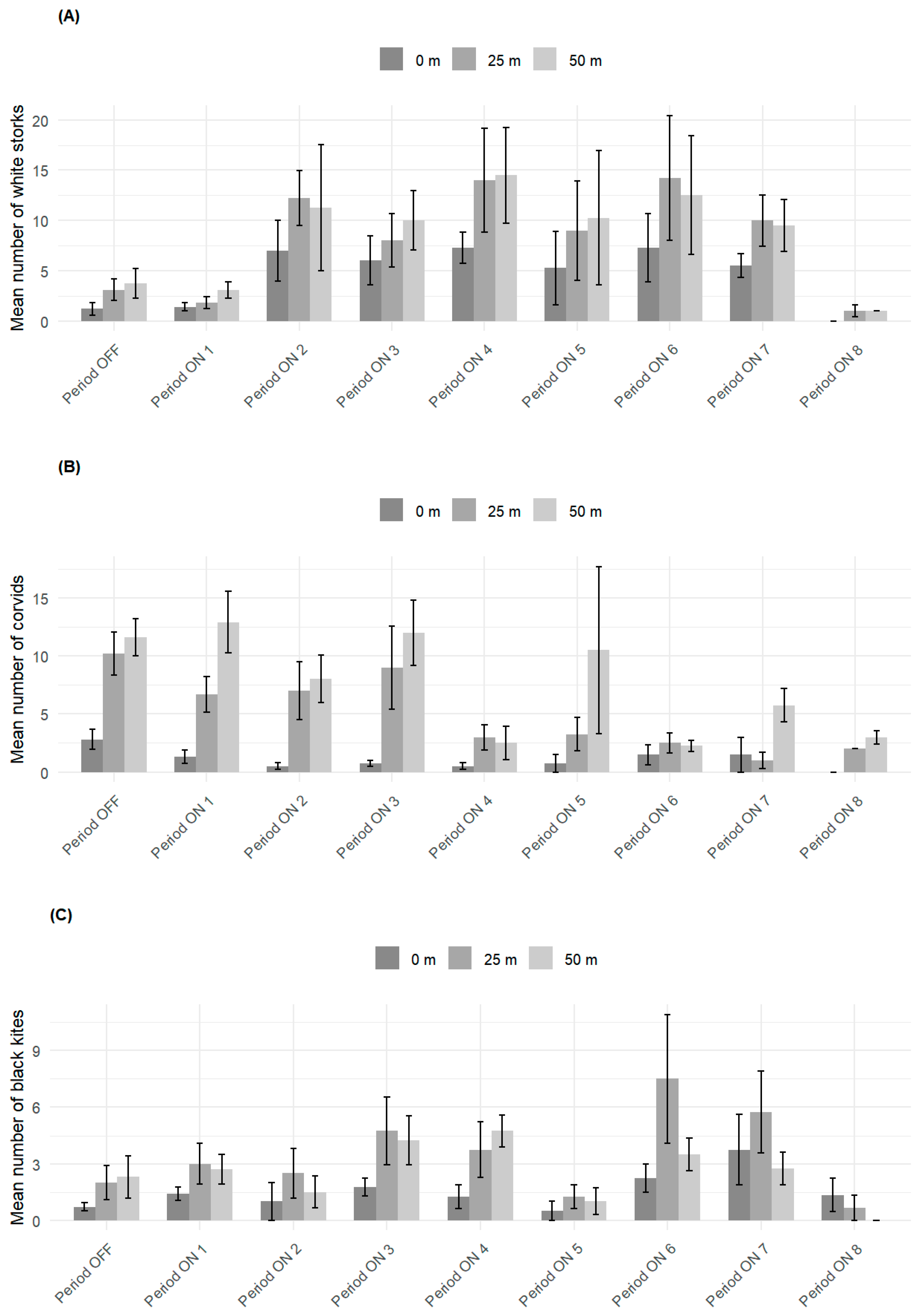
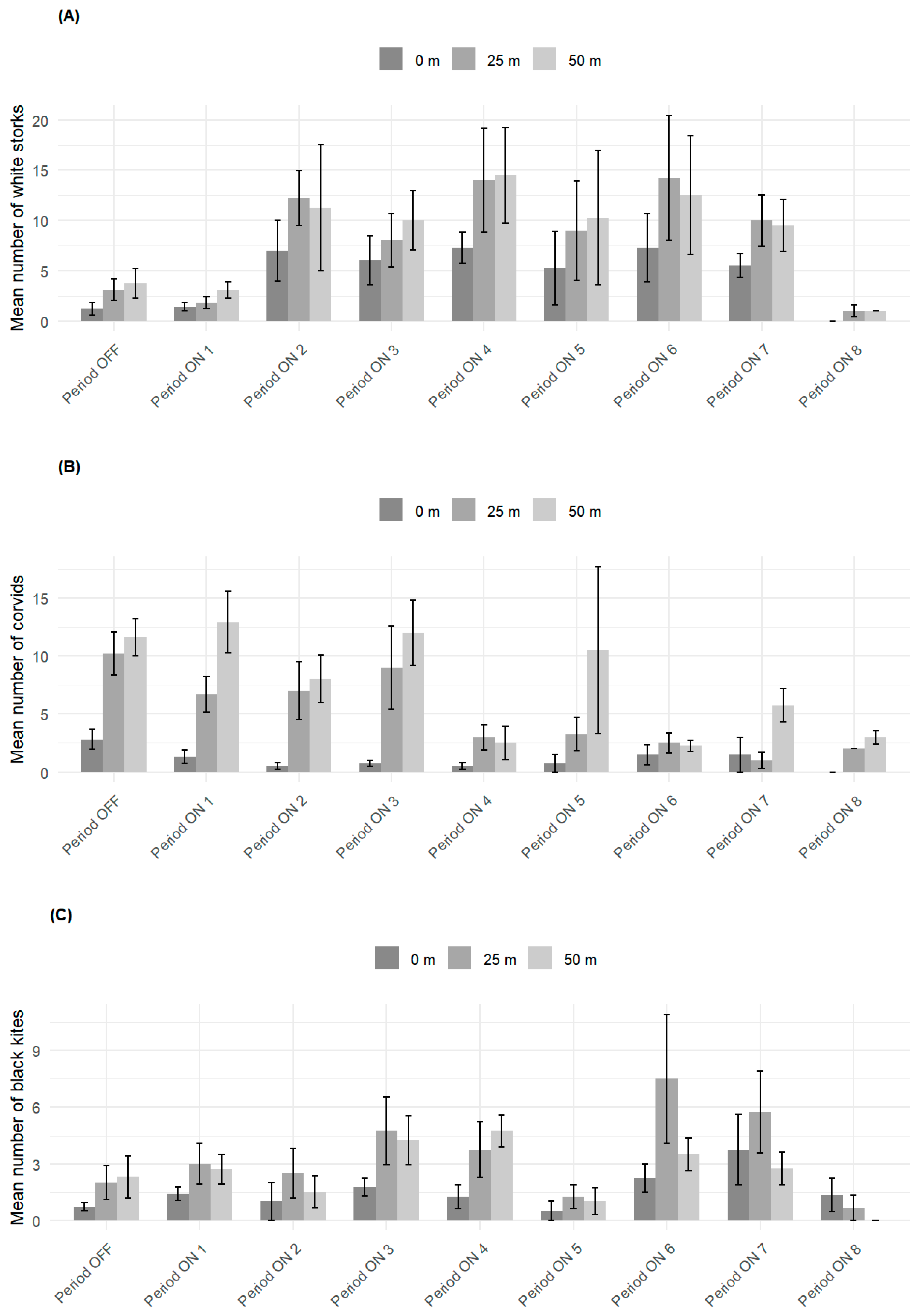
3. Results
4. Discussion
- (1)
- The device was effectively triggered by approx. 63% of the overall number of birds perching or approaching the pole where the device was installed. To enhance its efficiency, the sensitivity and range of motion detection should be optimized to detect a higher percentage of approaching birds. Moreover, when transposed to electric poles, the installation of the deterrent device should prioritize those with the highest risk of electrocution [13].
- (2)
- The device was tested using a selection of four randomly alternating sounds, each with a peak intensity of 100 dB. Further research should explore variations in sound types, frequencies, and duration to determine the most effective combination for deterring the greatest number of bird species.
- (3)
- The effectiveness of the device seems to be distance-limited. The low detection range of the infrared sensors restricted the assessment of deterrent effects beyond 12 m, impacting the comprehensiveness of the collected data. In addition, most flushing events occurred on the pole where the deterrent device was installed. The sound intensity reaching the farthest poles was lower and likely insufficient to flush these birds which are already acclimated to frequent sound disturbances, as observed in landfills. Addressing this limitation will require increasing the detection range and sound propagation, as well as covering potential blind areas where the device may currently fail to trigger.
- (4)
- The study was conducted over a short-term period. Extending the field testing period is necessary to assess the long-term effectiveness of the deterrent device and to investigate potential habituation effects over an extended timeline.
- (5)
- The study was limited to one location and did not consider seasonal variations. Expanding the study to include diverse habitats and seasons, potentially hosting different bird species, would ensure a more comprehensive understanding of its effectiveness under varying environmental conditions.
- (6)
- The study lacked a control group of poles without the sound device’s effect, which would allow for a more accurate evaluation of variations in the overall number of birds using the landfill during the study period. Some of the individuals that were flushed first perched on the poles while the sound device was active. Although this outcome does contribute to reducing the prolonged exposure of birds to the infrastructure, thus lowering the risk of electrocution, it is insufficient to entirely prevent it.
Supplementary Materials
Author Contributions
Funding
Institutional Review Board Statement
Informed Consent Statement
Data Availability Statement
Acknowledgments
Conflicts of Interest
References
- Janss, G.F.E. Avian mortality from powerlines: A morphological approach of a species-specific mortality. Biol. Conserv. 2000, 95, 353–359. [Google Scholar] [CrossRef]
- Lehman, R.N.; Kennedy, P.L.; Savidge, J.A. The state of the art in raptor electrocution research: A global review. Biol. Conserv. 2007, 136, 159–174. [Google Scholar] [CrossRef]
- Hernández-Matías, A.; Real, J.; Parés, F.; Pradel, R. Electrocution threatens the viability of populations of the endangered Bonelli’s eagle (Aquila fasciata) in Southern Europe. Biol. Conserv. 2015, 191, 110–116. [Google Scholar] [CrossRef]
- Sergio, F.; Marchesi, L.; Pedrini, P.; Ferrer, M.; Penteriani, V. Electrocution alters the distribution and density of a top predator, the eagle owl (Bubo bubo). J. Appl. Ecol. 2004, 41, 836–845. [Google Scholar] [CrossRef]
- Rubolini, D.; Gustin, M.; Bogliani, G.; Garavaglia, R. Birds and powerlines in Italy: An assessment. Bird Conserv. Int. 2005, 15, 131–145. [Google Scholar] [CrossRef]
- Pérez-García, J.M.; Botella, F.; Sánchez-Zapata, J.A.; Moleón, M. Conserving outside protected areas: Edge effects and avian electrocutions on the periphery of Special Protection Areas. Bird Conserv. Int. 2011, 21, 296–302. [Google Scholar] [CrossRef]
- Angelov, I.; Hashim, I.; Oppel, S. Persistent electrocution mortality of Egyptian Vultures (Neophron percnopterus) over 28 years in East Africa. Bird Conserv. Int. 2013, 23, 1–6. [Google Scholar] [CrossRef]
- Bevanger, K. Biological and conservation aspects of bird mortality caused by electricity powerlines: A review. Biol. Conserv. 1998, 86, 67–76. [Google Scholar] [CrossRef]
- Bayle, P. Preventing birds of prey problems at transmission lines in western Europe. J. Raptor Res. 1999, 33, 43–48. [Google Scholar]
- Infante, O.; Peris, S. Bird nesting on electric power supports in northwestern Spain. Ecol. Eng. 2003, 20, 321–326. [Google Scholar] [CrossRef]
- Bevanger, K. Bird interactions with utility structures: Collision and electrocution, causes and mitigation measures. Ibis 1994, 136, 412–425. [Google Scholar] [CrossRef]
- Ferrer, M.; Riva, M.J.; Castroviejo, J. Electrocution of raptors on powerlines in southwestern Spain. J. Field Ornithol. 1991, 62, 181–190. [Google Scholar]
- Mañosa, S. Strategies to identify dangerous electricity pylons for birds. Biodivers. Conserv. 2001, 10, 1997–2012. [Google Scholar] [CrossRef]
- Chevallier, C.; Hernández-Matias, A.; Real, J.; Vincent-Martin, N.; Ravayrol, A.; Besnard, A. Retrofitting of powerlines effectively reduces mortality by electrocution in large birds: An example with the endangered Bonelli’s eagle. J. Appl. Ecol. 2015, 52, 1465–1473. [Google Scholar] [CrossRef]
- Janss, G.F.E.; Ferrer, M. Mitigation of raptor electrocution on steel power poles. Wildl. Soc. Bull. 1999, 27, 263–273. [Google Scholar]
- Janss, G.F.E.; Ferrer, M. Avian electrocution mortality in relation to pole design and adjacent habitat in Spain. Bird Conserv. Int. 2001, 11, 3–12. [Google Scholar] [CrossRef]
- Tintó, A.; Real, J.; Mañosa, S. Predicting and correcting electrocution of birds in Mediterranean areas. J. Wildl. Manag. 2010, 74, 1852–1862. [Google Scholar] [CrossRef]
- Kaluga, I.; Sparks, T.H.; Tryjanowski, P. Reducing death by electrocution of the white stork (Ciconia ciconia). Conserv. Lett. 2011, 4, 483–487. [Google Scholar] [CrossRef]
- Maricato, L.; Faria, R.; Madeira, V.; Carreira, P.; Almeida, A.T. White storks risk mitigation in high voltage electric distribution networks. Ecol. Eng. 2016, 91, 212–220. [Google Scholar] [CrossRef]
- Jenkins, A.R.; Smallie, J.J.; Diamond, M. Avian collisions with powerlines: A global review of causes and mitigation with a South African perspective. Bird Conserv. Int. 2010, 20, 263–278. [Google Scholar] [CrossRef]
- Barrientos, R.; Alonso, J.C.; Ponce, C.; Palacin, C. Meta-analysis of the effectiveness of marked wire in reducing avian collisions with powerlines. Conserv. Biol. 2011, 25, 893–903. [Google Scholar] [CrossRef]
- Dwyer, J.F.; Harness, R.E.; Gerber, B.D.; Landon, M.A.; Petersen, P.; Austin, D.D.; Woodbridge, B.; Williams, G.E.; Eccleston, D. Power pole density informs spatial prioritization for mitigating avian electrocution. J. Wildl. Manag. 2016, 80, 634–642. [Google Scholar] [CrossRef]
- Mojica, E.K.; Dwyer, J.F.; Harness, R.E.; Williams, G.E.; Woodbridge, B. Review and synthesis of research investigating golden eagle electrocutions. J. Wildl. Manag. 2018, 82, 495–506. [Google Scholar] [CrossRef]
- Dixon, A.; Rahman, L.M.D.; Galtbalt, B.; Bold, B.; Davaasuren, B.; Batbayar, N.; Sugarsaikhan, B. Mitigation techniques to reduce avian electrocution rates. Wildl. Soc. Bull. 2019, 43, 476–483. [Google Scholar] [CrossRef]
- IPMA. Portal do Clima. Instituto Português do Mar e da Atmosfera. Available online: http://portaldoclima.pt/pt/ (accessed on 1 March 2021).
- Wood, S.N. Generalized Additive Models: An Introduction with R; Chapman and Hall/CRC: Boca Raton, FL, USA, 2017. [Google Scholar]
- R Core Team. R: A Language and Environment for Statistical Computing; R Foundation for Statistical Computing: Vienna, Austria; Available online: https://www.R-project.org/ (accessed on 1 March 2021).
- RStudio Team. RStudio: Integrated Development for R; RStudio, Inc.: Boston, MA, USA, 2020; Available online: http://www.rstudio.com/ (accessed on 1 March 2021).
- Bialas, J.T.; Dylewski, Ł.; Dylik, A.; Janiszewski, T.; Kaługa, I.; Królak, T.; Kruszyk, R.; Pawlukojć, K.; Pestka, Z.; Polakowski, M.; et al. Impact of land cover and landfills on the breeding effect and nest occupancy of the white stork in Poland. Sci. Rep. 2021, 11, 7279. [Google Scholar] [CrossRef]
- Kaminski, P.; Jerzak, L.; Sparks, T.H.; Johnston, A.; Bochenski, M.; Kasprzak, M.; Wiśniewska, E.; Mroczkowski, S.; Tryjanowski, P. Sex and other sources of variation in the haematological parameters of White Stork (Ciconia ciconia) chicks. J. Ornithol. 2014, 155, 307–314. [Google Scholar] [CrossRef]
- Emery, N.J. Cognitive ornithology: The evolution of avian intelligence. Philos. Trans. R. Soc. B 2006, 361, 23–43. [Google Scholar] [CrossRef] [PubMed]
- Baquedano, R.; Peris, S.J. Accidentalidad invernal del Busardo Ratonero (B. buteo) en tendidos eléctricos en la Península Ibérica. Munibe (Ciencias Naturales Natur Zientziak) 2003, 54, 113–120. [Google Scholar]
- Infante, S.; Neves, J.; Ministro, J.; Brandão, R. Estudo Sobre o Impacto das Linhas Eléctricas de Média e Alta Tensão na Avifauna em Portugal; Final Technical Report; Quercus Associação Nacional de Conservação da Natureza e SPEA Sociedade Portuguesa para o Estudo das Aves: Castelo Branco, Portugal, 2005. [Google Scholar]
- Garrido, J.R.; Martín, J. Identificación de tendidos eléctricos peligrosos. In Manual Para la Protección Legal de la Biodiversidad Para Los Agentes de la Autoridad Ambiental en Andalucía; Fajardo, I., Martin, J., Eds.; Consejería de Medio Ambiente, Junta de Andalucía: Sevilla, Spain, 2009; pp. 272–295. [Google Scholar]
- Litsgård, F.; Eriksson, A.; Wizelius, T.; Säfström, T. DTBird system pilot installation in Sweden. Possibilities for bird monitoring systems around wind farms. Experiences from Sweden’s first DTBird installation Tech. rep. Ecocom AB, Kalmar, Sweden. December 2016. [Google Scholar]
- Terrill, S.; Howell, J.; Smith, J.; Zirpoli, J.; Wolf, K.; Lindke, K.; Watt, S. Evaluating a Commercial-Ready Technology for Raptor Detection and Deterrence at a Wind Energy Facility in California; H.T. Harvey & Associates; American Wind Wildlife Institute (AWWI): Washington, DC, USA, September 2018. [Google Scholar]
- Felton, S.K.; Perkins, L.J.; Smith, J.P.; Terrell, S.B. Evaluating the Effectiveness of a Detection and Deterrent System in Reducing Golden Eagle Fatalities at Operational Wind Facilities; Final Report DE-EE0007883; Renewable Energy Wildlife Institute (REWI): Washington, DC, USA, May 2024. [Google Scholar]
- Hanagasioglu, M.; Aschwanden, J.; Bontadina, F.; Nilsson, M. Investigation of the Effectiveness of Bat and Bird Detection of the DTBat and DTBird Systems at Calandawind Turbine; Final Report No. 291031; Swiss Federal Office of Energy (SFOE): Ittigen, Switzerland, May 2015. [Google Scholar]
- May, R.; Hamre, Ø.; Vang, R.; Nygård, T. Evaluation of the DTBird Video-System at the Smøla Wind-Power Plant: Detection Capabilities for Capturing Near-Turbine Avian Behaviour; NINA Report 910; Norwegian Institute for Nature Research: Trondheim, Norway, 2012. [Google Scholar]
- Gradolewski, D.; Dziak, D.; Martynow, M.; Kaniecki, D.; Szurlej-Kielanska, A.; Jaworski, A.; Kulesza, W.J. Comprehensive Bird Preservation at Wind Farms. Sensors 2021, 21, 267. [Google Scholar] [CrossRef] [PubMed]
- Gullipalli, R.; Golla, K.K. Arduino-Based Radio Technology System for Bird Protection: Wind Farm Application Approach. Bachelor’s Thesis, Blekinge Institute of Technology, Karlskrona, Sweden, 2020. [Google Scholar]




Disclaimer/Publisher’s Note: The statements, opinions and data contained in all publications are solely those of the individual author(s) and contributor(s) and not of MDPI and/or the editor(s). MDPI and/or the editor(s) disclaim responsibility for any injury to people or property resulting from any ideas, methods, instructions or products referred to in the content. |
© 2025 by the authors. Licensee MDPI, Basel, Switzerland. This article is an open access article distributed under the terms and conditions of the Creative Commons Attribution (CC BY) license (https://creativecommons.org/licenses/by/4.0/).
Share and Cite
Ribeiro-Silva, J.; Ribeiro, H.; Pedroso, N.M.; Mira, A.; Sillero, N. Species-Specific Effects of a Sound Prototype to Reduce Bird Use of Powerline Poles. Ecologies 2025, 6, 12. https://doi.org/10.3390/ecologies6010012
Ribeiro-Silva J, Ribeiro H, Pedroso NM, Mira A, Sillero N. Species-Specific Effects of a Sound Prototype to Reduce Bird Use of Powerline Poles. Ecologies. 2025; 6(1):12. https://doi.org/10.3390/ecologies6010012
Chicago/Turabian StyleRibeiro-Silva, Joana, Hélder Ribeiro, Nuno M. Pedroso, António Mira, and Neftalí Sillero. 2025. "Species-Specific Effects of a Sound Prototype to Reduce Bird Use of Powerline Poles" Ecologies 6, no. 1: 12. https://doi.org/10.3390/ecologies6010012
APA StyleRibeiro-Silva, J., Ribeiro, H., Pedroso, N. M., Mira, A., & Sillero, N. (2025). Species-Specific Effects of a Sound Prototype to Reduce Bird Use of Powerline Poles. Ecologies, 6(1), 12. https://doi.org/10.3390/ecologies6010012

